Главная // Актуальные документы // ГОСТ (Государственный стандарт)
СПРАВКА
Источник публикации
В данном виде документ опубликован не был.
Первоначальный текст документа опубликован в издании
М.: ИПК Издательство стандартов, 2002.
Информацию о публикации документов, создающих данную редакцию, см. в справке к этим документам.
Примечание к документу
С 01.07.2003 до вступления в силу технических регламентов акты федеральных органов исполнительной власти в сфере технического регулирования носят рекомендательный характер и подлежат обязательному исполнению только в части, соответствующей целям, указанным в п. 1 ст. 46 Федерального закона от 27.12.2002 N 184-ФЗ.

Изменение N 4 введено в действие Приказом Ростехрегулирования от 29.05.2008 N 112-ст с 01.01.2009.

Взамен ГОСТ 7885-77.
Название документа
"ГОСТ 7885-86. Межгосударственный стандарт. Углерод технический для производства резины. Технические условия"
(утв. и введен в действие Постановлением Госстандарта СССР от 30.12.1986 N 4602)
(ред. от 29.05.2008)

"ГОСТ 7885-86. Межгосударственный стандарт. Углерод технический для производства резины. Технические условия"
(утв. и введен в действие Постановлением Госстандарта СССР от 30.12.1986 N 4602)
(ред. от 29.05.2008)


Содержание


Утвержден и введен в действие
Постановлением Государственного
комитета СССР по стандартам
от 30 декабря 1986 г. N 4602
МЕЖГОСУДАРСТВЕННЫЙ СТАНДАРТ
УГЛЕРОД ТЕХНИЧЕСКИЙ ДЛЯ ПРОИЗВОДСТВА РЕЗИНЫ
ТЕХНИЧЕСКИЕ УСЛОВИЯ
Carbon black for rubber industry. Specifications
ГОСТ 7885-86
Список изменяющих документов
(в ред. Изменения N 1, утв. в марте 1988 г.,
Изменения N 2, утв. в апреле 1990 г.,
Изменения N 3, утв. в июне 1992 г.,
Изменения N 4, введенного в действие
Приказом Ростехрегулирования
от 29.05.2008 N 112-ст)
ОКП 21 6600
Группа Л61
Дата введения
1 января 1988 года
ИНФОРМАЦИОННЫЕ ДАННЫЕ
1. РАЗРАБОТАН И ВНЕСЕН Министерством нефтеперерабатывающей и нефтехимической промышленности СССР
2. УТВЕРЖДЕН И ВВЕДЕН В ДЕЙСТВИЕ Постановлением Государственного комитета СССР по стандартам от 30.12.86 N 4602
3. ВЗАМЕН ГОСТ 7885-77
4. Стандарт соответствует стандарту СТ СЭВ 3766-82 в части обозначений марок технического углерода
5. Стандарт полностью соответствует международному стандарту ИСО 1867-75
6. ССЫЛОЧНЫЕ НОРМАТИВНО-ТЕХНИЧЕСКИЕ ДОКУМЕНТЫ
Обозначение НТД, на который дана ссылка
Номер пункта
5.2.1, 5.16.1
ГОСТ 24104-88
ГОСТ 25699.1-90
ГОСТ 25699.2-90
ГОСТ 25699.3-90
ГОСТ 25699.4-90
ГОСТ 25699.5-90
ГОСТ 25699.6-90
ГОСТ 25699.7-90
ГОСТ 25699.8-90
ГОСТ 25699.9-90
ГОСТ 25699.10-90
ГОСТ 25699.13-90
ГОСТ 25699.14-93
ГОСТ 25699.15-90
ГОСТ 25699.16-90
ОСТ 38.015421-87
ТУ 38.115201-81
7. Ограничение срока действия снято Постановлением Госстандарта от 16.06.92 N 544
8. ИЗДАНИЕ (октябрь 2002 г.) с Изменениями N 1, 2, 3, утвержденными в марте 1988 г., апреле 1990 г., июне 1992 г. (ИУС 5-88, 8-90, 9-92)
Настоящий стандарт распространяется на технический углерод, являющийся продуктом термоокислительного или термического разложения углеводородов в газовой фазе, и применяется в качестве усилителя при производстве резины для народного хозяйства и экспорта.
