Главная // Актуальные документы // ГОСТ (Государственный стандарт)СПРАВКА
Источник публикации
М.: ИПК Издательство стандартов, 2002
Примечание к документу
Документ утратил силу с 1 января 1993 года в части технических тканей в связи с изданием Постановления Госстандарта СССР от 27.09.1991 N 1541 и Постановления Госстандарта СССР от 27.09.1991 N 1542. Взамен введены в действие
ГОСТ 29104.4-91 и
ГОСТ 29104.5-91 соответственно.
Документ включен в
Перечень международных и региональных (межгосударственных) стандартов, а в случае их отсутствия - национальных (государственных) стандартов, содержащих правила и методы исследований (испытаний) и измерений, в том числе правила отбора образцов, необходимые для применения и исполнения требований технического
регламента Таможенного союза "О безопасности упаковки" (ТР ТС 005/2011) и осуществления оценки соответствия объектов технического регулирования (
Решение Коллегии Евразийской экономической комиссии от 29.01.2024 N 9).
Документ включен в
пункты 125,
146,
161,
251,
428,
471,
511,
590,
630 Перечня документов в области стандартизации, содержащих правила и методы исследований (испытаний) и измерений, в том числе правила отбора образцов, необходимые для применения и исполнения требований технического
регламента Таможенного союза "О безопасности средств индивидуальной защиты" (ТР ТС 019/2011) и осуществления оценки соответствия объектов технического регулирования (
Решение Комиссии Таможенного союза от 09.12.2011 N 878).
Документ включен в
Перечень стандартов, содержащих правила и методы исследований (испытаний) и измерений, в том числе правила отбора образцов, необходимые для применения и исполнения требований технического
регламента Таможенного союза "О безопасности упаковки" (ТР ТС 005/2011) и осуществления оценки соответствия объектов технического регулирования (
Решение Комиссии Таможенного союза от 16.08.2011 N 769).
С 1 июля 2003 года до вступления в силу технических регламентов акты федеральных органов исполнительной власти в сфере технического регулирования носят рекомендательный характер и подлежат обязательному исполнению только в части, соответствующей целям, указанным в
пункте 1 статьи 46 Федерального закона от 27.12.2002 N 184-ФЗ.
Документ
введен в действие с 1 января 1973 года.
Взамен ГОСТ 3813-47.
Название документа
"ГОСТ 3813-72 (ИСО 5081-77, ИСО 5082-82). Межгосударственный стандарт. Материалы текстильные. Ткани и штучные изделия. Методы определения разрывных характеристик при растяжении"
(утв. и введен в действие Постановлением Госстандарта СССР от 01.03.1972 N 486)
(ред. от 01.06.1992)
"ГОСТ 3813-72 (ИСО 5081-77, ИСО 5082-82). Межгосударственный стандарт. Материалы текстильные. Ткани и штучные изделия. Методы определения разрывных характеристик при растяжении"
(утв. и введен в действие Постановлением Госстандарта СССР от 01.03.1972 N 486)
(ред. от 01.06.1992)
Утвержден и введен в действие
Постановлением Государственного комитета
стандартов Совета Министров СССР
от 1 марта 1972 г. N 486
МЕЖГОСУДАРСТВЕННЫЙ СТАНДАРТ
МАТЕРИАЛЫ ТЕКСТИЛЬНЫЕ. ТКАНИ И ШТУЧНЫЕ ИЗДЕЛИЯ
МЕТОДЫ ОПРЕДЕЛЕНИЯ РАЗРЫВНЫХ ХАРАКТЕРИСТИК ПРИ РАСТЯЖЕНИИ
Textile materials. Textile fabrics and piece-articles.
Methods for determination of brearing under tension
ГОСТ 3813-72
(ИСО 5081-77, ИСО 5082-82)
| | Список изменяющих документов (в ред. Изменения N 1, утв. в январе 1982 г., Изменения N 2, утв. в сентябре 1990 г., Изменения N 3, утв. в июне 1992 г., утв. Постановлением Госстандарта СССР от 27.09.1991 г. N 1541, утв. Постановлением Госстандарта СССР от 27.09.1991 N 1542) | |
Дата введения
1 января 1973 года
1. РАЗРАБОТАН И ВНЕСЕН Госкомлегпромом при Госплане СССР
2. УТВЕРЖДЕН И ВВЕДЕН В ДЕЙСТВИЕ Постановлением Государственного комитета стандартов Совета Министров СССР от 1 марта 1972 г. N 486
| | ИС МЕГАНОРМ: примечание. В официальном тексте документа, видимо, допущена опечатка: имеется в виду ГОСТ 3813-47, а не ГОСТ 3813-72. | |
3. ВЗАМЕН ГОСТ 3813-72
4. ССЫЛОЧНЫЕ НОРМАТИВНО-ТЕХНИЧЕСКИЕ ДОКУМЕНТЫ
Обозначение НТД, на который дана ссылка | Номер пункта |
| |
| |
5. Ограничение срока действия снято Постановлением Госстандарта России от 18 июня 1992 г.
6. ИЗДАНИЕ (октябрь 2001 г.) с Изменениями N 1, 2, 3, утвержденными в январе 1982 г., сентябре 1990 г., июне 1992 г. (ИУС 4-82, 12-90, 9-92)
Настоящий стандарт распространяется на суровые и готовые текстильные ткани и штучные изделия из волокон и нитей всех видов и устанавливает методы определения разрывной нагрузки, раздирающей нагрузки и удлинения при разрыве.
Термины, применяемые в настоящем стандарте, и пояснения к ним приведены в
приложении 2.
По согласованию изготовителя с потребителем разрывные характеристики определяют по ИСО 5081-77, ИСО 5082-82 (
приложения 5,
6).
(Измененная редакция, Изм. N 1, 3).
1.1. Отбор точечных и объединенных проб - по
ГОСТ 20566.
(Измененная редакция, Изм. N 1).
1.2. Определения разрывной нагрузки, удлинений при разрыве и раздирающей нагрузки тканей или штучных изделий должны проводиться в климатических условиях по
ГОСТ 10681.
Перед испытанием точечные пробы предварительно выдерживают в этих условиях в развернутом виде не менее 24 ч.
(Измененная редакция, Изм. N 1, 3).
2. ОПРЕДЕЛЕНИЕ РАЗРЫВНОЙ НАГРУЗКИ И УДЛИНЕНИЙ
2.1. Отбор и подготовка элементарных проб
2.1.1. Из каждой точечной пробы вырезают элементарные пробы в виде полосок: не менее пяти по основе и пяти по утку.
Элементарные пробы предварительно размечают так, чтобы одна элементарная проба не являлась продолжением другой. Продольные нити элементарной пробы должны быть параллельны соответствующим нитям основы или утка точечной пробы. Первую элементарную пробу в направлении основы размечают на расстоянии не менее 50 мм от кромки точечной пробы. Элементарные пробы в направлении утка размечают на расстоянии не менее 50 мм от края точечной пробы, распределяя их последовательно по длине. Схема раскроя элементарных проб приведена в
приложении 3.
Допускается элементарные пробы размечать по всей ширине точечной пробы.
(Измененная редакция, Изм. N 2).
2.1.2. Элементарные пробы тканей, у которых рисунок переплетения оказывает влияние на прочность, должны содержать равномерно расположенные узорчатые части.
2.1.3. Размеры элементарных проб и рабочие размеры элементарных проб должны соответствовать указанным в табл. 1.
Размеры элементарной пробы | Рабочие размеры элементарной пробы |
Ширина | Длина | Ширина | Зажимная длина |
- | 200 | - | 50 |
30 | - | 25 | - |
60 | 250 | 50 | 100 |
