Главная // Актуальные документы // ГОСТ (Государственный стандарт)СПРАВКА
Источник публикации
М.: ИПК Издательство стандартов, 2004
Примечание к документу
Документ включен в
Перечень международных и региональных (межгосударственных) стандартов, а в случае их отсутствия - национальных (государственных) стандартов, содержащих правила и методы исследований (испытаний) и измерений, в том числе правила отбора образцов, необходимые для применения и исполнения требований технического
регламента Таможенного союза "О безопасности продукции, предназначенной для детей и подростков" (ТР ТС 007/2011) и осуществления оценки соответствия объектов технического регулирования (
Решение Коллегии Евразийской экономической комиссии от 14.03.2023 N 31).
С 1 июля 2003 года до вступления в силу технических регламентов акты федеральных органов исполнительной власти в сфере технического регулирования носят рекомендательный характер и подлежат обязательному исполнению только в части, соответствующей целям, указанным в
пункте 1 статьи 46 Федерального закона от 27.12.2002 N 184-ФЗ.
Документ
введен в действие с 1 июля 1996 года.
Название документа
"ГОСТ 30387-95/ГОСТ Р 50721-94. Межгосударственный стандарт. Полотна и изделия трикотажные. Методы определения вида и массовой доли сырья"
(введен в действие Постановлением Госстандарта России от 12.03.1996 N 164)
"ГОСТ 30387-95/ГОСТ Р 50721-94. Межгосударственный стандарт. Полотна и изделия трикотажные. Методы определения вида и массовой доли сырья"
(введен в действие Постановлением Госстандарта России от 12.03.1996 N 164)
Введен в действие
Постановлением
Комитета Российской Федерации
по стандартизации, метрологии
и сертификации
от 12 марта 1996 г. N 164
МЕЖГОСУДАРСТВЕННЫЙ СТАНДАРТ
ПОЛОТНА И ИЗДЕЛИЯ ТРИКОТАЖНЫЕ
МЕТОДЫ ОПРЕДЕЛЕНИЯ ВИДА И МАССОВОЙ ДОЛИ СЫРЬЯ
Knitted fabrics and garments. Methods for determination
of appearance and mass part of raw material
ГОСТ 30387-95/ГОСТ Р 50721-94
Дата введения
1 июля 1996 года
1. Разработан Акционерным обществом "Центральный научно-исследовательский институт трикотажной промышленности".
Внесен Госстандартом России.
2. Принят Межгосударственным советом по стандартизации, метрологии и сертификации (Протокол N 8 от 10 октября 1995 г.).
За принятие проголосовали:
┌────────────────────────────┬────────────────────────────────────────────┐
│ Наименование государства │ Наименование национального органа │
│ │ по стандартизации │
├────────────────────────────┼────────────────────────────────────────────┤
│Азербайджанская Республика │Азгосстандарт │
│Республика Беларусь │Госстандарт Республики Беларусь │
│Республика Казахстан │Госстандарт Республики Казахстан │
│Кыргызская Республика │Кыргызстандарт │
│Республика Молдова │Молдовастандарт │
│Российская Федерация │Госстандарт России │
│Республика Таджикистан │Таджикстандарт │
│Туркменистан │Главгосслужба "Туркменстандартлары" │
│Украина │Госстандарт Украины │
└────────────────────────────┴────────────────────────────────────────────┘
3. Настоящий стандарт представляет собой полный аутентичный текст ГОСТ Р 50721-94 "Полотна и изделия трикотажные. Методы определения вида и массовой доли сырья".
4. Постановлением Комитета Российской Федерации по стандартизации, метрологии и сертификации от 12 марта 1996 г. N 164 межгосударственный стандарт ГОСТ 30387-95 введен в действие непосредственно в качестве государственного стандарта Российской Федерации с 1 июля 1996 г.
5. Введен впервые.
1. Область распространения
Настоящий стандарт распространяется на трикотажные полотна и изделия из различных видов сырья и устанавливает:
метод определения вида и массовой доли сырья химическим анализом;
