Главная // Актуальные документы // ГОСТ (Государственный стандарт)СПРАВКА
Источник публикации
М.: Стандартинформ, 2015
Примечание к документу
Документ
введен в действие с 1 июля 2016 года.
Название документа
"ГОСТ IEC 60666-2014. Межгосударственный стандарт. Масла изоляционные нефтяные. Обнаружение и определение установленных присадок"
(введен в действие Приказом Росстандарта от 29.05.2015 N 478-ст)
"ГОСТ IEC 60666-2014. Межгосударственный стандарт. Масла изоляционные нефтяные. Обнаружение и определение установленных присадок"
(введен в действие Приказом Росстандарта от 29.05.2015 N 478-ст)
по техническому регулированию
и метрологии
от 29 мая 2015 г. N 478-ст
МЕЖГОСУДАРСТВЕННЫЙ СТАНДАРТ
МАСЛА ИЗОЛЯЦИОННЫЕ НЕФТЯНЫЕ
ОБНАРУЖЕНИЕ И ОПРЕДЕЛЕНИЕ УСТАНОВЛЕННЫХ ПРИСАДОК
Mineral insulating oils. Detection and determination
of specified additives
(IEC 60666:2010, IDT)
ГОСТ IEC 60666-2014
Дата введения
1 июля 2016 года
Цели, основные принципы и основной порядок проведения работ по межгосударственной стандартизации установлены в
ГОСТ 1.0-92 "Межгосударственная система стандартизации. Основные положения" и
ГОСТ 1.2-2009 "Межгосударственная система стандартизации. Стандарты межгосударственные, правила, рекомендации по межгосударственной стандартизации. Правила разработки, принятия, применения, обновления и отмены"
1. ПОДГОТОВЛЕН Федеральным государственным унитарным предприятием "Всероссийский научно-исследовательский центр стандартизации, информации и сертификации сырья, материалов и веществ" (ФГУП "ВНИЦСМВ") на основе собственного аутентичного перевода на русский язык англоязычной версии стандарта, указанного в
пункте 5
2. ВНЕСЕН Федеральным агентством по техническому регулированию и метрологии (Росстандарт)
3. ПРИНЯТ Межгосударственным советом по стандартизации, метрологии и сертификации (протокол от 5 декабря 2014 г. N 46)
За принятие проголосовали:
Краткое наименование страны по МК (ИСО 3166) 004-97 | Код страны по МК (ИСО 3166) 004-97 | Сокращенное наименование национального органа по стандартизации |
Армения | AM | Минэкономики Республики Армения |
Беларусь | BY | Госстандарт Республики Беларусь |
Киргизия | KG | Кыргызстандарт |
Молдова | MD | Молдова-Стандарт |
Россия | RU | Росстандарт |
Таджикистан | TJ | Таджикстандарт |
Узбекистан | UZ | Узстандарт |
4.
Приказом Федерального агентства по техническому регулированию и метрологии от 29 мая 2015 г. N 478-ст межгосударственный стандарт ГОСТ IEC 60666-2014 введен в действие в качестве национального стандарта Российской Федерации с 1 июля 2016 г.
5. Настоящий стандарт идентичен международному стандарту IEC 60666:2010 Detection and determination of specified additives in mineral insulating oils (Обнаружение и определение установленных присадок в нефтяных изоляционных маслах).
Международный стандарт разработан техническим комитетом IEC/TC 10 "Жидкости для применения в электротехнике" Международной электротехнической комиссии.
Перевод с английского языка (en).
Наименование настоящего стандарта изменено относительно наименования указанного стандарта для приведения в соответствие с ГОСТ 1.5-2001
(подраздел 3.6).
Официальные экземпляры международного стандарта, на основе которого подготовлен настоящий межгосударственный стандарт, и международных стандартов, на которые даны ссылки, имеются в Федеральном информационном фонде технических регламентов и стандартов.
Сведения о соответствии межгосударственных стандартов ссылочным международным стандартам приведены в дополнительном
приложении ДА.
Степень соответствия - идентичная (IDT)
6. ВВЕДЕН ВПЕРВЫЕ
Информация об изменениях к настоящему стандарту публикуется в ежегодном информационном указателе "Национальные стандарты", а текст изменений и поправок - в ежемесячном информационном указателе "Национальные стандарты". В случае пересмотра (замены) или отмены настоящего стандарта соответствующее уведомление будет опубликовано в ежемесячном информационном указателе "Национальные стандарты". Соответствующая информация, уведомления и тексты размещаются также в информационной системе общего пользования - на официальном сайте Федерального агентства по техническому регулированию и метрологии в сети Интернет
Настоящий стандарт устанавливает методы обнаружения и определения установленных присадок, применяемых при производстве масла, в неиспользованных и рабочих нефтяных изоляционных маслах.
Методы обнаружения можно применять для оценки содержания в нефтяном изоляционном масле установленных присадок, указанных поставщиком.
Методы определения используются для количественного определения установленных присадок, присутствующих или предварительно обнаруженных соответствующим методом.
Для применения настоящего стандарта необходимы следующие ссылочные документы. Для датированных ссылок применяют только указанное издание ссылочного документа, для недатированных ссылок применяют последнее издание ссылочного документа (включая все его изменения).
IEC 60296 Fluids for electrotechnical applications - Unused mineral insulating oils for transformers and switchgear (Жидкости для применения в электротехнике. Неиспользованные нефтяные изоляционные масла для трансформаторов и выключателей)
IEC 60475:2011 Method of sampling liquid dielectrics (Метод отбора проб жидких диэлектриков)
ISO 5725 (all parts), Accuracy (trueness and precision) of measurement methods and results [Точность (правильность и прецизионность) методов измерений и результатов]
3. Методы определения противоокислительных присадок
3.1. Определение противоокислительных присадок на основе фенолов и аминов методом инфракрасной (ИК) спектрофотометрии. Метод A
3.1.1. Предисловие
Настоящий метод устанавливает определение содержания 2,6-ди-трет-бутил-п-крезола (DBPC) в неиспользованных и рабочих нефтяных маслах путем измерения инфракрасного поглощения на частоте валентных колебаний связи O-H пространственно затрудненных фенолов. Метод также можно использовать для определения содержания 2,6-ди-трет-бутилфенола (DBP), но не позволяет различить DBPC и DBP.
В первом издании IEC 60666 был описан метод определения конкретных антиоксидантов с использованием методов ИК спектрофотометрии. Метод был эффективен для новых масел при отсутствии продуктов окисления, затрудняющих определение антиоксидантов. Для рабочих масел этот метод приводил к неудовлетворительным результатам, поскольку продукты окисления могли изменить базовые ИК спектры, что затрудняло обнаружение и количественное определение антиоксидантов.
Для решения этой проблемы в настоящем стандарте описана процедура подготовки эталонных масел, которые используют в качестве базовых масел.
Для выполнения этой процедуры требовалось много времени, чтобы убедиться, что новая серия базовых масел адекватно соответствует анализируемым маслам, поскольку содержание некоторых компонентов базовых и анализируемых масел могло значительно отличаться.
Новый метод настоящего стандарта устанавливает процедуру получения эталонных масел, не содержащих противоокислительные присадки, твердофазной экстракцией (SPE) с использованием силикагеля.
