Главная // Актуальные документы // ГОСТ (Государственный стандарт)СПРАВКА
Источник публикации
М.: Стандартинформ, 2019
Примечание к документу
Документ
введен в действие с 01.02.2017.
Название документа
"ГОСТ 33702-2015. Межгосударственный стандарт. Системы измерений количества и показателей качества газового конденсата, сжиженного углеводородного газа и широкой фракции легких углеводородов. Общие технические требования"
(введен в действие Приказом Росстандарта от 20.07.2016 N 865-ст)
"ГОСТ 33702-2015. Межгосударственный стандарт. Системы измерений количества и показателей качества газового конденсата, сжиженного углеводородного газа и широкой фракции легких углеводородов. Общие технические требования"
(введен в действие Приказом Росстандарта от 20.07.2016 N 865-ст)
агентства по техническому
регулированию и метрологии
от 20 июля 2016 г. N 865-ст
МЕЖГОСУДАРСТВЕННЫЙ СТАНДАРТ
СИСТЕМЫ ИЗМЕРЕНИЙ КОЛИЧЕСТВА И ПОКАЗАТЕЛЕЙ КАЧЕСТВА
ГАЗОВОГО КОНДЕНСАТА, СЖИЖЕННОГО УГЛЕВОДОРОДНОГО ГАЗА
И ШИРОКОЙ ФРАКЦИИ ЛЕГКИХ УГЛЕВОДОРОДОВ
ОБЩИЕ ТЕХНИЧЕСКИЕ ТРЕБОВАНИЯ
Accounting systems of hydrocarbon condensate, liquefied
hydrocarbon gas and long distillate of light hydrocarbons.
General technical requirement
ГОСТ 33702-2015
Дата введения
1 февраля 2017 года
Цели, основные принципы и основной порядок проведения работ по межгосударственной стандартизации установлены в
ГОСТ 1.0-2015 "Межгосударственная система стандартизации. Основные положения" и
ГОСТ 1.2-2015 "Межгосударственная система стандартизации. Стандарты межгосударственные, правила и рекомендации по межгосударственной стандартизации. Правила разработки, принятия, обновления и отмены"
1 РАЗРАБОТАН Открытым акционерным обществом "Нефтяная компания "Роснефть" (ОАО "НК "Роснефть"), Обществом с ограниченной ответственностью "СТП" (ООО "СТП"), Федеральным государственным унитарным предприятием "Всероссийский научно-исследовательский институт расходометрии" (ФГУП "ВНИИР")
2 ВНЕСЕН Федеральным агентством по техническому регулированию и метрологии
3 Принят Межгосударственным советом по стандартизации, метрологии и сертификации (протокол от 10 декабря 2015 г. N 48)
За принятие проголосовали:
Краткое наименование страны по МК (ИСО 3166) 004-97 | Код страны по МК (ИСО 3166) 004-97 | Сокращенное наименование национального органа по стандартизации |
Армения | AM | Минэкономики Республики Армения |
Беларусь | BY | Госстандарт Республики Беларусь |
Казахстан | KZ | Госстандарт Республики Казахстан |
Киргизия | KG | Кыргызстандарт |
Россия | RU | Росстандарт |
Таджикистан | TJ | Таджикстандарт |
4
Приказом Федерального агентства по техническому регулированию и метрологии от 20 июля 2016 г. N 865-ст межгосударственный стандарт ГОСТ 33702-2015 введен в действие в Российской Федерации для применения в качестве национального стандарта с 1 февраля 2017 г.
5 В настоящем стандарте учтены основные нормативные положения стандарта ASTM D 4929-99 "Стандартные методы определения содержания органического хлорида в сырой нефти" ("Standard test methods for determination of organic chloride content in crude oil", NEQ)
6 ВВЕДЕН ВПЕРВЫЕ
7 ПЕРЕИЗДАНИЕ. Февраль 2019 г.
Информация об изменениях к настоящему стандарту публикуется в ежегодном информационном указателе "Национальные стандарты", а текст изменений и поправок - в ежемесячном информационном указателе "Национальные стандарты". В случае пересмотра (замены) или отмены настоящего стандарта соответствующее уведомление будет опубликовано в ежемесячном информационном указателе "Национальные стандарты". Соответствующая информация, уведомление и тексты размещаются также в информационной системе общего пользования - на официальном сайте Федерального агентства по техническому регулированию и метрологии в сети Интернет (www.gost.ru)
Настоящий стандарт распространяется на системы измерений количества и показателей качества газового конденсата, сжиженного углеводородного газа, широкой фракции легких углеводородов (далее - продукт) при ведении учетных операций и устанавливает основные метрологические и технические требования к ним.
Настоящий стандарт распространяется на вновь строящиеся и реконструируемые системы измерений количества и показателей качества газового конденсата, сжиженного углеводородного газа, широкой фракции легких углеводородов и применяется при проектировании, изготовлении, монтаже и эксплуатации.
В настоящем стандарте использованы нормативные ссылки на следующие стандарты:
ГОСТ 8.010-2013 <1> Государственная система обеспечения единства измерений. Методики выполнения измерений. Основные положения
--------------------------------
<1> В Российской Федерации также действует
ГОСТ Р 8.563-2009 "Государственная система обеспечения единства измерений. Методики (методы) измерений".
ГОСТ 8.586.5-2005 Государственная система обеспечения единства измерений. Измерение расхода и количества жидкостей и газов с помощью стандартных сужающих устройств. Часть 5. Методика выполнения измерений
ГОСТ 8.587-2006 <2> Государственная система обеспечения единства измерений. Масса нефти и нефтепродуктов. Общие требования к методикам выполнения измерений
--------------------------------
<2> В Российской Федерации также действует
ГОСТ Р 8.595-2004 "Государственная система обеспечения единства измерений. Масса нефти и нефтепродуктов. Общие требования к методикам выполнения измерений".
ГОСТ 10679-76 <3> Газы углеводородные сжиженные. Метод определения углеводородного состава
--------------------------------
<3> В Российской Федерации также действует
ГОСТ Р 54484-2011 "Газы углеводородные сжиженные. Методы определения углеводородного состава".
ГОСТ 14921-78 <4> Газы углеводородные сжиженные. Методы отбора проб
--------------------------------
<4> В Российской Федерации также действует
ГОСТ Р 55609-2013 "Отбор проб газового конденсата, сжиженного углеводородного газа и широкой фракции легких углеводородов. Общие требования".
ГОСТ 15467-79 Управление качеством продукции. Основные понятия. Термины и определения
ГОСТ 30414-96 <5> Весы для взвешивания транспортных средств в движении. Общие технические требования
--------------------------------
<5> Заменен на
ГОСТ 8.647-2015 "Государственная система обеспечения единства измерений. Весы вагонные автоматические. Часть 1. Метрологические и технические требования. Методы испытаний".
ГОСТ ISO 3993-2013 Газы углеводородные сжиженные и легкие углеводороды. Определение плотности или относительной плотности. Метод с использованием ареометра под давлением
| | ИС МЕГАНОРМ: примечание. В официальном тексте документа, видимо, допущена опечатка: имеется в виду ГОСТ OIML R 76-1-2011, а не ГОСТ OILM R 76-1-2011. | |
ГОСТ OILM R 76-1-2011 <1> Государственная система обеспечения единства измерений. Весы неавтоматического действия. Часть 1. Метрологические и технические требования. Испытания
--------------------------------
<1> В Российской Федерации также действует
ГОСТ Р 53228-2008 "Весы неавтоматического действия. Часть 1. Метрологические и технические требования. Испытания".
Примечание - При пользовании настоящим стандартом целесообразно проверить действие ссылочных стандартов в информационной системе общего пользования - на официальном сайте Федерального агентства по техническому регулированию и метрологии в сети Интернет или по ежегодному информационному указателю "Национальные стандарты", который опубликован по состоянию на 1 января текущего года, и по выпускам ежемесячного информационного указателя "Национальные стандарты" за текущий год. Если ссылочный стандарт заменен (изменен), то при пользовании настоящим стандартом следует руководствоваться заменяющим (измененным) стандартом. Если ссылочный стандарт отменен без замены, то положение, в котором дана ссылка на него, применяется в части, не затрагивающей эту ссылку.
В настоящем стандарте применены термины по
ГОСТ 8.010, ГОСТ 8.587,
ГОСТ 15467, рекомендациям
[1], а также следующие термины с соответствующими определениями:
3.1 ареометр давления: Закрытый цилиндр из стекла или прозрачной пластмассы, укомплектованный манометром, термометром и ареометром, рассчитанный на измерение плотности продукта при избыточном давлении не более 1,4 МПа.
3.2 газовый конденсат: Жидкая смесь, состоящая из парафиновых, нафтеновых и ароматических углеводородов широкого фракционного состава, содержащая примеси неуглеводородных компонентов, получаемая в результате разделения газоконденсатной смеси.
3.3 испытательная (аналитическая) лаборатория продукта: Лаборатория, осуществляющая испытания качества продукта при приемо-сдаточных операциях.
3.4 масса брутто продукта: Масса продукта с учетом балласта.
3.5 масса нетто продукта: Разность массы брутто продукта и массы балласта.
3.6 нестабильный газовый конденсат: Газовый конденсат, содержащий в растворенном виде газообразные углеводороды, направляемый на переработку с целью очистки от примесей и выделения углеводородов C1 - C4, отвечающий требованиям соответствующего нормативного документа.
Примечание - К примесям относятся вода (водные растворы ингибиторов коррозии и/или гидратообразования), хлористые соли, сернистые соединения и механические примеси.
3.7 сжиженные углеводородные газы; СУГ: Сжиженные углеводородные смеси пропана, пропилена, бутанов и бутенов с примесями углеводородных и неуглеводородных компонентов, получаемые путем переработки природного газа, нефтяного газа и нефти.
3.8 система измерений количества и показателей качества продукта; СИКП: Совокупность средств измерений, системы обработки информации, технологического оборудования и других технических средств, размещенных в разных точках контролируемого объекта и т.п., функционирующих как единое целое, основанная на:
- прямом методе динамических или статических измерений;
- косвенном методе динамических или статических измерений;
- косвенном методе, основанном на гидростатическом принципе,
и предназначенная для:
- получения информации об измеряемых параметрах продукта и условиях измерений;
- автоматической и ручной обработки результатов измерений;
- индикации и регистрации результатов измерений и результатов их обработки.
3.9 учетная операция продукта: Операция, проводимая поставщиком и потребителем или сдающей и принимающей сторонами, заключающаяся в определении массы продукта для последующих расчетов при инвентаризации и арбитраже.
3.10 широкая фракция легких углеводородов; ШФЛУ: Углеводородная смесь, состоящая из пропана, бутанов и пентанов с примесями метана, этана, гексанов и более тяжелых компонентов, получаемая в процессе переработки нестабильного газового конденсата и стабилизации нефти.
В настоящем стандарте применены следующие сокращения:
БИК - блок измерений показателей качества продукта;
БИЛ - блок измерительных линий;
БФ - блок фильтров;
ИЛ - измерительная линия;
ИС - измерительная система;
КМХ - контроль метрологических характеристик;
ПЗ - пояснительная записка;
ПР - преобразователь расхода;
ПУ - поверочная установка;
СИКП - система измерений количества и показателей качества продукта;
СОИ - система обработки информации;
ТЗ - техническое задание;
ТТ - технические требования;
УПП - устройство подготовки потока.
5 Основные требования к системам измерений количества и показателей качества продукта
5.1 Требования к погрешности измерений массы продукта
Пределы допускаемой относительной погрешности измерений массы газового конденсата, сжиженного углеводородного газа и широкой фракции легких углеводородов не должны превышать следующих значений:
0,4% - при прямом методе статических измерений взвешиванием на весах расцепленных цистерн;
0,5% - при прямом методе статических измерений взвешиванием на весах движущихся нерасцепленных цистерн и составов из них;
0,25% - при прямом методе динамических измерений массы жидкой фазы продукта и косвенном методе динамических измерений с определением плотности с помощью поточного плотномера;
0,5% - при косвенном методе динамических измерений массы жидкой фазы продукта при определении плотности по
ГОСТ ISO 3993 и приведении ее к рабочим условиям
<1>;
0,7% - при косвенном методе статических измерений массы жидкой фазы продукта от 120 т и более при определении плотности по
ГОСТ ISO 3993 и приведении ее к рабочим условиям
<1>;
0,8% - при косвенном методе статических измерений массы жидкой фазы продукта до 120 т при определении плотности по
ГОСТ ISO 3993 и приведении ее к рабочим условиям <1>;
--------------------------------
<1> В Российской Федерации см. МИ 3443-2014 "Рекомендация. Расчет коэффициентов приведения плотности и объема газового конденсата, сжиженного углеводородного газа и широкой фракции легких углеводородов".