метод определения массовой доли нитей или пряжи из различных видов сырья роспуском пробы.
Стандарт пригоден для целей сертификации.
В настоящем стандарте использованы ссылки на следующие стандарты:
ГОСТ 1770-74. Посуда мерная лабораторная стеклянная. Цилиндры, мензурки, колбы, пробирки. Общие технические условия
ГОСТ 4659-79. Ткани и пряжа чистошерстяные и полушерстяные. Методы химических испытаний
ГОСТ 8844-75. Полотна трикотажные. Правила приемки и метод отбора проб
ГОСТ 9147-80. Посуда и оборудование лабораторные фарфоровые. Технические условия
ГОСТ 10681-75. Материалы текстильные. Климатические условия для кондиционирования и испытания проб и методы их определения
ГОСТ 24104-88 <*>. Весы лабораторные общего назначения и образцовые. Общие технические требования
--------------------------------
ГОСТ 25336-82. Посуда и оборудование лабораторные стеклянные. Типы и основные параметры и размеры
ГОСТ 25617-83. Ткани и изделия льняные, полульняные, хлопчатобумажные и смешанные. Методы химических испытаний.
3.1. Отбор единиц продукции для трикотажных полотен - по
ГОСТ 8844, для бельевых, верхних изделий и головных уборов - по
ГОСТ 9173.
Для испытаний чулочно-носочных и перчаточных изделий отбирают три единицы продукции одного артикула.
4. Метод определения вида сырья и его массовой доли
в полотне (изделии) химическим анализом
Сущность метода заключается в идентификации видов сырья в пробе полотна или изделия и последующем определении их массовой доли воздействием растворителей.
Метод применяется для определения видов сырья и их массовой доли в основовязаных полотнах и изделиях, поперечновязаных полотнах и изделиях, в том числе чулочно-носочных, кроме полотен и изделий с крупным раппортом рисунка.
4.1. Аппаратура, материалы и реактивы
Для проведения испытаний применяют:
цилиндр мерный вместимостью 50 см3, 100 см3, 250 см3 по
ГОСТ 1770;
весы лабораторные с погрешностью взвешивания +/- 1 мг по
ГОСТ 24104;
стакан химический вместимостью 100 см3, 200 см3 по
ГОСТ 25336;
колбу коническую с притертой пробкой вместимостью 100 см3, 250 см3 по
ГОСТ 25336;
шкаф сушильный лабораторный, обеспечивающий заданные температуры;
спирт этиловый по нормативной документации;
мыло нейтральное типа "Детское" и пр.;
индикатор метиловый оранжевый по нормативной документации;
4.2. Подготовка к испытанию
4.2.1. От единицы продукции отбирают одну точечную пробу. Масса точечной пробы должна быть не менее 20 г.
4.2.2. Из каждой точечной пробы полотна (изделия) подготавливают для испытаний три элементарные пробы - две основные и одну контрольную. Дополнительно отбирают одну пробу для идентификации вида сырья.
4.2.3. Элементарная проба для гладкого полотна должна быть массой не менее 1 г.
Для полотна с мелким рисунком масса элементарной пробы определяется одним-двумя раппортами рисунка, но не менее 1 г.
4.2.4. Отобранные элементарные пробы измельчают ножницами.
4.2.5. Пробы, отобранные от регулярных и полурегулярных изделий, чулочно-носочных изделий, не прошедших в процессе изготовления мокрых обработок, предварительно обезжиривают.
Обезжиривание проводят двух-, трехкратной промывкой в химической посуде четыреххлористым углеродом или этиловым спиртом при модуле 1:40 путем взбалтывания в течение 10 мин. После этого пробы промывают последовательно горячей и холодной водой.
4.2.6. Для снятия аппрета, крахмала пробы полотен, а также изделий, не указанных в
4.2.5, подвергают кипячению в 2%-ном растворе нейтрального мыла (модуль ванны 1:40) в течение 10 - 15 мин с последующей промывкой горячей и холодной водой.