3.1.2. Оборудование, материалы и растворители
Используют следующие оборудование, материалы и растворители:
- ИК Фурье спектрометр или двухлучевой ИК спектрофотометр, снабженный согласованными кюветами из хлорида натрия с длиной оптического пути 1 мм (можно использовать другие материалы, если они не поглощают ИК излучение в диапазоне от 3000 до 3800 см-1);
- круглодонные колбы вместимостью 5 или 10 см3;
- стаканы вместимостью 5 или 10 см3;
- роторный испаритель;
- силикагелевые картриджи (пригодны картриджи с массой сорбента 1 или 2 г);
- н-пентан, ч.д.а.
Помещают в стакан 1 г масла, анализируемого на наличие противоокислительных присадок, добавляют 2 см3 н-пентана и тщательно перемешивают.
Пропускают полученный раствор через силикагелевый картридж и собирают элюат в круглодонную колбу. Выпаривают н-пентан в роторном испарителе.
Заполняют одну ИК кювету маслом, оставшимся в колбе испарителя, и помещают на пути опорного луча спектрофотометра.
Заполняют вторую ИК кювету анализируемым маслом, которое не было профильтровано, и помещают ее на пути аналитического луча спектрофотометра.
Записывают ИК спектр по
3.1.5.
Готовят стандартные калибровочные растворы DBP и DBPC во взвешенном количестве масла, не содержащего противоокислительные присадки. При необходимости их готовят из пробы масла для испытания с использованием процедуры по
3.1.3 (требуется большее количество картриджей и больший объем масла).
Срок годности стандартного калибровочного раствора (далее - калибровочного раствора) - не более 6 мес.
Примечание - Калибровочные растворы можно приготовить с применением неиспользованного масла, не содержащего ингибитор, при условии, что s20 базовое масло то же самое, что и испытуемое. Масло должно быть проверено по этой процедуре, чтобы убедиться в отсутствии ингибитора. Этот вариант не следует использовать, если испытуемые масла очень старые.
Готовят не менее пяти калибровочных растворов с содержанием ингибитора от 0,02% масс. до 0,50% масс.
При необходимости можно приготовить промежуточные калибровочные растворы, если известна приблизительная концентрация ингибитора в образце.
Измеряют по
3.1.5 оптическую плотность калибровочных растворов (при волновом числе 3650 см
-1 для DBPC) и строят калибровочную кривую зависимости поглощения от содержания ингибитора в процентах по массе. Калибровочная кривая должна представлять собой прямую линию, проходящую через начало координат, согласно закону поглощения Ламберта - Бэра

, (1)
где A - поглощение;
I0 - интенсивность входящего излучения;
I - интенсивность пропущенного излучения;
K - коэффициент поглощения [константа для связи (O-H) в DBPC];
C - содержание DBPC, % масс.;
D - оптический путь кюветы, мм.
Поскольку K и D являются постоянными для данного определения, A прямо пропорционально C.
3.1.5. Проведение испытаний
3.1.5.1. ИК-Фурье спектрометр
Проверяют оборудование. Настраивают в соответствии с рекомендациями производителя.
3.1.5.2. Двухлучевой ИК спектрофотометр
Готовят две подходящие кюветы с окошками из хлорида натрия и длиной оптического пути 1 мм. Заполняют обе кюветы базовым маслом, одну кювету помещают на пути аналитического луча, другую - на пути опорного луча спектрофотометра и убеждаются, что ИК спектр от 3800 до 3400 см-1 представляет собой прямую линию. Фиксируют процент пропускания (95% - 100%).
Меняют кюветы местами. Повторяют запись спектра. Снова получают прямую линию с пропусканием примерно 95% - 100%.
Если указанные выше условия не выполняются, промывают и полируют или бракуют кюветы, которые поглощают в данной области, и повторяют процедуру, пока не будет найдена подходящая пара кювет. Эти кюветы используют для всех определений.
3.1.5.3. Испытание растворов
3.1.5.3.1. ИК-Фурье спектрометр
Заполняют кювету испытуемым маслом и записывают ИК спектр (A) в соответствующем диапазоне волновых чисел. Повторяют испытание, используя эталонное масло без ингибитора, и вычитают этот результат из спектра A для получения спектра с линейной базовой линией.
3.1.5.3.2. Двухлучевой ИК спектрофотометр
Порцией эталонного масла, не содержащего ингибитор, полностью заполняют ИК кювету и помещают ее на пути опорного луча спектрофотометра. Полностью заполняют следующую ИК кювету испытуемым маслом и помещают на пути аналитического луча спектрофотометра. Записывают ИК спектр в соответствующем диапазоне волновых чисел (от 3500 до 3700 см-1 для DBPC).
3.1.6. Вычисления
3.1.6.1. Измерение оптической плотности
3.1.6.1.1. ИК Фурье спектрометр
Измеряют поглощение на максимальной высоте пиков для образца и эталонного масла без ингибитора.
Вычитают спектр эталонного масла из спектра испытуемого образца и получают количественный результат по калибровочной кривой.
3.1.6.1.2. Двухлучевой ИК спектрофотометр (
рисунок A.1, приложение A)
Проводят базовую линию по возможности близко между 3610 и 3680 см-1 и отмечают процент пропускания I0, при котором базовая линия пересекает линию 3650 см-1.
Записывают процент пропускания на вершине пика при 3650 см-1 I и вычисляют оптическую плотность по формуле

. (2)
Содержание DBPC в процентах по массе, соответствующее A3650, определяют по калибровочной кривой.
Можно использовать автоматическое определение спектрометром.
3.1.7. Прецизионность
Повторяемость и воспроизводимость метода были установлены в соответствии со стандартами серии ISO 5725.
3.1.8. Повторяемость (сходимость)
Расхождение между результатами двух последовательных определений, полученными одним и тем же оператором на одной и той же аппаратуре при постоянных условиях испытания на идентичном испытуемом материале в течение длительного времени при нормальном и правильном выполнении метода испытаний, может превышать значения, приведенные ниже, только в одном случае из 20:
- неиспользованные и рабочие масла: 15% или (x1 + x2)/2·0,15, где x1 и x2 - результаты двух последовательных определений.
Примечание - Повторяемость определена только для содержания DBPC в масле более 0,05% масс.
3.1.9. Воспроизводимость
Расхождение между двумя отдельными и независимыми результатами определений, полученными разными операторами, работающими в разных лабораториях, на идентичном испытуемом материале в течение длительного времени при нормальном и правильном выполнении метода испытаний, может превышать значения, приведенные ниже только в одном случае из 20:
- неиспользованные масла: для содержания DBPC <= 0,1% масс. воспроизводимость составляет 0,02% абсолютного значения;
- неиспользованные масла: для содержания DBPC > 0,1% масс. воспроизводимость составляет 45% или (x1 + x2)/2·0,45, где x1 и x2 - результаты двух определений;
- рабочие масла: 45% или (x1 + x2)/2·0,45, где x1 и x2 - результаты двух определений.
Примечание - Воспроизводимость для рабочих масел определена только для содержания DBPC в масле более 0,05% масс.
3.1.10. Отчет
Записывают содержание противоокислительных присадок на основе фенола и аминов с точностью до 0,01% масс.
3.2. Определение 2,6-ди-трет-бутил-п-крезола методом инфракрасной спектрофотометрии. Метод B
Для обычного анализа масел, находящихся в эксплуатации, могут быть использованы следующие изменения процедуры по
3.1.
3.2.1. Калибровка
Готовят одну жидкостную кювету с длиной оптического пути 0,2 мм с окошками из хлорида натрия.