60 | 350 | 50 | 200 |
2.1.4. Рабочие размеры элементарных проб должны быть выбраны с учетом требований к конкретному ассортименту тканей и штучных изделий и их волокнистому составу.
2.1.5. При возникновении разногласий рабочие размеры элементарных проб должны быть:
50x200 мм - для всех тканей и штучных изделий, кроме чистошерстяных и полушерстяных;
50x100 мм - для чистошерстяных и полушерстяных тканей и штучных изделий.
2.1.6. Для получения рабочей ширины элементарной пробы нити продольных направлений удаляют с обеих сторон до тех пор, пока ширина, несущая нагрузку, не станет равной 25 или 50 мм.
2.1, 2.1.1 - 2.1.6. (Измененная редакция, Изм. N 1).
2.1.7. При подготовке элементарных проб из тканей или штучных изделий с осыпающимися крайними долевыми нитями пользуются одним из следующих методов:
а) элементарные пробы с легко осыпающимися крайними нитями вырезают шириной 50 или 80 мм. На элементарной пробе мягким карандашом отмечают рабочую ширину элементарной пробы и заправляют ее в зажимы разрывной машины. В середине каждой пробы делают надрезы перпендикулярно направлению растяжения до обозначенных линий. Обрезанные с обеих сторон нити отводят, кроме 2 - 4 нитей, граничащих с обозначенными линиями;
б) элементарные пробы с малоосыпающимися крайними долевыми нитями вырезают шириной, указанной в
табл. 1. Удаляют нити с обеих сторон по длине элементарной пробы, оставив по 2 - 4 нити с каждой стороны. В той части элементарной пробы, которая будет заправлена в верхний зажим, эти нити отводят и отрезают на расстоянии, примерно равном длине щечки зажима и дополнительно 25 - 30 мм. Подготовленную пробу заправляют в верхний зажим так, чтобы обрезанные нити не были зажаты. В нижний зажим заправляют другой конец пробы с оставленными нитями.
2.1.7. (Введен дополнительно, Изм. N 1).
2.2. Аппаратура и материалы
2.2.1. Для проведения испытания применяют:
разрывные машины, обеспечивающие:
постоянную скорость опускания нижнего зажима (маятникового типа), или постоянную скорость деформации, или постоянную скорость возрастания нагрузки;
относительную погрешность показаний разрывной нагрузки не более +/- 1% от измеряемой величины;
абсолютную погрешность показаний удлинения не более +/- 1 мм;
среднюю продолжительность разрыва, регулируемую в пределах от (30 +/- 15) до (60 +/- 15) с; с 01.01.93 среднюю продолжительность разрыва (30 +/- 5) с;
линейку измерительную, цена деления 1 мм;
секундомер;
иглы препаровальные;
пинцет;
шаблоны для раскроя проб;
ножницы.
(Измененная редакция, Изм. N 2).
2.2.2. При возникновении разногласий испытания проводят на разрывных машинах с постоянной скоростью опускания нижнего зажима (маятникового типа).
2.2; 2.2.1; 2.2.2. (Измененная редакция, Изм. N 1).
| | ИС МЕГАНОРМ: примечание. Текст приведен в соответствии с официальным текстом документа. | |
2.2; 2.3.1; 2.3.2. (Исключены, Изм. N 1).
2.4. Проведение испытаний
2.4.1. На разрывной машине устанавливают расстояние между зажимами в соответствии с
табл. 1 с погрешностью не более +/- 1 мм.
2.4.2. Шкала нагрузок разрывной машины должна подбираться так, чтобы средняя разрывная нагрузка испытываемой точечной пробы находилась в пределах от 20 до 80% максимального значения шкалы.
2.4.3. (Исключен, Изм. N 1).
2.4.4. Скорость опускания нижнего зажима разрывной машины определяется в соответствии с
приложением 1.
(Измененная редакция, Изм. N 2).
2.4.5. Элементарные пробы зажимают в зажимах разрывной машины с предварительным натяжением в зависимости от поверхностной плотности в соответствии с табл. 2.
Таблица 2
Поверхностная плотность, г/м2 | Предварительное напряжение, Н (кгс), при размерах элементарных проб |
(25x50) и (25x200) мм | (50x100) и (50x200) мм |
До 75 включ. | 0,98 (0,10) | 1,96 (0,20) |
Св. 75 до 500 включ. | 2,45 (0,25) | 4,90 (0,50) |
" 500 " 800 " | 4,90 (0,50) | 9,80 (1,00) |
" 800 " 1000 " | 9,80 (1,00) | 19,60 (2,00) |
" 1000 " 1500 " | 14,70 (1,50) | 29,40 (3,00) |
" 1500 " 2000 " | 19,60 (2,00) | 39,20 (4,00) |
" 2000 | 24,50 (2,50) | 49,00 (5,00) |
(Измененная редакция, Изм. N 1).
2.4.6. Для шелковых тканей или штучных изделий поверхностной плотностью до 300 г величину предварительного натяжения устанавливают 1,96 Н (0,2 кгс), а от 301 до 500 г включ. - 4,90 Н (0,5 кгс).
(Измененная редакция, Изм. N 1).
2.4.7. (Исключен, Изм. N 3).
2.4.8. При заправке элементарной пробы в зажимы разрывной машины один из ее концов пропускают в верхний зажим таким образом, чтобы ее края касались однозначных делений, нанесенных на щечках, и слегка зажимают зажим. После этого другой конец элементарной пробы заправляют в нижний зажим и дают предварительное натяжение. Ослабляют верхний зажим и под действием груза или механизма предварительного натяжения дают элементарной пробе немного опуститься и крепко зажимают сначала верхний, а затем нижний зажимы. После этого приводят в движение нижний зажим.
2.4.9. Во избежание проскальзывания или перекусывания элементарной пробы в зажимах разрывных машин допускается применять прокладки. При этом концы прокладок должны находиться на уровне плоскостей зажимов, ограничивающих зажимную длину элементарной пробы.
2.4.10. При разрыве элементарной пробы в зажиме или на расстояние 5 мм и менее от зажима испытание учитывают только в том случае, если результат его не менее минимальной нормы разрывной нагрузки, предусмотренной в действующей нормативно-технической документации на ткани и штучные изделия. В противном случае подвергают разрыву дополнительные элементарные пробы.
2.4.11. Показатели разрывной нагрузки и удлинения при разрыве снимают с соответствующих шкал разрывной машины после разрыва элементарной пробы.
2.4.12. При испытании тканей или штучных изделий из смешанных нитей показания шкал разрывной машины снимают в момент первого останова стрелки силоизмерителя.
2.4.13. (Исключен, Изм. N 3).
2.4.14. Если необходимо определить величину работы разрыва или величины промежуточных значений разрывной нагрузки и удлинения в процессе растяжения элементарной пробы, снимают диаграмму "нагрузка - удлинение".
Кривую "нагрузка - удлинение" снимают на самопишущем приборе.
2.5. Обработка результатов
2.5.1. За разрывную нагрузку точечной пробы принимают среднеарифметическое значение результатов всех измерений по основе или по утку. Вычисление производят с погрешностью до 0,0001 Н (0,01 кгс) и округляют до 0,001 Н (0,1 кгс).
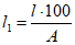
2.5.2. Удлинение l1, %, элементарной пробы при разрыве по основе или утку вычисляют по формуле