0,5% - при косвенном методе статических измерений (с применением стационарного преобразователя плотности) массы жидкой фазы продукта от 120 т и более;
0,65% - при косвенном методе статических измерений с применением стационарного преобразователя плотности и косвенном методе измерений, основанном на гидростатическом принципе, массы жидкой фазы продукта до 120 т.
Примечания
1 При содержании в газовом конденсате и широкой фракции легких углеводородов балласта указанные нормы погрешностей распространяются на измерения массы брутто. Пределы допускаемой относительной погрешности измерений массы нетто увеличиваются на 0,1%.
2 При прямом методе динамических измерений массы продукта пределы допускаемой относительной погрешности измерений также распространяются на измерения массового расхода.
3 Пределы допускаемой относительной погрешности измерений массы паровой фазы продукта и пределы допускаемой относительной погрешности измерений массы продукта устанавливают в методике выполнения измерений, аттестованной в соответствии с
ГОСТ 8.010.
5.2 Требования к функциональным возможностям СИКП
5.2.1 Общие требования к функциональным возможностям СИКП
СИКП должна обеспечивать возможность:
а) определения количества продукта;
б) определения показателей качества продукта (при необходимости);
в) контроля условий проведения измерений;
г) демонтажа и установки отдельных СИ и элементов оборудования;
д) автоматического контроля значений наиболее важных параметров и обеспечения световой и/или звуковой сигнализации в случае их перехода за допустимые пределы;
е) проведение поверок СИ в соответствии с методиками поверок;
ж) слива продукта из оборудования и трубопроводов через дренажные трубопроводы;
и) промывки или пропарки дренажных трубопроводов;
к) очистки фильтров;
л) контроля герметичности запорной арматуры, влияющей на результаты измерений и поверок;
м) пломбирования запорной арматуры, открытие которой приводит к изменению результатов измерений.
5.2.2 При применении динамических методов измерений СИКП должна обеспечивать возможность:
а) определения массового расхода, т/ч, и массы брутто, т, продукта по каждой ИЛ и СИКП в целом во всем диапазоне изменений расхода продукта;
б) автоматического поддержания величины расхода через ИЛ в требуемом диапазоне;
в) автоматического выполнения поверки и контроля ПР и контроля поточного плотномера;
г) полного заполнения оборудования и трубопроводов жидкой фазой продукта;
д) очистки входного коллектора (при необходимости).
5.2.3 При применении статических методов измерений СИКП должна обеспечивать возможность определения массы брутто, т, продукта, принятого в меру вместимости или отпущенного из нее.
5.3 Требования к составу и оснащению СИКП средствами измерений
5.3.1 Требования к составу СИКП устанавливают в ТТ. Форма и содержание ТТ к СИКП приведены в
приложении А.
5.3.2 Состав СИКП определяют, исходя из применяемого метода измерений и требований методики выполнения измерений для выбранной ИС. Требования к СИКП устанавливают в ТЗ на проектирование СИКП (рекомендуемая форма ТЗ приведена в
приложении Б).
5.3.3 СИКП должна состоять из элементов, представленных в "Структурной схеме СИКП" (см. приложение В,
рисунки В.1 -
В.4), и в общем случае содержать:
- технологическую часть;
- ИС;
- СОИ.
Состав СИКП определяют на этапе разработки ТТ с учетом требований к функциям СИКП. Состав СИКП может быть конкретизирован на этапе разработки ТЗ.
5.3.4 При компоновке СИКП рекомендуется использовать примеры, приведенные в
приложениях И и
К.
5.3.5 На СИКП применяют СИ, прошедшие испытания с целью утверждения типа в соответствии с
[2].
5.3.6 Соединительные трубки, предназначенные для передачи давления от трубопровода к измерительным преобразователям, устанавливают в соответствии с ГОСТ 8.586.5
(пункт 6.2.9).
5.3.7 Технические характеристики и качество материалов и готовых изделий должны быть подтверждены в документации заводов-изготовителей.
5.3.8 Монтаж СИ должен соответствовать требованиям технической документации.
5.3.9 СИКП должна соответствовать требованиям техники безопасности, охраны труда, взрывобезопасности, пожарной безопасности и санитарно-технических правил, определяемых действующими нормативными документами.
5.4 Требования к условиям измерений
5.4.1 Измеряемой средой являются газовый конденсат, широкая фракция легких углеводородов и сжиженные углеводородные газы. При проведении измерений массы продукта с помощью динамических методов продукт в трубопроводе должен находиться в однофазном жидком состоянии.
5.4.2 Для обеспечения однофазности стабильного газового конденсата абсолютное давление в трубопроводе в месте измерения расхода должно удовлетворять условию:

, (1)
где p - абсолютное давление продукта в трубопроводе в месте измерения массового расхода, МПа;
pH - давление насыщения (давление начала кипения) продукта на данной СИКП, полученное в результате измерения или расчета, МПа;

- абсолютная погрешность определения значения
pH, МПа.
5.4.3 Для обеспечения однофазности нестабильного газового конденсата, широкой фракции легких углеводородов, сжиженных углеводородных газов абсолютное давление среды в трубопроводе в месте измерения массового расхода должно удовлетворять условию:

. (2)
5.4.4 Для динамических методов измерений массы продукта средняя скорость потока стабильного газового конденсата в трубопроводах СИКП не должна превышать 4 м/с, нестабильного газового конденсата, широкой фракции легких углеводородов, сжиженных углеводородных газов - 3 м/с.
Возможно увеличение средней скорости потока в трубопроводах СИКП для динамических методов измерений массы продукта при соблюдении следующих условий:
- наличие заземления всех металлических и электропроводных неметаллических частей технологического оборудования СИКП, содержащих продукт;
- исключение возможности образования взрывоопасных концентраций паровоздушных смесей (температура продукта ниже нижнего температурного предела распространения пламени; среда в аппаратах не содержит окислителей и находится под избыточным давлением; аппараты и оборудование заполнены инертными газами).
В этих случаях скорость движения продукта ограничивается только необходимостью обеспечения технологического режима его перекачки.
5.4.5 При применении косвенного метода динамических измерений во избежание возникновения кавитации в проточной части ПР необходимо выполнять требования нормативной документации на ПР конкретных типов к величине давления за ПР.
5.4.6 Допустимые пульсации потока, режим течения, значения температур, давлений, скоростей потока и чисел Рейнольдса должны соответствовать требованиям, изложенным в технической и эксплуатационной документации на используемые СИ.
5.4.7 Условия эксплуатации СИ должны соответствовать требованиям, установленным изготовителем этих СИ, к параметрам:
- состояния и потока продукта (расходу, давлению, температуре, однофазности и пр.);
- окружающей среды (атмосферному давлению, температуре, влажности и пр.).
5.4.8 Напряженность постоянных и переменных магнитных полей, а также уровень индустриальных радиопомех должны быть не более пределов, установленных изготовителем для применяемых СИ.
5.4.9 Характеристики электроснабжения СИ должны соответствовать требованиям технической и эксплуатационной документации.
5.4.10 Вибрация СИ должна соответствовать требованиям эксплуатационной документации СИ.
5.4.11 Диапазоны измерений применяемых СИ должны соответствовать диапазонам изменений контролируемых параметров.
5.5 Требования к представлению результатов измерений и расчета
При отображении и выводе на печать числовых данных необходимо руководствоваться указаниями, приведенными в таблице 1.
Таблица 1
Необходимое количество цифр после запятой
Параметр | Единица величины | Количество цифр после запятой |
Температура | °C | 1 |
Давление | МПа | 4 |
Плотность | кг/м3 | 1 |
Плотность | г/см3 | 4 |
| т | 2 |
| т | 3 |
| м3 | 2 |
| м3 | 3 |
| т/ч | 2 |
| т/ч | 3 |
| м3/ч | 2 |
| м3/ч | 3 |
<1> При измерении массы продукта прямым методом статических измерений, измерении массы жидкой фазы продукта косвенным методом статических измерений или косвенным методом, основанным на гидростатическом принципе. <2> При измерении массы жидкой фазы продукта прямым или косвенным методом динамических измерений. |
5.6 Требования к БИЛ, БИК, СОИ, другим подсистемам и вспомогательному оборудованию
5.6.1 Требования к БИЛ, БИК, СОИ, другим подсистемам и оборудованию при измерении массы продукта прямым методом динамических измерений приведены в
приложении Г.
5.6.2 Требования к БИЛ, БИК, СОИ, другим подсистемам и оборудованию при измерении массы продукта косвенным методом динамических измерений приведены в
приложении Д.
5.6.3 Требования к СОИ, другим подсистемам и оборудованию при измерении массы продукта прямым методом статических измерений приведены в
приложении Е.
5.6.4 Требования к СОИ, другим подсистемам и оборудованию при измерении массы продукта косвенным методом статических измерений и косвенным методом, основанным на гидростатическом принципе, приведены в
приложении Ж.
6 Общие требования к метрологическому обеспечению СИКП
6.1.1 В составе СИКП применяют СИ, внесенные в Федеральный информационный фонд по обеспечению единства измерений и имеющие свидетельства об утверждении типа.
6.1.2 СИ, применяемые на объектах, находящихся в компетенции Федеральной службы по экологическому, технологическому и атомному надзору, должны иметь действующее разрешение на применение, выданное этой службой.
6.1.3 Проверку состояния, монтажа и условий применения СИ проводят в соответствии с их эксплуатационной документацией.
6.1.4 При проведении поверки СИ СИКП применяют рабочие эталоны, для которых обеспечена прослеживаемость передачи размера единицы величины от государственного первичного эталона либо от установки высшей точности или национального эталона единицы величины другой страны в случае отсутствия соответствующих государственных эталонов единиц величин.
6.1.5 Поверку СИ проводят в соответствии с документом на методику поверки, указанную в описании типа СИ.
6.1.6 Рабочие эталоны и оборудование, используемые для проведения поверки (калибровки) СИ, должны соответствовать требованиям методик поверки.
6.1.7 Поверочное оборудование применяют в соответствии с эксплуатационной документацией на данное оборудование. Все эталонные СИ, применяемые при поверке рабочих СИ, должны иметь действующий срок поверки, а оборудование должно быть аттестовано в установленном порядке, если аттестация предусмотрена для данного оборудования.
6.1.8 Измерения массы продукта на СИКП следует выполнять по методикам выполнения измерений, аттестованным и утвержденным в порядке, установленном
ГОСТ 8.010.
6.2 Перечень эксплуатационных документов и содержание паспорта СИКП
6.2.1 Комплект документации СИКП должен включать в себя:
- паспорт СИКП;
- копию акта ввода СИКП в промышленную эксплуатацию;
- заключение метрологической экспертизы проекта СИКП;
- экспертизу промышленной безопасности проекта СИКП;
- методику выполнения измерений и свидетельство об аттестации методики выполнения измерений;
- методику поверки СИКП;
- паспорта и техническую документацию СИ и оборудования, входящих в состав СИКП;
- график проведения поверки СИ;
- свидетельства о поверке СИ;
- график проведения КМХ СИ;
- график проведения технического обслуживания;
- протоколы КМХ СИ;
- акты проверок герметичности запорной арматуры, соединительных линий СИКП;
- акт установки ПР;
- ТТ, ТЗ и проект на СИКП;
- отчет о проведении работ по техническому обслуживанию;
- журнал проведения работ на СИКП;
- журнал регистрации показаний СИ;
- инструкция по эксплуатации СИКП.
6.2.2 Паспорт СИКП должен включать следующие разделы:
- общие сведения;
- состав СИКП;
- схема СИКП;
- параметры потока и продукта.
6.2.3 В разделе "Общие сведения" паспорта СИКП указывают:
- наименование СИКП;
- объект, на котором размещен СИКП;
- дату ввода в эксплуатацию;
- организации-контрагенты.
6.2.4 Раздел "Состав СИКП" паспорта СИКП оформляют в соответствии с ГОСТ 8.010
(подраздел Б.5). В разделе дополнительно указывают места и дату установки СИ и вспомогательного оборудования.
