Главная // Актуальные документы // ГОСТ (Государственный стандарт)СПРАВКА
Источник публикации
М.: Стандартинформ, 2007
Примечание к документу
С 1 июля 2003 года до вступления в силу технических регламентов акты федеральных органов исполнительной власти в сфере технического регулирования носят рекомендательный характер и подлежат обязательному исполнению только в части, соответствующей целям, указанным в
пункте 1 статьи 46 Федерального закона от 27.12.2002 N 184-ФЗ.
Документ
введен в действие с 1 июля 1992 года.
Взамен ГОСТ 4.196-85 в части приборов электроизмерительных щитовых аналоговых с логометрической схемой для измерения температуры, ГОСТ 9736-80.
Название документа
"ГОСТ 9736-91. Межгосударственный стандарт. Приборы электрические прямого преобразования для измерения неэлектрических величин. Общие технические требования и методы испытаний"
(утв. и введен в действие Постановлением Госстандарта СССР от 29.04.1991 N 615)
"ГОСТ 9736-91. Межгосударственный стандарт. Приборы электрические прямого преобразования для измерения неэлектрических величин. Общие технические требования и методы испытаний"
(утв. и введен в действие Постановлением Госстандарта СССР от 29.04.1991 N 615)
Утвержден и введен в действие
Постановлением
Государственного комитета СССР
по управлению качеством
продукции и стандартам
от 29 апреля 1991 г. N 615
МЕЖГОСУДАРСТВЕННЫЙ СТАНДАРТ
ПРИБОРЫ ЭЛЕКТРИЧЕСКИЕ ПРЯМОГО ПРЕОБРАЗОВАНИЯ ДЛЯ ИЗМЕРЕНИЯ
НЕЭЛЕКТРИЧЕСКИХ ВЕЛИЧИН
ОБЩИЕ ТЕХНИЧЕСКИЕ ТРЕБОВАНИЯ И МЕТОДЫ ИСПЫТАНИЙ
Electric apparatus of direct transformation for measuring
non-electric values. General technical
requirements and methods of tests
ГОСТ 9736-91
Группа П75
Дата введения
1 июля 1992 года
1. РАЗРАБОТАН И ВНЕСЕН Межотраслевым государственным объединением "Электромера"
2. УТВЕРЖДЕН И ВВЕДЕН В ДЕЙСТВИЕ Постановлением Государственного комитета СССР по управлению качеством продукции и стандартам от 29.04.91 N 615
3. ВЗАМЕН ГОСТ 4.196-85 (в части приборов электроизмерительных щитовых аналоговых с логометрической схемой для измерения температуры), ГОСТ 9736-80
4. ССЫЛОЧНЫЕ НОРМАТИВНО-ТЕХНИЧЕСКИЕ ДОКУМЕНТЫ
Обозначение НТД, на который дана ссылка | Номер пункта |
| |
| |
| |
ГОСТ 26.011-80 | |
| | ИС МЕГАНОРМ: примечание. ГОСТ 3044-84 утратил силу с 1 января 1994 года в связи с введением в действие ГОСТ Р 50431-92 (ИУС "Государственные стандарты", N 3, 1993). Взамен ГОСТ Р 50431-92 с 1 июля 2002 года введен в действие ГОСТ Р 8.585-2001 (Постановление Госстандарта России от 21.11.2001 N 474-ст). | |
|
ГОСТ 3044-84 | |
ГОСТ 5365-83 | |
ГОСТ 5944-91 | |
| |
ГОСТ 10627-71 | |
| |
ГОСТ 13033-84 | |
| |
| |
| |
ГОСТ 20504-81 | |
| |
| |
| |
Нормы 1-72-9-72 | |
Правила технической эксплуатации электроустановок потребителей | |
Правила техники безопасности при эксплуатации электроустановок потребителей | |
5. ПЕРЕИЗДАНИЕ. Май 2007 г.
Настоящий стандарт распространяется на электрические приборы прямого преобразования (далее - приборы), предназначенные для измерения, записи и регулирования температуры и других неэлектрических величин, преобразованных в электрические сигналы силы и напряжения постоянного тока или активное сопротивление, и устанавливает общие технические требования и методы испытаний.
1.1. По виду представления информации приборы подразделяют на:
показывающие;
показывающие и регистрирующие;
показывающие и регулирующие с импульсным или непрерывным выходными сигналами;
показывающие, регистрирующие и регулирующие с импульсным или непрерывным сигналом.
1.2. По конструктивному исполнению приборы подразделяют на щитовые (панельные) и переносные.
1.3. В зависимости от эксплуатационной законченности приборы подразделяют на изделия второго и третьего порядка по
ГОСТ 12997.
1.4. По защищенности от воздействия окружающей среды приборы подразделяют на исполнения:
защищенное от попадания внутрь прибора воды - степень защиты IPX0 или IPX1 по
ГОСТ 14254;
защищенное от попадания внутрь прибора твердых тел (пыли) - степени защиты IP3X, IP4X или IP5X по
ГОСТ 14254;
взрывозащищенное по
ГОСТ 22782.5 (с видом взрывозащиты "искробезопасная электрическая цепь").
Приборы допускается изготовлять в исполнениях, сочетающих несколько видов защиты.
1.5. По стойкости к механическим воздействиям приборы подразделяют на исполнения: виброустойчивое и вибропрочное - группы исполнений L1, L2, L3, LX по
ГОСТ 12997.
1.6. По числу каналов измерения и записи приборы подразделяют на одно- и многоканальные.
1.7. Приборы допускается изготовлять в любом сочетании исполнений и групп по
пп. 1.1 -
1.6.
