Главная // Актуальные документы // ГОСТ (Государственный стандарт)СПРАВКА
Источник публикации
М.: Стандартинформ, 2015
Примечание к документу
Текст данного документа приведен с учетом
поправки, опубликованной в "ИУС", N 10, 2015.
Документ
введен в действие с 1 января 2016 года.
Название документа
"ГОСТ 32905-2014 (ISO 6492:1999). Межгосударственный стандарт. Корма, комбикорма, комбикормовое сырье. Метод определения содержания сырого жира"
(введен в действие Приказом Росстандарта от 13.10.2014 N 1312-ст)
"ГОСТ 32905-2014 (ISO 6492:1999). Межгосударственный стандарт. Корма, комбикорма, комбикормовое сырье. Метод определения содержания сырого жира"
(введен в действие Приказом Росстандарта от 13.10.2014 N 1312-ст)
агентства по техническому
регулированию и метрологии
от 13 октября 2014 г. N 1312-ст
МЕЖГОСУДАРСТВЕННЫЙ СТАНДАРТ
КОРМА, КОМБИКОРМА, КОМБИКОРМОВОЕ СЫРЬЕ
МЕТОД ОПРЕДЕЛЕНИЯ СОДЕРЖАНИЯ СЫРОГО ЖИРА
Feeds, mixed feeds and raw material.
Method for determination of fat content
(ISO 6492:1999, MOD)
ГОСТ 32905-2014
(ISO 6492:1999)
Дата введения
1 января 2016 года
Цели, основные принципы и основной порядок проведения работ по межгосударственной стандартизации установлены
ГОСТ 1.0-92 "Межгосударственная система стандартизации. Основные положения" и
ГОСТ 1.2-2009 "Межгосударственная система стандартизации. Стандарты межгосударственные, правила и рекомендации по международной стандартизации. Правила разработки, принятия, применения, обновления и отмены".
1. Подготовлен Открытым акционерным обществом "Всероссийский научно-исследовательский институт комбикормовой промышленности" (ОАО "ВНИИКП") на основе аутентичного перевода на русский язык международного стандарта, указанного в
пункте 4.
2. Внесен Межгосударственным техническим комитетом по стандартизации МТК 4 "Комбикорма, белково-витаминные добавки, премиксы".
3. Принят Межгосударственным советом по стандартизации, метрологии и сертификации (Протокол от 30 июля 2014 г. N 68-П).
За принятие проголосовали:
Краткое наименование страны по МК (ИСО 3166) 004-97 | Код страны по МК (ИСО 3166) 004-97 | Сокращенное наименование национального органа по стандартизации |
Армения | AM | Минэкономики Республики Армения |
Беларусь | BY | Госстандарт Республики Беларусь |
Киргизия | KG | Кыргызстандарт |
Россия | RU | Росстандарт |
4.
Приказом Федерального агентства по техническому регулированию и метрологии от 13 октября 2014 г. N 1312-ст межгосударственный стандарт ГОСТ 32905-2014 (ISO 6492:1999) введен в действие в качестве национального стандарта Российской Федерации с 1 января 2016 г.
5. Настоящий стандарт модифицирован по отношению к международному стандарту ISO 6492:1999. Animal feeding stuffs - Determination of fat content (Корма для животных. Определение содержания жира).
Международный стандарт разработан подкомитетом ISO/TC 10 "Корма для животных" технического комитета по стандартизации ISO/TC 34 "Пищевые продукты" Международной организации по стандартизации (ISO).
Перевод с английского языка (en).
Уточненные отдельные слова, фразы, абзацы внесены в текст межгосударственного стандарта для приведения в соответствие с отраслевой терминологией и выделены курсивом. Дополнительные примечания и приложение выделены полужирным курсивом.
В настоящем стандарте заменены единицы измерения объема: "литр" на "дециметр кубический", "миллилитр" на "сантиметр кубический", для приведения в соответствие с ГОСТ 1.5-2001,
пункт 4.14.1.
Наименование настоящего стандарта изменено относительно наименования указанного международного стандарта в соответствии с требованиями межгосударственной системы стандартизации и общепринятой отраслевой терминологией.
В настоящем стандарте ссылки на международные стандарты, используемые в примененном международном стандарте, заменены на межгосударственные стандарты, гармонизированные с международными.
Официальные экземпляры международного стандарта, на основе которого подготовлен настоящий межгосударственный стандарт, и международных стандартов, на которые даны ссылки, имеются в Федеральном агентстве по техническому регулированию, стандартизации и метрологии.
Сравнение структуры международного стандарта со структурой межгосударственного стандарта приведено в дополнительном
Приложении ДА.
Степень соответствия - модифицированная (MOD).
6. Введен впервые.
