Главная // Актуальные документы // ГОСТ (Государственный стандарт)СПРАВКА
Источник публикации
М.: ИПК Издательство стандартов, 2004
Примечание к документу
Документ включен в
Перечень международных и региональных (межгосударственных) стандартов, а в случае их отсутствия - национальных (государственных) стандартов, содержащих правила и методы исследований (испытаний) и измерений, в том числе правила отбора образцов, необходимые для применения и исполнения требований технического
регламента Таможенного союза "О безопасности упаковки" (ТР ТС 005/2011) и осуществления оценки соответствия объектов технического регулирования (
Решение Коллегии Евразийской экономической комиссии от 29.01.2024 N 9).
Отдельные положения данного документа включены в
Перечень международных и региональных (межгосударственных) стандартов, а в случае их отсутствия - национальных (государственных) стандартов, содержащих правила и методы исследований (испытаний) и измерений, в том числе правила отбора образцов, необходимые для применения и исполнения требований технического
регламента Евразийского экономического союза "О безопасности продукции, предназначенной для гражданской обороны и защиты от чрезвычайных ситуаций природного и техногенного характера" (ТР ЕАЭС 050/2021) и осуществления оценки соответствия объектов технического регулирования (
Решение Коллегии Евразийской экономической комиссии от 30.05.2023 N 78).
Документ включен в Перечень документов в области стандартизации, содержащих правила и методы исследований (испытаний) и измерений, в том числе правила отбора образцов, необходимые для применения и исполнения требований технического
регламента Таможенного союза "О безопасности средств индивидуальной защиты" (ТР ТС 019/2011) и осуществления оценки соответствия объектов технического регулирования (
Решение Комиссии Таможенного союза от 09.12.2011 N 878).
Документ включен в
Перечень национальных стандартов, содержащих правила и методы исследований (испытаний) и измерений, в том числе правила отбора образцов, необходимые для применения и исполнения технического регламента о безопасности средств индивидуальной защиты и осуществления оценки соответствия (
Распоряжение Правительства РФ от 15.02.2011 N 222-р).
Документ включен в
Перечень стандартов, содержащих правила и методы исследований (испытаний) и измерений, в том числе правила отбора образцов, необходимые для применения и исполнения требований технического
регламента Таможенного союза "О безопасности упаковки" (ТР ТС 005/2011) и осуществления оценки соответствия объектов технического регулирования (
Решение Комиссии Таможенного союза от 16.08.2011 N 769).
С 1 июля 2003 года до вступления в силу технических регламентов акты федеральных органов исполнительной власти в сфере технического регулирования носят рекомендательный характер и подлежат обязательному исполнению только в части, соответствующей целям, указанным в
пункте 1 статьи 46 Федерального закона от 27.12.2002 N 184-ФЗ.
Документ
введен в действие с 1 января 1993 года.
Название документа
"ГОСТ 29104.4-91. Межгосударственный стандарт. Ткани технические. Метод определения разрывной нагрузки и удлинения при разрыве"
(утв. и введен в действие Постановлением Госстандарта СССР от 27.09.1991 N 1541)
"ГОСТ 29104.4-91. Межгосударственный стандарт. Ткани технические. Метод определения разрывной нагрузки и удлинения при разрыве"
(утв. и введен в действие Постановлением Госстандарта СССР от 27.09.1991 N 1541)
Утвержден и введен в действие
Постановлением Комитета
стандартизации и метрологии СССР
от 27 сентября 1991 г. N 1541
МЕЖГОСУДАРСТВЕННЫЙ СТАНДАРТ
ТКАНИ ТЕХНИЧЕСКИЕ
МЕТОД ОПРЕДЕЛЕНИЯ РАЗРЫВНОЙ НАГРУЗКИ И УДЛИНЕНИЯ
ПРИ РАЗРЫВЕ
Industrial fabrics.
Method for determination of breaking stress and extension
ГОСТ 29104.4-91
Дата введения
1 января 1993 года
1. Разработан и внесен Государственным комитетом легкой промышленности СССР.
Разработчики:
В.В. Стулов, канд. техн. наук; И.С. Давыдова, канд. техн. наук; Г.К. Щеникова.
2. Утвержден и введен в действие Постановлением Комитета стандартизации и метрологии СССР от 27.09.91 N 1541.
4. Ссылочные нормативно-технические документы
Обозначение НТД, на который дана ссылка | Номер раздела, пункта |
| |
| |
| |
ТУ 25-1894.003-90 | |
5. Переиздание. Сентябрь 2004 г.
Настоящий стандарт распространяется на технические ткани и устанавливает метод определения разрывной нагрузки, удлинений при разрыве и стандартной нагрузке.
Отбор точечных проб - по
ГОСТ 29104.0 со следующим дополнением: длина точечной пробы должна быть не менее 500 мм.