Заполняют кювету нефтяным трансформаторным маслом без ингибитора (калибровочный раствор с 0%-ным содержанием ингибитора) и регистрируют ИК спектр.
Готовят не менее трех калибровочных растворов добавлением ингибитора DBPC с содержанием от 0,1% масс. до 0,4% масс.
Регистрируют ИК спектр каждого калибровочного раствора.
Измеряют высоту характерных пиков ингибитора примерно на 3650 см
-1 (см.
рисунок A.2, приложение A).
Строят калибровочную кривую зависимости высоты пика в процентах пропускания от содержания DBPC в масле в процентах по массе.
3.2.2. Примеры испытаний новых или использованных масел
Три раза заполняют калиброванную кювету испытуемым маслом и сливают масло.
Снова заполняют кювету и регистрируют ИК спектр.
Измеряют высоту характерного пика ингибитора в процентах пропускания визуальной оценкой так же, как во время процедуры калибровки (см.
рисунок A.2, приложение A).
Определяют по высоте пика содержание ингибитора в образце масла в процентах по массе, используя калибровочную кривую.
3.2.3. Прецизионность
Повторяемость и воспроизводимость для метода B установлены такие же, как для метода A.
3.2.4. Повторяемость (сходимость)
Расхождение между результатами двух последовательных определений, полученными одним и тем же оператором на одной и той же аппаратуре при постоянных условиях испытания на идентичном испытуемом материале в течение длительного времени при нормальном и правильном выполнении метода испытаний, может превышать значения, приведенные ниже, только в одном случае из 20:
- неиспользованные и рабочие масла: 15%.
Примечание - Повторяемость определена только для содержания DBPC в масле не менее 0,05% масс.
3.2.5. Воспроизводимость
Расхождение между двумя отдельными и независимыми результатами определений, полученными разными операторами, работающими в разных лабораториях, на идентичном испытуемом материале в течение длительного времени при нормальном и правильном выполнении метода испытаний, может превышать значения, приведенные ниже, только в одном случае из 20:
- неиспользованные масла: для содержания DBPC <= 0,1% масс. воспроизводимость составляет 0,02% абсолютного значения;
- неиспользованные масла: для содержания DBPC > 0,1% масс. воспроизводимость составляет 45%;
- рабочие масла: 45%.
Примечание - Воспроизводимость для рабочих масел определена только для содержания DBPC в масле не менее 0,05% масс.
3.2.6. Отчет
Содержание 2,6-ди-трет-бутил-п-крезола (DBPC) указывают с точностью до 0,01% масс.
3.3. Определение 2,6-ди-трет-бутил-п-крезола (DBPC) методом высокоэффективной жидкостной хроматографии (HPLC)
3.3.1. Введение
Настоящий метод позволяет определить содержание 2,6-ди-трет-бутил-п-крезола (DBPC) в неиспользованных и рабочих нефтяных маслах с помощью высокоэффективной жидкостной хроматографии после подготовки пробы с использованием техники твердофазной экстракции.
3.3.2. Материалы и оборудование
Используют следующие материалы и оборудование:
- высокоэффективный жидкостной хроматограф (HPLC) с ультрафиолетовым (УФ) детектором или УФ детектором на диодной матрице;
- колонки с фазой C18, размером 3,9 x 300 мм, толщиной покрытия 5 мкм;
- предколонку с фазой C18, толщиной покрытия 5 мкм;
- картриджи с массой силикагеля от 0,6 до 1 г;
- шприц-фильтр из политетрафторэтилена с размером пор не более 0,5 мкм (необязательно).
3.3.3. Реактивы и растворители
Реактивы должны включать:
- метанол для HPLC;
- воду для HPLC;
- н-пентан для HPLC.
3.3.4. Твердо-жидкостная экстракция
Взвешивают от 0,25 до 0,50 г образца масла с точностью до 0,01 г и растворяют в 2,5 см3 н-пентана.
Промывают новый силикагелевый картридж 3 см3 н-пентана, элюат удаляют. Пока силикагель влажный, пропускают раствор образца через картридж под небольшим вакуумом при потоке не более 3 см3/мин. Элюат удаляют.
Сушат картридж под вакуумом в течение 10 мин. Сбрасывают вакуум и вымывают поглощенный материал элюентом, который будет использован в хроматографическом анализе.
Собирают первые 5 см3 элюата в мерную колбу вместимостью 5 см3.
Можно профильтровать этот раствор через шприц-фильтр перед тем, как переместить его во флакон.
Помещают элюат в подходящий флакон для анализа методом HPLC.
3.3.5. Анализ экстракта
Используют следующие условия:
Подвижная фаза: | изократические условия. |
Элюент: | 100%-ный метанол или смесь метанола с водой до 40% воды по объему. |
Вводимый объем: | 10 - 20 мкл. |
Скорость потока: | 1 см3/мин. |
Температура: | изотермически при температуре от 30 °C и 40 °C. |
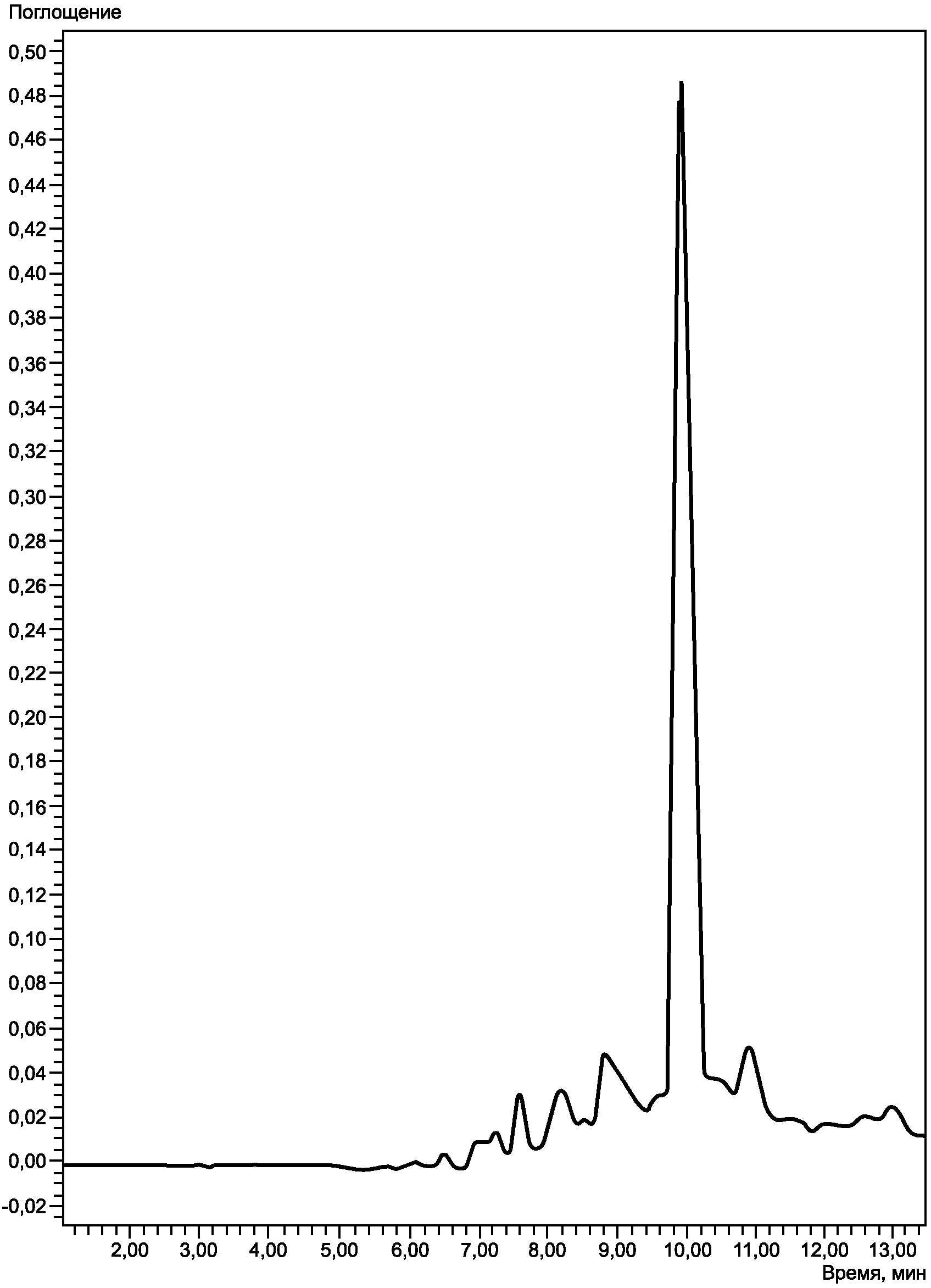
Пик обнаружения: | от 276 до 278 нм с временем удерживания от 3 до 10 мин в зависимости от условий элюирования. |
Пример хроматограммы приведен на
рисунке A.3 (приложение A).
