Главная // Актуальные документы // ГОСТ (Государственный стандарт)СПРАВКА
Источник публикации
М.: Стандартинформ, 2015
Примечание к документу
Текст данного документа приведен с учетом
поправки, опубликованной в "ИУС", N 1, 2021;
поправки, опубликованной в "ИУС", N 10, 2023.
Документ
введен в действие с 01.07.2015.
Название документа
"ГОСТ 8.485-2013. Межгосударственный стандарт. Государственная система обеспечения единства измерений. Хроматографы аналитические газовые лабораторные. Методика поверки"
(введен в действие Приказом Росстандарта от 30.12.2013 N 2363-ст)
"ГОСТ 8.485-2013. Межгосударственный стандарт. Государственная система обеспечения единства измерений. Хроматографы аналитические газовые лабораторные. Методика поверки"
(введен в действие Приказом Росстандарта от 30.12.2013 N 2363-ст)
агентства по техническому
регулированию и метрологии
от 30 декабря 2013 г. N 2363-ст
МЕЖГОСУДАРСТВЕННЫЙ СТАНДАРТ
ГОСУДАРСТВЕННАЯ СИСТЕМА ОБЕСПЕЧЕНИЯ ЕДИНСТВА ИЗМЕРЕНИЙ
ХРОМАТОГРАФЫ АНАЛИТИЧЕСКИЕ ГАЗОВЫЕ ЛАБОРАТОРНЫЕ
МЕТОДИКА ПОВЕРКИ
State system for ensuring the uniformity
of measurements. Analytical gas laboratory
chromatographs. Verification procedure
ГОСТ 8.485-2013
Дата введения
1 июля 2015 года
Цели, основные принципы и основной порядок проведения работ по межгосударственной стандартизации установлены
ГОСТ 1.0-92 "Межгосударственная система стандартизации. Основные положения" и
ГОСТ 1.2-2009 "Межгосударственная система стандартизации. Стандарты межгосударственные, правила и рекомендации по межгосударственной стандартизации. Правила разработки, принятия, применения, обновления и отмены".
1. Разработан Федеральным государственным унитарным предприятием "Всероссийский научно-исследовательский институт метрологии им. Д.И. Менделеева" (ФГУП "ВНИИМ им. Д.И. Менделеева").
2. Внесен Федеральным агентством по техническому регулированию и метрологии (Росстандарт).
3. Принят Межгосударственным советом по стандартизации, метрологии и сертификации (Протокол от 27 декабря 2013 г. N 63-П).
За принятие проголосовали:
Краткое наименование страны по МК (ИСО 3166) 004-97 | Код страны по МК (ИСО 3166) 004-97 | Сокращенное наименование национального органа по стандартизации |
Азербайджан | AZ | Азстандарт |
Армения | AM | Минэкономики Республики Армения |
Казахстан | KZ | Госстандарт Республики Казахстан |
Киргизия | KG | Кыргызстандарт |
Россия | RU | Росстандарт |
Таджикистан | TJ | Таджикстандарт |
Туркмения | TM | Главгосслужба "Туркменстандартлары" |
Узбекистан | UZ | Узстандарт |
4.
Приказом Федерального агентства по техническому регулированию и метрологии от 30 декабря 2013 г. N 2363-ст межгосударственный стандарт ГОСТ 8.485-2013 введен в действие в Российской Федерации для применения в качестве национального стандарта с 1 июля 2015 г.
6. Введен впервые.
Информация об изменениях к настоящему стандарту публикуется в ежегодном информационном указателе "Национальные стандарты", а текст изменений и поправок - в ежемесячном информационном указателе "Национальные стандарты". В случае пересмотра (замены) или отмены настоящего стандарта соответствующее уведомление будет опубликовано в ежемесячном информационном указателе "Национальные стандарты". Соответствующая информация, уведомление и тексты размещаются также в информационной системе общего пользования - на официальном сайте Федерального агентства по техническому регулированию и метрологии в сети Интернет.
Настоящий стандарт распространяется на аналитические газовые лабораторные хроматографы (далее - хроматографы), соответствующие требованиям
ГОСТ 26703, и устанавливает методику их первичной и периодической поверок. Хроматографы применяют для анализа химического состава широкой группы веществ, материалов, в том числе входящих в состав объектов окружающей природной среды, и т.п.
В настоящем стандарте использованы нормативные ссылки на следующие стандарты:
