Главная // Актуальные документы // ГОСТ (Государственный стандарт)СПРАВКА
Источник публикации
М.: Стандартинформ, 2016
Примечание к документу
Текст данного документа приведен с учетом поправок, опубликованных в "ИУС",
N 2, 2019;
N 1, 2023.
Документ
введен в действие с 01.11.2016.
Название документа
"ГОСТ 33725-2016. Межгосударственный стандарт. Устройства противоюзные железнодорожного подвижного состава. Общие технические условия"
(введен в действие Приказом Росстандарта от 18.02.2016 N 59-ст)
"ГОСТ 33725-2016. Межгосударственный стандарт. Устройства противоюзные железнодорожного подвижного состава. Общие технические условия"
(введен в действие Приказом Росстандарта от 18.02.2016 N 59-ст)
Введен в действие
агентства по техническому
регулированию и метрологии
от 18 февраля 2016 г. N 59-ст
МЕЖГОСУДАРСТВЕННЫЙ СТАНДАРТ
УСТРОЙСТВА ПРОТИВОЮЗНЫЕ
ЖЕЛЕЗНОДОРОЖНОГО ПОДВИЖНОГО СОСТАВА
ОБЩИЕ ТЕХНИЧЕСКИЕ УСЛОВИЯ
Antislip devices for railway rolling stock.
General specifications
ГОСТ 33725-2016
Дата введения
1 ноября 2016 года
Цели, основные принципы и основной порядок проведения работ по межгосударственной стандартизации установлены
ГОСТ 1.0-92 "Межгосударственная система стандартизации. Основные положения" и
ГОСТ 1.2-2009 "Межгосударственная система стандартизации. Стандарты межгосударственные, правила и рекомендации по межгосударственной стандартизации. Правила разработки, принятия, применения, обновления и отмены"
1 РАЗРАБОТАН Обществом с ограниченной ответственностью "Центр Технической Компетенции" (ООО "ЦТК")
2 ВНЕСЕН Межгосударственным техническим комитетом по стандартизации МТК 524 "Железнодорожный транспорт"
3 ПРИНЯТ Межгосударственным советом по стандартизации, метрологии и сертификации (протокол от 29 января 2016 г. N 84-П)
За принятие проголосовали:
Краткое наименование страны по MK (ИСО 3166) 004-97 | Код страны по MK (ИСО 3166) 004-97 | Сокращенное наименование национального органа по стандартизации |
Армения | AM | Минэкономики Республики Армения |
Беларусь | BY | Госстандарт Республики Беларусь |
Казахстан | KZ | Госстандарт Республики Казахстан |
Киргизия | KG | Кыргызстандарт |
Российская Федерация | RU | Росстандарт |
Таджикистан | TJ | Таджикстандарт |
Туркмения | TM | Главгосслужба "Туркменстандартлары" |
Узбекистан | UZ | Узстандарт |
4
Приказом Федерального агентства по техническому регулированию и метрологии от 18 февраля 2016 г. N 59-ст межгосударственный стандарт ГОСТ 33725-2016 введен в действие в качестве национального стандарта Российской Федерации с 1 ноября 2016 г.
5 ВВЕДЕН ВПЕРВЫЕ
Настоящий стандарт может быть применен на добровольной основе для соблюдения требований технических регламентов Таможенного союза "О безопасности железнодорожного подвижного состава" и "О безопасности высокоскоростного железнодорожного транспорта"
Информация об изменениях к настоящему стандарту публикуется в ежегодном информационном указателе "Национальные стандарты" (по состоянию на 1 января текущего года), а текст изменений и поправок - в ежемесячном информационном указателе "Национальные стандарты". В случае пересмотра (замены) или отмены настоящего стандарта соответствующее уведомление будет опубликовано в ежемесячном информационном указателе "Национальные стандарты". Соответствующая информация, уведомление и тексты размещаются также в информационной системе общего пользования - на официальном сайте Федерального агентства по техническому регулированию и метрологии в сети Интернет (www.gost.ru)
Настоящий стандарт распространяется на противоюзные устройства (далее - ПУ) фрикционного тормоза подвижного состава, предназначенного для эксплуатации на железных дорогах шириной колеи 1520 мм.