6.2.5 Раздел "Схема СИКП"
6.2.5.1 Для прямого и косвенного методов динамических измерений массы жидкой фазы продукта в разделе "Схема СИКП" паспорта СИКП приводят аксонометрическую схему СИКП. На схеме указывают места размещения применяемых на СИКП средств измерений и систему отбора проб. На схеме указывают типы местных сопротивлений, их условные проходы, внутренние диаметры и длины участков ИЛ, геометрические параметры которых регламентированы применяемой на СИКП методикой выполнения измерений.
6.2.5.2 Для прямого метода статических измерений массы продукта раздел "Схема СИКП" исключают.
6.2.5.3 Для косвенного метода статических измерений массы жидкой фазы продукта и косвенного метода, основанного на гидростатическом принципе, на схеме указывают места размещения применяемых на СИКП средств измерений и места отбора проб.
6.2.6 В разделе "Параметры потока и продукта" паспорта СИКП приводят:
- среднее, максимальное и минимальное значения массового расхода продукта для каждой ИЛ отдельно (при применении динамических методов измерения массы жидкой фазы продукта);
- среднее, максимальное и минимальное значения температуры и давления;
- среднее, максимальное и минимальное значения плотности продукта при температуре 15 °C (или 20 °C) и давлении насыщенных паров (давлении начала кипения);
- перечень параметров, принятых условно-постоянными, отклонение от их средних значений и период их корректировки;
- пределы допускаемой погрешности измерения массового расхода и массы продукта.
6.2.7 Паспорт СИКП должен быть подписан главным инженером владельца СИКП и заверен печатью.
6.3 Перечень материалов проекта СИКП, представляемых на метрологическую экспертизу
На метрологическую экспертизу представляют:
1) ТЗ на проектирование СИКП, утвержденное и согласованное в установленном порядке;
2) материалы проекта СИКП:
- ТЗ;
- ТТ;
- руководство по эксплуатации;
- конструкторскую и технологическую документацию;
- принципиальную технологическую схему СИКП;
- функциональную схему автоматизации СИКП;
- спецификацию оборудования, изделий и материалов;
- монтажную схему СИКП;
- методику расчета метрологических характеристик измерительных каналов при необходимости программы обработки;
- программу и методику испытаний;
- проект нормативного документа на методику поверки (калибровки) СИКП.
(обязательное)
ФОРМА ТЕХНИЧЕСКИХ ТРЕБОВАНИЙ К СИСТЕМЕ ИЗМЕРЕНИЙ КОЛИЧЕСТВА
И ПОКАЗАТЕЛЕЙ КАЧЕСТВА ПРОДУКТА
Наименование требования | Краткая характеристика |
Наименование проектируемой СИКП | |
Наименование продукта | |
Основание для проектирования | |
Вид строительства (реконструкция или новое) | |
Назначение СИКП | |
Метод измерения массы жидкой фазы продукта | |
| Непрерывный/периодический |
| Неавтоматизированный/автоматизированный |
Нормативные ссылки | |
<*> Для динамических методов измерений массы жидкой фазы продукта. |
А.2 Район строительства и климатические условия
А.2.1 Характеристика объекта строительства
Наименование показателя | Краткая характеристика |
Район строительства, пункт, площадка | |
Климатическая зона | |
Вид исполнения СИКП (открытый, закрытый) | |
А.2.2 Расчетная температура
Наименование показателя | Значение показателя |
минимальное | максимальное |
Расчетная температура окружающего воздуха, °C | | |
Расчетная температура окружающего воздуха для ИК при закрытом исполнении СИКП, °C | | |
А.2.3 Специфические климатические условия
Специфика окружающих условий | Краткая характеристика |
Морские условия | |
Снеговой покров | |
Ветровое давление | |
Прочие специфические условия | |
А.3 Физико-химические свойства продукта
А.3.1 Физико-химические показатели продукта
Наименование показателя | Значение показателя |
минимальное | максимальное |
Плотность жидкой фазы продукта при рабочих условиях, кг/м3 | | |
Температура жидкой фазы продукта, °C | | |
Температура паровой фазы продукта, °C | | |
Массовая доля воды, % | | |
Массовая доля механических примесей, % | | |
А.3.2 Компонентный состав продукта (в процентах) определяют согласно требованиям нормативного документа на продукт по
ГОСТ 10679.
Наименование компонента | Значение показателя |
минимальное | максимальное |
| | |
А.4 Требования к основным параметрам и функциональным характеристикам СИКП
А.4.1 Технологические параметры СИКП при применении прямого метода динамических измерений массы жидкой фазы продукта
Наименование показателя | Значение показателя |
минимальное | максимальное |
Массовый расход жидкой фазы продукта, кг/ч | | |
Давление продукта, МПа | | |
Температура жидкой фазы продукта, °C | | |
Суммарные потери давления на СИКП при максимальном расходе, МПа: - в рабочем режиме - в режиме поверки | | |
Способ поверки | По передвижной ПУ <*>/по стационарной ПУ <*> |
<*> Для динамических методов измерений массы жидкой фазы продукта. |
А.4.2 Технологические параметры СИКП при применении косвенного метода динамических измерений массы жидкой фазы продукта
Наименование показателя | Значение показателя |
минимальное | максимальное |
Объемный расход жидкой фазы продукта, м3/ч | | |
Плотность жидкой фазы продукта при рабочих условиях, кг/м3 | | |
Давление продукта, МПа | | |
Суммарные потери давления на СИКП при максимальном расходе, МПа: - в рабочем режиме - в режиме поверки | | |
Способ поверки | По передвижной ПУ <*>/по стационарной ПУ <*> |
<*> Для динамических методов измерения массы жидкой фазы продукта. |
А.4.3 Технологические параметры СИКП при применении прямого метода статических измерений массы продукта
Наименование показателя | Значение показателя |
минимальное | максимальное |
Масса порожней цистерны, кг | | |
Масса цистерны с продуктом, кг | | |
Число цистерн в составе | | |
А.4.4 Метод взвешивания при применении прямого метода статических измерений массы продукта
Метод взвешивания | Потребность (да или нет) |
В движении | |
В статике нерасцепленных цистерн и состава из них | |
В статике расцепленных цистерн | |
А.4.5 Технологические параметры СИКП при применении косвенного метода статических измерений или косвенного метода статических измерений массы жидкой фазы продукта, основанного на гидростатическом принципе
Наименование показателя | Значение показателя |
минимальное | максимальное |
Уровень жидкой фазы продукта, мм | | |
Плотность жидкой фазы продукта при рабочих условиях, кг/м3 | | |
Температура продукта, °C | | |
Давление продукта, МПа | | |
А.4.6 Требования к погрешности СИКП
Наименование показателя | Значение показателя |
Пределы допускаемой относительной погрешности измерений массы продукта, % | |
Пределы допускаемой относительной погрешности измерений массы брутто продукта, % | |
Пределы допускаемой относительной погрешности измерений массы нетто продукта, % | |
А.4.7 Требования к функциям СИКП
Функции СИКП | Потребность (да или нет) |
Автоматическое определение массового расхода продукта <*>, кг/ч | |
Автоматическое определение массы продукта, кг | |
Формирование и хранение отчетов результатов измерений каждой учетной операции | |
Формирование и хранение отчетов результатов измерений за отдельные периоды (час, сутки, месяц, год) | |
Визуальное отображение информации о значениях измеряемых параметров и состоянии СИ и технологического оборудования на оперативной панели оператора или компьютере | |
Передача на верхний уровень и при необходимости потребителю продукта отчетов о расходе <*> и количестве продукта, а также качественных показателей продукта (для СИКП, оснащенных СИ качества продукта) | |
Дистанционное управление запорной арматурой, автоматизированное управление технологическим оборудованием (объем автоматизации определяется на этапе ТЗ) | |
КМХ ПР | |
Обеспечение 100% резервирования ИК | |
Фильтрация продукта и очистки фильтров | |
| |
Пломбирование запорной арматуры, открывание которой приводит к изменению результатов измерений | |
Наличие дренажных трубопроводов | |
Возможность осмотра и очистки внутренней полости ИЛ <*> | |
<*> Для СИКП, реализующей прямой или косвенный метод динамических измерений. |
А.5 Требования к ИЛ и резервуарам СИКП
А.5.1 Требования к ИЛ
А.5.1.1 Основные требования к ИЛ
Наименование показателя | Значение показателя |
Число ИЛ | |
Число резервных ИЛ | |
Условный диаметр ИЛ | |
А.5.1.2 Технологические параметры ИЛ
Наименование показателя | Значение показателя |
Возможность продувки ИЛ до и после ПР | |
Вид ИЛ (разборные или цельные) | |
Вид входных кранов | |
Вид выходных кранов | |
Вид привода кранов | |
Байпасная запорная арматура | |
А.5.2 Требования к резервуарам
Наименование показателя | Значение показателя |
Число резервуаров | |
Тип и размер резервуаров | |
Наименование показателя | Значение показателя |
Допустимые потери давления на ПР | |
Тип ПР | |
Требования по взрывозащите | |
Исполнение вторичного блока электроники (преобразователя) | |
Электропитание | |
А.7 Требования к системе обработки информации
А.7.1 Общие требования
Наименование требования | Потребность (да или нет) |
Вычислитель | |
СОИ | |
А.7.2 Требования к вычислителю
Наименование требования | Краткая характеристика |
Требования к архивам | |
Требование к выводимым на дисплей данным | |
Возможность замены измеренных значений параметров константами | |
Возможность считывания с вычислителя через устройство приема/передачи информации (переносного устройства сбора информации, компьютера и т.п.) архивной информации | |
Резервирование вычислителя | |
Резервное электропитание | |
Функции СОИ | Потребность (да или нет) |
Автоматическое определение массового расхода <*> и массы продукта по каждой ИЛ <*> и по СИКП в целом | |
Автоматическое отображение и регистрация измерительной и технологической информации | |
Автоматический сбор и обработка сигналов, поступающих от всех измерительных преобразователей | |
Автоматический контроль значений измеряемых величин, включение предупредительной сигнализации при их выходе за допускаемые пределы | |
Автоматический контроль и учет состояния технологического оборудования, исполнительных устройств | |
Автоматическая регистрация отклонений от заданных режимов работы, распознавание аварийных ситуаций и обеспечение срабатывания аварийной защиты | |
Выработка установок для работы регуляторов, управление исполнительными механизмами в автоматическом режиме | |
Автоматический контроль достоверности информации, правильности выполнения вычислений и команд управления | |
Автоматическое обнаружение отказов технических и программных средств, нарушений измерительных каналов | |
Применение паролей для исключения несанкционированного вмешательства и ошибочных действий персонала | |
Отображение информации на экране компьютера и устройстве отображения и управления (оперативной панели) | |
Формирование базы данных | |
Ведение журнала аварийных и технологических сообщений | |
Формирование и печать отчетных документов, протоколов нештатных и аварийных ситуаций | |
Передача информации на более высокий уровень по согласованным протоколам обмена | |
<*> Для СИКП, реализующей прямой или косвенный метод динамических измерений. |
А.8 Требования к вспомогательному оборудованию и устройствам
Наименование требования | Краткая характеристика, если требуется данное устройство |
Фильтры | |
Пробоотборник | |
УПП или струевыпрямители | |
А.9 Требования к метрологическому обеспечению
Наименование требования | Краткая характеристика |
Перечень рабочих эталонов СИКП | |
Метрологическая экспертиза технической документации | |
А.10 Требования к системам промышленной безопасности
А.10.1 Требования к электроснабжению и заземлению
Наименование требования | Краткая характеристика |
Класс потребителей СИКП в соответствии с классификацией, приведенной в ПЭУ | |
Цепи заземления | |
Устройства катодной защиты | |
Защита от прямых ударов и вторичного проявления молнии | |
Защита от статического электричества | |
Экранирование кабелей | |
Электрическое освещение | |
А.10.2 Системы пожаротушения и пожарной сигнализации
Наименование требования | Краткая характеристика |
Класс помещений СИКП по пожаро- и взрывобезопасности | |
Класс наружных установок СИКП по пожаро- и взрывобезопасности | |
Вид системы газового пожаротушения | |
А.10.3 Контроль загазованности
Наименование требования | Краткая характеристика |
Автоматический контроль загазованности | |
Примечание - Список требований к вспомогательному оборудованию может быть расширен в соответствии с требованиями настоящего стандарта.