,
где l - удлинение при разрыве, мм;
A - зажимная длина элементарной пробы, мм.
За удлинение при разрыве точечной пробы принимают среднеарифметическое значение всех измерений по основе или утку.
Вычисление производят с погрешностью до 0,01% и округляют до 0,1%.
2.5; 2.5.1 - 2.5.2. (Измененная редакция, Изм. N 1).
2.5.3. (Исключен, Изм. N 3).
2.5.4. Численное значение работы разрыва пропорционально площади, находящейся под диаграммой "нагрузка - удлинение". Работу разрыва R, Н·см (кгс·см), или зависящие от нее показатели определяют по кривой "нагрузка - удлинение" методом планиметрирования площади под каждой кривой на участке от нулевой точки до разрывной нагрузки или вычисляют по формуле

,
где

- коэффициент полноты диаграммы;
P - разрывная нагрузка элементарной пробы, Н;
l - удлинение при разрыве элементарной пробы, см.
Вычисление производят с погрешностью до 0,0001 Н·см (0,01 кгс·см) и округляют до 0,001 Н·см (0,1 кгс·см).
(Измененная редакция, Изм. N 1).
2.5.5. За окончательный результат испытаний принимают среднеарифметическое значение испытаний по объединенной пробе.
2.5.5; 2.5.6. (Введены дополнительно, Изм. N 1).
3. ОПРЕДЕЛЕНИЕ РАЗДИРАЮЩЕЙ НАГРУЗКИ
3.1. Отбор и подготовка элементарных проб
3.1.1. Для определения раздирающей нагрузки от каждой точечной пробы отбирают элементарные пробы в виде полосок размером 70x200 мм: три по основе и четыре по утку.
Элементарные пробы вырезают так, чтобы поперечные или продольные нити одной пробы не являлись продолжением поперечных или продольных нитей другой пробы.
3.1; 3.1.1. (Измененная редакция, Изм. N 1).
3.1.2. Для определения раздирающей нагрузки по утку используют элементарные пробы, у которых нити утка расположены поперек пробы. Для определения раздирающей нагрузки по основе используют элементарные пробы, у которых нити основы расположены поперек пробы.
На каждой элементарной пробе делают продольный надрез по ее средней линии на длине около 120 мм для получения двух язычков (черт. 2).
--------------------------------
<*> Черт. 1. (Исключен, Изм. N 2).
(Введен дополнительно, Изм. N 1).
3.2. Аппаратура
3.2.1. Для проведения испытания применяют разрывную машину с переменной скоростью возрастания нагрузки и деформации (маятникового типа). Предельная нагрузка силоизмерителя не должна превышать 30-кратного значения результата испытания точечной пробы. Зажимы разрывной машины должны позволять зажать элементарную пробу шириной не менее 15 мм. Расстояние между зажимами должно находиться в пределах от 100 до 200 мм.
3.3; 3.3.1. (Исключены, Изм. N 1).
3.4. Проведение испытаний
3.4.1. При заправке в зажимы разрывной машины элементарную пробу складывают пополам по ширине, а затем закрепляют в зажимах, как указано на
черт. 2, без перекручивания "язычков".
Раздирание элементарной пробы проводят на длине 50 мм, не доводя до полного разделения элементарной пробы на две части.
Раздирающей нагрузкой элементарной пробы считают показание прибора после окончания процесса раздирания.
3.4.2. Если при испытании у элементарных проб происходит разрыв "язычка", а не раздирание, значение раздирающей нагрузки для данной элементарной пробы принимают равным норме стандарта, и о разрыве "язычка" делают соответствующую пометку в записях результатов испытаний.
3.4.3. Скорость опускания нижнего зажима разрывной машины устанавливают ту же, что и при определении разрывной нагрузки элементарной пробы. У разрывных машин, применяемых для пряжи, но используемых для испытаний на раздирание элементарных проб ткани и штучных изделий, скорость опускания нижнего зажима устанавливают 80 - 120 мм/мин.
3.5. Обработка результатов
3.5.1. За раздирающую нагрузку точечной пробы принимают среднеарифметическое результатов всех испытаний элементарных проб одного направления. Отсчеты по шкале нагрузок разрывной машины производят с погрешностью до 0,98 Н (0,1 кгс).
Вычисление производят с погрешностью до 0,001 Н (0,01 кгс) и округляют до 0,01 Н (0,1 кгс).
(Измененная редакция, Изм. N 1).
Справочное
МЕТОД ОПРЕДЕЛЕНИЯ СКОРОСТИ НИЖНЕГО ЗАЖИМА РАЗРЫВНЫХ МАШИН
Для определения разрывной нагрузки и удлинений тканей или штучных изделий на машинах маятникового типа необходимо вычислить скорость опускания нижнего зажима Vн, мм/мин, по формуле
где P - разрывная нагрузка ткани или штучного изделия по соответствующим стандартам или техническим условиям, Н;

- коэффициент нагружения или пропорциональности, Н/мм.
Коэффициент нагружения является коэффициент пропорциональной зависимости и определяет нагрузку в килограмм-силах, необходимую для перемещения верхнего зажима на 1 мм;
t - продолжительность процесса растяжения ткани или штучных изделий до разрыва, с;
l - удлинение ткани или штучного изделия, мм, вычисляют по формуле

,
где l1 - удлинение ткани или штучного изделия по соответствующим стандартам или техническим условиям, %;
A - расстояние между зажимами разрывной машины, мм.
Для тканей или штучных изделий, не имеющих норм разрывной нагрузки и удлинения, за норму принимают средние фактические данные, полученные при испытании трех элементарных проб.
Для нахождения числового значения коэффициента пропорциональности для машин РТ-250 следует отвести грузовой рычаг в положение, соответствующее максимальной разрывной нагрузки той шкалы, по которой должны проводиться испытания, и при данном положении грузового рычага измеряют величину перемещения верхнего зажима в миллиметрах.
После опускания зажимов вниз числовое значение коэффициента