Информация об изменениях к настоящему стандарту публикуется в ежегодном информационном указателе "Национальные стандарты", а текст изменений и поправок - в ежемесячном информационном указателе "Национальные стандарты". В случае пересмотра (замены) или отмены настоящего стандарта соответствующее уведомление будет опубликовано в ежемесячном информационном указателе "Национальные стандарты". Соответствующая информация, уведомление и тексты размещаются также в информационной системе общего пользования - на официальном сайте Федерального агентства по техническому регулированию и метрологии в сети Интернет.
Настоящий стандарт распространяется на корма, комбикорма и комбикормовое сырье, за исключением семян масличных культур и побочных продуктов их переработки, и устанавливает метод определения содержания сырого жира.
При использовании данного метода корма, комбикорма и комбикормовое сырье разделяют на категории А и Б:
- из продуктов категории А сырой жир экстрагируют органическим растворителем,
- продукты категории Б перед экстракцией повергают гидролизу.
К категории Б относят:
- корма животного происхождения, включая молочные продукты;
- корма растительного происхождения, из которых жиры не могут быть извлечены без предварительного гидролиза, в частности: глютен, дрожжи, соя и белок картофеля, и термообработанные корма;
- комбикорма, в которых не менее 20% содержания жира обеспечено вводом вышеперечисленных продуктов.
К категории А относят все продукты, не упомянутые в категории Б.
В настоящем стандарте использованы нормативные ссылки на следующие межгосударственные стандарты:
ГОСТ OIML R 76-1-2011 Государственная система обеспечения единства измерений. Весы неавтоматического действия. Часть 1. Метрологические и технические требования. Испытания
ГОСТ 1770-74 (ИСО 1042-83, ИСО 4788-80) Посуда мерная лабораторная стеклянная. Цилиндры, мензурки, колбы, пробирки. Общие технические условия
ГОСТ ИСО 3310-1-2002 <*> Сита контрольные. Часть 1. Сита контрольные из металлической проволочной ткани. Технические требования и испытания
--------------------------------
<*> В Российской Федерации действует
ГОСТ Р 51568-99 (ИСО 3310-1-90) "Сита лабораторные из металлической проволочной сетки. Технические условия".
ГОСТ 4166-76 Реактивы. Натрий сернокислый. Технические условия
ГОСТ ИСО 5725-1-2003 Точность (правильность и прецизионность) методов и результатов измерений. Часть 1. Основные положения и определения <*>
----------------------------------
<*> На территории Российской Федерации действует
ГОСТ Р ИСО 5725-1-2002 "Точность (правильность и прецизионность) методов и результатов измерений. Часть 1. Основные положения и определения".
ГОСТ ИСО 5725-2-2003 Точность (правильность и прецизионность) методов и результатов измерений. Часть 2. Основной метод определения повторяемости и воспроизводимости стандартного метода измерений <**>
----------------------------------
<**> На территории Российской Федерации действует
ГОСТ Р ИСО 5725-2-2002 "Точность (правильность и прецизионность) методов и результатов измерений. Часть 2. Основной метод определения повторяемости и воспроизводимости стандартного метода измерений".
ГОСТ ИСО 5725-6-2003 Точность (правильность и прецизионность) методов и результатов измерений. Часть 6. Использование значений точности на практике <***>
----------------------------------
<***> На территории Российской Федерации действует
ГОСТ Р ИСО 5725-6-2002 "Точность (правильность и прецизионность) методов и результатов измерений. Часть 6. Использование значений точности на практике".
ГОСТ 9147-80 Посуда и оборудование лабораторные фарфоровые. Технические условия
ГОСТ 12026-76 Бумага фильтровальная лабораторная. Технические условия
----------------------------------
<*> На территории Российской Федерации действует
ГОСТ Р ИСО 6497-2011 "Корма для животных. Отбор проб".
ГОСТ 25336-82 Посуда и оборудование лабораторные стеклянные. Типы, основные параметры и размеры
ГОСТ 29169-91 (ИСО 648-77) Посуда лабораторная стеклянная. Пипетки с одной отметкой
ГОСТ 31218-2003 (ИСО 6498-98) Корма, комбикорма, комбикормовое сырье. Подготовка испытуемых проб <**>.
----------------------------------
<**> На территории Российской Федерации действует
ГОСТ Р 51419-99 "Корма, комбикорма, комбикормовое сырье. Подготовка испытуемых проб".
