Главная // Актуальные документы // ГОСТ (Государственный стандарт)СПРАВКА
Источник публикации
М.: Стандартинформ, 2019
Примечание к документу
Документ
введен в действие с 01.08.2014.
Название документа
"ГОСТ 32459-2013. Межгосударственный стандарт. Белый фосфор. Измерение концентрации в воде методом газовой хроматографии с азотно-фосфорным детектором"
(введен в действие Приказом Росстандарта от 22.11.2013 N 828-ст)
"ГОСТ 32459-2013. Межгосударственный стандарт. Белый фосфор. Измерение концентрации в воде методом газовой хроматографии с азотно-фосфорным детектором"
(введен в действие Приказом Росстандарта от 22.11.2013 N 828-ст)
по техническому регулированию
и метрологии
от 22 ноября 2013 г. N 828-ст
МЕЖГОСУДАРСТВЕННЫЙ СТАНДАРТ
БЕЛЫЙ ФОСФОР
ИЗМЕРЕНИЕ КОНЦЕНТРАЦИИ В ВОДЕ МЕТОДОМ ГАЗОВОЙ ХРОМАТОГРАФИИ
С АЗОТНО-ФОСФОРНЫМ ДЕТЕКТОРОМ
White phosphorus. Determination in water by gas
chromatography with nitrogen-phosphorus detector
ГОСТ 32459-2013
Дата введения
1 августа 2014 года
Цели, основные принципы и общие правила проведения работ по межгосударственной стандартизации установлены
ГОСТ 1.0 "Межгосударственная система стандартизации. Основные положения" и
ГОСТ 1.2 "Межгосударственная система стандартизации. Стандарты межгосударственные, правила и рекомендации по межгосударственной стандартизации. Правила разработки, принятия, обновления и отмены"
1 РАЗРАБОТАН Федеральным государственным унитарным предприятием "Всероссийский научно-исследовательский центр стандартизации, информации и сертификации сырья, материалов и веществ" (ФГУП "ВНИЦСМВ");
Техническим комитетом по стандартизации ТК 339 "Безопасность сырья, материалов и веществ" Федерального агентства по техническому регулированию и метрологии Российской Федерации;
Федеральным бюджетным учреждением здравоохранения "Российский регистр потенциально опасных химических и биологических веществ" Федеральной службы по надзору в сфере защиты прав потребителей и благополучия человека (ФБУЗ "Российский регистр потенциально опасных химических и биологических веществ" Роспотребнадзора)
2 ВНЕСЕН Федеральным агентством по техническому регулированию и метрологии
3 ПРИНЯТ Межгосударственным советом по стандартизации, метрологии и сертификации (протокол от 5 ноября 2013 г. N 61-П)
За принятие проголосовали:
Краткое наименование страны по МК (ИСО 3166) 004-97 | Код страны по МК (ИСО 3166) 004-97 | Сокращенное наименование национального органа по стандартизации |
Армения | AM | Минэкономики Республики Армения |
Беларусь | BY | Госстандарт Республики Беларусь |
Киргизия | KG | Кыргызстандарт |
Молдова | MD | Молдова-Стандарт |
Россия | RU | Росстандарт |
Таджикистан | TJ | Таджикстандарт |
4
Приказом Федерального агентства по техническому регулированию и метрологии от 22 ноября 2013 г. N 828-ст межгосударственный стандарт ГОСТ 32459-2013 введен в действие в качестве национального стандарта Российской Федерации с 1 августа 2014 г.
5 ВВЕДЕН ВПЕРВЫЕ
6 ПЕРЕИЗДАНИЕ. Май 2019 г.
Информация о введении в действие (прекращении действия) настоящего стандарта и изменений к нему на территории указанных выше государств публикуется в указателях национальных стандартов, издаваемых в этих государствах, а также в сети Интернет на сайтах соответствующих национальных органов по стандартизации.
В случае пересмотра, изменения или отмены настоящего стандарта соответствующая информация будет опубликована на официальном интернет-сайте Межгосударственного совета по стандартизации, метрологии и сертификации в каталоге "Межгосударственные стандарты"
Настоящий стандарт устанавливает методику измерения массовой концентрации элементарного фосфора (белого фосфора) в пробах воды в диапазоне 0,01 - 0,1 мкг/л или 0,1 - 2 мкг/мл методами жидкость-жидкостной экстракции и газовой хроматографии.
