Главная // Актуальные документы // ГОСТ (Государственный стандарт)СПРАВКА
Источник публикации
М.: Стандартинформ, 2016
Примечание к документу
Документ
введен в действие с 1 апреля 2017 года.
Название документа
"ГОСТ 33575-2015. Межгосударственный стандарт. Стекло с самоочищающимся покрытием. Технические условия"
(введен в действие Приказом Росстандарта от 03.03.2016 N 106-ст)
"ГОСТ 33575-2015. Межгосударственный стандарт. Стекло с самоочищающимся покрытием. Технические условия"
(введен в действие Приказом Росстандарта от 03.03.2016 N 106-ст)
агентства по техническому
регулированию и метрологии
от 3 марта 2016 г. N 106-ст
МЕЖГОСУДАРСТВЕННЫЙ СТАНДАРТ
СТЕКЛО С САМООЧИЩАЮЩИМСЯ ПОКРЫТИЕМ
ТЕХНИЧЕСКИЕ УСЛОВИЯ
Self-cleaning coated glass. Specifications
(EN 1096-1:2012, NEQ)
(EN 1096-2:2012, NEQ)
(EN 1096-4:2004, NEQ)
ГОСТ 33575-2015
Дата введения
1 апреля 2017 года
Цели, основные принципы и основной порядок проведения работ по межгосударственной стандартизации установлены
ГОСТ 1.0-92 "Межгосударственная система стандартизации. Основные положения" и
ГОСТ 1.2-2009 "Межгосударственная система стандартизации. Стандарты межгосударственные, правила и рекомендации по межгосударственной стандартизации. Правила разработки, принятия, применения, обновления и отмены"
1 ПОДГОТОВЛЕН Открытым акционерным обществом "Институт стекла" (ТК 41 "Стекло")
2 ВНЕСЕН Федеральным агентством по техническому регулированию и метрологии (Росстандарт)
3 ПРИНЯТ Межгосударственным советом по стандартизации, метрологии и сертификации (протокол от 27 октября 2015 г. N 81-П)
За принятие проголосовали:
Краткое наименование страны по МК (ИСО 3166) 004-97 | Код страны по МК (ИСО 3166) 004-97 | Сокращенное наименование национального органа по стандартизации |
Армения | AM | Минэкономики Республики Армения |
Беларусь | BY | Госстандарт Республики Беларусь |
Киргизия | KG | Кыргызстандарт |
Россия | RU | Росстандарт |
Таджикистан | TJ | Таджикстандарт |
4
Приказом Федерального агентства по техническому регулированию и метрологии от 3 марта 2016 г. N 106-ст межгосударственный стандарт ГОСТ 33575-2015 введен в действие в качестве национального стандарта Российской Федерации с 1 апреля 2017 г.
5 Настоящий стандарт соответствует следующим региональным европейским стандартам:
- EN 1096-1:2012 Glass in building - Coated glass - Part 1: Definition and classification (Стекло в строительстве. Стекло с покрытием. Часть 1. Определения и классификация);
- EN 1096-2:2012 Glass in building - Coated glass - Part 2: Requirements and test methods for class A, B and S coatings (Стекло в строительстве. Стекло с покрытием. Часть 2. Требования и методы испытаний для стекол с покрытиями классов A, B и S);
- EN 1096-4:2004 Glass in building - Coated glass - Part 4: Evaluation of conformity/Product standard (Стекло в строительстве. Стекло с покрытием. Часть 4. Оценка соответствия/Стандарт на продукцию).
Степень соответствия - неэквивалентная (NEQ)
6 ВВЕДЕН ВПЕРВЫЕ
Информация об изменениях к настоящему стандарту публикуется в ежегодном информационном указателе "Национальные стандарты", а текст изменений и поправок - в ежемесячном информационном указателе "Национальные стандарты". В случае пересмотра (замены) или отмены настоящего стандарта соответствующее уведомление будет опубликовано в ежемесячном информационном указателе "Национальные стандарты". Соответствующая информация, уведомление и тексты размещаются также в информационной системе общего пользования - на официальном сайте Федерального агентства по техническому регулированию и метрологии в сети Интернет
Настоящий стандарт распространяется на стекло с самоочищающимся покрытием (далее - стекло), с поверхности которого под воздействием дождевой воды и ультрафиолетового излучения удаляются осаждающиеся на нем загрязнения. Стекло предназначено для применения в наружном остеклении светопрозрачных конструкций в жилых, общественных и производственных зданиях и сооружениях, средствах наземного транспорта и других технических средствах. С такого стекла загрязнения удаляются без использования моющих средств.
Настоящий стандарт допускается применять при проведении сертификационных испытаний и для целей оценки соответствия.
