Главная // Актуальные документы // ГОСТ (Государственный стандарт)СПРАВКА
Источник публикации
М.: Стандартинформ, 2016
Примечание к документу
Документ включен в
Перечень международных и региональных (межгосударственных) стандартов, а в случае их отсутствия - национальных (государственных) стандартов, в результате применения которых на добровольной основе обеспечивается соблюдение требований технического
регламента Таможенного союза "О безопасности машин и оборудования" (ТР ТС 010/2011) и в
Перечень международных и региональных (межгосударственных) стандартов, а в случае их отсутствия - национальных (государственных) стандартов, содержащих правила и методы исследований (испытаний) и измерений, в том числе правила отбора образцов, необходимые для применения и исполнения требований технического
регламента Таможенного союза "О безопасности машин и оборудования" (ТР ТС 010/2011) и осуществления оценки соответствия объектов технического регулирования (
Решение Коллегии Евразийской экономической комиссии от 09.03.2021 N 28).
Документ
введен в действие с 01.07.2017.
Название документа
"ГОСТ EN 1539-2015. Межгосударственный стандарт. Машины и оборудование полиграфическое. Устройства сушильные и печи, в которых выделяются горючие вещества. Требования безопасности"
(введен в действие Приказом Росстандарта от 06.10.2016 N 1320-ст)
"ГОСТ EN 1539-2015. Межгосударственный стандарт. Машины и оборудование полиграфическое. Устройства сушильные и печи, в которых выделяются горючие вещества. Требования безопасности"
(введен в действие Приказом Росстандарта от 06.10.2016 N 1320-ст)
по техническому регулированию
и метрологии
от 6 октября 2016 г. N 1320-ст
МЕЖГОСУДАРСТВЕННЫЙ СТАНДАРТ
МАШИНЫ И ОБОРУДОВАНИЕ ПОЛИГРАФИЧЕСКОЕ
УСТРОЙСТВА СУШИЛЬНЫЕ И ПЕЧИ, В КОТОРЫХ ВЫДЕЛЯЮТСЯ
ГОРЮЧИЕ ВЕЩЕСТВА
ТРЕБОВАНИЯ БЕЗОПАСНОСТИ
Graphic technology machinery. Dryers and ovens, in which
flammable substances are released. Safety requirements
(EN 1539:2009, Dryers and ovens, in which flammable
substances are released. Safety requirements, IDT)
ГОСТ EN 1539-2015
Дата введения
1 июля 2017 года
Цели, основные принципы и основной порядок проведения работ по межгосударственной стандартизации установлены в
ГОСТ 1.0-2015 "Межгосударственная система стандартизации. Основные положения" и
ГОСТ 1.2-2015 "Межгосударственная система стандартизации. Стандарты межгосударственные, правила и рекомендации по межгосударственной стандартизации. Правила разработки, принятия, обновления и отмены"
1 ПОДГОТОВЛЕН Закрытым акционерным обществом "Научно-исследовательский институт полиграфического машиностроения" на основе собственного перевода на русский язык англоязычной версии стандарта, указанного в
пункте 5
2 ВНЕСЕН Межгосударственным техническим комитетом по стандартизации МТК 237 "Оборудование полиграфическое"
3 ПРИНЯТ Межгосударственным советом по стандартизации, метрологии и сертификации (протокол от 27 октября 2015 г. N 81-П)
За принятие проголосовали:
Краткое наименование страны по МК (ИСО 3166) 004-97 | Код страны по МК (ИСО 3166) 004-97 | Сокращенное наименование национального органа по стандартизации |
Армения | AM | Минэкономики Республики Армения |
Беларусь | BY | Госстандарт Республики Беларусь |
Киргизия | KG | Кыргызстандарт |
Россия | RU | Росстандарт |
Таджикистан | TJ | Таджикстандарт |
Украина | UA | Минэкономразвития Украины |
4
Приказом Федерального агентства по техническому регулированию и метрологии от 6 октября 2016 г. N 1320-ст межгосударственный стандарт ГОСТ EN 1539-2015 введен в действие в качестве национального стандарта Российской Федерации с 1 июля 2017 г.
5 Настоящий стандарт идентичен европейскому региональному стандарту EN 1539:2009 "Сушильные устройства и печи, в которых выделяются горючие вещества. Требования безопасности" ("Dryers and ovens, in which flammable substances are released. Safety requirements", IDT).
Европейский региональный стандарт разработан европейским техническим комитетом CEN/TC 271 "Оборудование для обработки и отделки поверхности. Безопасность".
Официальные экземпляры европейского регионального стандарта, на основе которого подготовлен настоящий стандарт, и европейских региональных стандартов, на которые даны ссылки, имеются в Федеральном агентстве по техническому регулированию и метрологии.
Наименование настоящего стандарта изменено относительно наименования указанного европейского регионального стандарта для приведения в соответствие с ГОСТ 1.5
(подраздел 3.6).
При применении настоящего стандарта рекомендуется использовать вместо ссылочных международных стандартов соответствующие им межгосударственные стандарты, сведения о которых приведены в дополнительном
приложении ДА
6 ВВЕДЕН ВПЕРВЫЕ
7 В настоящем стандарте возможно наличие некоторых элементов, которые могут быть предметом запатентованных прав. CEN и/или CENELEC, а также Росстандарт и МГС не несут ответственности за выявление части или всех таких прав
Информация об изменениях к настоящему стандарту публикуется в ежегодном информационном указателе "Национальные стандарты" (по состоянию на 1 января текущего года), а текст изменений и поправок - в ежемесячном информационном указателе "Национальные стандарты". В случае пересмотра (замены) или отмены настоящего стандарта соответствующее уведомление будет опубликовано в ежемесячном информационном указателе "Национальные стандарты". Соответствующая информация, уведомление и тексты размещаются также в информационной системе общего пользования - на официальном сайте Федерального агентства по техническому регулированию и метрологии в сети Интернет
Цель разработки настоящего стандарта, содержащего идентичный текст европейского регионального стандарта EN 1539:2009, предоставить конструкторам, изготовителям оборудования и другим заинтересованным сторонам общие требования и рекомендации по обеспечению безопасности сушильных устройств и печей, в которых выделяются горючие вещества, гармонизированные с соответствующими требованиями европейских региональных и международных стандартов, способствовать выполнению важнейших требований технического
регламента "О безопасности машин и оборудования" (ТР ТС 010/2011) и Директив ЕС 98/37/ЕС и ЕС
2006/42/ЕС. О взаимосвязи с Директивами ЕС см. справочные
приложения ZA и
ZB настоящего стандарта.
Настоящий документ является стандартом типа C по EN ISO 12100:2010.
Оборудование, на которое распространяется действие настоящего стандарта и относящиеся к нему опасности, опасные ситуации и события, указаны в области применения настоящего стандарта. Для машин, сконструированных и изготовленных в соответствии с положениями настоящего стандарта типа C, применяется следующее правило: если положения настоящего стандарта отличаются от положений, установленных в стандартах типа A или B, то положения настоящего стандарта превосходят по важности соответствующие требования других стандартов.
Настоящий стандарт распространяется на сушильные устройства и печи, в которых выделяются горючие вещества при испарении и отверждении материалов покрытий. В настоящем стандарте рассматриваются все существенные опасности, опасные ситуации и опасные события, относящиеся к соответствующим сушильные устройства и печам при их использовании по назначению и в условиях, предусмотренных изготовителем (см.
раздел 4).
Настоящий стандарт не должен применяться к:
- сушильным устройствам и печам, в которых горючие вещества выделяются при испарении или отверждении материалов покрытий, в которых концентрация таких горючих веществ ни при каких обстоятельствах не должна превышать 3% НКПВ;
Примечание - Эти машины рассматриваются в EN 746-1 и EN 746-2;
- комбинированным камерам для напыления и сушки;
Примечание - Эти машины рассматриваются в EN 13355.
- печам для закалки металлов;
- агломерационным печам;
- оборудованию для обжига эмали;
- переносным нагревательным устройствам для сушки (например, радиационная инфракрасная сушка, вентиляторный воздухонагреватель, воздушные сушильные устройства-фены);
- оборудованию для производства фармацевтических изделий;
- пищевому оборудованию.
Для применения настоящего стандарта необходимы следующие ссылочные стандарты. Для датированных ссылок применяют только указанное издание ссылочного стандарта. Для недатированных ссылок применяют последнее издание ссылочного стандарта (включая все его изменения).
EN 547-1:1996+A1:2008, Safety of machinery - Human body requirements - Part 1: Principles for determining the dimensions required for openings for holebody access into machinery (Безопасность машин. Размеры тела человека. Часть 1. Принципы определения размеров проемов, обеспечивающих полный доступ человека к машине)
EN 619:2001+A1:2010, Continuous handling equipment and systems - Safety and EMC requirements for equipment for mechanical handling of unit loads (Системы и оборудование для непрерывной транспортировки. Требования по безопасности и электромагнитной совместимости к оборудованию для механической транспортировки грузовых единиц)
EN 746-1:1997+A1:2009, Industrial thermoprocessing equipment. Part 1. Common safety requirements for industrial thermoprocessing equipment (Оборудование термообрабатывающее промышленное. Часть 1. Общие требования безопасности)
EN 746-2:2010, Industrial thermoprocessing equipment. Part 2. Safety requirements for combustion and fuel handling systems (Оборудование термообрабатывающее промышленное. Часть 2. Требования безопасности к топкам и топливопроводящим системам)
EN 953:1997+A1:2009, Safety of machinery - General requirements for the design and construction of fixed and movable guards (Безопасность машин. Съемные защитные устройства. Общие требования по конструированию и изготовлению неподвижных и перемещаемых защитных устройств)
EN 1037:1995+A1:2008, Safety of machinery - Prevention of unexpected start-up (Безопасность машин. Предотвращение неожиданного пуска)
EN 1127-1:2007, Explosive atmospheres - Explosion prevention and protection - Part 1: Basic concepts and methodology (Взрывоопасные среды. Взрывозащита и предотвращение взрыва. Часть 1. Основополагающая концепция и методология)
EN 12198-1:2000+A1:2008, Safety of machinery - Assessment and reduction of risks arising from radiation emitted by machinery - Part 1. General principle (Безопасность машин. Оценка и снижение рисков, возникающих от излучения, исходящего от оборудования. Часть 1. Основные принципы)
EN 12198-2:2002+A1:2008, Safety of machinery - Assessment and reduction arising from radiation emitted by machinery - Part 2: Radiation emission measurement procedure (Безопасность машин. Оценка и снижение рисков, возникающих от излучения, исходящего от оборудования. Часть 2. Методика измерения излучения)
EN 12433-1:1999, Industrial, commercial and garage doors and gates - Terminology - Part 1: Types of doors (Двери и ворота для производственных и торговых зданий и гаражей. Терминология. Часть 1. Типы конструкций дверей)
EN 12433-2:1999, Industrial, commercial and garage doors and gates - Terminology - Part 2: Parts of doors (Двери и ворота для производственных и торговых зданий и гаражей. Терминология. Часть 2. Строительные элементы дверей)
EN 12445:2000, Industrial, commercial and garage doors and gates - Safety in use of power operated doors - Test methods (Двери и ворота для производственных и торговых зданий и гаражей. Безопасность при использовании дверей с механическим приводом. Методы испытаний)
EN 12453:2000, Industrial, commercial and garage doors and gates - Safety in use of power operated doors - Requirements (Двери и ворота для производственных и торговых зданий и гаражей. Безопасность при использовании дверей с механическим приводом. Требования)
EN 12635:2002+A1:2008, Industrial, commercial and garage doors and gates - Installation and use (Двери и ворота для производственных и торговых зданий и гаражей. Монтаж и эксплуатация)
EN 12978:2003+A1:2009, Industrial, commercial and garage doors and gates - Safety devices for power operated doors and gates - Requirements and test methods (Двери и ворота для производственных и торговых зданий и гаражей. Устройства безопасности при использовании дверей с механическим приводом. Требования и методы испытаний)
EN 13023:2003+A1:2010, Noise measurement methods for printing, paper converting, paper making machines and auxiliary equipment. Accuracy grades 2 and 3 (Методы определения шумовых характеристик полиграфического, бумагоперерабатывающего и бумагоделательного оборудования. Степени точности 2 и 3)
EN 13463-1:2009, Nonelectrical equipment for potentially explosive atmospheres - Part 1: Basic method and requirements (Оборудование неэлектрическое, предназначенное для применения в потенциально взрывоопасных средах. Часть 1. Общие требования)
EN 13478:2001+A1:2008, Safety of machinery - Fire prevention and protection (Безопасность машин. Предупреждение и защита от пожара)
EN 13501-1:2007+A1:2009, Fire classification of construction products and building elements - Part 1: Classification using data from reaction to fire tests (Классификация конструкций и элементов зданий по огнестойкости. Часть 1. Классификация на основании результатов испытаний на огнестойкость)
EN 14462:2005+A:1+2009, Surface treatment equipment - Noise test code for surface treatment equipment including its ancillary handling equipment - Accuracy grades 2 and 3 (Оборудование для обработки поверхности. Испытательный код по шуму для оборудования для обработки поверхности, включая ручное вспомогательное оборудование. Степени точности 2 и 3)
EN 14994:2007, Gas explosion venting protective systems (Вентиляционные системы для защиты от взрыва газов)
EN 50104:2010, Electrical apparatus for the detection and measurement of oxygen - Performance requirements and test methods (Электрические приборы для обнаружения и измерения содержания кислорода. Требования к характеристикам и методы испытаний)
EN 60079-0:2006, Electrical apparatus for explosive gas atmospheres - Part 0: General requirements (Электрооборудование для взрывоопасных газовых сред. Часть 0. Общие требования)
EN 60079-29-1:2007, Explosive atmospheres - Part 29-1: Gas detectors - Performance requirements of detectors for flammable gases (Взрывоопасные среды. Часть 29-1. Газоанализаторы. Требования к эксплуатационным характеристикам газоанализаторов горючих газов)
EN 60204-1:1997, Safety of machinery - Electrical equipment of machines - Part 1: General equipments (Безопасность машин. Электрооборудование машин и механизмов. Часть 1. Общие требования)
EN 61000-6-2:2005, Electro-magnetic compatibility (EMC) - Part 6-2: Generic standards - Immunity for industrial environments [Электромагнитная совместимость (ЭМС). Часть 6.2. Общие стандарты. Помехоустойчивость для промышленных обстановок]
EN ISO 12100-1:2003, Safety of machinery - Basic concepts, general principle for design - Part 1: Basic terminology, methodology (Безопасность машин. Основные понятия, общие принципы конструирования. Часть 1. Основные термины, методология)
EN ISO 12100-2:2003, Safety of machinery - Basic concepts, general principle for design - Part 2: Technical principles (Безопасность машин. Основные понятия, общие принципы конструирования. Часть 2. Технические принципы)
EN ISO 13732-1:2008, Ergonomics of the thermal environment - Methods for the assessment of human responses to contact with surfaces - Part 1: Hot surfaces (Эргономика термальной среды. Методы оценки реакции человека при контакте с поверхностями. Часть 1. Горячие поверхности)
EN ISO 13849-1:2008, Safety of machinery - Safety-related parts of control systems - Part 1: General principles for design (Элементы системы управления, связанные с безопасностью. Часть 1. Общие принципы конструирования)
EN ISO 14122-2:2001, Safety of machinery - Permanent means of access to machinery - Part 2: Working platforms and gang-ways (Безопасность машин. Средства доступа к машинам стационарные. Часть 2. Рабочие площадки и проходы)
EN ISO 14122-3:2001, Safety of machinery - Permanent means of access to machinery - Part 3: Stairways, stepladders, and guard-rails (Безопасность машин. Средства доступа к машинам стационарные. Часть 3. Лестницы и перила)
EN ISO 14122-4:2004+A1:2010, Safety of machinery - Permanent means of access to machinery - Part 4: Fixed ladders (Безопасность машин. Средства доступа к машинам стационарные. Часть 4. Лестницы вертикальные)
IEC 62598, Nuclear installations - Constructional requirements and classification of radiometric gauges (Приборы контрольно-измерительные ядерные. Требования к конструкции и классификация радиометрических приборов)
IEC 60519-1, Safety in electroheat installations - Part 1: General requirements (Безопасность электронагревательных установок. Часть 1. Общие требования)
IEC 60519-6, Safety in electroheat installations - Part 6: Specifications for safety in industrial microware heating equipment (Безопасность электронагревательных установок. Часть 6. Показатели безопасности промышленного микроволнового нагревательного оборудования)
3 Термины и определения <*>
--------------------------------
<*> В скобках после наименования термина на русском языке приведены наименования на английском (en) и немецком (de) языках.
В настоящем стандарте применены термины и определения, приведенные в EN ISO 12100-1:2003, а также следующие термины и определения.
3.1 устройство сушильное (dryer; Trockner): Устройство, в котором при испарении или отверждении выделяются горючие вещества.
3.2 устройство сушильное камерное (chamber dryer; Kammertrockner): Закрытое сушильное устройство, загружаемое определенными партиями.
3.3 устройство сушильное непрерывного действия (поточного типа) <**> (continuous flow drying; Durchlauftrockner): Сушильное устройство с отверстиями (проемами), через которое обрабатываемые материалы могут непрерывно вводиться и выводиться (перемещаться).
--------------------------------
<**> Включая сушильные устройства, работающие в составе поточных линий или встроенные в технологическое оборудование (например, печатные машины).
Примечание - Такие сушильные устройства могут быть разделены на секции (камеры) для того, чтобы можно было оказывать воздействие на отдельные этапы процесса сушки.
3.4 устройство сушильное с доступом (accessible dryer; begehbarer Trockner): Сушильное устройство, в котором предусмотрено присутствие персонала в процессе применения сушильного устройства по назначению.
3.5
устройство сушильное типа A (type A-dryer; Trockner Type A): Сушильное устройство, спроектированное и изготовленное таким образом, чтобы концентрация горючих веществ в любой части общего объема сушильного устройства была ниже предельных значений предельно допустимой концентрации горючих веществ, приведенных на
рисунке 1.
3.6 устройство сушильное типа B (type B-dryer; Trockner Type B): Сушильное устройство, спроектированное и изготовленное таким образом, чтобы образование опасных взрывоопасных смесей предотвращалось в любой части сушилки ограничением концентрации кислорода.
3.7 процесс сушки (drying; Trocknung): Процесс испарения или испарительного переноса летучих компонентов материалов для печати и покрытий и высушиваемых изделий, а также отверждение печатного изображения и материалов покрытий.
3.7.1 процесс сушки лаковых покрытий форм (mould varnish drying; Formlacktrocknung): Процесс сушки покрывных лаков литейных форм и литейных стержней, в котором летучие компоненты имеют больший путь перемещения к поверхности (в пределах от нескольких мм до одного см) по сравнению с процессом сушки поверхности покрытой части, которая должна быть высушена (в пределах нескольких мкм).
3.7.2
процесс сушки смоляного лака (resin varnish drying;