2. ТЕХНИЧЕСКИЕ ТРЕБОВАНИЯ
2.1. Приборы должны быть изготовлены в соответствии с требованиями настоящего стандарта и технических условий (ТУ) на приборы конкретного типа по рабочим чертежам, утвержденным в установленном порядке.
2.2. Для приборов устанавливают рабочие условия применения (в части климатических и механических воздействий), предельные условия транспортирования по
ГОСТ 12997.
2.3. Приборы должны быть устойчивыми и прочными к воздействию температуры и влажности окружающего воздуха в диапазонах, указанных для групп исполнений по
ГОСТ 12997.
По согласованию с потребителем допускается изготовлять приборы для работы при более высоких значениях температуры и влажности, чем это нормировано для конкретной группы, но они не должны превышать значений, установленных для приборов соседней группы.
2.4. Приборы должны быть устойчивыми и прочными к воздействию атмосферного давления в диапазонах, указанных для групп исполнений по
ГОСТ 12997.
2.5. Приборы должны быть устойчивыми и прочными к воздействию синусоидальных вибраций с параметрами, указанными для групп исполнений L1, L2, L3, LX по
ГОСТ 12997.
2.6. Требования к нормируемым метрологическим характеристикам
2.6.1. Для приборов устанавливают следующие классы точности:
0,2; 0,5; 1 - для переносных приборов;
0,5; 1; 1,5 " щитовых " .
Примечание. Допускается по требованию потребителя изготовление приборов других классов точности.
2.6.2. Пределы допускаемых основных погрешностей приборов в нормальных условиях применения должны быть равны значениям, указанным в табл. 1.
Таблица 1
Класс точности | 0,2 | 0,5 | 1 | 1,5 |
Предел допускаемой основной погрешности, % | +/- 0,2 | +/- 0,5 | +/- 1 | +/- 1,5 |
Пределы допускаемых основных погрешностей должны быть выражены в виде приведенных погрешностей в процентах нормирующего значения.
За нормирующее значение для приборов, работающих в комплекте с термопреобразователями сопротивления, принимают разность сопротивлений, соответствующих началу и концу шкалы.
За нормирующее значение для приборов, работающих в комплекте с термоэлектрическими преобразователями, принимают:
разность верхнего и нижнего предельных значений входного сигнала, если его нулевое значение находится на краю диапазона измерения входного сигнала или вне его;
сумму абсолютных предельных значений входного сигнала, если его нулевое значение находится внутри диапазона измерения.
Нормирующее значение выражают в единицах входного сигнала.
2.6.3. Предел допускаемой вариации не должен превышать предела допускаемой основной погрешности.
2.6.4. Остаточное отклонение указателя приборов от отметки механического нуля при плавном подводе указателя к этой отметке от наиболее удаленной от нее отметки шкалы для щитового прибора группы исполнения L3 не должно превышать

, определяемого по формуле

, (1)
где K - значение класса точности прибора;
L - длина шкалы, мм.
Остаточное отклонение указателя щитовых приборов групп исполнений L1, L2, LX, переносных регистрирующих приборов не должно превышать

.
2.6.5. Время установления показаний не должно превышать указанного в табл. 2.
Таблица 2
Длина шкалы приборов, мм | Время установления показаний, с, приборов |
одноканальных | многоканальных |
До 90 | 5 | 4 |
От 90 до 150 | 10 | 7 |
Св. 150 | 15 | 10 |
Примечание. Предельно допустимое число полуколебаний указателя прибора около положения равновесия не должно превышать трех, а для регистрирующих - двух.
2.6.6. Время установления рабочего режима не должно превышать 15 мин для приборов классов точности 0,5; 1; 1,5 и 30 мин - для класса точности 0,2.
2.6.7. Для приборов устанавливают функции влияния или пределы допускаемых дополнительных погрешностей, вызванных изменениями влияющих величин от нормальных до любых значений в пределах рабочих условий применения.
Примечание. Для приборов, для которых нормируют функции влияния, классы точности не устанавливают.
2.6.8. Предел допускаемой дополнительной погрешности, вызванной отклонением положения приборов от нормального положения в любом направлении на 5°, не должен превышать 0,5 предела допускаемой основной погрешности.
Примечания:
1. Допускается изготовлять приборы с пределом допускаемой дополнительной погрешности, вызванной отклонением положения от нормального в любом направлении на 10° и 45°, равным пределу допускаемой основной погрешности.
2. Допускается корректировать нуль приборов со световым указателем при наклонном положении прибора.
2.6.9. Предел допускаемой дополнительной погрешности приборов, вызванной изменением температуры окружающего воздуха от нормальной до любой температуры в пределах рабочих температур на каждые 10 °C изменения температуры, не должен превышать:
0,5 предела допускаемой основной погрешности - для приборов группы исполнения В по
ГОСТ 12997;
0,25 предела допускаемой основной погрешности - для приборов групп исполнений С, Д по
ГОСТ 12997.
2.6.10. Предел допускаемой дополнительной погрешности приборов, вызванной изменением температуры свободных концов термоэлектрического преобразователя во всем диапазоне рабочих температур, не должен превышать предела допускаемой основной погрешности и должен быть не более +/- 5 °C.
2.6.11. Предел допускаемой дополнительной погрешности приборов групп исполнений В3, С, Д по
ГОСТ 12997, вызванной воздействием повышенной влажности в рабочих условиях применения, не должен превышать 0,5 предела допускаемой основной погрешности.
2.6.12. Предел допускаемой дополнительной погрешности приборов, вызванной изменением напряжения питания от номинального в пределах, указанных в
п. 2.9.1, не должен превышать 0,5 предела допускаемой основной погрешности.
Примечание. Требования настоящего пункта не распространяются на логометры. Предел допускаемой дополнительной погрешности логометров, вызванной изменением напряжения питания, устанавливают в ТУ на логометры конкретного типа.