ГОСТ OIML R 76-1-2011 Государственная система обеспечения единства измерений. Весы неавтоматического действия. Часть 1. Метрологические и технические требования. Испытания
ГОСТ ИСО 5725-1-2002 Точность (правильность и прецизионность) методов и результатов измерений. Часть 1. Основные положения и определения
ГОСТ ИСО 5725-2-2002 Точность (правильность и прецизионность) методов и результатов измерений. Часть 2. Основной метод определения повторяемости и воспроизводимости стандартного метода измерений
ГОСТ 1770-74 Посуда мерная лабораторная стеклянная. Цилиндры, мензурки, колбы, пробирки. Общие технические условия
ГОСТ 9293-74 (ИСО 2435-73) Азот газообразный и жидкий. Технические условия
ГОСТ 12.1.007-76 Система стандартов безопасности труда. Вредные вещества. Классификация и общие требования безопасности
ГОСТ 17433-80 Промышленная чистота. Сжатый воздух. Классы загрязненности
ГОСТ 26703-93 Хроматографы аналитические газовые. Общие технические требования и методы испытаний
ГОСТ 29227-91 (ИСО 835-81) Посуда лабораторная стеклянная. Пипетки градуированные. Часть 1. Общие требования
ГОСТ 29251-91 (ИСО 385-1-84) Посуда лабораторная стеклянная. Бюретки. Часть 1. Общие требования.
Примечание. При пользовании настоящим стандартом целесообразно проверить действие ссылочных стандартов в информационной системе общего пользования - на официальном сайте Федерального агентства по техническому регулированию и метрологии в сети Интернет или по ежегодному информационному указателю "Национальные стандарты", который опубликован по состоянию на 1 января текущего года, и по выпускам ежемесячного информационного указателя "Национальные стандарты" за текущий год. Если ссылочный стандарт заменен (изменен), то при пользовании настоящим стандартом следует руководствоваться заменяющим (измененным) стандартом. Если ссылочный стандарт отменен без замены, то положение, в котором дана ссылка на него, применяется в части, не затрагивающей эту ссылку.
3. Термины, определения и сокращения
3.1. В настоящем стандарте применены термины по рекомендациям
[1] и
[2],
ГОСТ ИСО 5725-1, а также следующие термины с соответствующими определениями:
3.1.1. Контрольное вещество: вещество, требования к которому установлены в технической документации на хроматографы для каждой системы детектирования, по которому нормируют и контролируют метрологические характеристики хроматографов.
3.1.2. Контрольная смесь: смесь, представляющая собой государственный стандартный образец - поверочную газовую смесь или раствор, приготовленный по
Приложению А к настоящему стандарту или по приложению к методике поверки хроматографа конкретного типа, - содержащая контрольное вещество и предназначенная для контроля метрологических характеристик.
3.1.3. Показатель точности результатов измерений: установленная характеристика точности результатов измерений, полученных по данной методике измерений.
3.2. В настоящем стандарте применены следующие сокращения:
ДТП - детектор по теплопроводности;
ДТХ - детектор термохимический;
ПИД - пламенно-ионизационный детектор;
ПФД - пламенно-фотометрический детектор;
ТИД - термоионный детектор;
ФИД - фотоионизационный детектор;
ЭЗД - электронозахватный детектор;
МСД - масс-селективный детектор;
ГСО - государственный стандартный образец;
СО - стандартный образец;
НД - нормативный документ;
ТУ - технические условия.
4.1. При проведении поверки выполняют операции, указанные в таблице 1.
Таблица 1
Операции поверки
Наименование операции | Номер подраздела, пункта методики | Обязательность проведения операции |
при выпуске из производства | при выпуске из ремонта | при периодической поверке |
Внешний осмотр | | Да | Да | Да |
Опробование: | | Да | Да | Да |
- определение уровня флуктуационных шумов нулевого сигнала | | Да | Да | |
- определение дрейфа нулевого сигнала | | Да | Да | |
- определение предела детектирования | | Да | Да | |
Определение метрологических характеристик: | | Да | Да | Да |
- определение относительного среднего квадратического отклонения выходного сигнала | | Да | Да | |