): Процесс сушки изделий, пропитанных смоляными веществами (пропитывающей смолой или смоляным лаком), в котором летучие компоненты имеют больший путь перемещения к поверхности (в пределах нескольких см) по сравнению с процессом сушки поверхности покрытой части, которая должна быть высушена (в пределах нескольких мкм).
3.8
отверждение (curing;

): Превращение жидких или пастообразных печатных или кроющих материалов или порошкообразных покрытий в готовую твердую пленку (слой).
Примечание - Этот процесс известен так же как затвердевания посредством отверждения или сушки.
3.9 горючие вещества (ГВ) (flammable substances; brennbare Stoffe): Преимущественно летучие органические соединения (VOC). Это могут быть газы, испарения, жидкости, твердые вещества; или их смеси, способные вступать в экзотермические реакции с воздухом при воспламенении (горении).
[EN 12327:2003, 3.48]
Примечание 1 - Горючими веществами могут быть растворители легковоспламеняющиеся или медленно горящие, например, альдегиды, спирты, углеводороды, сложные эфиры, кетоны, минеральные масла, а также смеси этих веществ.
Примечание 2 - Смесями, содержащими растворители, могут быть материалы для печатания и покрытий, например, краски, лаки.
Примечание 3 - Растворители также используются как чистящие или смывочные вещества и могут попадать в сушильные устройства.
Примечание 4 - В настоящем стандарте термины "горючий" и "воспламеняющийся" являются эквивалентами.
3.10 выделяющиеся горючие вещества (released flammable substances; freigesetzte brennbare Stoffe): Газы и пары, выделяющиеся в процессе сушки, которые могут образовывать взрывоопасную смесь с воздухом.
3.11 материал покрытия (coating material; Beschichtungsstoffe): Материал в жидком, пастообразном или порошкообразном виде, который будучи нанесенным на материал образует пленку, обладающую защитными, декоративными или другими свойствами.
[EN ISO 4618:2006]
Примечание 1 - Обычно материалы покрытия состоят из связующих веществ, пигментов, красителей, наполнителей и прочих добавок. Кроме того, жидкие материалы покрытий могут содержать растворители.
Примечание 2 - Материалами покрытий являются, например, краски, лаки, пропитывающие смоляные лаки, склеивающие наполнители, грунтовки, пропитывающие вещества, противошумные добавки, красители, полирующие вещества, короткое волокно (ворс) для отделки, связующие вещества, герметики, а также порошковые покрытия.
3.12
температура сушки (drying temperature; Trocknungstemperatur): Самая высокая температура нагреваемой среды (воздух или газ внутри общего объема сушильного устройства), находящейся в контакте с обрабатываемыми материалами и материалами для печати или покрытий в процессе сушки.
3.13
температура воспламенения горючих газов или горючих жидкостей [ignition temperature combustible gases or combustible liquids;

(eines brennbare Gases oder einer brennbaren

)]: Наименьшее значение температуры горячей поверхности, при которой происходит воспламенение горючих веществ в виде смеси газа или паров с воздухом при установленных условиях испытаний.
[EN 13237:2003, 3.66]
3.14
температура возгорания (flammability temperature;

): Наименьшая температура, при которой могут быть обнаружены признаки горения на материалах с покрытием и без покрытий.
Примечание - Температура возгорания материала является показателем безопасности, в котором непрерывное горение может быть вызвано в специальных условиях испытаний. Этот показатель может быть установлен для горючих твердых веществ, например бумаги и подобных основ и их покрытий. Признаками горения является пламя, тление и пирогенные симптомы.
3.15 предельно допустимая температура (limiting temperature; Grenztemperatur):
соответствует наименьшему значению следующих величин:
- температуре возгорания (см.
3.14); или
- 0,8 температуры воспламенения (см.
3.13)
Примечание - см. 6.4.2 EN 1127-1:2007
3.16 нижний предел воспламенения [lower explosion limit (LEL); untere Explosions-grenze (UEG)]: Нижний концентрационный предел диапазона воспламенения (НКПВ).
Примечание 1 - Термины "предел взрываемости" (explosion limit) и "предел воспламеняемости" (ignition limit) являются эквивалентами. В соответствии с международной практикой в стандартах используется только термин "explosion limit". См. EN 13237 (пункт 3.74).
Примечание 2 - Пределы воспламенения (explosion limits) являются пределами диапазона воспламенения. Диапазон воспламенения - это диапазон концентрации горючего вещества в воздухе, в пределах которого может произойти воспламенение. См. EN 13237:2003 (пункт 3.33).
3.17
взрывоопасная смесь (explosive mixture;

Gemisch): Смесь воздуха и горючих веществ в виде газов, паров, тумана или пыли, в которой после воспламенения горение распространяется на всю несгоревшую смесь.
Примечание - Взрывоопасная среда - это взрывоопасная смесь при атмосферных условиях (см. EN 13237:2003, пункты 3.37 и 3.38).
3.18
опасная взрывоопасная смесь (hazardous explosive mixture;