Примечание. При пользовании настоящим стандартом целесообразно проверить действие ссылочных стандартов по указателю "Национальные стандарты", составленному по состоянию на 1 января текущего года, и по соответствующим информационным указателям, опубликованным в текущем году. Если ссылочный стандарт заменен (изменен), то при пользовании настоящим стандартом следует руководствоваться заменяющим (измененным) стандартом. Если ссылочный стандарт отменен без замены, то положение, в котором дана ссылка на него, применяется в части, не затрагивающей эту ссылку.
В настоящем стандарте применен следующий термин с соответствующим определением:
3.1. Сырой жир: смесь триглицеридов жирных кислот и сопутствующих жироподобных веществ, выделенных из анализируемой пробы в соответствии с процедурой, установленной в настоящем стандарте.
Примечания:
1. К сопутствующим веществам относят свободные жирные кислоты, спирты, альдегиды, провитамины, пигменты, эфирные масла и др.
2. Содержание сырого жира выражается в граммах на килограмм. Оно также может быть выражено в виде массовой доли в процентах.
4.1. Сущность метода заключается в экстракции сырого жира из анализируемой пробы петролейным эфиром, удалении растворителя путем отгонки и сушки, взвешивании полученного остатка.
4.2. Образцы с относительно высоким содержанием жира (не менее 200 г/кг) проходят предварительную экстракцию петролейным эфиром.
4.3. Образцы категории Б предварительно подвергают гидролизу раствором соляной кислоты при нагревании, гидролизат охлаждают, фильтруют, полученный остаток промывают и сушат, затем экстрагируют петролейным эфиром, удаляют растворитель путем отгонки и сушки, полученный остаток взвешивают.
Используют только реактивы признанной аналитической чистоты.
5.2. Натрий
сернокислый по ГОСТ 4166, безводный.
5.3. Эфир петролейный, состоящий в основном из углеводородов с шестью атомами углерода,
интервал температур кипения от 40 °C до 60 °C. Бромное число должно быть меньше единицы, остаток после выпаривания должен быть
менее 20 мг/
дм3.
Допускается использование технического гексана, имеющего остаток после выпаривания менее 20 мг/см3.
5.4. Стружка из карбида кремния или стеклянные шарики.
5.6. Кислота соляная
по ГОСТ 3118, раствор молярной концентрации c (HCl) = 3 моль/дм3.
5.7. Адсорбент, например диатомит (кизельгур), прокипяченный в течение 30 мин в
растворе соляной кислоты
молярной концентрации c (HCl) = 6 моль/дм3, промытый водой до нейтральной реакции, затем высушенный при температуре 130 °C.
5.8. Бумага фильтровальная лабораторная по ГОСТ 12026.
Примечание. Допускается применение реактивов и материалов с характеристиками не хуже указанных.
6.
Лабораторные оборудование и посуда
Используют следующее лабораторное оборудование:
6.1. Патроны для экстракции, не содержащие жиры и масла, промытые эфиром.
6.2. Аппарат Сокслета,
состоящий из экстрактора вместимостью около 100 см3,
колбы вместимостью 500 см3 и
обратного холодильника, или другая система рециркуляции.
6.3.
Баня песчаная или водяная с регулируемой температурой.
6.4. Шкаф сушильный,
обеспечивающий поддержание температуры на уровне (103 +/- 2) °C.
6.5. Печь вакуумная с электрическим подогревом,
обеспечивающая поддержание температуры на уровне (80 +/- 2) °C и снижение давления до значения менее 13,3 кПа, оборудованная устройством для введения сухого воздуха или содержащая осушитель, например оксид кальция.
6.6. Эксикатор, содержащий эффективный осушитель.
6.7. Весы неавтоматического действия с пределами допускаемой абсолютной погрешности +/- 0,001 г и весы неавтоматического действия специального (I) класса с пределами допускаемой абсолютной погрешности +/- 0,0005 г по
ГОСТ OIML R 76-1.
6.11. Колбы конические Кн-2-250(500)-42-ТХС по ГОСТ 25336.
6.12. Цилиндры 1(2, 3, 4)-50(100)-2 по ГОСТ 1770.
6.15. Насос электрический, или водоструйный, или Комовского.
6.16. Сито с размером ячейки 1 мм по ГОСТ ИСО 3310-1.
Примечание. Допускается применение средств измерений с аналогичными метрологическими характеристиками, а вспомогательного оборудования - с техническими характеристиками не хуже указанных.
Поступающая в лабораторию проба должна быть представительной, не поврежденной и не загрязненной во время транспортирования и хранения.
Пробу для испытания готовят в соответствии с ГОСТ 31218.
9.1. Испытания трудноизмельчаемых проб и проб с содержанием жира более 20% проводят с предварительной экстракцией по
9.2.
Во всех остальных случаях действуют в соответствии с
9.3.
9.2. Предварительная экстракция
9.2.1. Не менее 20 г
анализируемой пробы