В настоящем стандарте использованы нормативные ссылки на следующие межгосударственные стандарты:
ГОСТ 27.301-95 Надежность в технике. Расчет надежности. Основные положения
ГОСТ 15.309-98 Система разработки и постановки продукции на производство. Испытания и приемка выпускаемой продукции. Основные положения
ГОСТ 15150-69 Машины, приборы и другие технические изделия. Исполнения для различных климатических районов. Категории, условия эксплуатации, хранения и транспортирования в части воздействия климатических факторов внешней среды
ГОСТ 15543.1-89 Изделия электротехнические и другие технические изделия. Общие требования в части стойкости к климатическим внешним воздействующим факторам
ГОСТ 17433-80 Промышленная чистота. Сжатый воздух. Классы загрязненности
ГОСТ 17516.1-90 Изделия электротехнические. Общие требования в части стойкости к механическим внешним воздействующим факторам
ГОСТ 18321-73 Статистический контроль качества. Методы случайного отбора выборок штучной продукции
ГОСТ 23088-80 Изделия электронной техники. Требования к упаковке, транспортированию и методы испытаний
ГОСТ 23216-78 Изделия электротехнические. Хранение, транспортирование, временная противокоррозионная защита, упаковка. Общие требования и методы испытаний
ГОСТ 29205-91 Совместимость технических средств электромагнитная. Радиопомехи индустриальные от электротранспорта. Нормы и методы испытаний
ГОСТ 30630.1.1-99 Методы испытаний на стойкость к механическим внешним воздействующим факторам машин, приборов и других технических изделий. Определение динамических характеристик конструкции
ГОСТ 30630.1.2-99 Методы испытаний на стойкость к механическим внешним воздействующим факторам машин, приборов и других технических изделий. Испытания на воздействие вибрации
ГОСТ 30631-99 Общие требования к машинам, приборам и другим техническим изделиям в части стойкости к механическим внешним воздействующим факторам при эксплуатации
Примечание - При пользовании настоящим стандартом целесообразно проверить действие ссылочных стандартов в информационной системе общего пользования - на официальном сайте Федерального агентства по техническому регулированию и метрологии в сети Интернет или по ежегодному информационному указателю "Национальные стандарты", который опубликован по состоянию на 1 января текущего года, и по выпускам ежемесячного информационного указателя "Национальные стандарты" за текущий год. Если ссылочный стандарт заменен (изменен), то при пользовании настоящим стандартом следует руководствоваться заменяющим (измененным) стандартом. Если ссылочный стандарт отменен без замены, то положение, в котором дана ссылка на него, применяется в части, не затрагивающей эту ссылку.
В настоящем стандарте применены следующие термины с соответствующими определениями:
3.1 торможение: Намеренное или автоматическое создание (и поддерживание в течение необходимого времени) внешней силы сопротивления определенной (заданной) величины для замедления движения, остановки или удержания на месте железнодорожного подвижного состава.
3.2 тормозной путь: Расстояние, проходимое движущимся железнодорожным подвижным составом с момента перевода управляющих тормозами органов в тормозное положение (в случае срабатывания устройства экстренного торможения или при разрыве тормозной магистрали) до полной остановки.
Примечание - Тормозные пути различают в зависимости от вида торможения (тормозной путь служебного торможения, тормозной путь полного служебного торможения или тормозной путь экстренного торможения).
3.3 тормозной цилиндр: Основной силовой исполнительный орган тормоза железнодорожного подвижного состава.
3.4 тормозная сила: Продольная составляющая равнодействующих внешних сил сопротивления движению железнодорожного подвижного состава, искусственно вызываемых специальными устройствами в направлении, противоположном его движению, с целью снижения скорости или для остановки железнодорожного подвижного состава, приложенная к поверхностям катания колес в точках их касания с рельсами.
Примечание - Тормозная сила также при необходимости обеспечивает удержание железнодорожного подвижного состава от самопроизвольного движения.
3.5 фрикционный тормоз: Тормоз, осуществляющий торможение путем использования сил трения, возникающих между поверхностями колесных пар (дисков) и колодок (накладок) при их относительном перемещении.
Примечание - По конструктивному исполнению фрикционные тормоза разделяют на колодочные и дисковые.
3.6 сцепление колес с рельсами при торможении: Явление, обеспечивающее появление и существование тангенциальной силы между колесами железнодорожного подвижного состава и рельсами (внешней по отношению к движущемуся поезду), обеспечивающей его торможение.
3.7 сила сцепления колес с рельсами: Сила, действующая со стороны неподвижного рельса, касательная к ободу вращающегося колеса, в условиях его поступательного движения, при наличии у колеса нормальной составляющей от вертикальной нагрузки.
3.8 разрешающая способность противоюзного устройства: Рабочая (паспортная) характеристика устройства, характеризующая его быстродействие, численно равная величине линейного пути единицы железнодорожного подвижного состава, необходимого для поступления в систему очередного импульса от датчика скорости колесной пары.
3.9 дискретность выработки управляющего сигнала противоюзного устройства: Рабочая (паспортная) характеристика устройства, характеризующая его работоспособность (показывающая, сколько раз за один оборот колеса вырабатываются сигналы, управляющие исполнительными устройствами - электропневматическими клапанами).
3.10 юз (скольжение): Поступательное движение железнодорожного подвижного состава без вращения его колесных пар.
3.11 синхронный юз: Одновременное (синхронное) увеличение проскальзывания всех колесных пар подвижного состава до полной остановки их вращения (юза).
4. Технические требования
4.1.1 Противоюзная система должна нормально функционировать при качестве сжатого воздуха, соответствующем 6-му классу загрязненности по
ГОСТ 17433.