4.2.7. После обезжиривания или снятия аппрета пробы высушивают в сушильном шкафу и проводят идентификацию волокна (нити) любым способом, позволяющим установить вид сырья (различными растворителями, под микроскопом и др.).
4.3. Проведение испытаний
4.3.1. Определение массовой доли шерстяного волокна в смеси с различными видами сырья - по ГОСТ 4659.
4.3.2. Определение массовой доли вискозного или полиэфирного волокна (нитей) в смеси с хлопком, полиэфирного волокна в смеси со льном - по
ГОСТ 25617.
4.3.3. Определение массовой доли полиэфирных нитей в заправке с вискозными нитями - по
ГОСТ 25617.
4.3.4. Определение массовой доли хлопкового и вискозного волокна в двухкомпонентной смеси с полиамидным волокном (нитью) проводят следующим образом.
Элементарные пробы, обработанные в соответствии с
4.2.4 -
4.2.6, высушивают до постоянно сухой массы в сушильном шкафу при температуре (100 +/- 5) °C с последующим охлаждением в эксикаторе до комнатной температуры.
Проба считается высушенной, если расхождение между двумя последующими взвешиваниями не превышает 0,001 г.
Высушенную элементарную пробу обрабатывают в конических колбах или фарфоровых стаканах раствором муравьиной кислоты с массовой долей 85% при комнатной температуре и модуле ванны 1:40 в течение 15 мин.
Остаток вискозного или хлопкового волокна промывают раствором муравьиной кислоты с массовой долей 85% до полного удаления следов полиамидного волокна (до прекращения помутнения промывного раствора при добавлении воды), а затем холодной водой до удаления следов кислоты (до прекращения окрашивания промывных вод в розовый цвет при добавлении индикатора метилового оранжевого).
Отфильтрованный остаток переносят в бюксы и высушивают в сушильном шкафу при температуре (100 +/- 5) °C до постоянно сухой массы. После охлаждения в эксикаторе остаток пробы взвешивают с погрешностью до 0,001 г.
4.3.5. Определение массовой доли ацетатного волокна в двухкомпонентной смеси с хлопковым, вискозным, льняным, акриловым, полиамидным и полиэфирным волокном (нитью) проводят следующим образом.
Элементарные пробы, обработанные в соответствии с
4.2.4 -
4.2.6, высушивают до постоянно сухой массы в сушильном шкафу при температуре (100 +/- 5) °C с последующим охлаждением в эксикаторе до комнатной температуры.
Элементарную пробу для растворения ацетатного волокна обрабатывают в химической посуде 20 см3 раствора ацетона при комнатной температуре в течение 15 мин.
Остаток другого волокна промывают не менее 20 см3 ацетона, отфильтровывают и после испарения ацетона переносят в бюксу, высушивают до постоянно сухой массы и после охлаждения в эксикаторе взвешивают с погрешностью до 0,001 г.
4.3.6. Определение массовой доли волокна (нити) в трех- и более компонентных смесях или сочетаниях проводят следующим образом.
Элементарные пробы, обработанные в соответствии с
4.2.4 -
4.2.6, высушивают до постоянно сухой массы в сушильном шкафу при температуре (100 +/- 5) °C с последующим охлаждением в эксикаторе до комнатной температуры.
Определение массовой доли волокон (нитей) в многокомпонентных смесях или сочетаниях проводят путем растворения каждого компонента в соответствии с
4.3.1 -
4.3.5 в следующей последовательности: шерстяное, ацетатное, полиамидное хлопковое (вискозное), полиэфирное (полиакрилонитрильное).
4.4. Допускается использование других растворителей, позволяющих определить массовую долю различных компонентов пробы в соответствии со справочными материалами по распознаванию волокон.
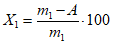
4.5. Обработка результатов
4.5.1. Обработка результатов при определении массовой доли волокна (нити) в двухкомпонентной пробе.
Массовую долю волокна (нити) X, %, вычисляют по формуле