В настоящем стандарте использованы ссылки на следующие межгосударственные стандарты:
ГОСТ 12.0.004-90 Система стандартов безопасности труда. Организация обучения безопасности труда. Общие положения
ГОСТ 12.1.004-91 Система стандартов безопасности труда. Пожарная безопасность. Общие положения
ГОСТ 12.3.009-76 Система стандартов безопасности труда. Работы погрузочно-разгрузочные. Общие требования безопасности
ГОСТ 12.4.011-89 Система стандартов безопасности труда. Средства защиты работающих. Общие требования и классификация
ГОСТ 427-75 Линейки измерительные металлические. Технические условия
ГОСТ 3519-91 Материалы оптические. Методы определения двулучепреломления
ГОСТ 4142-77 Реактивы. Кальций азотнокислый 4-водный. Технические условия
ГОСТ 4145-74 Реактивы. Калий сернокислый. Технические условия
ГОСТ 4166-76 Реактивы. Натрий сернокислый. Технические условия
ГОСТ 4233-77 Реактивы. Натрий хлористый. Технические условия
ГОСТ 5106-77 Реактивы. Цинк азотнокислый 6-водный. Технические условия
ГОСТ 9419-78 Реактивы. Кислота стеариновая. Технические условия
ГОСТ 10558-80 Кислота адипиновая. Технические условия
ГОСТ 14791-79 Мастика герметизирующая нетвердеющая строительная. Технические условия
ГОСТ 26302-93 Стекло. Методы определения коэффициентов направленного пропускания и отражения света
ГОСТ 32278-2013 Стекло и изделия из него. Методы определения оптических характеристик. Определение цветовых координат
ГОСТ 32530-2013 Стекло и изделия из него. Маркировка, упаковка, транспортирование и хранение
ГОСТ 32557-2013 Стекло и изделия из него. Методы контроля геометрических параметров и показателей внешнего вида
ГОСТ 32562.2-2013 (EN 1096-2:2012) Стекло с покрытием. Методы испытаний для покрытий классов A, B, S
ГОСТ 33001-2014 Стекло и изделия из него. Методы определения механических свойств. Испытание на стойкость к истиранию
ГОСТ 33003-2014 Стекло и изделия из него. Методы определения оптических искажений
ГОСТ 33004-2014 Стекло и изделия из него. Характеристики. Термины и определения
ГОСТ 33088-2014 Стекло и изделия из него. Метод испытания на влагостойкость
ГОСТ EN 410-2014 Стекло и изделия из него. Методы определения оптических характеристик. Определение световых и солнечных характеристик
Примечание - При пользовании настоящим стандартом целесообразно проверить действие ссылочных стандартов в информационной системе общего пользования - на официальном сайте Федерального агентства по техническому регулированию и метрологии в сети Интернет или по ежегодному информационному указателю "Национальные стандарты", который опубликован по состоянию на 1 января текущего года, и по выпускам ежемесячного информационного указателя за текущий год. Если ссылочный стандарт заменен (изменен), то при пользовании настоящим стандартом следует руководствоваться заменяющим (измененным) стандартом. Если ссылочный стандарт отменен без замены, то положение, в котором дана ссылка на него, применяется в части, не затрагивающей эту ссылку.
3.1 стекло с самоочищающимся покрытием: Стекло, на поверхность которого наносится покрытие, в результате чего под действием ультрафиолетового излучения и дождевой воды поверхность стекла становится чистой без применения моющих средств.
Примечание - Самоочищающееся покрытие относится к твердым покрытиям.
3.2 краевая зона: Часть поверхности стекла, составляющая 5% длины и 5% ширины листа стекла, но не более 50 мм.
3.3 рабочая зона: Часть поверхности стекла, исключая краевую зону.
3.4 разводы: Участки покрытия на стекле, отличающиеся от остальной части поверхности по цвету.
3.5 эффективность самоочистки: Характеристика способности покрытия на поверхности стекла под воздействием дождевой воды и ультрафиолетового излучения не задерживать осаждающиеся на нем загрязнения.
4. Основные параметры и размеры
4.1 Стекло изготавливают в соответствии с требованиями настоящего стандарта по технологической и конструкторской документации, утвержденной в установленном порядке.
4.2 Стекло с самоочищающимся покрытием может быть бесцветное, окрашенное в массе или с покрытием другого типа и в зависимости от категории размеров подразделяется на:
- стекло твердых размеров (ТР);
- стекло свободных размеров (СВР).
4.3 Номинальная толщина, предельные отклонения по толщине и разнотолщинность листа стекла должны соответствовать требованиям, указанным в таблице 1.
Таблица 1
В миллиметрах
Номинальная толщина | Предельное отклонение | Разнотолщинность |
3,0 | +/- 0,20 | 0,10 |
4,0 |
5,0 | 0,20 |
6,0 |
8,0 | +/- 0,30 | 0,30 |
10,0 |
4.4 Предельные отклонения размеров стекла прямоугольной формы по длине (ширине) должны соответствовать требованиям, указанным в таблице 2. Номинальный размер стекла устанавливают в договоре (заказе) изготовителя с потребителем.
Форма, размеры и допуски размеров стекла непрямоугольной формы должны соответствовать рабочим чертежам или шаблонам, согласованным изготовителем и потребителем.