2.6.13. Предел допускаемой дополнительной погрешности приборов, вызванной воздействием постоянных магнитных полей и (или) переменных полей сетевой частоты напряженностью от 40 до 400 А/м, не должен превышать 0,5 предела допускаемой основной погрешности.
2.6.14. Предел допускаемой дополнительной погрешности приборов, вызванной установкой их на ферромагнитном щите или основании любой толщины, не должен превышать 0,5 предела допускаемой основной погрешности.
2.6.15. Предел допускаемой дополнительной погрешности приборов, вызванной влиянием напряжения поперечной помехи переменного тока с эффективным значением, равным 50% максимального значения входного сигнала прибора, действующего между входными измерительными зажимами последовательно с полезным сигналом и имеющего любой фазовый угол, не должен превышать 0,5 предела допускаемой основной погрешности.
2.6.16. Предел допускаемой дополнительной погрешности приборов, вызванной влиянием напряжения продольной помехи постоянного или переменного тока с эффективным значением, равным 100% максимального значения входного сигнала прибора, действующего между любым измерительным зажимом и заземленным корпусом и имеющего любой фазовый угол, не должен превышать 0,5 предела допускаемой основной погрешности.
2.6.17. Предел допускаемой дополнительной погрешности или половина размаха колебаний указателя приборов класса точности 1 и более во время воздействия вибрации не должны превышать предела допускаемой основной погрешности.
Предел допускаемой дополнительной погрешности или половина размаха колебаний приборов класса точности менее 1 во время воздействия вибрации должны быть установлены в ТУ на приборы конкретного типа.
2.6.18. Предел допускаемой основной погрешности срабатывания регулирующего устройства не должен превышать 1,5 предела допускаемой основной погрешности измерения.
2.6.19. Предел допускаемой дополнительной погрешности срабатывания регулирующего устройства, вызванной изменением температуры окружающего воздуха от нормальной до любой в пределах рабочих температур на каждые 10 °C изменения температуры, не должен превышать 0,5 предела допускаемой основной погрешности срабатывания регулирующего устройства.
2.6.20. Предел допускаемой дополнительной погрешности срабатывания регулирующего устройства, вызванной изменением напряжения питания от номинального до любого в пределах рабочих условий применения, не должен превышать 0,5 предела допускаемой основной погрешности срабатывания регулирующего устройства.
2.6.21. Значение зоны возврата регулирующего устройства не должно превышать предела допускаемой основной погрешности срабатывания регулирующего устройства.
2.7. Требования к входным и выходным сигналам
2.7.1. Входные сигналы должны соответствовать для приборов, работающих:
от термоэлектрических преобразователей - ГОСТ 3044 <*>;
--------------------------------
от термопреобразователей сопротивления - ТУ на приборы конкретного типа;
от телескопов пирометров полного излучения - ГОСТ 10627;
от других первичных преобразователей - ГОСТ 26.011.
2.7.2. Выходные сигналы регулирующих приборов - по НТД.
2.7.3. Диапазоны измерения должны быть установлены в ТУ на приборы конкретного типа и соответствовать для приборов, работающих:
от термоэлектрических преобразователей - ГОСТ 3044;
от термопреобразователей сопротивления - ТУ на приборы конкретного типа;
от телескопов пирометров полного излучения - ГОСТ 10627;
от других первичных преобразователей - ГОСТ 26.011.
2.7.4. Типы первичных преобразователей и условные обозначения номинальных статических характеристик преобразования должны быть установлены в ТУ на приборы конкретного типа.
2.8. Требования к сопротивлению входных и выходных цепей
2.8.1. Входное сопротивление должно соответствовать для приборов, работающих в комплекте:
с термоэлектрическими преобразователями - значениям, указанным в
табл. 3;
с пирометрическими преобразователями полного излучения по
ГОСТ 28243 - (200 +/- 0,5) Ом;
с преобразователями с входными сигналами тока или напряжения постоянного тока - ГОСТ 26.011.
Класс точности | 0,2 | 0,5 | 1 | 1,5 |
Входное сопротивление, Ом, не менее | 500 | 500 | 300 | 200 |
2.8.2. Номинальное значение сопротивления каждого провода линии связи прибора (
Rл) с термопреобразователями сопротивления следует выбирать из ряда: 2,5; 7,5; 15; 50; 100; 150 Ом.
2.8.3. Номинальное значение сопротивления соединительной линии (внешнее сопротивление
Rвн) приборов, работающих в комплекте с преобразователями термоэлектрическими и пирометрическими полного излучения, следует выбирать из ряда: 5; 15; 50; 100; 150 Ом.
Номинальное значение сопротивления соединительной линии переносных приборов следует выбирать из ряда: 0,6; 1,6; 5; 15 Ом.
2.8.4. Приборы, для которых требуется подгонка сопротивлений линии связи или соединительной линии, должны быть снабжены резисторами с номинальным сопротивлением в соответствии с
пп. 2.8.2,
2.8.3 с допускаемыми отклонениями +0,05
Rл и +0,1
Rвн.
2.8.5. Приборы, работающие в комплекте с термопреобразователями сопротивления и не имеющие корректора для перемещения указателя, должны быть снабжены резистором для контроля за работой.
2.9. Требования к электропитанию
2.9.1. Питание приборов должно осуществляться:
от сети переменного тока частотой 50 и (или) 60; 400 Гц и номинальным напряжением 36 и 220 В;
от источника постоянного тока напряжением 12; 24; 60; 110 В.
Допускаемое отклонение напряжения от номинального значения - от минус 15% до плюс 10%, от минус 20% до плюс 15% <*>, от минус 25% до плюс 30% <**>.
Допускаемое отклонение частоты переменного тока: +/- 1 <*> %; +/- 2%; +/- 2,5% для 50 или 60 Гц; +/- 3% для 400 Гц.
