Главная // Актуальные документы // ГОСТ (Государственный стандарт)СПРАВКА
Источник публикации
М.: Стандартинформ, 2014
Примечание к документу
Документ
введен в действие с 01.01.2015.
Взамен ГОСТ 11067-85.
Название документа
"ГОСТ 11067-2013. Межгосударственный стандарт. Стекло и изделия из него. Метод определения механических свойств. Определение ударной вязкости"
(введен в действие Приказом Росстандарта от 22.11.2013 N 1987-ст)
"ГОСТ 11067-2013. Межгосударственный стандарт. Стекло и изделия из него. Метод определения механических свойств. Определение ударной вязкости"
(введен в действие Приказом Росстандарта от 22.11.2013 N 1987-ст)
Введен в действие
агентства по техническому
регулированию и метрологии
от 22 ноября 2013 г. N 1987-ст
МЕЖГОСУДАРСТВЕННЫЙ СТАНДАРТ
СТЕКЛО И ИЗДЕЛИЯ ИЗ НЕГО
МЕТОД ОПРЕДЕЛЕНИЯ МЕХАНИЧЕСКИХ СВОЙСТВ.
ОПРЕДЕЛЕНИЕ УДАРНОЙ ВЯЗКОСТИ
Glass and glass products.
Method for determination of mechanical properties.
Determination of impact toughness
ГОСТ 11067-2013
Дата введения
1 января 2015 года
Цели, основные принципы и основной порядок проведения работ по межгосударственной стандартизации установлены
ГОСТ 1.0-92 "Межгосударственная система стандартизации. Основные положения" и
ГОСТ 1.2-2009 "Межгосударственная система стандартизации. Стандарты межгосударственные, правила и рекомендации по межгосударственной стандартизации. Правила разработки, принятия, применения, обновления и отмены".
1. Разработан Открытым акционерным обществом "Институт стекла".
2. Внесен Федеральным агентством по техническому регулированию и метрологии.
3. Принят Межгосударственным советом по стандартизации, метрологии и сертификации (Протокол N 61-П от 5 ноября 2013 г.).
За принятие проголосовали:
Краткое наименование страны по МК (ИСО 3166) 004-97 | Код страны по МК (ИСО 3166) 004-97 | Сокращенное наименование национального органа по стандартизации |
Армения | AM | Минэкономики Республики Армения |
Беларусь | BY | Госстандарт Республики Беларусь |
Киргизия | KG | Кыргызстандарт |
Молдова | MD | Молдова-Стандарт |
Россия | RU | Росстандарт |
Таджикистан | TJ | Таджикстандарт |
Узбекистан | UZ | Узстандарт |
4.
Приказом Федерального агентства по техническому регулированию и метрологии от 22 ноября 2013 г. N 1987-ст межгосударственный стандарт ГОСТ 11067-2013 введен в действие в качестве национального стандарта Российской Федерации с 1 января 2015 г.
5. Взамен ГОСТ 11067-85.
Информация об изменениях к настоящему стандарту публикуется в ежегодном информационном указателе "Национальные стандарты", а текст изменений и поправок - в ежемесячных информационных указателях "Национальные стандарты". В случае пересмотра (замены) или отмены настоящего стандарта соответствующее уведомление будет опубликовано в ежемесячном информационном указателе "Национальные стандарты". Соответствующая информация, уведомления и тексты размещаются также в информационной системе общего пользования - на официальном сайте Федерального агентства по техническому регулированию и метрологии в сети Интернет.
Настоящий стандарт устанавливает метод определения ударной вязкости и распространяется на стекло, изделия из него и стеклокристаллические материалы (стекло листовое, закаленное, термоупрочненное, стекло с покрытием, многослойное стекло, ситаллы, шлакоситаллы и т.д.).
Метод, установленный в настоящем стандарте, применяют при проведении исследовательских, лабораторных, контрольных и других видов испытаний.