По согласованию с изготовителем тормозной системы и заказчиком допускается устанавливать более высокие требования к качеству сжатого воздуха.
4.1.2 При срабатывании сбрасывающих клапанов электропневматических (далее - КЭП) ПУ и падении давления в тормозных цилиндрах (далее - ТЦ) отдельных колесных пар (далее - КП) не должно наблюдаться снижение давлений в ТЦ соседних КП более чем на 5%.
4.1.3 ПУ должно обеспечивать время снижения давления в ТЦ с момента возникновения проскальзывания до половины давления за время не более чем 0,1 с.
4.1.4 ПУ должно обеспечивать время повышения давления в ТЦ с момента прекращения проскальзывания до половины давления за время не более чем 0,2 с.
4.1.5 Число импульсов датчика скорости, приходящихся на один оборот колеса, должно быть не менее 72.
4.1.6 ПУ должно нормально функционировать независимо от значения требуемого (развиваемого) тормозного усилия, начиная со скорости 3 км/ч и до скорости, на 20% превышающей конструкционную скорость железнодорожного подвижного состава, для которого оно предназначено (если конструкционная скорость менее или равна 200 км/ч), и превышающей ее на 10% (если конструкционная скорость более 200 км/ч).
4.1.7 Работа ПУ не должна приводить к появлению тормозной силы, превышающей силу, которая была предусмотрена исходной командой на торможение.
4.1.8 Коэффициент эффективности использования сцепления ПУ должен быть не менее 0,5.
4.1.9 ПУ должно обеспечивать автоматическую защиту КП от синхронного вхождения в юз во всем диапазоне скоростей, указанных в
4.1.6.
ПУ должно сохранять работоспособность при синхронном юзе.
4.1.10 ПУ для скоростей движения свыше 160 км/ч должно быть выполнено с резервированием по каналу датчика скорости. В случае обнаружения отказа одного из каналов ПУ должно автоматически переключать ПУ на второй (дублирующий) канал соответствующей КП с регистрацией отказа во встроенную память и выводом информации на лицевую панель электронного блока или монитор в кабине машиниста.
4.1.11 Для самоходного подвижного состава должна быть предусмотрена возможность отключения алгоритма работы ПУ при подаче внешнего сигнала.
4.2 Требования к системе электроснабжения противоюзных устройств
4.2.1 ПУ железнодорожного подвижного состава должно безотказно работать при колебаниях номинального напряжения +/- 30%.
При выходе номинального напряжения за пределы нормального функционирования ПУ защита должна автоматически отключать ПУ без нарушения работы тормозной системы железнодорожного подвижного состава. При возврате подаваемого напряжения в пределы нормального функционирования ПУ должно автоматически включаться.
4.2.2 ПУ должно иметь автоматические защиты:
- от короткого замыкания;
- от перенапряжения по цепям питания ПУ не ниже 1,7 раза напряжения питания;
- от падения напряжения питания ниже установленного уровня;
- от подключения питания с нарушением полярности.
4.2.3 Электронный блок ПУ должен иметь защиту от отклонений и перенапряжений в цепях питания (амплитуда и длительность возможных перенапряжений 1500 В - 10 мкс; 500 В - 10 мс; 310 В - 0,8 с; 175 В - 3,6 с: амплитуда пульсаций +/- 15 В, частота пульсации от 300 до 4000 Гц).
4.3 Требования стойкости к внешним воздействиям
4.3.1 ПУ и его составные части должны соответствовать условиям эксплуатации железнодорожного подвижного состава в целом и быть изготовлены в климатическом исполнении "У" по
ГОСТ 15150 с предельными рабочими значениями температур воздуха от минус 55 °С до плюс 50 °С.
По требованию заказчика допускается изготовление ПУ и его составных частей в климатическом исполнении "УХЛ" по
ГОСТ 15150.
4.3.2 Для электротехнических составных частей ПУ номинальные значения климатических факторов по
ГОСТ 15543.1 в зависимости от категории размещения должны соответствовать:
- 1 - для оборудования, открыто установленного снаружи железнодорожного подвижного состава;
- 2 - для оборудования, размещенного в ящиках и камерах снаружи железнодорожного подвижного состава;
- 3 - для оборудования, установленного внутри железнодорожного подвижного состава.
4.3.3 ПУ и его составные части по устойчивости к механическим внешним воздействующим факторам должны соответствовать
ГОСТ 17516.1 и
ГОСТ 30631 при максимальных (предельных) значениях внешних механических факторов.
Пиковые значения механических ударов одиночного действия для изделий исполнений М25 и М26 по
ГОСТ 17516.1 и
ГОСТ 30631 должны быть длительностью от 2 до 20 мс и составлять 5
g.
4.3.4 Степень защиты элементов ПУ по
ГОСТ 14254 должна быть:
- элементов ПУ, расположенных снаружи на ходовых частях, - не ниже IP67;
- элементов ПУ, расположенных снаружи на кузове вагона, - не ниже IP54;
- элементов ПУ, расположенных внутри на кузове вагона, - не ниже IP30.