--------------------------------
<*> По требованию потребителя.
<**> Для источника постоянного тока в соответствии с ГОСТ 13033.
Коэффициент высших гармоник: 2%; 5%; 10%; 20%.
Коэффициент пульсации постоянного напряжения: 0,2; 1; 5; 15.
2.9.2. Приборы должны быть устойчивыми к кратковременным отклонениям от значений параметров, указанных в
п. 2.9.1, а также к прерыванию питания.
Глубина провалов - минус 20% или минус 50%, перенапряжение - 20% номинального значения, продолжительность динамических изменений - от 10 мс до 5 с.
Продолжительность прерывания - от 10 мс до 10 с.
2.9.3. При питании приборов от источников постоянного тока напряжение, сила максимально потребляемого электрического тока и допускаемые пульсации для рабочих условий применения должны быть установлены в ТУ на приборы конкретного типа.
2.10. Мощность, потребляемая приборами, должна быть установлена в ТУ на приборы конкретного типа.
2.11. Требования к электрической прочности и сопротивлению изоляции - по
ГОСТ 12997.
2.12. Законы регулирования, формируемые регулирующими приборами, основные параметры, обеспечивающие настройку характеристик закона регулирования и их допускаемые изменения, значения сопротивления и вид нагрузки должны быть установлены в ТУ на приборы конкретного типа в соответствии с требованиями НТД.
2.13. Требования по защите приборов от проникновения внутрь прибора твердых тел (пыли) - по
ГОСТ 14254. Степень защиты должна быть установлена в ТУ на приборы конкретного типа.
2.14. Требования по защите от проникновения воды внутрь прибора - по
ГОСТ 14254. Степень защиты должна быть установлена в ТУ на приборы конкретного типа.
2.15. Требования к взрывозащищенным приборам должны быть установлены в ТУ на приборы конкретного типа в соответствии с
ГОСТ 22782.5.
2.16. Приборы должны сохранять свои характеристики при воздействии на них индустриальных радиопомех, не превышающих норм, предусмотренных "Общесоюзными нормами допускаемых индустриальных радиопомех (Нормы 1-72-9-72)".
2.17. Требования к приборам тропического исполнения - по
ГОСТ 15151.
2.18. Требования к приборам в транспортной таре - по
ГОСТ 12997.
2.19. Допускаемые перегрузки
2.19.1. Приборы должны выдерживать перегрузку по входному сигналу, превышающему его максимальное значение не менее чем на 25%, 50%, в течение 2 ч.
2.19.2. Приборы, работающие в комплекте с термопреобразователями сопротивления, должны выдерживать кратковременные перегрузки:
приборы классов точности 0,2 и 0,5 - пятикратные замыкание и разрыв цепи термопреобразователя сопротивления;
приборы классов точности 1 и более - девятикратные замыкание и разрыв цепи термопреобразователя сопротивления.
2.19.3. Установившееся превышение температуры внутри приборов над температурой окружающего воздуха, вызванное работой приборов при максимальном напряжении питания, следует нормировать в ТУ на приборы конкретного типа.
2.20. Требования к конструкции
2.20.1. Конструкция прибора должна соответствовать требованиям
ГОСТ 8711 и настоящего стандарта.
2.20.2. Масса приборов должна быть установлена в ТУ на приборы конкретного типа.
2.20.3. Габаритные размеры приборов - по ГОСТ 20504 и ГОСТ 5944.
2.20.4. Циферблаты и шкалы приборов - по ГОСТ 5365.
Цена деления равномерной шкалы и минимальная цена деления неравномерной шкалы приборов должна соответствовать одно-, двух- или пятикратному значению единицы измеряемой величины или значениям, полученным в результате умножения или деления этих значений на 10 или 100.
Примечание. Требования к шкалам приборов, предназначенных для индивидуальной градуировки в составе других приборов более высокой ступени эксплуатации, должны быть установлены в ТУ на приборы конкретного типа.
2.20.5. Допускается неравномерность шкал, не более, для приборов, работающих в комплекте:
с преобразователями полного излучения - 3,5;
с термоэлектрическими преобразователями - 2,8;
с термопреобразователями сопротивления - 2,0.
2.20.6. У приборов должен быть корректор, обеспечивающий перемещение указателя от начальной отметки шкалы вправо не менее чем на 4% и влево не менее чем на 2% длины шкалы.
2.20.7. Приборы должны допускать подключение термопреобразователей сопротивления по двух-, трех- или четырехпроводной схеме.
2.21. Требования к надежности
2.21.1. Приборы должны относиться к ремонтопригодным, восстанавливаемым изделиям.
2.21.2. Требования к номенклатуре показателей надежности - по
ГОСТ 27883.
2.21.3. Критерии отказов и предельных состояний, среднее время восстановления работоспособного состояния устанавливают в ТУ на приборы конкретного типа.
2.21.4. Средняя наработка на отказ должна быть не менее 32000 ч для щитовых и не менее 16000 ч - для переносных приборов.
Для щитовых приборов выпуска с 01.01.93 средняя наработка на отказ должна быть не менее 38000 ч, с 01.01.95 - не менее 45000 ч.
2.21.5. Средний срок службы должен быть не менее 10 лет, а для приборов выпуска с 01.01.95 - 12 лет.
2.22. Требования безопасности
2.22.1. Внешние части приборов, находящиеся под напряжением, превышающим 42 В по отношению к корпусу, должны иметь защиту от случайных прикасаний во время работы с приборами.
2.22.2. По способу защиты человека от поражения электрическим током приборы следует изготовлять класса 1 по
ГОСТ 12.2.007.0.
2.22.3. Приборы должны иметь зажим защитного заземления по
ГОСТ 12.2.007.0.