Таблица 2
В миллиметрах
Номинальная толщина | Предельные отклонения размеров при длине кромок |
СВР | ТР при длине кромки |
до 1500 включ. | от 1500 до 3000 включ. | св. 3000 |
3,0 | +/- 4 | +/- 1 | +/- 2 | +/- 2 |
4,0 |
5,0 |
6,0 |
8,0 | +/- 2 | +/- 3 |
10,0 |
Примечание - Предельные отклонения размеров по длине и ширине допускается устанавливать в договоре (заказе) между изготовителем и потребителем. |
4.5 Отклонение от прямолинейности кромок листа стекла не должно превышать 1 мм/1 м длины кромки.
4.6 Отклонение от плоскостности листа стекла не должно быть более 0,1% длины стороны листа стекла, параллельно которой производится измерение.
4.7 Разность длин диагоналей для листа стекла прямоугольной формы не должна превышать значений, указанных в таблице 3.
Таблица 3
В миллиметрах
Длина диагоналей | Разность длин диагоналей |
СВР | ТР |
До 1500 включ. | 6 | 2 |
Св. 1500 до 3000 включ. | 3 |
Св. 3000 | 4 |
4.8 Условное обозначение стекла должно состоять из: буквенного обозначения (S), категории размера (СВР, ТР), длины, ширины, толщины и обозначения настоящего стандарта.
Пример условного обозначения стекла твердых размеров длиной 2200 мм, шириной 1000 мм, толщиной 4 мм:
S - ТР - 2200 x 1000 x 4 - ГОСТ 33575-2015
Допускается в условном обозначении указывать торговую марку стекла. В случае, если стекло с самоочищающимся покрытием указывают в условном обозначении другого изделия (например: стеклопакет), то в условном обозначении стеклопакета указывают вид стекла и его толщину (4S).
5. Технические требования
5.1.1 По показателям внешнего вида (порокам) стекло СВР и ТР должно соответствовать требованиям, указанным в таблице 4.
При подсчете количества пороков берется общая площадь листов стекла, вошедших в выборку при контроле.
Таблица 4
Наименование порока | Норма ограничения |
рабочая зона | краевая зона |
Трещины, посечки | Не допускаются |
Пузыри, мм: | | |
до 0,5 включ. | Допускаются, если не мешают обзору | Не нормируются |
от 0,5 " 1,0 " | Не допускаются более 3 шт. на 5 м2 |
" 1,0 " 2,0 " | Не допускаются более 3 шт. на 10 м2 | Допускаются не более 1 шт./м2 |
" 2,0 " 3,0 " | Не допускаются более 2 шт. на 10 м2 | Допускаются не более 1 шт./м2 |
более 3,0 | Не допускаются |
Царапины грубые | Не допускаются |
Царапины волосные, мм: | | |
до 75 включ. | Не допускаются общей длиной более 75 мм на 1 м2 | Допускаются, если не мешает обзору |
более 75 | Не допускаются | Допускаются, если расстояние между ними более 50 мм |
Инородные разрушающие включения | Не допускаются |
Цветные пятна, разводы | Не допускаются | Допускаются, если не мешают обзору |
Точечные просветы размером, мм: | Допускаются, если не мешают обзору |
до 0,5 включ. |
св. 0,5 " 2,0 " | 1 шт./м2 |
" 2,0 | Не допускаются |
5.1.2 Стекло ТР должно иметь ровные кромки и целые углы: сколы, выступы, отбитые углы не допускаются.
Для стекла СВР допускаются:
а) дефекты края стекла (щербление, сколы), которые не должны проникать более чем на половину толщины листа стекла;
б) повреждение углов (по биссектрисе), которые не должны превышать предельных отклонений по длине и ширине.
По требованию заказчика (потребителя) стекло ТР может быть с обработанной кромкой.
5.1.3 Оптические искажения стекла не должны превышать значения, указанные в таблице 5.
Таблица 5
Наименование показателя | Значение показателя |
Оптические искажения, видимые в проходящем свете | Не допускается искажение полос экрана "зебра" под углом менее или равным 45° |
Оптические искажения, видимые в отраженном свете | Не допускается искажение отраженного растра более 5 мм |
5.1.4 Коэффициент направленного пропускания света бесцветного стекла должен соответствовать требованиям, указанным в таблице 6.
Таблица 6
Номинальная толщина, мм | Коэффициент направленного пропускания света, не менее |
3,0 | 0,84 |
4,0 | 0,84 |
5,0 | 0,83 |
6,0 | 0,83 |
8,0 | 0,82 |
10,0 | 0,81 |
Примечание - Допускается коэффициент направленного пропускания света устанавливать по согласованию изготовителя с потребителем. |
5.1.5 Оптические характеристики стекла с самоочищающимся покрытием на основе стекла, окрашенного в массе или другим типом покрытия, такие как:
- коэффициент направленного пропускания света;
- коэффициент отражения света стороной стекла с покрытием;
- коэффициент поглощения света;
- коэффициент пропускания солнечного излучения;
- коэффициент отражения солнечного излучения стекла стороной с покрытием;
- коэффициент поглощения солнечного излучения;
- солнечный фактор устанавливают при необходимости в договоре (заказе) или других документах.