Gemisch): Взрывоопасная смесь, которая при взрыве причиняет ущерб.
3.19 нормальный режим эксплуатации (normal operation; Normalbetrieb): Режим работы, при котором сушильное устройство, системы защиты и компоненты выполняют свою заданную функцию в пределах расчетных параметров.
Примечание - При нормальном режиме работы допустимы незначительные выделения горючих материалов. Отказы (например, выход из строя уплотнений насоса, фланцевых прокладок или выделения горючих веществ, образующиеся в результате аварий), при которых возникает необходимость выполнения ремонта или отключения, не рассматриваются как нормальный режим работы.
3.20
требуемая объемная скорость выходящего потока (required exhaust flow rate; erforderlicher Abluftvolumenstorm): Регулируемая объемная скорость выходящего потока, поддерживающая концентрацию выделяющихся горючих веществ в пределах всего объема в любой момент времени ниже предельно допустимой их концентрации.
3.21 минимальная объемная скорость выходящего потока (minimal exhaust flow rate, Mindest-Abluftvolumenstorm): Постоянная величина объемной скорости выходящего потока, поддерживающая максимальную концентрацию выделяющихся горючих веществ в пределах всего объема ниже предельно допустимого уровня концентрации.
3.22
предельно допустимое количество выделяющихся горючих веществ (maximum admissible quantity of released flammable substances;

Menge freigesetzter brennbarer Stoffe): Максимальное количество горючих веществ, которое может выделиться внутри камерного сушильного устройства за одну загрузку, соответствующее минимальному уровню искусственной вентиляции и с учетом поправки на температуру сушки.
3.23
предельно допустимый ввод (загрузка) горючих веществ в единицу времени (maximum admissible throughput of released flammable substances;

Durchsatz brennbarer Stoffe): Максимальное количество горючих веществ в единицу времени, которое может быть введено (загружено) внутрь сушильного устройства непрерывного действия, соответствующее минимальной объемной скорости выходящего потока искусственной вентиляции и с учетом поправки на температуру сушки.
3.24
предельно допустимая концентрация горючих веществ (maximum admissible concentration of flammable substances;