3.3.6. Вычисления
Площадь пика или высоту пика образца сравнивают с калибровочными стандартами, подготовленными по
3.1.4.
Строят калибровочную кривую зависимости высоты или площади пика от содержания ингибитора в процентах по массе. По калибровочной кривой определяют содержание DBPC в образце в процентах по массе.
3.3.7. Прецизионность
Повторяемость и воспроизводимость были установлены в соответствии со стандартами серии ISO 5725.
3.3.8. Повторяемость (сходимость)
Расхождение между результатами двух последовательных определений, полученными одним и тем же оператором на одной и той же аппаратуре при постоянных условиях испытания на идентичном испытуемом материале в течение длительного времени при нормальном и правильном выполнении метода испытаний, может превышать значения, приведенные ниже, только водном случае из 20:
- неиспользованные и рабочие масла: 15%.
Примечание - Повторяемость определена только для содержания DBPC в масле более 0,05% масс.
3.3.9. Воспроизводимость
Расхождение между двумя отдельными и независимыми результатами определений, полученными разными операторами, работающими в разных лабораториях, на идентичном испытуемом материале в течение длительного времени при нормальном и правильном выполнении метода испытаний, может превышать значения, приведенные ниже, только в одном случае из 20:
- неиспользованные масла: для содержания DBPC <= 0,1% масс. воспроизводимость составляет 0,02% абсолютного значения;
- неиспользованные масла: для содержания DBPC > 0,1% масс., воспроизводимость составляет 45%;
- рабочие масла: 45%.
Примечание - Воспроизводимость для использованных масел определена только для содержания DBPC в масле более 0,05% масс.
3.3.10. Отчет
Записывают содержание 2,6-ди-трет-бутил-п-крезола (DBPC) с точностью до 0,01% масс.
3.4. Определение фенолсодержащих ингибиторов методом газовой хроматографии - масс-спектрометрии (GC-MS)
3.4.1. Сущность метода
Добавляют к маслу растворитель, содержащий внутренний стандарт (диметиловый эфир фталевой кислоты), соответствующий калибровочным стандартам, содержащим известное количество 2,6-ди-трет-бутилфенола (DBP) и 2,6-ди-трет-бутил-п-крезола (DBPC). Образцы и стандарты вводят в газовый хроматограф (GC) с делителем потока, использующий масс-спектрометрическое детектирование. Хроматограммы ионов с соотношением массы молекулы к заряду ее иона (m/z) = 191, 205 и 163 предназначены для количественного определения DBP, DBPC и внутреннего стандарта соответственно.
Настоящий метод применим для всех нефтяных масел, в том числе для рабочих масел, где использование методов ИК спектрофотометрии может быть затруднено из-за помех. Высокую чувствительность настоящего метода можно использовать для установления отсутствия ингибитора в неингибированных маслах.
3.4.2. Пример параметров прибора
Делитель потока: | 1 мкл вводят с делением в соотношении 200:1 при 275 °C. |
Газ-носитель: | гелий. |
Давление в колонке: | постоянный режим потока 1,2 см3/мин. |
Колонка: | 5% фенил, 95% диметилполисилоксана, 30 м, 0,25 мм, 0,25 мкм или эквивалентная. |
GC программатор | |
температуры: | пуск при 120 °C, удерживается в течение 1 мин, затем температура повышается на 10 °C/мин до элюирования DBPC, далее температура повышается на 50 °C/мин до 300 °C. Выдерживают при температуре 300 °C до восстановления базовой линии. |
MS настройки: | энергия ионизации (EI+) 70 эВ, температура ловушки - 150 °C, начальная температура - 80 °C, сканирование в диапазоне соотношения массы молекулы к заряду ее иона (m/z) от 50 до 500, 3 сканирования в секунду для установления времени удерживания по 3.4.7. Начинают сканирование на 3 мин, завершают сканирование не ранее чем через 7 мин. |
3.4.3. GC принадлежности
Линия: | линия делителя потока. |
Шприц: | вместимостью 5 или 10 мкл. |
Моющий растворитель: | толуол. |
3.4.4. Калибровочные стандартные растворы
Взвешивают примерно 0,280 г DBPC и/или DBP с точностью до +/- 0,001 г во флаконе вместимостью 10 см3. Добавляют примерно 8,00 г нефтяного масла по IEC 60296, не содержащего ингибиторы, взвешенного с точностью +/- 0,01 г. Перемешивают магнитной мешалкой до растворения DBPC и DBP, при необходимости слегка нагревают. Готовят ряд калибровочных стандартных растворов, содержащих 0,02% масс., 0,04% масс., 0,10% масс., 0,20% масс. и 0,40% масс., используя приведенный выше калибровочный стандартный раствор, то же самое масло и тщательно перемешивая растворы.
Стандарты хранят в темном и прохладном месте не более 6 мес.
3.4.5. Растворы внутренних стандартов
Раствор внутреннего стандарта 1. Взвешивают около 1,000 г диметилфталата с точностью до +/- 0,001 г в мерную колбу вместимостью 100 см3.
Доводят толуолом до метки, записывают массу и тщательно перемешивают.
Раствор внутреннего стандарта 2. Помещают 1000 мкл раствора внутреннего стандарта 1 в мерную колбу вместимостью 100 см3, доводят толуолом до метки и тщательно перемешивают.
Раствор 2 не хранят, его готовят для каждой серии анализов.
3.4.6. Подготовка образцов и калибровочных стандартов
Помещают по 100 мкл образца(ов) и каждого калибровочного стандартного раствора в отдельные флаконы, затем добавляют по 1000 мкл раствора внутреннего стандарта 2 и хорошо перемешивают. Анализируют образец(цы) и калибровочные стандартные растворы.
3.4.7. Аналитические процедуры
Устанавливают и настраивают масс-спектрометр (MS) в соответствии с инструкциями производителя.
Проводят полную проверку (сканирование) для определения времени удерживания и идентификации соответствующих целевых ионов DBPC, DBP, диметилфталата и режима селективного детектирования целевых ионов [SIM (селективный мониторинг ионов)] для калибровки и анализа.