5.1.6 Стекло должно быть влагостойким.
5.1.7 Стекло должны быть кислотостойким.
5.1.8 Стекло должно быть стойким к истиранию.
5.1.9 Эффективность самоочистки не менее 85%.
5.1.10 Величина остаточных внутренних напряжений не должна быть более 70 нм/см.
5.1.11 Отклонения координат цвета стекла, окрашенного в массе, от установленных значений не должны превышать:

;

;

.
5.2. Маркировка, упаковка
5.2.1 Маркировку на стекло, как правило, не наносят. При необходимости правила маркировки устанавливают в договоре (заказе) между изготовителем и потребителем.
5.2.2 Упаковку стекла производят в соответствии с требованиями
ГОСТ 32530.
5.2.4 При экспортно-импортных операциях требования к маркировке и упаковке стекла уточняют в договорах (контрактах) на поставку.
6. Требования безопасности
6.1 Требования безопасности при производстве стекла устанавливают в соответствии с санитарно-гигиеническими правилами, правилами по электробезопасности, правилами противопожарной безопасности в соответствии с применяемым технологическим оборудованием и технологией производства.
6.2 Пожарную безопасность производства стекла обеспечивают системами предотвращения пожара, противопожарной защиты, организационно-техническими мероприятиями по
ГОСТ 12.1.004. Не допускается в производственных и складских помещениях использование открытого огня.
6.3 Лица, занятые в производстве стекла, должны быть обеспечены спецодеждой по нормативным документам и средствами индивидуальной защиты по
ГОСТ 12.4.011. В производственных помещениях должны быть вода и аптечка с медикаментами для оказания первой помощи.
6.4 Лица, занятые в производстве стекла, при приеме на работу, а также периодически должны проходить медицинский осмотр в соответствии с действующими правилами органов здравоохранения, инструктаж по технике безопасности и быть обучены правилам безопасной работы согласно
ГОСТ 12.0.004. К изготовлению стекла не допускаются лица моложе 18 лет.
6.5 При выполнении погрузочно-разгрузочных работ должны соблюдаться правила безопасности согласно
ГОСТ 12.3.009.
6.6 Для всех технологических операций и производственных процессов, включая погрузочно-разгрузочные, упаковочные и транспортные, должны быть разработаны и утверждены в установленном порядке инструкции по технике безопасности.
7. Требования охраны окружающей среды
7.1 Стекло является экологически безопасной продукцией и в процессе производства, транспортирования, хранения и эксплуатации не выделяет токсичных веществ в окружающую среду.
7.2 Утилизацию отходов стекла производят путем его промышленной переработки.
8.1 Приемку стекла производят в соответствии с требованиями
ГОСТ 32529 по показателям, указанным в таблице 7,
Таблица 7
Наименование показателя | Номер пункта требования | Номер пункта метода испытаний |
Толщина | | |
Отклонения длины (высоты), ширины | | |
Отклонение от прямолинейности кромок | | |
Отклонение от плоскостности | | |
Разность длин диагоналей | | |
Пороки внешнего вида | | |
Оптические искажения | | |
Коэффициент направленного пропускания света | | |
Оптические характеристики | | |
Влагостойкость | | |
Кислотостойкость | | |
Стойкость к истиранию | | |
Эффективность самоочистки | | |
Остаточные внутренние напряжения | | |
Отклонения координат цвета | | |
со следующим дополнением:
- испытания по определению эффективности самоочистки
(5.1.9) проводят на 15 образцах, не реже одного раза в три месяца и при изменении технологии производства.
8.2 При экспортно-импортных операциях требования к содержанию документа, сопровождающего партию стекла, могут устанавливаться в договорах (контрактах) на поставку.
9.1. Определение длины и ширины
9.1.1 Контроль длины (высоты) и ширины стекла проводят в соответствии с ГОСТ 32557
(раздел 9).
9.1.2 Оценка результатов
Стекло считают выдержавшим испытание, если отклонение размеров по длине (высоте) и ширине соответствует
4.4.
9.2. Определение толщины и разнотолщинности
9.2.1 Толщину стекла и его разнотолщинность измеряют в соответствии с ГОСТ 32557
(раздел 8).
9.2.2 Оценка результатов
Стекло считают выдержавшим испытание, если отклонение по толщине и разнотолщинность соответствуют требованиям
4.3.
9.3. Определение отклонения от прямолинейности кромок
9.3.1 Отклонение от прямолинейности кромок стекла определяют в соответствии с ГОСТ 32557
(раздел 12).
9.3.2 Оценка результатов
Стекло считают выдержавшим испытание, если щуп не входит в зазор.