В настоящем стандарте использованы ссылки на следующие межгосударственные стандарты:
ГОСТ 12.1.004-91 Система стандартов безопасности труда. Пожарная безопасность. Общие требования
| | ИС МЕГАНОРМ: примечание. ГОСТ 12.4.013-85 утратил силу на территории Российской Федерации. Постановлением Госстандарта России от 28.04.1997 N 198 с 1 июля 1998 года введен в действие ГОСТ Р 12.4.013-97. | |
ГОСТ 12.4.013-85 Система стандартов безопасности труда. Очки защитные. Общие технические условия
Примечание. При пользовании настоящим стандартом целесообразно проверить действие ссылочных стандартов в информационной системе общего пользования - на официальном сайте Федерального агентства по техническому регулированию и метрологии в сети Интернет или по ежегодному информационному указателю "Национальные стандарты", который опубликован по состоянию на 1 января текущего года, и по выпускам ежемесячного информационного указателя "Национальные стандарты" за текущий год. Если ссылочный стандарт заменен (изменен), то при пользовании настоящим стандартом следует руководствоваться заменяющим (измененным) стандартом. Если ссылочный стандарт отменен без замены, то положение, в котором дана ссылка на него, применяется в части, не затрагивающей эту ссылку.
В настоящем стандарте применены следующие термины с соответствующими определениями:
3.1. Ударная вязкость: способность материала поглощать механическую энергию в процессе деформации и разрушения под действием ударной нагрузки.
3.2. Стеклокристаллический материал: материал, полученный кристаллизацией стекла соответствующего химического состава.
Метод состоит в определении энергии, затрачиваемой на разрушение образца, свободно лежащего на опорах, при однократном ударе маятника.
5. Условия проведения испытаний
Испытания по определению ударной вязкости проводят при:
- температуре (20 +/- 5) °C;
- относительной влажности воздуха от 40% до 70%.
В исследовательских целях возможно проведение испытаний при других температурах, что должно быть указано в протоколе испытаний.
Перед проведением испытаний образцы должны быть выдержаны в условиях проведения испытания не менее 12 ч.
6. Требования безопасности
6.1. Требования безопасности при проведении испытаний устанавливают в соответствии с гигиеническими правилами, правилами по электробезопасности, правилами противопожарной безопасности в соответствии с применяемым испытательным оборудованием.
6.2. Пожарную безопасность обеспечивают системами предотвращения пожара, противопожарной защиты, организационно-техническими мероприятиями по
ГОСТ 12.1.004.
6.3. Лица, проводящие испытания, должны быть обеспечены защитными очками по ГОСТ 12.4.013. В помещении должны быть вода и аптечка с медикаментами для оказания первой помощи при ушибах и порезах.
6.4. Для обеспечения безопасности работающих на маятниковом копре необходимо сделать ограждение для разлетающихся осколков испытываемого образца.
7. Испытательное оборудование и средства измерений
7.1. Испытательное оборудование
7.1.1. Для проведения испытаний используют маятниковый копер, схема которого показана на рисунке 1, со сменными маятниками и энергией удара (запасом потенциальной энергии маятника) от 1 до 4 Дж.
1 - стойки; 2 - маятник; 3 - подъемная рама; 4 - образец
Рисунок 1
Допускается использовать маятниковый копер с большей энергией удара (запасом потенциальной энергии).
Конструкция копра должна обеспечивать касание ножа маятника по линии в вертикальной плоскости с поверхностью испытываемого образца. Отклонение положения рабочей кромки ножа маятника от испытываемого образца должно быть не более +/- 0,1 мм.
Характеристики маятникового копра приведены в таблице 1.
Таблица 1
Характеристики применяемого маятникового копра
Энергия удара, Дж | Скорость маятника в момент удара, м/с | Максимальные потери на трение, % |
1,00 +/- 0,005 | 2,90 +/- 0,05 | 1,0 |
2,00 +/- 0,010 | 1,0 |
4,00 +/- 0,020 | 0,5 |
Допускается использовать маятниковый копер другой конструкции, при этом он должен отвечать всем заданным требованиям.
Маятник должен быть расположен между опорами с отклонением не более 0,5 мм от центра.
Размеры ножа маятника:
- угол заострения - (30,0 +/- 1,0)°;
- радиус закругления - (2,0 +/- 0,5) мм.
Угол подъема маятника до 160°.
Угол между поверхностью образца и ударной кромкой (30,0 +/- 1,0)°.
Расстояние в свету между опорами, на которые помещают образец, не менее (40 +/- 1) мм.
Микрометр по
ГОСТ 6507 с ценой деления не более 0,01 мм или другие средства измерений с ценой деления не более 0,01 мм.
Штангенциркуль по
ГОСТ 166 с ценой деления не более 0,1 мм.