Примечание - Для многих типов масс-спектрометров, используемых в качестве детекторов, ион хроматограммы для количественного определения могут быть получены из хроматографических серий с полным MS сканированием и с достаточным отношением сигнал - шум. В таких случаях нет необходимости запускать MS в SIM режиме. Тем не менее, SIM еще может быть предпочтительным, чтобы сэкономить объем сохраняемых данных.
3.4.8. Вычисления
Интегрируют и записывают площади целевых ионов в DBPC, DBP и диметилфталата и вычисляют калибровочный коэффициент RFx для каждого раствора из серии калибровочных стандартов
RFx = [AIs/MIs]/[Ac/Mc], (3)
где AIs - площадь внутреннего стандарта;
MIs - масса внутреннего стандарта;
Ac - площадь соединения;
Mc - масса соединения.
RFX калибровочных стандартов, площадь внутреннего стандарта и площади образца используют для вычисления содержания ингибитора. Рекомендуется использовать электронные таблицы.
Cs = [As/RFx]/[MIs/AIs]·Ms, (4)
где Cs - содержание образца;
As - площадь образца;
RFx - калибровочный коэффициент;
MIs - масса внутреннего стандарта;
AIs - площадь внутреннего стандарта;
Ms - масса образца.
Примечание - Настоящий метод можно модифицировать для распространения его на другие достаточно низкокипящие ингибиторы на основе фенолов и аминов. Некоторые дифениламины ранее использовались в трансформаторных маслах и возможно до сих пор используются некоторыми производителями. Однако BTA (бензотриазол) может разлагаться при температуре, используемой в настоящем методе.
3.4.9. Прецизионность
Настоящий метод позволяет обнаружить следовые количества противоокислительных присадок или подтвердить отсутствие этих соединений. Однако только ограниченное число лабораторий смогло принять участие в оценке прецизионности. Установлено, что прецизионность главным образом зависит от степени разбавления и может быть легко оценена каждой лабораторией.
3.4.10. Отчет
Записывают содержание 2,6-ди-трет-бутил-п-крезола (DBPC) с точностью до 0,01% масс.
(справочное)
ОБНАРУЖЕНИЕ ПРОТИВООКИСЛИТЕЛЬНЫХ ПРИСАДОК
МЕТОДОМ ТОНКОСЛОЙНОЙ ХРОМАТОГРАФИИ (TLC)
Примечание - Метод используют для проверки наличия или полуколичественного определения.
A.1. Сущность метода
Настоящий метод можно использовать для полуколичественной оценки содержания DBPC, когда метод инфракрасной спектрофотометрии, HPLC и метод газовой хроматографии - масс-спектрометрии (GC-MS) недоступны. По настоящему методу определяют полуколичественное содержания DBPC в новых или рабочих нефтяных маслах при концентрации в диапазоне от 0,01% масс. до 0,10% масс., с шагом 0,02% масс. Он также может быть использован для концентраций в диапазоне от 0,10% масс. до 0,50% масс. после соответствующего разбавления масла.
Известное количество смеси масла и хлороформа (1:1 по объему) помещают на алюминиевую TLC пластину (пластина A) с силикагелевым покрытием. После испарения растворителя пластину покрывают аналогичной пластиной B, совмещая слои силикагеля.
Пластину A нагревают, при этом пластину B, на которой конденсируется ингибитор, одновременно охлаждают. Пластину B далее обрабатывают фосфоромолибденовой кислотой и аммиаком. Площадь получившегося синего пятна пропорциональна количеству DBPC.
A.2. Реактивы и растворители
Используют следующие реактивы и растворители:
- 3,5%-ный раствор фосфомолибденовой кислоты в изопропаноле, спрей-реактив для хроматографии;
- хлороформ, ч.д.а.;
- раствор аммиака (25%-ный NH3 плотностью 0,91 г/см3 при 20 °C);
- белое масло или изоляционное масло без DBPC и других фенольных примесей в соответствии с методом обнаружения.
A.3. Оборудование
Используют следующее оборудование:
- пластинки для FLC с силикагелевым покрытием толщиной слоя 0,25 мм;
- шприц вместимостью 10 мкл;
- нагревательный элемент, обеспечивающий поддержание температуры (125 +/- 5) °C;
- устройство для измерения температуры нагревателя;
- металлический водонепроницаемый контейнер с плоским дном, приблизительными размерами 6 x 6 см, высотой 7 - 10 см;
- стеклянный контейнер с плотной крышкой, используемый в TLC, размером 20 x 7 см, высотой 20 см (можно использовать обычный эксикатор).
A.4. Проведение испытаний
A.4.1. Для содержания DBPC от 0,01% масс. до 0,10% масс.
Готовят стандартные растворы в белом масле или изоляционном базовом масле без DBPC, содержащие 0,01 масс.%, 0,02% масс., 0,05% масс. и 0,10% масс. DBPC.
Разбавляют испытуемое масло и стандартные растворы хлороформом 1:1 (по объему).
Вырезают две пластинки для TLC (A и B) размерами 6 x 6 см. Разделяют их карандашом на участки площадью 1 см2. Участки, расположенные в пределах 1 см от краев пластинки, не используют.
С помощью шприца наносят 10 мкл раствора масла в хлороформе в середину одного из участков площадью 1 см2 на пластинке A.
Аналогично наносят по 10 мкл стандартных растворов в середины соседних участков на пластинке A.
Удаляют хлороформ с пластинки на воздухе при температуре окружающей среды (приблизительно в течение 2 мин).
Примечание 1 - Важно полностью удалить растворитель. Это устанавливают по отсутствию запаха хлороформа.
Помещают на пластинку A вторую пластинку B, совмещая слои силикагеля.
Примечание 2 - Для масел с высоким содержанием ароматических углеводородов и особенно при использовании пластинок TLC с низкой плотностью силикагеля установлено, что лучшее разделение при содержании DBPC 0,01% масс. достигается при небольшом зазоре между пластинками (0,8 мм).
Охлаждают пластинку B, поместив на ее поверхность металлический контейнер со льдом.
Помещают всю систему (пластинки A и B и контейнер-холодильник) на нагревательное устройство, поддерживающее температуру (125 +/- 5) °C. Алюминиевая поверхность пластинки A должна контактировать с нагревательной поверхностью.
Через 5 мин пластинки A и B разделяют.
Обрабатывают пластинку B фосфомолибденовым реактивом. Сушат при температуре окружающей среды (окрашивание проявится быстрее, если пластинку нагревать в течение нескольких минут до температуры 90 °C) и затем подвергают воздействию паров аммиака. Пятно DBPC будет синим на белом фоне.
A.4.2. Для содержания DBPC от 0,10% масс. до 0,50% масс.
Разбавляют пробу белым маслом или изоляционным базовым маслом в соотношении 1:3 (по объему).
Примечание - Используемое в качестве разбавителя масло не должно содержать DBPC.
Разбавленную пробу испытывают по
A.4.1.
A.5. Результаты
Сравнивают цвет пятна образца на проявленной пластинке с цветом пятен для стандартных растворов. В случае
A.4.2 учитывают коэффициент разбавления.
A.6. Прецизионность
Прецизионность метода не установлена.