- определение относительного изменения выходного сигнала за 48 ч непрерывной работы <2> хроматографа | | Нет | Да | |
- определение показателей точности результатов измерений, установленных в НД на методику измерений | | Нет | Нет | |
<1> При отсутствии НД на методику измерений, аттестованную в установленном порядке. <2> Время непрерывной работы допускается уменьшать при соответствующем обосновании. <3> При наличии НД на методику измерений. |
5.1. При проведении поверки применяют средства поверки (приборы, оборудование, материалы и реактивы), указанные в таблице 2.
Таблица 2
Средства поверки
Наименование | Техническая характеристика |
| Высокий класс точности, максимальная нагрузка 200 г |
Микрошприцы типа МШ-10М | Вместимость 10·10-3 см3 |
Микрошприцы типа "Газохром-101" | Вместимость 1·10-3 см3 |
СО состава газовой смеси пропан-азот ГСО 4432-88 | Объемная доля пропана от 0,18% до 0,22% |
СО состава газовой смеси пропан-гелий ГСО 3971-87 | Объемная доля пропана от 0,10% до 0,17% |
СО состава газовой смеси водород-азот ГСО 3910-87 | Объемная доля водорода от 0,6% до 1,0% |
Бензол ГСО 7141-95 | Массовая доля основного вещества не менее 99,92% |
| Массовая доля основного вещества не менее 99,85% |
Линдан ГСО 7889-2001 | Массовая доля основного вещества не менее 99,60% |
Метафос (паратионметил) ГСО 7888-2001 | Массовая доля основного вещества не менее 99,40% |
Гексахлорбензол ГСО 7495-98 | Массовая доля основного вещества не менее 99,5% |
Гексан, х.ч. | Массовая доля основного вещества не менее 99,00% |
Октан, х.ч. | Массовая доля основного вещества не менее 99,80% |
Примечание. Допускается использование других химически чистых веществ, для которых нормируются метрологические характеристики в соответствии с нормативными документами изготовителя (при условии наличия аналогов, находящихся в Реестре утвержденных типов стандартных образцов Российской Федерации или выпускаемых по межгосударственным стандартам). |
5.2. При проведении поверки применяют вспомогательные материалы и оборудование, указанные в таблице 3.
Таблица 3
Вспомогательные материалы, оборудование
Наименование | Технические характеристики |
Барометр-анероид БАММ-1 | Диапазон от 80 до 110 кПа |
Психрометр аспирационный МВ-4М | - |
Термометр лабораторный ТЛ-4 | Диапазон от 0 °C до 55 °C, цена деления 0,1 °C |
| Класс точности 2, вместимость 100 см3 |
| Класс точности 2, вместимость 25, 50, 100, 500 см3 |
| Класс точности 2, вместимость 0,1; 1,0; 2,0; 10,0 см3 |
| Объемная доля основного вещества не менее 99,996% |
Гелий газообразный, марка А | Объемная доля основного вещества не менее 99,995% |
Аргон газообразный, высший сорт | Объемная доля основного вещества не менее 99,992% |
| Объемная доля основного вещества не менее 99,99% |
| Класс загрязненности I |
Оксид алюминия активный, марка АОА-1 | Фракция от 0,25 до 0,50 мм |
Хроматон N-AW DMCS | Фракция от 0,125 до 0,160 мм |
Молекулярные сита CaА (5 А) | Фракция от 0,2 до 0,4 мм |
Жидкая фаза SE-30 | - |
Колонки газохроматографические (стеклянные или металлические) | Длина от 1 до 3 м, внутренний диаметр от 2 до 3 мм |
Колонки капиллярные типа НР-5 (5% фенил)-метил-силикон | 30 м x 0,25 мм x 0,25 мкм |
5.3. Допускается использовать другие средства поверки, метрологические и технические характеристики которых соответствуют указанным в настоящем стандарте.
6. Условия поверки и подготовка к ней
6.1. При проведении поверки должны быть соблюдены следующие условия:
- температура окружающей среды (20 +/- 5) °C;
- относительная влажность воздуха от 30% до 80%;
- атмосферное давление, изменяющееся в процессе поверки не более чем на +/- 5 кПа, от 84 до 106 кПа;
- напряжение переменного тока (220 +/- 5) В;
- частота переменного тока (50 +/- 1) Гц;
- механические воздействия, внешние электрические и магнитные поля, влияющие на работу комплекса, должны отсутствовать.
6.2. Перед проведением поверки должны быть выполнены следующие подготовительные работы:
- приготовление контрольных растворов (инструкция по приготовлению контрольных растворов приведена в
Приложении А);
- подготовка колонок в соответствии с эксплуатационной документацией (НД на методику измерений);
- проверка герметичности газовых линий в соответствии с НД на хроматограф.
6.3. Требования безопасности
6.3.1. Все работы, относящиеся к поверке хроматографа, должны быть выполнены с соблюдением требований безопасности, приведенных в руководстве по эксплуатации, а также в действующих в государстве, принявшем настоящий стандарт, правилах безопасности эксплуатации электроустановок.
6.3.2. При поверке должны быть соблюдены требования безопасности и санитарно-гигиенические требования по
ГОСТ 12.1.007.
6.3.3. При эксплуатации хроматограф должен быть заземлен.
6.3.4. Мощность дозы радиоактивного излучения на поверхности детектора ЭЗД не должна превышать значений, указанных в
ГОСТ 26703.
При внешнем осмотре устанавливают следующее:
- соответствие комплектности хроматографа и номеров блоков паспортным данным;
- исправность механизмов и крепежных деталей;
- четкость маркировки.
7.2.1. Опробование осуществляют в соответствии с требованиями НД на хроматограф. Хроматограф включают и после стабилизации режима работы определяют уровень шумов, дрейф нулевого сигнала и предел детектирования.
7.2.2. При проверке ДТП и ДТХ в качестве газа-носителя используют гелий, при проверке других детекторов - гелий (кроме ЭЗД) или азот. При проверке уровня шумов задают фильтрацию - 1 Гц.
Типичные значения параметров режима работы хроматографа приведены в таблице 4.
Таблица 4
Детектор | Наименование параметров | Значение параметра |
ПИД | Температура термостатов, °C: | |
- колонок | 60 +/- 20 |
- детектора | 160 +/- 10 |
- испарителя | 150 +/- 10 |
Расход газа-носителя (азот или гелий), см3/мин | 25 +/- 10 |
ДТП | Температура термостатов, °C: | |
- колонок | 60 +/- 20 |
- детектора | 180 +/- 20 |
- испарителя | 160 +/- 20 |
Расход газа-носителя (гелий), см3/мин | 25 +/- 10 |
ДТХ | Температура термостатов, °C: | |
- колонок | 50 +/- 20 |
- детектора | 40 +/- 15 |
- испарителя | 160 +/- 20 |
Расход газа-носителя (гелий), см3/мин | 25 +/- 10 |
ФИД | Температура термостатов, °C: | |
- колонок | 60 +/- 20 |
- детектора | 180 +/- 20 |
- испарителя | 160 +/- 20 |
Расход газа-носителя (азот или гелий), см3/мин | 25 +/- 10 |
ЭЗД | Температура термостатов, °C: | |
- колонок | 190 +/- 20 |
- детектора | 250 +/- 20 |
- испарителя | 250 +/- 20 |
Расход газа-носителя (азот), см3/мин | 30 +/- 10 |
ТИД | Температура термостатов, °C: | |
- колонок | 190 +/- 20 |
- детектора | 300 +/- 50 |
- испарителя | 250 +/- 20 |
Расход газа-носителя (азот или гелий), см3/мин | 25 +/- 10 |
ПФД | Температура термостатов, °C: | |
- колонок | 200 +/- 20 |
- детектора | 200 +/- 20 |
- испарителя | 250 +/- 20 |
Расход газа-носителя (азот или гелий), см3/мин | 20 +/- 10 |
МСД | Температура термостатов, °C: | |
- испарителя | 220 - 300 |
- колонок в режиме программирования: | |
- скорость нагрева, °C/мин | 10 - 30 |
- начальная температура | (40 - 90) - 1 мин |
- конечная температура | (225 - 250) - 5 мин |
Расход газа-носителя (гелия), см3/мин | 1 - 1,5 |
Примечание. Расходы вспомогательных газов (воздух, водород, поддув газа-носителя) задают в соответствии с указаниями руководства по эксплуатации хроматографа для соответствующих детекторов. |
7.2.3. При проведении периодической поверки хроматографов, эксплуатируемых по НД на методики измерений, аттестованные в установленном порядке, опробование выполняют в соответствии с разделом "Подготовка к выполнению измерений": после включения хроматографа проверяют правильность установки параметров режима работы.
7.2.4. Уровень флуктуационных шумов нулевого сигнала принимают равным амплитуде повторяющихся колебаний нулевого (без ввода пробы) сигнала с периодом не более 20 с.
Значения уровня флуктуационных шумов нулевого сигнала

