Главная // Актуальные документы // ГОСТ (Государственный стандарт)СПРАВКА
Источник публикации
М.: Стандартинформ, 2016
Примечание к документу
Документ
введен в действие с 1 июля 2017 года.
Название документа
"ГОСТ 33657.1-2015 (ISO 16358-1:2013). Межгосударственный стандарт. Кондиционеры с воздушным охлаждением и воздухо-воздушные тепловые насосы. Методы испытаний и расчета сезонного коэффициента эффективности. Часть 1. Сезонный коэффициент эффективности охлаждения"
(введен в действие Приказом Росстандарта от 25.05.2016 N 408-ст)
"ГОСТ 33657.1-2015 (ISO 16358-1:2013). Межгосударственный стандарт. Кондиционеры с воздушным охлаждением и воздухо-воздушные тепловые насосы. Методы испытаний и расчета сезонного коэффициента эффективности. Часть 1. Сезонный коэффициент эффективности охлаждения"
(введен в действие Приказом Росстандарта от 25.05.2016 N 408-ст)
агентства по техническому
регулированию и метрологии
от 25 мая 2016 г. N 408-ст
МЕЖГОСУДАРСТВЕННЫЙ СТАНДАРТ
КОНДИЦИОНЕРЫ С ВОЗДУШНЫМ ОХЛАЖДЕНИЕМ
И ВОЗДУХО-ВОЗДУШНЫЕ ТЕПЛОВЫЕ НАСОСЫ
МЕТОДЫ ИСПЫТАНИЙ И РАСЧЕТА СЕЗОННОГО
КОЭФФИЦИЕНТА ЭФФЕКТИВНОСТИ
ЧАСТЬ 1
СЕЗОННЫЙ КОЭФФИЦИЕНТ ЭФФЕКТИВНОСТИ ОХЛАЖДЕНИЯ
Air-cooled air conditioners and air-to-air heat pumps.
Testing and calculating methods for seasonal performance
factors. Part 1. Cooling seasonal performance factor
(ISO 16358-1:2013, MOD)
ГОСТ 33657.1-2015
(ISO 16358-1:2013)
Дата введения
1 июля 2017 года
Цели, основные принципы и основной порядок проведения работ по межгосударственной стандартизации установлены
ГОСТ 1.0-2015 "Межгосударственная система стандартизации. Основные положения" и
ГОСТ 1.2-2015 "Межгосударственная система стандартизации. Стандарты межгосударственные, правила и рекомендации по межгосударственной стандартизации. Правила разработки, принятия, обновления и отмены".
1 ПОДГОТОВЛЕН Техническим комитетом по стандартизации Российской Федерации ТК 061 "Вентиляция и кондиционирование", Федеральным государственным унитарным предприятием "Всероссийский научно-исследовательский институт стандартизации и сертификации в машиностроении" (ВНИИНМАШ) на основе собственного перевода на русский язык англоязычной версии международного стандарта, указанного в
пункте 5
2 ВНЕСЕН Федеральным агентством по техническому регулированию и метрологии
3 ПРИНЯТ Межгосударственным советом по стандартизации, метрологии и сертификации (протокол от 10 декабря 2015 N 48-2015)
За принятие проголосовали:
Краткое наименование страны по МК (ИСО 3166) 004-97 | Код страны по МК (ИСО 3166) 004-97 | Сокращенное наименование национального органа по стандартизации |
Азербайджан | AZ | Азстандарт |
Армения | AM | Минэкономики Республики Армения |
Беларусь | BY | Госстандарт Республики Беларусь |
Киргизия | KG | Кыргызстандарт |
Россия | RU | Росстандарт |
Таджикистан | TJ | Таджикстандарт |
4
Приказом Федерального агентства по техническому регулированию и метрологии от 25 мая 2016 г. N 408-ст межгосударственный стандарт введен в действие в качестве национального стандарта Российской Федерации с 1 июля 2017 г.
5 Настоящий стандарт является модифицированным по отношению к международному стандарту ISO 16358-1:2013 "Кондиционеры с воздушным охлаждением и воздухо-воздушные тепловые насосы. Методы испытаний и расчета сезонного коэффициента эффективности. Часть 1. Сезонный коэффициент эффективности охлаждения" ("Air-cooled air conditioners and air-to-air heat pumps - Testing and calculating methods for seasonal performance factors - Part 1: Cooling seasonal performance factor", MOD) путем изменения ссылок.
Ссылки на международные стандарты заменены в
разделе "Нормативные ссылки" и тексте стандарта ссылками на соответствующие идентичные и модифицированные межгосударственные стандарты.
Сведения о соответствии ссылочных межгосударственных стандартов международным стандартам, использованных в качестве ссылочных в примененном международном стандарте приведены в дополнительном
приложении ДА.
Международный стандарт разработан техническим комитетом по стандартизации ISO/TC 86 "Охлаждение и кондиционирование воздуха" Международной организации по стандартизации (ISO).
Официальные экземпляры международного стандарта, на основе которого подготовлен настоящий межгосударственный стандарт, и международные стандарты, на которые даны ссылки, имеются в национальных органах по стандартизации указанных выше государств
6 ВВЕДЕН ВПЕРВЫЕ
Информация об изменениях к настоящему стандарту публикуется в ежегодном информационном указателе "Национальные стандарты", а текст изменений и поправок - в ежемесячном информационном указателе "Национальные стандарты". В случае пересмотра (замены) или отмены настоящего стандарта соответствующее уведомление будет опубликовано в ежемесячном информационном указателе "Национальные стандарты". Соответствующая информация, уведомление и тексты размещаются также в информационной системе общего пользования - на официальном сайте Федерального агентства по техническому регулированию и метрологии в сети Интернет (www.gost.ru).
1.1 Настоящий стандарт определяет методы испытаний и расчета для определения сезонного коэффициента эффективности для оборудования, рассмотренного в
ГОСТ 32970,
ГОСТ 32969 и
[1].
1.2 Настоящий стандарт также определяет обязательные условия и соответствующие процедуры проведения испытаний для определения сезонного коэффициента эффективности (см.
1.1) и предназначен для сравнения с целью последующей маркировки и сертификации. Настоящий стандарт применяется для стандартных номинальных температурных условий T1 ссылочных стандартов (см.
1.1). Процедуры, описанные в настоящем стандарте, могут быть использованы и для других температурных условий.
1.3 Настоящий стандарт не применим к оценке и испытанию следующего оборудования:
a) тепловым насосам, использующим воду, и кондиционерам с водяным охлаждением;
b) мобильным устройствам, имеющим конденсаторный вытяжной канал;
c) отдельным узлам, не составляющим законченную систему охлаждения;
d) оборудованию, использующему абсорбционный цикл охлаждения.
В настоящем стандарте использованы нормативные ссылки на следующие межгосударственные стандарты:
ГОСТ 32969-2014 (ISO 13253:2011) Кондиционеры и воздухо-воздушные тепловые насосы с воздуховодами. Испытания и оценка рабочих характеристик.
ГОСТ 32970-2014 (ISO 5151:2010) Кондиционеры и тепловые насосы без воздуховодов. Испытания и оценка рабочих характеристик
Примечание - При пользовании настоящим стандартом целесообразно проверить действие ссылочных стандартов в информационной системе общего пользования - на официальном сайте Федерального агентства по техническому регулированию и метрологии в сети Интернет или по ежегодному информационному указателю "Национальные стандарты", который опубликован по состоянию на 1 января текущего года, и по выпускам ежемесячного информационного указателя "Национальные стандарты" за текущий год. Если ссылочный стандарт заменен (изменен), то при пользовании настоящим стандартом следует руководствоваться заменяющим (измененным) стандартом. Если ссылочный стандарт отменен без замены, то положение, в котором дана ссылка на него, применяется в части, не затрагивающей эту ссылку.
В настоящем стандарте применены термины по
ГОСТ 32969,
ГОСТ 32970, а также следующие термины с соответствующими определениями:
3.1 заданная нагрузка охлаждения LC (defined cooling load): Востребованная нагрузка охлаждения при заданной температуре наружного воздуха.
3.2 общая сезонная нагрузка охлаждения CSTL (cooling seasonal total load): Общее годовое количество тепла, отводимого из воздуха, находящегося в помещении, при эксплуатации оборудования в активном режиме охлаждения.