В настоящем стандарте использованы нормативные ссылки на следующие межгосударственные стандарты:
ГОСТ 12.1.005 Система стандартов безопасности труда. Общие санитарно-гигиенические требования к воздуху рабочей зоны
ГОСТ 12.1.019 <1> Система стандартов безопасности труда. Электробезопасность. Общие требования и номенклатура видов защиты
--------------------------------
ГОСТ 1770 (ИСО 1042-83, ИСО 4788-80) Посуда мерная лабораторная стеклянная. Цилиндры, мензурки, колбы, пробирки. Общие технические условия
ГОСТ 5789 Реактивы. Толуол. Технические условия
| | ИС МЕГАНОРМ: примечание. ГОСТ 6265-74 утратил силу с 01.01.1991 (ИУС "Государственные стандарты", N 2, 1991). | |
ГОСТ 6265 Диэтиловый эфир. Технические условия
ГОСТ 6709 Вода дистиллированная. Технические условия
ГОСТ 7995 Краны соединительные стеклянные. Технические условия
ГОСТ 9293 (ИСО 2435-73) Азот газообразный и жидкий. Технические условия
ГОСТ 12433 Изооктаны эталонные. Технические условия
ГОСТ 24104 Весы лабораторные. Общие технические требования <2>
--------------------------------
<2> В Российской Федерации действует
ГОСТ Р 53228-2008 "Весы неавтоматического действия. Часть 1. Метрологические и технические требования. Испытания".
ГОСТ 25336 Посуда и оборудование лабораторные стеклянные. Типы, основные параметры и размеры
ГОСТ 29169 (ИСО 648-77) Посуда лабораторная стеклянная. Пипетки с одной отметкой
Примечание - При пользовании настоящим стандартом целесообразно проверить действие ссылочных стандартов и классификаторов на официальном интернет-сайте Межгосударственного совета по стандартизации, метрологии и сертификации (www.easc.by) или по указателям национальных стандартов, издаваемым в государствах, указанных в
предисловии, или на официальных сайтах соответствующих национальных органов по стандартизации. Если на документ дана недатированная ссылка, то следует использовать документ, действующий на текущий момент, с учетом всех внесенных в него изменений. Если заменен ссылочный документ, на который дана датированная ссылка, то следует использовать указанную версию этого документа. Если после принятия настоящего стандарта в ссылочный документ, на который дана датированная ссылка, внесено изменение, затрагивающее положение, на которое дана ссылка, то это положение применяется без учета данного изменения. Если документ отменен без замены, то положение, в котором дана ссылка на него, применяется в части, не затрагивающей эту ссылку.
3 Характеристики погрешности измерений
Относительная расширенная неопределенность измерений (при коэффициенте охвата k = 2) Uотн = 15%.
Примечание - Указанная неопределенность соответствует границам относительной суммарной погрешности +/- 15% при доверительной вероятности P = 0,95.
4.1 Белый фосфор представляет собой белое вещество (из-за примесей может быть желтоватым) с температурой плавления 44,1 °C. Настоящий стандарт предназначен для измерения массовой концентрации элементарного фосфора (белого фосфора) в пробах воды в диапазоне от 0,01 до 0,2 мкг/л с использованием жидкость-жидкостной экстракции и газовой хроматографии с внешним стандартом. При более высокой массовой концентрации белого фосфора пробу предварительно разбавляют дистиллированной водой. Предел обнаружения метода составляет 0,008 - 0,009 мкг/л пробы.
4.2 Измерение массовой концентрации проводят методом внешнего стандарта: определяют площади пиков P4 на калибровочных и экспериментальных хроматограммах. Расчет количества P4 осуществляют исходя из площадей этих пиков и массы внешнего стандарта.
4.3 Для градуировки прибора и расчета калибровочной зависимости готовят серию из пяти градуировочных растворов P4 воде, соответствующих указанному диапазону концентраций; затем растворы экстрагируют диэтиловым эфиром (изооктаном для менее чувствительного определения) и хроматографируют. Вычисляют фактор калибровки исходя из количеств белого фосфора и площадей соответствующих хроматографических пиков.
4.4 Метод высокоселективен: при условии использования азотно-фосфорного детектора хроматографических помех от каких-либо иных веществ не выявлено.
