Главная // Актуальные документы // ГОСТ (Государственный стандарт)СПРАВКА
Источник публикации
М.: Стандартинформ, 2013
Примечание к документу
Отдельные положения данного документа включены в
Перечень международных и региональных (межгосударственных) стандартов, а в случае их отсутствия - национальных (государственных) стандартов, в результате применения которых на добровольной основе обеспечивается соблюдение требований технического
регламента Таможенного союза "О безопасности машин и оборудования" (ТР ТС 010/2011) и в
Перечень международных и региональных (межгосударственных) стандартов, а в случае их отсутствия - национальных (государственных) стандартов, содержащих правила и методы исследований (испытаний) и измерений, в том числе правила отбора образцов, необходимые для применения и исполнения требований технического
регламента Таможенного союза "О безопасности машин и оборудования" (ТР ТС 010/2011) и осуществления оценки соответствия объектов технического регулирования (
Решение Коллегии Евразийской экономической комиссии от 09.03.2021 N 28).
Документ включен в
Перечень стандартов, содержащих правила и методы исследований (испытаний) и измерений, в том числе правила отбора образцов, необходимые для применения и исполнения требований технического
регламента Таможенного союза "О безопасности машин и оборудования" (ТР ТС 010/2011) и осуществления оценки (подтверждения) соответствия продукции и
Перечень стандартов, в результате применения которых на добровольной основе обеспечивается соблюдение требований технического
регламента Таможенного союза "О безопасности машин и оборудования" (ТР ТС 010/2011) (
Решение Комиссии Таможенного союза от 18.10.2011 N 823 (ред. от 19.05.2015)).
Текст данного документа приведен с учетом
поправки, опубликованной в "ИУС", N 6, 2019.
Документ
введен в действие с 1 марта 2013 года.
Название документа
"ГОСТ 31543-2012. Межгосударственный стандарт. Машины кузнечно-прессовые. Шумовые характеристики и методы их определения"
(введен в действие Приказом Росстандарта от 22.11.2012 N 1002-ст)
"ГОСТ 31543-2012. Межгосударственный стандарт. Машины кузнечно-прессовые. Шумовые характеристики и методы их определения"
(введен в действие Приказом Росстандарта от 22.11.2012 N 1002-ст)
агентства по техническому
регулированию и метрологии
от 22 ноября 2012 г. N 1002-ст
МЕЖГОСУДАРСТВЕННЫЙ СТАНДАРТ
МАШИНЫ КУЗНЕЧНО-ПРЕССОВЫЕ
ШУМОВЫЕ ХАРАКТЕРИСТИКИ И МЕТОДЫ ИХ ОПРЕДЕЛЕНИЯ
Metal forging machines. Noise characteristics and methods
of their determination
ГОСТ 31543-2012
Дата введения
1 марта 2013 года
Цели, основные принципы и порядок проведения работ по межгосударственной стандартизации установлены
ГОСТ 1.0-92 "Межгосударственная система стандартизации. Основные положения" и
ГОСТ 1.2-2009 "Межгосударственная система стандартизации. Стандарты межгосударственные, правила и рекомендации по межгосударственной стандартизации. Правила разработки, принятия, применения, обновления и отмены"
1. РАЗРАБОТАН Федеральным государственным унитарным предприятием "Всероссийский научно-исследовательский институт стандартизации и сертификации в машиностроении" (ВНИИНМАШ)
2. ВНЕСЕН Федеральным агентством по техническому регулированию и метрологии Российской Федерации
3. ПРИНЯТ Межгосударственным советом по стандартизации, метрологии и сертификации (протокол N 41-2012 от 24 мая 2012 г.)
За принятие проголосовали:
Краткое наименование страны по МК (ИСО 3166) 004-97 | Код страны по МК (ИСО 3166) 004-97 | Сокращенное наименование национального органа по стандартизации |
Армения | AM | Минэкономразвития Республики Армения |
Беларусь | BY | Госстандарт Республики Беларусь |
Кыргызстан | KG | Кыргызстандарт |
Российская Федерация | RU | Росстандарт |
Узбекистан | UZ | Узстандарт |
4.
Приказом Федерального агентства по техническому регулированию и метрологии от 22 ноября 2012 г. N 1002-ст межгосударственный стандарт ГОСТ 31543-2012 введен в действие в качестве национального стандарта Российской Федерации с 1 марта 2013 г.
6. ВВЕДЕН ВПЕРВЫЕ
Информация о введении в действие (прекращении действия) настоящего стандарта публикуется в ежемесячно издаваемом указателе "Национальные стандарты".
Информация об изменениях к настоящему стандарту публикуется в ежегодно издаваемом информационном указателе "Национальные стандарты", а текст этих изменений и поправок - в ежемесячно издаваемом информационном указателе "Национальные стандарты". В случае пересмотра или отмены настоящего стандарта соответствующая информация будет опубликована в ежемесячно издаваемом информационном указателе "Национальные стандарты".
Настоящий стандарт распространяется на кузнечно-прессовые машины (КПМ), устанавливает их допустимые уровни шума при работе на холостом ходу и под нагрузкой, методы и условия проведения измерений, требования к защите от шума на рабочих местах и предназначен для целей сертификации данного оборудования.
В настоящем стандарте использованы ссылки на следующие межгосударственные стандарты:
ГОСТ 17187-81 Шумомеры. Общие технические требования и методы испытаний.
ГОСТ 23941-2002 Шум. Методы определения шумовых характеристик. Общие требования.
ГОСТ 12.1.003-83 Система стандартов безопасности труда. Шум. Общие требования безопасности
| | ИС МЕГАНОРМ: примечание. ГОСТ 12.1.028-80 утратил силу на территории Российской Федерации с 1 июля 2000 года в связи с введением в действие ГОСТ Р 51402-99 (Постановление Госстандарта России от 17.12.1999 N 544-ст). | |
ГОСТ 12.1.028-80 Система стандартов безопасности труда. Шум. Определение шумовых характеристик источников шума. Ориентировочный метод.
ГОСТ 12.1.029-80 Система стандартов безопасности труда. Средства и методы защиты от шума. Классификация
ГОСТ 12.1.050-86 Система стандартов безопасности труда. Методы определения шума на рабочих местах
ГОСТ 12.4.051-87 Система стандартов безопасности труда. Средства индивидуальной защиты органов слуха. Общие технические требования и методы испытаний
ГОСТ 12.2.040-79 Система стандартов безопасности труда. Гидроприводы объемные и системы смазочные. Общие требования безопасности к конструкции
ГОСТ 15.001-88 Система разработки и постановки продукции на производство. Продукция производственно-технического назначения.
Примечание - При пользовании настоящим стандартом целесообразно проверить действие ссылочных стандартов по указателю "Национальные стандарты", составленному по состоянию на 1 января текущего года, и по соответствующим выпускам информационного указателя за текущий год. Если ссылочный стандарт заменен (изменен), то при пользовании настоящим стандартом следует руководствоваться заменяющим (измененным). Если ссылочный стандарт отменен без замены, то положение, в котором дана ссылка на него, применяется в части, не затрагивающей эту ссылку.
3.1. В настоящем стандарте применены следующие термины: уровень звукового давления
L, уровень звука
LA, эквивалентный уровень звука
LA экв, помеха, уровень помех, определяемые по
ГОСТ 12.1.003 и
ГОСТ 23941.
3.2. По временным характеристикам шум следует подразделять на:
- постоянный, уровень звука которого за 8-часовой рабочий день (рабочую смену) изменяется во времени не более чем на 5 дБ
A при измерениях на временной характеристике "медленно" шумомера по
ГОСТ 17187, причем максимальный уровень звука, измеренный в дБ
A1 и дБ
A, соответственно, на временных характеристиках "импульс" и "медленно" отличается не менее чем на 7 дБ
A;
- непостоянный, для которого не выполняется хотя бы одно из вышеприведенных двух условий.
Непостоянный шум следует подразделять на:
- прерывистый, уровень звука которого ступенчато меняется на 5 дБA и более, причем длительность интервалов, в течение которых уровень звука остается постоянным, составляет 1 с и более;
- импульсный, состоящий из одного или нескольких звуковых сигналов, максимальные уровни звука которого измеренные в дБA1 и дБA, соответственно на временных характеристиках "импульс" и "медленно" шумомера, отличаются не менее чем на 7 дБA.
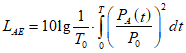
3.3. Уровень звуковой экспозиции единичного шумового импульса (события) LAE, дБA: интегральная величина, характеризующая суммарную акустическую энергию с частотной коррекцией A, воздействующую на человека за время T, с, соответствующее длительности импульса (события), которая определяется по формуле