4.3.5 ПУ в целом и его составные части должны по помехоустойчивости и помехозащищенности отвечать требованиям нормативных документов <1>, действующих на территории государства, принявшего настоящий стандарт.
--------------------------------
| | ИС МЕГАНОРМ: примечание. ГОСТ Р 55176.4.1-2012 утратил силу с 1 сентября 2016 года в связи с введением в действие ГОСТ 33436.4-1-2015 (Приказ Росстандарта от 09.11.2015 N 1730-ст). | |
<1> В Российской Федерации - по ГОСТ Р 55176.4.1 "Совместимость технических средств электромагнитная. Системы и оборудование железнодорожного транспорта. Часть 4-1. Устройства и аппаратура железнодорожной автоматики и телемеханики. Требования и методы испытаний".
4.3.6 ПУ должно обеспечивать полную работоспособность при уровне помех на железнодорожном подвижном составе от работающего оборудования, уровень которых не должен превышать величин, характеризуемых кривой 1 чертежа по ГОСТ 29205
(подраздел 1.1).
4.4 Требования к системе диагностики
4.4.1 ПУ должно иметь систему диагностики, тестирования и мониторинга для выявления неисправностей (дефектов).
ПУ должно непрерывно диагностировать:
- исправность датчиков скорости;
- исправность КЭП;
- исправность цепей датчиков (сигнализаторов) давления;
- исправность цепей питания и управления.
4.4.2 ПУ должно обеспечивать отключение неисправного канала при выходе из строя датчика скорости или КЭП.
4.4.3 Все обнаруженные неисправности (дефекты) должны отображаться на индикаторе в виде кода неисправности (дефекта) и сохраняться в запоминающем устройстве. В случае внезапного обесточивания ПУ все коды неисправностей (дефектов) должны сохраняться в запоминающем устройстве.
ПУ должно иметь возможность передавать данные о неисправностях (дефектах) в систему диагностики подвижной единицы.
4.4.4 Коды неисправностей (дефектов) должны быть настолько подробными, чтобы можно было выявить неисправную составную часть ПУ.
4.4.5 В ПУ должна быть предусмотрена возможность его принудительного тестирования во время стоянки подвижного состава и отключения этой системы при достижении минимальной определяемой скорости от специальных кнопок или через меню системы управления подвижным составом с соответствующим выводом на индикаторы результатов тестирования.
4.4.6 При тестировании должны включаться проверки готовности различных составных частей ПУ.
4.4.7 Тестирование и мониторинг ПУ не должны снижать эффективности торможения. Проводимые тесты или мониторинг не должны снижать безопасность железнодорожного подвижного состава.
4.4.8 ПУ должно иметь независимую функцию постоянного контроля, которая возвращает тормозную силу к заданному значению в случае, если воздух из ТЦ выпущен КЭП в течение 3 с или уменьшенная ПУ тормозная сила сохраняется в течение не более 10 с.
4.5 Требования надежности
4.5.1 Средняя наработка на отказ ПУ и его составных частей должна быть не менее 10000 ч.
Отказом считается невыполнение ПУ функций, указанных в
4.1.
5. Требования к маркировке
5.1 ПУ для установки на железнодорожный подвижной состав должно иметь следующую маркировку, обеспечивающую идентификацию ПУ независимо от года его выпуска:
- условный номер или товарный знак предприятия-изготовителя;
- год и месяц изготовления;
- единый знак обращения продукции на рынке (при условии его установления в государстве, принявшем настоящий стандарт).
Знаки маркировки могут быть литые или штампованные. Допускается нанесение маркировки ударным способом. Способ нанесения маркировки должен обеспечивать ее сохранность и считываемость в течение всего срока службы ПУ. Место расположения и размеры знаков маркировки указывают в конструкторской документации.
5.2 Транспортная маркировка должна соответствовать требованиям
ГОСТ 14192.
Для контроля соответствия ПУ требованиям настоящего стандарта проводят:
- приемо-сдаточные испытания;
- периодические испытания;
- типовые испытания.
Приемо-сдаточные и периодические испытания проводят по показателям и в количестве, указанным в таблице 1.
