Главная // Актуальные документы // ГОСТ (Государственный стандарт)СПРАВКА
Источник публикации
М.: Стандартинформ, 2015
Примечание к документу
Документ
введен в действие с 1 июля 2015 года с правом досрочного применения.
Название документа
"ГОСТ 32820-2014. Межгосударственный стандарт. Дороги автомобильные общего пользования. Щебень и песок шлаковые. Определение активности шлаков"
(введен в действие Приказом Росстандарта от 02.02.2015 N 42-ст)
"ГОСТ 32820-2014. Межгосударственный стандарт. Дороги автомобильные общего пользования. Щебень и песок шлаковые. Определение активности шлаков"
(введен в действие Приказом Росстандарта от 02.02.2015 N 42-ст)
агентства по техническому
регулированию и метрологии
от 2 февраля 2015 г. N 42-ст
МЕЖГОСУДАРСТВЕННЫЙ СТАНДАРТ
ДОРОГИ АВТОМОБИЛЬНЫЕ ОБЩЕГО ПОЛЬЗОВАНИЯ
ЩЕБЕНЬ И ПЕСОК ШЛАКОВЫЕ
ОПРЕДЕЛЕНИЕ АКТИВНОСТИ ШЛАКОВ
Automobile roads of general use. Slag rubble
and sand. Determination of slag activity
ГОСТ 32820-2014
МКС 93.080.020
Дата введения
1 июля 2015 года
с правом досрочного применения
Цели, основные принципы и основной порядок проведения работ по межгосударственной стандартизации установлены
ГОСТ 1.0-92 "Межгосударственная система стандартизации. Основные положения" и
ГОСТ 1.2-2009 "Межгосударственная система стандартизации. Стандарты межгосударственные, правила и рекомендации по межгосударственной стандартизации. Правила разработки, принятия, применения, обновления и отмены".
1 РАЗРАБОТАН Обществом с ограниченной ответственностью "Инновационный технический центр", Межгосударственным техническим комитетом по стандартизации МТК 418 "Дорожное хозяйство"
2 ВНЕСЕН Федеральным агентством по техническому регулированию и метрологии
3 ПРИНЯТ Межгосударственным советом по стандартизации, метрологии и сертификации (протокол от 25 июня 2014 г. N 45)
За принятие проголосовали:
Краткое наименование страны по МК (ИСО 3166) 004-97 | Код страны по МК (ИСО 3166) 004-97 | Сокращенное наименование национального органа по стандартизации |
Армения | AM | Минэкономики Республики Армения |
Беларусь | BY | Госстандарт Республики Беларусь |
Казахстан | KZ | Госстандарт Республики Казахстан |
Киргизия | KG | Кыргызстандарт |
Россия | RU | Росстандарт |
Таджикистан | TJ | Таджикстандарт |
4
Приказом Федерального агентства по техническому регулированию и метрологии от 2 февраля 2015 г. N 42-ст межгосударственный стандарт ГОСТ 32820-2014 введен в действие в качестве национального стандарта Российской Федерации с 1 июля 2015 г.
5 ВВЕДЕН ВПЕРВЫЕ
Информация об изменениях к настоящему стандарту публикуется в ежегодном информационном указателе "Национальные стандарты", а текст изменений и поправок - в ежемесячном информационном указателе "Национальные стандарты". В случае пересмотра (замены) или отмены настоящего стандарта соответствующее уведомление будет опубликовано в ежемесячном информационном указателе "Национальные стандарты". Соответствующая информация, уведомление и тексты размещаются также в информационной системе общего пользования - на официальном сайте Федерального агентства по техническому регулированию и метрологии в сети Интернет.
Настоящий стандарт входит в группу межгосударственных стандартов, устанавливающих требования и методы испытаний для шлаковых щебня и песка.
Настоящий стандарт разработан в рамках реализации
программы по разработке межгосударственных стандартов, в результате применения которых на добровольной основе обеспечивается соблюдение требований Технического регламента (ТР ТС 014/2011 "Безопасность автомобильных дорог"), утвержденной решением Коллегии Евразийской экономической комиссии N 81 от 13.06.2012.