, подготовленной в соответствии с
разделом 8, взвешивают
на весах (см.
6.7)
с погрешностью +/- 0,001 г и смешивают с 10 г безводного сульфата натрия (см.
5.2). Переносят в патрон для экстракции (см.
6.1) и накрывают обезжиренным ватным тампоном.
В высушенную колбу аппарата Сокслета (см.
6.2) помещают небольшое количество карбида кремния (см.
5.4). Если
полученный жир далее будет использоваться для качественного анализа, то вместо карбида кремния используют стеклянные шарики. Колбу подключают к экстрактору.
Патрон для экстракции с анализируемой пробой помещают в экстрактор (см.
6.2), наполняют колбу
примерно на 2/3 объема растворителем и помещают на
баню (см.
6.3). Экстракцию проводят в течение 2 ч таким образом, чтобы получать не менее 10 сливов в час при использовании экстрактора Сокслета или чтобы скорость обратного стока составляла по меньшей мере 5 капель в секунду (около 10
см3/мин) при использовании эквивалентного устройства.
Полученный экстракт количественно переносят в
мерную колбу
вместимостью 500 см3 (см. 6.10), объем доводят до метки петролейным эфиром и перемешивают.
Аликвотную часть разбавленного экстракта (50 см3) помещают в высушенную и взвешенную с погрешностью +/- 0,001 г колбу аппарата Сокслета с небольшим количеством стружки из карбида кремния или стеклянными шариками.
9.2.2. Петролейный эфир из колбы удаляют путем отгонки, затем добавляют 2
см3 ацетона (см.
5.5) и, осторожно перемешивая, удаляют ацетон,
нагревая колбу на бане. Для полного удаления ацетона колбу продувают воздухом или инертным газом. Полученный остаток высушивают в течение (10,0 +/- 0,1) мин в сушильном шкафу (см.
6.4) при температуре 103 °C, охлаждают в эксикаторе (см.
6.6) и взвешивают