9.4. Определение отклонения от плоскостности
9.4.1 Отклонение от плоскостности стекла определяют в соответствии с ГОСТ 32557
(раздел 11).
9.4.2 Оценка результатов
Стекло считают выдержавшим испытание, если щуп не входит в зазор.
9.5. Определение разности длин диагоналей
9.5.1 Разность длин диагоналей стекла определяют в соответствии с ГОСТ 32557
(раздел 10).
9.5.2 Оценка результатов
Стекло считают выдержавшим испытание, если разность длин диагоналей соответствует требованиям
4.7.
9.6. Определение количества и размеров пороков
9.6.1 Количество и размеры пороков в стекле определяют в соответствии с ГОСТ 32557
(раздел 19) со следующим дополнением:
- испытание проводят в проходящем свете при рассеянном дневном освещении или подобном ему искусственном (без прямого освещения).
9.6.2 Оценка результатов
Стекло считают выдержавшим испытание, если количество и размеры пороков соответствуют требованиям
5.1.1 -
5.1.2.
9.7. Определение оптических искажений
9.7.1 Оптические искажения в проходящем свете определяют по
ГОСТ 33003 с использованием экрана "зебра".
9.7.2 Оптические искажения в отраженном свете определяют по
ГОСТ 33003.
9.7.3 Оценка результатов
Образцы стекла считают выдержавшими испытание, если измеренные значения оптических искажений соответствуют
5.1.3.
9.8. Определение коэффициента направленного пропускания света
9.8.1 Определение коэффициента направленного пропускания света проводят по
ГОСТ EN 410 со следующим дополнением:
- размеры образцов устанавливают в соответствии с инструкцией по эксплуатации спектрофотометра.
Допускается коэффициент направленного пропускания света определять по
ГОСТ 26302.
9.8.2 Оценка результатов
Образцы считают выдержавшими испытание, если измеренный коэффициент направленного пропускания света соответствует требованиям
5.1.4.
9.9. Определение влагостойкости
9.9.1 Влагостойкость стекла определяют по
ГОСТ 33088 со следующим дополнением:
- для спектрофотометрических измерений используют:
- спектрофотометр с диапазоном длин волн от 380 до 1100 нм, с погрешностью измерения не более 1%;
- спектрофотометр с диапазоном длин волн от 5 до 25 мкм, с приставкой для измерения зеркального отражения при угле падения излучения <= 20° и погрешностью измерения не более 1%;
- испытания проводят на образцах размером не менее 100 x 150 мм;
- перед проведением испытания на образцах измеряют: коэффициент направленного пропускания излучения на длинах волн 550 и 900 нм, спектральный коэффициент отражения, измеренный на длине волны 8 мкм (спектрофотометрические измерения);
- образцы выдерживают в камере при температуре (40 +/- 2) °C в течение 21 сут.;
- по истечении времени выдержки образцы подвергают визуальному контролю и спектрофотометрическим измерениям.
9.9.2 Оценка результатов
Стекло считают выдержавшим испытание, если:
а) при визуальном осмотре:
- пороков размером более 3 мм - не обнаружено,
- пороков размером от 2 до 3 мм - не более 1 шт.,
- пороков размером от 1 до 2 мм - не более 5 шт.;
б) при спектрофотометрических измерениях:
- коэффициент направленного пропускания излучения на длинах волн 550 и 900 нм после испытаний изменился по сравнению с коэффициентом направленного пропускания излучения на этих же длинах волн до испытаний не более, чем на +/- 0,03.
9.10. Определение кислотостойкости
9.10.1 Сущность метода
Метод состоит в определении способности покрытия стекла выдерживать воздействие кислотной среды в течение заданного времени без изменения внешнего вида.
9.10.2 Отбор образцов
Испытания проводят на трех образцах размером не менее 100 x 150 мм, вырезанных из трех листов стекла, не имеющих пороков внешнего вида.
9.10.3 Средства измерений, аппаратура и реактивы
Спектрофотометр с диапазоном длин волн от 380 до 1100 нм, с погрешностью измерения не более 1%.
Спектрофотометр с диапазоном длин волн от 5 до 25 мкм, с приставкой для измерения зеркального отражения при угле падения излучения <= 20° и погрешностью измерения не более 1%.
Линейка по
ГОСТ 427 с ценой деления не более 1 мм.
Цилиндр из химически стойкого стекла диаметром не более 80 мм и высотой не менее 50 мм.
Мастика, уплотняющая по
ГОСТ 14791 (химически нейтральная).
Раствор соляной кислоты, приготовленный из 30 см
3 соляной кислоты по
ГОСТ 3118 с плотностью 1,19 г/см
3 и 970 см
3 дистиллированной воды по
ГОСТ 6709.
9.10.4 Подготовка образцов
Перед проведением испытания образцы выдерживают при температуре (20 +/- 4) °C не менее четырех часов.