2.22.4. Разъемы, провода цепей регулирования и сигнализации следует подключать согласно маркировке при отключенном напряжении питания.
2.22.5. При испытании и эксплуатации приборов необходимо соблюдать требования
ГОСТ 12.3.019, "
Правил технической эксплуатации электроустановок потребителей" и "
Правил техники безопасности при эксплуатации электроустановок потребителей", утвержденных Гостехнадзором СССР.
2.22.6. Требования безопасности при испытаниях изоляции и измерении ее сопротивления - по
ГОСТ 12997 и
ГОСТ 12.3.019.
2.22.7. Электробезопасность приборов - в соответствии с
ГОСТ 12.1.019.
2.22.8. Конкретные требования безопасности должны быть установлены в ТУ на приборы конкретного типа.
2.23. Номенклатура показателей качества, рекомендуемых при разработке технических заданий (ТЗ) и ТУ, приведена в
приложении.
3.1. Методы испытаний должны соответствовать требованиям
ГОСТ 12997, настоящего стандарта, а также ТУ на приборы конкретного типа.
Погрешность образцовых средств измерений не должна превышать 1/5 предела допускаемой основной погрешности испытуемого прибора.
Допускается применение образцовых средств измерений с погрешностью, не превышающей 1/3 предела допускаемой основной погрешности испытуемого прибора, при этом вариация показаний образцовых средств измерений не должна превышать половины предела допускаемой основной погрешности.
3.2. Правила отбора изделий в выборку для испытаний должны устанавливаться в ТУ на приборы конкретного типа в соответствии с
ГОСТ 18321.
3.3. Нормальные условия испытаний при определении метрологических характеристик должны устанавливаться в ТУ на приборы конкретного типа и соответствовать следующим:
температура окружающего воздуха 20 °C, 23 °C или 27 °C (для приборов тропического исполнения);
отклонение температуры окружающего воздуха +/- 1 °C, +/- 2 °C или +/- 5 °C;
относительная влажность от 30% до 80%;
атмосферное давление от 86 до 106,7 кПа, если его колебания не влияют на определяемые характеристики прибора, в противном случае оно должно быть установлено в ТУ на приборы конкретного типа;
отклонение напряжения питания от номинального значения не должно превышать +/- 2%.
отклонение частоты переменного тока +/- 1% для 50 и (или) 60 Гц; +/- 1%, +/- 3% для 400 Гц;
максимально допускаемый коэффициент высших гармоник - 5%;
внешние электрические и магнитные поля должны отсутствовать или находиться в пределах, не влияющих на работу приборов;
рабочее положение приборов в пространстве - горизонтальное или вертикальное с допускаемым отклонением от нормального +/- 1°;
вибрация, тряска, удары, влияющие на работу приборов, должны отсутствовать;
время выдержки во включенном состоянии 15 мин для приборов классов точности 0,5; 1; 1,5 или 30 мин для приборов класса точности 0,2.
В составе атмосферы не допускается наличие газов и паров, активных по отношению к используемым материалам. По требованию потребителя значения концентраций устанавливают в ТУ на приборы конкретного типа.
Для регулирующих приборов с непрерывным выходным сигналом сопротивление нагрузки с учетом сопротивления линии связи должно соответствовать половине верхнего предельного значения для сигналов тока и удвоенного нижнего предельного значения для сигналов напряжения.
3.4. Основную погрешность
(п. 2.6.2), вариацию
(п. 2.6.3) и остаточное отклонение
(п. 2.6.4) следует определять после установления рабочего режима, указанного в
п. 2.6.6, в нормальных условиях испытаний с учетом сопротивлений, указанных на приборе в соответствии с
пп. 2.8.2 или
2.8.3.
До установления рабочего режима указатель прибора должен быть установлен на начальную отметку шкалы (кроме логометров), а для приборов с регулирующими устройствами должны быть проведены все предварительные настройки, указанные в ТУ на приборы конкретного типа.
3.5. Основную погрешность следует определять сравнением показаний испытуемого прибора с показаниями образцового прибора.
3.6. Основную погрешность приборов следует определять на всех числовых отметках шкалы.
3.7. Вариацию показаний приборов
(п. 2.6.3) следует определять как разность действительных значений измеряемой величины при одном и том же показании прибора при плавном подводе указателя к испытуемой отметке сначала со стороны начальной, а затем со стороны конечной отметок шкалы.
Допускается определять вариацию в процессе определения основной погрешности.
3.8. Остаточное отклонение указателя прибора от отметки механического нуля
(п. 2.6.4) следует определять в процессе определения основной погрешности и вариации плавным уменьшением входного сигнала, соответствующего наиболее удаленной от механического нуля отметке, до значения, соответствующего механическому нулю.
3.9. Время установления показаний и характер успокоения приборов
(п. 2.6.5) следует определять с соблюдением условий, указанных в
пп. 3.3 и
2.8.3.
К прибору подключают измеряемую величину, создающую установившееся отклонение указателя приблизительно на 2/3 длины шкалы. Если нулевая отметка находится внутри диапазона измерений, за длину шкалы принимают более длинную часть шкалы по одну сторону нулевой отметки.
Если нулевая отметка находится вне диапазона измерений, к прибору должна быть предварительно подключена измеряемая величина, создающая установившееся отклонение указателя на начальную отметку шкалы. Затем измеряемую величину скачкообразно изменяют, так, чтобы установившееся отклонение указателя составило приблизительно 2/3 длины шкалы.
Время установления показаний следует определять от момента подключения или изменения измеряемой величины до момента, когда отклонение указателя от установившегося значения не превышает 1,5% длины шкалы.
3.10. Входное сопротивление приборов
(п. 2.8.1) следует проверять по методике, установленной в ТУ на приборы конкретного типа.