3.3 сезонное потребление энергии для охлаждения CSEC (cooling seasonal energy consumption): Общее годовое количество энергии, потребляемое оборудованием, при эксплуатации оборудования в активном режиме охлаждения.
3.4 сезонный коэффициент эффективности охлаждения CSPF (cooling seasonal performance factor): Отношение общего годового количества тепла, которое оборудование может отвести из воздуха, находящегося в помещении, при работе на охлаждение в активном режиме, к общему годовому количеству энергии, потребляемому оборудованием.
3.5 часть коэффициента нагрузки PLF (part load factor): Отношение производительности при цикличной работе оборудования к производительности оборудования в непрерывном режиме, при одинаковых условиях температуры и влажности.
3.6 коэффициент понижения CD (degradation coefficient): Коэффициент, показывающий понижение эффективности, вызванной работой оборудования в цикличном режиме.
3.7 установка с нерегулируемой производительностью (fixed capacity unit): Оборудование, в котором не предусмотрена возможность изменения производительности.
Примечание - Это определение применимо как к режиму охлаждения, так и к режиму нагрева.
3.8 установка с двуступенчатой производительностью [two (2)-stage capacity unit]: Оборудование, в котором предусмотрена возможность работы в двух режимах (ступенях) различной производительности.
Примечание - Это определение применимо как к режиму охлаждения, так и к режиму нагрева.
3.9 установка с многоступенчатой производительностью (multi-stage capacity unit): Оборудование, в котором предусмотрена возможность работы в трех или четырех режимах различной производительности.
Примечание - Это определение применимо как к режиму охлаждения, так и к режиму нагрева.
3.10 установка с регулируемой производительностью (variable capacity unit): Оборудование, в котором предусмотрена возможность работы в пяти или более режимах, обеспечивающих плавное изменение производительности.
Примечание - Это определение применимо как к режиму охлаждения, так и к режиму нагрева.
3.11 работа в режиме охлаждения с полной нагрузкой (cooling full-load operation): Работа систем управления и оборудования вместе с холодильной установкой, настроенной на максимальную производительность, указанную изготовителем и разрешенную в системе регулирования.
Примечание - Если не срабатывают автоматические регуляторы, то все внутренние блоки и компрессоры в данном режиме должны работать непрерывно.
3.12 работа с минимальной нагрузкой (minimum-load operation): Работа оборудования и систем управления в режиме, настроенном на минимальную постоянную холодопроизводительность.
Примечание - Все внутренние блоки в данном режиме должны работать непрерывно.
3.13 стандартная полная холодопроизводительность (standard cooling full capacity): Холодопроизводительность в условиях T1 при работе с полной нагрузкой.
3.14 стандартная полная потребляемая мощность на охлаждение (standard cooling full power input): Потребляемая электрическая мощность в условиях T1 при работе с полной нагрузкой.
3.15 половина стандартной холодопроизводительности (standard cooling half capacity): Производительность, составляющая 50% полной холодопроизводительности в условиях T1 при всех работающих внутренних блоках.
3.16 половина стандартной потребляемой мощности на охлаждение (standard cooling half power input): Потребляемая электрическая мощность при работе на 50% полной холодопроизводительности в условиях T1 при всех работающих внутренних блоках.
3.17 стандартная минимальная холодопроизводительность (standard cooling minimum capacity): Производительность в условиях T1 при работе с минимальной нагрузкой.
3.18 стандартная минимальная потребляемая мощность охлаждения (standard cooling minimum power input): Потребляемая электрическая мощность в условиях T1 при работе с минимальной нагрузкой.
3.19 общий сезонный коэффициент эффективности охлаждения TCSPF (total cooling seasonal performance factor): Отношение общего годового количества тепла, которое оборудование может отвести из воздуха, находящегося в помещении, к общему годовому количеству энергии, которое потребляет оборудование, в том числе в активных, неактивных и отключенных режимах.
3.20 активный режим (active mode): Режим, соответствующий количеству часов, при котором в устройстве в соответствии с потребностью помещений включена функция охлаждения.
3.21 неактивный режим (inactive mode): Режим, соответствующий количеству часов, при котором устройство не работает для удовлетворения потребностей в охлаждении.
Примечание - Этот режим может включать в себя работу с подогревателем картера компрессора.
3.22 отключенный режим (disconnected mode): Режим, соответствующий количеству часов, при котором устройство отключено от основного источника питания.
Примечание - В отключенном режиме потребляемая мощность равна нулю.
В настоящем стандарте применены следующие обозначения:
CCSE | - | сезонное потребление энергии для охлаждения (CSEC), Вт·ч; |
EER(t) | - | коэффициент полезного действия (EER) при постоянной температуре наружного воздуха t, Вт/Вт; |
EER(tj) | - | коэффициент полезного действия (EER) при температуре наружного воздуха tj, Вт/Вт; |
EER,ful(tb) | - | коэффициент полезного действия охлаждения (EER) при работе с полной нагрузкой, Вт/Вт; |
EER,haf(tc) | - | коэффициент полезного действия охлаждения (EER) при работе вполовину нагрузки, Вт/Вт; |
EER,hf(tj) | - | коэффициент полезного действия (EER) в переходном периоде между половинной нагрузкой и полной нагрузкой при температуре наружного воздуха tj, Вт/Вт; |
EER,mh(tj) | - | коэффициент полезного действия (EER) в переходном периоде между минимальной нагрузкой и половинной нагрузкой при температуре наружного воздуха tj, Вт/Вт; |
EER,min(tp) | - | коэффициент полезного действия (EER) в случае, когда нагрузка на охлаждение равна минимальной производительности, Вт/Вт; |
FCSP | - | сезонный коэффициент эффективности охлаждения (CSPF); |
FPL(tj) | - | часть коэффициента нагрузки (PLF) при температуре наружного воздуха tj; |
FTCSP | - | общий сезонный коэффициент эффективности охлаждения (TCSPF); |
LCST | - | общая сезонная нагрузка охлаждения (CSTL), Вт·ч; |
Lc(tj) | - | заданная нагрузка охлаждения при температуре наружного воздуха tj, Вт; |
nj | - | соответствующее время, ч; |
k, p, n, m | - | обозначения соответствующих температур; |
P(t) | - | потребляемая мощность на охлаждение, рассчитываемая на основе формулы для P(tj) при постоянной температуре наружного воздуха t, Вт; |
P(tj) | - | потребляемая мощность на охлаждение применительно к любой производительности при температуре наружного воздуха tj, Вт; |
Pful(tj) | - | полная потребляемая мощность на охлаждение при температуре наружного воздуха tj, Вт; |
Pful(35) | - | полная потребляемая мощность на охлаждение при температурных условиях T1, Вт; |
Pful(29) | - | полная потребляемая мощность на охлаждение при температуре наружного воздуха 29 °C, Вт; |
Phaf(tj) | - | половина потребляемой мощности на охлаждение при температуре наружного воздуха tj, Вт; |
Phaf(35) | - | половина потребляемая мощности на охлаждение при температурных условиях T1, Вт; |
Phaf(29) | - | половина потребляемой мощности на охлаждение при температуре наружного воздуха 29 °C, Вт; |
Phf(tj) | - | потребляемая мощность на охлаждение в переходном периоде между половинной и полной нагрузкой при температуре наружного воздуха tj, Вт; |
Pmf(tj) | - | потребляемая мощность на охлаждение во второй фазе цикличного режима между минимальной и максимальной нагрузками при температуре наружного воздуха tj, Вт; |
Pmh(tj) | - | потребляемая мощность на охлаждение в переходном периоде между минимальной и половинной нагрузкой при температуре наружного воздуха tj, Вт; |
Pmin(tj) | - | минимальная потребляемая мощность при температуре наружного воздуха tj, Вт; |