Абзац исключен с 01.01.2009. - Изменение N 4, введенное в действие Приказом Ростехрегулирования от 29.05.2008 N 112-ст.
(Измененная редакция, Изм. N 1, 3).
1. МАРКИ
1.1. Технический углерод изготовляют следующих марок:
П 245 - печной, высокоактивный, получаемый при термоокислительном разложении жидкого углеводородного сырья, с высоким показателем дисперсности и высоким показателем структурности;
П 234 - печной, активный, получаемый при термоокислительном разложении жидкого углеводородного сырья, с высоким показателем дисперсности и средним показателем структурности;
К 354 - канальный, активный, получаемый в диффузионном пламени при термоокислительном разложении природного или попутного газа, с высоким показателем дисперсности и низким показателем структурности;
П 324 - печной, активный, получаемый при термоокислительном разложении жидкого углеводородного сырья, с высоким показателем дисперсности и средним показателем структурности;
П 514 - печной, среднеактивный, получаемый при термоокислительном разложении жидкого углеводородного сырья со средним показателем дисперсности и средним показателем структурности;
П 701 - полуактивный, получаемый при термоокислительном разложении природного газа в чистом виде или с добавками жидкого углеводородного сырья, с низким показателем дисперсности и низким показателем структурности;
П 702 - печной, полуактивный, получаемый при термоокислительном разложении жидкого углеводородного сырья, с низким показателем дисперсности и низким показателем структурности;
П 705 - печной, полуактивный, получаемый при термоокислительном разложении жидкого углеводородного сырья, с низким показателем дисперсности и высоким показателем структурности;
П 803 - печной, малоактивный, получаемый при термоокислительном разложении жидкого углеводородного сырья, с низким показателем дисперсности и средним показателем структурности;
Т 900 - малоактивный, получаемый термическим разложением природного газа, с низким показателем дисперсности и низким показателем структурности.
2. ТЕХНИЧЕСКИЕ ТРЕБОВАНИЯ
2.1. Технический углерод должен изготовляться в соответствии с требованиями настоящего стандарта по технологическому регламенту, утвержденному в установленном порядке.
2.2. Технический углерод марок П 245, П 234, К 354, П 324, П 514, П 701, П 702 изготовляют гранулированным, марок П 705 и П 803 - гранулированным и негранулированным, марки Т 900 - негранулированным.
2.3. По физико-химическим показателям технический углерод должен соответствовать требованиям и нормам, указанным в таблице.
2.4. В техническом углероде не допускаются посторонние включения.
2.5. Разность удельной адсорбционной и удельной внешней поверхностей для технического углерода марок П 245 и П 234 должна быть не более 10 м2/г.
2.3 - 2.5. (Измененная редакция, Изм. N 2).