3.11. Значения сопротивлений резисторов для подгонки сопротивлений линии связи или соединительной линии
(п. 2.8.4) следует проверять цифровым омметром или мостом постоянного тока.
3.12. Воздействие влияющих факторов (
пп. 2.6.8 -
2.6.20) следует определять для каждого фактора с исключением всех остальных.
Дополнительные погрешности приборов следует определять с исключением вариации для каждой влияющей величины в отдельности с соблюдением условий
п. 3.3.
Дополнительные погрешности следует определять не менее чем на трех отметках шкалы - в начале, середине и конце, а также в точках, где определена наибольшая погрешность измерения.
Исключение вариации обеспечивается при определении среднего арифметического результатов двух измерений: первого - при плавном подводе указателя к испытуемой отметке шкалы со стороны начальной отметки и второго - со стороны конечной отметки шкалы.
Для приборов классов точности 0,2 и 0,5 при определении дополнительных погрешностей, вызванных изменением положения приборов
(п. 2.6.8) и температуры окружающего воздуха
(п. 2.6.9), указатель прибора следует устанавливать на начальную отметку шкалы перед каждым снятием показаний прибора.
3.13. Дополнительную погрешность, вызванную отклонением положения приборов от нормального
(п. 2.6.8), следует определять при изменении положения прибора наклоном поочередно в четырех направлениях (вперед, назад, вправо, влево).
Допускается дополнительную погрешность при изменении положения прибора определять по отклонению указателя от нулевой отметки шкалы прибора, отключенного от цепи измерения. В этом случае исключение вариации обеспечивают легким постукиванием по корпусу прибора.
3.14. Дополнительную погрешность приборов, вызванную изменением температуры окружающего воздуха
(п. 2.6.9), следует определять по
ГОСТ 12997.
Время выдержки приборов в нормальных условиях испытаний после выключения камеры следует указывать в ТУ на приборы конкретного типа, но не менее 4 ч.
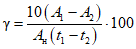
Дополнительную погрешность

в процентах, вызванную изменением температуры окружающего воздуха, следует определять по формуле

, (2)
где A1 - показание образцового прибора, соответствующее нормальным условиям испытаний, мВ (Ом);
A2 - то же, при повышенной (пониженной) рабочей температуре окружающего воздуха, мВ (Ом);
Aн - нормирующее значение, мВ (Ом);
t1 - температура, соответствующая нормальным условиям испытаний, °C;
t2 - повышенная (пониженная) рабочая температура, °C.
Без извлечения из камеры тепла проверяют электрическое сопротивление изоляции.
3.15. Дополнительную погрешность прибора, вызванную изменением температуры свободных концов термоэлектрического преобразователя
(п. 2.6.10), следует определять на любой числовой отметке в середине шкалы при температуре, соответствующей предельным значениям температуры рабочих условий применения.
Подключают вместо термочувствительного элемента устройства компенсации свободных концов термоэлектрического преобразователя образцовый магазин сопротивлений с установленным на нем значением сопротивления, соответствующим сопротивлению термочувствительного элемента при 0 °C, и определяют образцовым прибором значение входного сигнала.
Устанавливают на магазине сопротивлений максимальное, а затем минимальное значения сопротивлений термочувствительного элемента, соответствующие верхнему (нижнему) значению рабочей температуры, и снимают показание образцового прибора на той же числовой отметке шкалы.
Дополнительную погрешность

в процентах, вызванную изменением температуры свободных концов термоэлектрического преобразователя, определяют по формуле

, (3)
где Uо - значение входного сигнала, соответствующего проверяемой отметке шкалы, при установленном на образцовом магазине сопротивлений значении сопротивления термочувствительного элемента при 0 °C, мВ;
Umin(max) - значение входного сигнала, соответствующего проверяемой отметке шкалы, при установленных на образцовом магазине сопротивлений значениях Rmin(max) при верхнем (нижнем) значении рабочей температуры, мВ;
Ut - табличное значение термо-э.д.с. для данной номинальной статической характеристики преобразования, соответствующее значению рабочей температуры по ГОСТ 3044, мВ;
Uн - нормирующее значение по ГОСТ 3044, мВ.
Дополнительная погрешность равна наибольшему значению

.
Для выражения дополнительной погрешности в градусах Цельсия необходимо разность Uо - (Umin(max) + Ut) перевести в градусы Цельсия по ГОСТ 3044 для данной номинальной статической характеристики преобразования.
Измеряют сопротивление термочувствительного элемента после выдержки его в течение 30 мин при установленной температуре окружающего воздуха.
Расчетное значение сопротивлений термочувствительного элемента (Rmin(max), Ом, при установленной температуре окружающего воздуха следует определять по формуле
Rmin(max) = R0 min(max)·(1 + 0,00426t), (4)
где R0 min(max) - сопротивление термочувствительного элемента при 0 °C, Ом;
t - верхнее (нижнее) значение температуры, °C.
Допускается сопротивление термочувствительного элемента измерять методом сравнения с сопротивлением образцового термочувствительного элемента.
Прибор считают выдержавшим испытание, если он соответствует требованию
п. 2.6.10 и значение сопротивления термочувствительного элемента находится в пределах расчетных значений
Rmin и
Rmax.
3.16. Дополнительную погрешность, вызванную воздействием повышенной влажности
(п. 2.6.11), следует определять по
ГОСТ 12997.
Необходимость испытания приборов во включенном или выключенном состоянии должна быть установлена в ТУ на приборы конкретного типа.
3.17. Приборы группы исполнения Р2 на воздействие пониженного атмосферного давления
(п. 2.4) следует испытывать по
ГОСТ 12997.
Приборы группы исполнения Р1 испытаниям не подвергают.