А.11 Требования к размещению СИКП, реализующих прямой или косвенный метод динамических измерений массы жидкой фазы продукта
Вариант размещения | Потребность (да или нет) |
Помещение | |
Блок-бокс | |
Открытая площадка с навесом | |
А.12 Требования к составу и объему технической документации
А.12.1 Комплект эксплуатационной документации СИКП должен включать в себя:
- паспорт СИКП;
- методику выполнения измерений и свидетельство об аттестации методики выполнения измерений;
- методику поверки СИКП;
- паспорта и техническую документацию СИ и оборудования, входящих в состав СИКП;
- проект на СИКП.
А.12.2 Комплект подтверждающей документации должен включать в себя:
- заключение метрологической экспертизы проекта СИКП;
- экспертизу промышленной безопасности проекта СИКП;
- свидетельства о поверке СИ.
(обязательное)
К ТЕХНИЧЕСКОМУ ЗАДАНИЮ НА ПРОЕКТИРОВАНИЕ СИКП
Б.1 ТЗ разрабатывают на основе согласованных/утвержденных ТТ. ТЗ должно содержать по крайней мере требования, установленные в ТТ.
Б.3 Техническое задание на проектирование
Б.3.1 ТЗ на проектирование начинают со слов: "Настоящее техническое задание определяет требования к назначению, составу, техническим и эксплуатационным характеристикам и разрабатываемой проектной документации на СИКП [наименование и место размещения]".
Б.3.2 ТЗ на проектирование включает следующие разделы.
Б.3.2.1 Основание для проектирования.
Б.3.2.2 Назначение СИКП.
Назначение СИКП излагают следующим образом: "СИКП предназначена для коммерческого учета продукта [при необходимости указывается месторождение], поступающего с [предприятие-поставщик] и подлежащего сдаче [предприятие-получатель]".
Б.3.2.3 Сведения о продукте:
- номер и наименование нормативных документов, устанавливающих требования к данному виду продукта, вид и физико-химические показатели продукта в соответствии с нормативными документами;
- диапазон возможных изменений в течение срока эксплуатации СИКП плотности продукта;
- максимальные возможные в течение срока эксплуатации узла учета давление насыщенных паров по Рейду и давление насыщения продукта (давление начала кипения).
Б.3.2.4 Сведения о параметрах продукта:
а) диапазоны изменений:
- плотности в рабочих условиях <1>, <2>, <3>;
--------------------------------
<1> Для СИКП при измерении массы жидкой фазы продукта косвенным методом динамических измерений.
<2> Для СИКП при измерении массы жидкой фазы продукта косвенным методом статических измерений.
<3> Для СИКП при измерении массы жидкой фазы продукта косвенным методом статических измерений, основанным на гидростатическом принципе.
- массового расхода <4>;
--------------------------------
<4> Для СИКП при измерении массы жидкой фазы продукта прямым методом динамических измерений.
- взвешиваемой массы <5>;
--------------------------------
<5> Для СИКП при измерении массы продукта прямым методом статических измерений.
- уровня налива жидкой фазы продукта в мере вместимости
<2>,
<3>;
- содержания воды;
- рабочего давления;
- рабочей температуры;
б) максимальные суммарные потери давления на СИКП
<1>,
<2> в рабочем режиме и режиме поверки.
Б.3.2.5 Общие требования к СИКП:
а) метод измерений и предел допускаемой относительной погрешности измерений массового расхода
<1>,
<2> и массы продукта;
б) режим работы СИКП (непрерывный или периодический)
<1>,
<2>;
в) единицы величин, в которых должны быть представлены вводимые, измеряемые и расчетные параметры;
г) перечень параметров, которые должны определяться на СИКП;
д) требования к запорной арматуре и регулирующим устройствам;
е) функции, которые должны выполняться в автоматическом режиме в соответствии с
А.4.7;
ж) функции, которые должны выполняться в ручном режиме.
Б.3.2.6 Состав СИКП и требования к ее элементам:
а) состав СИКП;
б) требования к БИЛ <6>, <7>;
--------------------------------
<6> Для СИКП при измерении массы жидкой фазы продукта косвенным методом динамических измерений.
<7> Для СИКП при измерении массы жидкой фазы продукта прямым методом динамических измерений.
в) требования к БИК;
г) требования к системе отбора проб;
д) требования к метрологическому обеспечению;
е) требования к узлу подключения ПУ <1>, <2>;
--------------------------------
<1> Для СИКП при измерении массы жидкой фазы продукта косвенным методом динамических измерений.
<2> Для СИКП при измерении массы жидкой фазы продукта прямым методом динамических измерений.
к) схема СИКП (при необходимости).
Б.3.2.7 Условия эксплуатации и требования по размещению:
а) места размещения блоков СИКП (на открытых площадках, в зданиях);
б) требования к зданиям;
в) условия эксплуатации блоков СИКП (диапазоны температур окружающего воздуха, влажности и т.д.).
Б.3.2.8 Технические условия на проектирование СИКП (источники энергоснабжения, теплоснабжения, водоснабжения и т.д.).
Б.3.2.9 Требования к защите от внешних воздействий: например, вид климатического исполнения оборудования; группа устойчивости оборудования к климатическим воздействиям; взрывобезопасность электрооборудования, устанавливаемого в помещении с технологическим оборудованием; наличие экранирования кабелей измерительных цепей от преобразователей до вторичной аппаратуры.
Б.3.2.10 Требования к надежности.
Б.3.2.11 Требования в области промышленной безопасности и охраны труда.
Б.3.2.12 Эргономические требования.
Б.3.2.13 Требования к маркировке и упаковке.
Б.3.2.14 Требования к транспортированию и хранению.
Б.3.2.15 Требования к составу и объему разрабатываемой документации.
Б.3.2.16 Требования к организации разработки и приемки (этапы разработки, объем работ, порядок выполнения и приемки работ).
Б.3.2.17 Дополнительные требования, которые необходимо учесть при проектировании.
Б.4 При проектировании необходимо учитывать возможность реконструкции СИКП.
Б.5 Допускается исключать или объединять отдельные разделы задания.
(справочное)
СТРУКТУРНЫЕ СХЕМЫ СИКП
Рисунок В.1 - Структурная схема СИКП при измерении массы
жидкой фазы продукта прямым методом динамических измерений
Рисунок В.2 - Структурная схема СИКП при измерении массы
продукта косвенным методом динамических измерений
Рисунок В.3 - Структурная схема СИКП при измерении массы
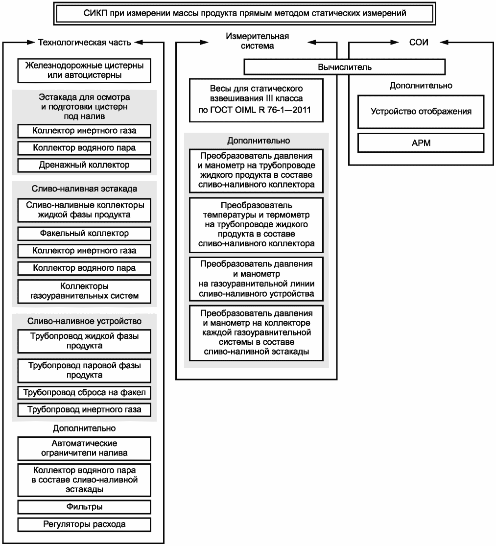
продукта прямым методом статических измерений
--------------------------------
<1> При измерении массы жидкой фазы продукта косвенным методом статических измерений.
<2> При измерении массы жидкой фазы продукта косвенным методом статических измерений, основанным на гидростатическом принципе.
Рисунок В.4 - Структурная схема СИКП при измерении массы
жидкой фазы продукта косвенным методом статических измерений
и косвенным методом, основанным на гидростатическом принципе
(рекомендуемое)
К СРЕДСТВАМ ИЗМЕРЕНИЙ И ОБОРУДОВАНИЮ В СОСТАВЕ
СИКП ПРИ ПРИМЕНЕНИИ ПРЯМОГО МЕТОДА ДИНАМИЧЕСКИХ ИЗМЕРЕНИЙ
Г.1 Технологическая часть СИКП при применении прямого метода динамических измерений
В технологическую часть СИКП должны входить:
- технологическая часть БИЛ;
- технологическая часть БИК.
При необходимости в состав технологической части СИКП могут быть включены другие блоки и технологические элементы.
Г.1.1 Технологическая часть БИЛ
Г.1.1.1 В технологическую часть БИЛ должны входить:
- рабочие и резервные ИЛ;
- входной и выходной коллекторы;
- коллектор к ПУ;
- запорная арматура на входе ИЛ;
- запорная арматура с гарантированным перекрытием потока и контролем протечек на выходах ИЛ в коллектор и к ПУ;
- дренажная система;
- система сброса газа.
Дополнительно в технологическую часть БИЛ могут входить:
- контрольная ИЛ;
- фильтры на каждой ИЛ или блок фильтров;
- регулятор давления на выходном коллекторе;
- регулятор расхода.
Г.1.1.2 Диаметры коллекторов, диаметры и количество ИЛ, диаметры и длины трубопроводов технологических обвязок следует выбирать с учетом гидравлических потерь при максимальной производительности СИКП. Рекомендуется, чтобы все ИЛ, входящие в коллекторную систему СИКП, имели одинаковый условный проход. В случае необходимости измерения малых расходов продукта на СИКП допускается применение ИЛ с различным внутренним диаметром.
Г.1.1.3 Для СИКП при измерении массы жидкой фазы продукта динамическими методами измерений диаметры и длины трубопроводов следует выбирать с учетом допустимых гидравлических потерь при максимальной производительности СИКП. Гидравлические потери на СИКП в режиме измерений должны быть не более 0,2 МПа, в режиме поверки - не более 0,4 МПа. При расчете гидравлических потерь рекомендуется использовать справочник
[3].
Г.1.1.4 Дренажная система
Г.1.1.4.1 Дренажная система должна быть оснащена шаровыми кранами для перекрытия дренажных трубопроводов.
Г.1.1.4.2 Дренажная система должна быть закрытой, с уклоном трубопроводов не менее 0,002.
Г.1.1.4.3 При необходимости следует предусмотреть раздельные дренажные системы для учтенного и неучтенного продуктов.
Г.1.1.5 Система сброса газа должна быть оснащена шаровыми кранами для удаления при необходимости газа в верхних точках оборудования, трубопроводов и др.
Г.1.1.6 Теплоизоляция трубопроводов
Г.1.1.6.1 Если в течение года абсолютная разница температур продукта и окружающего воздуха превышает 30 °C на участках наибольшего влияния теплообмена на погрешность расхода и отсутствует утвержденный установленным образом расчет, подтверждающий возможность использования СИКП без теплоизоляции, то соответствующие участки следует теплоизолировать.
Г.1.1.6.2 К участкам наибольшего влияния теплообмена в составе БИЛ относится участок ИЛ между термопреобразователем и ПР вместе с прилегающими к нему выше и ниже по потоку участками длиной, равной пяти внутренним диаметрам ИЛ.
Г.1.1.6.3 Конструкция тепловой изоляции должна соответствовать требованиям, изложенным в действующей нормативной документации.
Материалы, используемые в теплоизоляционных конструкциях:
- должны иметь гигиенический и пожарный сертификаты, а также сертификат соответствия качества продукции;
- не должны выделять в процессе эксплуатации вредные, пожароопасные и взрывоопасные, неприятно пахнущие вещества в количествах, превышающих предельно допустимые концентрации;
- не должны выделять болезнетворные бактерии, вирусы и грибки.
Г.1.1.6.4 Расположенные на изолируемом участке трубопровода арматуру, фланцевые соединения, люки и выступающую над трубопроводом часть термопреобразователя следует изолировать, если изолируется участок трубопровода, на котором они установлены. Тепловая изоляция тех из названных устройств, которые подвергаются периодическому контролю, должна быть съемной.
Г.1.1.7 Трубопроводы ИЛ должны удовлетворять требованиям, предъявляемым к ним технической документацией на применяемый массомер.
Г.1.1.8 Рекомендуемое общее число рабочих и резервных ИЛ - не более десяти.
Г.1.1.9 Число резервных ИЛ должно быть не менее 30% от числа рабочих ИЛ.
Г.1.1.10 Число рабочих ИЛ определяют путем округления в большую сторону результата деления наибольшего расхода через узел учета на 80% верхнего предела массомера.
Г.1.1.11 Должна быть обеспечена возможность демонтажа СИ и фильтров.