Таблица 1
Порядок испытаний ПУ
Проверяемый показатель | Вид испытаний | Номер структурного элемента | Объем выборки |
приемо-сдаточные | периодические | технических требований | методов испытаний |
Общие требования к ПУ | Сжатый воздух, при котором должна быть обеспечена нормальная работа ПУ | - | + | | | - |
Падение давления в ТЦ отдельных КП при срабатывании КЭП | - | + | | | 1 шт. |
Время снижения давления в ТЦ с момента возникновения события до половины давления | - | + | | | 1 шт. |
Время повышения давления в ТЦ с момента возникновения события до половины давления | - | + | | | 1 шт. |
Число импульсов датчика скорости, приходящихся на один оборот колеса | - | + | | | Конструкторская документация |
Диапазон скоростей работы ПУ | + | - | | | 1 шт. |
Коэффициент эффективности использования сцепления ПУ | - | + | | | 1 шт. |
Обеспечение автоматической защиты колесных пар от синхронного вхождения в юз | + | - | | | 1 шт. |
ПУ для скоростей движения свыше 160 км/ч должно быть выполнено с резервированием по каналу датчика скорости | - | + | | | 1 шт. |
Маркировка | + | - | | | 1 шт. |
Требования к системе электроснабжения | Напряжение работы ПУ | + | - | | | 3 шт. |
Автоматические защиты ПУ | - | + | | | 3 шт. |
Защита электронного блока ПУ от отклонений и перенапряжений в цепях питания | - | + | | | 3 шт. |
Требования стойкости к внешним воздействиям | Климатическое исполнение ПУ | - | + | | | 1 шт. |
Устойчивость к механическим внешним воздействующим факторам | - | + | | | 1 шт. |
Степень защиты | - | + | | | 1 шт. |
Устойчивость по помехоустойчивости и помехозащищенности | - | + | | | 1 шт. |
Работоспособность при уровне помех от работающего оборудования | - | + | | | 1 шт. |
Требования к системе диагностики | Система диагностики, тестирования и мониторинга для выявления неисправностей (дефектов) | - | + | | | 100% |
Отключение неисправного канала при выходе из строя датчика скорости или КЭП | + | - | | | 100% |
Отображение на индикаторе неисправности (дефекта) и их сохранение в запоминающем устройстве | + | - | | | 100% |
Коды неисправностей (дефектов) ПУ | - | + | | | 100% |
Наличие функции постоянного контроля времени работы ПУ | + | - | | | 100% |
Требования по надежности | Надежность | - | + | | | 1 шт. |
6.2 Приемо-сдаточные испытания
6.2.1 Результаты приемо-сдаточных испытаний оформляют протоколом испытаний по ГОСТ 15.309
(подраздел 6.6), который должен содержать заключение о соответствии ПУ требованиям настоящего стандарта и технических условий.
6.2.2 Комплектование выборки осуществляют методом отбора с применением случайных чисел по ГОСТ 18321
(подраздел 3.2).
6.2.3 При получении положительных результатов испытаний ПУ первой выборки партию принимают.
При получении отрицательных результатов испытаний на ПУ первой выборки проводят повторные испытания на удвоенной выборке ПУ, отобранных из той же партии. При получении положительных результатов испытаний на всех ПУ второй выборки партию принимают.
При получении отрицательных результатов испытаний на ПУ второй выборки партию бракуют.
6.3 Периодические испытания
6.3.1 Периодические испытания проводят один раз в три года на образцах, прошедших приемо-сдаточные испытания.
6.3.2 Комплектование выборки осуществляют методом отбора с применением случайных чисел по ГОСТ 18321
(подраздел 3.2).
6.3.3 При получении положительных результатов испытаний ПУ первой выборки партию принимают.
При получении отрицательных результатов испытаний на ПУ первой выборки проводят повторные испытания на удвоенной выборке ПУ, отобранных из той же партии. При получении положительных результатов испытаний на всех ПУ второй выборки партию принимают.
При получении отрицательных результатов испытаний на ПУ второй выборки партию бракуют.
6.4.1 Типовые испытания проводят в случае изменения конструкции или технологического процесса изготовления, а также в случае изменения программного обеспечения ПУ, если указанные изменения могут оказать влияние на характеристики работы ПУ.
6.4.2 Типовые испытания проводят в соответствии с
ГОСТ 15.309.
6.4.3 Объем проверяемых показателей и число опытных образцов устанавливают программой типовых испытаний в соответствии с внесенными в конструкцию или программное обеспечение изменениями.
6.4.4 Комплектование выборки осуществляют методом отбора с применением случайных чисел по ГОСТ 18321
(подраздел 3.2).
6.4.5 При получении положительных результатов испытаний ПУ первой выборки партию принимают.
При получении отрицательных результатов испытаний на ПУ первой выборки проводят повторные испытания на удвоенной выборке ПУ, отобранных из той же партии. При получении положительных результатов испытаний на всех ПУ второй выборки партию принимают.
При получении отрицательных результатов испытаний на ПУ второй выборки партию бракуют.
7.1 Общие положения
Стенд должен содержать:
- установку производства и подготовки сжатого воздуха;
- устройство регулирования давления;
- тормозные цилиндры (или резервуары) объемом 0,0025 м3 по числу рабочих каналов испытуемого ПУ;
- генератор импульсов с пределом измерений не менее 30 кГц по числу рабочих каналов испытуемого ПУ, имитирующий скорость.
Допускается проводить проверку на единице подвижного состава с соответствующим объемом цилиндров и резервуаров. При этом допускается иной темп изменения скорости.
7.1.2 Проверку соответствия требованиям
4.1.2 и
4.1.8 проводят на железнодорожном подвижном составе, для эксплуатации на котором предназначено испытуемое ПУ, в движении при температуре окружающего воздуха от 5 °С до 35 °С, без осадков.