, Н/мм, вычисляют по Формуле

,
где Pmax - максимальное значение шкалы разрывной нагрузки на машине, кгс;
Sв - путь перемещения верхнего зажима, мм.
Расчетный коэффициент пропорциональности должен быть указан в паспорте каждой вновь выпускаемой разрывной машины.
После вычисления скорости опускания нижнего зажима устанавливают регулятор скоростей в соответствующее положение и проверяют фактическую скорость нижнего зажима при помощи секундомера.
(Измененная редакция, Изм. N 2).
Справочное
ПРИМЕНЯЕМЫЕ В НАСТОЯЩЕМ СТАНДАРТЕ, И ПОЯСНЕНИЯ К НИМ
Термин | Пояснение |
Разрывная нагрузка | Максимальная сила, измеренная при испытании элементарной пробы на растяжение до разрыва |
Абсолютное удлинение при растяжении | Разница между длиной элементарной пробы в любой момент испытания и зажимной длиной |
Удлинение при разрыве | Отношение абсолютного удлинения элементарной пробы при растяжении к зажимной длине |
Предварительная нагрузка | Сила, действующая на испытуемую элементарную пробу перед ее зажатием и обеспечивающая равномерное натяжение по ширине до растяжения |
Зажимная длина | Длина предварительно нагруженной элементарной пробы между зажимами разрывной машины в исходном положении |
Раздирающая нагрузка | Максимальная сила, измеренная при испытании элементарной пробы на раздирание |
Работа разрыва | Работа, затрачиваемая на разрыв элементарной пробы при растяжении. |
(Введено дополнительно, Изм. N 1).
Справочное
Протокол испытания должен содержать следующие данные:
место проведения испытания;
данные, характеризующие партию тканей или штучных изделий;
принцип действия разрывной машины;
зажимную длину;
среднюю разрывную нагрузку;
количество испытаний;
подпись лица, проводившего испытания;
дату испытания.
(Введено дополнительно, Изм. N 1).
Рекомендуемое
СХЕМА РАСКРОЯ ЭЛЕМЕНТАРНЫХ ПРОБ
у1, у2, у3, у4, у5 - уточные элементарные пробы; о1, о2, о3,
о4, о5 - основные элементарные пробы; к - полоски ткани
с кромкой; b - ширина ткани; l - длина точечной пробы,
зависящая от зажимной длины элементарной пробы
(Введено дополнительно, Изм. N 2).
Обязательное
ИСО 5081 "МАТЕРИАЛЫ ТЕКСТИЛЬНЫЕ. ТКАНИ. ОПРЕДЕЛЕНИЕ
ПРОЧНОСТИ НА РАЗРЫВ И УДЛИНЕНИЯ МЕТОДОМ ПОЛОСКИ
1. Назначение и область применения
1.1. Данный международный стандарт описывает метод, известный как метод испытания полоской, служащий для определения прочности на разрыв и удлинение при разрыве тканых текстильных материалов (за исключением тканых эластичных материалов).
1.2. Метод распространяется на непропитанные ткани и ткани, обработанные шлихтой или другими видами отделок, придающими материалам жесткость. Не распространяется на ткани, покрытые резиной или пластиками.
1.3. Метод применяется для определения разрывной нагрузки и удлинения при разрыве элементарных проб, находящихся в стандартных климатических условиях для испытаний и испытаний элементарных проб в мокром состоянии.
1.4. Метод позволяет использовать следующие типы испытательных машин из числа обычно применяемых для определения прочности на разрыв и удлинение тканей и обеспечивающих:
постоянную скорость растяжения полоски (CRE) (
п. 5 и приложение A,
п. A.1);
постоянную скорость перемещения (CRT) (
п. 5 и приложение A,
п. A.2);
постоянную скорость нагрузки (CRL) (
п. 5 и приложение A,
п. A.3).
Три типа испытательной машины необязательно дают одни и те же результаты для одной и той же ткани. Тип применяемого испытательного прибора должен согласоваться между всеми заинтересованными в результатах сторонами. Прочности на разрыв, полученные на различных типах испытательного прибора, согласуются лучше, когда время разрыва является одним и тем же. Метод служит для проведения испытания при определенном времени разрыва
(п. 4.2), а скорости растяжения, перемещения или нагружения не регламентируются.
Примечание. При одинаковом времени разрыва наибольшее соответствие между результатами было достигнуто на приборах типов CRE и CRT, но результаты, полученные на приборе типа CRL, имели иногда некоторое отличие.
ИСО 139 <*>
(ГОСТ 10681-75) "Материалы текстильные. Стандартные климатические условия для кондиционирования и испытаний".
--------------------------------
<*> Допускается применение государственных стандартов до введения международных стандартов в качестве государственного стандарта.
Для данного международного стандарта применяются следующие определения
3.1. Разрывная нагрузка - максимальное растягивающее усилие, отмеченное во время испытания, в момент разрыва элементарной пробы.
3.2. Удлинение (растяжение) - увеличение длины элементарной пробы во время испытания, выраженное в сантиметрах, миллиметрах.
3.3. Удлинение - увеличение длины элементарной пробы во время испытания при разрыве, выраженное в процентах от зажимной длины.
3.4. Удлинение при разрыве - удлинение, вызываемое разрывной силой (например, максимальной силой, сообщаемой во время определения прочности на разрыв).
3.5. Зажимная длина - длина элементарной пробы при предварительном натяжении, измеренная между зажимами держателей в исходном положении.
3.6. Метод испытания полоской - определение прочности на разрыв, в котором полная ширина элементарной пробы закрепляется зажимами.
3.7. Время разрыва - интервал времени, измеренный в секундах, в течение которого элементарная проба находится под нагрузкой.
Примечание. Время разрыва не включает времени, требующегося для снятия слабины с элементарной пробы на машинах, снабженных автографическим записывающим устройством. Время разрыва определяется временем, после того как пишущее устройство зарегистрирует первоначальную силу, выдерживаемую полоской до тех пор, пока пишущее устройство не зарегистрирует максимальную силу.
4.1. Прочность на разрыв и удлинение
Возрастающая сила сообщается соответствующим механическим устройством, при этом регистрируется максимальная сила и удлинение при разрыве. Испытательная машина приводится в действие с такой скоростью, чтобы среднее время разрыва группы образцов находилось в пределах установленного времени. В случае сообщения нормированной нагрузки регистрируется удлинение элементарной пробы или, наоборот, усилие при заданном удлинении.
Если у сторон, заинтересованных в результатах измерений, нет других требований, то установленный период для среднего времени разрыва должен составлять (30 +/- 5) или (20 +/- 3) с.
5.1. Машина для испытаний на растяжение должна отвечать следующим требованиям
5.1.1. Тип
Тип машины должен удовлетворять одному из методов, описанных в
приложении A, что должно быть согласовано с заинтересованными сторонами.
5.1.2. Требования к машине
Машина для испытаний на разрыв должна включать два зажима для закрепления элементарной пробы, устройство для растяжения пробы с соответствующей скоростью и механизм регистрации, который будет показывать (или записывать) силу, сообщаемую элементарной пробе, и соответствующее удлинение.
Для определения удлинения при фиксированной силе требуется автографическое записывающее устройство.
5.1.3. Прочность записывающего устройства
Записывающее устройство должно иметь быструю скорость реакции, чтобы точно записать наиболее крутую часть кривой силы/удлинения. Максимальная ошибка при регистрации приложенного к элементарной пробе усилия не должна превышать 1%. Ошибка в величине удлинения не должна превышать 1 мм. Перед испытанием необходимо проверить точность градуированной шкалы прибора.
5.1.4. Зажимная длина
Испытательная машина должна обладать способностью зажимать элементарную пробу, которая имеет номинальную длину 200 мм, или в случае тканей, которые имеют удлинение при разрыве более 75%, 100 мм.
5.1.5. Зажимы
Центральные точки обоих зажимов машины должны быть на одной вертикальной линии, передние грани должны находиться под прямыми углами к той линии и их зажимающие поверхности должны располагаться так, чтобы края полосок располагались в одной плоскости. Губки зажимов должны держать полоски без скольжения и повреждений, иметь захватывающие фаски шириной не менее 60 м. Захватывающие фаски зажимов должны быть гладкими и плоскими, или могут использовать рифленые поверхности. В качестве прокладок могут использовать бумагу, фетр, кожу, пластик и листовую резину.
5.1.6. Скорость работы машины
Испытательные машины должны включать устройства для обеспечения различных скоростей растяжения, если нет другой договоренности, (30 +/- 5) с или (20 +/- 3) с.
Различные скорости могут быть достигнуты с помощью вариатора скоростей, но удовлетворительные результаты достигаются с помощью последовательной регулировки привода при условии, что ступени достаточно малы. Отношение между скоростями при переключении на следующую передачу не должно превышать величину 125 - 100.
5.2. Емкость с водой, в которую погружают элементарные пробы перед испытаниями в мокром состоянии.
5.3. Шаблоны для раскроя проб.
5.4. Секундомер или таймер.
5.5. Дистиллированная вода для замачивания проб.
5.6. Смачиватели или неионогенные поверхностно-активные вещества.
6.1. Стандартные климатические условия для испытаний
Стандартные климатические условия для испытаний - температура (20 +/- 2) °C, относительная влажность (65 +/- 2)%. В районах с тропическим климатом - температура (27 +/- 2) °C при такой же относительной влажности.