, (1)
где

- масса постоянно сухой элементарной пробы до испытания, г;

- масса постоянно сухого остатка, г.
Вычисление проводят с точностью до первого десятичного знака и округляют до целого числа.
4.5.2. Обработка результатов при определении массовой доли волокна (нити) в трех- и более компонентной пробе.
Массовую долю волокна (нити)

, %, вычисляют последовательно по формулам (2,
3):

, (2)
где

- масса постоянно сухой элементарной пробы, г;

- масса постоянно сухого остатка, включающего массы компонентов 2, 3 и т.д.

(3)
4.5.3. За результат испытания по каждой точечной пробе принимают среднеарифметическое значение результатов испытаний двух элементарных проб. Если результаты расходятся более чем на 1%, то испытывают контрольную элементарную пробу и за результат принимают среднеарифметическое значение результатов испытаний трех элементарных проб.
5. Метод определения массовой доли нитей или пряжи
из различных видов сырья роспуском пробы
Сущность метода заключается в определении массы нитей или пряжи из различных видов сырья, полученной в результате роспуска пробы полотна или различных участков изделия.
Метод применяется для определения массовой доли нитей и пряжи из различных видов сырья в поперечновязаных полотнах и изделиях.
Весы лабораторные с наибольшим пределом взвешивания 200 г по
ГОСТ 24104, обеспечивающие точность взвешивания 0,01 г.
5.2. Определение массовой доли нитей или пряжи из различных видов сырья в поперечновязаном полотне
5.2.1. Подготовка к испытанию
5.2.1.1. От единицы продукции отбирают одну точечную пробу.
Размер точечной пробы должен быть не менее 150 x 150 мм для полотен гладких и рисунчатых переплетений с небольшим раппортом рисунка.
Для полотен с раппортом рисунка, превышающим указанный размер, размер точечной пробы определяется высотой и шириной раппорта рисунка.
5.2.1.2. От точечной пробы отбирают одну элементарную пробу.
Размер элементарной пробы для:
полотен гладких переплетений должен быть 100 x 100 мм;
полотен рисунчатых переплетений с небольшим раппортом должен соответствовать нескольким раппортам, но не менее 100 x 100 мм;
полотен рисунчатых переплетений с крупным раппортом должен соответствовать одному раппорту.
Элементарную пробу рисунчатого полотна вырезают таким образом, чтобы две стороны ее проходили по начальному и конечному петельным рядам ширины раппорта, а две другие стороны - по петельным столбикам высоты раппорта.
5.2.1.3. Элементарную пробу полностью распускают по петельным рядам, отделяя нити и пряжу, отличающиеся сырьевым составом.
5.2.1.4. Нити и пряжу, полученные при роспуске элементарной пробы, выдерживают в климатических условиях по
ГОСТ 10681.
5.2.2. Проведение испытания
Изъятые из элементарной пробы нити и пряжу, отличающиеся сырьевым составом, взвешивают сначала отдельно, а затем вместе с погрешностью не более 0,01 г.
5.2.3. Обработка результатов
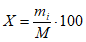
5.2.3.1. Массовую долю нитей и пряжи каждого вида, используемого в заправке полотна