Г.1.1.12 На ИЛ должна быть предусмотрена возможность компенсации длин при демонтаже и установке массомера.
Г.1.1.13 Должна быть предусмотрена возможность компенсации тепловых деформаций, исключающая появление механических напряжений в ИЛ и коллекторах.
Г.1.1.14 Коллекторы следует проектировать в соответствии с требованиями ГОСТ 8.586.2
(подраздел А.5).
Г.1.1.15 Фильтры
Г.1.1.15.1 Необходимость установки фильтров определяют, исходя из степени подготовки продукта.
Г.1.1.15.2 Фильтры на каждой ИЛ или БФ устанавливают с целью выполнения требований к показателям качества продукта и/или к чистоте продукта, обеспечивающей достаточно надежное функционирование СИ.
Г.1.1.15.3 БФ размещают на входном коллекторе. Фильтр на ИЛ размещают до массомера.
Г.1.1.15.4 БФ должен состоять не менее чем из двух фильтров (рабочего и резервного). Количество и диаметр фильтров должны быть рассчитаны из условия обеспечения максимального расхода через БИЛ при общем перепаде давления на БФ не более 0,05 МПа.
Г.1.1.15.5 Каждый фильтр должен быть оснащен быстросъемной крышкой, фильтрующими элементами из нержавеющей стали, дренажным краном, краном для удаления газа, преобразователем перепада давлений.
Г.1.1.15.6 До и после каждого из фильтров должна быть установлена запорная арматура.
Г.1.1.16 При наличии контрольной ИЛ допускается использовать ее в качестве резервной.
Г.1.1.17 При наличии стационарной ПУ допускается контрольную ИЛ не предусматривать.
Г.1.1.18 При возможности снижения давления ниже значения, регламентированного согласно
условию (1) для стабильного газового конденсата,
(2) - для нестабильного продукта, на выходном коллекторе устанавливают регулятор давления. При размещении пробоотборного зонда в выходном коллекторе регулятор давления располагают за точкой возврата потока из трубопровода БИК в выходной коллектор.
Г.1.1.19 Регулятор расхода устанавливают на выходе ИЛ, перед запорной арматурой.
Г.1.2 Технологическая часть БИК
Г.1.2.1 В технологическую часть БИК должны входить:
- трубопровод, по которому продукт поступает в БИК и возвращается в коллектор;
- запорная арматура;
- пробоотборная система.
Дополнительно в технологическую часть БИК могут входить:
- смесительное устройство;
- регулятор расхода;
- сужающее устройство;
- насос;
- фильтры (рабочий и резервный).
Г.1.2.3 Отбор проб продукта при наличии БФ выполняют после БФ с подводящего трубопровода или с входного коллектора перед ИЛ либо из отводящего трубопровода или выходного коллектора БИЛ после ИЛ.
При отсутствии БФ на СИКП и наличия фильтров тонкой очистки на ИЛ отбор проб продукта должен выполняться с выходного коллектора БИЛ после ИЛ или из отводящего трубопровода.
Г.1.2.4 Смесительное устройство устанавливают до входа продукта в пробоотборный зонд для приведения продукта в однородное состояние.
Г.1.2.5 Тип применяемого пробоотборного зонда определяют, исходя из степени подготовки потока продукта.
Г.1.2.6 При отборе проб продукта через байпасный трубопровод применяют насос или сужающее устройство.
Г.1.2.7 Отбор проб продукта должен быть организован с применением устройства для создания перепада давления на основном трубопроводе, направлении части потока через байпасный трубопровод, из которого осуществляется отбор проб, и возвращении потока продукта в основной трубопровод.
Г.1.2.8 Отбор проб следует проводить при скорости на входе в пробоотборный зонд, не более чем в два раза (в большую или меньшую сторону) отличающейся от скорости в коллекторе в месте отбора проб. Требуемому номинальному значению скорости соответствует значение расхода на входе пробоотборного зонда, определяемое по формуле:

,
где qпр_з, q - объемные расходы на входе в пробоотборный зонд и в коллекторе, м3/ч;
Fпр_з, F - площади поперечных сечений входа пробоотборного зонда и коллектора, м2.
Г.1.2.9 Внутренний диаметр трубопровода, по которому продукт поступает в БИК и возвращается в коллектор, должен быть не менее 50 мм.
Г.1.2.10 БИК должен размещаться в отапливаемом помещении. Допускается размещение БИК в общем помещении с БИЛ.
Г.1.2.11 Для защиты системы отбора проб от металлической стружки и прочих механических примесей необходимо устанавливать фильтр. Рекомендуется применять фильтры с быстросъемными крышками, фильтрующими элементами из нержавеющей стали. Применяемый фильтр не должен задерживать воду и создавать потери давления, приводящие к возникновению паровой фазы.
Г.2 Измерительная часть СИКП при применении прямого метода динамических измерений
В измерительную часть СИКП должны входить:
- измерительная часть БИЛ;
- измерительная часть БИК.
При необходимости в состав измерительной части СИКП могут быть включены другие блоки и измерительные элементы.
Г.2.1 Измерительная часть БИЛ
Г.2.1.1 В измерительную часть БИЛ должны входить:
- массомеры с пределами допускаемой относительной погрешности не более +/- 0,25% для рабочих и резервных ИЛ;
- преобразователь давления в месте установки массомера с пределами допускаемой приведенной погрешности не более +/- 0,2%;
- манометр в месте установки массомера с пределами допускаемой приведенной погрешности не более +/- 0,6%;
- преобразователь температуры и термометр в месте установки массомера с пределами допускаемой абсолютной погрешности не более +/- 0,3 °C;
- преобразователь давления на выходном коллекторе с пределами допускаемой приведенной погрешности не более +/- 0,2%;
- манометр на выходном коллекторе с пределами допускаемой приведенной погрешности не более +/- 0,6%;
- манометры до и после каждого фильтра с пределами допускаемой приведенной погрешности не более +/- 0,6%;
- массомер на линии сброса газа с пределами допускаемой относительной погрешности не более +/- 0,6%.
Дополнительно в технологическую часть БИК могут входить:
- контрольный массомер с пределами допускаемой относительной погрешности не более +/- 0,2%;
- преобразователи перепада давления на фильтрах;
- преобразователь давления и манометр перед регулятором давления с пределами допускаемой приведенной погрешности соответственно не более +/- 0,2% и не более +/- 0,6%;
- преобразователь температуры и термометр на выходном коллекторе с пределами допускаемой абсолютной погрешности не более +/- 0,3 °C.
Г.2.1.2 Если на СИКП предусмотрен КМХ рабочих и резервных массомеров по контрольному массомеру, в состав БИЛ дополнительно включают измерительную линию с контрольным массомером с пределами допускаемой относительной погрешности не более +/- 0,20%.
Г.2.1.3 Вторичные приборы основных параметров потока и продукта следует размещать в отапливаемом помещении. При дистанционной передаче измеряемой величины измерительные преобразователи расхода и температуры, размещенные на ИЛ, должны находиться в укрытии или под навесом.
Г.2.1.4 Абсолютное давление определяют либо путем его непосредственного измерения с помощью преобразователя абсолютного давления, либо путем измерения с помощью преобразователя избыточного давления и барометра.
Г.2.1.5 Для своевременного обнаружения засорения фильтров устанавливают преобразователи перепада давлений с пределами допускаемой приведенной погрешности не более +/- 0,25%.
Г.2.1.6 Для контроля выполнения
условий (1) и
(2) перед регулятором давления устанавливают преобразователь давления с пределами допускаемой приведенной погрешности не более +/- 0,2%.
Г.2.1.7 Максимальные и минимальные значения измеряемых параметров должны перекрываться диапазонами СИ: рекомендуется, чтобы максимальному значению измеряемого параметра соответствовало приблизительно 90% верхнего предела измерений СИ; минимальное значение устанавливают с учетом предела допускаемой погрешности измеряемого параметра.
Г.2.1.8 Монтаж, эксплуатация и хранение СИ должны выполняться в соответствии с требованиями технической документации на используемые СИ.
Г.2.2 Измерительная часть БИК
Г.2.2.1 В измерительную часть БИК должен входить ПР для контроля выполнения требования по скорости потока на входе в пробоотборный зонд
(Г.1.2.8).
Г.2.2.2 Дополнительно в состав БИК могут входить:
- хроматограф, значения показателей прецизионности результатов измерений содержания компонентов продукта должны соответствовать требованиям
ГОСТ 10679;
- СИ показателей качества.
Состав средств измерений показателей качества регламентируется техническими условиями на данный вид продукта или нормативными документами, указанными в технических условиях. Выбор СИ показателей качества выполняют на стадии проектирования с учетом:
- возможности использования поточных СИ;
- степени изменения состава продукта стечением времени;
- сравнительной стоимости реализации способа измерений;
- требуемого уровня автоматизации способа измерений;
- требуемого уровня автоматизации измерений.
Г.2.3 Дополнительные СИ в измерительной части СИКП
Г.2.3.1 СИ массы паровой фазы продукта устанавливаются на линии выравнивания давления, если измерения массы жидкой фазы продукта осуществляются при заполнении или опорожнении меры вместимости или меры полной вместимости. Измерение массы продукта должно осуществляться по методике выполнения измерений, аттестованной в соответствии с
ГОСТ 8.010.
Г.2.3.2 Поверочная установка или эталонный массомер с пределами допускаемой относительной погрешности не более +/- 0,10%.
Г.2.3.3 Преобразователь температуры с пределами допускаемой абсолютной погрешности не более +/- 0,3 °C на входе и выходе ПУ.
Г.2.3.4 Преобразователь давления с пределами приведенной погрешности +/- 0,2% на входе и выходе ПУ.
Г.2.3.5 Манометр с пределами допускаемой приведенной погрешности не более +/- 0,6%.
Г.2.3.6 Термометр стеклянный с пределами допускаемой абсолютной погрешности не более +/- 0,3 °C.
Г.2.3.7 Поточный преобразователь плотности с пределами допускаемой абсолютной погрешности не более +/- 0,36 кг/м3 (допускается не включать в состав ПУ, если поточный преобразователь плотности установлен в БИК).
Г.3 Система обработки информации
СОИ должна обеспечивать выполнение следующих функций:
Г.3.1 Обработку сигналов, поступающих от измерительных преобразователей параметров продукта и его потока.
Г.3.2 Автоматизированное измерение массы продукта, формирование оперативных (двухчасовых) отчетов, а также формирование отчетных документов по приему-сдаче партии продукта.
Г.3.3 Автоматизированное выполнение операций поверки и КМХ с формированием протоколов.
Г.3.4 Отображение и регистрацию измерительной и технологической информации:
- просмотр в реальном масштабе времени режимов работы ИЛ и измерительных преобразователей;
- просмотр пределов измеряемых величин;
- просмотр констант и коэффициентов СИ;
- автоматическое построение, отображение и печать графиков измеряемых величин (трендов);
- оповещение персонала о нарушениях технологического режима и аварийных ситуациях (вывод сообщения на экран, подача звукового сигнала, вывод на печать);
- регистрацию событий в журнале событий.
Г.3.5 Автоматизированное управление и технологический контроль за работой оборудования:
- установку режимов работы ИЛ и измерительных преобразователей БИК;
- управление задвижками;
- управление пробоотборниками.
Г.3.6 Архивирование данных и сохранение отчетных документов о сдаче продукта не менее одного года.
Г.3.7 Печать отчетных документов, журналов событий, протоколов поверки и контроля.
Г.3.8 Защиту информации и алгоритмов обработки информации от несанкционированного доступа.
Г.3.9 СОИ должна иметь резервирование и систему бесперебойного питания. Пределы относительной погрешности СОИ при расчете массы продукта должна быть не более +/- 0,05%.
(рекомендуемое)
К СРЕДСТВАМ ИЗМЕРЕНИЙ И ОБОРУДОВАНИЮ В СОСТАВЕ
СИКП ПРИ ПРИМЕНЕНИИ КОСВЕННОГО МЕТОДА ДИНАМИЧЕСКИХ ИЗМЕРЕНИЙ
Д.1 Технологическая часть СИКП при применении косвенного метода динамических измерений
В технологическую часть СИКП должны входить:
- технологическая часть БИЛ;
- технологическая часть БИК.
При необходимости в состав технологической части СИКП могут быть включены другие блоки и технологические элементы.