Перед проведением испытаний образцы стекла тщательно очищают этиловым спиртом и на образцах измеряют: коэффициент направленного пропускания излучения на длинах волн 550 и 900 нм (спектрофотометрические измерения).
9.10.5 Проведение испытаний
Стеклянный цилиндр приклеивают уплотняющей мастикой к поверхности образца, на которую нанесено покрытие, и наполняют его раствором соляной кислоты на высоту (20 +/- 1) мм. Образцы с раствором выдерживают при температуре (23 +/- 3) °C в течение 7 сут. После 4 сут. раствор обновляют.
После 7 сут. раствор выливают, стеклянный цилиндр снимают, поверхность образца тщательно очищают этиловым спиртом и высушивают.
После проведения испытаний образцы подвергают визуальному осмотру и спектрофотометрическим измерениям.
Образцы осматривают при рассеянном освещении при освещенности от 300 до 600 лк на расстоянии от 0,6 до 1,0 м.
Размер порока определяют по наибольшему четко выраженному видимому очертанию без учета оптических искажений. Пороки размером 1 мм и более измеряют линейкой.
9.10.6 Оценка результатов
Стекло считают выдержавшим испытание, если:
а) при визуальном осмотре:
- не обнаружено пороков размером более 3 мм,
- не более 1 шт. порока размером от 2 до 3 мм,
- не более 5 шт. пороков размером от 1 до 2 мм;
б) при спектрофотометрических измерениях:
- коэффициент направленного пропускания излучения на длинах волн 550 и 900 нм после испытаний изменился по сравнению с коэффициентом направленного пропускания излучения на этих же длинах волн до испытаний не более чем на +/- 0,03.
Допускается определение кислотостойкости стекла проводить по ГОСТ 32562.2,
приложение С.
9.11. Определение стойкости к истиранию
9.11.1 Стойкость к истиранию определяют по
ГОСТ 33001 со следующим дополнением:
- испытания проводят на трех образцах размером не менее 300 x 300 мм;
- перед проведением испытания на образцах измеряют коэффициент направленного пропускания света на длинах волн 550 и 900 нм (спектрофотометрические измерения);
- истирающее воздействие на образец длится по достижении 500 шагов.
9.11.2 Оценка результатов
Образцы считают выдержавшими испытание, если коэффициент направленного пропускания света на длинах волн 550 и 900 нм после испытаний изменился по сравнению с коэффициентом направленного пропускания света на этих же длинах волн до испытаний не более чем на +/- 0,05.
9.12. Определение эффективности самоочистки
9.12.1 Сущность метода
Метод состоит в определении способности поверхности испытываемого стекла с нанесенным покрытием к самоочистке.
9.12.2 Отбор образцов
Испытания проводят на 15 образцах размерами [(40 x 40) - 1] мм, не имеющих пороков внешнего вида, вырезанных из стекла из испытуемой партии.
9.12.3 Средства измерений, аппаратура и реактивы
Спектрофотометр с диапазоном длин волн от 380 до 1100 нм, с погрешностью измерения не более 1%.
Источник излучения - ультрафиолетовый излучатель с интенсивностью излучения (0,68 +/- 0,02) Вт/м2 на длине волны 340 нм.
Сушильный шкаф, обеспечивающий температуру до 200 °C с погрешностью +/- 2 °C.
Емкость с крышкой вместимостью до 3 л по нормативной документации.
Емкости вместимостью до 1 л по нормативной документации.
Магнитная мешалка по нормативной документации.
Распылитель - 2 шт. по нормативной документации.
Приспособление (стенд) для нанесения грунтовки.
Метакаолин (d50 = 2,5 мкм) по нормативной документации.
Нитрат меди по нормативной документации, х.ч., 99%.
Нитрат цинка по ГОСТ 5106, х.ч., 99%.
Сульфат кальция по нормативной документации, х.ч., 98%.
Стеариновая кислота по ГОСТ 9419, х.ч., 90%.
Адипиновая кислота по ГОСТ 10558, х.ч., 99,6%.
9.12.4 Подготовка образцов
Перед проведением испытания образцы выдерживают при температуре (20 +/- 4) °C не менее четырех часов.
Все операции по подготовке и проведению испытаний необходимо выполнять в резиновых перчатках, при этом образцы необходимо брать за торцы, не касаясь их поверхности.
Перед проведением испытаний обе стороны образцов стекла тщательно промыть с помощью обычных моющих средств, не повреждающих поверхность стекла, затем ополоснуть стекло водой для удаления следов моющего средства и просушить.
Промаркировать образцы, нанеся их номера в левом верхнем углу на стороне, обратной той, которая будет подвергаться испытаниям.
9.12.5 Проведение испытаний
Испытания образцов проводят в несколько этапов:
- облучение образцов ультрафиолетовым излучением и определение начальной степени помутнения;
- подготовка, нанесение грунтовки и определение степени помутнения (первый цикл);
- облучение ультрафиолетовым светом и определение степени помутнения (первый цикл);
- обработка водой и определение степени помутнения (окончание первого цикла);
- повторное нанесение грунтовки и определение степени помутнения (второй цикл);
- облучение ультрафиолетовым светом и определение степени помутнения (второй цикл);
- обработка водой и определение степени помутнения (окончание второго цикла).