, %, вычисляют по формуле

, (4)
где

- масса нитей или пряжи одного сырьевого состава, изъятых из элементарной пробы, г;
M - масса всех нитей и пряжи, изъятых из элементарной пробы, г.
Вычисления проводят с точностью до 0,01% и округляют до 0,1%.
5.2.3.2. За окончательный результат определения массовой доли нити, пряжи из различных видов сырья принимают среднеарифметическое значение массовых долей по каждому виду нити, пряжи в пробах данной выборки.
Вычисления проводят с точностью до 0,1% и округляют до целого числа.
Сумма массовых долей всех нитей и пряжи в данной заправке должна составлять 100%.
5.3. Определение массовой доли нитей и пряжи из различных видов сырья в верхних и бельевых изделиях, изготовленных из поперечновязаного полотна
5.3.1. Определение массовой доли нитей и пряжи из различных видов сырья в верхних и бельевых изделиях проводят по основному полотну, из которого изготовлено изделие, без учета отделочных беек, кантов на горловине, рукавах и др.
5.3.2. Отбор и подготовку элементарных проб, испытания и обработку результатов испытаний верхних и бельевых изделий из поперечновязаного полотна проводят в соответствии с
5.2.1 -
5.2.3.
5.4. Определение массовой доли нитей и пряжи из различных видов сырья в комбинированных изделиях
Определение массовой доли нитей и пряжи из различных видов сырья в комбинированных изделиях проводят без учета отделочных беек, кантов и др.
5.4.1. Подготовка к испытанию
В комбинированном изделии отделяют друг от друга детали, участки, отличающиеся сырьевым составом.
При наличии участка (детали), содержащего различные виды нитей и пряжи, участок распускают, отделяя нити и пряжу, различные по сырьевому составу.
Отделенные участки, детали, нити или пряжу, изъятые из изделия, выдерживают в климатических условиях по
ГОСТ 10681.
5.4.2. Проведение испытаний
Взвешивают каждый отличающийся сырьевым составом участок, деталь, пряжу или нити изделия сначала отдельно, а затем все вместе с погрешностью не более 0,01 г.
5.4.3. Обработка результатов
5.4.3.1. Массовую долю каждого участка, детали изделия X, %, вычисляют по формуле

, (5)
где

- масса участка, детали (или нитей, пряжи, изъятых из детали, участка) изделия, отличающегося сырьевым составом, г;
M - масса всего изделия, г.
5.4.3.2. За окончательный результат испытаний принимают среднеарифметическое значение массовых долей по каждому виду нитей, пряжи всех испытуемых изделий данной выборки.
5.5. Определение массовой доли нитей и пряжи из различных видов сырья в чулочно-носочных изделиях
5.5.1. Определение массовой доли нитей и пряжи из различных видов сырья в носках и получулках с 12 - 16-го размеров, выработанных из сочетания натуральных и химических видов нитей и пряжи
5.5.1.1. Каждое изделие разрезают пополам по контуру и распускают одну из половинок изделия, отделяя нити и пряжу, отличающиеся сырьевым составом.
5.5.1.2. Нити и пряжу, полученные при роспуске половины изделия, выдерживают в климатических условиях по
ГОСТ 10681.
5.5.1.3. Проведение испытаний - в соответствии с
5.2.2.
5.5.1.4. Обработка результатов испытаний - в соответствии с
5.2.3.
5.5.2. Определение массовой доли нитей и пряжи из различных видов сырья в получулках с 18-го размера и чулках, выработанных из сочетания натуральных и химических видов нитей и пряжи
5.5.2.1. Подготовка к испытанию
От каждого изделия на участке паголенка по всей его ширине отбирают одну элементарную пробу длиной 50 мм.
В чулках, получулках и носках, выработанных жаккардовым или другим рисунчатым переплетением, длина элементарной пробы должна соответствовать нескольким раппортам, но не менее 50 мм.
Элементарные пробы распускают, отделяя нити и пряжу, отличающиеся сырьевым составом, и выдерживают в климатических условиях по
ГОСТ 10681.
5.5.2.2. Проведение испытаний - в соответствии с
5.2.2.
5.5.2.3. Обработка результатов испытаний - в соответствии с
5.2.3.
5.5.3. Определение массовой доли нитей и пряжи из различных видов сырья в колготках
5.5.3.1. В колготках, у которых торс и ножки имеют одинаковый сырьевой состав, элементарные пробы отбирают от нижней точки шва ластовицы длиной 100 мм с каждой ножки по всей ее ширине.
Пробы распускают и выдерживают в климатических условиях по
ГОСТ 10681.
5.5.3.2. Проведение испытаний - в соответствии с
5.2.2.
5.5.3.3. Обработка результатов испытаний - в соответствии с
5.2.3.
5.5.3.4. Колготки, у которых торс и ножки отличаются сырьевым составом, разрезают по границе переплетения торса и ножки.
Из торса с лицевой стороны с обеих сторон от шва отбирают две элементарные пробы размером 100 x 100 мм.
От каждой ножки по всей ее ширине отбирают одну элементарную пробу длиной 100 мм.
5.5.3.5. Элементарные пробы распускают, отделяя нити и пряжу, отличающиеся сырьевым составом.
Из торса извлекают резинку или отрезают борт с вработанной эластомерной нитью.
Нити и пряжу вместе с оставшимися частями торса и ножек выдерживают в климатических условиях по
ГОСТ 10681.
5.5.3.6. Изъятые из элементарных проб торса нити и пряжу, отличающиеся сырьевым составом, взвешивают сначала отдельно, а затем вместе с оставшейся частью торса.
Изъятые из элементарных проб ножек нити и пряжу, отличающиеся сырьевым составом, взвешивают сначала отдельно, а затем вместе с оставшимися частями ножек.
5.5.3.7. Массу каждого вида нити и пряжи отдельно в торсе и ножке в колготках