Konzentration brennbarer Stoffe): Концентрация горючих веществ внутри общего объема сушильного устройства, которая не должна быть превышена.
3.25
общий объем сушильного устройства (total space; Gesamtdampfraum): Общий объем внутри сушильного устройства, где могут содержаться горючие вещества.
Примечание 1 - Общий объем сушильного устройства включает также вентиляцию секций (одной или нескольких), системы рециркуляции сушильного устройства и концы вытяжных патрубков сушильных устройств.
Примечание 2 - Общий объем сушильного устройства не включает загружаемые материалы, опорные приспособления, транспортирующие устройства, системы термической очистки, вытяжные трубы или другие трубопроводы между секциями или оборудованием.
3.26 полезный объем сушильного устройства (effective space; Nutzraum): Часть общего объема сушильного устройства, в которой могут быть загружены материалы, подлежащие сушке.
3.27 время основного испарения (main evaporation time; Hauptverdampfungszeit): Период времени, в течение которого выделилось основное количество горючих веществ.
3.28 количество загружаемых горючих веществ (charged quantity of flammable substances; eingebrachte Menge an brennbaren Stoffe): Максимальное количество горючих веществ, введенных в течение процесса сушки в камерное сушильное устройство за одну загрузку.
Примечание - Эта величина может быть определена количеством нанесенных кроющих материалов и содержанием горючих веществ с учетом потерь перед сушкой.
3.29 потеря (выделение) горючих веществ до сушильного устройства (pre-drying loss; Vortrocknungsverlust): Уменьшение количества выделяющихся горючих веществ в результате сушки на воздухе до того как покрытый материал загружен в сушильное устройство.
3.30 максимальная скорость (интенсивность) выделения горючих веществ (peak release rate; Spitzen-Verdampfungsrate): Максимальное количество горючих веществ, выделяющихся внутри сушильного устройства в единицу времени.
Таблица 1
Перечень существенных опасностей
Опасные факторы | Местонахождение или обстоятельства возникновения опасности | Структурные элементы настоящего стандарта, устанавливающие соответствующие требования | Структурные элементы, устанавливающие общие требования в: |
EN ISO 12100-1:2003 | EN ISO 12100-2:2003 |
4.1 Общие положения | Настоящий раздел содержит все опасности, опасные ситуации и события (случаи), имеющие отношение к настоящему стандарту, идентифицированные путем оценки риска как существенные для данного типа оборудования и которые требуют принятия мер для устранения или уменьшения риска. Примечание - Информация по процедуре оценки риска содержится в EN ISO 14121-1 [10] | | 4.1 | 4, 5, 6 |
4.2 Механические опасности | - | | 4.2 | 4.1, 4.2, 4.6, 4.8, 4.10, 4.14, 5.1 - 5.3 |
4.2.1 Опасности рассечения (отрезания), раздавливания (придавливания) и затягивания/захвата незащищенными подвижными частями машины, частями с опасными поверхностями и частями с неконтролируемым движением | a) органы управления, грузоподъемные механизмы, автоматизированные погрузочно-разгрузочные системы (например, роботы) в процессе загрузки и выгрузки сушильных устройств; b) системы подачи и транспортирования в сушильных устройствах непрерывного действия; c) вентиляторы (например, травмирование, при выбеге шкива вентилятора) и воздухозаборники; d) регулятор заслонки воздуховода; e) подвижные части сушильного устройства (например, двери, ворота, предохранительный кожух, верхние и нижние короба сушильного устройства непрерывного действия) | | 4.2.1, 4.2.2 | 4.1, 4.2.1, 4.6, 4.8, 4.10, 4.14, 5.1, 5.2, 5.3, 5.5.5 |
4.2.2 Отсутствие средств аварийного выхода для оператора в сушильных устройствах, в которых имеется возможность доступа | a) в случае, когда препятствия или преграды могут затруднить быстрое покидание оператором сушильного устройства при механической аварии или пожаре; b) в случае аварийного значительного понижения давления внутри сушильного устройства (например, при засорении воздухозаборника), вызывающего: 1) зажатие дверей в результате механической деформации конструкции сушильного устройства и/или 2) увеличение усилия открывания двери сверх возможностей человека | | | 5.5.3 |
4.2.3 Опасности поскальзывания, спотыкания, вывиха и падения | a) на вертикальных лестницах, проходах, рабочих площадках или лестницах, b) на решетках на уровне пола, c) на настилах, не обладающих свойством противоскольжения, d) в результате недостаточного освещения | | 4.10 | 4.2.1, 5.5.6 |
4.3 Электрические опасности | Поражение электрическим током (в результате прямого или косвенного контакта), вызываемое, например: a) частями, находящимися под напряжением, не изолированными по производственным условиям (например, на ИК-излучателях); b) частями, находящимися под напряжением при повреждении изоляции в результате контакта с растворителями или в результате механических воздействий | | 4.3 | |
4.4 Опасности термические | Ожоги и ошпаривания, вызываемые контактом с горячей средой, например, a) контактом с горячей поверхностью сушильного устройства; b) излучением нагревательных источников; c) пламенем, электрической дугой или взрывами, см. также 4.8 | | 4.4 | |
4.5 Опасности создаваемые шумом | Воздействие шума, потеря слуха и/или физиологическое воздействия, вызываемые излучением шума от: a) вентиляторов; b) высокой скорости воздушного потока в трубопроводах и оборудовании, c) приводов и транспортеров; d) резонансной вибрации; e) нагревательных печей | | 4.5 | 4.2.2, 4.3, 5.4.2 |
4.6 Опасности, создаваемые излучением | Существенные опасности для глаз в результате: a) инфракрасного излучения; b) излучения в оптическом диапазоне (видимого); c) ультрафиолетового излучения; d) микроволнового излучения; Существенные опасности для кожи в результате: e) инфракрасного излучения; f) ультрафиолетового излучения; g) микроволнового излучения. Существенные опасности для организма и органов в результате: h) микроволнового излучения; i) инфракрасного излучения; j) рентгеновского излучения; k) электронных лучей. Примечание - Дополнительную информацию о воздействии опасностей, вызываемых излучением, см. EN 12298-1, EN 12198-2 и EN 12198-3 | | 4.7 | 4.2.2, 4.3, 5.4.5 |
4.6.1 Опасности, создаваемые электромагнитными полями | Например: a) вызываемые горелками, содержащими металлы, воздействиями на кардиостимулятор, физиологическими воздействиями; b) в результате опасных неисправностей, например, коротких замыканий в электрических цепях обеспечения безопасности, защитных ограждений на доступе в опасные зоны, устройств предупредительной сигнализации, в результате помех, возникающих между токоведущими частями систем управления и систем безопасности | | 4.7 | 4.9 |
4.7 Опасности, вызываемые веществами, опасными для здоровья | Вызываемые сушильными устройствами с большой силой тока, например, индукционными сушильными устройствами. В случае проникновения опасных для здоровья жидкостей, газов, паров, аэрозолей, дыма и пыли в результате, например: a) всасывания опасных для здоровья жидкостей (например, кроющих материалов, растворителей, жидкостей гидравлических (рабочих) и теплоносителей) вступающих в контакт с кожей; b) вдыхания опасных для здоровья газов или паров, выделяющихся в процессе сушки (например, пары растворителей, окиси азота, озон); c) вдыхание токсичных газов и/или удушающих газов, выделяемых нагревательной системой (например, нагревающие газы, горючие газы); d) вдыхания опасных для здоровья газов и паров, выделяемых автоматической системой пожаротушения (например, CO2). | | 4.8 | 4.2.2, 4.3, 4.10, 5.4.4 |
| Вызываемые контактом с: a) нагревательными системами (например, пламенем горелки); b) горячими поверхностями (например, нагревательных систем, электрооборудования); или возгоранием горючих веществ под действием: c) искр, образовавшихся механическим путем (например, от вентиляторов и/или транспортеров); d) электростатических или атмосферных разрядов; e) электрических искр; f) сварки и другими источниками тепловой энергии (например, при техническом обслуживании). Примечание - Примерами горючих веществ являются: - материалы покрытий, растворители или разбавители; - высушиваемые изделия; - компоненты сушильных устройств; - конденсаты и отложения красок в теплоизоляции, углублениях (емкостях) для сбора конденсата, отводящих трубопроводах и фильтрах сушильного устройства; - топливо (горючие вещества), используемые в горелках нагревательных и сушильных систем; - горючие вещества, используемые для чистки | | 4.8 | 4.3 |
4.9 Опасности взрыва | В случае образования взрывоопасной смеси [в результате увеличения концентрации выделяющегося горючего вещества сверх нижнего предела воспламенения (НКПВ)] и при воспламенении от: a) нагревательной системы (например, от пламени горелки); b) горячих поверхностей (например, нагревательных систем, электрооборудования); c) искр, образовавшихся механическим путем (например, от вентиляторов и/или транспортеров); d) электростатических или атмосферных разрядов; e) электрических искр; f) сварки и других источников тепловой энергии (например, при техническом обслуживании). Примечание - Примерами выделяющихся горючих веществ являются: - пары растворителей и газовые выделения из материалов печатания и покрытий и высушиваемой продукции; - пары топлива и/или горючих продуктов нагревательной системы; - пары, выделяющиеся из отложений; - регулируемое количество/расход растворителя при смывке офсетной резинотканевой пластины и/или в | | 4.8 | 4.4 |
| других процессах; - добавление вручную (нерегулируемое) растворителя при смывке офсетной резинотканевой пластины и/или в других процессах; - топливные газы; - горючие отопительные газы | | | |
4.9.1 Неисправность или функциональное нарушение в системе управления (неожиданный пуск, неожиданное превышение установленных пределов | Превышение предельно допустимой концентрации горючих веществ в части общего объема в результате: a) снижения объемной скорости выходящего потока ниже минимально необходимого уровня; b) превышения предельно допустимой температуры; c) снижения ниже минимально необходимого уровня температуры в сушильных устройствах непрерывного действия; d) превышения предельно допустимой скорости транспортера; e) превышения предельно допустимого поступления (загрузки) горючих веществ вызываемого: f) неисправностью, неожиданным пуском или превышением установленных параметров нагревательной системы; g) неисправностью транспортера (например, сушильных устройств печатных машин, древесных материалов, перегрев высушиваемых изделий); h) неожиданным пуском или превышением скорости транспортера; i) сбоем искусственной вентиляции (включая рециркуляционный воздух); j) нарушением подачи | | | 4.4, 4.11.1 - 4.11.10, 4.12.1 - 4.12.3, 4.13, 4.14 |
| электроэнергии или/и k) отказом в блоке/системе управления, например, неисправностью устройства автоматического контроля температуры или концентрации | | | |
4.10 Опасности в результате нарушений в системе управления | | | | 4.4, 4.11, 4.12, 4.13, 4.14 |
4.11 Нарушение подачи энергии | a) нарушение в работе контрольных приборов, вызывающее снижение объемной скорости воздушного потока искусственной вентиляции; b) неожиданное отключение систем управления; c) нарушение в работе контрольных приборов, вызывающее превышение предельно допустимой концентрации горючих веществ в общем объеме сушильного устройства; d) неожиданный выброс горячего теплоносителя (пара, горячего масла, горячей воды); e) неисправность освещения. | | | 4.11.4, 4.11.5 |
5 Требования безопасности и/или меры защиты
Сушильные устройства должны соответствовать требованиям безопасности и/или мерам защиты, изложенным в настоящем разделе. Кроме того, сушильные устройства должны быть сконструированы в соответствии с принципами EN ISO 12100 (все части) для присущих им, но не являющихся существенными, опасностей, (например, острые края), которые не рассматриваются в настоящем стандарте.
5.2 Требования безопасности в целях предотвращения механических опасностей
5.2.1 Порезы, придавливания, затягивания
При конструировании и изготовлении должны быть устранена возможность травмирования в результате порезов, придавливания или затягивания перемещением частей машин и механизмов. Контакт с опасными частями машины должен быть предотвращен следующими мерами:
- на вентиляторах и автоматически регулируемых заслонках воздуховодов: установкой защитных ограждений;
- на автоматически управляемых дверях: применением защитных ограждений, управляемых механически или световым лучом;
- на дверях, дверцах и предохранительных кожухах: применением съемных и перемещаемых защитных ограждений, блокируемых при опасных движениях/случаях гидравлическим, пневматическим или электрическим способом.
При наличии автоматических устройств, таких как, например, роботы, механизмы с возвратно-поступательным движением частей или других подобных систем, доступ в опасные зоны должен быть блокирован при опасных движениях/случаях дверью или другими защитными средствами (управляемыми механически или световым лучом) (см. также "устройства безопасности и системы управления").
Примечание - Роботы рассматриваются в EN ISO 10218-1
[6].
Доступ к опасно движущимся частям должен быть предотвращен, или опасные движения движущихся частей должны быть устранены и/или должны контролироваться и блокироваться; это может быть достигнуто применением одного из следующих средств:
- неподвижных или перемещаемых защитных ограждений, см. EN 953;
- ковриков и настилов, чувствительных к надавливанию, электрочувствительных предохранительных устройств;
- гидравлических или пневматических блокировок, обратных клапанов; надежных электрических цепей и т.д.;