, (1)
где T0 = 1с;
PA(t) - текущее значение среднего квадратического звукового давления с учетом коррекции A шумомера, Па;
P0 - исходное значение звукового давления (в воздухе P0 = 2·10-5 Па).
3.4. Показатель спектра шума

в дБ: величина, характеризующая форму частотного спектра широкополосного шума по
ГОСТ 12.1.003 и определяемая по формуле

, (2)
где
Lлин - уровень звука в дБ, измеренный на частотной характеристике "лин" и временной характеристике "медленно" шумомера по
ГОСТ 17187;
LA - уровень звука в дБ
A, измеренный на частотной характеристике
A и временной характеристике "медленно" шумомера по
ГОСТ 17187.
При определении показателя спектра

непостоянного шума фиксируют максимальные значения
Lлин и
LA для одинаковых шумовых режимов.
3.5. По акустическим свойствам все помещения в зависимости от соотношения их размеров (высоты, ширины, длины) делятся на две группы:
- соразмерные, у которых отношение наибольшего размера к наименьшему не более 5;
- несоразмерные, у которых это отношение больше 5.
Если помещение не прямоугольное, то в расчете используют усредненные размеры высоты, ширины и длины (при этом средний размер определяют по принципу равных площадей).
4.1. Шумовые характеристики следует определять в соответствии с требованиями настоящего стандарта и
ГОСТ 23941.
4.2. Шумовые характеристики КПМ определяют при выполнении или имитации типовой технологической операции и в режиме холостого хода.
4.3. Шумовые характеристики вновь осваиваемых КПМ определяют при проведении предварительных или приемочных испытаний опытных образцов. Результаты измерений вносят в технические условия (ТУ) или стандарты на проверяемые КПМ.
Шумовые характеристики ранее освоенных производством КПМ проверяют при периодических испытаниях. Результаты измерений используют при пересмотре ТУ или стандартов на проверяемые КПМ.
При внесении в конструкцию КПМ изменений, влияющих на их шумовые характеристики, последние проверяют при проведении типовых испытаний, а результаты измерений учитывают при внесении изменений в ТУ или стандарты.
4.4. Порядок отбора образцов КПМ, подлежащих испытаниям на шумовые характеристики, и их количество должны устанавливаться в программе и методике испытаний или, при необходимости, в соответствующих стандартах или ТУ на КПМ.
4.5. Измерения шумовых характеристик для опытного образца КПМ организует предприятие-изготовитель при участии предприятия-разработчика, для серийно выпускаемых КПМ - предприятие-изготовитель. В соответствии с
ГОСТ 15.001 ответственность за качество измерений несет предприятие, проводившее измерения.
4.6. Протокол испытаний шумовых характеристик должен быть подписан представителями организаций (предприятий), участвующих в измерениях в соответствии с
ГОСТ 15.001.
4.7. Результаты определения шумовых характеристик должны быть использованы:
- для расчета уровней звукового давления, уровней звука и эквивалентных уровней звука на рабочих местах производственных предприятий, при проведении оценки шума на соответствие
ГОСТ 12.1.003;
- при разработке мероприятий по снижению шума;
- для сравнительной оценки шума изделий.
5. Перечень шумовых характеристик
5.1. Стандарт устанавливает следующие шумовые характеристики КПМ:
а) для постоянного шума;
- уровни звука в контрольных точках LA, дБA;
- октавные уровни звукового давления в контрольных точках L, дБ;
б) непостоянного прерывистого шума:
- максимальный уровень звука на временной характеристике шумомера "медленно" в контрольных точках LA макс, дБA;
- эквивалентные уровни звука в контрольных точках LA экв, дБA;
- показатель спектра шума в контрольной точке на рабочем месте источника шума