, г, вычисляют по формуле

, (6)
где

- масса нити, пряжи одного состава в элементарных пробах торса или ножки, г;

- масса проб из торса или ножки, г;
M - масса торса или ножки, г.
5.5.3.8. Суммируют массы нитей или пряжи одного сырьевого состава для всего изделия.
5.5.3.9. Массовую долю каждого вида сырья в колготках

, %, вычисляют по формуле

(7)
где

- масса нитей или пряжи одного сырьевого состава в колготках, г;

- масса колготок, г.
Вычисления проводят с точностью до 0,1 г.
5.5.4. За окончательный результат определения массовой доли нити, пряжи из различных видов сырья в чулочно-носочных изделиях принимают среднеарифметическое значение массовых долей по каждому виду нити, пряжи в изделиях данной выборки.
Вычисления проводят с точностью до 0,1% и округляют до целого числа.
5.6. Определение массовой доли нитей и пряжи из различных видов сырья в перчаточных изделиях
Определение массовой доли нитей и пряжи из различных видов сырья в перчаточных изделиях проводят без учета отделочных материалов, вышивок и др.
5.6.1. Определение массовой доли нитей и пряжи из различных видов сырья в вязаных перчаточных изделиях
5.6.1.1. Подготовка к испытанию
Каждое изделие распускают, отделяя нити и пряжу, отличающиеся сырьевым составом.
Полученные роспуском нити и пряжу выдерживают в климатических условиях по
ГОСТ 10681.
5.6.1.2. Проведение испытаний - в соответствии с
5.2.2.
5.6.1.3. Обработка результатов испытаний - в соответствии с
5.2.3.
5.6.2. Определение массовой доли нитей и пряжи из различных видов сырья в кроеных из полотна перчаточных изделиях
5.6.2.1. В одинарных перчаточных изделиях определение массовой доли различных видов сырья проводят в соответствии с требованиями
раздела 4.
5.6.2.2. В двойных перчаточных изделиях определение массовой доли нитей и пряжи из различных видов сырья проводят в соответствии с требованиями
раздела 2 и
5.4.
5.7. Определение массовой доли нитей и пряжи из различных видов сырья в трикотажных шарфах и головных уборах
Определение массовой доли нитей и пряжи из различных видов сырья в шарфах и головных уборах проводят по основному полотну без учета прикладных и отделочных материалов, вышивок, аппликаций, помпонов, кисточек и др.
5.7.1. Подготовка к испытанию
5.7.1.1. От каждого изделия отбирают одну элементарную пробу. Размер элементарной пробы для изделий из полотен гладких переплетений должен быть не менее 100 x 100 мм.
Размер элементарной пробы для изделий из полотен рисунчатых переплетений должен быть не менее 100 x 100 мм и соответствовать одному раппорту, если рисунок крупный, и двум или более раппортам, если рисунок мелкий.
При наличии жаккардового рисунка в виде широкой полосы из нитей или пряжи, отличающихся сырьевым составом от основного полотна, пробу подготавливают в виде полосы шириной, равной нескольким раппортам рисунка по всей высоте изделия.
5.7.1.2. Элементарные пробы распускают, отделяя нити и пряжу, отличающиеся сырьевым составом, и выдерживают в климатических условиях по