3.18. Дополнительную погрешность приборов, вызванную изменением напряжения питания (
пп. 2.6.12,
2.9.1), следует определять как наибольшую разность показаний образцового прибора, полученную при номинальном, верхнем и нижнем предельных значениях напряжения питания, выраженную в процентах нормирующего значения.
3.19. Дополнительную погрешность приборов, вызванную влиянием внешнего магнитного поля
(п. 2.6.13), следует определять по
ГОСТ 12997.
3.20. Приборы на ферромагнитных щитах или основаниях
(п. 2.6.14) следует испытывать при установке приборов на соответствующие щиты и основания.
3.21. Дополнительную погрешность приборов, вызванную влиянием напряжения поперечной помехи
(п. 2.6.15), следует определять в последовательности, приведенной ниже.
Прибор подключают к образцовому источнику сигнала, по которому устанавливают такое значение измеряемой величины, при котором показания или выходной сигнал проверяемого прибора примет среднее значение.
К зажимам проверяемого прибора последовательно с образцовым источником сигнала подключают источник напряжения помехи, удовлетворяющий следующим требованиям:
входное напряжение источника помехи должно регулироваться по амплитуде, а максимальное значение его должно быть больше требуемого значения напряжения помехи для проверяемого прибора;
фазовый угол выходного напряжения должен регулироваться от 0° до 360°;
питание прибора и источника напряжения помехи должно осуществляться от одной и той же сети;
выходные цепи источника напряжения помехи должны быть изолированы от сетевого напряжения и от "Земли" разделительными трансформаторами так, чтобы подключение к зажимам проверяемого прибора любого из концов источника изменяло значение выходного сигнала не более чем на 0,2 значения предела допускаемой основной погрешности;
внутреннее сопротивление источника напряжения помехи не должно превышать 5 Ом.
Эффективное значение напряжения помехи устанавливают равным указанному в
п. 2.6.15.
Регулированием фазового угла находят положение, при котором изменения показания или выходного сигнала проверяемого прибора максимальны. При этих положениях определяют дополнительную погрешность прибора.
3.22. Дополнительную погрешность приборов, вызванную влиянием напряжения продольной помехи
(п. 2.6.16), следует определять в последовательности, приведенной ниже.
Прибор подключают к образцовому источнику сигнала, по которому устанавливают такое значение измеряемой величины, при котором показания или выходной сигнал проверяемого прибора примут среднее значение.
Между одним из зажимов измерительной цепи и корпусом прибора подключают источник напряжения помехи.
Эффективное значение напряжения помехи устанавливают равным указанному в
п. 2.6.16.
Регулированием фазового угла находят положение, при котором изменения показания или выходного сигнала проверяемого прибора максимальны. При этих положениях определяют дополнительную погрешность прибора.
Аналогично следует проводить проверку при подключении источника помехи между вторым зажимом измерительной цепи и корпусом прибора.
Источник напряжения продольной помехи должен соответствовать требованиям
п. 3.21.
3.23. Соответствие приборов требованиям
п. 2.9.2 следует определять по методике, установленной в ТУ на приборы конкретного типа.
3.24. Приборы в режиме допускаемых перегрузок (
пп. 2.19.1,
2.19.2) следует испытывать при соблюдении условий, приведенных в
п. 3.3, подачей входного сигнала, превышающего конечное значение диапазона измерений.
Для приборов, работающих в комплекте с термопреобразователями сопротивления, перед замыканием цепи первичного преобразователя указатель прибора следует установить на конечную, а перед разрывом цепи - на начальную отметку шкалы.
Длительность короткого замыкания или разрыва цепи первичного преобразователя по
п. 2.19.2 должна быть достаточной для того, чтобы указатель ударился об упор (ограничитель).
Длительность интервалов между повторными замыканиями или разрывами цепи должна быть достаточной для возвращения указателя к первоначальному положению.
После испытания на перегрузку и охлаждения до нормальной температуры приборы должны соответствовать требованиям
п. 2.6.4, а после повторной установки указателя на начальную отметку -
пп. 2.6.2,
2.6.3,
2.6.8.
3.25. Установившееся превышение температуры внутри приборов
(п. 2.19.3) необходимо определять с соблюдением следующих условий:
перед испытанием прибор должен не менее 2 ч находиться в помещении с постоянной температурой;
тепловое состояние всех элементов приборов должно быть установившееся, т.е. измеряемая температура должна изменяться не более чем на 1 °C в течение 15 мин.
Определяют сопротивление первичной обмотки трансформатора при начальной температуре и через 3 ч после включения верхнего рабочего значения напряжения питания.
Превышение температуры

, °C, определяют по формуле

, (5)
где t0 - начальная температура, °C;
Rt - сопротивление обмотки при температуре перегрева, Ом;
R0 - сопротивление обмотки при начальной температуре, Ом.
3.26. Испытания приборов на виброустойчивость, вибропрочность
(п. 2.5) следует проводить по
ГОСТ 12997.
3.26.1. Дополнительную погрешность, вызванную воздействием вибрационных нагрузок
(п. 2.6.17), следует определять во время испытания на виброустойчивость как разность показаний образцового прибора, полученных до воздействия вибрации и при воздействии вибрации, выраженную в процентах нормирующего значения.
Размах колебаний указателя следует определять визуально при воздействии вибрации отклонением указателя от проверяемой отметки.
3.26.2. Во время испытания на виброустойчивость приборы должны соответствовать требованию
п. 2.6.17.
После испытания на вибропрочность приборы должны соответствовать требованиям
пп. 2.6.2 -
2.6.4,
2.6.8.
3.27. Основную погрешность срабатывания регулирующего устройства
(п. 2.6.18) следует определять при соблюдении условий, приведенных в
п. 3.3, не менее чем на двух отметках в пределах области действия регулирующего устройства.