Настоящий стандарт распространяется на щебень и песок из шлаков черной и цветной металлургии, а также из фосфорных шлаков, применяемые при строительстве, ремонте, капитальном ремонте, реконструкции и содержании автомобильных дорог общего пользования.
Настоящий стандарт устанавливает метод определения активности шлаков.
В настоящем стандарте использованы нормативные ссылки на следующие межгосударственные стандарты:
ГОСТ 12.1.004-91 Система стандартов безопасности труда. Пожарная безопасность. Общие требования
ГОСТ 12.1.007-76 Система стандартов безопасности труда. Вредные вещества. Классификация и общие требования безопасности
ГОСТ 12.1.044-89 (ИСО 4589-84) Система стандартов безопасности труда. Пожаровзрывоопасность веществ и материалов. Номенклатура показателей и методы их определения
ГОСТ 310.3-76 Цементы. Методы определения нормальной густоты, сроков схватывания и равномерности изменения объема
ГОСТ 2874-82 Вода питьевая. Гигиенические требования и контроль за качеством <*>
--------------------------------
<*> На территории Российской Федерации действует
ГОСТ Р 51232-98 "Вода питьевая. Общие требования к организации и методам контроля качества".
--------------------------------
<**> На территории Российской Федерации действует
ГОСТ Р 53228-2008 "Весы неавтоматического действия. Часть 1. Метрологические и технические требования. Испытания".
ГОСТ 28846-90 (ИСО 4418-78) Перчатки и рукавицы. Общие технические условия
ГОСТ 32826-2014 Дороги автомобильные общего пользования. Щебень и песок шлаковые. Технические требования
| | ИС МЕГАНОРМ: примечание. В официальном тексте документа, видимо, допущена опечатка: ГОСТ 32862-2014 имеет название "Дороги автомобильные общего пользования. Щебень и песок шлаковые. Отбор проб". | |
ГОСТ 32862-2014 Дороги автомобильные общего пользования. Щебень и песок шлаковые. Отбор и проб
Примечание - При пользовании настоящим стандартом целесообразно проверить действие ссылочных стандартов в информационной системе общего пользования - на официальном сайте Федерального агентства по техническому регулированию и метрологии в сети Интернет или по ежегодному информационному указателю "Национальные стандарты", который опубликован по состоянию на 1 января текущего года, и по выпускам ежемесячного информационного указателя "Национальные стандарты" за текущий год. Если ссылочный стандарт заменен (изменен), то при пользовании настоящим стандартом следует руководствоваться заменяющим (измененным) стандартом. Если ссылочный стандарт отменен без замены, то положение, в котором дана ссылка на него, применяется в части, не затрагивающей эту ссылку.
В настоящем стандарте применены термины по
ГОСТ 32826, а также следующие термины с соответствующими определениями:
3.1 шлак: Затвердевший после остывания расплав, представляющий собой побочный продукт или отход металлургических и химических производств.
3.2 активность шлака: Усредненное значение прочности при сжатии по прошествии 28 сут образцов, изготовленных из увлажненного до оптимальной влажности тонкоизмельченного шлака.
3.3 единичная проба: Проба шлакового щебня или песка, полученная методом сужения из лабораторной пробы и предназначенная для сокращения до требуемого количества мерных проб для проведения испытания.
3.4 мерная проба: Количество шлакового щебня или песка, используемое для получения одного результата в одном испытании.