2. АППАРАТУРА И МАТЕРИАЛЫ
2.1. Для проведения испытания применяют:
машины разрывные, обеспечивающие постоянную скорость опускания нижнего зажима (маятникового типа), или постоянную скорость деформации, или постоянную скорость возрастания нагрузки с относительной погрешностью показаний разрывной нагрузки +/- 1,0%, абсолютной погрешностью показаний удлинения +/- 1,0 мм, со средней продолжительностью разрыва, регулируемой от (30 +/- 15) до (60 +/- 15) с.
При возникновении разногласий испытания проводят на разрывных машинах маятникового типа;
линейку измерительную металлическую по
ГОСТ 427;
секундомер по ТУ 25-1894.003.
2.2. Разрывные машины должны быть оснащены зажимами системы ВНИИТТ (черт. 1).
1 - корпус зажима; 2 - неподвижная губка; 3 - промежуточная
подвижная губка; 4 - крайняя подвижная губка; 5 - зажимные
винты; 6 - прижимной винт; 7 - прижимная планка
Черт. 1
2.3. Во избежание проскальзывания или перекусывания элементарной пробы в зажимах разрывных машин допускается применять прокладки. При этом концы прокладок должны находиться на уровне плоскостей зажимов, ограничивающих зажимную длину пробы.
3. ПОДГОТОВКА К ИСПЫТАНИЮ
3.1. Перед испытанием точечные пробы выдерживают в климатических условиях по
ГОСТ 10681 не менее 24 ч.
Испытание ткани проводят в этих же условиях.
3.2. Из каждой точечной пробы отбирают семь элементарных проб в виде полосок: три по основе и четыре по утку.
Элементарные пробы предварительно размечают так, чтобы одна проба не являлась продолжением другой. Продольные нити элементарной пробы должны быть параллельны соответствующим нитям основы или утка точечной пробы. Первую элементарную пробу в направлении основы размечают на расстоянии не менее 50 мм от кромки точечной пробы. Элементарные пробы в направлении утка размечают на расстоянии не менее 50 мм от края точечной пробы, распределяя их последовательно по длине.
Схема раскроя элементарных проб приведена на черт. 2.
У1, У2, У3, У4 - уточные элементарные пробы; О1; О2, О3 -
основные элементарные пробы; K - полоска ткани с кромкой;
b - ширина ткани; l - длина точечной пробы, зависящая
от зажимной длины элементарной пробы
Черт. 2
3.3. Размеры элементарных проб принимают равными 50 x 500 мм или 80 x 500 мм. Допускаемые отклонения по размеру элементарных проб устанавливают

.
Допускается в зависимости от конструкции зажимных устройств применять элементарные пробы длиной более 500 мм.
3.4. Рабочая ширина элементарных проб должна быть равной 25 или 50 мм. Допускаемое отклонение не должно быть более 0,5 мм.
3.5. Для получения рабочей ширины элементарной пробы нити продольных направлений удаляют с обеих сторон до тех пор, пока ширина, несущая нагрузку, не станет равной 25 или 50 мм.
3.6. При подготовке элементарных проб из тканей с осыпающимися крайними долевыми нитями используют один из следующих методов:
а) на элементарной пробе с легко осыпающимися крайними нитями отмечают рабочую ширину и заправляют элементарную пробу в зажимы разрывной машины. С обеих сторон пробы перпендикулярно к направлению растяжения посередине делают надрезы по продольным нитям до линий, обозначающих рабочую ширину. Надрезанные с обеих сторон нити пробы отводят, кроме 2 - 4 нитей, граничащих с обозначенными линиями;
б) на элементарной пробе с малоосыпающимися крайними нитями удаляют нити с обеих сторон по длине элементарной пробы, оставив с каждой стороны от обозначенных линий по 2 - 4 нити. В той части элементарной пробы, которая будет заправлена в верхний зажим, эти нити отводят и обрезают на 25 - 30 мм больше длины щечки зажима. В нижний зажим заправляют конец подготовленной пробы с оставленными нитями, в верхний зажим - другой конец.
3.7. На разрывной машине устанавливают расстояние между зажимами, равное (200 +/- 1) мм.
3.8. Шкала нагрузок разрывной машины должна подбираться так, чтобы средняя разрывная нагрузка испытываемой точечной пробы находилась от 20 до 80% максимального значения шкалы.
3.9. Скорость опускания нижнего зажима разрывной машины устанавливают так, чтобы средняя продолжительность процесса растяжения элементарной пробы до разрыва соответствовала (40 +/- 25) с.
4.1. Один конец элементарной пробы заправляют в верхний зажим разрывной машины без перекоса и слегка зажимают его. Другой конец пробы заправляют в нижний зажим и подвешивают груз предварительной нагрузки. При ослаблении верхнего зажима под действием предварительной нагрузки элементарная проба немного опускается. Затем крепко зажимают сначала верхний, а затем нижний зажимы. После этого приводят в действие нижний зажим.