Наименование показателя
Норма для марки
1. Удельная геометрическая поверхность, м2
-
-
90 - 100
75 - 82
50 - 57
-
-
-
-
-
2. Удельная условная поверхность, м2
-
-
-
-
-
33 - 39
35 - 40
20 - 26
14 - 18
12 - 16
3. Удельная внешняя поверхность, м2
109 +/- 4
98 +/- 4
-
-
-
-
-
-
-
-
4. Йодное число, г/кг
121 +/- 6
105 +/- 6
-
84 +/- 6
43 +/- 4
-
-
-
-
-
5. Удельная адсорбционная поверхность, м2
119 +/- 5
109 +/- 5
не более 150
84 +/- 4
-
-
-
-
-
-
6. Абсорбция дибутилфталата, см3/100 г
103 +/- 5
101 +/- 4
-
100 +/- 5
101 +/- 4
65 +/- 5
70 +/- 5
110 +/- 5
83 +/- 7
-
7. pH водной суспензии
6 - 8
(6,5 - 8,5)
6 - 8
3,7 - 4,5
7 - 9
6 - 8
9 - 11
7 - 9
7,5 - 9,5
7 - 9
-
8. Массовая доля потерь при 105 °C, %, не более
0,9
0,9 (0,4)
1,5
0,9 (0,5)
0,9
0,35
0,5
0,5
0,5
0,4
9. Зольность, %, не более
0,45
0,45 (0,3)
0,05
0,45 (0,3)
0,45
0,48
0,50
0,30
0,45
0,15
10. Массовая доля остатка, %, не более, после просева через сито с сеткой:
0045
0,08
0,08
0,08
0,08
0,08
0,08
0,08
0,08
0,08
0,08
05
0,001
0,0010
0,0010
0,0010
0,0010
0,0010
0,0010
0,0010
0,0010
0,0010
014
0,02
0,02
0,004
0,02
0,02
0,01
0,02
0,01
0,01
0,02
11. Массовая доля общей серы, %, не более
1,1
1,1
-
1,1
1,1
-
1,1
-
-
-
12. Исключен с 01.01.2009. - Изменение N 4, введенное в действие Приказом
Ростехрегулирования от 29.05.2008 N 112-ст.
13. Массовая доля пыли в гранулированном углероде, %, не более
6
6
-
6
6
5
6
6
6
-
14. Насыпная плотность гранулированного углерода, кг/м3 в пределах
-
-
-
-
-
-
-
320 - 400
320 - 400
-
не менее
330 (310)
340 (320)
-
340 (330)
340
420
400
-
-
-
15. Светопропускание толуольного экстракта, %, не менее
90
90
-
85
85
-
-
-
-
-
16. Прочность отдельных гранул, Н
-
-
-
-
0,2 - 0,6
-
-
-
0,2 - 0,7
-
17. Сопротивление гранул технического углерода разрушению на аппарате ГИТ-1, %
82 +/- 7
82 +/- 7
-
-
75 +/- 6
-
-
-
-
-
18. Массовая прочность гранул технического углерода, кг
5 - 25
(3 - 6)
5 - 25
(3 - 6)
-
-
5 - 25
-
-
-
-
-
19. Массовая доля пыли в гранулированном углероде на аппарате ГИТ-1, %, не более
6
6
-
-
6
-
-
-
-
-
Примечания:
1. Норма по показателю 4 для марки П 514 введена с 01.07.91. До 01.07.91 определялась обязательно для набора данных.
2. С 01.07.91 норма по показателю 1 для марки П 514 не нормируется.
3. Абсорбция дибутилфталата для негранулированного технического углерода марки П 705 - (120 +/- 5) см3/100 г, марки П 803 - (93 +/- 7) см3/100 г, зольность для марок П 705 и П 803 - не более 0,20%; pH водной суспензии для марки П 803 - 7,5 - 9,5.
4. Норма по показателю 7 для марок П 234 и П 514, предназначенных для производства резиновых технических изделий, - 7 - 9, для марки К 354, изготовляемой Сосногорским газоперерабатывающим заводом и предназначенной для резино- и электротехнической промышленности, - 3,4 - 4,2.
5. Для показателей 7 - 9, 14, 18 в скобках указана норма для технического углерода, гранулированного сухим способом.
6. Показатель 16 для марки П 514, предназначенной для шинной промышленности, не определяют.
7. Норма по показателю 8 для марки К 354, изготовляемой Челекенским заводом, - не более 2,0%.
8 - 11. Исключены с 01.01.2009. - Изменение N 4, введенное в действие Приказом Ростехрегулирования от 29.05.2008 N 112-ст.
(Измененная редакция, Изм. N 3).
2.6. Физико-механические показатели резин с техническим углеродом должны отличаться от показателей резин с контрольным техническим углеродом в пределах, установленных в отрасли.
(в ред. Изменения N 4, введенного в действие Приказом Ростехрегулирования от 29.05.2008 N 112-ст)
(Введен дополнительно, Изм. N 1).