с
погрешностью +/- 0,0001 г.
Петролейный эфир допускается удалять следующим способом. После отгонки растворителя высушивают остаток в колбе в течение 1,5 ч под вакуумом в печи (см.
6.5) при температуре 80 °C, охлаждают в эксикаторе (
см. 6.6) и взвешивают

с
погрешностью +/- 0,0001 г.
9.2.3. Патрон для экстракции с содержимым высушивают на воздухе до устранения остатков растворителя. Сухой остаток взвешивают с
погрешностью +/- 0,0001 г

.
Содержимое патрона для экстракции измельчают до прохода пробы через сито
(см. 6.16).
Дальнейшая подготовка анализируемой пробы проводится в соответствии с
9.3.
9.3.
Подготовка анализируемой пробы
Около 5 г
анализируемой пробы, подготовленной в соответствии с
разделом 8 или
9.2, взвешивают
с погрешностью +/- 0,001 г

.
Далее испытания проб продуктов, относящихся к категории Б (см.
раздел 1), проводят по
9.4.
Пробу продукта, относящегося к категории А, помещают в патрон для экстракции (
см. 6.1), накрывают обезжиренным ватным тампоном и проводят экстракцию по
9.5.
Анализируемую пробу помещают в стакан
вместимостью 400
см3 (см. 6.8) или коническую колбу
вместимостью 300
см3 (см. 6.11), добавляют 100
см3 раствора соляной кислоты (см.
5.6) и карбид кремния (см.
5.4). Стакан накрывают часовым стеклом, на коническую колбу устанавливают обратный холодильник.
Смесь кипятят в течение 1 ч, встряхивая каждые 10 мин, чтобы предотвратить прилипание частиц пробы к стеклу.
Гидролизат охлаждают до комнатной температуры, добавляют достаточное количество адсорбента (см.
5.7), чтобы предотвратить потерю жира во время фильтрации. Гидролизат фильтруют
с помощью насоса (см. 6.15) через смоченный, обезжиренный двойной бумажный фильтр через воронку Бюхнера
(см. 6.15) в
колбу с тубусом (см. 6.14). Остаток на фильтре промывают холодной водой до получения нейтрального фильтрата.
Если на поверхности фильтрата появляется масло или жир, то результат испытания может быть недостоверным. Рекомендуется повторение процедуры с меньшим количеством пробы или с использованием кислоты более высокой концентрации.
Двойной бумажный фильтр с остатком осторожно вынимают, переносят в патрон для экстракции (см.
6.1) и сушат под вакуумом в течение 60 мин в печи (см.
6.5) при температуре 80 °C. Патрон достают из печи и закрывают обезжиренным ватным тампоном.
9.5.1. Высушенную колбу экстракционного аппарата с небольшим количеством стружки из карбида кремния или стеклянных шариков (см.
5.4), в случае использования полученного жира для качественного анализа, взвешивают с
погрешностью +/- 0,001 г

. Колбу подключают к экстрактору.
Патрон для экстракции помещают в экстрактор (см.
6.2), наполняют колбу
примерно на 2/3 объема петролейным эфиром и помещают на
баню (см.
6.3). Экстракцию проводят, соблюдая условия
9.2.1, в течение 6 ч.
9.5.2. Петролейный эфир из колбы удаляют по
9.2.2. Полученный остаток взвешивают

с
погрешностью +/- 0,0001 г.
10.
Обработка результатов
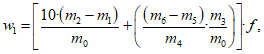
10.1. Определение содержания жира с предварительной экстракцией
Содержание жира,

, г/кг, в
анализируемой пробе вычисляют по формуле

(1)
где 10 - коэффициент отношения общего объема экстракта к объему аликвотной части;