Pmin(35) | | минимальная потребляемая мощность при температурных условиях T1, Вт; |
Pmin(29) | - | минимальная потребляемая мощность при температуре наружного воздуха 29 °C, Вт; |
t | - | основная постоянная температуры наружного воздуха, °C; |
tj | - | определенная температура наружного воздуха, °C; |
tb | - | температура наружного воздуха в случае, когда нагрузка на охлаждение равна полной нагрузке, °C; |
tc | - | температура наружного воздуха в случае, когда нагрузка на охлаждение равна половине нагрузки, °C; |
tp | - | температура наружного воздуха в случае, когда нагрузка на охлаждение равна минимальной нагрузке, °C; |
X(tj) | - | коэффициент нагрузки при температуре наружного воздуха tj; |
Xhf(tj) | - | коэффициент избыточной производительности по разнице между половинной и полной нагрузками при температуре наружного воздуха tj; |
Xmf(tj) | - | коэффициент избыточной производительности по разнице между минимальной и полной нагрузками при температуре наружного воздуха tj; |
Xmh(tj) | - | коэффициент избыточной производительности по разнице между минимальной и половинной нагрузками при температуре наружного воздуха tj; |
| - | холодопроизводительность, рассчитанная по формуле  при постоянной температуре наружного воздуха t, Вт; |
| - | холодопроизводительность, применимая к любому режиму при температуре наружного воздуха tj, Вт; |
| - | полная холодопроизводительность при температуре наружного воздуха tj, Вт; |
| - | полная холодопроизводительность при температурных условиях T1, Вт; |
| - | полная холодопроизводительность при температуре наружного воздуха 29 °C, Вт; |
| - | половина холодопроизводительности при температуре наружного воздуха tj, Вт; |
| - | половина холодопроизводительности при температурных условиях T1, Вт; |
| - | половина холодопроизводительности при температуре наружного воздуха 29 °C, Вт; |
| - | минимальная холодопроизводительность при температуре наружного воздуха tj, Вт; |
| - | минимальная холодопроизводительность при температурных условиях T1, Вт; |
| - | минимальная холодопроизводительность при температуре наружного воздуха 29 °C, Вт. |
Описанные в настоящем разделе испытания являются дополнительными к испытаниям, установленным в
ГОСТ 32970,
ГОСТ 32969 и
[1].
Точность приборов, используемых при проведении испытаний, должна соответствовать методам испытаний и погрешностям измерений, установленным в
ГОСТ 32970,
ГОСТ 32969 и
[1].
Температура, влажность, а также значения для расчета, если не оговорено иное, должны соответствовать приведенным в таблице 1.
Таблица 1
Температура, влажность, а также значения для расчета,
при работе в режиме охлаждения в умеренном климате (T1),
Испытание | Показатель | Вид установки | Значение по умолчанию |
Нерегулируемая | Двуступенчатая | Многоступенчатая | Регулируемая |
Холодопроизводительность. Внутренний воздух: температура 27 °C по сухому термометру температура 19 °C по влажному термометру Наружный воздух: температура 35 °C по сухому термометру температура 24 °C по влажному термометру | Полная холодопроизводительность  , Вт | | | | | - |
Полная потребляемая мощность Pful(35), Вт |
Половина холодопроизводительности  , Вт | - | - | | | |
Половина потребляемой мощности Phaf(35), Вт | Phaf(29)/0,914 |
Минимальная холодопроизводительность  , Вт | - | | | | |
Минимальная потребляемая мощность Pmin(35), Вт | Pmin(29)/0,914 |
Холодопроизводительность при пониженной температуре. Внутренний воздух: температура 27 °C по сухому термометру температура 19 °C по влажному термометру Наружный воздух: температура 29 °C по сухому термометру температура 19 °C по влажному термометру | Полная холодопроизводительность  , Вт | | | | - | |
Полная потребляемая мощность Pful(29), Вт | 0,914·Pful(35) |
Половина холодопроизводительности  , Вт | - | - | | | |
Половина потребляемой мощности Phaf(29), Вт | 0,914·Phaf(35) |
Минимальная холодопроизводительность  , Вт | - | | | | - |
Минимальная потребляемая мощность Pmin(29), Вт |
Цикличное охлаждение и пониженная влажность | Коэффициент понижения CD | Полная производительность | | - | - | - | 0,25 |
Половина производительности | - | - | | - | 0,25 |
Минимальная производительность | - | | | - | 0,25 |
 Требуется проведение испытания.  Испытание проводить не обязательно. Примечания 1 Если при проведении испытаний измеряют минимальную производительность min(29), то такое испытание проводят первым. Испытания, касающиеся min(35) могут быть проведены, а могут быть вычислены с использованием значений по умолчанию. |
5.3.1 Испытания холодопроизводительности в стандартных условиях
Испытания холодопроизводительности в стандартных условиях должны быть проведены в соответствии с ГОСТ 32970
(приложение А), ГОСТ 32969
(приложение Б) и
[1]. При проведении испытаний в стандартных условиях следует измерить холодопроизводительность и полезную потребляемую мощность.
Испытания половины производительности должны быть проведены при 50% полной нагрузки. Допустимые отклонения должны быть в пределах +/- 5% полной нагрузки для оборудования с регулируемой производительностью. Для оборудования с многоступенчатой производительностью, в том случае если невозможно точно установить режим в 50% полной нагрузки, испытания проводят на следующей ступени, превышающей 50%.
Испытания минимальной производительности должны быть проведены на самых низких допустимых настройках, обеспечивающих минимальную производительность при заданных условиях испытаний.
Если при проведении испытаний на минимальную производительность невозможно достичь неопределенности измерений, установленных в
ГОСТ 32970,
ГОСТ 32969 и
[1], следует использовать альтернативный метод расчета (см.
6.6.4 и
6.7.4).
Изготовитель оборудования должен предоставить в испытательную лабораторию, по ее требованию, информацию о том, каким образом устанавливать требуемую производительность.
5.3.2 Испытания холодопроизводительности при пониженной температуре
Испытания холодопроизводительности при пониженной температуре должны быть проведены в соответствии с ГОСТ 32970
(приложение А), ГОСТ 32969
(приложение Б) и
[1]. Если испытания не проводят, то используют значения по умолчанию (см.
таблицу 1).
Испытания половины производительности должны быть проведены при 50% полной нагрузки. Допустимые отклонения должны быть в пределах +/- 5% полной нагрузки для оборудования с регулируемой производительностью. Для оборудования с многоступенчатой производительностью, в том случае если невозможно точно установить режим в 50% полной нагрузки, испытания проводят на следующей ступени, превышающей 50%.
Испытания минимальной производительности должны быть проведены на самых низких допустимых настройках, обеспечивающих минимальную производительность при заданных условиях испытаний. При этом должна быть обеспечена устойчивая работа оборудования.
Если при проведении испытаний на минимальную производительность невозможно достичь неопределенности измерений, установленных в ГОСТ 32970
(приложение А), ГОСТ 32969
(приложение Б) и
[1], следует использовать альтернативный метод расчета (см.
6.6.4 и
6.7.4).
Изготовитель оборудования должен предоставить в испытательную лабораторию, по ее требованию, информацию о том, каким образом устанавливать требуемую производительность.
5.3.3 Испытания на пониженную влажность и цикличное охлаждение
Испытания на пониженную влажность и цикличное охлаждение следует проводить в соответствии с
приложением C. Если испытания не проводят, то используют значения по умолчанию (см.
таблицу 1).
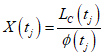
6.1. Сезонный коэффициент эффективности охлаждения (
CSPF) и общий сезонный коэффициент эффективности охлаждения (
TCSPF)
Сезонный коэффициент эффективности охлаждения (CSPF) FCSP оборудования рассчитывают по формуле (1)