- механических запирающих устройств и неподвижных опорных устройств;
- механических устройств с присущей им безопасностью, самоблокирующихся (самозапирающихся) винтовых приводов (для подъема, опускания и т.д.), ограничителей силовых механизмов (ограничители вращающего момента и т.д.), тормозных устройств и.т.д.
Транспортирующие устройства должны быть сконструированы в соответствии с EN 619.
Автоматические двери должны соответствовать EN 12433 (все части), EN 12445, EN 12453, EN 12635 и EN 12978.
5.2.2 Средства аварийного выхода
Сушильные устройства, в которые предусмотрен доступ (вход), должны быть оборудованы средствами аварийного выхода (например, двери, кессоны).
Средства аварийного выхода должны легко открываться изнутри и без каких-либо вспомогательных средств.
В сушильных устройствах, оборудованных автоматическими дверями и/или вертикальными или горизонтальными раздвижные дверями, должны быть предусмотрены дополнительные средства аварийного выхода. Дополнительные средства аварийного выхода не должны быть частью автоматических дверей.
Двери, обеспечивающие доступ в процессе работы, должны иметь ширину не менее 800 мм и высоту не менее 2000 мм (свободный проем). В настоящем стандарте монтажные проемы не считаются дверьми. Монтажные проемы должны соответствовать EN 547-1.
Сушильные устройства непрерывного действия, имеющие доступ в процессе работы, должны быть оснащены средствами аварийного выхода и устройствами, предотвращающими неожиданный их пуск споткнувшимся работником (например, аварийный вытяжной трос).
Информация о средствах аварийного выхода должна быть приведена в инструкции по эксплуатации, см.
раздел 7.
5.2.3 Требования безопасности в целях предотвращения поскальзывания и падения
Напольные решетки, рабочие площадки и другие рабочие поверхности, по которым ходят, должны иметь такую конструкцию, чтобы опасности поскальзывания или падения были сведены к минимуму.
Лестницы, мостки и ограждения должны соответствовать EN ISO 14122-2, EN ISO 14122-3, EN ISO 14122-4.
Напольные решетки, рабочие площадки и другие подобные средства должны быть надежно закреплены для предотвращения смещения или нарушения устойчивости.
Информация о чистке и техническом обслуживании должна быть приведена в информации для пользователей, см.
раздел 7.
5.3 Требования безопасности в целях предотвращения электрических опасностей
Электрооборудование должно соответствовать EN 60204-1.
Должны быть соблюдены дополнительные требования, установленные IEC 60519-1.
5.3.2 Электрооборудование
Средства и меры защиты от поражения электрическим током должны соответствовать требованиям раздела 6 EN 60204-1:1997.
Все электропроводящие части должны быть заземлены.
Электрооборудование должно быть выбрано и установлено таким образом, чтобы были предотвращены повреждения вызываемые:
- воздействием температуры, обусловленным теплопроводностью, конвекцией и/или излучением;
- контактам с горячими частями, каплями или расплавленными частицами обрабатываемых материалов;
- химическим воздействием веществ, выделяемых или применяемых в процессе обработки, например, растворителей и других агрессивных жидкостей;
- воздействием внешних механических нагрузок.
В информации для пользователей должны быть приведены рекомендации о повторных испытаниях электрооборудования согласно EN 60204-1:1997 (подраздел 19.1).
5.3.3 Внешнее влияние на электрооборудование
Все системы и аппараты, связанные с безопасностью, должны быть изготовлены таким образом, чтобы согласно EN 61000-6-2 они были устойчивы к воздействию электромагнитных полей.
5.4 Требования безопасности в целях предотвращения термальных опасностей
Защита от ожогов горячими поверхностями должна быть обеспечена соответствующей их изоляцией или защитой от контакта в пределах доступа рук/кистей в зоне обслуживания. Температура поверхности не должна превышать температуры, приведенной в EN ISO 13732-1 (при температуре окружающей среды 20 °C). Исключения допускаются для малых локальных участков поверхности (например, фланцы горелок, болты, валы вентиляторов и роликов).
Если эти меры не применимы, зоны повышенной температуры должны быть обозначены с помощью соответствующих знаков, предупредительных надписей и т.д. Кроме того, в инструкции по эксплуатации должно быть обращено внимание на наличие таких опасностей (см.
7.2.1).
В случае, если нельзя исключить контакт с элементами производственной системы (например, двери, рычаги), которые имеют температуру выше указанной в EN 13732-1, должна применяться соответствующая защитная одежда. Требования к такой одежде должны содержаться в инструкции по эксплуатации (см.
7.2.1).
5.5 Требования безопасности в целях предотвращения опасностей, создаваемых шумом
Сушильные устройства должны быть сконструированы и изготовлены так, чтобы риски, возникающие в результате эмиссии воздушного шума, были уменьшены до минимального уровня с учетом новейших технических достижений и наличия средств снижения шума, особенно в источнике.
К примеру, могут быть применены следующие меры, при наличии возможности:
- установка оборудования на виброзащитные (антивибрационные) опоры;
- применение гибких соединений между трубопроводами, особенно между вентиляторами и трубопроводами;
- выбор скорости вентилятора с учетом наиболее благоприятных характеристик по шуму;
- уменьшение скорости воздуха в трубопроводах;
- звукоизоляция трубопроводов;
- другие средства устранения вибрации, резонансных колебаний и любого другого шума, создаваемого установленным постоянно вспомогательным оборудованием и соединенным с сушильным устройством, который не должен распространяться на конструкцию сушильного устройства.
Примечание 1 - Настоящий перечень не является исчерпывающим. Общая техническая информация по общепризнанным техническим правилам и средствам конструирования и изготовления малошумного оборудования приведена в EN ISO 11688-1
[7].
Примечание 2 - Полезная информация о механизмах оборудования, агрегатах и установках, являющихся источником шума, приведена в EN ISO 11688-2
[8].
Определение, декларирование и проверка уровня эмиссии воздушного шума сушильных устройств должны быть выполнены в соответствии с EN 14462, за исключением сушильных устройств непрерывного действия для бумаги, картона и пленки, к которым должен применяться EN 13023.
Величина эмиссии шума в соответствии с EN 14462 должна быть приведена в инструкции по эксплуатации, см.
раздел 7.
5.6 Требования безопасности в целях предотвращения опасностей излучений
Сушильные устройства должны быть сконструированы и изготовлены так, чтобы свести к минимуму опасности, вызываемые излучением.
Опасные эмиссии излучений в рабочую зону должны быть устранены специальными мерами защитного экранирования (например, сетчатыми панелями, фильтрующими дисками, экранирующими сетками).
Примечание - Вопросы стратегии конструирования по уменьшению потока излучения с помощью его ослабления и улавливания рассматриваются в EN 12198-3
[3].
Средства доступа и отверстия должны быть сблокированы с источником излучения таким образом, чтобы источник излучения был отключен или защищен прежде, чем создалась опасность излучения.
Риски опасности излучений должны быть оценены согласно EN 12198-1. Сушильное устройство должно быть классифицировано по категории эмиссии согласно пункту 7.1 таблицы 2 EN 12198-1+A1:2008. Классификация должна быть выполнена изготовителем и основываться на измерениях, выполненных в соответствии с EN 12198-2, и/или прогнозированием уровня эмиссии излучения.
Микроволновые устройства должны соответствовать IEC 60519-6.
Электронно-лучевое оборудование должно соответствовать IEC 62598.
Величина эмиссии излучения согласно EN 12198-2 и маркировка в соответствии с EN 12198-1 должны быть приведены в инструкции по эксплуатации, см.
раздел 7.
5.7 Требования безопасности в целях предотвращения опасностей, создаваемых опасными веществами
Конструкция сушильных устройств должна предотвращать поступление опасного для здоровья вдыхаемого воздуха в рабочую зону внутри и снаружи сушильного устройства.
Должны быть соблюдены соответствующие предельные величины для газов, аэрозолей или пыли.
Примечание - Величины предельно допустимой концентрации опасных веществ устанавливаются национальным законодательством.
Сушильные устройства с доступом должны иметь такую конструкцию, которая обеспечивала бы требуемую концентрацию кислорода внутри сушильного устройства перед входом в сушильное устройство.
В случае, если это требуется на основе оценки риска, должны быть применены следующие меры:
- вытяжка через выпускные отверстия сушильного устройства с помощью искусственной вентиляции наряду с местной вытяжной вентиляцией;
- вентилируемые зоны испарений около сушильных устройств непрерывного действия или внутри них;
- продувка камерных сушильных устройств посредством продолжения работы вытяжного вентилятора после отключения нагревательной системы и до открытия двери сушильного устройства.
5.8 Защита от пожара и его предупреждение
Меры, необходимые для защиты от пожара и его предупреждения зависят от размера сушильного устройства, присутствия работников и опасностей возникновения пожара (наличия источников воспламенения, типа и количества выделяемых горючих веществ и изделий, подлежащих сушке). Должны быть соблюдены требования EN 13478.
Примечание - При выборе мер защиты от пожара и его предупреждения должны учитываться требования по защиты от пожара и его предупреждению, установленные на предприятии.
5.8.1.1 Материалы и конструкция
Следующие элементы конструкции должны быть выполнены из негорючих материалов класса A1 согласно EN 13501-1:2007+A1:2009:
a) неподвижные элементы конструкции (например, полы, стены, потолки, арматура, воздуховоды);
b) подвижные элементы (например, двери для загрузки и доступа).
Пожаростойкость негорючих элементов конструкции не должна изменяться в процессе нормального режима работы. Пожаростойкость стен не должна уменьшаться проложенными через них воздуховодами. Следующие элементы конструкции не должны способствовать поддержанию и распространению пожара или увеличивать опасность пожара:
c) тепловая изоляция;
d) малые элементы конструкции.
Для того, чтобы уменьшить потенциальную пожарную нагрузку (например, путем осаждения или сбора покрывного порошка):
e) стены и потолки должны легко очищаться;
f) решетчатые настилы должны быть разборными для проведения чистки;
g) искусственная вентиляция и транспортирующие средства должны быть сконструированы таким образом, чтобы порошковые покрытия оставались на обрабатываемых изделиях;
h) образование конденсатов при отключении нагрева должно быть минимизировано (например, герметизацией конструкции по всему объему сушильного устройства);
i) газоотводные и рециркуляционные воздуховоды должны быть изготовлены и установлены так, чтобы отложения:
1) были уменьшены до минимума,
2) могли быть легко обнаружены и удалены через смотровое отверстие или съемные части трубопровода.
Примечание - Отложения обычно образуются при резком изменении поперечного сечения или изменении направления потока в трубопроводе.
Рекомендации по чистке и техническому обслуживанию должны быть приведены в информации для потребителей, см.
раздел 7.
5.8.1.2 Нагревательные системы
Нагревательные системы и ограничители температуры должны соответствовать требованиям
5.9.1.2. Должны быть учтены требования
5.9.1.4.3.
5.8.1.3 Предотвращение воспламенения от горячих поверхностей
Должны быть приняты необходимые меры для предотвращения капания конденсата материалов покрытий или высушиваемых изделий на поверхности нагревательного устройства путем установки каплесборников, отражательных щитков или отклоняющих пластин или козырьков и/или соответствующей конфигурацией поверхности нагревательного устройства.
Пояснения по чистке и обслуживанию должны быть приведены в информации для пользователей, см.
раздел 7.
5.8.1.4 Предотвращение воспламенения от чрезмерного нагревания
Должно быть предотвращено нагревание обрабатываемых изделий, частей транспортирующих устройств, остатков кроющих материалов и т.п. свыше соответствующей температуры возгорания.
В радиационных сушильных устройствах, в которых обрабатываемые изделия или чаще слой лака нагреваются соответствующим излучением, мощность излучения должна соответствовать продолжительности пребывания горючих веществ в пределах поля излучения (например, регулированием времени, транспортным средством, сблокированным с источником излучения, контролем температуры). Выполнение этого условия должно проверяться при вводе в эксплуатацию (см.
раздел 6).
5.8.1.5 Специальные устройства (применяемые для изделий, покрытых нитролаками)
Сушильные устройства, применяемые для изделий, покрытых нитролаками, должны быть оборудованы устройствами, предотвращающими повышение рабочей температуры свыше 130 °C.
5.9 Требования по взрывозащите и предотвращению взрыва
Настоящий подраздел содержит специфические требования для сушильных устройств камерного типа и непрерывного действия.
В случае, если сушильное устройство разделено на несколько сушильных секций (вентиляционных секций), требования по взрывозащите и предотвращению взрыва должны быть установлены отдельно для каждой секции с учетом их взаимного влияния. Системы управления, связанные с безопасностью, должны быть сконструированы согласно
5.10.
5.9.1 Сушильные устройства типа A
В сушильных устройствах типа A взрывозащита и предотвращение взрыва основывается на предупреждении образования взрывоопасных смесей путем соблюдения установленных предельно допустимых величин концентрации согласно
рисунку 1 с помощью искусственной вентиляции.