1 - интенсивность пропущенного излучения I;
2 - интенсивность входящего излучения I0
Рисунок A.1 - Типичный ИК спектр двухлучевого
ИК спектрофотометра при определении содержания DBPC
Рисунок A.2 - Типичный ИК спектр при содержании
DBPC 0,30% масс.
Рисунок A.3 - Типичная HPLC хроматограмма для определения
содержания DBPC
(справочное)
ОПРЕДЕЛЕНИЯ ПАССИВАТОРОВ В НЕФТЯНЫХ МАСЛАХ МЕТОДОМ
ВЫСОКОЭФФЕКТИВНОЙ ЖИДКОСТНОЙ ХРОМАТОГРАФИИ (HPLC)
B.1. Область применения
Настоящий метод применяют для определения пассиваторов - производных бензотриазола, таких как N-бис (2-этилгексил)-аминометилтолутриазол (TTAA), бензотриазол (BTA) и 5-метил-1Н-бензотриазол (TTA) <1> в неиспользованных и рабочих нефтяных изоляционных маслах методом HPLC.
--------------------------------
<1> Имеется в продаже TTAA,

Irgamet 39 (CAS N 80584-90-3 + 80595-74-0 и в смеси в

ингибитором серы). Информация приведена для пользователей настоящего стандарта и не является поддержкой IEC данного продукта.
Примечание - Метод основан на существующем методе определения другого пассиватора - BTA, который может быть обнаружен в том же хроматографическом интервале что и TTAA, как описано выше.
Для калибровки в настоящем методе используют товарный продукт TTAA. Специфическая погрешность метода зависит от степени его чистоты.
B.2. Основные положения
B.2.1. Краткое содержание
Растворяют навеску образца масла в пентане и пропускают под вакуумом через силикагелевый картридж (SPE), предварительно промытый метанолом и пентаном. Остаток неполярных компонентов масла, удержанных твердой фазой, затем элюируют следующей порцией пентана и удаляют. Картридж выдерживают под вакуумом до полного высушивания.
Элюируют определяемые вещества заданным объемом метанола и фильтруют через PTFE фильтр с размером пор 0,45 мкм.
Вводят раствор в систему HPLC, оборудованную обращенно-фазной колонкой, и обнаруживают TTAA УФ детектором при длине волны 260 - 270 нм.
B.2.2. Назначение и применение
Настоящий метод распространяется на определение TTAA для обычного анализа.
TTAA - аминосодержащее вещество, производное толутриазола, жидкое при температуре окружающей среды, добавляемое в нефтяные изоляционные масла в качестве пассиватора металлов благодаря его способности ингибировать коррозионные реакции на поверхности меди (и других металлов) и присутствующие в масле соединения, реагирующие с металлами. TTAA обычно добавляют к нефтяным маслам в концентрации 0,005% - 0,020%.
Другие производные триазола, использующиеся в нефтяных изоляционных маслах, такие как BTA (бензотриазол) и TTA (толутриазол), имеют более низкую растворимость в масле. BTA используют более широко, чем TTA, главным образом для изменения электрических свойств поверхности меди.
TTAA представляет собой смесь двух изомеров: N,N-бис(2-этилгексил)-4-метил-1Н-бензотриазол-1-метиламина и N,N-бис(2-этилгексил)-5-метил-1Н-бензотриазол-1-метиламина. Изомеры обычно не разделяются в условиях настоящего метода, но могут давать два частично перекрывающихся пика при использовании высокоэффективных колонок (C18, 250 мм), при этом учитывают общую площадь двух пиков.
Сильно окисленные масла могут частично влиять на результаты анализа, давая помехи от УФ поглощения полярных соединений, присутствующих в масле. При сомнении в результатах испытания для более точного определения можно использовать метод стандартных добавок.
Метод можно использовать для контроля содержания TTAA в пассивированных рабочих и неиспользованных изоляционных нефтяных маслах.
Примечания - Для оптимального разделения и обнаружения индивидуальных хроматографических систем этот метод допускает большую гибкость в выборе неподвижной и подвижной разделяющих фаз.
B.2.3. Помехи
B.2.3.1. Соэлюирующие компоненты
Было установлено, что TTA соэлюирует с TTAA в условиях настоящего метода. TTAA, как правило, разлагается до TTA в результате некоторых стадий хроматографического процесса, и УФ спектр обоих соединений (по зарегистрированной хроматограмме) одинаков.
Примечание - Рекомендуется проверять эффективность разделения соэлюирующих TTAA и TTA при выбранных условиях.
B.2.3.2. УФ-поглощение мешающих соединений
Спектры УФ-поглощения сильно окисленных масел могут содержать соединения, показывающие значения времени удерживания, близкие к TTAA. По этой же причине могут возникнуть фоновые шумы.
Если разделение пиков затруднено или происходит перекрывание пиков, для количественной оценки следует использовать метод стандартных добавок.
B.3. Оборудование
B.3.1. Аппаратура
Весы с верхней загрузкой, с автоматическим тарированием, с точностью взвешивания до 0,001 г, предназначенные для взвешивания не менее 100 г.
Вакуумная система для SPE.
Силикагелевые картриджи для элюирования в вакууме.
Силикагелевые картриджи SPE. Сорбент - силикагель массой от 500 до 1000 мг, pH 2 - 8, с размером частиц от 20 до 200 мкм.
Примечание 1 - Выбор массы сорбента зависит от массы анализируемого образца и вместимости картриджа. При оптимизации метода рекомендуется проводить проверку для анализа выхода.
Фильтры из PFTE с размером ячеек 0,45 мкм, совместимые с переходником Луера.
Система HPLC, оборудованная:
- насосом, подходящим не менее чем для двух растворителей;
- устройством ввода пробы, подходящим для ввода от 10 до 100 мкл (предпочтителен автоматический ввод пробы);
- колонками с обращенной фазой (RP) C8 или C18 эндкеппированными (блокированными), подходящими для подвижной фазы с pH 2 - 8.
Примечание 2 - Длина колонки и диаметр частиц могут меняться, ответственность за выбор этих параметров несет лаборатория, использующая настоящий метод. Хорошие результаты анализа были получены с колонками длиной от 150 до 250 мм, диаметром 4,6 мм и размером частиц от 3,5 до 5,0 мкм;
- RP предколонкой с такой же неподвижной фазой;
- УФ детектором (для записи УФ-спектра предпочтительно использовать детектор на диодной матрице);
- устройством сбора и накопления данных.
B.3.2. Реактивы и материалы
B.3.2.1. Чистота реактивов
Во всех испытаниях используют реактивы квалификации ч.д.а.
Растворители, используемые для хроматографического элюирования, должны быть квалификации для HPLC.
B.3.2.2. Требуемые реактивы
Метанол для HPLC.
Вода для HPLC.
н-Пентан для HPLC.
Толуол.
B.3.2.3. Стандартные материалы
В качестве калибровочных стандартов используют доступные в продаже BTA и эквивалентный TTAA.
Примечание 1 - Не следует использовать для калибровки доступные в продаже растворы TTAA в нефтяном масле или других подходящих растворителях, даже если содержание TTAA в них известно.
TTA квалификации ч.д.а.
BTA квалификации ч.д.а.
Базовое масло. Нефтяное изоляционное масло для разбавления, не содержащее BTA и TTAA.
Примечание 2 - По причинам, указанным в
B.2.3.1, базовое масло для разбавления также не должно содержать TTA и BTA.
B.3.2.4. Стандартные растворы
B.3.2.4.1. Исходный раствор
Исходный раствор представляет собой концентрированный раствор TTAA и BTA в толуоле. Готовят свежий исходный раствор каждые 3 мес и хранят его в темных бутылках при температуре окружающей среды.