. (1)
Для расчета сезонного коэффициента эффективности охлаждения (
TCSPF) см.
приложение B.
6.2. Заданные нагрузки охлаждения
Заданные нагрузки охлаждения должны быть представлены значением, а также допущением того, что они линейно изменяются в зависимости от изменения температуры наружного воздуха.
Заданную нагрузку охлаждения определяют в соответствии с таблицей 2.
Таблица 2
Заданная нагрузка охлаждения
Показатель | Нулевая нагрузка (0) | Нагрузка 100% |
Нагрузка охлаждения, Вт | 0 | |
Температура, °C | t0 | t100 |
Примечания
1 t100 - наружная температура при 100% нагрузке; t0 - наружная температура при нагрузке 0%.
2 Исходные значения заданной нагрузки охлаждения для применения должны быть следующими: t0 = 20 °C; t100 = 35 °C.
3 В случае выбора другой нагрузки охлаждения см.
приложение D.
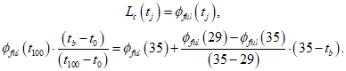
Заданную нагрузку охлаждения Lc(tj) при температуре наружного воздуха tj, которая необходима для расчета сезонного потребления энергии, рассчитывают по формуле (2)

, (2)
где

- холодопроизводительность
t100 при работе с полной нагрузкой.
6.3. Распределение наружной температуры для охлаждения
В таблице 3 приведено распределение наружной температуры.
Таблица 3
Распределение наружной температуры для охлаждения
Порядковый номер j | 1 | 2 | 3 | 4 | 5 | 6 | 7 | 8 | 9 | 10 | 11 | 12 | 13 | 14 | 15 | Всего |
Наружная температура tj, °C | 21 | 22 | 23 | 24 | 25 | 26 | 27 | 28 | 29 | 30 | 31 | 32 | 33 | 34 | 35 | - |
Время работы в долевом выражении | 0,055 | 0,076 | 0,091 | 0,108 | 0,116 | 0,118 | 0,116 | 0,100 | 0,083 | 0,066 | 0,041 | 0,019 | 0,006 | 0,003 | 0,002 | |
Обозначение абсолютного количества часов по порядку nj | n1 | n2 | n3 | n4 | n5 | n6 | n7 | n8 | n9 | n 10 | n 11 | n 12 | n 13 | n 14 | n 15 | - |
Абсолютное количество часов (nj), ч | 100 | 139 | 165 | 196 | 210 | 215 | 210 | 181 | 150 | 120 | 75 | 35 | 11 | 6 | 4 | 1 817 |
Сезонный коэффициент эффективности охлаждения (
CSPF) должен быть рассчитан на основании климатических условий, указанных в
таблице 3.
Расчет сезонного коэффициента эффективности охлаждения также может быть произведен и для других климатических условий.
Если это применимо, количество часов при каждой температуре наружного воздуха в абсолютном выражении может быть рассчитано путем умножения времени работы в долевом выражении на общее количество часов охлаждения за год.
В случае применения других температур наружного воздуха распределение следует определять в соответствии с методом, установленным в
приложении D.
6.4. Сезонные характеристики охлаждения для установок с нерегулируемой производительностью
Условия при проведении испытаний, выполняемых для расчета сезонного коэффициента эффективности, - в соответствии с
таблицей 1.
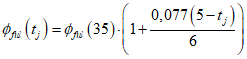
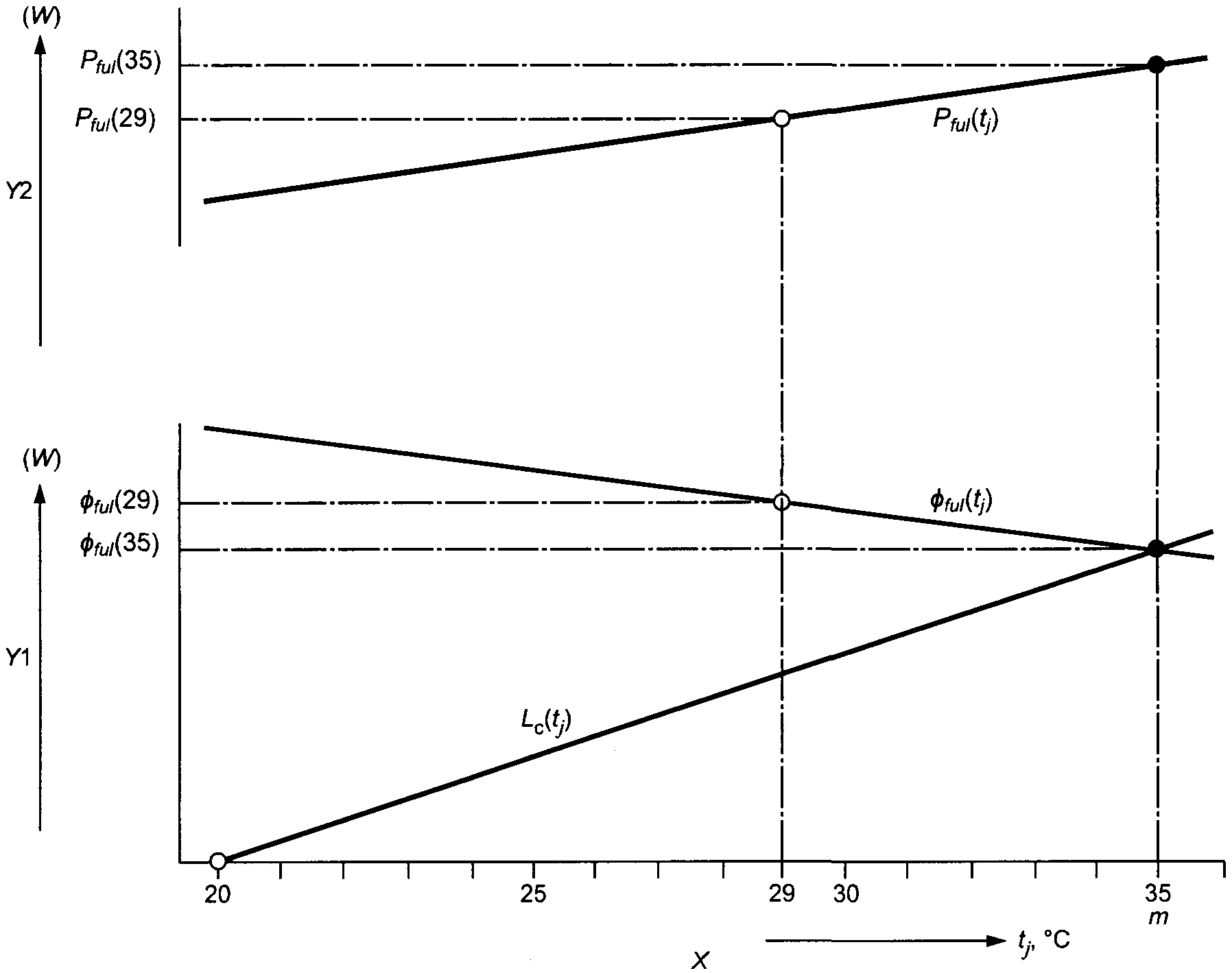
6.4.1 Характеристики производительности по отношению к температуре наружного воздуха
Производительность