ГОСТ 10681.
5.7.2. Проведение испытаний - в соответствии с
5.2.2.
| | ИС МЕГАНОРМ: примечание. В официальном тексте документа, видимо, допущена опечатка: имеется в виду пункт 5.2.3, а не пункт 5.7.3. | |
5.7.3. Обработка результатов испытаний - в соответствии с
5.7.3.
6. Метод определения вида сырья и его массовой доли
в полотне (изделии) роспуском пробы с последующим
химическим анализом
Сущность метода заключается в определении массы нитей или смешанной пряжи (волокна) из различных видов сырья, полученной в результате роспуска пробы с последующей идентификацией видов сырья и определением массовой доли различных видов сырья в пряже.
Метод применяется для определения видов сырья и их массовой доли в поперечновязаных полотнах и изделиях, выработанных из сочетаний различных видов смешанной пряжи и химических нитей.
6.1. Аппаратура, материалы и реактивы
Аппаратура, материалы и реактивы - в соответствии с
4.1 и
5.1.
6.2. Подготовка к испытанию
6.2.1. Подготовка к испытанию полотен гладких и рисунчатых переплетений - в соответствии с
5.2.1.
6.2.2. Элементарную пробу полностью распускают по петельным рядам, отделяя нити и пряжу, отличающиеся сырьевым составом.
6.2.3. Нити и пряжу, полученные при роспуске элементарной пробы, выдерживают в климатических условиях по
ГОСТ 10681, после чего взвешивают сначала каждый вид нити или пряжи отдельно, а затем вместе с погрешностью не более 0,01 г.
После этого от каждого вида смешанной пряжи отбирают по три пробы (две основных, одну контрольную) массой не менее 1 г. Дополнительно отбирают по одной пробе от каждого вида пряжи или нитей для идентификации вида сырья.
6.2.4. Обезжиривание, удаление аппрета, крахмала - в соответствии с
4.2.5 -
4.2.7.
6.3. Проведение испытаний
Проведение испытаний - в соответствии с
4.3.1 -
4.3.6.
6.4. Обработка результатов
6.4.1. Вычисляют массовую долю нитей и пряжи, отличающихся сырьевым составом в соответствии с
5.2.3.
6.4.2. Массовую долю волокон в смешанной пряже вычисляют в соответствии с
4.5.
Массу каждого сырьевого компонента смешанной пряжи в пробе с учетом его массовой доли

, г, вычисляют по формуле

, (8)
где

- масса смешанной пряжи, изъятой из элементарной пробы, г.
Вычисления проводят с точностью до 0,1% и округляют до целого числа.
6.4.3. Массовую долю каждого сырьевого компонента в пробе X, %, вычисляют по формуле

, (9)
где

- масса каждого сырьевого компонента в пробе, г;
M - масса всех нитей и пряжи, изъятых из элементарной пробы, г.
Вычисления проводят с точностью до 0,1% и округляют до целого числа.
Полученный любым из указанных методов результат определения массовой доли сырья в выборке полотна и изделий сравнивают со значением массовой доли сырья

, указанным в маркировочных реквизитах.
Массовая доля сырья в испытуемой продукции считается соответствующей указанным реквизитам, если окончательный результат испытаний (X) находится в пределах

%.