7.1.3 Проверку соответствия требованиям
4.3.1 проводят в климатической камере.
7.1.4 Проверку соответствия требованиям
4.3.3 проводят с использованием вибрационного стенда, обеспечивающего параметры, отвечающие группе механического исполнения по
ГОСТ 30631.
7.1.5 Проверку соответствия требованиям
4.1.1 и
4.1.5 проводят путем анализа конструкторской документации на ПУ.
7.1.6 Проверку соответствия требованиям
4.3.2,
4.4.1,
4.4.2,
4.4.4,
4.4.5,
4.4.6,
4.4.7 проводят на железнодорожном подвижном составе (для эксплуатации на котором предназначено испытуемое ПУ) в движении при нормальных значениях климатических факторов внешней среды по ГОСТ 15150
(пункт 3.15).
7.1.7 Средства измерения должны отвечать следующим требованиям:
7.1.7.1 Средства измерения давления:
- диапазон измерения . . . . . . . . . . . . . . . . . . от 0 до 1 МПа;
- основная погрешность . . . . . . . . . . . . . . . . . не более 0,5%.
7.1.7.2 Средства измерения скорости движения и тормозного пути:
- диапазон измерения . . . . . . . . . . . . . . . . . от 0 до 100 м/с;
- абсолютная погрешность измерения скорости
движения . . . . . . . . . . . . . . . . . . . не более +/- 0,14 м/с;
- относительная погрешность измерения
тормозного пути . . . . . . . . . . . . . . . . . . не более +/- 1%.
7.1.7.3 Средства измерения угловой скорости на стенде:
- диапазон измерения угловой скорости . . . . . . от 0,6 до 1100 рад/с;
- относительная погрешность измерений . . . . . . . . . не более 0,05%.
7.1.7.4 Измерение угловой скорости на подвижном составе можно проводить косвенным методом.
При косвенном методе угловую скорость определяют путем пересчета линейной скорости поверхности катания колеса. При измерении линейной скорости поверхности катания колеса рекомендуют применять датчики, отвечающие следующим требованиям:
- диапазон измерения скорости . . . . . . . . . . . от 0,1 до 100 м/с;
- относительная погрешность измерения . . . . . . . . . не более 0,05%.
7.1.8 Регистрацию процессов изменения скоростей вращения, давления и других параметров, необходимых для идентификации режима работы оборудования, следует проводить с периодом квантования не более 0,01 с.
Измерение скорости движения железнодорожного подвижного состава (поезда) допускается проводить с периодом квантования не более 1 с.
7.2 Проверка соответствия требованиям
4.1.3
Задают по всем осям скорость 120 км/ч. Во все ТЦ (или резервуары) подают давление сжатого воздуха (0,40 +/- 0,02) МПа. Не менее чем через 15 с мгновенно по одной из осей изменяют скорость до 100 км/ч.
Фиксируют время от момента изменения скорости по оси до сброса наполовину давления из ТЦ (или резервуара) данной оси, которое должно быть не более указанного.
7.3 Проверка соответствия требованиям
4.1.4
Задают по всем осям скорость 120 км/ч. Во все ТЦ (или резервуары) подают давление сжатого воздуха (0,40 +/- 0,02) МПа. Не менее чем через 60 с мгновенно по одной из оси изменяют скорость до 100 км/ч. Через (5 +/- 1) с по этой оси скорость мгновенно изменяют со 100 км/ч до 120 км/ч.
Фиксируют время от момента изменения скорости по оси до наполнения наполовину давления в ТЦ (или резервуара) данной оси, которое должно быть не более указанного.
7.4 Проверка соответствия требованиям
4.1.2 и
4.1.8
Проверку снижения давлений в ТЦ соседних КП по
4.1.2 и проверку коэффициента эффективности использования сцепления ПУ по
4.1.8 проводят непосредственно на железнодорожном подвижном составе в движении.
Перед проведением испытаний обе рельсовые нити на длине 25 м обрабатывают специальным масляным раствором (кинематическая вязкость от 0,1 до 0,2 Ст при температуре 50 °С и плотность от 850 до 900 кг/см3 при температуре 20 °С), снижающим сцепление колес с рельсами, с помощью дозирующе-распределяющего устройства с диаметром выпускного отверстия 3 мм. При этом расход масляного раствора должен быть не менее 3 г/см2.
Нанесенный раствор разносят вдоль пути пятью проходами опытного сцепа (без торможений).
После каждого прохода железнодорожного подвижного состава обработку звена масляным раствором повторяют.
Опыты начинают проводить на шестом проходе железнодорожного подвижного состава по обработанному звену.
Перед каждым торможением масляный раствор наносят заново на том же участке длиной 25 м.
Проводят три экстренных торможения в диапазоне скоростей от 35 до 45 км/ч. Торможение проводят после того, как испытуемая колесная пара наедет на смазываемый участок.