9.12.5.1 Воздействие ультрафиолетовым излучением
Образцы помещают в испытательную установку и подвергают воздействию ультрафиолетового излучения в течение не менее 12 ч. Интенсивность излучения (0,68 +/- 0,02) Вт/м2 на длине волны 340 нм. Температура образцов должна быть не менее 45 °C.
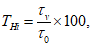
По истечении времени выдержки образцы извлекают из установки и определяют начальную степень помутнения каждого образца по формуле

(1)
где THi - начальная степень помутнения каждого образца, %;

- коэффициент направленного пропускания света;

- коэффициент общего пропускания света.
Вычисляют начальную степень помутнения по формуле

(2)
9.12.5.2 Приготовление грунтовки и ее нанесение
Грунтовка готовится из трех смесей в последовательности:
Смесь N 1 - в емкости, снабженной магнитной мешалкой, приготовить раствор из 1,5 г стеариновой кислоты и 500 мл этанола.
Смесь N 2 - в емкости, снабженной магнитной мешалкой, приготовить раствор из 10 г адипиновой кислоты, 200 мл изопропилового спирта и 200 мл дистиллированной воды.
Смесь N 3 - в емкости объемом 3 дм3, снабженной магнитной мешалкой приготовить смесь состоящую из: 0,5 г метакаолина, 0,80 г кальция азотнокислого, 0,15 г меди азотнокислой, 0,15 г цинка азотнокислого, 0,40 г калия сернокислого, 0,30 г натрия сернокислого, 0,30 г кальция сернокислого, 0,30 г натрия хлористого и 50 мл дистиллированной воды. Добавить 50 мл спирта изопропилового и тщательно размешать.
Соединить три приготовленные смеси, продолжая их перемешивать, и разбавить их путем добавления 2 дм3 раствора (в соотношении 2:1:1) этиловый спирт/изопропиловый спирт/дистиллированная вода.
Перемешивание должно быть тщательным, чтобы нерастворенные частицы метакаолина, сернокислого кальция и сернокислого натрия оказались во взвешенном состоянии в растворе.
Грунтовку наносят распылением. Образцы устанавливают на подставку так, чтобы сторона, подлежащая испытанию, была обращена к распылителю. Подставка с образцами должна располагаться под углом не более 10° к вертикали и находиться на расстоянии (300 +/- 10) мм от распылителя. Распыление должно проводиться при большом угле распыления (около 120°).
Предварительно распыляют грунтовку в течение 6 с, чтобы получить качественное распыление с углом распыления около 120°. После предварительного распыления грунтовку распыляют на образцы в течение 3 с.
9.12.5.3 Просушить образцы при комнатной температуре, оставив их на подставке и дождавшись, когда с них перестанет капать грунтовка. Затем образцы помещают в сушильный шкаф в горизонтальном положении и выдерживают при температуре (50 +/- 2) °C в течение 1 ч.
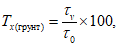
9.12.5.4 Образцы извлекают из сушильного шкафа и измеряют степень помутнения по формуле (3) для каждого образца. Значения степени помутнения образцов могут расходиться в пределах от 4% до 10%.

(3)
где x - номер цикла (1 или 2);
Tгрунт - степень помутнения после нанесения грунтовки, %;

- коэффициент направленного пропускания света;

- коэффициент общего пропускания света.
Среднее значение степени помутнения первого цикла вычисляют по формуле

(4)
9.12.5.5 После чего образцы подвергают воздействию ультрафиолетовым излучением не менее 12 ч, в соответствии с
9.12.5.1.
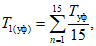
Измеряют степень помутнения каждого образца по
формуле (1) и определяют среднее значение для 15 образцов по формуле

(5)
где T(уф) - степень помутнения после воздействия ультрафиолетового излучения.
9.12.5.6 Обработка образцов дистиллированной водой
Образцы с нанесенной грунтовкой помещают на подставку, расположенную под углом не более 10° к вертикали и на расстоянии (300 +/- 10) мм от распылителя.
Распылитель заполняют дистиллированной водой, необходимо добиться равномерного распыления воды. Воду распыляют на образцы в течение 15 с. Затем образцы просушивают при комнатной температуре.
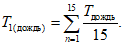
Измеряют степень помутнения каждого образца по
формуле (1) и определяют среднее значение для 15 образцов по формуле

(6)
9.12.5.7 Проводят второй цикл испытаний, повторяя все этапы в соответствии с
9.12.5.2 -
9.12.5.6, и на каждом этапе измеряют степень помутнения для второго цикла:
T2(грунт),
T2(уф),
T2(дождь).
9.12.6 Оценка результатов
Оценку эффективности самоочистки проводят исходя из степени помутнения, которую определяют на каждом этапе.