ПИД, ПФД, ТИД, ФИД [в амперах (А)] и ДТП и ДТХ [в вольтах (В)] определяют по формуле

(1)
где

- максимальное значение амплитуды повторяющихся колебаний нулевого сигнала в вольтах с полупериодом (длительностью импульса), не превышающим 10 с, зарегистрированное на выходе усилителя выходного сигнала детектора. Колебания, имеющие характер одиночных импульсов длительностью не более 1 с, не учитывают;
Kпр - коэффициент преобразования усилителя выходного сигнала в соответствии с НД на хроматограф.
Значение уровня флуктуационных шумов нулевого сигнала

ЭЗД [в амперах (А)] определяют по формуле

(2)
где Uвых - выходной сигнал усилителя, В.
Полученные значения уровня флуктуационных шумов нулевого сигнала детекторов не должны превышать значений, указанных в НД на хроматограф.
7.2.5. За дрейф нулевого сигнала принимают наибольшее смещение уровня нулевого сигнала в течение 1 ч.
Дрейф нулевого сигнала

определяют следующим образом.
В течение 1 ч регистрируют хроматограмму без ввода пробы.
Значение дрейфа нулевого сигнала ПИД, ПФД, ТИД, ФИД [в амперах в час (А/ч)] и ДТП и ДТХ [в вольтах в час (В/ч)] определяют по формуле

(3)
где

- смещение уровня нулевого сигнала, зарегистрированное на выходе усилителя выходного сигнала детектора, В.
Значение дрейфа нулевого сигнала ЭЗД [в амперах в час (А/ч)] определяют по формуле