2.7. Коды ОКП для марок технического углерода приведены в приложении 2.
(Введен дополнительно, Изм. N 2).
3. ТРЕБОВАНИЯ БЕЗОПАСНОСТИ
3.1. Технический углерод в соответствии с ГОСТ 12.1.044-89 относится к группе трудногорючих материалов, не является самонагревающимся и самовозгорающимся. По ГОСТ 19433-88 - не классифицируется. Температура самовозгорания технического углерода - выше 250 °C.
В случае загорания технического углерода от открытых источников огня его следует тушить паром или тонко распыленной водой. После тушения следует наблюдать за состоянием материала для предупреждения тления в течение 48 ч.
(п. 3.1 в ред. Изменения N 4, введенного в действие Приказом Ростехрегулирования от 29.05.2008 N 112-ст)
3.2. Предельно допустимая концентрация пыли технического углерода в воздухе рабочей зоны производственных помещений 4 мг/м3, класс опасности 3 по ГОСТ 12.1.005. Концентрацию определяют по методике, утвержденной Минздравом.
(Измененная редакция, Изм. N 3).
3.3. При работе с техническим углеродом необходимо пользоваться специальными одеждой и обувью и для предохранения органов дыхания индивидуальными противопылевыми защитными устройствами типа ШБ-1 "Лепесток" в соответствии с правилами, утвержденными в установленном порядке.
3.4. Подготовку проб технического углерода для анализа необходимо проводить в вытяжном шкафу.
3.5. При изготовлении технического углерода применяют герметичную аппаратуру, помещения оборудуют местной вытяжной вентиляцией.
3.6. В производственных помещениях отделений обработки и складов технического углерода должна проводиться пневмоуборка пыли технического углерода со стен, полов, потолков, оборудования и воздуховодов вентиляции. Разрешается влажная уборка полов.
(Измененная редакция, Изм. N 3).
4. ПРАВИЛА ПРИЕМКИ
4.1. Технический углерод принимают партиями. Партией считают технический углерод одной марки массой не более 60 т, сопровождаемой одним документом о качестве, содержащим:
товарный знак или товарный знак и наименование предприятия-изготовителя;
марку технического углерода;
способ грануляции (сухой или мокрый);
номер партии;
дату изготовления;
массу нетто;
результаты проведенных испытаний;
обозначение настоящего стандарта.
4.2. Для проверки качества технического углерода на соответствие требованиям настоящего стандарта его подвергают приемосдаточным и периодическим испытаниям.
При приемосдаточных испытаниях проверяют требования, установленные пп. 1 - 10, 13 - 15 таблицы.
При периодических испытаниях предприятие-изготовитель проверяет требования, установленные в таблице: п. 11 - один раз в три месяца на объединенной пробе, взятой от любой партии, п. 16 - на одной из десяти партий, для технического углерода марок П 514 и П 803, предназначенных для предприятий электротехнической промышленности, - на каждой партии.
(в ред. Изменения N 4, введенного в действие Приказом Ростехрегулирования от 29.05.2008 N 112-ст)
Периодические испытания проводят на партиях, прошедших приемосдаточные испытания.
Объем выборки - по ГОСТ 25699.1, при этом масса объединенной пробы должна быть не менее 0,5 кг.
При упаковывании технического углерода в мешки объединенную пробу изготовитель отбирает от упаковочных полуавтоматов, потребитель - 2% мешков от партии. Если партия составляет не более 250 мешков, отбирают не менее пяти мешков.
Технический углерод, упакованный в мешки, по физико-химическим показателям пп. 13, 14, 17 - 19 таблицы проверке не подлежит.
(в ред. Изменения N 4, введенного в действие Приказом Ростехрегулирования от 29.05.2008 N 112-ст)
(Измененная редакция, Изм. N 1, 2, 3).
4.3. При получении неудовлетворительных результатов приемосдаточных испытаний хотя бы по одному из показателей проводят повторные испытания на удвоенной выборке, отобранной от той же партии.