6.2. Климатические условия для предварительного кондиционирования
Климатические условия И метод для предварительного кондиционирования описаны в международном стандарте ИСО 139
(ГОСТ 10681-75).
Примечание. Воздух при температуре 20 °C и при 65% относительной влажности имеет давление водяного пара 1515 Па и при нагревании до (47 +/- 2) °C относительная влажность в нем составит 12,3 - 16,7%. Воздух при максимальном допустимом пределе 22 °C и 67% относительной влажности имеет давление пара порядка 1700 Па и при нагревании до 50 °C его относительная влажность лежит в пределах от 13,4 до 19,4%. Если требуется, чтобы относительная влажность была менее 10%, а температура не превышала 50 °C, то исходный воздух должен иметь давление водяного пара менее 1230 Па (что соответствует 53% относительной влажности при 27 °C).
7.1. Точечные пробы для лабораторных испытаний отбирают следующими способами:
а) согласно указаниям, приведенным в соответствующем описании заказчика;
б) в соответствии с методами, указанными в международных стандартах для текстильных материалов;
7.2. Точечные пробы кондиционируют следующим способом.
7.2.1. За исключением случаев с чувствительными к теплу материалами точечные пробы должны быть предварительно кондиционированы в течение 12 ч согласно
п. 6.2.
7.2.2. После предварительного кондиционирования (в том случае, если оно требуется) точечные пробы выдерживают в течение 24 ч (48 ч пробы с плотным переплетением) в стандартных климатических условиях согласно
п. 6.1.
8. Элементарные пробы (полоски) для испытаний
8.1. Общая часть
Из каждой точечной пробы вырезают две группы элементарных проб для испытаний, одна в направлении основы, другая в направлении утка. При отсутствии специального соглашения между сторонами, заинтересованными в результатах испытаний, каждая группа должна содержать по меньшей мере 5 полосок. В том числе, когда требуется более высокая ступень точности, тогда число полосок соответственно возрастает. Элементарные пробы должны полностью характеризовать точечную пробу. Две полоски не должны содержать одни и те же продольные нити, а полоски, взятые по основе, должны вырезаться таким образом, что их расстояние от кромки было не менее 1/10 ширины точечной пробы. Пример раскроя элементарных проб для испытаний, удовлетворяющий вышеуказанным условиям, представлен на чертеже
приложения C. Дополнительные полоски могут быть использованы для установления времени до разрыва на разрывной машине. Все полоски нарезают и испытывают в стандартных климатических условиях для испытаний.
Ширина каждой полоски для испытаний должна быть 50 мм без кромок, а длина должна обеспечивать номинальную длину между зажимами - 200 мм, за исключением тканей, удлинение при разрыве которых более 75%. У таких тканей эта зажимная длина может быть уменьшена до 100 мм. Полоски шириной более 50 мм могут испытываться при соответствующей отметке в специальной спецификации материала или наличии договоренности сторон. Для разреженных тканей, содержащих полностью несколько нитей на сантиметр ширины, ширина полоски должна быть такой, чтобы включала не менее 20 нитей. В результатах испытаний этот момент должен быть отмечен.
8.3. Приготовление элементарных проб
Каждая элементарная проба должна вырезаться таким образом, чтобы ее длина была параллельна основным или уточным нитям ткани ее ширина должна быть достаточной для того, чтобы обеспечить необходимую рабочую ширину полоски. С каждого продольного края полоски необходимо удалить приблизительно одинаковое число нитей до тех пор, пока ширина ее не будет соответствовать значению, указанному в
п. 8.2. Ширина бахромы должна быть такой, чтобы в процессе испытаний продольные нити не выбивались за бахрому. В большинстве случаев бахрома с 15 нитями (5 мм) будет вполне достаточной.
У тканей, которые не могут быть приготовлены подобным способом, полоски, вырезанные по утку и основе, должны иметь бахрому шириной 50 мм, параллельную направлению нитей.
8.4. Элементарные пробы (полоски) для испытания в мокром состоянии
8.4.1. Когда требуется определить разрывную нагрузку ткани в мокром состоянии, наряду с прочностью в сухом состоянии нарезают полоски соответствующей ширины и длины, вдвое превышающей длину полоски, необходимой для испытаний в сухом состоянии. Каждая полоска разрезается поперек на две части - одна для определения прочности на разрыв в сухом состоянии, а другая для определения прочности на разрыв в мокром состоянии. Каждая пара полосок содержит одни и те же продольные нити. У тканей, которые при смачивании сильно садятся, начальная длина полосок для определения разрывной нагрузки в мокром состоянии должна быть больше, чем у полоски для определения разрывной нагрузки в сухом состоянии.
8.4.2. Элементарные пробы (полоски) для испытания в мокром состоянии поместить на поверхность дистиллированной или деионизированной воды при температуре 18 - 30 °C и подождать, пока они не погрузятся под собственным весом, но если период погружения превышает 2 ч, то их следует погрузить в раствор и выдерживать в течение 1 ч до полного смачивания полосок. Для плохо смачиваемых элементарных проб вместо воды может быть использован водный раствор, содержащий не более 1 г/л неионного смачивателя.
9.1. Контроль аппаратуры
Проверить аппаратуру для того, чтобы погрешность расстояния между зажимами не превышала 1 мм. Убедиться, что зажимы правильно установлены и при приложении силы не произойдет углового смещения. Убедиться, что климатическое условие, в котором проводят испытания, соответствует норме и что самописец исправлен.
9.2. Заправка элементарных проб
Заправьте элементарную пробу в машину для испытаний по центру таким образом, чтобы продольная ось полоски находилась под прямым углом к краям зажимов при предварительном натяжении
(п. 9.3). Кроме того, следите за тем, чтобы линия натяжения элементарной пробы совпадала с соответствующей стороной ребра каждого из двух зажимов. При испытании элементарной пробы в мокром состоянии их заправляют в зажимы непосредственно после того как они вынуты из воды.
9.3. Предварительное натяжение
9.3.1. Если нет необходимости в более низком натяжении, то пользуются одним из следующих условий:
а) натяжение, равное (1 +/- 0,25)% от предполагаемой прочности на разрыв;
б) натяжение, указанное в табл. 1, в зависимости от поверхностной плотности ткани.
Таблица 1
Предварительное натяжение элементарных проб
Поверхностная плотность, г/см2 | Предварительное натяжение, Н |
До 150 включ. | 2 |
От 150 " 500 " | 5 |
Более 500 | 10 |
9.3.2. Если при натяжении, указанном в
п. 9.3.1, элементарные пробы удлиняются более чем на 0,5%, то используют более низкое натяжение, которое согласовывается между всеми сторонами, заинтересованными в результатах.
Примечание. Если из-за конструкции машины для испытаний или по другим причинам предварительное натяжение приложить невозможно, это должно быть указано в результатах испытаний.
9.4. Предварительные испытания
Используйте дополнительную полоску и после предварительного натяжения (если оно требуется) приведите в движение зажимы со скоростью, которая обеспечивает среднее время разрыва.
При испытании полосок в мокром состоянии необходимо, чтобы испытание закончилось не позднее чем через 120 с после удаления пробы из воды.
После того, как полоска разорвана, зафиксируйте:
а) максимальную силу разрыва;
б) удлинение при разрыве;
в) время разрыва.
Возвратите подвижный зажим в исходное положение, удалите концы разорванной полоски и повторите весь процесс на двух других полосках.
Если среднее время до разрыва в трех первых предварительных испытаниях не соответствует установленным пределам (20 +/- 3) с или (30 +/- 5) с, то, используя другую скорость движения подвижного зажима, повторите описанный выше процесс. Продолжайте проводить работу до тех пор, пока среднее время до разрыва не окажется в допустимых пределах.
9.5. Заключительные испытания
9.5.1. Используя установленную рабочую скорость, проведите испытание требуемого числа элементарных проб. В каждом случае регистрируйте максимальную силу и удлинение при разрыве.
9.5.2. Следует отбросить результаты, полученные из элементарных проб, если они проскальзывали в зажиме или обрывались в зажиме на расстоянии менее 5 мм от него, а также если есть основание полагать, что машина работает неправильно. Во всех других случаях регистрируйте полученные результаты при условии, что разрывная нагрузка не ниже, чем наименьший результат, или что удлинение при разрыве не выше, чем наибольший результат, полученный у полосок из того же куска, которые разрывались нормально.
Если какие-либо результаты не засчитываются, то подвергают разрыву дополнительные элементарные пробы, взятые из той же партии.
10. Обработка результатов
10.1. Единицы физических величин
Разрывная нагрузка выражается в ньютонах.
Удлинение регистрируется в миллиметрах.
10.2. Вычисление средних значений разрывной нагрузки и разрывного удлинения
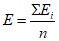
Для каждой группы элементарных проб, испытанных в направлении утка и основы ткани, вычислить отдельно следующие параметры:
а) средняя разрывная нагрузка