(4)
Полученные значения дрейфа нулевого сигнала детекторов не должны превышать значений, указанных в паспорте на хроматограф.
Допускается проводить расчет уровня флуктуационного шума и дрейфа нулевого сигнала при помощи программного обеспечения, с которым данный тип хроматографа внесен в Государственный реестр средств измерений, при условии использования алгоритмов расчета аналогичных приведенным в настоящем стандарте.
7.2.6. Для определения предела детектирования вводят в хроматограф пять или более раз соответствующий проверяемому детектору контрольный образец (таблица 5). Раствор объемом (1 - 3)·10
-3 см
3 вводят с помощью дозатора автоматического жидкостного шприца или микрошприца, газовую смесь 0,1 - 2 см
3 - газовым краном-дозатором или газовым автоматическим дозатором.
Таблица 5
Детектор | Массовая концентрация (объемная доля) контрольного вещества | Колонка, сорбент (рекомендуемые) |
ПИД, ДТП | Гептан в октане, 0,5 - 1,0 мг/см3 | Хроматон N-AW-DMCS SE-30 |
Пропан в азоте (гелии), 0,10% - 0,22% | Оксид алюминия АОА-1 |
Гексадекан, для ПИД: 20 - 30 мг/дм3 ДТП: 200 - 300 мг/дм3 | |
ДТХ | Водород в азоте, 0,6% - 1,0% | Молекулярные сита CaА (5 А) |
ФИД | Бензол в октане, 0,1 мг/см3 | Хроматон N-AW-DMCS SE-30 |
ЭЗД | Линдан в гексане, (4,0 - 5,0)·10-5 мг/см3 | Хроматон N-AW-DMCS SE-30 |
ТИД, ПФД | Паратионметил (метафос) в гексане, 1,0·10-2 мг/см3 | Хроматон N-AW-DMCS SE-30 |
МСД | Гексахлорбензол в изооктане, 1·10-2 мг/см3 Октофторнафталин в изооктане, 2·10-5 мг/см3 | Капиллярная колонка типа RTX 5MS (15 м x 0,25 мм x 0,25 мкм) или НР-5 (5% фенил)-метил-силикон (30 м x 0,25 мм x 0,25 мкм) |
Примечание. Допускается использовать другие химические вещества, для которых нормируются значения пределов детектирования фирмой изготовителем (при условии наличия аналогов, находящихся в Реестре утвержденных типов стандартных образцов Российской Федерации или выпускаемых по межгосударственным стандартам). |
Режимы поверки и газ-носитель - в соответствии с
таблицей 4.
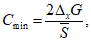
Предел детектирования детекторов Cmin, г/с (кроме ДТП, ДТХ), рассчитывают по формуле

(5)
для ДТП и ДТХ, г/см3, - по формуле

(6)
где G - масса контрольного вещества, г;

- среднее арифметическое значение площади пика, В·с или А·с;
Vгн - расход газа-носителя, см3/с.
Массу контрольного вещества при использовании раствора Gж определяют по формуле
Gж = VжCнK, (7)
где Vж - объем раствора, см3;
Cн - концентрация контрольного вещества, г/см3;
K - коэффициент, учитывающий содержание фосфора и серы в паратионметиле (метафосе), равный 0,12.
В остальных случаях коэффициент принимают равным единице.
При использовании газовой пробы массу контрольного вещества Gг определяют по формуле

(8)
где Vг - объем газовой пробы, см3;
P - атмосферное давление, Па;
M - молярная масса. Для пропана M = 44 г/моль, для водорода M = 2 г/моль;
Cг - объемная доля контрольного вещества в газовой смеси, %;
R - газовая постоянная,

;
t - температура окружающей среды, °C.
Полученные значения предела детектирования должны быть не более указанных в руководстве по эксплуатации (или паспорте) хроматографа.
7.2.7. При опробовании хроматографов с масс-спектрометрическим детектором в режиме ионизации электронным ударом определяют отношение сигнал/шум по масс-спектрограмме на молекулярном пике M/Z 284. В хроматограф вводят 1 мм
3 контрольного образца по
таблице 5 не менее пяти раз. С использованием системы обработки данных находят значение отношения сигнал/шум, которое должно быть не менее указанного в НД на хроматограф.
7.3. Определение метрологических характеристик
7.3.1. Относительное среднее квадратическое отклонение (СКО) выходного сигнала определяют при условиях, указанных в
таблицах 4 и
5, одновременно допускается выполнять определение предела детектирования.
Относительное СКО выходного сигнала определяют для всех нормируемых информативных параметров выходного сигнала: времени удерживания t, высоты h или площади пика S.
В хроматограф вводят пробу 5 - 10 раз. Определяют значения выходного сигнала (h
i, t
i, S
i), находят их средние арифметические значения (