оборудования, если оно работает на охлаждение (при температуре наружного воздуха
tj), линейно изменяется в зависимости от температуры наружного воздуха, как показано на
рисунке A.1 приложения A, и ее определяют по формуле (3) для двух условий: при температуре 35 °C и 29 °C

. (3)
6.4.2 Характеристики потребляемой мощности по отношению к температуре наружного воздуха
Потребляемая мощность
Pful(
tj) оборудования, если оно работает на охлаждение (при температуре наружного воздуха
tj), линейно изменяется в зависимости от температуры наружного воздуха, как показано на
рисунке A.1 приложения A, и ее определяют по формуле (4) для двух условий: при температуре 35 °C и 29 °C.

. (4)
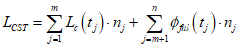
6.4.3 Расчет общей сезонной нагрузки охлаждения (
CSTL)
Общую сезонную нагрузку охлаждения (CSTL) LCST определяют по формуле (5) из общей суммы нагрузки охлаждения для каждой температуры наружного воздуха tj путем умножения на абсолютное значение часов nj.

. (5)
Примечания
1 В диапазоне

(j = 1 до
m):
Lc(
tj) рассчитывают по
формуле (2).
2 В диапазоне

(j =
m + 1 до
n): при расчете

следует применять
формулу (3).
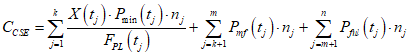
6.4.4 Расчет сезонного потребления энергии для охлаждения (CSEC)
Сезонное потребление энергии для охлаждения (CSEC) CCSE определяют по формуле (6) из общей суммы потребления энергии при каждой температуре наружного воздуха tj

. (6)
Коэффициент нагрузки X(tj) рассчитывают по формуле (7)

. (7)
Примечание - В случае если

,
X(
tj) = 1.
Часть коэффициента нагрузки (PLF) FPL(tj), вызванную работой оборудования в цикличном режиме при температуре наружного воздуха tj, рассчитывают по формуле (8) с использованием коэффициента понижения CD
FPL(tj) = 1 - CD(1 - X(tj)). (8)
Примечания
2 При работе с полной нагрузкой

в
формуле (6),
X(
tj) =
FPL(
tj) = 1.
6.5. Сезонные характеристики охлаждения для установок с двуступенчатой производительностью
Условия испытаний, приведенные в
таблице 1, могут быть использованы для расчета каждой характеристики.
6.5.1 Характеристики производительности по отношению к температуре наружного воздуха
Производительность

оборудования при работе с полной нагрузкой при температуре наружного воздуха
tj вычисляют по
формуле (3).
Производительность

оборудования при работе с минимальной нагрузкой при температуре наружного воздуха
tj вычисляют по формуле (9)

. (9)
6.5.2 Характеристики потребляемой мощности по отношению к температуре наружного воздуха
Потребляемую мощность
Pful(
tj) оборудования при работе с полной нагрузкой при температуре наружного воздуха
tj вычисляют по
формуле (4).
Потребляемую мощность Pmin(tj) оборудования при работе с минимальной нагрузкой при температуре наружного воздуха tj вычисляют по формуле (10)

. (10)
6.5.3 Расчет общей сезонной нагрузки охлаждения (CSTL)
Для расчета общей сезонной нагрузки охлаждения используют
формулу (5). См.
6.4.3.
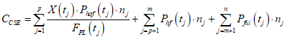
6.5.4 Расчет сезонного потребления энергии для охлаждения (CSEC)
Сезонное потребление энергии для охлаждения (CSEC) CCSE вычисляют по формуле (11)

. (11)
Связь между характеристиками холодопроизводительности и потребляемой мощности при охлаждающей нагрузке при температуре наружного воздуха
tj представлена на
рисунке A.2 приложения A.
Примечания
2 При работе в цикличном режиме на второй ступени при (

,
j =
k + 1 до
m):
Pmf(tj) = Xmf(tj)·Pmin(tj) +(1 - Xmf(tj))·Pful(tj). (12)

. (13)
6.6. Сезонные характеристики охлаждения для установок с многоступенчатой производительностью
6.6.1 Характеристики производительности по отношению к температуре наружного воздуха
Характеристики

и

оборудования при температуре наружного воздуха
tj представлены на
рисунке A.3 приложения A и вычисляются по
формулам (3) и
(9) соответственно.
Половину холодопроизводительности при температуре наружного воздуха tj вычисляют по формуле (14)

. (14)
6.6.2 Характеристики потребляемой мощности по отношению к температуре наружного воздуха
Потребляемую мощность
Pful(
tj) и
Pmin(
tj) при работе оборудования на охлаждение при температуре наружного воздуха
tj вычисляют по
формулам (4) и
(10) соответственно.
Половину потребляемой мощности при температуре наружного воздуха tj вычисляют по формуле (15)

. (15)
6.6.3 Расчет общей сезонной нагрузки охлаждения (CSTL)
Для расчета общей сезонной нагрузки охлаждения используют
формулу (5). См.
6.4.3.
6.6.4 Расчет сезонного потребления энергии для охлаждения (
CSEC)
Когда имеются данные о минимальной производительности, сезонное потребление энергии для охлаждения (CSEC) CCSE вычисляют по формуле (16)

. (16)
Связь между характеристиками холодопроизводительности и потребляемой мощности при охлаждающей нагрузке при температуре наружного воздуха
tj представлена на
рисунке A.3 приложения A.
Примечания
2 При работе в цикличном режиме на второй ступени при (

,
j =
k + 1 до
p):
Pmh(tj) = Xmh(tj)·Pmin(tj) + (1 - Xmh(tj))·Phaf(tj), (17)

. (18)
3 При работе в цикличном режиме на третьей ступени при (

,
j =
p + 1 до
m):
Phf(
tj) =
Xhf(
tj)·
Phaf(
tj) + (1 -
Xhf(
tj))·
Pful(
tj), (19)

. (20)
4 При работе с полной нагрузкой при (

,
j =
m + 1 до
n)
Pful(
tj) рассчитывают по
формуле (4).
Когда данные о минимальной производительности отсутствуют, сезонное потребление энергии для охлаждения (CSEC), CCSE, рассчитывают по формуле (21)

. (21)
Примечания
2 При работе в цикличном режиме на второй ступени при (

,
j =
p + 1 до
m) в
формуле (21) Phf(
tj) и
Xhf(
tj) рассчитывают по
формуле (19) и
(20) соответственно.
3 При работе с полной нагрузкой при (

,
j =
m + 1 до
n)
Pful(
tj) рассчитывают по
формуле (4).
6.7. Сезонные характеристики охлаждения для установок с регулируемой производительностью
Условия испытаний, приведенные в
таблице 1, могут быть использованы для расчета каждой характеристики.
6.7.1 Характеристики производительности по отношению к температуре наружного воздуха
Характеристики