3.5 постоянная масса: Масса пробы, высушиваемой в сушильном шкафу при температуре (110 +/- 5) °C, различающаяся не более чем на 0,1% по результатам двух последних последовательно проводимых взвешиваний через промежутки времени, составляющие не менее 1 ч.
4. Требования к средствам измерений, вспомогательным устройствам и реактивам
При проведении испытания применяют следующие средства измерений, вспомогательные устройства и реактивы:
- мельница лабораторная шаровая или барабан с металлическими шарами;
- прибор малый Союздорнии для стандартного уплотнения
(рисунок 1);
- пресс гидравлический, развивающий усилие не менее 200 кН;
- пресс испытательный с усилием не более 100 кН, со скоростью нагружения (3 +/- 0,5) мм в минуту;
- сито с размерами ячеек 0,063 мм в соответствии со стандартом
[1];
- чаша сферическая фарфоровая или металлическая по
ГОСТ 310.3;
- ванна с гидравлическим затвором для хранения образцов по
ГОСТ 310.3;
- термометр с ценой деления не более 1 °C;
- мастерок или лопатка для перемешивания по
ГОСТ 310.3;
- шкаф сушильный, обеспечивающий циркуляцию воздуха и поддержание температуры (110 +/- 5) °C;
- противни металлические.
1 - рукоятка; 2 - направляющий стержень; 3 - гиря;
4 - плунжер; 5 - направляющий насадный цилиндр;
6 - разъемный цилиндр; 7 - подстаканник;
8 - закрепляющие винты; 9 - металлическая пластинка
Рисунок 1 - Малый прибор Союздорнии
для стандартного уплотнения
Активность шлака определяют по результатам испытаний на прочность при сжатии по прошествии 28 сут водонасыщенных образцов, изготовленных из тонкоизмельченного шлака.
6. Требования безопасности и охраны окружающей среды
6.1 При работе со шлаковыми щебнем и песком необходимо соблюдать требования техники безопасности, предусмотренные
ГОСТ 12.1.007.
6.2 Шлаковые щебень и песок в соответствии с
ГОСТ 12.1.044 относятся к негорючим веществам.
6.3 Персонал при работе со шлаковыми щебнем и песком должен быть обеспечен средствами индивидуальной защиты:
6.4 При работе с сушильным шкафом необходимо соблюдать правила пожарной безопасности, предусмотренные
ГОСТ 12.1.004.
6.5 Утилизацию испытанного материала проводят в соответствии с рекомендациями предприятия-изготовителя и действующим законодательством.
7. Требования к условиям испытания
При проведении испытания шлаковых щебня и песка должны соблюдаться следующие условия для помещений:
- температура воздуха - (21 +/- 4) °C;
- относительная влажность воздуха - не более 80%.
Перед началом испытания щебень и песок должны иметь температуру, соответствующую температуре воздуха в помещении.
8. Подготовка к выполнению испытания
8.1 Отбор и формирование проб проводят по
ГОСТ 32862.
8.2 Для подготовки к испытанию единичную пробу шлакового щебня или песка массой не менее 5000 г высушивают в сушильном шкафу до постоянной массы при температуре (110 +/- 5) °C.
8.3 Затем единичную пробу размалывают в шаровой лабораторной мельнице или барабане с металлическими шарами так, чтобы остаток на сите с размером ячеек 0,063 мм был от 6% до 10% массы единичной пробы.
8.4 Размолотый шлак выдерживают в воздушно-сухих условиях в течение не менее 24 ч.
8.5 Из размолотой по
8.2 единичной пробы берут мерную пробу массой (735 +/- 15) г и помещают в сферическую чашу, предварительно протертую влажной тканью.
8.6 Затем в сферическую чашу добавляют воду в количестве 6% массы мерной пробы и тщательно перемешивают мастерком или лопаткой в течение 5 мин.
Влажность смеси W, % масс., определяют по формуле