,

,

).
Значения относительного СКО

,

,

, %, определяют по формулам:

(9)

(10)

(11)
где n - число результатов измерений, полученное после исключения выбросов (по
ГОСТ ИСО 5725-2).
Полученные значения относительного СКО должны быть не более указанных в руководстве по эксплуатации (или паспорте) хроматографа.
7.3.2. Относительное изменение параметров выходного сигнала за 48 ч непрерывной работы определяют следующим образом.
Проводят операции по
7.3.1 и определяют средние арифметические значения информативных параметров выходного сигнала -

. Через 48 ч непрерывной работы (для хроматографов с МСД - через 8 ч) снова проводят измерения по
7.3.1 и определяют средние арифметические значения параметров

.
Относительное изменение параметров выходного сигнала (высоты или площади пика и времени удерживания)

, %, за 48 ч непрерывной работы определяют по формуле

(12)
| | ИС МЕГАНОРМ: примечание. Текст дан в соответствии с официальным текстом документа. | |
Полученные значения изменения параметров выходного сигнала

должны быть не более указанных в руководстве по эксплуатации (паспорте) на хроматограф.
7.3.3. При проведении периодической поверки хроматографов, эксплуатируемых по НД на методики измерений, аттестованные в установленном порядке, проверяют показатели точности результатов измерений в соответствии с нормативами контроля, установленными в НД на методики измерений
[3].
8. Оформление результатов поверки
8.1. При оформлении результатов поверки в виде протокола руководствуются
Приложением Б.
8.2. Если хроматограф по результатам поверки признают пригодным к применению, то на него или техническую документацию наносят поверительное клеймо и выдают свидетельство о поверке по установленной форме.
8.3. Если по результатам поверки хроматограф признают непригодным к применению, поверительное клеймо гасят, свидетельство о поверке аннулируют, выписывают извещение о непригодности по установленной форме или вносят соответствующую запись в техническую документацию.
(рекомендуемое)
ПО ПРИГОТОВЛЕНИЮ КОНТРОЛЬНЫХ СМЕСЕЙ (РАСТВОРОВ)
Настоящая инструкция устанавливает методику приготовления контрольных смесей (растворов), предназначенных для контроля метрологических характеристик хроматографа.
Диапазон содержания контрольного вещества - от 5·10-5 до 10 мг/см3. Относительная погрешность аттестованного значения массовой концентрации контрольного компонента не превышает 10%.
Средства измерений, материалы и реактивы приведены в
разделе 5.
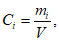
А.1. Процедура приготовления растворов
А.1.1. Растворы массовой концентрацией от 1 до 10 мг/см
3 приготавливают объемно-весовым методом. Массовую концентрацию контрольного вещества C
i, мг/см
3, определяют по формуле

(А.1)
где mi - масса контрольного вещества, мг;
V - объем приготовленного раствора, см3.
А.1.2. Исходные вещества, используемые для приготовления раствора, выдерживают не менее 2 ч в лабораторном помещении.
А.1.3. Температура окружающей среды при приготовлении контрольных растворов не должна изменяться более чем на 4 °C.
А.1.4. Определяют массу m1 мерной колбы вместимостью 100 см3. Результат взвешивания записывают до первого десятичного знака.
А.1.5. В мерную колбу вносят от 100 до 1000 мг контрольного вещества и вновь взвешивают колбу m2.
А.1.6. Вычисляют массу контрольного вещества m, мг, по формуле
m = m2 - m1. (А.2)
А.1.7. В колбу с контрольным веществом вводят от 20 до 25 см3 растворителя, перемешивают содержимое и доводят объем раствора до 100 см3. Тщательно перемешивают раствор.
А.1.8. Рассчитывают массовую концентрацию контрольного вещества по
А.1.1.
А.1.9. Растворы с содержанием контрольного вещества от 5·10-5 до 1 мг/см3 приготавливают объемным методом путем последовательного разбавления более концентрированных растворов. Массовую концентрацию контрольного вещества рассчитывают по формулам:

(А.3)

(А.4)

(А.5)
где n - номер ступени разбавления исходного контрольного раствора концентрацией C0;
V1, V2, Vn - аликвотная доля раствора массовой концентрацией C0, C1, Cn-1 соответственно, мг/см3.
А.1.10. Перед каждым разбавлением рассчитывают значение аликвотной доли раствора V1, V2, Vn исходя из заданного значения концентрации контрольного вещества C0, C1, Cn-1 и концентрации разбавляемого раствора.
А.1.11. В мерную колбу вместимостью 100 см3 вносят аликвотную долю разбавляемого раствора, доводят объем приготавливаемого раствора до 100 см3 и тщательно перемешивают.
А.2. Хранение контрольных растворов
А.2.1. Контрольные растворы хранят в чистых сухих склянках с хорошо притертыми пробками, вдали от источников огня и нагревательных приборов при температуре от 4 °C до 8 °C.
Срок хранения исходного раствора - от 3 до 5 дней, смеси меньших концентраций хранению не подлежат.
(рекомендуемое)
Протокол N ______
поверки хроматографа, принадлежащего
___________________________________________________________________________
(наименование организации)
Тип хроматографа _______________________ Заводской номер __________________
Детектор __________________________________________________________________
Изготовитель _________________________________ Год изготовления ___________
Порядковый номер по системе нумерации изготовителя ________________________
Наименование и номер блока ________________________________________________
___________________________________________________________________________
Условия поверки:
- температура окружающей среды К (°C);
- атмосферное давление кПа;
- относительная влажность воздуха %;
- напряжение питания В.
Таблица Б.1
Определение уровня флуктуационных шумов
и дрейфа нулевого сигнала
Детектор | Значение уровня шумов | Значение дрейфа |
по ТУ | действительное | по ТУ | действительное |
| | | | |
| | | | |
| | | | |
Таблица Б.2
Определение предела детектирования
Детектор | Среднее значение выходного сигнала | Значение предела детектирования |
по ТУ | действительное |
| | | |
| | | |
| | | |
Таблица Б.3
Определение среднего квадратического отклонения
выходного сигнала
Детектор | Значение выходного сигнала | Среднее арифметическое значение выходного сигнала | Среднее квадратическое отклонение выходного сигнала |
ti | hi | Si | | | | | | |
| | | | | | | | | |
| | | | | | | | | |
| | | | | | | | | |
Таблица Б.4
Определение изменения выходных сигналов
за 48 ч непрерывной работы (для МСД за 8 ч)
Детектор | Значение выходного сигнала | Среднее арифметическое значение выходного сигнала | Значение по ТУ | Действительное значение |
tti | hti | Sti | | | | | | | | | |
| | | | | | | | | | | | |
Таблица Б.5
Определение показателя точности результатов измерений
Показатель точности | Результат контрольной процедуры | Норматив контроля по НД на методику измерений |
| | |
| | |
| | |
Особые отметки (контрольные образцы, режимы, колонки и др.) ___________
___________________________________________________________________________
Приложение (хроматограммы, полученные при поверке) ____________________
___________________________________________________________________________
Заключение по результатам поверки _____________________________________
___________________________________________________________________________
___________________________________________________________________________
Выдано свидетельство (извещение о непригодности) N ___ от _________ 20__ г.
Поверку проводил ___________________ ___________________________
подпись (инициалы, фамилия)
"___" ____________ 20__ г.
| Рекомендации по межгосударственной стандартизации | Государственная система обеспечения единства измерений. Применение "Руководства по выражению неопределенности измерений" |
| Рекомендации по метрологии | Государственная система обеспечения единства измерений. Результаты измерений и характеристики погрешности измерений. Формы представления. Способы использования при испытаниях образцов продукции и контроле их параметров |
| Рекомендации по метрологии | Государственная система обеспечения единства измерений. Анализаторы состава веществ и материалов универсальные. Общие требования к методикам поверки в условиях эксплуатации. |