- масса колбы с карбидом кремния и высушенным остатком экстракта, полученным в
9.2, г;

- масса колбы с карбидом кремния, используемой в
9.2, г;

- масса анализируемой пробы по
9.2, г;

- масса колбы с карбидом кремния и высушенным остатком экстракта, полученным в
9.5, г;

- масса колбы с карбидом кремния, используемой в
9.5, г;

- масса анализируемой пробы по
9.3, г;

- масса высушенного остатка экстракта, полученного в
9.2, г;
f - коэффициент согласования размерности единиц измерения массы (f = 1000 г/кг).
Результат записывают с точностью до 1 г/кг.
10.2. Определение содержания жира без предварительной экстракции
Содержание жира,

, г/кг, в
анализируемой пробе вычисляют по формуле

(2)
где

- масса колбы с карбидом кремния и экстрактом, полученным в
9.5, г;

- масса колбы с карбидом кремния, используемой в
9.5, г;

- масса анализируемой пробы по
9.3, г;
f - коэффициент перевода единиц массы, г/кг (f = 1000 г/кг).
Результат выражают с точностью до 1 г/кг.
10.3. Для выражения содержания жира в процентах результаты вычисления, полученные по формулам (1) или (2), умножают на 0,1.
Оценку прецизионности результатов испытаний в условиях повторяемости и воспроизводимости проводят в соответствии с ГОСТ ИСО 5725-1, ГОСТ ИСО 5725-2 и ГОСТ ИСО 5725-6.
11.1. Межлабораторные испытания
Результаты межлабораторных испытаний
прецизионности метода приведены в
Приложении А. Значения, полученные в этих межлабораторных испытаниях, не могут быть применимы к диапазонам концентраций и
пробам, отличающимся от описанных в данном стандарте и указанных
в Приложении А.
Абсолютное расхождение между результатами двух отдельных независимых испытаний, полученными одним и тем же методом на одной лабораторной пробе в одной и той же лаборатории одним и тем же оператором на одном и том же экземпляре оборудования в течение короткого промежутка времени, не должно превышать предел повторяемости (r), указанный в таблице 1, более чем в 5% случаев.
Таблица 1
Предел повторяемости (r) и предел воспроизводимости (R)
Продукт | r, г/кг | R, г/кг |
Категория Б (с гидролизом) | 5,0 | |
Категория А (без гидролиза) | 2,5 | |
|
|
Абсолютное
расхождение между результатами двух отдельных испытаний, полученными одним и тем же методом на идентичных пробах в разных лабораториях разными операторами на различных
экземплярах оборудования, не должно превышать предел воспроизводимости (R), указанный в
таблице 1, более чем в 5% случаев.
В протоколе испытаний необходимо указать:
- всю информацию, необходимую для идентификации пробы;
- использованный метод отбора проб, если известен;
- использованный метод анализа, со ссылкой на данный стандарт;
- все детали испытаний, не указанные в настоящем стандарте или рассматриваемые как несущественные, которые могли повлиять на результат(ы) испытания;
- полученный результат испытания или среднеарифметическое значение двух испытаний, если проверена повторяемость.
(справочное)
РЕЗУЛЬТАТЫ МЕЖЛАБОРАТОРНЫХ ИСПЫТАНИЙ
Прецизионность метода была установлена в трех межлабораторных испытаниях, организованных организациями по стандартизации бывшей Чехословакии, Нидерландов и Франции в 1984 году, и осуществлялись в соответствии с