Примечание - Было установлено, что исходный раствор концентрацией 1000 мг/кг стабилен в течение 3 мес. Если требуется более длительный срок хранения, его стабильность проверяют сравнением с новым раствором.
| | ИС МЕГАНОРМ: примечание. Нумерация пунктов дана в соответствии с официальным текстом документа. | |
B.3.4.2.2. Стандартные растворы
Для калибровки из исходного раствора готовят не менее 5 разбавленных растворов.
Для каждой стадии калибровки готовят свежие растворы разбавлением исходного раствора базовым маслом.
Стандартные растворы должны быть от 5 до 500 мг/кг.
B.4. Отбор проб
Целью отбора является получение представительной пробы для испытания. Лабораторные пробы отбирают по IEC 60475. Конкретные методы отбора проб могут повлиять на прецизионность настоящего метода испытаний.
B.5. Проведение испытаний
B.5.1. Подготовка аппаратуры
B.5.1.1. Приборы
Индивидуальные конструктивные особенности приборов, колонок и детекторов делают нецелесообразным подробное описание рабочих условий. Следует обращаться к инструкции производителя по эксплуатации прибора в зависимости от выбора условий разделения и обнаружения.
B.5.1.2. Условия разделения
Для разделения TTAA подходят обе RP колонки C8 и C18 с эндкеппированными фазами. Хорошее разделение может быть достигнуто с помощью изократического или градиентного элюирования с подвижной фазой вода/метанол; соотношение растворителей может быть от 50% воды/50% метанола (колонка с фазой C8) до 20% воды/80% метанола (колонка с фазой C18).
Скорость потока - от 0,5 до 1,0 см3/мин.
В качестве руководства в таблице B.1 приведены некоторые экспериментальные условия, но каждая лаборатория должна определить собственные оптимальные параметры разделения.
Таблица B.1
Примеры условий разделения
Колонка | Условия разделения | График | | | Примечание |
Время, мин | Вода, % | Метанол, % |
C18, 250 мм | Изократическое, 1 см3/мин | 0:00 | 30 | 70 | 3,5 - 4,5 | 2,5 - 3,0 | - |
20:00 | 30 | 70 |
C18, 250 мм | Градиентное, 1 см3/мин | 0:00 | 30 | 70 | 3,5 - 4,5 | 2,5 - 3,0 | Процедура со 100%-ным метанолом обеспечивает очистку колонки |
4:00 | 30 | 70 |
6:00 | 0 | 100 |
10:00 | 0 | 100 |
14:00 | 30 | 70 |
C18, 150 мм | Градиентное, 0,5 см3/мин | 0:00 | 50 | 50 | 8,0 - 9,0 | 5,0 - 6,0 | - |
15:00 | 50 | 50 |
20:00 | 0 | 100 |
45:00 | 0 | 100 |
50:00 | 0 | 100 |
C18, 150 мм | Градиентное, 1 см3/мин | 0:00 | 20 | 80 | 6,0 - 7,0 | 5,0 - 6,0 | - |
7:30 | 0 | 100 |
14:00 | 50 | 50 |
18:00 | 20 | 80 |
C8, 150 мм | Изократическое, 0,5 см3/мин | 0:00 | 50 | 50 | 3,5 - 4,5 | 2,5 - 3,0 | - |
20:00 | 50 | 50 |
C8, 250 мм | Изократическое, 1 см3/мин | 0:00 | 30 | 70 | 3,5 - 4,5 | | - |
10:00 | 30 | 70 |
|
Хорошее разделение достигается при получении острого симметричного пика без перекрывания с пиком БТА.
Примечание - В некоторых случаях для лучшего разделения и исключения размывания заднего фронта пика предпочтительно использовать в подвижной фазе буферный раствор вместо чистой воды. Качество разделения повышает использование уксуснокислого буферного раствора с pH 3 (концентрацией от 50 до 80 ммоль/дм3). При этом следует проверить спектр поглощения TTAA, поскольку он может меняться в зависимости от pH раствора.
B.5.1.3. УФ детектирование
УФ детектирование TTAA проводят на длине волны 264 нм, соответствующей максимуму поглощения (рисунок B.1).
1 - УФ спектр BTA; 2 - УФ спектр TTAA
Рисунок B.1 - УФ спектры TTAA и BTA
B.5.2. Калибровка
B.5.2.1. Устанавливают линейный диапазон для конкретного используемого прибора и выбранной процедуры разделения. Метод должен давать линейный отклик в диапазоне концентраций от 5 до 500 мг/кг.
B.5.2.2. Проведение калибровки
Готовят не менее пяти стандартных растворов разбавлением исходного раствора
(B.3.2.4.1) базовым нефтяным маслом. Для каждой калибровки готовят свежие стандартные растворы.
Экстрагируют базовое масло и каждый стандартный раствор по процедуре, приведенной в
B.5.3.1. Анализ проводят 3 раза, не менее 2 крайних точек (минимума и максимума).
Строят график зависимости площади пика от концентрации и вычисляют лучшую калибровочную кривую, соответствующую экспериментальным точкам, по регрессионной модели (y = bx + m). Коэффициент корреляции более 0,99 считают приемлемым. Для свободного члена m должно выполняться неравенство |m/b| < 1.
Калибровку проводят каждые 6 мес. Следует периодически испытывать контрольный образец с известной концентрацией для проверки стабильности метода.
B.5.3. Анализ
B.5.3.1. Предварительная подготовка образца с помощью SPE
С помощью вакуумной системы медленно промывают силикагелевый картридж SPE приблизительно 5 см3 метанола, затем кондиционируют его пропусканием приблизительно 10 см3 пентана.
Взвешивают порцию образца массой от 0,5 до 2,0 г с точностью до 0,01 г.
Примечание 1 - Масса образца зависит от массы сорбента картриджа. Избыточная масса образца перегружает сорбент и влияет на линейность метода, занижая верхний предел определяемых концентраций.
Разбавляют образец 10 см3 пентана и пропускают раствор через предварительно подготовленный картридж со скоростью не более 3 см3/мин. Утилизируют элюат.
Промывают картридж 20 см3 свежего пентана со скоростью не более 3 см3/мин для удаления неполярных соединений масла, адсорбированных силикагелем. Утилизируют элюат.
Сушат сорбент под вакуумом от 5 до 10 мин.
Медленно промывают картридж метанолом (с помощью вакуумной системы или вручную с помощью шприца), собирая первые 5,00 см3 элюата в мерную колбу.
Примечание 2 - Образец можно элюировать разными растворителями, например, хроматографической подвижной фазой. При использовании альтернативного растворителя проверяют в нем растворимость TTAA.
Примечание 3 - Для удовлетворительного аналитического выделения можно использовать разные объемы растворителя (см.
B.6).
B.5.3.2. HPLC анализ
Точным шприцем вводят в HPLC порцию элюата, собранного в колбу вместимостью 5 см3. Объем вводимой пробы зависит от чувствительности прибора и массы испытуемого масла, обычно используют петлевой дозатор вместимостью от 10 до 100 мкл.
Проводят анализ и регистрируют площадь пика, соответствующего времени удерживания TTAA.
B.5.4. Вычисления
Вычисляют содержание TTAA, мг/кг, т.к. полученная калибровочная кривая характеризуется уравнением y = bx + m, по формуле

. (B.1)
B.5.5. Отчет
Указывают содержание TTAA в миллиграммах на килограмм с точностью до трех значащих цифр.