, (1)
где mВ - масса мерной пробы во влажном состоянии, г;
m - масса мерной пробы в сухом состоянии, г.
8.7 Из приготовленной смеси в соответствии с
8.5 в малом приборе Союздорнии для стандартного уплотнения формуют серию из трех образцов диаметром и высотой равными (50 +/- 1) мм. Образцы уплотняют 40 ударами гири массой (2500 +/- 25) г, падающей с высоты (300 +/- 3) мм.
8.8 После уплотнения плунжер и направляющий насадной цилиндр аккуратно снимают таким образом, чтобы не повредить целостность образца. Излишки смеси, выступающие за верхнюю кромку разъемного цилиндра, срезают ножом.
8.9 Сразу после изготовления образцы извлекают из формы и взвешивают с точностью до 0,1 г.
Определяют плотность

, г/см
3, каждой серии, состоящей из трех образцов, во влажном состоянии по формуле

, (2)
где n - число образцов;
mi - масса образца данной серии при данной влажности, г;
V - объем образца, см3.
Плотность серии образцов в сухом состоянии

, г/см
3, определяют по формуле

, (3)
где

- плотность серии образцов во влажном состоянии, г/см
3, определяемая по
формуле (2);
W - фактическая влажность смеси, %.
8.10 Подготовку смеси, изготовление образцов и взвешивание последовательно повторяют, каждый раз увеличивая количество воды на 2%.
Примечание - Изготовление образцов прекращают после того, как значение плотности образцов в сухом состоянии начинает последовательно снижаться при каждом последующем определении.
8.11 Строят график зависимости изменения значений плотности серии образцов в сухом состоянии от влажности. По оси ординат откладывают значения плотности серии образцов в сухом состоянии, а по оси абсцисс - фактическую влажность. Наивысшая точка полученной кривой соответствует оптимальной влажности и максимальной плотности образцов в сухом состоянии.
9. Порядок выполнения испытания
9.1 Из шлаковой смеси, имеющей оптимальную влажность, изготовляют 10 образцов. Влажность смеси не должна отличаться от оптимальной более чем на +/- 0,5%.
Примечание - Допускается уплотнять образцы на прессе в течение трех минут при давлении 20 МПа, обеспечивающем плотность образца, равную плотности, получаемой на приборе стандартного уплотнения.
9.2 После изготовления образцы хранят в лабораторном помещении на воздухе в течение 7 сут, после чего их помещают в ванну с гидравлическим затвором на 18 сут, в которой поддерживают относительную влажность воздуха (95 +/- 5)% и температуру (19 +/- 1) °C.
9.3 Затем в течение не менее 48 ч образцы насыщают водой в емкости. При этом уровень воды над образцами должен быть не менее 20 мм.
9.4 По прошествии 28 сут водонасыщенные образцы испытывают на прочность на сжатие до разрушения. Скорость нагружения образца должна составлять (0,4 +/- 0,1) МПа в секунду.
10. Обработка результатов испытания
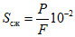
Предел прочности образцов Sсж, МПа, рассчитывают с точностью до 0,1 МПа по формуле

, (4)
где P - разрушающее усилие пресса, Н;
F - площадь поперечного сечения образца, см2.
За показатель активности шлаков принимают предел прочности при сжатии, вычисленный как среднеарифметическое значение результатов испытания десяти образцов.
11. Оформление результатов испытания
Результаты испытания оформляют в виде протокола, который должен содержать:
- номер протокола;
- дату проведения испытания;
- наименование организации, проводившей испытание;
- ссылку на настоящий стандарт;
- ссылку на акт отбора проб;
- наименование испытуемого материала;
- результаты испытания;
- сведения об условиях проведения испытания;
- фамилию, имя, отчество и подпись лица, проводившего испытание;
- фамилию, имя, отчество и подпись лица, ответственного за испытание.
12. Контроль точности результатов испытания
Точность результатов испытания обеспечивается:
- соблюдением требований настоящего стандарта;
- проведением периодической оценки метрологических характеристик средств измерений;
- проведением периодической аттестации оборудования.
Лицо, проводящее испытание, должно быть ознакомлено с требованиями настоящего стандарта.
| ИСО 3310-1:2000 | Сита лабораторные. Технические требования и испытания. Часть 1. Лабораторные сита из проволочной ткани |
(ISO 3310-1:2000) | (Test sieves - Technical requirements and testing - Part 1: Test sieves of metal wire cloth) |