Результаты повторных испытаний распространяются на всю партию.
4.4. При получении неудовлетворительных результатов периодических испытаний хотя бы по одному из показателей испытания переводят в приемосдаточные до получения удовлетворительных данных на трех партиях подряд.
4.3, 4.4. (Измененная редакция, Изм. N 1).
5. МЕТОДЫ ИСПЫТАНИЙ
5.1. Отбор проб - по ГОСТ 25699.1.
5.2. Определение удельной геометрической и удельной условной поверхности
5.2.1. Применяемые аппаратура и реактивы
Установка ультразвуковая с магнитострикционным устройством типа УЗДН-1, УЗДН-2Т, УЗМ-1,5 или любого типа с мощностью 0,4 - 1,6 кВт, частотой 17 - 22 кГц.
Фотоэлектроколориметр ФЭК-56, ФЭК-56М или КФК.
Сито с сеткой 014 по ГОСТ 6613.
Тигель 1 или 2 по ГОСТ 9147.
Колбы мерные вместимостью 500 см3 по ГОСТ 1770.
Пипетка вместимостью 10 см3 по ГОСТ 29169.
Вещество вспомогательное ОП-7 или ОП-10 по ГОСТ 8433, раствор 1:3 (по объему).
Вода дистиллированная по ГОСТ 6709.
5.2.2. Подготовка к испытанию
Для испытания из объединенной пробы отбирают 1 - 2 г технического углерода и тщательно перемешивают.
В фарфоровый тигель помещают 0,05 г технического углерода, предварительно просеянного через сито с сеткой 014 и взвешенного с погрешностью не более 0,0002 г. Навеску количественно переносят в рабочую емкость ультразвуковой установки, добавляют 3 см3 раствора вещества ОП-7 или ОП-10 и 7 см3 воды, проводят диспергирование.
На ультразвуковой установке УЗДН-1 или УЗДН-2Т технический углерод всех марок диспергируют в течение 1 мин.
На ультразвуковой установке УЗМ-1,5 технический углерод марок П 234, К 354, П 324, П 514 диспергируют 10 мин, марок П 701, П 702, П 705, П 803, Т 900 - 5 мин.
Полученную суспензию переносят в мерную колбу вместимостью 500 см3, добавляют воду до метки и взбалтывают.
Пипеткой отбирают 10 см3 суспензии, переносят в другую колбу вместимостью 500 см3, добавляют воду до метки и взбалтывают.
5.2.1, 5.2.2. (Измененная редакция, Изм. N 3).
5.2.3. Проведение испытаний
На рабочих приборах ФЭК-56, ФЭК-56М или КФК определяют оптическую плотность (D) приготовленной суспензии технического углерода в кюветах с толщиной поглощающего свет слоя 5 см.
Вычисляют поправочный коэффициент K - отношение оптической плотности суспензий контрольного образца соответствующей марки технического углерода, измеренной на контрольном и рабочем приборе.
Измерения проводят при длине волны для марок П 234, К 354, П 324, П 514; при длине волны для марок П 701, П 702, П 705, П 803, Т 900.
5.2.4. Обработка результатов
Удельная геометрическая (Sг) и удельная условная (Sу) поверхности в м2/г вычисляют по формулам:
для марки П 324 
" " П 234 
" " К 354 
" " П 514 
для марок П 701, П 702, П 705, П 803, Т 900
Sу = 92,2KD,
где K - поправочный коэффициент;
S - оптическая плотность.
За результат испытания принимают среднее арифметическое результатов двух параллельных определений, допускаемое расхождение между которыми не должно превышать 2 м2/г. Результаты вычисляют с точностью до 1 м2/г.
5.3. Удельную внешнюю поверхность определяют по ГОСТ 25699.2. При возникновении разногласий в оценке качества технического углерода по удельной внешней поверхности испытание проводят по методу Б.
5.4. Йодное число определяют по ГОСТ 25699.3.
5.5. Удельную адсорбционную поверхность определяют по ГОСТ 25699.4.