Искусственная вентиляция должна обеспечивать требование, чтобы при максимально допустимом количестве горючих веществ или максимально допустимом вводе горючих веществ в единицу времени предельно допустимая концентрация горючих веществ в соответствии с
рисунком 1 не была превышена. Исключение составляет приповерхностный слой изделий, подлежащих сушке (см. также
5.9.1.6, последний параграф).
Примечание - Концентрация горючих веществ в приповерхностном слое обычно выше максимальной допустимой концентрации горючих веществ согласно
рисунку 1.
Искусственная вентиляция должна предотвращать образование мертвых зон в пределах общего объема сушильного устройства (например, посредством системы рециркуляции воздуха).
5.9.1.1 Искусственная вентиляция
Сушильные устройства должны быть оборудованы искусственной вентиляцией.
При этом должны быть применены следующие меры в соответствии с
5.9.1.6:
- автоматический контроль минимально необходимой объемной скорости потока согласно
приложению B с учетом
5.9.1.1.1;
- автоматический контроль уровня концентрации выделяющихся горючих веществ согласно
5.9.1.1.2;
- регулирование требуемой объемной скорости выходящего потока посредством автоматического контроля интенсивности выделения горючих веществ согласно
5.9.1.1.3.
Примечание - Различные рабочие режимы и способы применения могут вызывать различные минимально необходимые уровни объемной скорости выходящего потока.
5.9.1.1.1 Автоматический контроль минимальной объемной скорости выходящего потока
Сушильные устройства должны иметь устройство автоматического контроля минимальной объемной скорости выходящего потока и дополнительно, если необходимо, автоматического контроля уровня интенсивности объемной скорости рециркуляционного потока для обеспечения безопасной работы. Контроль должен выполняться путем измерения объемной скорости потоков (например, с помощью датчиков падения давления или трубок Пито).
5.9.1.1.2 Автоматический контроль концентрации
Для осуществления автоматического контроля концентрации выделяющихся горючих веществ сушильные устройства должны быть оснащены системами контроля согласно EN 60079-29-1.
Устройства для автоматического контроля концентрации должны соответствовать
приложению C. Они должны быть выбраны с учетом:
- выделяющихся горючих веществ;
- времени установления показаний;
- диапазонов температур (температура измеряемого газа и температура окружающей среды в месте установки).
- влияния условий эксплуатации, например, конденсации, загрязнения воздуха, отравления (загрязнения) датчика, механического воздействия.
Примечание - См. также EN 60079-29-2
[9].
5.9.1.1.3 Регулирование объемной скорости выходящего потока
Сушильные устройства с регулируемой объемной скоростью выходящего потока должны быть оборудованы устройством автоматического контроля концентрации согласно
5.9.1.1.2 для регулирования необходимой объемной скорости выходящего потока через контроль выделения горючих веществ. Для обеспечения необходимой объемной скорости выходящего потока искусственная вентиляция должна быть взаимно блокирована с устройством автоматического контроля.
Применяемые системы автоматического контроля газа должны соответствовать уровню безопасности PL d по EN ISO 13849-1:2008 как самостоятельный объект.
Примечание - Это требование может быть также выполнено, например, с помощью divers или резервированием систем контроля газа.
В случае если необходимая объемная скорость выходящего потока регулируется через вводимое количество горючих веществ (например, измерением количества поступающего материала покрытий), объемная скорость выходящего потока должна быть взаимно блокирована с количеством поступающих горючих веществ.
5.9.1.2 Требования к нагревательным системам
Нагревательные системы, работающие с использование топлива или электронагрева, должны иметь конструкцию согласно EN 746-1 и EN 746-2.
Сушильные устройства для каждой системы нагревания должны быть оборудованы отключающим устройством, обеспечивающим немедленное отключение подачи тепловой энергии.
| | ИС МЕГАНОРМ: примечание. В официальном тексте документа, видимо, допущена опечатка: имеется в виду пункт 5.9.1.6, а не 6.9.1.6. | |
Независимо от вида установленной системы терморегулирования, сушильные устройства должны быть оборудованы устройством - ограничителем температуры. Система ограничения температуры должна автоматически отключать нагревательную систему в случае превышения максимальной температуры сушки (см.
6.9.1.6) более чем на 10%.
В случае если теплоноситель не может самостоятельно увеличить температуру сушки даже в случае повреждения до величины, превышающей предельно допустимый уровень температуры, ограничитель температуры не требуется.
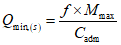
5.9.1.3 Требования к количеству подаваемых (загружаемых) горючих веществ
Максимально допустимое количество подаваемых (загружаемых) горючих веществ должно быть рассчитано согласно
приложению A.
Конструкция систем транспортирования должна соответствовать EN 619. Информация о допустимом количестве подаваемых (загружаемых) горючих веществ должна быть дана в инструкции по эксплуатации, см.
раздел 7.
5.9.1.4 Взаимное блокирование искусственной вентиляции, нагревательной системы и поступления горючих веществ в процессе работы
Взаимное блокирование искусственной вентиляции, нагревательной системы и подачи (загрузки) горючих веществ должно обеспечивать, чтобы уровень НКПВ не был превышен при всех режимах работы.
Сушильные секции должны учитываться отдельно и с учетом взаимного влияния.
Рекомендации по безопасной работе должны быть даны в инструкции по эксплуатации, см.
раздел 7.
Система управления сушильного устройства должна обеспечивать цикл продувки, позволяющий осуществлять продувку всего объема сушильного устройства чистым воздухом. Должны применяться требования к искусственной вентиляции согласно
5.9.1.1.
Сушильное устройство должно продуваться
- перед первым пуском и
- после каждой остановки искусственной вентиляции.
Нагревательная система должна быть взаимно блокирована с искусственной вентиляцией таким образом, чтобы нагревательная система не могла быть включена прежде, чем закончен процесс продувки.
Примечание 1 - Продувка снижает концентрацию оставшихся горючих веществ или других горючих материалов (например, из-за утечки топлива или при неполном сгорании) внутри общего объема сушильного устройства. Необходимое количество воздухообменов зависит от концентрации горючих веществ в общем объеме сушильного устройства в начале операции продувки, а также зависит, например, от:
- наличия загрязнений (остатков лака);
- наличия продуктов конденсации;
- наличия продуктов для чистки и обслуживания (например, при использовании материалов, содержащих растворители);
- периода снижения объемной скорости выходящего потока;
- вероятности возможных утечек топлива.
Примечание 2 - На практике минимальная продувка общего объема сушильного устройства чистым воздухом в количестве пяти или более пяти этих объемов считается безопасной.
Должно быть обеспечено, чтобы устройства автоматического контроля газа согласно
5.9.1.1.2, используемые для определения времени продувки, обнаруживали все выделяющиеся горючие вещества в пределах общего объема сушильного устройства на всех режимах работы сушильного устройства.
При нагревании сушильного устройства
- без продукции, подлежащей сушке (предварительное нагревание), требуемая температура сушки и требуемая объемная скорость выходящего потока или минимальная требуемая объемная скорость выходящего потока должны быть обеспечены до начала поступления выделяющихся горючих веществ;
- с продукцией, подлежащей сушке, требуемая объемная скорость выходящего потока или минимальная требуемая объемная скорость выходящего потока должны быть обеспечены немедленно.
В процессе сушки нагревательная система должна быть взаимно блокирована с искусственной вентиляцией таким образом, чтобы нагревательная система могла быть включена, только если обеспечена соответствующая объемная скорость выходящего потока или минимальная требуемая объемная скорость выходящего потока. Для камерных сушильных устройств согласно
5.9.1.1 и
5.9.1.2 объемная скорость выходящего потока после окончания времени основного испарения должен составлять не менее чем 25% минимальной объемной скорости выходящего потока. В случае повторной загрузки минимальная объемная скорость выходящего потока должна быть обеспечена взаимным блокированием с системами подачи (загрузки) продукции (например, дверей сушильного устройства).
5.9.1.4.3 Отключение сушильного устройства
В случае отключения сушильного устройства в процессе работы (например, окончания процесса, аварийной остановки, проверки, регулировки системы):
- подача (загрузка) горючих веществ должна быть остановлена;
- нагревательная система должна быть отключена;
- должна быть обеспечена требуемая объемная скорость выходящего потока искусственной вентиляции до тех пор, пока не устранена опасность перегрева.
Должно быть учтено взаимное влияние секций сушильных устройств.
5.9.1.5 Взаимное блокирование искусственной вентиляции, нагревательной системы и подачи (загрузки) горючих веществ в случае неисправности
В случае неисправности взаимное блокирование искусственной вентиляции, нагревательной системы и подачи (загрузки) горючих веществ должно обеспечивать уровень НКПВ ниже предельной величины.
Секции сушильного устройства должны учитываться отдельно и с учетом взаимного влияния, см.
раздел 7.
5.9.1.5.1 Повреждение искусственной вентиляции
В случае повреждения искусственной вентиляции или падения объемной скорости выходящего потока ниже требуемого уровня, нагревательная система должна быть отключена и подача горючих веществ должна быть остановлена. Повторное включение нагревательной системы и возобновление подачи горючих веществ не должно происходить автоматически.
5.9.1.5.2 Повреждение нагревательной системы
В случае повреждения нагревательной системы должны быть обеспечены минимальная объемная скорость выходящего потока или максимальное значение требуемой объемной скорости искусственной вентиляции и должна быть остановлена подача (загрузка) горючих веществ. Возобновление подачи (загрузки) горючих веществ не должно происходить автоматически.
5.9.1.5.3 Повреждение системы подачи (загрузки) продукции
В случае повреждения системы подачи продукции в сушильных устройствах непрерывного действия, должны быть обеспечены минимальная объемная скорость выходящего потока или максимальное значение объемной скорости искусственной вентиляции, а в случае опасности перегрева и/или опасности превышения предельно допустимого уровня концентрации горючих веществ нагревательная система должна быть отключена. Повторное включение нагревательной системы не должно происходить автоматически.
5.9.1.5.4 Повреждение системы управления, связанной с обеспечением безопасности
В случае повреждения системы управления, связанной с обеспечением безопасности, должны быть обеспечены минимальная объемная скорость выходящего потока или максимальное значение объемной скорости искусственной вентиляции, нагревательная система должна быть отключена и подача (загрузка) горючих веществ должна быть остановлена. Повторное включение нагревательной системы и возобновление подачи горючих веществ не должно происходить автоматически.
5.9.1.5.5 Повреждение системы управления
Повреждение системы управления в целом должно вызывать отключение нагревательной системы и останавливать подачу (загрузку) горючих веществ.
Требуемые после этого меры должны быть определены на основе оценки риска в зависимости от типа конструкции и режима работы сушильного устройства. Такими мерами могут быть:
a) приостановка подачи (загрузки);
b) меры по предотвращению или уменьшению последствий снижения объемной скорости потока искусственной вентиляции, например:
1) аварийная вентиляция,
2) задержка по времени отключения вентилятора,
3) установка заслонок вытяжной вентиляции в соответствующее положение,
4) бесперебойное энергоснабжение или система резервного/вспомогательного привода,
5) порядок действий в случае аварии см.
раздел 7;
c) инертизация.
5.9.1.5.6 Нарушение подачи энергии
5.9.1.6 Требования в зависимости от максимальной концентрации горючих веществ
Для диапазонов рабочих режимов, приведенных на
рисунке 1, должны быть выполнены соответствующие требования, приведенные в
таблице 2.
Рисунок 1 - Предельно допустимая концентрация горючих
веществ и допустимые диапазоны рабочих режимов для сушильных
устройств с ограниченным уровнем концентрации
Таблица 2
Требования для соответствующих диапазонов рабочих режимов
| Требования |
Общие | Автоматический контроль минимальной объемной скорости выходящего потока <a> | Автоматический контроль концентрации <a> | Обеспечение требуемой объемной скорости выходящего потока <a> | Предотвращение возникновения источников воспламенения | Автоматический контроль подачи горючих веществ <a> | Противовзрывное устройство |
Диапазон 1 | | | - | - | - | - | - |
- | | - | - | - | - |
- | - | | - | - | - |
Диапазон 2 | | | | - | - | - | - |
| - | - | | - | - |
- | | - | | - | - |
| - | - | - | | - |
- | | - | - | | - |
- | - | | | - | - |
- | - | | - | | - |
Диапазон 3 | | | - | - | | | - |
- | | - | | | - |
| | - | | - | - |
| | - | - | - | |
- | - | | | | - |
- | - | | | - | |
<a> Система управления в целом включает меры, примененные согласно выбранному ряду. В общем случае эти меры должны соответствовать уровню безопасности d (PL d) согласно EN ISO 13849-1:2008. |
В верхней части диаграммы показаны три диапазона рабочих режимов (1), (2) и (3) согласно 5.9.1.6. Ордината НКПВ 40 г/м
3 добавлена в качестве образца. В нижней части представлена температурная зависимость НКПВ и масштабная инвариантность оси абсцисс. Масштабы даны для