, Н, по формуле

,
где

- сумма значений разрывной нагрузки, Н;
n - число испытаний.
Средние значения разрывной нагрузки должны быть вычислены с точностью до 1%.
б) удлинение при разрыве Ei, %, отдельных элементарных проб по формуле

,
где

- регистрируемое разрывное удлинение, мм;
L - зажимная длина элементарной пробы, мм;
| | ИС МЕГАНОРМ: примечание. Нумерация пунктов дана в соответствии с официальным текстом документа. | |
c) среднее удлинение при разрыве E, %, по формуле

,
где

- сумма вычисленных значений удлинения при разрыве, %;
n - число испытаний.
Округлите среднее значение удлинения при разрыве с точностью до 0,2%, если среднее значение удлинения не превышает 10%, до 0,5%, если оно превышает 10%, но ниже 50%, до 1%, если оно равно 50% и более.
Протокол испытаний должен содержать следующие данные:
указать, что испытания проводились в соответствии с настоящим международным стандартом:
а) дату проведения испытаний;
б) значение разрывной нагрузки для каждой элементарной пробы и среднее значение для точечной пробы в направлении утка или основы в ньютонах;
в) значение удлинения при разрыве для каждой элементарной пробы и среднее значение для точечной пробы в направлении утка или основы в процентах;
г) время разрыва (20 +/- 3) с или (30 +/- 5) с;
д) схему отбора точечных проб;
е) число элементарных проб, взятых из точечной пробы;
ж) ширину и зажимную длину элементарных проб;
з) тип и мощность разрывной машины;
и) детальное описание любого вида отклонений от стандартизованного метода испытаний;
к) вид испытаний (в кондиционированном или мокром состоянии).
A.1. Машины с постоянной скоростью растяжения элементарной пробы
A.1.1. Принцип действия
Элементарная проба удлиняется с заранее установленной постоянной скоростью, при которой среднее время до разрыва находится в заданных пределах.
A.1.2. Машина для испытания
Машина для испытания с постоянной скоростью растяжения элементарной пробы должна удовлетворять требованиям, приведенным в
п. 5.
После первых 2 с работы скорость увеличения расстояния между зажимами должна быть постоянной, с точностью до 5%. Машина для испытания должна иметь возможность работать на различных постоянных скоростях растяжения, чтобы независимо от степени удлинения элементарная проба растягивалась до разрыва за определенный промежуток времени.
A.2. Машина для испытания с постоянной скоростью движения зажимов (машина, в которой нагрузка создается маятником или пружиной)
A.2.1. Принцип действия
На точечную пробу действует возрастающее во времени усилие, создаваемое движущимся зажимом с постоянной скоростью, которое обеспечивает среднюю величину времени разрыва в указанном интервале.
A.2.2. Машина для испытания
Машина для испытания с постоянной скоростью движения зажима, имеющая маятник или пружину в качестве механизма нагрузки, должна работать на различных постоянных скоростях движения зажима таким образом, чтобы независимо от прочности элементарной пробы точка разрыва достигалась в течение заданного времени.
A.3. Машина для испытания с постоянной скоростью нагружения
A.3.1. Принцип действия
На элементарную пробу действует сила, которая возрастает с постоянной скоростью, обеспечивая среднюю величину времени разрыва в установленных пределах.
A.3.2. Машина для испытаний
Машина для испытаний с постоянной скоростью нагружения должна соответствовать требованиям, приведенным в
п. 5.
После первых 2 с испытаний скорость увеличения силы в единицу времени будет постоянной, с погрешностью не более 10%.
Уровень величины задаваемой постоянной нагрузки регулируется и независимо от прочности полоски, точечная проба может быть разорвана за определенный промежуток времени.
ПРЕДЛАГАЕМЫЙ МЕТОД ОТБОРА ПРОБ
B.1. Отбор кусков ткани
Из партии ткани отбирают соответствующее число кусков ткани в соответствии с табл. 2. Следите за тем, чтобы куски ткани, имеющие следы повреждения или намокшие при перевозке, не попали в выборку.
Таблица 2
Число кусков в партии | Число кусков, из которых берут точечные пробы (минимум) |
3 или менее | 1 |
От 4 до 10 | 2 |
" 11 " 30 | 3 |
" 31 " 75 | 4 |
" 76 и более | 5 |
B.2. Отбор точечных проб
Из каждого куска вырезают (из произвольно взятого участка, но не менее 3 м от края куска) точечную пробу длиной не менее 1 м и по всей ширине. Убедитесь, что точечная проба не включает измятые участки или другие видимые дефекты. Каждую точечную пробу сверните в трубку.
СХЕМА РАСКРОЯ ЭЛЕМЕНТАРНЫХ ПРОБ
W1 - W5 - элементарные пробы по основе; F1 - F5 -
элементарные пробы по утку; d - расстояние от кромки
до элементарной пробы не менее 1/10 ширины ткани; l - длина
точечной пробы; 1 - ширина элементарной пробы;
2 - длина элементарной пробы
Обязательное
ИСО 5082 "МАТЕРИАЛЫ ТЕКСТИЛЬНЫЕ. ТКАНИ. ОПРЕДЕЛЕНИЕ
ПРОЧНОСТИ НА РАЗРЫВ ПОСРЕДСТВОМ ЗАХВАТА ("ГРЭБ"-МЕТОД)"
1. Назначение и область применения
1.1. Данный международный стандарт описывает метод определения прочности на разрыв посредством захвата текстильных материалов.
Примечание. Метод определения прочности на разрыв посредством закрепления полоски ткани в зажимах динамометра описан в стандарте ИСО 5081
(приложение 5). При этом следует отметить, что нет одинаковых результатов испытаний при сравнении этих двух методов, поскольку они зависят от типа выработки, фактуры, подвижности нитей и других факторов.
1.2. Данный метод применяется для непропитанных тканей или тканей, пропитанных шлихтовальными или придающими жесткость материалами, кроме тканей, покрытых резиной или пластичными материалами.
1.3. Метод применим для определения прочности на разрыв элементарных проб, находящихся в равновесии со стандартными атмосферными условиями, и элементарных проб в мокром состоянии.
1.4. Метод позволяет использовать следующие типы испытательных машин из числа обычно применяемых для определения прочности на разрыв тканей:
с постоянной скоростью растяжения пробы (ПСР) (
п. 5 и приложение A,
п. A.1);
с постоянной скоростью перемещения (ПСС) (
п. 5 и приложение A,
п. A.2);
с постоянной скоростью нагрузки (ПСН) (
п. 5 и приложение A,
п. A.3).
При использовании этих трех типов машин на одной и той же ткани не получатся одинаковые результаты. Поэтому тип испытательной машины должен быть согласован со всеми заинтересованными в результатах испытания сторонами и должен быть указан. Известно, что значения величин согласуются лучше, когда время разрыва является одним и тем же, а скорость растяжения, перемещения и нагружения не регламентируется.
Примечание. При одном и том же времени разрыва идентичные результаты испытаний получают с применением машины типов ПСР и ПСС, в то время как результаты, полученные с использованием приборов типа ПСН, имеют иногда некоторое отличие.
ИСО 139 <*>
(ГОСТ 10681-75) "Ткани. Стандартные климатические условия для кондиционирования и испытаний".
--------------------------------
<*> Допускается применение государственных стандартов до введения международных стандартов в качестве государственного стандарта.
Для данного международного стандарта применяются следующие определения.
3.1. Разрывная нагрузка - максимальное усилие, отмеченное во время испытания, в момент разрыва элементарной пробы.
3.2. Метод испытания "грэб" - метод определения разрывной нагрузки, в котором только центральная часть элементарной пробы захватывается зажимами.
3.3. Зажимная длина - длина элементарной пробы в ненагруженном состоянии, измеренная между зажимами разрывной машины в исходном положении.
3.4. Время разрыва - интервал времени, в течение которого элементарная проба находится под нагрузкой.
Примечание. Время разрыва не включает времени, необходимого для того, чтобы устранить слабину элементарной пробы. На механизмах, у которых предусмотрена графическая регистрация, под временем разрыва понимается время, прошедшее с момента, когда перо отметило начальную силу, приложенную к элементарной пробе, до момента регистрации максимальной силы.
4.1. Прочность на разрыв
Возрастающая сила сообщается соответствующим механическим устройством, при этом регистрируется максимальное усилие, при котором наступает разрыв. Скорость действия машины выбирается такой, чтобы среднее время разрыва для группы элементарных проб находилось в пределах установленного времени.
4.2. Время разрыва
Если у сторон, заинтересованных в результатах измерений, нет других предложений, то установленный период для среднего времени разрыва должен составлять (30 +/- 5) с или (20 +/- 3) с.
5.1. Машины для создания нагрузки при испытаниях должны удовлетворять следующим требованиям.
5.1.1. Тип
Тип машины должен соответствовать одному из тех, которые описаны в
приложении A, что должно быть согласовано сторонами, заинтересованными в результатах испытаний.
5.1.2. Требования к машинам
Машины для создания нагрузки должны иметь 2 зажима, пригодных для закрепления элементарной пробы, возможность непрерывной регистрации величины силы, приложенной к элементарной пробе.
5.1.3. Точность записывающего устройства
Чувствительность записывающего устройства должна быть достаточной для того, чтобы максимальная ошибка при записи приложенного к образцу усилия не превышала 1%. Перед испытанием проверьте в работе точность градуировочной шкалы прибора.
5.1.4. Машина для испытания должна быть пригодной для испытания элементарных проб, имеющих номинальную длину 75 мм.