,

и

при работе оборудования на охлаждение, при температуре наружного воздуха
tj представлены на
рисунке A.4 приложения A и вычисляют по
формулам (3),
(9) и
(14) соответственно.
6.7.2 Характеристики потребляемой мощности по отношению к температуре наружного воздуха
Потребляемую мощность
Pful(
tj),
Pmin(
tj) и
Phaf(
tj) при работе оборудования на охлаждение, при температуре наружного воздуха
tj вычисляют по
формулам (4),
(10) и
(15) соответственно.
6.7.3 Расчет общей сезонной нагрузки охлаждения (CSTL)
Для расчета общей сезонной нагрузки охлаждения используют
формулу (5). См.
6.4.3.
6.7.4 Расчет сезонного потребления энергии для охлаждения (
CSEC)
Когда имеются данные о минимальной производительности, сезонное потребление энергии для охлаждения (
CSEC)
CCSE вычисляют по
формуле (16).
Когда данные о минимальной производительности отсутствуют, сезонное потребление энергии для охлаждения (
CSEC),
CCSE, рассчитывают по
формуле (21).
Связь между характеристиками холодопроизводительности, потребляемой мощности и коэффициента полезного действия охлаждения (
EER) при охлаждающей нагрузке при температуре наружного воздуха
tj представлена на
рисунке A.4 приложения A.
b) режим возрастания производительности от минимальной до половины при (

,
j =
k + 1 до
p):
1)
tp - температура наружного воздуха в режиме охлаждения соответствует температуре минимальной холодопроизводительности. Метод расчета точки пересечения установлен в
приложении E;
2)
EER,min(
tp) рассчитывают при

и
Pmin(
tp);
3)
tc - температура наружного воздуха в режиме охлаждения соответствует температуре половины холодопроизводительности. См.
приложение E;
4)
EER,haf(
tc) рассчитывают при

и
Phaf(
tc).
Предполагается, что при непрерывном изменении производительности оборудования EER изменяется линейно в зависимости от температуры наружного воздуха.

; (22)
5) Pmh(tj) - потребляемую мощность при возрастании нагрузки от минимальной до половины вычисляют вместе с Lc(tj) охлаждающей нагрузки и EER,mh(tj) по формуле (23)

; (23)
c) регулируемая производительность в режиме от половины до полной производительности при (

,
j =
p + 1 до
m):
tc - температура наружного воздуха в режиме охлаждения такая же, как и при охлаждении при половине нагрузки. См.
приложение E.
1)
EER,haf(
tc), коэффициент полезного действия охлаждения (
EER) при температуре наружного воздуха
tc, при половине нагрузки рассчитывают вместе с

и
Phaf(
tc) по формуле (24)

; (24)
2)
tb - температура наружного воздуха в режиме охлаждения такая же, как и при полной холодопроизводительности. См.
приложение E;
3)
EER,ful(
tb), коэффициент полезного действия охлаждения (
EER) при температуре наружного воздуха
tb, при полной нагрузке рассчитывают вместе с

и
Pful(
tb) по формуле (25)

. (25)
Предполагается, что при непрерывном изменении производительности оборудования EER изменяется линейно в зависимости от температуры наружного воздуха.

; (26)
4) Phf(tj), потребляемую мощность при возрастании нагрузки от половины до максимальной, вычисляют вместе с Lc(tj) охлаждающей нагрузки и EER,hf(tj) по формуле (27)

; (27)
d) полную нагрузку при (

, j =
m + 1 до
n)
Pful(
tj) рассчитывают по
формуле (4).
В случае если минимальная нагрузка не измеряется, сезонное потребление энергии для охлаждения (
CCSE) рассчитывают по
формуле (21), при этом:
a) в цикличном режиме при (

,
j = 1 до
p).
В этом диапазоне расчет производится при условии, что кондиционер циклично работает с половины нагрузки. В
формуле (21) X(
tj) рассчитывают по
формуле (7), при этом в
формуле (7) 
;
b) переходный режим между половиной и полной производительностью при (

,
j =
p + 1 до
m): расчет производят по
формуле (24) -
(27);
c) режим полной нагрузки при (

,
j =
m + 1 до
n):
Pful(
tj) рассчитывают по
формуле (4).
Протокол испытаний должен содержать:
- тип устройства;
- перечень обязательных контрольных точек, в которых выполнены измерения/расчеты, а также полученную производительность и значения EER;
- перечень дополнительных контрольных точек, в которых выполнены измерения/расчеты, а также полученную производительность и значения EER;
- используемые значения по умолчанию;
- для мультисплит-систем: комбинацию наружного блока и внутренних.
Для устройств с регулируемой производительностью указывают установленные частоты для каждого проведенного испытания.
Сезонный коэффициент эффективности охлаждения (CSPF) должен быть представлен в виде трех значимых чисел со ссылкой на примененную во время проведения испытаний нагрузку охлаждения при соответствующей температуре наружного воздуха.
(справочное)
ГРАФИЧЕСКИЙ МАТЕРИАЛ
X - температура наружного воздуха; Y1 - производительность
или нагрузка; Y2 - потребляемая мощность
Рисунок A.1 - Холодопроизводительность, потребляемая
мощность и нагрузка охлаждения для установок
с нерегулируемой производительностью
X - температура наружного воздуха; Y1 - производительность
или нагрузка; Y2 - потребляемая мощность
Рисунок A.2 - Холодопроизводительность, потребляемая
мощность и нагрузка охлаждения для установок
с двуступенчатой производительностью
X - температура наружного воздуха; Y1 - производительность
или нагрузка; Y2 - потребляемая мощность
Рисунок A.3 - Холодопроизводительность, потребляемая
мощность и нагрузка охлаждения для установок
с многоступенчатой производительностью
X - температура наружного воздуха; Y1 - производительность
или нагрузка; Y2 - потребляемая мощность; Y3 - коэффициент
полезного действия охлаждения (EER)
Рисунок A.4 - Холодопроизводительность, потребляемая
мощность, нагрузка охлаждения и EER для установок
с регулируемой производительностью
(справочное)
РАСЧЕТ ОБЩЕГО СЕЗОННОГО КОЭФФИЦИЕНТА
ЭФФЕКТИВНОСТИ ОХЛАЖДЕНИЯ (TCSPF)
B.1 Основные положения
Положения, указанные в настоящем приложении, распространяются только на охлаждающие устройства, охлаждающие агрегаты с функцией обогрева и реверсивные устройства.
B.2 Измерение расхода электроэнергии в неактивном режиме
После остановки устройство оставляют подключенным к основному источнику питания в течение шести часов. Температура внутреннего и наружного воздуха должна достигнуть 20 °C. Потребление электроэнергии измеряют в течение одного часа после достижения указанной температуры. Аналогичные испытания проводят при температурах 5, 10 и 15 °C со стабилизационным температурным двухчасовым периодом между каждым испытанием. В качестве рекомендации: каждое значение энергопотребления должно быть сравнено с удельным значением, указанным в
таблице B.1, после чего их следует объединить и получить средневзвешенное значение неактивного энергопотребления
Pia. Расчет неактивного энергопотребления может также проводиться для других климатических условий и соответствующих графиков.
Примечание - Если результаты испытаний при температуре 20 и 5 °C находятся в пределах 5% или 1 Вт, то испытания при температуре 15 и 10 °C проводить не обязательно. Среднее значение этих двух показателей следует использовать для всех четырех температурных условий.
Таблица B.1
Значения по умолчанию удельного коэффициента
для определения энергопотребления в неактивном режиме
Температурные условия | 5 °C | 10 °C | 15 °C | 20 °C |
Удельный коэффициент | 0,05 | 0,13 | 0,27 | 0,55 |
Энергопотребление в неактивном режиме (IAEC) рассчитывают по формуле (B.1)
где CIAE - энергопотребление в неактивном режиме;
Hia - количество часов в неактивном режиме (см.
таблицу B.2);
Pia - средневзвешенное значение неактивного энергопотребления.
B.3 Расчет общего сезонного коэффициента эффективности охлаждения (TCSPF)
Общий сезонный коэффициент эффективности охлаждения (TCSPF) FTCSP рассчитывают по формуле (B.2)