5.6. Абсорбцию дибутилфталата определяют по ГОСТ 25699.5.
5.7. pH водной суспензии определяют по ГОСТ 25699.6. При возникновении разногласий в оценке качества технического углерода pH водной суспензии испытание проводят по методу Б.
5.8. Массовую долю потерь при 105 °C определяют по ГОСТ 25699.7.
5.9. Зольность определяют по ГОСТ 25699.8.
5.10. Массовую долю общей серы определяют по ГОСТ 25699.9.
5.11. Массовую долю остатка после просева через сито с сеткой 0045, 05 и 014 определяют по ГОСТ 25699.10.
5.12. Определение массовой доли остатка после просева через сито с сеткой 014 для Челекенского ЗТУ.
5.12.1. Аппаратура
Весы лабораторные общего назначения по ГОСТ 24104 <*>, 2-го класса точности с пределом взвешивания 200 г и 3-го класса точности с пределом взвешивания 1 кг.
--------------------------------
<*> С 01.07.2001 введен в действие ГОСТ 24104-2001 (здесь и далее).
Сито диаметром 125 - 200 мм с сеткой 014 по ГОСТ 6613.
Кисть-ручник КР 35 (40) и (45) (50) по ГОСТ 10597.
Стекло часовое.
5.12.2. Проведение испытания
Пробу технического углерода массой 50,00 г помещают на сито и протирают кистью до прекращения появления технического углерода на белой бумаге, помещенной под сито. Оставшиеся на сите и кисти твердые частицы переносят на часовое стекло и взвешивают. Результат взвешивания в граммах записывают с точностью до четвертого десятичного знака.
5.12.3. Обработка результатов
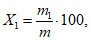
5.12.3.1. Массовую долю остатка после просева через сито 014 (X) в процентах вычисляют по формуле
где m1 - масса остатка на сите, г;
m2 - масса пробы технического углерода, г.
5.12.3.2. За результат испытания принимают среднее арифметическое результатов двух определений, полученных одним исполнителем. Результат испытания записывают с точностью до третьего десятичного знака. Допускаемая абсолютная погрешность испытания +/- 0,0008%.
5.13. Массовую долю пыли гранулированного технического углерода определяют по ГОСТ 25699.13.
5.3 - 5.13. (Измененная редакция, Изм. N 3).
5.14 - 5.14.3. Исключены с 01.01.2009. - Изменение N 4, введенное в действие Приказом Ростехрегулирования от 29.05.2008 N 112-ст.
5.15. Насыпную плотность гранулированного технического углерода определяют по ГОСТ 25699.14.
5.16. Светопропускание толуольного экстракта определяют по ГОСТ 25699.15.
5.17. Прочность отдельных гранул определяют по ГОСТ 25699.16.
5.15 - 5.17. (Измененная редакция, Изм. N 3).
5.18. Посторонние включения в техническом углероде определяют визуально.
(Введен дополнительно, Изм. N 1).
5.19. Испытания технического углерода в резине проводят по методикам, утвержденным в отрасли.
(в ред. Изменения N 4, введенного в действие Приказом Ростехрегулирования от 29.05.2008 N 112-ст)
(Измененная редакция, Изм. N 2).
5.20. Определение сопротивления гранул технического углерода разрушению на аппарате ГИТ-1
5.20.1. Применяемая аппаратура
Аппарат ГИТ-1.
Весы лабораторные по ГОСТ 24104-2001.
(в ред. Изменения N 4, введенного в действие Приказом Ростехрегулирования от 29.05.2008 N 112-ст)
5.20.2. Проведение испытания
5,00 г гранулированного технического углерода, предварительно обеспыленного, помещают в стаканчик, который закрепляют на узле центробежного воздействия аппарата ГИТ-1. Тумблером, находящимся на панели управления, устанавливают продолжительность испытания 5 мин и нажимают кнопку "ПУСК". По окончании испытания аккуратно вынимают стаканчик и без встряхивания и ударов по нему высыпают не налипший на внутренние поверхности технический углерод на подложку из плотной бумаги или целлофана и взвешивают с точностью до второго десятичного знака.