5.1.5. Центральные точки обоих зажимов должны находиться на одной вертикальной линии, передние грани должны составлять прямой угол к этой линии и их зажимающие поверхности должны располагаться так, чтобы края элементарных проб располагались в одной плоскости. Губки зажимов должны обеспечивать удержание элементарных проб без скольжения и без механических повреждений.
Размер одной поверхности каждого зажима должен составлять 25x25 мм, а размер второй поверхности должен быть больше первой. Поверхности зажимов должны быть гладкими и ровными, однако, когда зажимы с гладкой поверхностью не могут обеспечить удовлетворительный захват элементарной пробы, могут использоваться зажимы с рифлеными поверхностями. (В качестве прокладок может использоваться бумага, войлок, кожа, пластик и резина).
5.1.6. Скорость работы машины
Испытательные машины должны иметь возможность работать с такой скоростью, которая обеспечивала бы разрушение образца, если нет другой договоренности за (20 +/- 3) с или (30 +/- 5) с. Различные скорости легко могут быть получены посредством использования непрерывной скорости подачи, но более удовлетворительные результаты получаются с использованием интервалов скоростей, при этом он должен быть достаточно мал. Соотношение между скоростями не должно превышать 125:100.
5.2. Емкость с водой, в которую погружают элементарные пробы перед испытаниями в мокром состоянии.
5.3. Шаблоны для раскроя проб.
5.4. Секундомер.
5.5. Дистиллированная вода для замачивания проб.
5.6. Смачиватели или неионогенные поверхностно-активные вещества.
6. Климатические условия для испытаний
6.1. Стандартные климатические условия для испытаний
Стандартные климатические условия для испытаний должны иметь относительную влажность (65 +/- 2)% при температуре (20 +/- 2) °C. В районах с тропическим климатом может быть использована та же относительная влажность при температуре (27 +/- 2) °C.
6.2. Климатические условия для предварительного кондиционирования
Климатические условия и метод для предварительного кондиционирования описаны в международном стандарте ИСО 139
(ГОСТ 10681-75).
Примечание. Воздух при температуре 20 °C и относительной влажности 65% имеет давление водяных паров, равное 1515 Па, после нагревания до температуры (47 +/- 2) °C его влажность будет лежать в диапазоне от 12,3 до 16,7%. Воздух на максимальном допустимом пределе температуры 22 °C и влажности 67% имеет давление водяных паров 1700 Па, а при нагревании до температуры 50 °C влажность будет находиться в пределах от 14,3 до 19,4%. Если требуется поддерживать влажность ниже 10% и не повышать температуру выше 50 °C, то исходный воздух должен иметь давление водяного пара ниже 1230 Па (что соответствует влажности 53% при температуре 27 °C).
7.1. Точечные пробы для лабораторных испытаний отбирают следующими способами:
а) согласно указаниям, приведенным в соответствующем описании заказчика;
б) в соответствии с методами, указанными в международных стандартах для текстильных материалов;
7.2. Точечные пробы должны быть подготовлены следующим образом.
7.2.1. За исключением случаев с чувствительными к теплу материалами точечные пробы должны быть предварительно кондиционированы в течение 12 ч в свободно движущемся воздухе в специальной атмосфере для предварительного кондиционирования согласно
п. 6.2.
7.2.2. После предварительного кондиционирования (если оно требуется) точечные пробы выдерживаются в течение 24 ч (48 ч для проб с плотным переплетением) в стандартных климатических условиях, описанных в
п. 6.1.
8. Элементарные пробы для испытаний
8.1. Общая часть
Из каждой точечной пробы вырезают две группы элементарных проб для испытаний, одна в направлении основы, другая в направлении утка. При отсутствии специального соглашения между сторонами, заинтересованными в результатах испытаний, каждая группа должна содержать не менее пяти полосок. В том случае, когда требуется более высокая степень точности, число полосок соответственно возрастает. Элементарные пробы должны полностью характеризовать точечную пробу. Две полоски не должны содержать одни и те же продольные нити, а полоски, взятые по основе, должны быть вырезаны таким образом, чтобы их расстояние от кромки было не менее 1/10 ширины точечной пробы.
Пример раскроя элементарных проб для испытаний, удовлетворяющих вышеуказанным условиям, представлен на чертеже
приложения C. Все полоски нарезают и испытывают в стандартных климатических условиях.
8.2. Размеры
Ширина каждой элементарной пробы должна быть (100 +/- 2) мм, длина - не менее 150 мм.
8.3. Разметка и приготовление элементарных проб
При разметке каждой элементарной пробы следует проводить линии параллельные нитям, идущим в направлении утка или основы, на расстоянии 38 мм от конца точечной пробы длиной, равной длине элементарной пробы.
8.4. Элементарные пробы для испытания в мокром состоянии
8.4.1. Когда требуется определить разрывную нагрузку ткани в мокром состоянии, наряду с прочностью в сухом, нарезают полоски шириной (100 +/- 2) мм и длиной, вдвое превышающей длину полоски, предназначенной для испытаний в сухом состоянии. Концы всех полосок надо пронумеровать, а затем каждую полоску разрезать пополам, одну для определения прочности на разрыв в сухом состоянии, другую в мокром, при этом каждая пара элементарных проб должна содержать одни и те же продольные нити. Для тканей, которые имеют большую усадку при смачивании, начальная длина влажной элементарной пробы должна быть больше начальной длины сухой полоски.
8.4.2. Элементарную пробу для испытания в мокром состоянии необходимо поместить на поверхность дистиллированной воды температурой от 17 до 30 °C и подождать пока она целиком погрузится в воду под действием собственного веса, однако, если период погружения превышает 2 ч, то после часа лежки полоски погрузить в воду принудительно.
Когда требуется полное смачивание элементарных проб, которые плохо смачиваются обычной водой, то вместо воды можно использовать раствор, содержащий 1 ч смачивающего вещества на 1 дм3 дистиллированной воды.
9.1. Контроль аппаратуры
Проверьте аппаратуру для того, чтобы отклонение расстояния между зажимами для закрепления элементарной пробы не превышало 1 мм. Убедитесь, что зажимы правильно установлены и при приложении силы не произойдет углового смещения. Убедитесь, что климатическое условие, в котором проводятся испытания, соответствует норме и что самописец исправен.
9.2. Заправка элементарных проб
Заправьте элементарную пробу в зажимы для испытаний по центру таким образом, чтобы продольная ось полоски находилась под прямым углом к краям зажимов при предварительном натяжении
(п. 9.3). Кроме того, надо следить за тем, чтобы линия натяжения элементарной пробы совпадала с соответствующей стороной ребра каждого из двух зажимов. При испытании элементарной пробы в мокром состоянии ее заправляют в зажимы непосредственно после того, как она вынута из воды.
9.3. Предварительное натяжение
9.3.1. Если нет необходимости в более низком натяжении, то пользуются одним из следующих вариантов:
а) натяжение, равное (1 +/- 0,25)% от предполагаемой прочности на разрыв;
б) натяжение, указанное в табл. 1, в зависимости от поверхностной плотности ткани.
Таблица 1
Предварительное натяжение элементарных проб
Поверхностная плотность, г/м2 | Предварительное натяжение, Н |
До 150 | 2 |
От 150 " 500 включ. | 5 |
" 500 | 10 |
9.3.2. Если при натяжении, указанном в
п. 9.3.1, элементарные пробы удлиняются более чем на 0,5%, то используют более низкое натяжение, которое согласовывается между всеми сторонами, заинтересованными в результатах.
Примечание. Если из-за конструкции машины для испытаний или по другим причинам предварительное натяжение приложить невозможно, это должно быть указано в результатах испытаний.
9.4. Предварительные испытания
Используйте дополнительную полоску и после предварительного натяжения, если оно требуется, приведите в движение зажимы со скоростью, которая обеспечивает среднее время разрыва.
При испытании мокрых полосок необходимо, чтобы испытание закончилось не позднее чем через 120 с после удаления пробы из воды.
После того как полоска разорвана, зафиксируйте:
максимальную силу разрыва;
время разрыва.
Возвратите подвижный зажим в исходное положение, удалите концы разорванной полоски и повторите весь процесс на двух других полосках.
9.5. Заключительные испытания
9.5.1. Используя установленную рабочую скорость, проведите испытание требуемого числа элементарных проб. В каждом случае записывают максимальную разрывную нагрузку.
9.5.2. Следует отбросить результаты, полученные у элементарных проб, если они проскальзывали в зажиме или обрывались в зажиме на расстоянии менее 5 мм от него, а также если есть основание полагать, что машина работала неправильно. С другой стороны, результаты можно принять во внимание в случае, если прочность на разрыв получилась не менее минимального результата, полученного для элементарных проб из того же куска ткани, которые разрывались нормально.
Если какие-либо результаты исключены, то подвергают разрыву дополнительные элементарные пробы, взятые из той же партии.
10. Обработка результатов
10.1. Единицы физических величин
Разрывная нагрузка выражается в ньютонах.
10.2. Вычисление средних значений разрывной нагрузки
Для каждой группы элементарных проб, испытанных в направлении утка и основы ткани, вычислить (отдельно) среднюю величину прочности на разрыв