5 Средства измерений, реактивы и материалы
Газовый хроматограф, способный проводить измерения при постоянной температуре 80 °C, оборудованный азотно-фосфорным детектором, системой сбора данных и другими необходимыми для функционирования принадлежностями. Допускается применение других детекторов (например, пламенно-фотометрического детектора, оборудованного фосфорным фильтром), если их чувствительность по отношению к фосфору документирована.
Хроматограф оборудован капиллярной колонкой длиной 15 м, внутренним диаметром 0,53 мм, толщина пленки 3 мкм (DB-1 или аналог).
Весы лабораторные высокого класса точности по
ГОСТ 24104.
Шприцы аналитические вместимостью 10 и 50 мкл.
Пипетки с одной отметкой (Мора) вместимостью 1 мл по
ГОСТ 29169 с погрешностью +/- 0,015 мл.
Цилиндры мерные 2-10 и 2-500 по
ГОСТ 1770 с погрешностью +/- 0,1 и +/- 5,0 мл соответственно.
Колбы мерные 2-50-2, 2-250-2 по
ГОСТ 1770 с погрешностью +/- 0,12 и +/- 0,3 мл соответственно.
Примечание - Допускается применение других типов средств измерений с метрологическими и техническими характеристиками не ниже указанных.
Фосфор белый (чистота не менее 99%, например фирмы ACS).
Изооктан (2,2,4-триметилпентан) чистотой не менее 99%, например х.ч. по
ГОСТ 12433.
| | ИС МЕГАНОРМ: примечание. ГОСТ 6265-74 утратил силу с 01.01.1991 (ИУС "Государственные стандарты", N 2, 1991). | |
Диэтиловый эфир чистотой не менее 99%, например х.ч. по ГОСТ 6265.
Толуол чистотой не менее 99%, например х.ч., высшего сорта по
ГОСТ 5789.
Примечание - Допускается применение реактивов, изготовленных по другой нормативно-технической документации, с квалификацией чистоты не ниже указанной.
5.3 Вспомогательные устройства
Воронки делительные из химически стойкого стекла группы ХС: ВД-1-250, или ВД-2-250, или ВД-3-250 и ВД-1-500, или ВД-2-500, или ВД-3-500 по
ГОСТ 25336, оборудованные притертыми кранами по
ГОСТ 7995 и тефлоновыми пробками.
Емкости из темного стекла (три штуки) вместимостью не менее 40 мл, не менее 120 мл и не менее 4 л по
[1].
Одноразовые пипетки Пастера.
Щипцы стальные (для обращения с белым фосфором).
Лезвие для разрезания белого фосфора.
Аппарат дегазации воды (например, Supelco 5-8062).
Для работы с белым фосфором - оборудование для работы в инертной атмосфере (например, перчаточный бокс Innovative Technology с полностью функционирующей системой циркуляции и очистки и заполненный азотом, поверхность чистая по
ГОСТ 9293).
Примечание - Допускается применение аналогичного вспомогательного оборудования с техническими характеристиками не ниже указанных.
6 Требования безопасности
6.1 Белый фосфор является высокотоксичным веществом и может самовоспламеняться на воздухе. Обращение с белым фосфором следует осуществлять по
[2], манипуляции при приготовлении калибровочных растворов белого фосфора - в атмосфере инертного газа при отсутствии контакта с воздухом.
6.2 Используемые в работе реактивы относятся к веществам 1-го и 2-го классов опасности. При работе с ними необходимо соблюдать требования безопасности, установленные для работ с токсичными, едкими и легковоспламеняющимися веществами по
ГОСТ 12.1.005.
6.3 Эксплуатация жидкостного хроматографа и проведение соответствующих измерений требуют соблюдения правил электробезопасности в соответствии с
ГОСТ 12.1.019 и инструкцией по эксплуатации прибора.
7 Требования к квалификации персонала
7.1 К приготовлению градуировочных растворов допускаются лица, имеющие квалификацию химика, инженера- или техника-химика и опыт работы в химической лаборатории.
7.2 К выполнению измерений допускаются лица, имеющие квалификацию не ниже инженера-химика или химика, прошедшие соответствующие курсы обучения и стажировку в лабораториях, аккредитованных на выполнение анализов с применением настоящего стандарта.
7.3 Весь персонал должен пройти проверку знаний по технике безопасности, в том числе при работе в химической лаборатории, включая общие правила работы с едкими и токсичными веществами, правила пожарной безопасности и промышленной санитарии.