, дБ;
в) для импульсного шума:
- максимальный уровень звука на временной характеристике шумомера "импульс" в контрольных точках LA1, дБA1;
- уровни звуковой экспозиции за один импульс (ход) в контрольных точках, LAE дБA;
- показатель спектра шума в контрольной точке на рабочем месте источника шума, дБ.
5.2. Нормируемыми шумовыми характеристиками КПМ являются:
а) для постоянного и непостоянного прерывистого шума:
- уровень звука в контрольных точках LA, дБA;
- максимальный уровень звука LA макс, дБA, на временной характеристике шумомера "медленно" в контрольных точках;
б) для импульсного шума:
- максимальный уровень звука LA1 дБA1, на временной характеристике шумомера "импульс" в контрольных точках.
Допустимые значения нормируемых шумовых характеристик приведены в
разделе 6 настоящего стандарта.
5.3. Ненормируемые шумовые характеристики
L,
LA экв,
LAE позволяют рассчитать эквивалентные уровни звука на рабочих местах в соответствии с
приложением А.
Ненормируемая шумовая характеристика

позволяет учесть спектр непостоянного шума в акустическом расчете при разработке мероприятий по шумозащите.
Ненормируемые шумовые характеристики
L,
LA экв,

и
LAE вносят в паспорт машины.
6. Допустимые максимальные значения шумовых характеристик
6.1. Максимальные уровни звука на временной характеристике шумомера "медленно" в контрольных точках при работе КПМ под нагрузкой не должны превышать значений, указанных в таблице 1.
Таблица 1
Технически достижимые для кузнечно-прессовых машин
уровни звука на временной характеристике шумомера "медленно"
в контрольных точках, расположенных на измерительном контуре
на высоте 1,5 м и на расстоянии 1 м от граней
параллелепипеда, ограничивающего машину
Наименование КПМ | Типовая технологическая операция | Максимальный уровень звука LA макс, дБA |
Кузнечно-прессовые автоматы: | | |
резьбонакатные двухроликовые автоматы усилием, кН | Изготовление изделий | |
63 - 500 | | 84 |
резьбонакатные автоматы с роликом и сегментом для винтов с диаметром резьбы, мм | То же | |
2,5 - 16 | | 84 |
автоматы для холодной навивки пружин, диаметр навиваемой проволоки, мм | " | |
0,2 - 4,0 | | 84 |
6,3 - 16 | | 86 |
автоматы для изготовления пружин кручения, диаметр навиваемой проволоки, мм | " | |
0,2 - 2,5 | | 86 |
4,0 - 6,3 | | 90 |
цепевязальные холодногибочные автоматы для круглозвенных цепей, диаметр цепной стали, мм | " | |
13 - 25 | | 85 |
автоматы для изготовления пружинных шайб, внутренний диаметр шайбы, мм | " | |
10 - 48 | | 85 |
Машины для гибки, правки и профилирования: | | |
двухвалковые правильно-полировальные машины, диаметр выправляемого прутка | Правка прутков, труб | |
до 160 мм | | 110 |
механизированные линии для производства рифленой основы и сборки сетки из рифленой основы (проволоки), диаметр | Производство рифленой основы и сборка | |
1,6 - 6 мм | | 85 |
Ковочные машины: | | |
ковочные вальцы с межосевым расстоянием | Вальцовка стальной нагретой заготовки | |
до 1000 мм | | 100 |
автоматизированные комплексы для горячей поперечно-клиновой прокатки изделий на вальцах плоскоклиновых, диаметр заготовок, мм | Прокатка изделий | |
14 - 60 | | 85 |
Ножницы: | | |
линия для продольного раскроя рулонного материала, наибольшая ширина - 1600 мм; наибольшая толщина - 4 мм | Резка материала | 95 |
линия для поперечной резки широкорулонного проката, наибольшая ширина ленты 1600 - 2000 мм; наибольшая толщина 4 мм | " | 98 |
6.2. Для КПМ с гидравлическим приводом максимальные значения шумовых характеристик устанавливаются в соответствии с предельными значениями шумовых характеристик насосных агрегатов и насосных установок, приведенных в
таблице 6 обязательного приложения ГОСТ 12.2.040.
6.3. Максимальные уровни звука на временной характеристике шумомера "импульс" в контрольных точках при работе КПМ под нагрузкой не должны превышать значений, указанных в таблице 2.
Таблица 2
Технически достижимые для кузнечно-прессовых машин
уровни звука на временной характеристике шумомера "импульс"
в контрольных точках, расположенных на измерительном контуре
на высоте 1,5 м и на расстоянии 1 м от граней
параллелепипеда, ограничивающего машину
Наименование КПМ | Типовая технологическая операция | Максимальный уровень звука LA1, дБA1 |
Кривошипные прессы: | | |
однокривошипные открытые прессы простого действия усилием, кН: | Вырубка, пробивка на штампах с параллельными режущими кромками | |
63 - 80 | | 83 |
100 - 160 | | 87 |
250 - 630 | | 100 |
1000 - 2600 | | 103 |
однокривошипные закрытые прессы простого действия усилием, кН: | То же | |
1600 - 2500 | | 98 |
3150 - 6300 | | 103 |
10000 - 25000 | | 105 |
двухкривошипные открытые прессы простого действия усилием, кН: | " | |
1000 - 2500 | | 100 |
двухкривошипные закрытые прессы простого действия усилием, кН: | " | |
1000 - 4000 | | 100 |
5000 - 8000 | | 103 |
10000 - 63000 | | 105 |
четырехкривошипные закрытые прессы простого действия усилием, кН: | Вырубка и вытяжка | |
5000 - 8000 | | 100 |
10000 - 63000 | | 105 |
однокривошипные закрытые прессы двойного действия усилием, кН: | Вытяжка с вырубкой | |
630 - 1600 | | 95 |
3150 - 8000 | | 100 |
двухкривошипные закрытые прессы простого действия усилием, кН: | То же | |
До 1600 | | 90 |
5000 - 8000 | | 100 |
четырехкривошипные закрытые прессы простого действия усилием, кН: | " | |
6300 - 10000 | | 100 |
кривошипные горячештамповочные прессы усилием, кН: | Осадка нагретой до температуры ковки заготовки | |
6300 - 16000 | | 100 |
25000 - 40000 | | 105 |
63000 - 125000 | | 110 |
кривошипные горячештамповочные прессы для штамповки в разъемных матрицах усилием, кН: | То же | |