5.20.3. Обработка результатов
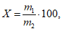
Сопротивление гранул технического углерода разрушению (X1) в процентах вычисляют по формуле
где m - масса навески технического углерода, г;
m1 - масса технического углерода, не налипшего на внутренние поверхности стаканчика после испытания, г.
За результат испытания принимают среднее арифметическое результатов двух определений сопротивления гранул технического углерода разрушению, полученных одним исполнителем последовательно на одном аппарате.
Результат испытания округляют до целого числа.
5.21. Определение массовой доли пыли в гранулированном техническом углероде на аппарате ГИТ-1
5.21.1. Применяемая аппаратура
Аппарат ГИТ-1.
Весы лабораторные по ГОСТ 24104-2001.
(в ред. Изменения N 4, введенного в действие Приказом Ростехрегулирования от 29.05.2008 N 112-ст)
5.21.2. Проведение испытания
6,00 г гранулированного технического углерода помещают на сито и устанавливают в ячейку узла виброотсева аппарата ГИТ-1. Сито закрывают крышкой, прижимают зажимом и нажимают кнопку "ПУСК". Испытание автоматически прекращается через 60 с. Сито снимают с ячейки и высыпают не налипший на поверхность сита углерод на подложку из плотной бумаги или целлофана и взвешивают с точностью до второго десятичного знака.
5.21.3. Обработка результатов
Массовую долю пыли (X2) в процентах вычисляют по формуле
где m - масса навески технического углерода, г;
m1 - масса технического углерода, не налипшего на сито после испытания, г.
Результаты определения округляют до целого числа.
За результат испытания принимают среднее арифметическое результатов двух определений, полученных одним исполнителем на одном аппарате.
5.22. Определение массовой прочности гранул технического углерода
5.22.1. Применяемые аппаратура и материалы
Устройство для определения массовой прочности гранул технического углерода МИК.
(в ред. Изменения N 4, введенного в действие Приказом Ростехрегулирования от 29.05.2008 N 112-ст)
Кисть КФК 10-1 или КФК 14-1 по ГОСТ 10597.
Весы лабораторные по ГОСТ 24104-2001.
(в ред. Изменения N 4, введенного в действие Приказом Ростехрегулирования от 29.05.2008 N 112-ст)
5.22.2. Проведение испытания
Отбирают пробу технического углерода массой не менее 0,3 кг и проводят испытание в соответствии с инструкцией по эксплуатации (паспортом) устройства МИК-1.
За показатель массовой прочности гранул принимают наименьшую нагрузку, при которой произошло "комкование" и при нажатии кнопки загорелась сигнальная лампочка.
5.22.3. Обработка результатов
Погрешность метода составляет 10%.
За результат испытания принимают среднее арифметическое результатов двух параллельных определений, полученных одним исполнителем, абсолютное расхождение между которыми не более 30% от их среднего значения.
Значение показателя массовой прочности гранул округляют до первого десятичного знака.
5.20 - 5.22.3. (Введены дополнительно, Изм. N 2).
6. МАРКИРОВКА, УПАКОВКА, ТРАНСПОРТИРОВАНИЕ И ХРАНЕНИЕ
(раздел 6 в ред. Изменения N 4, введенного в действие Приказом
Ростехрегулирования от 29.05.2008 N 112-ст)
6.1. Для маркировки технического углерода с двух сторон бумажного мешка по всей длине наносят полосы: красного цвета - для марок П 245, П 234, П 324, К 354, зеленого цвета - для марок П 514, П 701, П 702, П 705, П 803, Т 900. В разрыве каждой полосы печатными буквами того же цвета должно быть изображено обозначение соответствующей марки технического углерода. При маркировке полиэтиленовых мешков, применяемых для упаковывания технического углерода всех марок, полосы должны быть желтого цвета.