8 Условия выполнения измерений
При приготовлении растворов, подготовке проб и выполнении измерений соблюдают следующие условия: температура окружающего воздуха (20 +/- 5) °C; атмосферное давление 84,0 - 106,7 кПа (630 - 800 мм рт. ст.); относительная влажность воздуха при 25 °C ниже 85%; напряжение в сети питания переменного тока (220 +/- 22) В.
Другие условия измерений должны соответствовать инструкции по эксплуатации прибора.
9 Подготовка к выполнению измерений
Использованную стеклянную посуду перед дальнейшим употреблением ополаскивают применявшимся растворителем и тщательно моют горячей водой с содой, ополаскивают водопроводной, а затем дистиллированной водой.
9.2 Приготовление растворов
Приготовление растворов проводят в вытяжном шкафу при температуре окружающего воздуха 18 °C - 22 °C.
Приготовление градуировочных растворов белого фосфора проводят в условиях отсутствия кислорода при температуре 18 °C - 22 °C.
9.2.1 Градуировочные растворы фосфора в изооктане
Разрезают кусок белого фосфора на кусочки подходящего размера под слоем дегазированной воды в инертной атмосфере. Извлекают кусочек и подсушивают его в токе азота.
Помещают полученный кусочек белого фосфора (менее 100 мг) в мерную колбу на 250 мл, предварительно взвешенную вместе с небольшим количеством толуола внутри. Измеряют вес колбы после добавления белого фосфора и определяют массу внесенного белого фосфора (mФ) по разнице масс колбы до и после добавления фосфора. Встряхиванием добиваются растворения фосфора в толуоле, после чего доводят раствор толуолом до метки и перемешивают встряхиванием. Подсчитывают концентрацию фосфора в полученном растворе C0Ф по формуле

.
Разбавлением изооктаном готовят пять градуировочных растворов белого фосфора. Для этого в мерную колбу, содержащую небольшое количество изооктана, с помощью шприца переносят рассчитанное количество раствора фосфора в толуоле, доводят до метки изооктаном и перемешивают встряхиванием. Пример расчета объемов при приготовлении градуировочных растворов приведен в
таблице 1 (концентрация
C0Ф подставляется в мкг/л).
Таблица 1
Пример характеристик градуировочных растворов фосфора
N раствора | Объем исходного раствора фосфора в толуоле, мкл | Конечный объем раствора, мл | Конечная концентрация фосфора, мкг/л | Определяемая концентрация фосфора в пробе, мкг/л |
1 | | 250 | 1 | 0,1 |
2 | | 250 | 2 | 0,2 |
3 | | 250 | 5 | 0,5 |
4 | | 250 | 10 | 1 |
5 | | 250 | 20 | 2 |
Приготовленные растворы можно хранить при 4 °C в темноте.
9.2.2 Градуировочные растворы фосфора в диэтиловом эфире
Полученный в
9.2.1 раствор белого фосфора в толуоле разбавляют диэтиловым эфиром аналогично
9.2.1.
Для того чтобы добиться чувствительности на уровне 0,01 мкг/л, готовят пять градуировочных растворов в диэтиловом эфире концентрацией от 5 до 100 мкг/мл (что соответствует определяемым в пробе воды концентрациям 0,01 - 0,2 мкг/л при объеме пробы воды 500 мл и конечном объеме экстракта 1 мл).
Приготовленные растворы можно хранить при минус 20 °C в темноте. Приготовление растворов в эфире производят непосредственно перед измерениями вследствие высокой летучести эфира.
9.2.3 Раствор фосфора в воде
Готовят насыщенный (примерно 3 мг/л) раствор белого фосфора в воде.
Под слоем дегазированной воды в инертной атмосфере отрезают кусочек фосфора массой как минимум 15 мг, помещают его в стеклянную емкость объемом как минимум 4 л, заполняют емкость дегазированной водой до горлышка, аккуратно закрывают тефлоновой крышкой так, чтобы в емкости не оставалось заполненного газом пространства. Емкость встряхивают в течение недели для растворения фосфора. Затем концентрацию полученного раствора определяют с помощью экстракции изооктаном (см.
10.3).