5000 - 2500 | | 105 |
кривошипно-коленные чеканочные прессы усилием, кН: | Чеканка | |
2500 - 25000 | | 90 |
Св. 25000 - 63000 | | 98 |
кривошипно-коленные прессы для холодного выдавливания металла усилием, кН: | Осадка холодной заготовки | |
1000 - 6300 | | 90 |
винтовые прессы с дугостаторным и гидравлическим приводом усилием, кН: | Осадка нагретой до температуры ковки заготовки | |
400 - 2500 | | 90 |
4000 - 10000 | | 100 |
прессы для пробивки отверстий усилием, кН: | Пробивка отверстий | |
630 - 1600 | | 100 |
Кузнечно-прессовые автоматы: | | |
холодновысадочные двухударные (одноударные) автоматы с цельной матрицей усилием, кН: | Изготовлений деталей | |
40 - 250 | | 90 |
400 - 2500 | | 93 |
холодновысадочные многопозиционные автоматы для изделий стержневого типа усилием, кН: | То же | |
320 - 800 | | 90 |
1250 - 5000 | | 105 |
холодновысадочные многопозиционные гаечные автоматы усилием, кН: | " | |
315 - 800 | | 85 |
1250 - 8000 | | 95 |
горячештамповочные многопозиционные автоматы для изделий стержневого типа усилием, кН: | " | |
до 4000 | | 100 |
горячештамповочные многопозиционные автоматы для изделий типа гаек и колец усилием, кН: | " | |
400 - 8000 | | 85 |
1250 - 25000 | | 100 |
автоматы для холодного выдавливания деталей из цветных металлов (стаканов аэрозольных баллонов) усилием, кН: | " | |
1000 - 6300 | | 84 |
автоматы для формирования горловины аэрозольных баллонов усилием, кН: | " | |
100 - 630 | | 84 |
автоматы обрезные усилием, кН: | " | |
80 - 120 | | 85 |
160 - 630 | | 93 |
автоматы для холодной штамповки шариков усилием, кН: | " | |
80 - 315 | | 82 |
800 - 3150 | | 84 |
автоматы для холодной штамповки роликов усилием, кН: | " | |
315 - 400 | | 83 |
800 - 3150 | | 84 |
проволочно-гвоздильные одноударные автоматы усилием, кН: | Изготовление гвоздей | |
10 - 80 | | 85 |
100 - 300 | | 88 |
проволочно-отрезные автоматы для круглого и фасонного металла | Правка и отрезание прутков | 85 |
правильно-отрезные автоматы для электродов | То же | 92 |
листоштамповочные многопозиционные автоматы усилием, кН: | Изготовление деталей | |
До 1000 | | 85 |
1600 - 25000 | | 93 |
листоштамповочные автоматы с нижним приводом усилием, кН: | Вырубка-пробивка на штампах с параллельными режущими кромками | |
100 - 630 | | 85 |
1000 - 2500 | | 93 |
вырубные прессы-автоматы для чистовой вырубки и координатно-револьверные усилием, кН: | Вырубка деталей | |
100 - 630 | | 93 |
1000 - 6300 | | 110 |
прессы-автоматы для штамповки пластин статора и ротора горизонтальные усилием, кН: | Изготовление пластин | |
2·1600 - 2·2500 | | 112 |
перфорационные прессы-автоматы усилием, кН: | Изготовление деталей | |
400 - 4000 | | 112 |
механические автоматы для прессования изделий из металлических порошков усилием, кН: | Прессование изделий | |
100 - 630 | | 82 |
1000 - 6300 | | 85 |
механические автоматы для калибрования изделий из металлокерамических порошков усилием, кН: | Калибрование изделий | |
250 - 630 | | 83 |
1000 - 4000 | | 85 |
механические автоматы для прессования изделий из порошков твердых сплавов усилием, кН: | Прессование изделий | |
40 - 600 | | 83 |
Машины для гибки и профилирования: | | |
листогибочные кривошипные прессы усилием, кН: | Гибка деталей из листового и полосового проката | |
400 - 2500 | | 90 |
Ковочные машины: | | |
горизонтально-ковочные машины с вертикальным разъемом матриц усилием, кН: | Изготовление поковок | |
1600 - 6300 | | 95 |
8000 - 31500 | | 100 |
радиально-обжимные машины усилием, кН: | Изготовление деталей | |
200 - 1000 | | 95 |
1600 - 6300 | | 100 |
Молоты: | | |
пневматические ковочные молоты с энергией удара, кДж: | Осадка нагретой до температуры ковки заготовки | |
0,9 - 6,4 | | 103 |
11 - 30 | | 106 |
паровоздушные ковочные молоты двойного действия арочного типа с энергией удара, кДж: | То же | |
25 - 80 | | 115 |
паровоздушные ковочные молоты двойного действия мостового типа с энергией удара, кДж: | " | |
80 | | 115 |
паровоздушные штамповочные молоты с энергией удара кДж: | Удар по нагретой до температуры ковки плоской заготовке толщиной 8 мм. Бойки плоские | |
16 - 80 | | 116 |
высокоскоростные бесшаботные штамповочные молоты и пневматические импульсные машины с энергией удара, кДж: | То же | |
25 - 250 | | 120 |
Ножницы: | | |
кривошипные листовые ножницы с наклонным ножом для листа толщиной, мм | Резка листа | |
1,6 - 6,3 | | 90 |
12,5 - 32 | | 93 |
сортовые, ножницы усилием, кН: | Резка сортового проката | |
до 1250 | | 95 |
| | ИС МЕГАНОРМ: примечание. Значение графы "Наименование КПМ" дано в соответствии с официальным текстом документа. | |
|
1600 - 250 | | 100 |
сортовые кривошипные закрытые ножницы усилием, кН: | Резка сортового проката | |
2500 - 6300 | | 100 |
10000 - 25000 | | 110 |
комбинированные пресс-ножницы усилием, кН: | Резка сортового проката | 92 |
400 - 2500 | Пробивка отверстий | 97 |
аллигаторные скрапные ножницы усилием, кН: | Резка скрапа | |
3150 - 6300 | | 100 |
Примечание - Допускается отклонение максимальных уровней звука в пределах до +3 дБA1. |
6.4. Для КПМ массой более 60 т при невозможности определения уровня звука под нагрузкой на заводе-изготовителе (отсутствие фундамента, оснастки и др.) допускается определять значения уровня звука на холостом ходу (кроме молотов) с последующим определением допустимого максимального уровня звука под нагрузкой на предприятии-потребителе. Для молотов должны быть представлены максимальные уровни звука аналога.
Максимальный уровень звука на холостом ходу не должен превышать значений, указанных в таблице 3.
Таблица 3
Технически достижимые для кузнечно-прессовых