В процессе торможений регистрируют скорость движения объекта, частоту вращения колесных пар и давление сжатого воздуха во всех тормозных цилиндрах.
При проведении каждого опытного торможения необходимо получить не менее двух вхождений в юз.
По результатам испытаний определяют отношение минимально возможного пути при условии полной реализации коэффициента сцепления к реальному пути, полученному в опыте. Положительным результатом испытаний является значение коэффициента эффективности использования сцепления K более 0,5, определяемого по формуле

, (1)
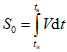
где S0 - путь, полученный в опыте и определяемый по формуле

, (2)
S - минимально возможный путь при условии полной реализации коэффициента сцепления, определяемый по формуле

, (3)
где V - скорость движения, м/с;
P - текущее давление сжатого воздуха в тормозном цилиндре, МПа;
Pп - потенциально возможное давление сжатого воздуха в тормозном цилиндре до вхождения в юз, МПа;
tн - нижний предел интегрирования, соответствующий моменту первого входа в юз, с;
tв - верхний предел интегрирования, соответствующий моменту последнего входа в юз, с.
Изменение потенциального возможного давления Pп в диапазоне времени от момента входа в юз в i-й раз до момента входа в юз в (i+1)-й раз определяют по формуле линейной интерполяции:

, (4)
где Pвх(i) - текущее давление сжатого воздуха в тормозном цилиндре в момент входа в юз в i-й раз, МПа;
tвх(i) - время входа в юз в i-й раз, с;
t - текущее время, с.
Моментом входа в юз принимают момент, когда при торможении линейная скорость поверхности катания колеса становится меньше скорости движения единицы железнодорожного подвижного состава более чем на 2%, т.е. выполняется условие

, (5)
где

- угловая скорость вращения колес, рад/с;
V - линейная скорость движения единицы железнодорожного подвижного состава, м/с;
R - средний радиус колеса по кругу катания, оцениваемый как среднее значение

при свободном выбеге единицы железнодорожного подвижного состава, м.
Для оценки и сравнения с нормативным значением выбирают минимальное значение

.
При испытаниях также фиксируют значение изменения давления в ТЦ (в процентах) при отсутствии управляющих команд КЭП этой оси.
При испытаниях также фиксируют значение изменения давления в ТЦ (в процентах) от максимального значения после остановки.
7.5 Проверка соответствия требованиям
4.1.6
По всем осям задают скорость 3 км/ч. Во все ТЦ (резервуары) подают давление сжатого воздуха (0,40 +/- 0,01) МПа на 60 с. По одной из осей за 0,01 с уменьшают скорость на величину 20% заданной. Из ТЦ (резервуара) данной КП должен произойти сброс давления.
Повторяют данный опыт при скорости на 20(10)% выше максимальной.
7.6 Проверка соответствия требованиям
4.1.9
Задают по всем осям скорость 120 км/ч. Во все ТЦ (или резервуары) подают давление сжатого воздуха (0,40 +/- 0,01) МПа. Через 60 с по всем осям за 0,01 с изменяют скорость до 100 км/ч. Из всех ТЦ (или резервуаров) должен произойти сброс давления.
7.6.1 Проверку соответствия требованиям
4.1.10 проводят для ПУ, предназначенных для эксплуатации на подвижном составе со скоростями движения свыше 160 км/ч.
Искусственно имитируют неисправность одного канала датчика. Фиксируют код ошибки. Далее проверка данной оси проходит по
6.2.
7.6.2 Проверку соответствия требованиям
раздела 5 проводят при анализе конструкторской документации и при испытаниях визуальным осмотром.
7.7 Проверка соответствия требованиям
4.2.1
Подают в цепь питания ПУ напряжение, отличающееся от номинального в сторону увеличения на 30%.
Подают в ТЦ (резервуары) давление 0,4 МПа и запускают программу самотестирования ПУ.
Параметры работы программы самотестирования ПУ не должны отличаться от параметров программы самотестирования ПУ при номинальном напряжении питания.
Повторяют опыт при подаче в цепь питания ПУ напряжение, отличающееся от номинального в сторону уменьшения на 30%.
7.8 Проверку соответствия требованиям
4.2.2 и
4.2.3 проводят в соответствии с методами, изложенными в нормативных документах <1>, действующих на территории государства, принявшего настоящий стандарт.
--------------------------------
<1> В Российской Федерации действует
ГОСТ 9219 "Аппараты электрические тяговые. Общие технические требования".
7.9 Проверка соответствия требованиям
4.3.1
Выдерживают ПУ в климатической камере при крайних значениях рабочих температур не менее 6 ч.
Подают в ТЦ (резервуары) давление (0,40 +/- 0,10) МПа и запускают программу самотестирования ПУ.
Параметры работы программы самотестирования ПУ не должны отличаться от параметров программы самотестирования ПУ при номинальном напряжении питания.