4.2. Значение предварительной нагрузки выбирают в зависимости от поверхностной плотности технических тканей в соответствии с таблицей.
Поверхностная плотность, г/м2 | Предварительная нагрузка, Н (кгс), при размерах элементарных проб, мм |
25 x 200 | 50 x 200 |
Св. 75 до 500 включ. | 2,45 (0,25) | 4,90 (0,50) |
" 500 " 800 " | 4,90 (0,50) | 9,80 (1,00) |
" 800 " 1000 " | 9,80 (1,00) | 19,60 (2,00) |
" 1000 " 1500 " | 14,70 (1,50) | 29,40 (3,00) |
" 1500 " 2000 " | 19,60 (2,00) | 39,20 (4,00) |
" 2000 | 24,50 (2,50) | 49,00 (5,00) |
4.3. При разрыве элементарной пробы в зажиме или на расстоянии 5 мм и менее от зажима результат испытания учитывают только в том случае, если его значение не менее минимальной разрывной нагрузки, предусмотренной в нормативно-технической документации на технические ткани. В противном случае подвергают разрыву дополнительные элементарные пробы.
4.4. Значения разрывной нагрузки и удлинение при разрыве снимают с соответствующих шкал разрывной машины после разрыва элементарной пробы.
4.5. При испытании технических тканей из комбинированных нитей показания шкал машины снимают в момент первого останова стрелки силоизмерителя.
4.6. Удлинение ткани при стандартной нагрузке фиксируют в момент показания стрелкой силоизмерителя нагрузки, установленной в соответствии с нормативно-технической документацией на конкретную ткань, или по диаграмме "нагрузка - удлинение", которую получают на самопишущем приборе разрывной машины. Методика обработки диаграммы приведена в
Приложении 1.
При возникновении разногласий удлинение при стандартной нагрузке определяют по диаграмме "нагрузка - удлинение".
5.1. За разрывную нагрузку ткани принимают среднеарифметическое значение результатов всех измерений по основе или утку.
Вычисление проводят до первого десятичного знака с последующим округлением до целого числа.
5.2. Удлинение (l) элементарной пробы при разрыве по основе или по утку в процентах вычисляют по формуле

,
где l1 - удлинение при разрыве, мм;
200 - расстояние между зажимами разрывной машины, мм.
За окончательный результат принимают среднеарифметическое значение всех измерений по основе или по утку.
За удлинение ткани при стандартной нагрузке принимают среднеарифметическое значение всех измерений по основе или по утку.
Вычисления проводят с погрешностью до второго десятичного знака с последующим округлением до первого десятичного знака.
Обязательное
ОБРАБОТКА ДИАГРАММЫ "НАГРУЗКА - УДЛИНЕНИЕ"
Черт. 3
Диаграмму "нагрузка - удлинение" снимают в масштабе не менее М 1:1 и обрабатывают следующим образом:
1. Из точки a на кривой опускают перпендикуляр на ось 1. Длина перпендикуляра ab соответствует значению фактической разрывной нагрузки элементарной пробы. С помощью измерительной металлической линейки измеряют длину перпендикуляра ab в миллиметрах.
2. На перпендикуляре ab отмечают отрезок cd, соответствующий значению нагрузки, установленной в нормативно-технической документации на конкретную ткань или от фактической разрывной нагрузки элементарной пробы. Длину отрезка cb (lcb) в миллиметрах вычисляют по формуле

,
где Pcm - норма нагрузки, при которой необходимо определить промежуточное значение удлинения, даН (кгс);
lab - длина перпендикуляра ab, мм;
Pp - фактическая разрывная нагрузка элементарной пробы ткани, даН (кгс).
3. Из точки c параллельно оси l проводят прямую до пересечения с кривой (точка d).
4. Из точки d на ось l опускают перпендикуляр de.
5. На оси l измеряют отрезки oe и ob.
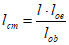
6. Промежуточное значение удлинения (lcm) в процентах вычисляют по формуле

,
где l - удлинение при разрыве, %;
loe - длина отрезка oe, мм;
lob - длина отрезка ob, мм.
Обязательное
Протокол испытания должен содержать:
наименование ткани;
номер партии;
тип разрывной машины;
значение предварительной нагрузки, Н (кгс);
разрывную нагрузку элементарной пробы по основе и утку, даН (кгс);
среднеарифметическое значение разрывной нагрузки по основе и утку, даН (кгс);
удлинение при стандартной нагрузке по основе и утку, %;
среднеарифметическое значение удлинения при разрыве по основе и утку, %;
удлинение при стандартной нагрузке по основе и утку, %;
среднеарифметическое значение удлинения при стандартной нагрузке по основе и утку, %;
дату проведения испытания;
подпись ответственного за испытание.