машин максимальные уровни звука на временной характеристике
шумомера "импульс" в контрольной точке, расположенной
на высоте 1,5 м на измерительной поверхности
и соответствующей рабочему месту, при работе
на холостом ходу в режиме "Одиночный ход"
Наименование КПМ | Максимальный уровень звука LA1, дБA1 |
Однокривошипные закрытые прессы простого действия усилием, кН: | |
10000 - 25000 | 90 |
Однокривошипные закрытые прессы двойного действия усилием, кН: | |
3150 - 10000 | 90 |
Двух- и четырехкривошипные закрытые прессы простого и двойного действия усилием, кН: | |
5000 - 63000 | 88 |
Кривошипные горячештамповочные прессы усилием, кН: | |
6300 - 125000 | 97 |
Кривошипно-коленные чеканочные прессы усилием, кН: | |
25000 - 68000 | 97 |
Кривошипные сортовые закрытые ножницы усилием, кН: | |
10000 - 40000 | 90 |
Многопозиционные горячештамповочные автоматы для изделий типа гаек и колец усилием, кН: | |
8000 - 25000 | 85 |
Горизонтально-ковочные машины с вертикальным разъемом матриц усилием, кН: | |
8000 - 31500 | 85 |
Многопозиционные листоштамповочные автоматы усилием, кН: | |
1600 - 10000 | 85 |
Примечания 1. Допускается отклонение максимальных уровней звука в пределах до +3 дБA1. 2. Уровень звука автоматов листоштамповочных многопозиционных определяется на временной характеристике шумомера "медленно" при работе автомата на непрерывных холостых ходах. |
6.5. Максимальные уровни звука комплексов, автоматических линий устанавливают по составляющим их машинам.
6.6. Шумовые характеристики КПМ с применением средств и методов коллективной защиты по
ГОСТ 12.1.029 и Средств индивидуальной защиты по ГОСТ 12.4.051 на рабочем месте не должны превышать величин, установленных действующими санитарными нормами и
ГОСТ 12.1.003.
6.7. Технически достижимые шумовые характеристики КПМ, указанные в
таблицах 1 -
3, устанавливаются на 5 лет с даты введения стандарта с последующим постепенным снижением их значений.
7. Методы определения шумовых характеристик
| | ИС МЕГАНОРМ: примечание. ГОСТ 12.1.028-80 утратил силу на территории Российской Федерации с 1 июля 2000 года в связи с введением в действие ГОСТ Р 51402-99 (Постановление Госстандарта России от 17.12.1999 N 544-ст). | |
7.1. Шумовые характеристики КПМ - источников неимпульсного шума определяют по ГОСТ 12.1.028.
7.2. В качестве контрольных точек для определения шумовых характеристик КПМ принимают точки на измерительной поверхности по ГОСТ 12.1.028. Точки измерения 1 - 4 должны быть на высоте 1,5 м от пола.
7.3. Шумовые характеристики КПМ - источников импульсного шума определяют по
10.2 настоящего стандарта.
8.1. Аппаратура для измерений должна соответствовать требованиям ГОСТ 12.1.028.
При измерениях ориентировочным методом импульсного шума допускается применять аппаратуру в соответствии с ГОСТ 12.1.028 и шумомер с микрофоном диаметром не более 12,3 мм (1/2).
9. Условия проведения измерений и подготовка к измерениям
9.1. Подготовка и условия проведения измерений - по
ГОСТ 23941.
9.2. Перед проведением измерений для определения шумовых характеристик необходимо выявить, является ли шум данного образца КПМ постоянным, прерывистым или импульсным в соответствии с
разделом 3. Характер шума определяют в контрольных точках измерительной поверхности.
9.3. Расстояние от контрольных точек до огибающего источника шума параллелепипеда (измерительное расстояние) рекомендуется принимать равным 1 м. При испытании КПМ, которые не допускают приближения микрофона на расстояние 1 м (некоторые молоты, горячештамповочные прессы), измерительное расстояние может быть выбрано более 1 м, но таким, чтобы удовлетворять ограничению на постоянную
K в соответствии с
приложением А.
| | ИС МЕГАНОРМ: примечание. ГОСТ 12.1.028-80 утратил силу на территории Российской Федерации с 1 июля 2000 года в связи с введением в действие ГОСТ Р 51402-99 (Постановление Госстандарта России от 17.12.1999 N 544-ст). | |
В число контрольных точек должно входить рабочее место оператора. Если рабочее место оператора находится на меньшем или большем расстоянии от машины, чем контрольные точки на измерительной поверхности по ГОСТ 12.1.028, то на измерительной поверхности выбирается точка, ближайшая к рабочему месту. Действительное рабочее место и контрольная точка, его представляющая, отмечают на схеме точек измерения в протоколе определения шумовых характеристик.
9.4. Измерения шумовых характеристик при работе КПМ под нагрузкой проводят при выполнении или имитации типовой технологической операции при усилии, составляющем не менее 70% от номинального.
Измерения проводят под нагрузкой и на холостом ходу в режиме работы "ОДИНОЧНЫЙ ХОД" для КПМ, работающих в данном режиме, и в режиме "АВТОРАБОТА" для автоматизированных машин и автоматов. При проведении измерений КПМ должна находиться в рабочем технически исправном состоянии. Все оградительные и шумозащитные средства должны быть приведены в исходное положение (закрыты).
9.5. При измерениях ориентировочным методом по ГОСТ 12.1.028 размеры испытательных площадок для машин, шум помех и значения поправок на шум помех должны соответствовать требованиям раздела 3 ГОСТ 12.1.028.
9.6. При измерениях ориентировочным методом для импульсного шума шум помех учитывается следующим образом.
При непостоянном шуме помех измерения возможны только в том случае, когда измеренные уровни при работе источника шума на 6 и более дБA (дБ лин) превосходят максимальные уровни помех.
При постоянном шуме помех измерения возможны только в том случае, когда разность между максимальным измеренным уровнем на временной характеристике "медленно" и уровнем помех