7.10 Проверку соответствия требованиям
4.3.3 проводят в соответствии с ГОСТ 30630.1.1 (метод 100-1) и ГОСТ 30630.1.2 (методы 102-1 и 103.1.3).
7.11 Проверку соответствия требованиям
4.3.4 проводят в соответствии с
ГОСТ 14254.
7.12 Проверку соответствия требованиям
4.3.5 проводят в соответствии с методами нормативных документов <2>, действующих на территории государства, принявшего настоящий стандарт.
--------------------------------
| | ИС МЕГАНОРМ: примечание. ГОСТ Р 55176.4.1-2012 утратил силу с 1 сентября 2016 года в связи с введением в действие ГОСТ 33436.4-1-2015 (Приказ Росстандарта от 09.11.2015 N 1730-ст). | |
<2> В Российской Федерации - по ГОСТ Р 55176.4.1 "Совместимость технических средств электромагнитная. Системы и оборудование железнодорожного транспорта. Часть 4-1. Устройства и аппаратура железнодорожной автоматики и телемеханики. Требования и методы испытаний".
7.13 Проверку соответствия требованиям
4.3.6 проводят в соответствии с
ГОСТ 29205.
Искусственно имитируют неисправность любой составной части ПУ. На индикаторе электронного блока ПУ фиксируют код неисправности. ПУ отключают от питания на время не менее 120 с.
После подачи питания ПУ фиксируют код неисправности в запоминающем устройстве.
Количество и значение кодов неисправностей в запоминающем устройстве до и после отключения питания не должно отличаться.
Повторяют проверки для всех составных частей ПУ.
7.15 Проверка соответствия требованиям
4.4.2
Имитируют неисправность датчика скорости.
Для проверки наполняют ТЦ (резервуары) до давления (0,40 +/- 0,10) МПа.
На канале, в который внесена физическая неисправность цепи сигналов датчиков скорости, подачи сигналов на впускные и сбрасывающие каналы КЭП быть не должно.
Аналогичные испытания проводят при имитации неисправности впускных каналов КЭП отключением соответствующих цепей управления КЭП и изменением сигнала скорости не менее чем на 20% скоростей по соседним каналам.
На канале, в который внесена физическая неисправность в цепи управления впускных каналов КЭП, подачи сигналов на сбрасывающие каналы КЭП быть не должно.
Аналогичные испытания проводят при имитации неисправности сбрасывающих каналов КЭП отключением соответствующих цепей управления КЭП и изменением сигнала скорости не менее чем на 20% от скоростей по соседним каналам.
На канале, в который внесена физическая неисправность в цепи сбрасывающих каналов КЭП, подачи сигналов на впускные каналы КЭП быть не должно.
7.16 Проверка соответствия требованиям
4.4.8
Подают в ТЦ (резервуары) давление (0,40 +/- 0,01) МПа.
Понижают скорость по всем каналам скорости, кроме одного, от 120 км/ч до 80 км/ч за 0,01 с. Выдерживают в течение 10 с. Контролируют время, через которое восстанавливают давление в ТЦ (резервуарах).
7.17 Проверка соответствия требованиям
4.5.1
Подтверждение показателей надежности на этапе рабочего проектирования осуществляют расчетным путем на основании справочных значений интенсивностей отказов комплектующих изделий, на этапе эксплуатации - расчетным методом в соответствии с
ГОСТ 27.301.
8.1 Гарантийный срок хранения ПУ должен быть не менее одного года при хранении в отапливаемом помещении.
8.2 Гарантийный срок эксплуатации ПУ должен быть не менее трех лет и исчисляется со дня ввода его в эксплуатацию, при соблюдении гарантийного срока хранения.
9.1 Упаковыванию подлежит ПУ, выдержавшее приемо-сдаточные испытания.
9.2 Упаковка должна обеспечивать защиту ПУ от механических и климатических воздействий при транспортировании и хранении в соответствии с требованиями
ГОСТ 23216 и ГОСТ 23088.
10. Транспортирование и хранение
10.1 Транспортирование ПУ в упаковке допускается проводить всеми видами транспорта. Водным и воздушным транспортом на любые расстояния, в закрытых вагонах железнодорожным транспортом на расстояние до 20000 км, в закрытых кузовах автомобильным транспортом до 2000 км, в соответствии с правилами перевозки грузов, действующими на каждом виде транспорта.
10.2 Условия хранения ПУ должны соответствовать требованиям
ГОСТ 15150.
10.3 Упаковки в эксплуатационном положении должны храниться на стеллажах в складских помещениях не более чем в три ряда. Запрещается хранение химических реактивов, кислот и щелочей в одном помещении с ПУ.
10.4 В складских помещениях, где хранятся ПУ в упаковках, должна обеспечиваться температура от 5 °С до 40 °С и относительная влажность не более 80% при температуре 20 °С.
11. Указания по эксплуатации
Эксплуатация ПУ должна осуществляться в соответствии с требованиями, изложенными в руководстве по эксплуатации на конкретную модель ПУ.