Д.1.1 Технологическая часть БИЛ
Д.1.1.1 В технологическую часть БИЛ должны входить:
- рабочие и резервные ИЛ;
- входной и выходной коллекторы;
- коллектор к ПУ;
- запорная арматура на входе ИЛ;
- запорная арматура с гарантированным перекрытием потока и контролем протечек на выходах ИЛ в коллектор и к ПУ;
- дренажная система;
- система сброса газа.
Дополнительно в технологическую часть БИЛ могут входить:
- контрольная ИЛ;
- фильтры на каждой ИЛ или блок фильтров;
- УПП;
- регулятор давления на выходном коллекторе;
- регуляторы расхода.
Д.1.1.2 Диаметры коллекторов, диаметры и количество ИЛ, диаметры и длины трубопроводов технологических обвязок следует выбирать с учетом гидравлических потерь при максимальной производительности СИКП. Рекомендуется, чтобы все ИЛ, входящие в коллекторную систему СИКП, имели одинаковый условный проход. В случае необходимости измерения малых расходов продукта на СИКП допускается применение ИЛ с различным внутренним диаметром.
Д.1.1.3 Для СИКП при измерении массы жидкой фазы продукта динамическими методами измерений диаметры и длины трубопроводов следует выбирать с учетом допустимых гидравлических потерь при максимальной производительности СИКП. Гидравлические потери на СИКП в режиме измерений должны быть не более 0,2 МПа, в режиме поверки - не более 0,4 МПа. При расчете гидравлических потерь рекомендуется использовать справочник
[3].
Д.1.1.4 Дренажная система
Д.1.1.4.1 Дренажная система должна быть оснащена шаровыми кранами для перекрытия дренажных трубопроводов.
Д.1.1.4.2 Дренажная система должна быть закрытой, с уклоном трубопроводов не менее 0,002.
Д.1.1.4.3 При необходимости следует предусмотреть раздельные дренажные системы для учтенного и неучтенного продуктов.
Д.1.1.5 Система сброса газа должна быть оснащена шаровыми кранами для удаления при необходимости газа в верхних точках оборудования, трубопроводов и др.
Д.1.1.6 Теплоизоляция трубопроводов
Д.1.1.6.1 Если в течение года абсолютная разница температур продукта и окружающего воздуха превышает 30 °C на участках наибольшего влияния теплообмена на погрешность расхода и отсутствует утвержденный установленным образом расчет, подтверждающий возможность использования СИКП без теплоизоляции, то соответствующие участки следует теплоизолировать.
Д.1.1.6.2 К участкам наибольшего влияния теплообмена в составе БИЛ относится участок ИЛ между термопреобразователем и ПР вместе с прилегающими к нему выше и ниже по потоку участками длиной, равной пяти внутренним диаметрам ИЛ.
Д.1.1.6.3 Конструкция тепловой изоляции должна соответствовать требованиям другой действующей нормативной документации.
Материалы, используемые в теплоизоляционных конструкциях:
- должны иметь гигиенический и пожарный сертификаты, а также сертификат соответствия качества продукции;
- не должны выделять в процессе эксплуатации вредные, пожароопасные и взрывоопасные, неприятно пахнущие вещества в количествах, превышающих предельно допустимые концентрации;
- не должны выделять болезнетворные бактерии, вирусы и грибки.
Д.1.1.6.4 Расположенные на изолируемом участке трубопровода арматуру, фланцевые соединения, люки и выступающую над трубопроводом часть термопреобразователя следует изолировать, если изолируется участок трубопровода, на котором они установлены. Тепловая изоляция тех из названных устройств, которые подвергаются периодическому контролю, должна быть съемной.
Д.1.1.7 Трубопроводы ИЛ должны удовлетворять требованиям, предъявляемым к ним технической документацией на применяемый массомер.
Д.1.1.8 Рекомендуемое общее число рабочих и резервных ИЛ - не более десяти.
Д.1.1.9 Число резервных ИЛ должно быть не менее 30% от числа рабочих ИЛ.
Д.1.1.10 Число рабочих ИЛ определяют путем округления в большую сторону результата деления наибольшего расхода через узел учета на 80% верхнего предела ПР.
Д.1.1.11 Должна быть обеспечена возможность демонтажа СИ и фильтров.
Д.1.1.12 На ИЛ должна быть предусмотрена возможность компенсации длин при демонтаже и установке ПР.
Д.1.1.13 Должна быть предусмотрена возможность компенсации тепловых деформаций, исключающая появление механических напряжений в ИЛ и коллекторах.
Д.1.1.14 Коллекторы следует проектировать в соответствии с требованиями ГОСТ 8.586.2
(подраздел А.5).
Д.1.1.15 Фильтры
Д.1.1.15.1 Необходимость установки фильтров определяют, исходя из степени подготовки продукта.
Д.1.1.15.2 Фильтры на каждой ИЛ или БФ устанавливают с целью выполнения требований к показателям качества продукта и/или к чистоте продукта, обеспечивающей достаточно надежное функционирование СИ.
Д.1.1.15.3 БФ размещают на входном коллекторе. Фильтр на ИЛ размещают до ПР.
Д.1.1.15.4 БФ должен состоять не менее чем из двух фильтров (рабочего и резервного). Количество и диаметр фильтров должны быть рассчитаны из условия обеспечения максимального расхода через БИЛ при общем перепаде давления на БФ не более 0,05 МПа.
Д.1.1.15.5 Каждый фильтр должен быть оснащен быстросъемной крышкой, фильтрующими элементами из нержавеющей стали, дренажным краном, краном для удаления газа, преобразователем перепада давлений.
Д.1.1.15.6 До и после каждого из фильтров должна быть установлена запорная арматура.
Д.1.1.16 При наличии контрольной ИЛ допускается использовать ее в качестве резервной.
Д.1.1.17 При наличии стационарной ПУ допускается контрольную ИЛ не предусматривать.
Д.1.1.18 При возможности снижения давления ниже значения, регламентированного согласно
условию (1) для стабильного газового конденсата,
(2) - для нестабильного продукта, на выходном коллекторе устанавливают регулятор давления. При размещении пробоотборного зонда в выходном коллекторе регулятор давления располагают за точкой возврата потока из трубопровода БИК в выходной коллектор.
Д.1.1.19 Регулятор расхода устанавливают на выходе ИЛ, перед запорной арматурой.
Д.1.2 Технологическая часть БИК
Д.1.2.1 В технологическую часть БИК должны входить:
- трубопровод, по которому продукт поступает в БИК и возвращается в коллектор;
- узел для подсоединения эталонного плотномера или комплекта напорных пикнометров;
- запорная арматура;
- пробоотборная система.
Дополнительно в технологическую часть БИК могут входить:
- смесительное устройство;
- регулятор расхода;
- сужающее устройство;
- насос;
- фильтры (рабочий и резервный).
Д.1.2.3 Отбор проб продукта при наличии БФ выполняют после БФ с подводящего трубопровода или с входного коллектора перед ИЛ либо из отводящего трубопровода или выходного коллектора БИЛ после ИЛ.
При отсутствии БФ на СИКП и наличия фильтров тонкой очистки на ИЛ отбор проб продукта должен выполняться с выходного коллектора БИЛ после ИЛ или из отводящего трубопровода.
Д.1.2.4 Смесительное устройство устанавливают до входа продукта в пробоотборный зонд для приведения продукта в однородное состояние.
Д.1.2.5 Тип применяемого пробоотборного зонда определяют, исходя из степени подготовки потока продукта.
Д.1.2.6 При отборе проб продукта через байпасный трубопровод применяют насос или сужающее устройство.
Д.1.2.7 Отбор проб продукта должен быть организован с применением устройства для создания перепада давления на основном трубопроводе, направлении части потока через байпасный трубопровод, из которого осуществляется отбор проб, и возвращении потока продукта в основной трубопровод.
Д.1.2.8 Отбор проб следует проводить при скорости на входе в пробоотборный зонд, не более чем в два раза (в большую или меньшую сторону) отличающейся от скорости в коллекторе в месте отбора проб. Требуемому номинальному значению скорости соответствует значение расхода на входе пробоотборного зонда, определяемое по формуле:

,
где qпр_з, q - объемные расходы на входе в пробоотборный зонд и в коллекторе, м3/ч;
Fпр_з, F - площади поперечных сечений входа пробоотборного зонда и коллектора, м2.
Д.1.2.9 Внутренний диаметр трубопровода, по которому продукт поступает в БИК и возвращается в коллектор, должен быть не менее 50 мм.
Д.1.2.10 БИК должен размещаться в отапливаемом помещении. Допускается размещение БИК в общем помещении с БИЛ.
Д.1.2.11 Для защиты системы отбора проб от металлической стружки и прочих механических примесей необходимо устанавливать фильтр. Рекомендуется применять фильтры с быстросъемными крышками, фильтрующими элементами из нержавеющей стали. Применяемый фильтр не должен задерживать воду и создавать потери давления, приводящие к возникновению паровой фазы.
Д.2 Измерительная часть СИКП при применении косвенного метода динамических измерений
В измерительную часть СИКП должны входить:
- измерительная часть БИЛ;
- измерительная часть БИК.
При необходимости в состав измерительной части СИКП могут быть включены другие блоки и измерительные элементы.
Д.2.1 Измерительная часть БИЛ
Д.2.1.1 В измерительную часть БИЛ должны входить:
- преобразователи объемного расхода жидкости (турбинные, роторные, лопастные, ультразвуковые и др.) с пределами допускаемой относительной погрешности не более +/- 0,15% (рабочие и резервные);
- преобразователь давления в месте установки преобразователя объемного расхода жидкости с пределами допускаемой приведенной погрешности не более +/- 0,2%;
- манометр в месте установки ПР с пределами допускаемой приведенной погрешности не более +/- 0,6%;
- преобразователь температуры и термометр в месте установки преобразователя объемного расхода жидкости с пределами допускаемой абсолютной погрешности не более +/- 0,3 °C;
- преобразователь давления на выходном коллекторе с пределами допускаемой приведенной погрешности не более +/- 0,2%;
- манометр на выходном коллекторе с пределами допускаемой приведенной погрешности не более +/- 0,6%;
- манометры до и после каждого фильтра с пределами допускаемой приведенной погрешности не более +/- 0,6%;
- массомер на линии сброса газа с пределами допускаемой относительной погрешности не более +/- 0,6%.
Дополнительно в технологическую часть БИК могут входить:
- контрольный ПР с пределами допускаемой относительной погрешности не более +/- 0,1%;
- манометры до и после каждого ПР, УПП с пределами допускаемой приведенной погрешности не более +/- 0,6%;
- преобразователи перепада давления на фильтрах, ПР, УПП;
- преобразователь давления перед регулятором давления с пределами допускаемой приведенной погрешности не более +/- 0,2%;
- манометр перед регулятором давления с пределами допускаемой приведенной погрешности не более +/- 0,6%;
- преобразователь температуры и термометр на выходном коллекторе с пределами допускаемой абсолютной погрешности не более +/- 0,3 °C.
Д.2.1.2 Если на СИКП предусмотрен КМХ рабочих и резервных ПР по контрольному ПР в состав БИЛ дополнительно включают измерительную линию с контрольным ПР с пределами допускаемой относительной погрешности не более +/- 0,1%.
Д.2.1.3 Вторичные приборы основных параметров потока и продукта следует размещать в отапливаемом помещении. При дистанционной передаче измеряемой величины измерительные преобразователи расхода и температуры, размещенные на ИЛ, должны находиться в укрытии или под навесом.
Д.2.1.4 Абсолютное давление определяют либо путем его непосредственного измерения с помощью преобразователя абсолютного давления, либо путем измерения с помощью преобразователя избыточного давления и барометра.
Д.2.1.5 Для своевременного обнаружения засорения фильтров, ПР, УПП устанавливают преобразователи перепада давлений с пределами допускаемой приведенной погрешности не более +/- 0,25%.
Д.2.1.6 При необходимости для обеспечения контроля выполнения
условий (1) и
(2) устанавливают СИ давления насыщенных паров (давления начала кипения).
Д.2.1.7 Для контроля выполнения
условий (1) и
(2) перед регулятором давления устанавливают преобразователь давления с пределами допускаемой приведенной погрешности не более +/- 0,2%.
Д.2.1.8 Максимальные и минимальные значения измеряемых параметров должны перекрываться диапазонами СИ: рекомендуется, чтобы максимальному значению измеряемого параметра соответствовало приблизительно 90% верхнего предела измерений СИ; минимальное значение устанавливают с учетом предела допускаемой погрешности измеряемого параметра.