Если мешок или транспортный пакет, или мягкий специализированный контейнер не маркирован, то маркировку наносят на ярлык, который, соответственно, прикрепляют на мешок или на двух боковых смежных поверхностях пакета, или вкладывают в карман контейнера. Допускается по согласованию с потребителем применение других видов маркировки, обеспечивающих идентификацию продукции.
Маркировка должна содержать следующие данные:
- товарный знак предприятия-изготовителя;
- наименование предприятия-изготовителя, его юридический адрес;
- наименование страны-изготовителя;
- наименование продукции;
- номер партии;
- массу нетто;
- дату изготовления;
- срок годности;
- обозначение настоящего стандарта.
При маркировке технического углерода должны быть соблюдены нормы законодательства, действующего в каждом из государств - участников Соглашения и устанавливающего порядок маркирования продукции информацией на государственном языке.
На вагоны-хопперы, универсальные контейнеры и автоцистерны маркировку не наносят.
Маркировка технического углерода, поставляемого на экспорт, должна соответствовать требованиям контракта на поставку продукции.
6.2. Технический углерод упаковывают в бумажные мешки по ГОСТ 2226-88 марок ПМ и БМП с открытой или закрытой (с клапаном) горловиной, в полиэтиленовые мешки по ГОСТ 17811-78 с закрытой (с клапаном) горловиной и в мягкие специализированные контейнеры по нормативным документам. Бумажные мешки с открытой горловиной прошивают машинным способом. Допускается по согласованию с потребителем применение другой тары и упаковки, исключающей увлажнение продукции и обеспечивающей ее сохранность при транспортировании и хранении.
Масса технического углерода в мешке должна быть не более 30 кг, в мягком контейнере - не более 1200 кг. Отклонение по массе нетто в мешке одной партии - не более +/- 1 кг. Отклонение по массе нетто в мягком контейнере устанавливают в договоре на поставку продукции.
6.3. Транспортная маркировка - по ГОСТ 14192-96 с нанесением основных, дополнительных и информационных надписей, манипуляционного знака "Беречь от влаги" и следующей информации:
- товарный знак или товарный знак и наименование изготовителя;
- наименование продукции;
- обозначение настоящего стандарта.
6.4. Технический углерод, упакованный по п. 6.2, транспортируют в универсальных контейнерах или транспортными пакетами в крытых транспортных средствах в соответствии с Правилами перевозок грузов, действующими на соответствующем виде транспорта.
При транспортировании повагонными отправками транспортные пакеты формируют по ГОСТ 26663-85. Габаритные размеры пакетов - по ГОСТ 24597-81, масса брутто - не более 1000 кг. При формировании пакета должны быть предусмотрены места для захвата погрузчиком.
Гранулированный технический углерод без упаковки транспортируют в крытых вагонах-хопперах и в автоцистернах. Температура загружаемого материала не должна превышать 60 °C.
6.5. Упаковка, маркировка и транспортирование технического углерода, отправляемого в районы Крайнего Севера и приравненные к ним местности, - по ГОСТ 15846-2002.
6.6. Технический углерод должен храниться в условиях, исключающих возможность увлажнения и загрязнения.
Неупакованный технический углерод должен храниться в специальных бункерных складах.
7. ГАРАНТИИ ИЗГОТОВИТЕЛЯ
7.1. Изготовитель гарантирует соответствие технического углерода требованиям настоящего стандарта при условии соблюдения правил транспортирования и хранения.
7.2. Срок годности технического углерода всех марок - 12 мес. со дня изготовления.
(в ред. Изменения N 4, введенного в действие Приказом Ростехрегулирования от 29.05.2008 N 112-ст)
Приложение 2 <*>
Справочное
--------------------------------
Приложение 1. (Исключено, Изм. N 3).
КОДЫ ОКП
Марка технического углерода
Код ОКП
Марка технического углерода
Код ОКП
21 66 19 0100
21 66 22 0100
21 66 15 0200
21 66 21 0400
21 66 11 0100
21 66 21 0500
21 66 14 0100
21 66 31 0100
21 66 21 0100
21 66 32 0100
(Введено дополнительно, Изм. N 2).