, Н, по следующей формуле

,
где

- сумма значений прочности на разрыв, Н;
n - число испытаний.
Среднюю величину прочности на разрыв вычисляют с точностью до 1%.
Протокол испытаний должен включать следующие данные:
указать, что испытания проводились в соответствии с настоящим международным стандартом;
дату проведения испытаний;
значение прочности на разрыв для каждой элементарной пробы и среднее значение прочности на разрыв для каждой точечной пробы в направлении утка или основы;
результаты испытаний, которые пришлось повторить, и причины, которые заставили это сделать;
время разрыва (20 +/- 3) с или (30 +/- 5) с;
число элементарных проб, взятых из точечной пробы;
тип и мощность разрывной машины;
детальное описание любого вида отклонений от стандартизованного метода испытаний;
вид испытаний (в кондиционированном или мокром состояниях).
A.1. Машины с постоянной скоростью растяжения элементарной пробы
A.1.1. Принцип действия
Элементарная проба растягивается с определенной постоянной скоростью, при которой среднее время до разрыва находится в заданных пределах.
A.1.2. Машина для испытания
Машина для испытания с постоянной скоростью растяжения должна удовлетворять требованиям, приведенным в
п. 5. После первых 2 с работы скорость увеличения расстояния между зажимами должна быть постоянной, с точностью до 5%. Машина для испытания должна иметь возможность работать на различных постоянных скоростях растяжения, чтобы независимо от степени удлинения элементарная проба растягивалась до разрыва за определенный промежуток времени.
A.2. Машины с постоянной скоростью движения зажимов
(маятниковый или пружинный механизм нагрузки)
A.2.1. Принцип действия
На точечную пробу действует возрастающее во времени усилие, создаваемое движущимся зажимом с постоянной скоростью, которая обеспечивает среднюю величину времени разрыва в указанном интервале.
A.2.2. Машина для испытания
Машина для испытания с постоянной скоростью движения зажима, с маятниковым или пружинным типом механизма нагрузки должна полностью удовлетворять требованиям, приведенным в
п. 5.
A.3. Машины с постоянной скоростью нагружения
A.3.1. Принцип действия
На образец действует сила, которая возрастает с постоянной скоростью, обеспечивая среднюю величину времени разрыва в установленных пределах.
A.3.2. Машина для испытаний
Машина с постоянной скоростью нагружения должна полностью удовлетворять требованиям, приведенным в
п. 5. После первых 2 с работы скорость увеличения силы за единицу времени должна быть постоянной, с погрешностью не более 10%. Машина для испытаний должна иметь возможность работать с различными постоянными скоростями нагрузки, такими, чтобы независимо от прочности элементарной пробы разрывная нагрузка (максимальное усилие) достигалась за определенный промежуток времени.
ПРЕДЛАГАЕМЫЙ МЕТОД ОТБОРА ПРОБ
B.1. Число кусков из партии ткани
Из партии ткани отбирают соответствующее число кусков ткани так, как это показано в табл. 2. Следите за тем, чтобы куски ткани, имеющие следы повреждения или намокшие при перевозке, не попали в выборку.
Таблица 2
Число кусков в партии | Число кусков, из которых берут точечные пробы, не менее |
3 или менее | 1 |
От 4 до 10 включ. | 2 |
" 11 " 30 включ. | 3 |
" 31 " 75 | 4 |
" 76 и более | 5 |
B.2. Отбор точечных проб
Из каждого куска вырезают (из произвольно взятого участка, но не менее 3 м от края куска) точечную пробу длиной не менее 1 м по всей ширине. Убедитесь, что точечная проба не включает измятые участки или другие видимые дефекты. Каждую точечную пробу сверните в трубку.
СХЕМА РАСКРОЯ ЭЛЕМЕНТАРНЫХ ПРОБ
W1 - W5 - элементарные пробы по основе; F1 - F5 -
элементарные пробы по утку; d - расстояние от кромки
до элементарной пробы, не менее 1/10 ширины ткани; l - длина
точечной пробы; 1 - ширина элементарной пробы;
2 - длина элементарной пробы
ПРИЛОЖЕНИЯ 5, 6. (Введены дополнительно, Изм. N 3).