Д.2.1.9 Монтаж, эксплуатация и хранение СИ должны выполняться в соответствии с требованиями технической документации на используемые СИ.
Д.2.2 Измерительная часть БИК
Д.2.2.1 В измерительную часть БИК должны входить:
- ПР для контроля выполнения условия по скорости потока на входе в пробоотборный зонд
(Д.1.2.8), пределы относительной погрешности измерений объема не более +/- 2 %;
- преобразователи плотности поточные с пределами допускаемой абсолютной погрешности не более +/- 0,36 кг/м
3 (рабочий и контрольно-резервный) либо ареометр давления по
ГОСТ ISO 3993 с пределами допускаемой относительной погрешности измерений плотности не более +/- 0,42%;
- преобразователь давления с пределами допускаемой приведенной погрешности не более +/- 0,2%;
- манометр с пределами допускаемой приведенной погрешности не более +/- 0,6%;
- преобразователь температуры и термометр с пределами допускаемой абсолютной погрешности не более +/- 0,3 °C.
Д.2.2.2 Дополнительно в состав БИК могут входить:
- хроматограф, значения показателей прецизионности результатов измерений содержания компонентов продукта должны соответствовать требованиям
ГОСТ 10679;
- СИ показателей качества;
- дифференциальный манометр.
Состав средств измерений показателей качества регламентируется техническими условиями на данный вид продукта или нормативными документами, указанными в технических условиях. Выбор СИ показателей качества выполняют на стадии проектирования с учетом:
- возможности использования поточных СИ;
- степени изменения состава продукта стечением времени;
- сравнительной стоимости реализации способа измерений;
- требуемого уровня автоматизации способа измерений;
- требуемого уровня автоматизации измерений.
Д.2.2.3 Преобразователи давления и температуры в месте размещения поточного плотномера устанавливают с целью определения поправок на плотность и/или оценки дополнительной погрешности, обусловленных разницами давлений и температур в местах размещения ПР и подключения плотномера.
Д.2.2.4 При необходимости повышения точности определения разницы давлений в местах размещения ПР и подключения плотномера целесообразно использовать дифференциальный манометр.
Д.2.3 Дополнительные СИ в измерительной части СИКП
Д.2.3.1 СИ массы паровой фазы продукта устанавливаются на линии выравнивания давления, если измерения массы жидкой фазы продукта осуществляются при заполнении или опорожнении меры вместимости или меры полной вместимости. Измерение массы продукта должно осуществляться по методике выполнения измерений, аттестованной в соответствии с
ГОСТ 8.010.
Д.2.3.2 Поверочная установка или компакт-прувер с пределами допускаемой относительной погрешности не более +/- 0,10%.
Д.2.3.3 Преобразователь температуры с пределами допускаемой абсолютной погрешности не более +/- 0,3 °C на входе и выходе ПУ.
Д.2.3.4 Преобразователь давления с пределами приведенной погрешности +/- 0,2% на входе и выходе ПУ.
Д.2.3.5 Манометр с пределами допускаемой приведенной погрешности не более +/- 0,6%.
Д.2.3.6 Термометр стеклянный с пределами допускаемой абсолютной погрешности не более +/- 0,3 °C.
Д.2.3.7 Поточный преобразователь плотности с пределами допускаемой абсолютной погрешности не более +/- 0,36 кг/м3 (допускается не включать в состав ПУ, если поточный преобразователь плотности установлен в БИК).
Д.3 Система обработки информации
СОИ должна обеспечивать выполнение следующих функций:
Д.3.1 Обработку сигналов, поступающих от измерительных преобразователей параметров продукта и его потока.
Д.3.2 Автоматизированное измерение массы продукта, формирование оперативных (двухчасовых) отчетов, а также формирование отчетных документов по приему-сдаче партии продукта.
Д.3.3 Автоматизированное выполнение операций поверки и КМХ с формированием протоколов.
Д.3.4 Отображение и регистрацию измерительной и технологической информации:
- просмотр в реальном масштабе времени режимов работы ИЛ и измерительных преобразователей;
- просмотр пределов измеряемых величин;
- просмотр констант и коэффициентов СИ;
- автоматическое построение, отображение и печать графиков измеряемых величин (трендов);
- оповещение персонала о нарушениях технологического режима и аварийных ситуациях (вывод сообщения на экран, подача звукового сигнала, вывод на печать);
- регистрацию событий в журнале событий.
Д.3.5 Автоматизированное управление и технологический контроль за работой оборудования:
- установку режимов работы ИЛ и измерительных преобразователей БИК;
- управление задвижками;
- управление пробоотборниками.
Д.3.6 Архивирование данных и сохранение отчетных документов о сдаче продукта не менее одного года.
Д.3.7 Печать отчетных документов, журналов событий, протоколов поверки и контроля.
Д.3.8 Защиту информации и алгоритмов обработки информации от несанкционированного доступа.
Д.3.9 СОИ должна иметь резервирование и систему бесперебойного питания. Пределы относительной погрешности СОИ при расчете массы продукта должна быть не более +/- 0,05%.
(рекомендуемое)
К СРЕДСТВАМ ИЗМЕРЕНИЙ И ОБОРУДОВАНИЮ В СОСТАВЕ
СИКП ПРИ ИЗМЕРЕНИИ МАССЫ ПРОДУКТА ПРЯМЫМ МЕТОДОМ
СТАТИЧЕСКИХ ИЗМЕРЕНИЙ
Е.1 Технологическая часть СИКП при измерении массы продукта прямым методом статических измерений
Е.1.1 В технологическую часть должны входить:
- железнодорожные цистерны или автоцистерны;
- эстакада для осмотра и подготовки цистерн под налив, на которой производится проверка исправности и герметичности предохранительной, сливо-наливной и контрольной арматуры, также наличие остаточного давления и неиспаряющихся остатков в цистерне;
- сливо-наливные эстакады;
- сливо-наливные устройства.
Е.1.2 В состав эстакады для осмотра и подготовки цистерн под налив должны входить:
- коллектор инертного газа;
- коллектор водяного пара;
- дренажный коллектор.
Е.1.3 В состав сливо-наливной эстакады должны входить:
- сливо-наливные коллекторы жидкой фазы продукта;
- факельный коллектор;
- коллектор инертного газа;
- коллектор водяного пара;
- коллекторы газоуравнительных систем для каждого вида сливаемого или наливаемого продукта.
Коллектор водяного пара может не предусматриваться при обосновании технологической части проекта.
Е.1.4 В состав сливо-наливного устройства должны входить:
- трубопровод жидкой фазы продукта;
- трубопровод паровой фазы;
- трубопровод сброса на факел;
- трубопровод инертного газа (для обеспечения избыточного давления в цистерне до 0,07 МПа).
Подключение всех трубопроводов сливо-наливного устройства к соответствующим коллекторам эстакады осуществляется через запорную арматуру. На трубопроводе инертного газа в составе каждого сливо-наливного устройства дополнительно должен быть установлен обратный клапан.
Е.1.5 Подвод инертного газа или пара к трубопроводам для продувки или пропарки необходимо проводить с помощью съемных участков трубопроводов или гибких шлангов с установкой запорной арматуры с обеих сторон съемного участка. По окончании продувки эти участки трубопроводов или шланги должны быть сняты, а на запорной арматуре установлены заглушки.
Е.1.6 При проектировании новых и реконструкции действующих сливо-наливных эстакад продукта должна быть предусмотрена компрессорная установка для утилизации продукта, находящегося в цистернах, перед подачей под налив и для снижения в цистерне избыточного давления до 0,07 МПа после окончания слива продукта. В случае отсутствия компрессорной установки для утилизации продукта следует предусматривать на эстакадах подготовки цистерн под налив или слив жидкого продукта путем создания давления в цистерне.
Е.1.7 Для слива продукта из неисправных цистерн следует предусматривать отдельно расположенные стояки или эстакады с верхним и нижним сливом и при необходимости с коллекторами для сливаемых продуктов. В обоснованных случаях разрешается предусматривать стояки для слива продукта из неисправных цистерн непосредственно на сливо-наливных эстакадах.
Е.1.8 Коллекторы на сливо-наливных эстакадах должны иметь приспособления для освобождения от продукта путем сброса через специальную дренажную емкость с последующей перекачкой или передавливанием в резервуары или в цистерну на отгрузку.
Е.1.9 Наливные коллекторы продукта должны быть обеспечены предохранительными клапанами для закрытого сброса газа из коллекторов при его температурном расширении.
Е.1.10 На трубопроводах жидкой и паровой фаз продукта на участке от железнодорожных цистерн до отключающей задвижки должен быть установлен штуцер с вентилем для удаления остатков газа из рукавов в факельную систему.
Е.1.11 Трубопроводы слива продукта из цистерн должны быть оборудованы обратными клапанами. Обратные клапаны должны быть установлены в непосредственной близости от сливного устройства во избежание обратного хода продукта из коллектора.
Е.1.12 Дренажная система
Е.1.12.1 Дренажная система должна быть оснащена шаровыми кранами для перекрытия дренажных трубопроводов.
Е.1.12.2 Дренажная система должна быть закрытой, с уклоном трубопроводов не менее 0,002.
Е.1.13 Должна быть предусмотрена возможность компенсации тепловых деформаций, исключающая появление механических напряжений в трубопроводах.
Е.1.14 Дополнительно в технологическую часть могут входить:
- автоматические ограничители налива;
- коллектор водяного пара в составе сливо-наливной эстакады;
- фильтры;
- регулятор расхода на трубопроводе, через который осуществляется прием/отпуск жидкой фазы продукта.
При необходимости в состав технологической части СИКП могут быть включены другие блоки и технологические элементы.
Е.2 Измерительная часть СИКП при применении прямого метода статических измерений
Е.2.1 В измерительную часть СИКП должны входить:
| | ИС МЕГАНОРМ: примечание. В официальном тексте документа, видимо, допущена опечатка: имеется в виду ГОСТ OIML R 76-1-2011, а не ГОСТ OILM R 76-1-2011. | |
- весы для статического взвешивания III класса по
ГОСТ OILM R 76-1-2011 при выполнении измерений прямым методом статических измерений взвешиванием на весах расцепленных цистерн;
- весы для взвешивания транспортных средств в движении класса точности 0,2 по
ГОСТ 30414 при выполнении измерений прямым методом статических измерений взвешиванием на весах в движении цистерн без расцепки и составов из них.
Е.2.2 Дополнительно в измерительную часть СИКП (для контроля технологических параметров и обеспечения требований действующих правил безопасности) могут входить:
- преобразователь давления на трубопроводе жидкого продукта в составе сливо-наливного коллектора жидкой фазы продукта с пределами допускаемой приведенной погрешности не более +/- 0,5%;
- манометр на трубопроводе жидкого продукта в составе сливо-наливного коллектора жидкой фазы продукта с пределами допускаемой приведенной погрешности не более +/- 0,6%;
- преобразователь температуры и термометр на трубопроводе жидкого продукта в составе сливо-наливного коллектора жидкой фазы продукта с пределами допускаемой абсолютной погрешности не более +/- 0,3 °C;
- преобразователь давления на каждом коллекторе газоуравнительной системы в составе сливо-наливной эстакады с пределами допускаемой приведенной погрешности не более +/- 0,5%;
- манометр на каждом коллекторе газоуравнительной системы в составе сливо-наливной эстакады с пределами допускаемой приведенной погрешности не более +/- 0,6%.
При необходимости в состав измерительной части СИКП можно включать другие блоки и измерительные элементы.
Е.2.3 Вторичные приборы основных параметров потока и продукта следует размещать в отапливаемом помещении. При дистанционной передаче измеряемой величины измерительные преобразователи расхода и температуры, размещенные на ИЛ, должны находиться в укрытии или под навесом.
Е.2.4 Абсолютное давление определяют либо путем его непосредственного измерения с помощью преобразователя абсолютного давления, либо путем измерения с помощью преобразователя избыточного давления и барометра.
Е.2.5 Максимальные и минимальные значения измеряемых параметров должны перекрываться диапазонами СИ: рекомендуется, чтобы максимальному значению измеряемого параметра соответствовало приблизительно 90% верхнего предела измерений СИ; минимальное значение устанавливают с учетом предела допускаемой погрешности измеряемого параметра.
Е.2.6 Монтаж, эксплуатация и хранение СИ должны выполняться в соответствии с требованиями технической документации на используемые СИ.