, - 20%/100 К и 25% 100 К. В случае, если температурная зависимость НКПВ неизвестна, для расчетов принимается величина

.
Рисунок 1 применим для сушильных устройств типа A. На диаграмме показаны диапазоны допустимой концентрации выделяющихся горючих веществ C
НКПВ доп в % от НКПВ
20 °C и C
доп в г/м
3 для диапазона температур от 20 °C до 420 °C.
Примечание - Определение пределов воспламенения газов и паров рассматривается в EN 1839
[2].
На абсциссе (ось X) диаграммы представлена максимальная температура сушки, на ординате (оси Y) - концентрация выделяющихся горючих веществ. На левой из двух осей Y представлена Cдоп горючих веществ при НКПВ20 °C = 40 г/м3. Для выделяющихся горючих веществ с различным НКПВ процедура является аналогичной.
Прямая линия "100% НКПВ

" показывает экстраполированное направление линии величины НКПВ
20 °C как функции температуры

.
В
таблице 2 показаны меры безопасности для сушильных устройств, предназначенных для диапазонов рабочих режимов от 1 до 3.
Приповерхностный слой не должен содержать источников воспламенения.
5.9.1.6.1 Предотвращение появления источников воспламенения в диапазоне 2
Если в
таблице 2 предотвращение возникновения источников воспламенения необходимо как мера защиты от взрыва для сушильных устройств рабочего диапазона 2, такие сушильные устройства должны быть оснащены внутри общего объема сушильного устройства устройствами и установками не ниже категории 3G по EN 13463-1:2009 или EN 60079-0:2006. Кроме того, следует учитывать термостойкость используемых компонентов.
5.9.1.6.2 Предотвращение образования источников воспламенения в диапазоне 3
Если в
таблице 2 предотвращение источников воспламенения необходимо как мера защиты от взрыва для сушильных устройств диапазона 3, такие сушильные устройства должны быть оснащены внутри общего объема сушильного устройства устройствами и установками не ниже категории 2G по EN 13463-1:2009 или EN 60079-0:2006. Кроме того, следует учитывать термостойкость используемых компонентов.
5.9.1.6.3 Автоматический контроль подачи (загрузки) выделяющихся горючих веществ
Если в соответствии с
таблицей 2 требуется автоматический контроль подачи (загрузки) выделяющихся горючих веществ в качестве меры предупреждения взрыва, такие сушильные устройства должны быть оборудованы устройством автоматической загрузки.
Подобные сушильные устройства должны быть оснащены средствами автоматического контроля всех параметров (например, количества лака, количества краски на один квадратный метр, поступления растворителя в секунду, толщины пленки, содержания растворителя, скорости транспортера), имеющих отношение к подаче (загрузке) горючих веществ.
Контроль должен выполняться на соответствующем месте, чтобы гарантировать отсутствие превышения предельно допустимой концентрации выделяющихся горючих веществ.
Примечание - Измерительное устройство может быть составной частью предшествующего устройства (например, устройства для нанесения покрытия).
5.9.1.6.4 Противовзрывное устройство
Если в соответствии с
таблицей 2 в качестве меры защиты от взрыва требуется применение противовзрывного устройства, сушильное устройство должно быть оснащено противовзрывным устройством согласно
приложению D.
5.9.2 Сушильные устройства типа B
В сушильных устройствах типа B содержание кислорода во время работы должно быть ограничено так, чтобы при любых обстоятельствах было предотвращено воспламенение выделяющихся горючих веществ.
Сушильные устройства должны быть изготовлены таким образом, чтобы инертирующий газ надежно удерживался внутри сушилки и его непредвиденная утечка была предотвращена.
Утечки газов через входные и выходные отверстия (или через двери камерных сушильных устройств), не должны представлять опасности (см. также
5.9.2.4).
Применение противовзрывных устройств не допускается.
Каждый сбой, влияющий на безопасность, должен быть обозначен световой или звуковой предупредительной сигнализацией.
5.9.2.2 Предельно допустимая концентрация кислорода
Концентрация кислорода по всему объему сушильного устройства должна быть ниже величины, ниже которой воспламенение выделяющихся горючих веществ невозможно.
При температуре сушки до 150 °C, концентрация кислорода не должна превышать 50% предельного уровня концентрации кислорода или, если не известно более точно, 4% к объему; при температуре сушки свыше 150 °C, тот же уровень безопасности должен быть обеспечен ограничением уровня концентрации; должен быть обеспечен автоматический контроль за поддержанием этого уровня.
Эта величина концентрации кислорода не должна быть превышена и должны быть выполнены следующие требования:
a) для сушильных устройств непрерывного действия (поточного типа):
1) концентрация кислорода должна быть измерена до начала процесса сушки и должна контролироваться в течение всего процесса сушки/операции сушки и
2) объемная скорость потока и, при необходимости, давление инертного газа должны быть измерены и контролироваться в течение всего процесса сушки/операции сушки. Если объемная скорость потока инертного газа уменьшилась или/и если концентрация кислорода превысила 50% предельного уровня концентрации кислорода или, если неизвестно более точно, 4% к объему, должен быть включен тревожный сигнал и одновременно должно быть остановлено поступление горючих веществ, впускные и выпускные отверстия должны быть закрыты и должна быть увеличена объемная скорость потока инертного газа, а нагревательная система, при необходимости, должна быть отключена.
b) для камерных сушильных устройств:
1) могут быть применены приведенные выше меры для сушильных устройств непрерывного действия (поточного типа) или
2) должен быть измерен и контролироваться объемная скорость потока инертного газа на впускном и выпускном отверстиях в течение всего процесса сушки для поддержания концентрации кислорода на пониженном уровне. Тревожный сигнал должен быть приведен в действие если объемная скорость потока (скорректированная по температуре) на выпускном отверстии существенно снизилась по сравнению с объемной скоростью потока на впускном отверстии; в этом случае объемная скорость потока инертного газа, требуемая для продувки, должна быть увеличена и нагревательная система, при необходимости, отключена. Такая увеличенная объемная скорость потока инертного газа, необходимая для выполнения продувки, должна поддерживаться в течение всей оставшейся части процесса.
5.9.2.3 Применение инертизации
В сушильных устройствах непрерывного действия перед началом загрузки и в камерных сушильных устройствах перед началом процесса сушки должна быть выполнена продувка инертным газом общего объем сушильного устройства для того, чтобы снизить концентрацию кислорода до требуемого уровня. Этот уровень не должен быть превышен в течение всего процесса сушки.
5.9.2.4 Утечка инертного газа
Должно быть обеспечено, чтобы утечка инертного газа, содержащего выделяющиеся горючие вещества, не представляла опасности снаружи сушильного устройства.
5.9.2.5 Измерение концентрации кислорода
Устройства для измерения концентрации кислорода должны быть пригодны для использования в смесях, содержащих горючие вещества, при максимальной температуре, предусмотренной при конструировании и изготовлении (согласно EN 50104).
5.9.2.6 Специальные системы управления
В системах управления должны быть выполнены требования
5.10, если на работу частей системы управления оказывает влияние выделение инертного газа.
Сушильные устройства, инертизируемые для различных газовых выделений с помощью систем управления, в которых концентрация кислорода внутри сушильного устройства устанавливается динамикой процесса сушки и системой управления, должна иметь системы управления, соответствующие уровню безопасности PL d по EN ISO 13849-1:2008. Эти сушильные устройства должны быть оборудованы устройствами для измерения концентрации кислорода и дополнительными системами для вентиляции инертным газом.
Системы управления должны быть сконструированы в соответствии с принципами, установленными EN ISO 13849-1.
Следующие функции безопасности должны соответствовать уровню безопасности PL d согласно EN ISO 13849-1:2008:
- прерывание подачи (загрузки) горючих веществ
(5.9.1.3);
- системы автоматического контроля подачи (загрузки) выделяющихся горючих веществ
(5.9.1.6.3);
В случае, если сушильное устройство должна быть составной частью комплексной установки, система управления сушильного устройства должна быть оснащена средствами сопряжения для надежной передачи сигнала, необходимого для безопасной работы сушильного устройства.
5.11 Нарушение подачи энергии
При нарушении подачи энергии (например, электричества, воды, газа, сжатого воздуха, пара) непреднамеренный пуск (повторный пуск) должен быть предотвращен в соответствии с EN 1037.
6 Проверка соответствия установленным требованиям и/или мерам безопасности
Таблица 3 должна применяться в качестве поверочной таблицы для изготовителей при подготовке собственной таблицы методов, используемых для проверки того, что требования безопасности и измерения, описанные в
разделе 5, выполняются и содержит ссылки на соответствующие структурные элементы настоящего стандарта.
Таблица 3
Структурный элемент настоящего стандарта | Требования и/или меры безопасности | | | | |
| Общие положения |
| Требования безопасности в целях предотвращения механических опасностей |
| Порезы, придавливания, затягивания | x | x | x | x |
| Средства аварийного выхода | x | x | - | - |
| Требования безопасности в целях предотвращения опасностей поскальзывания и падения | x | x | - | - |
| Требования безопасности в целях предотвращения электрических опасностей |
| Общие положения | x | x | x | x |
| Электрооборудование | x | x | x | x |
| Внешнее влияние на электрооборудование | x | x | x | - |
| Требования безопасности в целях предотвращения термальных опасностей | x | - | x | - |
| Требования безопасности в целях предотвращения опасностей, создаваемых шумом | x | - | x | - |
| Требования безопасности в целях предотвращения опасностей излучений | x | x | x | x |
| Требования безопасности в целях предотвращения опасностей, создаваемых опасными веществами | x | x | x | x |
| Защита от пожара и его предупреждение |
| Общее положение | | | | |
| Материалы и конструкция | x | - | - | x |
| Нагревательные системы | x | - | x | x |
| Предотвращение воспламенения от горячих поверхностей | x | - | - | x |
| Предотвращение воспламенения от чрезмерного нагревания | x | x | x | x |
| Специальные устройства (применяемые для изделий, покрытых нитролаками) | x | x | x | x |
| Требования по взрывозащите и предотвращению взрыва |
| Сушильные устройства типа A | | | | |
| Искусственная вентиляция | | | | |
| Автоматический контроль минимальной объемной скорости выходящего потока | x | x | x | x |
| Автоматический контроль концентрации | x | x | x | x |
| Регулирование объемной скорости выходящего потока | x | x | x | x |
| Требования к нагревательным системам | x | x | x | x |
| Требования к количеству подаваемых (загружаемых) горючих веществ | x | x | x | x |
| Взаимное блокирование искусственной вентиляции, нагревательной системы и поступления в процессе работы горючих веществ | |
| Продувка | x | x | | x |
| Процесс сушки | x | x | x | x |
| Отключение сушильного устройства | x | x | - | x |
| Взаимное блокирование искусственной вентиляции, нагревательной системы и подачи (загрузки) горючих веществ в случае неисправности | x | x | - | x |
| Повреждение искусственной вентиляции | x | x | - | x |
| Повреждение нагревательной системы | x | x | - | x |
| Повреждение системы подачи (загрузки) продукции | x | x | - | x |
| Повреждение системы управления, связанной с обеспечением безопасности | x | x | - | x |
| Повреждение системы управления | x | x | - | x |
| Нарушение подачи энергии | x | x | - | x |
| Требования в зависимости от максимальной концентрации горючих веществ | x | - | - | x |
| Предотвращение образования источников воспламенения в диапазоне 2 | x | - | - | x |
| Предотвращение образования источников воспламенения в диапазоне 3 | x | | - | x |
| Автоматический контроль подачи (загрузки) выделяющихся горючих веществ | x | x | x | x |
| Противовзрывное устройство | x | - | - | x |
| Сушильные устройства типа B |
| Общие положения | x | x | x | x |
| Предельно допустимая концентрация кислорода | x | x | x | x |
| Применение инертизации | | x | x | x |
| Утечка инертного газа | x | | x | x |
| Измерение концентрации кислорода | | | x | x |
| Специальные системы управления | x | x | | x |
| Системы управления | x | x | | x |
| Нарушение подачи энергии | x | x | | x |
Примечание 1 - Визуальный осмотр выполняется для проверки требуемых характеристик и свойств визуальным изучением предоставленного оборудования и компонентов. Примечание 2 - Функциональные испытания должны показать соответствуют ли составные части оборудования установленным требованиям в отношении функций. Примечание 3 - Проверка с помощью измерительных инструментов используется для проверки, выполняются ли требования установленных ограничений (например, безопасных расстояний между защитными ограждениями и местами затягивания по EN ISO 13857 [1]). Об измерении концентрации и требованиях к системам контроля и анализа газа см. приложение C. Примечание 4 - Чертежи и расчеты применяются для проверки соответствия характеристик конструкции используемых компонентов установленным требованиям. |
7 Информация для пользователей
Изготовитель должен с каждым сушильным устройством поставлять информацию для пользователей.
Информация для пользователей должна соответствовать разделу 6, в частности подразделам 6.5 "Руководство по эксплуатации" и 6.4 "Маркировка, знаки, письменные предупреждения" EN ISO 12100-2:2003.
Все оборудование должно сопровождаться инструкциями на русском языке и на государственном языке государства - члена СНГ, в которое оно поставляется.
Информации, сопровождающие оборудование, должны быть или оригиналом инструкции или переводом оригинала.
В информации для пользователей должны быть приведены инструкции по установке, вводу в эксплуатацию и применению вместе с рекомендациями по общему обслуживанию сушильных устройств и назначению, установленному изготовителем.
7.2 Руководство (инструкция) по эксплуатации
Руководство (инструкция) по эксплуатации как минимум должно содержать следующее:
a) подробное описание сушильного устройства и устройств безопасности;
b) инструкции по обслуживанию;
c) требования по обучению операторов;
d) назначение;
e) величины шумовой эмиссии в соответствии с EN 14462 и EN 13023;
f) величины излучений согласно EN 12198-2;
g) данные о вибрации, газах, испарениях, пылях, которые могут быть выделены сушильным устройством с указанием применяемых способов измерения;
h) предупреждения:
1) о запрещении хранить горючие вещества или их пустые контейнеры или другие материалы, находившиеся в контакте с этими продуктами (ветошь, бумага и т.д.) внутри сушильного устройства или рядом с ним,
2) надписи на входных дверях о возможной опасности для глаз и ожогах в случае затвердевания посредством излучений (ИК/УФ/электронно-лучевого);
i) сушильные устройства должны обслуживаться только квалифицированным персоналом и в производственных условиях, предписанных изготовителем;
j) сведения о том, что потребитель должен иметь правила по защите и предотвращению пожара сушильного устройства;
k) информацию о назначении панелей противовзрывного устройства и о том, что они должны быть работоспособны в течение всего срока службы сушильного устройства. Рекомендацию содержать панели свободными от помех, не закрашивать и о том, что места, где происходит выгрузка, должны быть свободными от персонала и горючих материалов;
l) указания по выводу из эксплуатации, демонтажу и безопасной утилизации [см. EN ISO 12100-2:2003 (пункт 6.5.1, перечисление f)];
m) информация об аварийных ситуациях, например, тип применяемого противопожарного оборудования, предупреждение о возможной эмиссии/утечке опасных для здоровья веществ, и, если возможно, указание о том как минимизировать или исключить их воздействие [см. EN ISO 12100-2:2003 (пункт 6.5.1, перечисление g)].
7.2.2 Информация по установке
Информация по установке должна включать:
a) рекомендации и инструкции по установке (например, чертеж фундамента, необходимая площадь пола);
b) сведения и указания по транспортировке;
c) необходимая площадь для сушильного устройства;
d) требования по окружающей среде для вентиляции (снабжение чистым воздухом);
e) необходимые условия обеспечения устойчивости при эксплуатации, транспортировании, сборке, демонтаже при выводе из эксплуатации, при испытаниях, или устранении возможной неисправности.
7.2.3 Информация по эксплуатации
Информация о эксплуатации должна содержать:
a) сведения о безопасной эксплуатации (например, пуск, останов, загрузка, регулировка);
b) камерные сушильные устройства: сведения о максимально допустимом количестве горючих веществ на каждой производственной стадии;
c) сушильные устройства непрерывного действия (поточного типа):
d) информацию о максимальном количестве выделяющихся горючих веществ;
e) информацию о ручных или механизированных процессах (например, смывки резинотканевых пластин), которые могут влиять на количество выделяющихся горючих веществ;
f) инертизированные сушильные устройства (типа B): сведения по предельно допустимой концентрации кислорода при самой высокой температуре сушки;
g) сушильные устройства, не предназначенные для сушки нитролаков (см.
5.8.1.5): упоминание о том, что не допускается сушка нитролаков;
h) рекомендацию не содержать горючие вещества рядом с сушильным устройством для предотвращения непредусмотренного их попадания в сушильное устройство. В частности, риск может быть при хранении изделий с покрытием перед сушкой в зоне установки;
i) предупреждения об остаточных рисках, в частности о повышенной концентрации горючих веществ в результате, например:
1) изменений в систему нанесения покрытий,
2) изменение материала основы,
3) перегрузки сушильного устройства;
j) сведения по мерам защиты, которые должны быть приняты потребителем, включая, при необходимости, по обеспечению средствами индивидуальной защиты;
k) порядок действий в случае несчастного случая или аварии; в случае возможной блокировки оборудования, порядок действий по безопасному разблокированию оборудования.
7.2.4 Информация по техническому обслуживанию и проверке
Информация по техническому обслуживанию и проверке должна содержать:
a) сведения о мерах, которые должны быть приняты во избежание случайного повторного пуска в процессе технического обслуживания и ремонта;
b) сведения о проверках с регулярными интервалами в случае, если фильтр и система газовой вытяжки засорены и если имеются отложения материалов покрытий на оборудовании, на стенах и полу;
c) информацию о необходимости чистки внутренних частей сушильного устройства, включая вытяжные трубопроводы, фильтр для чистого воздуха и отходящих газов, каплесборники, каплеотражатели, удаление материалов покрытий в течение установленных интервалов времени;
d) информацию о необходимой очистке напольных решеток, рабочих площадок и других поверхностей;
e) сведения об интервалах проведения чистки фильтра;
f) подробные инструкции по обслуживанию нагревательных систем, в частности указывается периодичность обслуживания;
g) информацию о регулярной проверке системы заземления сушильного устройства;
h) рекомендации по мерам безопасности в случае использования в сушильном устройстве любых видов источников воспламенения;
i) указания об использовании материалов и инструмента, только рекомендованных изготовителем, при необходимости, и применении их в соответствии с прилагаемой инструкцией;
j) информацию об использовании средств защиты органов дыхания с подачей чистого воздуха при работе в загрязненной среде;
k) сведения по ремонту и устранению отказов;
l) перечни применяемых запасных частей, если эти части влияют на здоровье и безопасность операторов;
m) описание регулировок, операций по техническому обслуживанию и проверок, которые должны выполняться потребителем вместе с предохранительными мерами безопасности, например:
1) измерение концентрации кислорода и окиси углерода перед входом в сушильное устройство,
2) сведения о следующих проверках:
i) проверка сушильного устройства и устройств безопасности перед первым использованием;
ii) повторная проверка сушильного устройства и устройств безопасности;
iii) повторная проверка проточных датчиков и систем газового и кислородного автоматического контроля в соответствии с инструкциями изготовителя по проверке и техническому обслуживанию, требований испытательных сертификатов для этих устройств.
Примечание 1 - Испытательные сертификаты для таких устройств выдаются аккредитованными испытательными организациями.
Примечание 2 - Правила испытаний могут быть установлены на национальном уровне.
На машине должна быть нанесена следующая информация:
a) наименование и полный адрес изготовителя;
b) обозначение (марка оборудования);
c) обозначение серии или типа сушильного устройства (см.
раздел 3);
d) год изготовления, т.е. год, в котором завершено изготовление;
e) серийный номер, если он имеется;
f) установленная мощность энергоносителей:
- электрических,
- других;
g) максимальная температура сушки в градусах Цельсия (номинальная температура);
h) предельно допустимые количества выделяющихся горючих веществ в сушильном устройстве или подаваемых (загружаемых) горючих веществ;
i) минимальная требуемая объемная скорость потока при 20 °C в кубических метрах в час (м3/ч) при предельно допустимом количестве выделяющихся горючих веществ в сушильном устройстве или подаваемых (загружаемых) горючих веществ;
j) максимальная температура нагревания поверхности в градусах Цельсия или: "свыше 750 °C";
k) в соответствующих случаях: маркировка согласно EN 12198-1, относящаяся к опасностям, вызываемым излучением;
l) на камерных сушильных устройствах дополнительно должны быть указаны:
1) полезный объем в кубических метрах (м3),
2) общий объем в кубических метрах (м3).
(обязательное)
ОСНОВЫ РАСЧЕТА ВОЗДУШНОГО ПОТОКА В СУШИЛЬНЫХ УСТРОЙСТВАХ
A.1 Камерные сушильные устройства
A.1 Основы расчета для камерных сушильных устройств
A.1.1 Общие положения
Производственный опыт показывает, что характер изделия, подлежащего сушке, тип материала для печати и покрытия и температура сушки являются главными факторами для определения минимальной объемной скорости выходящего потока.
Примечание 1 - Различные виды полуфабрикатов (например, отдельные листы металла, кузова автомобиля, отливные формы и литейные стержни, обмотка электродвигателя, толстые ткани, кожа, бумаги с впитывающей основой) имеют различную интенсивность выделения горючих веществ.
Приведенные ниже методы расчета/определения учитывают эти обстоятельства и должны быть выбраны после тщательной оценки, особенно в части уровня испарения выделяющихся горючих веществ или газообразных продуктов реакции в случае отверждения порошковых покрытий.
Метод расчета A (см.
A.1.1.2) должен быть выбран для процессов сушки с быстрым испарением, например легких материалов, которые могут быть быстро нагреты или в случае использования быстроиспаряющихся горючих веществ. Метод расчета A является также основным для сушки лака литейных форм и сушки смоляного лака.
Примечание 2 - Быстрое испарение происходит обычно при сушке тонких пленок или тонких материалов (например, печатная продукция, покрытия рулонного металла).
Метод расчета B (см.
A.1.1.3) должен быть выбран в случае, если в связи с особенностью процесса, происходит медленное испарение горючих веществ.
Примечание 3 - Например, в случае:
a) сушки массивных, тяжелых и/или больших изделий, например кузовов автомобиля;
b) материалов покрытий с компонентами растворителя, имеющими значительно более низкую скорость выделения по сравнению с обычно применяемыми растворителями;
c) большой толщины покрытия (порядка нескольких миллиметров) с отличающимися параметрами сушки по сравнению с сушкой лака литейных форм и пропитывающего смоляного лака по методу A.
A.1.1.2 Расчет камерных сушилок в случае быстрого испарения - Метод A
a) предельно допустимое количество горючих веществ
В случае использования сушильных устройств для сушки лаковых покрытий литейных форм показатели предельно допустимого количества горючих веществ для поверхностной сушки литейных форм могут быть увеличены за счет фактора 10.
В случае использования сушильных устройств для сушки пропитывающих смол показатели предельно допустимого количества горючих веществ для поверхностной сушки литейных форм могут быть увеличены за счет фактора 20.
b) время основного испарения
После загрузки предварительно прогретого камерного сушильного устройства время основного испарения составляет не менее:
- 5 мин - для сушки изделий с покрытием поверхности;
- 15 мин - для сушки лаковых покрытий литейных форм;
- 60 мин - для сушки пропитывающих лаков.
В случае, когда сушильное устройство загружено до предварительно прогрева, время основного испарения (изделий с покрытием поверхности) равно времени, необходимому для достижения температуры сушки. В случае сушки лаковых покрытий литейных форм время основного испарения равно времени, необходимому для достижения температуры сушки плюс не менее 5 минут. В случае сушки пропитывающего смоляного лака время основного испарения равно времени, необходимому для достижения температуры сушки плюс не менее 30 минут.
c) потери до начала сушки
Для деталей с покрытием потери нанесенного количества выделяющихся горючих веществ (растворителей) до начала сушки, после среднего времени перед сушкой, может приблизительно составлять следующие значения:
Среднее время до начала сушки, мин | Потери нанесенного количества выделяющихся горючих веществ (растворителей) до начала сушки, % |
10 | 25 |
20 | 45 |
30 | 50 |
При сушке лаковых покрытий литейных форм потери до начала сушки нанесенного количества выделяющихся горючих веществ (растворителей) может приблизительно составлять следующие значения:
Среднее время до начала сушки | Потери нанесенного количества выделяющихся горючих веществ (растворителей) до начала сушки |
10 мин | 15% |
20 мин | 25% |
30 мин | 35% |
40 мин | 40% |
50 мин | 45% |
60 мин | 50% |
Среднее время до начала сушки для камерных сушильных устройств составляет половину времени, необходимого для покрытия материала одной загрузки, плюс время, прошедшее между нанесением покрытия материала и загрузкой его в сушильное устройство.
Пояснения к символам и единицы измерения:
Mmax, г - общее, т.е. максимальное количество горючих веществ, поданных (загруженных) в сушильное устройство (общее количество растворителей) (см.
3.22);