7.3. Оборудование (маятниковый копер) и средства измерений должны быть поверены, откалиброваны или аттестованы в установленном порядке.
8. Отбор и подготовка образцов
8.1. Порядок отбора образцов для проведения испытаний установлен в утвержденных нормативных документах на испытываемое стекло, изделия из стекла, стеклокристаллические материалы или в договоре на проведение испытаний.
8.2. Образцы для испытаний должны соответствовать требованиям нормативных документов.
8.3. Для испытаний отбирают количество образцов, указанное в нормативных документах, но не менее 10 образцов, не имеющих пороков внешнего вида (трещин, царапин, сколов, инородных включений и т.д.), вырезанных из готовых изделий или изготовленных по той же технологии.
8.4. Для проведения испытаний используют образцы следующих размеров:
длина (120,0 +/- 1,0) мм, ширина (15,0 +/- 0,5) мм, толщина (6,0 +/- 0,3) мм, при этом в месте нанесения удара разнотолщинность образца должна быть не более 0,1 мм, и разброс при измерении ширины образца должен быть не более 0,1 мм.
В случае невозможности изготовления образцов указанных размеров допускается проводить испытания на образцах других размеров, что должно быть указано в протоколе испытаний.
8.5. Геометрические размеры образцов проверяют при помощи средств измерения по
7.2 и по методикам, приведенным в нормативных документах на испытываемое стекло, изделия из него и стеклокристаллические материалы.
8.6. Кромки испытываемых образцов должны соответствовать требованиям нормативных документов на соответствующий вид продукции. Вид обработки кромки указывают в протоколе испытаний.
9.1. Испытания проводят в соответствии с Руководством по использованию маятникового копра.
9.2. Выбирают сменный маятник с таким запасом потенциальной энергии, чтобы на разрушение образца было израсходовано не менее 50% запаса энергии маятника.
9.3. Перед проведением испытания выполняют несколько предварительных испытаний без образцов, чтобы убедиться, что общие потери на трение не превышают значений, указанных в
7.1.1.
9.4. Образец помещают на опоры таким образом, чтобы нож маятника располагался в центре образца. Погрешность установки центра образца по отношению к ножу маятника не должна превышать 0,5 мм. Удар наносят по плоскости образца.
9.5. Проводят испытание и определяют энергию, затраченную на разрушение образца.
| | ИС МЕГАНОРМ: примечание. Нумерация пунктов дана в соответствии с официальным текстом документа. | |
9.7. Если образец разрушился, результат записывают в протокол. Если образец не разрушился или откололась малая часть (угол), испытания проводят с большей энергией удара.
10. Обработка результатов испытаний
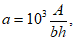
10.1. Ударную вязкость a, кДж/м2, каждого образца вычисляют по формуле 1

(1)
где A - энергия, затраченная на разрушение образца, Дж;
h - толщина образца, мм.
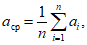
10.2. За результат испытаний принимают среднее арифметическое ударной вязкости всех испытанных образцов.
Среднее арифметическое ударной вязкости образцов вычисляют по формуле 2

(2)
где n - количество испытанных образцов;

- ударная вязкость i-образца.
10.3. Среднее квадратическое отклонение вычисляют по формуле 3.

(3)
10.4. Результат измеренной величины ударной вязкости каждого образца не должен отличаться от среднего арифметического значения ударной вязкости на величину среднего квадратического отклонения. Допускается отклонение ударной вязкости не более чем у двух образцов.
11. Оформление результатов испытаний
Результаты испытаний оформляют протоколом, в котором указывают:
- наименование испытательного центра (лаборатории) и номер аттестата аккредитации, его юридический адрес и контактный телефон;
- наименование, юридический адрес организации - заказчика испытаний;
- наименование, юридический адрес организации - изготовителя образцов (если он известен);
- наименование испытываемой продукции, маркировку образцов и нормативный документ на объект испытаний;
- обозначение настоящего стандарта;
- сведения об отборе образцов;
- описание образцов;
- размеры образцов (мм);
- вид обработки кромки;
- результаты испытаний (среднее арифметическое ударной вязкости и среднее квадратическое отклонение);
- дату проведения испытаний;
- температуру образцов при проведении испытаний;
- подписи руководителя испытательного центра (лаборатории) и испытателя, печать испытательного центра (лаборатории).