Е.2.7 Измерение массы продукта должно осуществляться по методике выполнения измерений, аттестованной в соответствии с
ГОСТ 8.010.
Е.3 Система обработки информации
СОИ должна обеспечивать выполнение следующих функций:
Е.3.1 Обработку сигналов, поступающих от измерительных преобразователей параметров продукта и его потока.
Е.3.2 Автоматизированное измерение массы продукта, формирование отчетных документов по приему-сдаче партии продукта.
Е.3.3 Отображение и регистрацию измерительной и технологической информации:
- просмотр в реальном масштабе времени режимов работы сливо-наливного устройства и измерительных преобразователей;
- просмотр пределов измеряемых величин;
- просмотр констант и коэффициентов СИ;
- автоматическое построение, отображение и печать графиков измеряемых величин (трендов);
- оповещение персонала о нарушениях технологического режима и аварийных ситуациях (вывод сообщения на экран, подача звукового сигнала, вывод на печать);
- регистрацию событий в журнале событий.
Е.3.4 Автоматизированное управление и технологический контроль за работой оборудования:
- установку режимов слива-налива;
- управление задвижками;
- управление пробоотборниками.
Е.3.5 Архивирование данных и сохранение отчетных документов о сдаче продукта не менее одного года.
Е.3.6 Печать отчетных документов, журналов событий, протоколов поверки и контроля.
Е.3.7 Защиту информации и алгоритмов обработки информации от несанкционированного доступа.
Е.3.8 СОИ должна иметь резервирование и систему бесперебойного питания. Пределы относительной погрешности СОИ при расчете массы продукта должна быть не более +/- 0,05%.
(рекомендуемое)
К СРЕДСТВАМ ИЗМЕРЕНИЙ И ОБОРУДОВАНИЮ В СОСТАВЕ
СИКП ПРИ ИЗМЕРЕНИИ МАССЫ ПРОДУКТА КОСВЕННЫМ МЕТОДОМ
СТАТИЧЕСКИХ ИЗМЕРЕНИЙ И КОСВЕННЫМ МЕТОДОМ,
ОСНОВАННЫМ НА ГИДРОСТАТИЧЕСКОМ ПРИНЦИПЕ
Ж.1 Технологическая часть СИКП при измерении массы продукта косвенным методом статических измерений
Ж.1.1 В технологическую часть должны входить:
- резервуары с утвержденной градуировочной таблицей и свидетельством о поверке;
- трубопровод выравнивания давления паровой фазы;
- трубопровод налива продукта в резервуар;
- трубопровод слива продукта;
- трубопровод слива продукта и/или воды в дренажную емкость;
- трубопровод азота низкого давления;
- трубопровод сброса на свечу;
- запорная и предохранительная арматура;
- система отбора проб.
Ж.1.2 Горизонтальные и шаровые резервуары для продуктов, в которых возможно присутствие воды, должны быть оборудованы закрытой системой дренажа воды с установкой в днище сосуда донного незамерзающего клапана и внешними нагревательными устройствами в нижней части резервуара для обеспечения отвода воды при минусовых температурах воздуха. В качестве теплоносителя используются пар, паровой конденсат, горячая вода или негорючие, некоррозионные антифризы.
Ж.1.3 Коммуникации резервуарного парка должны обеспечивать возможность перекачки продукта в случае аварии из резервуаров одной группы в резервуары другой группы, а при наличии в резервуарном парке одной группы - из резервуара в резервуар, а также аварийные стравливания паров (газов) из резервуаров на факельную систему. Для аварийного освобождения резервуаров применяется запорная арматура с дистанционным управлением из мест, доступных для обслуживания в аварийных ситуациях, по месту установки и из помещения управления.
Ж.1.4 При отсутствии возможности перекачки продукта в случае аварии из одного резервуара в другой в проектах следует предусматривать аварийные емкости для приема продукта из резервуаров парка. Вместимость аварийных емкостей рассчитывается на единовременный слив продукта с одной технологической установки организации (максимальной по объему продукта).
Ж.1.5 Должны быть предусмотрены меры и средства для предотвращения вакуума в резервуарах, в том числе подача газа, инертного к хранящемуся продукту, термостатирование, автоматическое прекращение отбора продукта из резервуара при минимальном уровне этого продукта в резервуаре, соединение резервуаров уравнительными "дыхательными" трубопроводами и т.п.
Ж.1.6 На нагнетательном трубопроводе должна быть предусмотрена установка обратного клапана или другого устройства, предотвращающего перемещение транспортируемого продукта обратным ходом.
Ж.1.7 Для обеспечения ревизии и ремонта предохранительных клапанов до и после резервного и рабочего предохранительных клапанов должна быть установлена отключающая арматура с блокировочным устройством, исключающим возможность одновременного закрытия запорной арматуры на рабочем и резервном клапанах. Применение рычажных предохранительных клапанов не допускается.
Ж.1.8 Для улавливания жидкой фазы из газов (паров), сбрасываемых от предохранительных клапанов и аварийных ручных сбросов давления, в каждом резервуарном парке устанавливается отделитель жидкости (сепаратор). Общий коллектор однородных газов (паров), отходящих от предохранительных клапанов до и после сепаратора, должен прокладываться с уклоном в сторону отделителя жидкости (сепаратора).
Ж.1.9 При необходимости стационарной подводки азота к оборудованию резервуарного парка (резервуарам, насосам и т.п.) и трубопроводам для технологических нужд (создание азотной подушки, гашение вакуума и т.п.) на линии азота должны быть последовательно установлены манометр, запорная арматура и обратный клапан.
Ж.1.10 Для поддержания постоянного избыточного давления в процессе эксплуатации резервуаров при проектировании и создании резервуарных парков необходимо осуществлять:
- термостатирование паров продукта с автоматической регулировкой по температуре или давлению подачи теплоносителя (хладагента) в нагревательные (охладительные) устройства;
- устройство системы двух регулирующих клапанов, один из которых устанавливается на линии подачи азота и открывается при достижении минимально установленного рабочего давления, другой устанавливается на линии стравливания паров в топливную сеть предприятия или на факел и открывается при превышении давления в рабочем режиме.
Ж.1.11 При заполнении резервуара необходимо строго следить за установленным в нем уровнем жидкости. Резервуар должен быть заполнен не более 83% его объема.
Ж.1.12 Отбор проб из емкостей должен проводиться оператором, имеющим допуск на право отбора проб, под наблюдением химлаборанта и при соблюдении требований безопасности при выполнении газоопасных работ.
Ж.1.14 При необходимости в состав технологической части СИКП можно включать другие блоки и технологические элементы.
Ж.1.15 Технологическая часть СИКП должна соответствовать требованиям действующих правил безопасности.
Ж.2 Измерительная часть СИКП при применении косвенного метода статических измерений
Ж.2.1 В измерительную часть СИКП должны входить:
- не менее трех средств измерений уровня жидкой фазы продукта с пределами допускаемой абсолютной погрешности не более +/- 3 мм;
- средства измерений температуры жидкой фазы продукта с пределами допускаемой абсолютной погрешности не более +/- 0,3 °C;
- средства измерений температуры паровой фазы продукта с пределами допускаемой абсолютной погрешности не более +/- 0,3 °C;
- не менее двух независимых средств измерений давления с пределами допускаемой приведенной погрешности не более +/- 0,5%;
- средство измерений плотности жидкой фазы продукта (при выполнении измерений косвенным методом статических измерений): стационарный преобразователь плотности или ареометр давления по
ГОСТ ISO 3993, пределы допускаемой относительной погрешности измерений не более +/- 0,42%;
- средство измерений гидростатического давления жидкой фазы продукта (при выполнении измерений косвенным методом, основанным на гидростатическом принципе) с пределами допускаемой приведенной погрешности не более +/- 0,15%.
При необходимости в состав измерительной части СИКП могут быть включены другие блоки и измерительные элементы.
Ж.2.2 Резервуар должен иметь свидетельство о поверке и утвержденную градуировочную таблицу.
Ж.2.3 Вторичные приборы основных параметров продукта следует размещать в отапливаемом помещении. При дистанционной передаче измеряемой величины измерительные преобразователи уровня, давления и температуры, размещенные на резервуаре, должны находиться в укрытии или под навесом.
Ж.2.4 Абсолютное давление определяют либо путем его непосредственного измерения с помощью преобразователя абсолютного давления, либо путем измерения с помощью преобразователя избыточного давления и барометра.
Ж.2.5 Максимальные и минимальные значения измеряемых параметров должны перекрываться диапазонами СИ: рекомендуется, чтобы максимальному значению измеряемого параметра соответствовало приблизительно 90% верхнего предела измерений СИ; минимальное значение устанавливают с учетом предела допускаемой погрешности измеряемого параметра.
Ж.2.6 Монтаж, эксплуатация и хранение СИ должны выполняться в соответствии с требованиями технической документации на используемые СИ.
Ж.2.7 Измерение массы продукта должно осуществляться по методике выполнения измерений, аттестованной в соответствии с
ГОСТ 8.010.
Ж.3 Система обработки информации
СОИ должна обеспечивать выполнение следующих функций:
Ж.3.1 Обработку сигналов, поступающих от измерительных преобразователей параметров продукта.
Ж.3.2 Автоматизированное измерение массы продукта, формирование отчетных документов по приему-сдаче партии продукта.
Ж.3.3 Отображение и регистрацию измерительной и технологической информации:
- просмотр в реальном масштабе времени режимов работы сливо-наливного устройства и измерительных преобразователей;
- просмотр пределов измеряемых величин;
- просмотр констант и коэффициентов СИ;
- автоматическое построение, отображение и печать графиков измеряемых величин (трендов);
- оповещение персонала о нарушениях технологического режима и аварийных ситуациях (вывод сообщения на экран, подача звукового сигнала, вывод на печать);
- регистрацию событий в журнале событий.
Ж.3.4 Автоматизированное управление и технологический контроль за работой оборудования:
- установку режимов слива-налива;
- управление задвижками;
- управление пробоотборниками.
Ж.3.5 Архивирование данных и сохранение отчетных документов о сдаче продукта не менее одного года.
Ж.3.6 Печать отчетных документов, журналов событий, протоколов поверки и контроля.
Ж.3.7 Защиту информации и алгоритмов обработки информации от несанкционированного доступа.
Ж.3.8 СОИ должна иметь резервирование и систему бесперебойного питания. Пределы относительной погрешности СОИ при расчете массы продукта должны быть не более +/- 0,05%.
(рекомендуемое)
ПРИМЕРЫ СХЕМ СИКП ПРИ ВЫПОЛНЕНИИ ИЗМЕРЕНИЙ ПРЯМЫМ
И КОСВЕННЫМ МЕТОДАМИ ДИНАМИЧЕСКИХ ИЗМЕРЕНИЙ
Примечание - УПП устанавливается при необходимости.
Рисунок И.1 - Прямой и косвенный методы
динамических измерений (пример 1)
Примечание - УПП устанавливается при необходимости.
Рисунок И.2 - Прямой и косвенный методы
динамических измерений (пример 2)
(рекомендуемое)
ПРИМЕР СХЕМЫ СИКП ПРИ ВЫПОЛНЕНИИ ИЗМЕРЕНИЙ КОСВЕННЫМ
МЕТОДОМ СТАТИЧЕСКИХ ИЗМЕРЕНИЙ И КОСВЕННЫМ МЕТОДОМ,
ОСНОВАННЫМ НА ГИДРОСТАТИЧЕСКОМ ПРИНЦИПЕ
--------------------------------
<*> При выполнении измерений косвенным методом статических измерений.
<**> При выполнении измерений косвенным методом, основанным на гидростатическом принципе.
Рисунок К.1 - Косвенный метод статических измерений
и косвенный метод, основанный на гидростатическом принципе
| | Государственная система обеспечения единства измерений. Метрология. Основные термины и определения |
| | Государственная система обеспечения единства измерений. Порядок проведения испытаний средств измерений в целях утверждения типа |
| | Идельчик И.Е. Справочник по гидравлическим сопротивлениям. М.: Машиностроение, 1992 |
| ASTM D 3700:2014 | Стандартное руководство по отбору проб сжиженных нефтяных газов с использованием цилиндра с плавающим поршнем |
УДК 53089.2:531.751.3:006.354 | |
Ключевые слова: система измерений количества и показателей качества продукта, СИКП, нестабильный газовый конденсат, сжиженные углеводородные газы, широкая фракция легких углеводородов |