. (B.2)
Расчет
LCST и
CCSE проводят в соответствии с положениями основной части настоящего стандарта. Расчет энергопотребления в неактивном режиме (
IAEC)
CIAE проводят по
формуле (B.1).
Количество часов по умолчанию для расчета общего сезонного коэффициента эффективности охлаждения установлено в таблице B.2.
Таблица B.2
Количество часов по умолчанию для расчета общего сезонного
коэффициента эффективности охлаждения
Устройство | Активный режим, ч | Неактивный режим Hia, ч | Отключенный режим, ч |
Установки, предназначенные только для охлаждения | 1817 | 4077 | 2866 |
Охлаждающие агрегаты с функцией обогрева | 1817 (Режим обогрева: 2866) | 4077 | 0 |
Реверсивные устройства | 1817 (Режим обогрева: 2866) | 4077 | 0 |
Для расчета общего сезонного коэффициента эффективности охлаждения могут быть применены и другие значения количества часов.
(обязательное)
МЕТОД ИСПЫТАНИЙ И РАСЧЕТА КОЭФФИЦИЕНТА
ПОНИЖЕНИЯ В ЦИКЛИЧНОМ РЕЖИМЕ
C.1. Испытания при пониженной влажности и испытания при цикличном охлаждении
Испытания при пониженной влажности и испытания при цикличном охлаждении должны быть проведены в соответствии с ГОСТ 32970
(приложение А), ГОСТ 32969
(приложение Б) и
[1], как указано в
C.2 настоящего приложения.
Условия испытания при цикличном охлаждении установлены в таблице C.1.
Таблица C.1
Условия температуры и влажности проведения испытания
при цикличном охлаждении
Испытание | Температура внутреннего воздуха, °C | Температура наружного воздуха, °C |
По сухому термометру | По влажному термометру | По сухому термометру | По влажному термометру |
Испытание A: Установившееся состояние, сухой теплообменник | 27 | 13,9 или менее | 29 | - |
Испытание B: Цикличный режим, сухой теплообменник | 27 | 13,9 или менее | 29 | - |
Примечания 1 Воздух, входящий в устройство, должен иметь достаточно низкое содержание влаги, чтобы не допустить образование конденсата на теплообменнике внутреннего блока (рекомендуется устанавливать температуру по влажному термометру 13,9 °C или ниже). 2 В период, когда оборудование работает, следует поддерживать значение напора или перепада статического давления в сопле таким же, как и при проведении испытания A. |
Продолжительность периодов, когда оборудование включено/выключено при работе в цикличном режиме установлена в таблице C.2.
Таблица C.2
Продолжительность периодов, когда оборудование
включено/выключено при работе в цикличном режиме
Тип устройства | Режим работы | Период, мин | Продолжительность одного цикла, мин |
включенный | выключенный |
Нерегулируемое | Работа с полной нагрузкой | 6 | 24 | 30 |
Двуступенчатое | Работа с минимальной нагрузкой | 6 | 24 | 30 |
Многоступенчатое | Работа с минимальной нагрузкой или работа с половинной нагрузкой <a> | 6 | 24 | 30 |
| Работа с минимальной нагрузкой или работа с половинной нагрузкой <a> | 12 | 48 | 60 |
<a> Если не измеряют минимальную производительность в устойчивом состоянии, то вместо испытания минимальной производительности в цикличном режиме проводят испытания при половинной нагрузке в цикличном режиме. <b> Для устройств с переменной производительностью испытания цикличного режима не требуется. Все, что представлено выше, - для информации. |
C.2.1 Испытание на охлаждение для цикличного режима в установившемся состоянии с сухим теплообменником (Испытание A)
До начала регистрации данных устройство должно работать в течение не менее 1 ч в установившемся состоянии до удаления всей влаги с теплообменника. Следует слить дренажный поддон и установить его обратно. После этого поддон должен оставаться абсолютно сухим.
Следует зарегистрировать холодопроизводительность и электрическую мощность, полученную при проведении испытания в установившемся состоянии с сухим теплообменником. При подготовке к цикличным испытаниям (C.2.2) следует зарегистрировать средний расход воздуха на внутренней стороне, который получают исходя из перепада давления, расхода воздуха через сопло, а также свойств самого воздуха.
C.2.2 Испытание на охлаждение для цикличного режима при сухом теплообменнике (Испытание B)
C.2.2.1 Условия испытания
После завершения испытания на охлаждение в установившемся состоянии с сухим теплообменником следует отключить аппаратуру, предназначенную для проведения испытаний методом энтальпии внутреннего воздуха, если она установлена, после чего начать управление компрессором устройства в ручном режиме. Испытательную установку следует настроить таким же образом, как и при проведении испытаний в устойчивом состоянии с сухим теплообменником. При испытании тепловых насосов, если автоматически не изменяется управление устройством, следует оставлять реверсивный клапан в положении "компрессор выключен" при отключенном цикле и в положении "компрессор включен" при работе в цикличном режиме.
До завершения испытания следует повторять включение и выключение компрессора. Встроенным в устройство средствам регулирования допускается управление наружным вентилятором.
Во всех случаях, чтобы обеспечить стабильный воздушный поток во внутреннем теплообменнике, следует включать вытяжной вентилятор измерительной аппаратуры при включении вентилятора внутреннего блока (если он установлен).
C.2.2.2 Условие снятия показаний при автоматическом управлении вытяжным вентилятором в измерительной аппаратуре воздушного потока
Если аппаратура для измерения воздушного потока имеет функцию немедленного и автоматического регулирования статического давления таким образом, что перепад статического давления равен нулю для выходящего из устройства воздуха или статическое давление на выходе из устройства равно определенному значению (для устройств с воздуховодами), то, управляя работой вытяжного вентилятора, разницу перепада давления или скорости воздушного потока сопла, получаемую с помощью аппаратуры для измерения воздушного потока, имеющей автоматическое управление вытяжным вентилятором, а также значение, измеренное при проведении испытания в установившемся состоянии с сухим теплообменником, следует обеспечить в пределах 2% по истечении 15 с после возникновения воздушного потока. Если аппаратура для измерения воздушного потока не соответствует этим требованиям или если в ней не предусмотрена возможность управления вытяжным вентилятором в автоматическом режиме, то необходимые регулировки вытяжного вентилятора следует проводить в ручном режиме.
C.2.2.3 Условие снятия показаний при ручном управлении вытяжным вентилятором в измерительной аппаратуре воздушного потока
Следует регулировать вытяжной вентилятор таким образом, чтобы получить необходимый перепад статического давления или скорость воздушного потока, который получен при проведении испытания в установившемся состоянии с сухим теплообменником за максимально короткое время, а затем поддерживать эту величину. Перепад давления или скорость воздушного потока, измеренные при проведении испытания в установившемся состоянии с сухим теплообменником, следует обеспечить в пределах 2% по истечении 15 с после возникновения воздушного потока.
C.2.2.4 Сбор данных
После завершения не менее двух полных циклов включения и выключения компрессора, в любом последующем периоде, фиксируют данные и определяют значения для общего подаваемого охлаждения и общего электропотребления.
При проведении испытаний допустимые отклонения температуры по сухому термометру составляет +/- 2,5 °C на внутренней стороне и +/- 5 °C на наружной стороне, как установлено в
ГОСТ 32970,
ГОСТ 32969 и
[1].
При прохождении воздушных потоков через теплообменник характеристики воздуха, расхода воздуха и электрического напряжения следует снимать не реже чем через каждые 2 мин. Следует регистрировать температуру по сухому термометру на входе и выходе из теплообменника внутреннего блока с периодичностью не более 10 с.
Снятие показаний холодопроизводительности и электрической мощности сверх полных циклов
Для устройств с воздуховодами, испытанными с установленным и работающим вентилятором внутреннего блока, снимают показания электрической мощности с неработающим (состояние "выключен") вентилятором.
Для остальных устройств следует снимать показания электрической мощности с неработающим (состояние "выключен") компрессором.
Коэффициент понижения (
CD) должен быть рассчитан с использованием результатов, полученных при проведении испытаний A и B и
таблицы C.1 по
формуле (C.1).
Формула (C.1) выражена для случая, когда оборудование работает с полной нагрузкой. Указанная формула может быть также использована при работе с половинной нагрузкой в цикличном режиме