[2] <*>.
----------------------------------
<*> Международный стандарт, использованный для проверки прецизионности, в настоящее время отменен.
В бывшей Чехословакии испытания проводились в 21 лаборатории. Были исследованы образцы сухого цельного молока, рыбной муки, комбикорма для бройлеров и гранулированные корма для крупного рогатого скота.
Во Франции испытания проводились в 33 лабораториях. Были исследованы образцы послеспиртовой барды, кукурузы, мясной муки, соевой муки и турецких кормов.
В Нидерландах испытания проводились в 10 лабораториях. Были исследованы образцы ячменя, костной муки, кокосовой муки, перьевой муки, кукурузного кормового глютена и двух комбикормов.
Сведения о статистических результатах испытаний приведены в
таблицах А.1 и
А.2.
Примечание. Более подробная информация приведена в документе ISO/TC 34/SC10 N 353.
Таблица А.1
Статистические результаты межлабораторных испытаний
продуктов категории Б (с проведением гидролиза)
Наименование показателя | Значение параметра для образцов <1> |
1 | | 3 | 4 | 5 | 6 | 7 | | | 10 | 11 |
Количество лабораторий после удаления выбросов | 25 | 8 | 23 | 24 | 18 | 23 | 27 | 8 | 8 | 19 | 20 |
Среднее значение содержания жира, г/кг <3> | 23,4 | 40,2 | 44,7 | 55,0 | 78,0 | 80,9 | 88,4 | 101,3 | 150,6 | 188,0 | 251,0 |
Стандартное отклонение повторяемости,  , мкг/г | - | 0,78 | - | - | 1,73 | - | - | 1,20 | 1,73 | 1,24 | 1,84 |
Коэффициент вариации повторяемости, % | - | 1,98 | - | - | 2,232 | - | - | 1,20 | 1,13 | 0,67 | 0,74 |
Предел повторяемости, r  , мкг/г | - | 2,2 | - | - | 4,9 | - | - | 3,4 | 4,9 | 3,5 | 5,2 |
Стандартное отклонение воспроизводимости,  , мкг/г | 4,03 | 1,98 | 2,57 | 4,38 | 5,55 | 2,97 | 5,69 | 1,80 | 3,32 | 2,65 | 3,39 |
Коэффициент вариации воспроизводимости, % | 17,29 | 4,95 | 5,77 | 7,98 | 7,10 | 3,68 | 6,44 | 1,77 | 2,23 | 1,41 | 1,34 |
Предел воспроизводимости, R  , мкг/г | 11,4 | 5,6 | 7,3 | 12,4 | 15,7 | 8,4 | 16,1 | 5,1 | 9,4 | 7,5 | 9,96 |
<1> Образец 1: соевая мука образец 2: глютен кукурузный образец 3: кукуруза образец 4: послеспиртовая барда образец 5: рыбная мука образец 6: турецкий корм | образец 7: мясная мука образец 8: перьевая мука образец 9: костная мука образец 10: гранулированный корм для КРС образец 11: сухое цельное молоко. |
<2> Результаты выражаются в расчете на сухую массу. |
<3> С использованием растворителя: петролейный эфир, с температурой кипения 40 °C до 60 °C. |
Таблица А.2
Статистические результаты межлабораторных исследований
продуктов категории А (без гидролиза)
Наименование показателя | Значение параметра для образцов <1> |
1 | | | 4 | 5 | 6 | 7 | 8 | 9 | | | 12 |
Количество лабораторий после удаления выбросов | 31 | 10 | 10 | 30 | 29 | 21 | 31 | 21 | 28 | 10 | 10 | 19 |
Среднее значение, г/кг <3> | 15,5 | 15,9 | 31,8 | 37,8 | 40,1 | 51,0 | 69,7 | 72,0 | 75,0 | 107,1 | 117,3 | 177,0 |
Стандартное отклонение повторяемости,  , мкг/г | - | 0,42 | 0,60 | - | - | 0,64 | - | 0,86 | - | 0,81 | 0,78 | 0,88 |