- 3 дБ
A (дБ лин), причем, для учета постоянного шума помех следует из максимального уровня, измеренного на временной характеристике "медленно" при работе источника шума, вычесть значения

;

, дБ
A (дБ лин) 3; 4; 5; 6 - 7

, дБ
A (дБ лин) 3; 2; 1; 0,5.
Шум помех не учитывается при измерениях на временной характеристике "импульс", если измеряемые уровни выше уровня шума помех.
9.7. При измерении на временной характеристике шумомера "медленно" уровня постоянного шума или уровня одного из режимов прерывистого шума в случае колебания стрелки прибора в пределах 5 дБ (дБA) за значение измеряемой величины принимают среднее значение показаний прибора.
10.1. Измерения эквивалентных уровней прерывистого шума проводят интегрирующими шумомерами и шумоинтеграторами, указанными в
приложении 1 ГОСТ 12.1.050. Допускается использовать шумомеры по
ГОСТ 17187, измеряя постоянные уровни для каждого из различающихся шумовых режимов прерывистого шума с последующим вычислением эквивалентных уровней в соответствии с
приложениями 3 и
4 ГОСТ 12.1.050.
При определении шумовых характеристик КПМ, выраженных в дБ
A, следует дополнительно определять в контрольной точке показатель спектра

в соответствии с
разделом 3.
10.2. Определение шумовых характеристик КПМ - источников импульсного шума проводят для каждой контрольной точки.
10.2.1. Контрольные точки для измерений выбирают по
9.3.
10.2.2. Микрофон должен быть установлен в контрольной точке и ориентирован в направлении геометрического центра испытываемого источника шума.
10.2.3. Максимальный уровень звука LA1, дБA1, измеряют на временной характеристике "импульс" для нескольких (не менее пяти) одинаковых циклов работы КПМ, фиксируя максимальные отклонения стрелки шумомера.
10.2.4. Максимальный уровень звука LA макс, дБA, измеряют на временной характеристике "медленно" и частотной характеристике "A", а также максимальный линейный уровень звука Lлин, дБ, на временной характеристике "медленно" и частотной характеристике "лин" шумомера для нескольких одинаковых циклов работы КПМ, фиксируя максимальные отклонения стрелки шумомера.
10.2.5. При наличии интегрирующего шумомера или шумоинтегратора измеряют:
для машины, работающей в автоматическом режиме,
- эквивалентный уровень звука LA экв, дБA, за несколько (5 - 10) рабочих ходов;
для машины, работающей в режиме одиночных ходов,
- уровень звуковой экспозиции LAE, дБA, за один импульс (ход) для нескольких (не менее трех) одиночных ходов.
11. Обработка результатов измерений
11.1. В результаты измерений должны быть внесены поправки:
- к показаниям измерительного прибора, которые указаны в паспорте на прибор или в ведомости его проверки;
- на постоянную шумовую помеху по
9.5 и
9.6.
11.2. Октавный уровень звукового давления
L, дБ, уровень звука
LA и эквивалентный уровень звука
LA экв, дБ
A или линейный уровень звука
Lлин, дБ лин в контрольной точке, усредненный по результатам нескольких измерений, определяют по формуле