9.2.4 Раствор с известной концентрацией фосфора в воде
Разбавлением водного раствора
(9.2.3) готовят раствор фосфора в воде концентрацией 5 мкг/л. Добавка 1 мл такого раствора к 500 мл пробы увеличит концентрацию фосфора в пробе приблизительно на 0,01 мкг/л.
9.3 Подготовка прибора к выполнению измерений
Включают и настраивают хроматограф в соответствии с инструкцией по эксплуатации и описанием, прилагаемыми к прибору. Устанавливают рабочие параметры, необходимые для проведения измерений. Рабочие параметры приборов должны быть постоянными при измерении во всем диапазоне концентраций.
9.3.1 Условия измерения для хроматографа
Температура колонки: 80 °C.
Тип инжектора: без разделения потока.
Объем вводимого раствора (экстракта): 1 мкл.
Поток газа (азот): 1 мл/мин.
При таких условиях время удерживания фосфора колеблется от 2,5 до 3 мин с колонкой, указанной в
5.1.
Градуировку прибора осуществляют непосредственно перед измерениями концентрации в пробах в начале каждого рабочего дня.
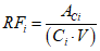
Производят анализ по 1 мкл пяти градуировочных растворов в случайном порядке или в порядке возрастания концентрации, определяют площади пиков на хроматограммах (ACi: AC1 - AC5) и времена удерживания фосфора tRi.
Для каждого измерения рассчитывают фактор отклика RFi по формуле

, (1)
где Ci - концентрация i-го калибровочного раствора, нг/мл;
V - введенный в хроматограф объем, 0,001 мл.
В дальнейших расчетах используют среднеарифметическое значение RFср, относящееся к полному диапазону измеряемых концентраций:

(2)
Также рассчитывают среднеарифметическое значение времени удерживания.
Затем рассчитывают среднеквадратическое (стандартное) отклонение СКО и соответствующее относительное СКО фактора отклика:

(3)

. (4)
Значения относительного СКО не должны превышать 15%.
10 Подготовка образцов для измерений
Пробы отбирают по
ГОСТ 31861. Дополнительно руководствуются следующими требованиями.
10.1.1 Пробы отбирают в чистые склянки из темного стекла. Склянки с пробами воды снабжают этикетками, на которых указывают номер и вид пробы, дату и место отбора. Склянки плотно закрывают крышками либо пробками, стараясь уменьшить время контакта проб с воздухом, а также избегая встряхивания образцов.
10.1.2 В каждой точке отбора отбирают не менее двух проб воды объемом не менее 0,5 л.
10.1.3 Пробы можно хранить до пяти дней при температуре от 0 °C до 5 °C в защищенном от света месте. Дополнительная консервация не требуется. Подготовку проб проводят при температуре окружающего воздуха 18 °C - 22 °C. Перед обработкой по
10.2 пробы выдерживают при этой температуре не менее 1 ч.
10.2 Экстракция диэтиловым эфиром
500 мл образца переносят в делительную воронку вместимостью не менее 500 мл, добавляют 50 мл диэтилового эфира и перемешивают 5 мин с периодическим спуском избыточного давления, затем смеси дают расслоиться в течение 15 мин. Если не наблюдается отделение эфирного слоя, к смеси добавляют 16 г безводного хлорида натрия для увеличения ионной силы раствора и перемешивают, либо постепенно добавляют с перемешиванием аликвоты по 0,5 мл эфира до тех пор, пока не будет наблюдаться разделение фаз, либо подогревают смесь до температуры выше 25 °C.
Отделяют слой эфира (3 - 10 мл), переносят в мерный цилиндр и доводят объем эфиром до 10 мл.
Затем концентрируют эфирную фракцию до 1 мл. Для этого в делительной воронке к 10 мл эфирной фракции прибавляют от 91,7 мл (при температуре растворов 20 °C) до 99,2 мл (при 25 °C) дегазированной воды, встряхивают смесь, ожидают расслоения, отделяют эфирную фракцию в плотно закрываемую колбу.
Для приготовления проб с добавками фосфора к 500 мл пробы воды прибавляют 1 мл раствора (дважды для каждой пробы) с известной концентрацией фосфора (см.
9.2.4) и экстрагируют диэтиловым эфиром, как описано в
10.2.
10.3 Экстракция изооктаном
Экстракцию изооктаном применяют для получения чувствительности в пробах от 0,1 мкг/л, а также для определения концентрации фосфора в водном растворе, приготовленном по
9.2.3.