Эффективность самоочистки определяют по формуле

(7)
Стекло считается самоочищающимся, если эффективность самоочистки, определенная по формуле (7), не менее 85%.
9.13. Определение остаточных напряжений
9.13.1 Остаточные внутренние напряжения определяют в соответствии с ГОСТ 3519.
9.13.2 Оценка результатов
Образцы стекла считают выдержавшими испытание, если измеренная величина остаточных внутренних напряжений соответствует
5.1.10.
9.14. Определение оптических характеристик
9.14.1 Оптические характеристики стекла определяют по
ГОСТ EN 410 со следующим дополнением:
- размеры образцов устанавливают в соответствии с инструкцией по эксплуатации спектрофотометра.
Допускается коэффициент направленного пропускания света определять по
ГОСТ 26302.
9.15. Определение отклонения координат цвета
9.15.1 Отклонение координат цвета определяют по
ГОСТ 32278.
9.15.2 Оценка результатов
Образцы стекла считают выдержавшими испытание, если полученные значения отклонения координат цвета соответствуют
5.1.11.
10. Транспортирование и хранение
10.1 Транспортирование и хранение стекла осуществляют в соответствии с требованиями
ГОСТ 32530.
10.2 В процессе транспортирования и хранения стекла не допускается воздействие на него прямых солнечных лучей, влаги, агрессивных веществ, механических ударов.
11. Указания по эксплуатации
11.1 При распаковывании транспортной тары, хранении стекла и в период его эксплуатации не допускается:
- взаимное касание стекол без использования между ними пробковых прокладок или другого прокладывающего материала, а также касание о твердые предметы;
- протирание стекла жесткой тканью и тканью, содержащей царапающие примеси;
- удары твердыми предметами;
- опирание листов стекла на угол или кромки листа стекла;
- очистка сухого стекла щетками без подачи смывающей жидкости;
- подвергание стекла резким перепадам температур;
- длительное присутствие влаги на поверхности стекла;
- эксплуатация в агрессивной среде.
11.2 При работе со стеклом необходимо использовать чистые матерчатые перчатки во избежание загрязнения жировыми пятнами от пальцев рук.
11.3 Стекло необходимо мыть при помощи вертикальных или горизонтальных многоэтапных автоматических моющих установок с использованием теплой деминерализованной воды и мягких роликовых щеток с диаметром волокна не более 0,15 мм. Режим мойки устанавливается в рекомендациях изготовителя стекла.
При ручной мойке стекло можно мыть неагрессивными стекломоющими средствами, не содержащими абразивных частиц, мягкой неворсистой ветошью и протирать сухой мягкой неворсистой ветошью.
11.4 Справочные значения свойств стекла, используемые при его эксплуатации, приведены в
приложении А.
11.5 Правила монтажа стекла (включая расположение покрытия) в светопрозрачные конструкции устанавливают в проектной, конструкторской документациях на эти конструкции.
11.6 Резку стекла производят по поверхности листа стекла, на которую нанесено самоочищающееся покрытие, применяя жидкость для резки, рекомендованную изготовителем стекла.
В случае резки стекла с самоочищающимся покрытием с одной стороны и покрытием другого типа на противоположной стороне необходимо следовать рекомендациям изготовителя стекла.
11.7 Поверхность стекла с самоочищающимся покрытием должна быть защищена от соприкосновения или трения с любой шероховатой поверхностью.
11.8 При выполнении отделочных и других видов работ необходимо соблюдать меры по защите стекол от механических повреждений (ударов, вибрации и т.д.) и загрязнений - попадания на стекло строительных материалов (цементной пыли, строительных растворов, штукатурных смесей и т.д.) и других агрессивных веществ.
11.9 При проведении сварочных работ стекло необходимо защищать от попадания на него раскаленных частиц металла.
12. Гарантии изготовителя
12.1 Изготовитель гарантирует соответствие стекла требованиям настоящего стандарта при соблюдении правил эксплуатации, упаковки, транспортирования и хранения.
12.2 Гарантийный срок хранения стекла составляет пять лет со дня изготовления.
(справочное)
СПРАВОЧНЫЕ ЗНАЧЕНИЯ СВОЙСТВ СТЕКЛА
С САМООЧИЩАЮЩИМСЯ ПОКРЫТИЕМ
Наименование показателя | Справочное значение |
Плотность | 2500 кг/м3 |
Модуль упругости (модуль Юнга) | 7 x 1010 Па |
Прочность на сжатие | 700 - 900 МПа |
Прочность на растяжение | 30 МПа |
Прочность на изгиб | 15 МПа |
Коэффициент направленного отражения света: | |
сторона без покрытия, | 0,10 - 25 |
сторона с покрытием | 0,14 - 26 |
Значения коэффициента направленного отражения света, приведенные в
таблице А.1, могут отличаться в случае нанесения самоочищающегося покрытия на стекло с покрытием другого типа.