Указатель задачи регулирующего устройства устанавливают на проверяемую отметку шкалы и трижды плавно изменяют входной сигнал до момента срабатывания регулирующего устройства. При этом определяют действительное значение, соответствующее моменту срабатывания.
Среднее из трех полученных отсчетов сравнивают со значением, соответствующим отметке шкалы, на которую установлен указатель задачи.
За основную погрешность срабатывания регулирующего устройства принимают наибольшую из полученных разностей, вычисленную в процентах нормирующего значения.
3.28. Дополнительную погрешность срабатывания регулирующего устройства, вызванную изменением температуры окружающего воздуха
(п. 2.6.19), следует определять по
п. 3.14.
3.29. Дополнительную погрешность срабатывания регулирующего устройства, вызванную изменением напряжения питания
(п. 2.6.20), следует определять по
п. 3.18.
3.30. Значение зоны возврата регулирующего устройства
(п. 2.6.21) следует определять как отношение разности значений измеряемой величины при срабатывании и возврате регулирующего устройства к нормирующему значению.
3.31. Испытания регулирующих приборов
(п. 2.12) - по НТД.
3.32. Работоспособность приборов при воздействии на них индустриальных радиопомех
(п. 2.16) следует определять по ТУ на приборы конкретного типа.
После испытания внутри приборов не должна быть обнаружена пыль и приборы должны соответствовать требованиям
пп. 2.6.2 -
2.6.4,
2.6.8.
Приборы степени защиты от попадания воды IPX0 испытаниям не подвергают.
После испытания внутри приборов не должно быть следов воды, и приборы должны соответствовать требованиям
пп. 2.6.2 -
2.6.4,
2.6.8.
3.35. Испытания приборов взрывозащищенного исполнения с видом взрывозащиты "искробезопасная электрическая цепь"
(п. 2.15) следует проводить по ТУ на приборы конкретного типа в соответствии с
ГОСТ 22782.5.
3.37. Испытание приборов на климатические и механические воздействия, соответствующие условиям транспортирования
(п. 2.18), следует проводить по
ГОСТ 12997.
Время выдержки в камере тепла (холода) при заданной температуре должно быть не менее 6 ч.
Время выдержки в камере тепла и влаги при воздействии повышенной влажности должно быть не менее 6 ч.
После испытаний приборы должны нормально функционировать и соответствовать требованиям
пп. 2.6.2 -
2.6.4,
2.6.8,
2.11.
3.41. Приборы на надежность следует испытывать по
ГОСТ 27883 и ТУ на приборы конкретного типа.
Справочное
ПОКАЗАТЕЛЕЙ КАЧЕСТВА, ИСПОЛЬЗУЕМАЯ ПРИ РАЗРАБОТКЕ ТЗ И ТУ
НА ПРИБОРЫ КОНКРЕТНОГО ТИПА
Наименование показателя | Применяемость в НТД |
ТЗ на ОКР | ТУ |
1. ПОКАЗАТЕЛИ НАЗНАЧЕНИЯ |
1.1. | Класс точности и (или) предел допускаемого значения основной погрешности, % | + | + |
1.2. | Диапазон измерения, °C | + | + |
1.3. | Параметры входных цепей | + | + |
1.4. | Вариация, % | + | + |
1.5. | Время установления показаний, с | + | + |
1.6. | Длина шкалы, мм | - | + |
1.7. | Исполнение корпуса | + | + |
1.8. | Предел допускаемого значения дополнительной погрешности, вызванной изменением влияющих величин, % | + | + |
1.9. | Наличие дополнительных устройств | + | + |
1.10. | Рабочие условия применения по климатическим воздействиям | + | + |
1.11. | Рабочие условия применения по механическим воздействиям | + | + |
1.12. | Параметры питания | + | + |
1.13. | Габаритные и присоединительные размеры, мм | + | + |
2. ПОКАЗАТЕЛИ НАДЕЖНОСТИ |
2.1. | Средняя наработка на отказ, ч | + | + |
2.2. | Средний срок службы, лет | + | + |
2.3. | Среднее время восстановления работоспособного состояния, ч | + | + |
3. ПОКАЗАТЕЛИ ЭКОНОМНОГО ИСПОЛЬЗОВАНИЯ МАТЕРИАЛОВ И ЭНЕРГИИ |
3.1. | Масса прибора, кг | + | + |
3.2. | Потребляемая мощность, В·А | + | + |
4. ЭРГОНОМИЧЕСКИЙ ПОКАЗАТЕЛЬ |
| Единичный эргономический показатель качества | + | - |
5. ЭСТЕТИЧЕСКИЙ ПОКАЗАТЕЛЬ |
| Показатель функционально-конструктивной приспособленности | + | - |
6. ПОКАЗАТЕЛИ ТЕХНОЛОГИЧНОСТИ |
6.1. | Трудоемкость изготовления, нормо-ч | + | - |
6.2. | Технологическая себестоимость, руб. | + | - |
7. ПОКАЗАТЕЛИ ТРАНСПОРТАБЕЛЬНОСТИ |
7.1. | Устойчивость к транспортной тряске | + | + |
7.2. | Устойчивость к воздействию внешней среды при транспортировании | + | + |
8. ПОКАЗАТЕЛИ СТАНДАРТИЗАЦИИ И УНИФИКАЦИИ |
8.1. | Коэффициент применяемости, % | + | - |
8.2. | Коэффициент повторяемости, % | + | - |
9. ПОКАЗАТЕЛИ БЕЗОПАСНОСТИ |
9.1. | Электрическая прочность изоляции, кВ | + | + |
9.2. | Электрическое сопротивление изоляции, МОм | + | + |
Примечание. Знак "+" означает применяемость показателя, знак "-" - неприменяемость.