B.6. Вычисление выхода извлечения
B.6.1. Выход адсорбции
Проверяют выход адсорбции силикагелевых картриджей SPE следующим образом:
- подключают два картриджа последовательно к вакуумной системе;
- пропускают стандартный образец (200 мг/кг) через оба картриджа в соответствии с
B.5.3.1, а затем картриджи разделяют и каждый отдельно элюируют 5 см
3 метанола;
- анализируют два образца и записывают результаты в виде x1 (концентрация, определенная в элюате из верхнего картриджа) и x2 (концентрация, определенная в элюате из нижнего картриджа);
- убеждаются, что

.
B.6.2. Выход элюирования
Проверяют выход элюирования силикагелевых картриджей SPE следующим образом:
- пропускают стандартный образец (200 мг/кг) через картридж в соответствии с
B.5.3.1;
- элюируют картридж аликвотой метанола объемом 5 см3, а затем второй аликвотой метанола также объемом 5 см3;
- анализируют оба образца отдельно и записывают результаты в виде x1 (концентрация, определенная в первом элюате) и x2 (концентрация, определенная во втором элюате);
- убеждаются, что

.
B.7. Прецизионность
B.7.1. Предел обнаружения
В условиях настоящего стандарта ожидаемый предел обнаружения - не менее 5 мг/кг. Каждая лаборатория должна определить собственный предел обнаружения.
B.7.2. Повторяемость
Расхождение между результатами двух последовательных определений, полученными одним и тем же оператором на одной и той же аппаратуре при постоянных условиях испытания на идентичном испытуемом материале в течение длительного времени при нормальном и правильном проведении испытаний, может превышать значения, приведенные в таблице B.2 (выраженные в процентах от среднеарифметического значения), только в одном случае из 20.
Таблица B.2
Повторяемость
Концентрация TTAA, мг/кг | Повторяемость r, % |
До 50 включ. | 10 |
Св. 50 | 5 |
B.7.3. Воспроизводимость
Расхождение между двумя отдельными и независимыми результатами определений, полученными разными операторами, работающими в разных лабораториях, на идентичном испытуемом материале в течение длительного времени при нормальном и правильном проведении испытаний, может превышать значения, приведенные в таблице B.3 (выраженные в процентах от среднеарифметического значения), только в одном случае из 20.
Таблица B.3
Воспроизводимость
Концентрация TTAA, мг/кг | Воспроизводимость R, % |
До 50 включ. | 15 |
Св. 50 | 8 |
(справочное)
ОПРЕДЕЛЕНИЕ ДЕПРЕССОРНЫХ ПРИСАДОК, ПОНИЖАЮЩИХ ТЕМПЕРАТУРУ
ЗАСТЫВАНИЯ, С ПОМОЩЬЮ ГЕЛЬ-ПРОНИКАЮЩЕЙ ХРОМАТОГРАФИИ
C.1. Введение
В некоторые доступные в продаже парафиновые масла для улучшения их низкотемпературных свойств вводят депрессорные присадки, понижающие температуру застывания. В настоящем приложении изложен метод качественного определения этих соединений.
C.2. Сущность метода
В качестве депрессорных присадок, понижающих температуру застывания используются полимерами с относительно высокой молекулярной массой. С химической точки зрения их можно разделить на две основные группы: полиметакрилаты и полинафталины.
Гель-проникающая хроматография (GPC) является разновидностью метода HPLC, в которой типичные колонки для HPLC, принцип работы которых основан на абсорбции анализируемых соединений на твердом носителе, заменены на колонки, наполненные сферическими полимерами с точно определенными размерами пор. Когда смесь соединений с молекулами разных размеров фильтруют через такие колонки, небольшие молекулы проходят через большое количество канальных пор сферических полимеров и поэтому элюируют после самых крупных молекул которые, если их размеры достаточно велики, проходят через пространство между сферами полимера.
При этом депрессорные присадки, понижающие температуру застывания в нефтяных изоляционных маслах, элюируют первыми, хорошо отделяясь от других компонентов масла.
C.3. Реактивы и материалы
Используют следующие реактивы и материалы:
- высокоэффективный жидкостной хроматограф (HPLC);
- ультрафиолетовый (УФ) и рефрактометрический (RI) детекторы;
- колонку для гель-проникающей хроматографии (GPC);
- лабораторную посуду;
- тетрагидрофуран (THF).
C.4. Проведение испытания
Помещают соответствующее количество масла, например, 100 мг, в стакан, добавляют 10 см3 сухого тетрагидрофурана и тщательно перемешивают.
Стабилизируют систему HPLC в соответствии с рекомендациями производителя, особенно при работе с RI-детектором, которая в значительной степени зависит от незначительных колебаний температуры окружающей среды.
Соответствующим шприцем вводят раствор масла в THF в HPLC, полностью заполняя петлевой дозатор (5 см3) и записывают хроматограмму.
Полиметакрилаты анализируют с помощью рефрактометрического детектора, для определения полинафталинов лучше подходит ультрафиолетовый детектор.
C.5. Прецизионность
Прецизионность настоящего метода не установлена.
(справочное)
О СООТВЕТСТВИИ МЕЖГОСУДАРСТВЕННЫХ СТАНДАРТОВ ССЫЛОЧНЫМ
МЕЖДУНАРОДНЫМ СТАНДАРТАМ
Таблица ДА.1
Обозначение и наименование ссылочного международного стандарта | Степень соответствия | Обозначение и наименование межгосударственного стандарта |
IEC 60296 Жидкости для применения в электротехнике. Неиспользованные нефтяные изоляционные масла для трансформаторов и выключателей | - | |
IEC 60475:2011 Метод отбора проб жидких диэлектриков | IDT | |
ISO 5725 Точность (правильность и прецизионность) методов измерений и результатов | - | |
<*> Соответствующий межгосударственный стандарт отсутствует. До его утверждения рекомендуется использовать перевод на русский язык данного межгосударственного стандарта. Перевод данного международного стандарта находится в Федеральном информационном фонде технических регламентов и стандартов. Примечание - В настоящей таблице использовано следующее условное обозначение степени соответствия стандарта: - IDT - идентичный стандарт. |
[1] | Lamarre, Duval and Gauthier, Analysis of DBPC by HPLC in new and used transformer oils, J. Chrom., 213. 481 - 490 (1981) (Анализ DBPC в новых и использованных трансформаторных маслах с помощью ВЭЖХ) |
[2] | Duval, Lamothe, Lamarre and Giguere, Determination of flow improver additives in new and aged insulating oils by gel permeation chromatography, J. Chrom., 244 (1), 169 - 173 (1982) (Определение присадок для снижения гидравлических потерь в новых использованных изоляционных маслах с помощью гель-проникающей хроматографии) |
[3] | IEC 60422, Mineral insulating oils in electrical equipment - Supervision and maintenance guidance (Нефтяные изоляционные масла в электрооборудовании. Контроль и руководство по обслуживанию) |
[4] | IEC 60590, Determination of the aromatic hydrocarbon content of new mineral insulating oils (Определение содержания ароматических углеводородов в новых нефтяных изоляционных маслах) |
[5] | IEC 61198, Mineral insulating oils - Methods for the determination of 2-furfural and related compounds (Нефтяные изоляционные масла. Методы определения 2-фурфурола и родственных соединений) |