(3)
или при разности между наибольшим и наименьшим уровнями Lj не более 5 дБ по формуле:

, (4)
где m - число измерений, выполненных в точке (m >= 3);
Lj - измеренный уровень звукового давления, уровень звука или эквивалентный уровень звука в данной точке с учетом поправок по
11.1;
11.3. Уровень звуковой экспозиции, для КПМ - источников импульсного шума за один импульс (ход) машины LAE, дБA в контрольной точке определяют следующим образом.
11.3.1. Если для машины, работающей в автоматическом режиме, измерен эквивалентный уровень звука LA экв в дБA интегрирующим шумомером или шумоинтегратором, то уровень звуковой экспозиции LAE определяют по формуле

, (5)
где n - число ходов в минуту для обследуемого режима работы машины.
11.3.2. Если измерения проводились шумомером по
ГОСТ 17187, то уровень звуковой экспозиции
LAE определяют в следующей последовательности.
При измерениях в режиме "Одиночный ход" принимают
LAE = LA макс, (6)
где
LA макс - усредненный по
11.2 максимальный уровень звука на временной характеристике "медленно".
При измерениях в режиме "Авторабота" принимают

, (7)
где LA макс - максимальное значение уровня звука на временной характеристике "медленно";

- поправка на частое следование импульсов:
n, ход/мин | 30 | 45 | 60 | 75 | 90 | 120 |
 , дБ A | 0,5 | 1 | 2 | 2,5 | 3 | 4 |
При n < 30 ход/мин уровень звуковой экспозиции за один ход определяют по формуле

, (8)
где

- уровень звука холостого хода, измеряемый в промежутках между импульсами.
11.4. Показатель спектра шума

, дБ определяют в соответствии с
разделом 3.
Октавный эквивалентный уровень звукового давления непостоянного шума определяют по формуле

, (9)
| | ИС МЕГАНОРМ: примечание. В официальном тексте документа, видимо, допущена опечатка: таблица 4 отсутствует. | |
где