Коэффициент вариации повторяемости, % | - | 2,76 | 1,87 | - | - | 1,24 | - | 1,24 | - | 0,78 | 0,67 | 0,49 |
Предел повторяемости, r  , мкг/г | - | 1,2 | 1,7 | - | - | 1,8 | - | 2,5 | - | 2,3 | 2,2 | 2,5 |
Стандартное отклонение воспроизводимости,  , мкг/г | 1,97 | 1,24 | 2,72 | 1,57 | 1,74 | 2,12 | 2,04 | 2,61 | 1,85 | 4,59 | 1,94 | 1,59 |
Коэффициент вариации воспроизводимости, % | 12,73 | 7,84 | 8,62 | 4,17 | 4,35 | 4,17 | 2,94 | 3,64 | 2,47 | 4,28 | 1,66 | 0,88 |
Предел воспроизводимости, R  , мкг/г | 5,6 | 3,5 | 7,7 | 4,4 | 4,9 | 6,0 | 5,8 | 7,4 | 5,2 | 13,0 | 5,5 | 4,5 |
<1> Образец 1: соевая мука образец 2: ячмень образец 3: комбикорм образец 4: послеспиртовая барда образец 5: кукуруза образец 6: комбикорм для бройлеров | образец 7: мясная мука образец 8: рыбная мука образец 9: турецкий корм образец 10: кокосовая мука образец 11: гранулированный корм для КРС. |
<2> Результаты выражаются в расчете на сухую массу. |
<3> С использованием растворителя: петролейный эфир, с температурой кипения 40 °C до 60 °C. |
(справочное)
СРАВНЕНИЕ СТРУКТУРЫ МЕЖДУНАРОДНОГО СТАНДАРТА
СО СТРУКТУРОЙ МЕЖГОСУДАРСТВЕННОГО СТАНДАРТА
Таблица ДА.1
Структура международного стандарта | Структура межгосударственного стандарта |
подраздел | пункт | подраздел | пункт |
Раздел 5 | |
5.1 | - | | - |
5.2 | - | | - |
5.3 | - | | - |
5.4 | - | | - |
5.5 | - | | - |
5.6 | - | | - |
5.7 | - | | - |
- | - | | - |
Раздел 6 | |
6.1 | - | | - |
6.2 | - | | - |
6.3 | - | | - |
6.4 | - | | - |
6.5 | - | | - |
6.6 | - | | - |
- | - | | - |
- | - | | - |
- | - | | - |
- | - | | - |
- | - | | - |
- | - | | - |
- | - | | - |
- | - | | - |
- | - | | - |
- | - | | - |
Раздел 7 | |
Раздел 8 | |
Раздел 9 | |
9.1 | - | | - |
9.2 | - | | - |
9.3 | - | | - |
9.4 | - | | - |
9.5 | - | | - |
Раздел 10 | |
10.1 | - | | - |
10.2 | - | | - |
- | - | | - |
Раздел 11 | |
11.1 | - | | - |
11.2 | - | | - |
11.3 | - | | - |
Раздел 12 | |
Приложение | А | Приложение | |
- | |
Библиография | |
Примечания 1. Сравнение структур стандартов приведено начиная с раздела 5, так как предыдущие разделы стандартов и их иные структурные элементы (за исключением предисловия) идентичны. 2. Раздел 5 настоящего стандарта дополнен подразделами с указанием используемого материала. 3. Раздел 6 настоящего стандарта дополнен подразделами с указанием используемого оборудования. 4. Раздел 10 настоящего стандарта дополнен подразделом с пересчетом содержания жира в процентах, как он нормируется в нормативных документах. 5. В соответствии с ГОСТ 1.5-2001 и ГОСТ 1.3-2008 настоящий стандарт дополнен приложением ДА (справочное) "Сравнение структуры межгосударственного стандарта со структурой международного стандарта". |
[1] | ISO 6497:2002 | Animal feeding stuffs. Sampling (Корма для животных. Методы отбора проб) |
| ISO 5725:1986 | Precision of test methods - Determination of repeatability and reproducibility for a standard test method by interlaboratory tests (Прецизионность методов. Определение повторяемости и воспроизводимости стандартного метода испытания в межлабораторных испытаниях). |