В емкость вместимостью не менее 40 мл помещают 30 мл образца воды, прибавляют 3 мл изооктана, плотно закрывают, встряхивают в течение 5 мин и оставляют до расслоения фаз. Слой изооктана отделяют одноразовой пипеткой Пастера.
Измерения проводят в тех же условиях и в той же подвижной фазе, в которых проведена градуировка прибора
(9.4). Для этого 1 мкл экстракта, находящегося при комнатной температуре, вводят в газовый хроматограф, регистрируют полученные времена удерживания и площади всех пиков на хроматограмме.
В случае если на хроматограмме присутствуют несколько пиков веществ, за пик фосфора принимают сигнал с временем удерживания, наиболее близким к среднему времени удерживания в градуировочных стандартах по
9.4. Записывают площадь
As пика фосфора в пробе.
Вычисляют содержание Cs фосфора в анализируемой пробе воздуха

, (5)
где Vf - конечный объем экстракта, л;
Vs - объем пробы воды, л;
Vi - введенный в хроматограф объем, л.
12 Оформление результатов измерений
Результат измерения содержания фосфора представляют в следующем виде
(Cs +/- 0,15·Cs) мкг/л. (6)
13.1 Проверка чувствительности хроматографа
При подозрительных результатах измерений или резком уменьшении регистрируемых сигналов проверяют чувствительность прибора по градуировочному раствору с наименьшей массовой концентрацией в условиях измерений, указанных в
9.3.1. Отношение сигнал:шум для определяемого соединения должно быть не менее 10:1. Чувствительность прибора восстанавливают в соответствии с рекомендациями, изложенными в руководстве по его эксплуатации.
13.2 Контроль помех по результатам холостого опыта
Холостой опыт проводят через каждые 10 - 20 проб, чтобы убедиться в отсутствии загрязнений и помех, источниками которых могут быть измерительная система, реактивы и материалы.
Проба в холостом опыте должна быть проведена через все соответствующие стадии пробоподготовки и анализа.
В случае обнаружения загрязнений, проявляющихся в появлении сигнала при подходящем времени удерживания с отношением сигнал:шум, превышающим 3:1, определяют источник помех, контролируя используемые реактивы и проверяя условия подготовки проб и проведения измерений.
13.3 Подтверждение калибровки
Периодически (через каждые 10 анализов) необходимо проверять точность начальной калибровки во избежание дрейфа показателей азотно-фосфорного детектора.
Для этого производят анализ третьего из пяти калибровочных растворов. Вычисляют для него значение фактора отклика
RFV аналогично
9.4.
Если разность D по формуле

, (7)
не превышает 15%, анализ образцов может быть продолжен, в противном случае требуется заново провести калибровку метода.
13.4 Контроль правильности методом добавок
Контроль проводят для установления возможности выполнения в данной лаборатории измерений с приемлемой точностью и достоверностью. Контроль необходимо проводить через каждые 10 - 20 анализов природных образцов либо не реже одного раза в месяц.
Для контроля к четырем пробам по 500 мл дистиллированной дегазированной воды добавляют по 1 мл раствора с известной концентрацией фосфора (см.
9.2.4), чтобы получить концентрации ~ 0,01 мкг/л. Измеряют концентрацию фосфора в четырех аликвотах по
10.2 и
разделу 11 и для каждой пробы получают результаты измерений
Cs.
Для каждой пробы вычисляют степень извлечения R фосфора

, (8)
где mn - теоретически вычисленная концентрация фосфора в пробе, мкг.
Вычисляют среднее значение степени извлечения
Rср и относительное стандартное отклонение степени извлечения (по формулам в
9.4). Значение
Rср должно находиться в пределах 30 - 130%, относительное стандартное отклонение степени извлечения не должно превышать 30% (при доверительном интервале 0,95). Если данные условия не удовлетворяются, необходимо проинспектировать рабочий процесс, устранить выявленные ошибки и повторить контроль методом добавок.
| ТУ 6-19-45 | Склянки толстостенные с притертыми пробками. Технические условия |
| | Техника безопасности при работе в аналитических лабораториях (общие положения). Методические рекомендации |
УДК 661.7:006.86:547.626 | |
Ключевые слова: фосфор, водная среда, газовая хроматография, азотно-фосфорный детектор |