- спектральная поправка, определяемая по таблице 4.
11.5. При обработке результатов измерений должны быть определены среднеквадратические отклонения измеренных уровней и рассчитанных шумовых характеристик.
11.6. Результаты измерений нормируемых шумовых характеристик должны быть представлены в виде протокола по
ГОСТ 23941 и внесены в технические условия на КПМ.
Форма протокола приведена в приложении В.
Значения ненормируемых шумовых характеристик, определенных по результатам измерений, вносят в руководство по эксплуатации.
(обязательное)
ДЛЯ ОПРЕДЕЛЕНИЯ ПОСТОЯННОЙ K, УЧИТЫВАЮЩЕЙ ВЛИЯНИЕ
ОТРАЖЕННОГО ЗВУКА В ПОЛОСЕ ЧАСТОТ, дБ
| | ИС МЕГАНОРМ: примечание. ГОСТ 12.1.028-80 утратил силу на территории Российской Федерации с 1 июля 2000 года в связи с введением в действие ГОСТ Р 51402-99 (Постановление Госстандарта России от 17.12.1999 N 544-ст). | |
S - площадь измеряемой поверхности, м2 - по ГОСТ 12.1.028;
Sv - площадь ограничивающих поверхностей помещения, м2;
as - средний коэффициент звукопоглощения.
Для соразмерных помещений:
as = 0,15;
Sv равна площади ограждающих поверхностей в помещении.
Для несоразмерных помещений:
as = 0,20;
Sv = 40 H2,
где H - высота помещения.
Постоянную K вычисляют также по формуле
Таблица А.1
 , дБ | Поправка к  , дБ в октавных полосах со среднегеометрическими частотами, Гц |
31,5 | 63 | 125 | 250 | 500 | 1000 | 2000 | 4000 | 8000 |
-1,0 | -27,1 | -26,3 | -24,9 | -21,9 | -18,6 | -12,0 | -3,0 | -7,0 | -15,8 |
0 | -21,8 | -18,7 | -16,5 | -13,8 | -9,5 | -6,5 | -5,2 | -7,0 | -11,4 |
1,0 | -17,4 | -14,2 | -11,3 | -8,4 | -6,0 | -4,4 | -6,1 | -9,5 | -14,4 |
2,0 | -11,9 | -9,2 | -7,7 | -6,1 | -4,7 | -4,1 | -6,8 | -10,6 | -14,4 |
3,0 | -8,1 | -6,7 | -5,3 | -4,0 | -3,7 | -4,1 | -7,4 | -11,6 | -16,1 |
4,0 | -6,2 | -4,1 | -3,3 | -2,6 | -2,8 | -4,3 | -7,9 | -12,4 | -17,1 |
5,0 | -5,1 | -3,0 | -1,4 | -0,9 | -2,4 | -4,7 | -8,5 | -13,7 | -19,0 |
6,0 | -3,4 | -1,2 | 0,2 | 0,2 | -2,0 | -4,8 | -9,7 | -14,8 | -19,8 |
7,0 | -1,9 | 0,2 | 2,2 | 0,7 | -2,1 | -5,3 | -9,9 | -14,4 | -18,5 |
8,0 | -1,2 | 1,2 | 3,8 | 1,7 | -1,8 | -5,6 | -11,1 | -17,0 | -24,1 |
9,0 | 1,8 | 4,2 | 4,3 | 2,2 | -2,0 | -5,7 | -11,1 | -16,8 | -22,8 |
10,5 | 5,0 | 7,1 | 5,5 | 1,8 | -2,4 | -6,4 | -10,6 | -14,0 | -17,1 |
13,0 | 7,9 | 9,9 | 9,0 | 2,5 | -3,0 | -7,3 | -11,6 | -16,4 | -20,7 |
16,0 | 11,8 | 14,0 | 11,1 | 2,3 | -3,9 | -9,3 | -13,5 | -18,0 | -22,5 |
(справочное)
РАСЧЕТ
ШУМОВЫХ ХАРАКТЕРИСТИК РАБОЧИХ МЕСТ
ИСТОЧНИКОВ НЕПОСТОЯННОГО ШУМА
Согласно
ГОСТ 12.1.003 для непостоянного шума нормируются две шумовые характеристики рабочих мест - максимальный уровень звука на временной характеристике шумомера "медленно" в контрольных точках
LA макс (для прерывистого шума) или максимальный уровень звука на временной характеристике шумомера "импульс" в контрольных точках
LA1 (для импульсного шума); - эквивалентный уровень звука
LA экв.
Первая из этих характеристик совпадает с шумовой характеристикой КПМ - источника непостоянного шума по
5.1 и не требует расчета. Для проверки выполнения норм максимального шума на рабочем месте достаточно проконтролировать выполнение неравенства:
LA макс < 110 дБA или LA1 < 125 дБA1.
Вторая характеристика определяется расчетом.
Эквивалентный уровень
LA экв рм в контрольной точке, соответствующей рабочему месту КПМ в зоне прямого звука источника, определяют, исходя из шумовых характеристик источника по
5.1, непосредственно по величине
LA экв для источника прерывистого шума или по формуле
LA экв = LAE + 10 lg(N/T),
где N - сменное задание для данной машины, штук за смену;
T - длительность рабочей смены, с (8 ч = 28800 с).
| | ИС МЕГАНОРМ: примечание. Здесь и далее в официальном тексте документа, видимо, допущена опечатка: библиография в документе отсутствует. | |
Дополнительный шум, возникающий в помещении, может быть учтен введением в
формулу (1) постоянной
K по
приложению А или рассчитан по [1]:
Примеры
1. Рассчитать LA экв для пресса КД 2124 Е усилием 250 кН. Дано: LAK = 87 дБA;
LA экв = 87 + 10 lg (7000/28800) = 817 - 6 = 81 дБA.
2. Рассчитать максимальное сменное задание N, при котором обеспечиваются нормы шума на рабочем месте 80 дБA.
Дано: LAK = 93 дБA; T = 8 ч.
Расчет выполняют по формуле:
10 lg N = LA экв. доп - LAK + 10 lg T = 80 - 93 + 45 = 32; lg N = 3,2; N = 1585.
3. Определить спектр шума на рабочем месте источника шума для проектирования средств шумозащиты.
Дано:
LAK = 97 дБ
A;
N = 12000;
T = 8 ч;

.
LA экв = LAK + 10 lg(N/T) = 97 + 10 lg 0,42 = 93 дБA.
По [1] определяют со среднеквадратической ошибкой +/- 4 дБ спектр октавных эквивалентных уровней звукового давления
Lэкв, отвечающий значению

, для октавных полос 31,5; 63; 125; 250; 500; 1000; 2000; 4000; 8000 Гц соответственно 84; 85; 87; 88; 189; 88; 83; 83; 79.
(обязательное)
___________________________________________________________________________
(наименование организации)
ПРОТОКОЛ
определения шумовых характеристик по ГОСТ
___________________________________________________________________________
(наименование машины, модель)
___________________________________________________________________________
(предприятие-изготовитель)
________________ ______________________ _________________________________
(должность) (личная подпись) (инициалы, фамилия исполнителя)
" " 20 г.
────────────────────────────
(дата проведения измерений)
Заводской номер машины |
Дата изготовления |
Цель испытаний |
Габаритные размеры машины, м: длина ширина высота |
Размеры ограничивающего параллелепипеда, м: длина ширина высота |
Размеры измерительной поверхности, м: длина ширина высота |
Площадь измерительной поверхности, м2 S = |
Характеристика помещения, в котором проводятся измерения: - средний коэффициент звукопоглощения в помещении, одинаковый для всех частот, as = - площадь ограничивающих поверхностей в помещении, включая пол, м2 Sv = - постоянная, учитывающая акустические свойства помещения, дБA K = |
Место и способ установки машины |
Схема расположения измерительных точек |
Измерительная аппаратура |
Временная характеристика шумомера |
Режим работы |
Результаты измерений
Измеряемая величина | N точки измерения | Данные измерения | Среднее значение |
Для постоянного шума: | | | |
Уровень звука LA, дБA | 1 |
| 2 |
3 |
4 |
Для импульсного шума: | | | |
Максимальный уровень звука LA1, дБA | 1 |
2 |
3 |
4 |
Для непостоянного и импульсного шума: | | | |
Максимальный уровень звука LA макс, дБA | 1 |
| 2 |
3 |
4 |
| | | |
Максимальный уровень звука Lлин. макс, дБ | 1 | | |
| 2 |
3 |
4 |
Эквивалентный уровень звука <*>LA экв, дБA | 1 | | |
| 2 |
3 |
4 |
<*> При измерении интегрирующим шумомером или шумоинтегратором. |
Обработка результатов измерений проводится в соответствии с
разделом 11 настоящего стандарта.