и при работе с минимальной нагрузкой в цикличном режиме


, (C.1)
где

- холодопроизводительность кондиционера, определенная при проведении испытания в соответствии с C.2.2, Вт;
Pful(cyc) - потребляемая мощность на охлаждение, определенная при проведении испытания в соответствии с C.2.2, Вт;

- холодопроизводительность кондиционера, определенная при проведении испытания в соответствии с
C.2.1, Вт;
Pful(dry) - потребляемая мощность на охлаждение, определенная при проведении испытания в соответствии с
C.2.1, Вт;
EER,ful(cyc) - коэффициент полезного действия охлаждения кондиционера, определенный при проведении испытания в соответствии с C.2.2;
EER,ful(dry) - коэффициент полезного действия охлаждения кондиционера, определенный при проведении испытания в соответствии с
C.2.1;
FCL,ful - коэффициент относительно

и

.
(справочное)
МЕТОД РАСЧЕТА СЕЗОННОГО КОЭФФИЦИЕНТА ЭФФЕКТИВНОСТИ
ПРИ ЧЕТКО ОПРЕДЕЛЕННОЙ НАГРУЗКЕ ОХЛАЖДЕНИЯ
Установленная нагрузка охлаждения при использовании кондиционеров и тепловых насосов (далее - оборудование) весьма неодинакова для различных регионов и зависит от климатических условий, применяемых строительных конструкций и материалов, а также других ситуаций, имеющих свои особенности в каждом конкретном случае.
Для того чтобы оценить и сравнить заданные нагрузки охлаждения, желательно иметь типовые данные о нагрузке.
Настоящее приложение устанавливает методы определения минимальной потребности в охлаждении и оценки оборудования, работающего в условиях, соответствующих этой нагрузке.
Настоящее приложение также устанавливает метод расчета сезонного коэффициента эффективности оборудования, установленного в конкретном регионе или в конкретном здании.
D.1 Сезонный коэффициент эффективности охлаждения (CSPF)
Расчет сезонного коэффициента эффективности охлаждения (CSPF) проводят в соответствии с положениями, установленными в основной части настоящего стандарта для каждого типа оборудования.
D.1.1 Определение количества часов охлаждения при определенной температуре наружного воздуха в конкретном регионе
Следует иметь сезонные данные о количестве часов при определенной температуре наружного воздуха, необходимые для расчета.
D.1.2 Установка конкретной нагрузки охлаждения Lc
- должна быть определена температура наружного воздуха при 100% нагрузке охлаждения;
- наивысшую возможную температуру наружного воздуха следует определять из данных
D.1.1, при этом следует исключить ненормальные состояния, которые, возможно, присутствуют в представленных данных;
- для определения требуемой холодопроизводительности для конкретного здания расчет проводят для температуры наружного воздуха, соответствующей 100% нагрузке;
- для применения оборудования в конкретном здании следует рассчитать температуру, которая соответствует 0% нагрузки;
- из перечисленных выше данных получают кривую нагрузки.
D.1.3 Характеристики оборудования при определенной температуре наружного воздуха
Характеристики оборудования при определенной температуре наружного воздуха относительно холодопроизводительности и потребляемой мощности получают из основной части настоящего стандарта.
(справочное)
МЕТОД РАСЧЕТА ДЛЯ ТЕМПЕРАТУРЫ В СЛУЧАЕ, КОГДА УСТАНОВЛЕННАЯ
ЛИНИЯ НАГРУЗКИ ПЕРЕСЕКАЕТ ЛИНИИ ПРОИЗВОДИТЕЛЬНОСТИ
Установленную нагрузку
Lc(
tj) рассчитывают по формуле (E.1), которая повторяет
формулу (2)

. (E.1)
Каждую характеристику производительности

вычисляют по формулам (E.2),
(E.3) и
(E.4), которые соответственно повторяют
формулы (3),
(14) и
(9) основной части настоящего стандарта

, (E.2)

, (E.3)

. (E.4)
Точку пересечения линии производительности при работе с полной нагрузкой и линии нагрузки
tb вычисляют по
формулам (E.1) и
(E.2)

(E.5)
Тогда tb вычисляют по формуле (E.6)

. (E.6)
Точку пересечения линии показывающей работу с половиной нагрузки и линии нагрузки
tc вычисляют по
формулам (E.1) и
(E.3)

. (E.7)
tc вычисляют по формуле (E.8)

. (E.8)
Точку пересечения линии показывающей работу с минимальной нагрузкой и линии нагрузки
tp вычисляют по
формулам (E.1) и
(E.4)

. (E.9)
Тогда tp вычисляют по формуле (E.10)

. (E.10)
Используя значение по умолчанию для

, которое установлено в
таблице 1 основной части настоящего стандарта, вычисляют

по формуле (E.11)

. (E.11)
Точку пересечения линии, показывающей работу с полной нагрузкой, и линии нагрузки
tb вычисляют по
формулам (E.1) и
(E.11)

. (E.12)
Тогда tb вычисляют по формуле (E.13)

. (E.13)
Таким же образом точку пересечения линии, показывающей работу с половиной нагрузки, и линии нагрузки tc вычисляют по формуле (E.14)

. (E.14)
Таким же образом точку пересечения линии, показывающей работу с минимальной нагрузкой, и линии нагрузки tp вычисляют по формуле (E.15).

. (E.15)
(справочное)
СВЕДЕНИЯ О СООТВЕТСТВИИ ССЫЛОЧНЫХ МЕЖГОСУДАРСТВЕННЫХ
СТАНДАРТОВ МЕЖДУНАРОДНЫМ СТАНДАРТАМ, ИСПОЛЬЗОВАННЫМ
В КАЧЕСТВЕ ССЫЛОЧНЫХ В ПРИМЕНЕННОМ МЕЖДУНАРОДНОМ СТАНДАРТЕ
Таблица ДА.1
Обозначение ссылочного межгосударственного стандарта | Степень соответствия | Обозначение и наименование ссылочного международного стандарта |
| MOD | ISO 5151:2010 "Кондиционеры и тепловые насосы без воздуховодов. Испытания и оценка рабочих характеристик" |
| MOD | ISO 13253:2011 "Кондиционеры и воздухо-воздушные тепловые насосы с воздуховодами. Испытания и оценка рабочих характеристик" |
Примечание - В настоящей таблице использовано следующее условное обозначение степени соответствия стандартов: - MOD - модифицированные стандарты. |
| ISO 15042 | Multiple split-system air-conditioners and air-to-air heat pumps - Testing and rating for performance (Мультисплит-системы кондиционеров и воздухо-воздушных тепловых насосов. Испытания и оценка рабочих характеристик) |