, °C - температура процесса сушки (см.
3.12). Для радиационного нагрева, предельная температура сушки составляет сумму максимальной температуры выделяющегося газа плюс 50 °C;
V, м
3 - общий объем сушильного устройства (см.
3.25);
НКПВ, г/м3(S) - нижний предел воспламенения (НКПВ) выделяющихся горючих веществ при 20 °C (293 К).
Примечание - Рекомендуется использовать значения величин, указанные изготовителем/поставщиком материалов для печати и нанесения покрытий.
Если компоненты растворительных смесей известны, НКПВ не известен, в этом случае принимается НКПВ компонента с самой низкой величиной. Если эта величина неизвестна, принимается 40 г/м3;

- соотношение предельно допустимой концентрации выделяющихся горючих веществ и имеющейся, при отсутствии воздухообмена;
CНКПВдоп - максимальная концентрация выделяющихся горючих веществ внутри сушильного устройства (в % от НКПВ), см.
рис 1;
t0, ч - теоретическое (расчетное) время испарения всего количества выделяющихся горючих веществ Mmax, поданных (загруженных) в сушильное устройство, при температуре сушки и при теоретическом предположении, что скорость испарения в начале остается постоянной в течение всего процесса сушки;
tw, ч - время однократного воздухообмена общего объема сушильного устройства;

, м
3/ч - минимальная объемная скорость потока при температуре сушки, замеренная с учетом аэродинамического сопротивления в сушильных устройствах и вытяжных воздуховодах (см.
3.20);
Cдоп, г/м3(S) - предельно допустимое количество выделяющихся горючих веществ внутри общего объема сушильного устройства

. (A.1)
Расчет циркуляции воздуха в камерных сушилках должен быть выполнен в соответствии со следующим уравнением:

. (A.2)
Зависимость

от
t0/
tw показана на
рисунке A.1. Соответствующие значения величин берутся из этой диаграммы.
Альтернативно зависимость может быть рассчитана на основе следующего уравнения:

. (A.3)
Если величина т известна,

. (A.4)
Величина т может быть рассчитана на основе следующего уравнения:

, (A.5)
где a = -2946;
b = -3 096;
c = 3 045;
d = -5 222.
Далее выполняется расчет теоретического времени испарения t0 всего количества выделяющихся горючих веществ, поданных (загруженных) в сушильное устройство, при температуре сушки:

. (A.6)
Поскольку время tw, необходимое для воздухообмена общего объема сушильного устройства V:

. (A.7)
Таким образом, минимальная объемная скорость выходящего потока при температуре сушки составит:

. (A.8)
Максимальное количество выделяющихся горючих веществ, загруженных в сушильное устройство, может быть рассчитано по следующей формуле:

. (A.9)
Рисунок A.1 - Зависимость

от т
Кривая, полученная на основе
уравнения A.4, представлена сплошной линией.
Для т = 1 функция (кривая) не обозначена. Кривая
уравнения (A.5) нанесена пунктирной линией.
A.1.1.3 Расчет для случая медленного испарения - Метод B
В настоящее время метод расчета циркуляции воздуха в камерных сушильных устройствах в случае медленного испарения отсутствует. Если бы такой метод расчета имелся, он был бы частью настоящего стандарта. В настоящее время объемная скорость потока искусственной вентиляции для такого случая может быть определена только ориентировочно.
Для предотвращения уровня концентрации в сушильных устройствах, превышающего 40% нижнего предела воспламенения (НКПВ) для диапазона 1, достаточная вентиляция должна быть обеспечена с учетом имеющегося достоверного опыта или максимальной скорости выделения, установленной на основе испытаний в производственных условиях.
Объемная скорость потока искусственной вентиляции в 4 м
3/мин на литр растворителя должна быть минимальной. В противном случае рекомендуется использовать системы автоматического контроля газа согласно
5.9.1.1.2 даже в условиях нормальной работы.
В любом случае система автоматического контроля газа согласно
5.9.1.1.2 должна применяться на этапе испытаний сушильного устройства и/или для новых процессов сушки.
Этот метод не применим для материалов с малой массой, которые могут быстро нагреваться (например, бумага или текстильные изделия), или материалов, покрытых легко испаряющимися выделяющимися горючими веществами. В этих случаях максимальная величина интенсивности выделения может увеличиться до такой степени, что этот метод не даст надежного результата.
Подобная процедура рекомендуется при сушке порошковых покрытий в камерных сушильных устройствах.
A.2 Сушильные устройства непрерывного действия (поточного типа)
A.2.1 Основы расчета для сушильных устройств непрерывного действия (поточного типа)
За основу приведенного далее расчета принята средняя величина молярной массы 100 г/мол в связи с тем, что молярная масса выделяющихся горючих веществ, как правило, составляет от 60 г/мол до 150 г/мол.
Пояснения к символам и единицы измерения:
Mmax, г/ч - максимальная пропускная способность выделяющихся горючих веществ, вводимых (загружаемых) или выделяющихся внутри сушильного устройств в час;
Qmin,(S), м3(s)/ч - минимальная объемная скорость выходящего потока при температуре сушки, приведенной к 20 °C (и 1013 mbar), измеренная с учетом аэродинамического сопротивления в сушильном устройстве и воздуховодах;

- минимальная объемная скорость выходящего потока при температуре сушки, измеренная с учетом аэродинамического сопротивления в сушильном устройстве и воздуховодах;

- температура сушки (см.
3.12);
НКПВ, г/м3(s) - нижний предел воспламенения выделяющихся горючих веществ при температуре сушки 20 °C (293 К).
Примечание:
a) должна применяться величина, установленная изготовителем/поставщиком материала для печати или покрытия;
b) если компоненты растворителя известны, а НКПВ растворителя известен, должен быть принят НКПВ компонента с самым низким значением;

- нижний предел воспламенения выделяющихся горючих веществ при температуре сушки;
CНКПВдоп (% от НКПВ) - предельно допустимая концентрация выделяющихся горючих веществ в сушильном устройстве (в % от НКПВ), см.
рисунок 1;

- предельно допустимая концентрация выделяющихся горючих веществ при температуре сушки (в % от НКПВ);
f - данный коэффициент не может быть вычислен с помощью формулы, но в любом случае не может быть менее 1.
Эту величину должен определить конструктор сушильного устройства с учетом эффективности вентиляции/циркуляции воздуха и равномерности концентрации выделяющихся горючих веществ во всех зонах сушильного устройства с учетом влияния, например:
a) геометрии сушильного устройства;
b) распределения загрузки, ее профиля и размера;
c) скорости воздушного потока и его турбулентности;
d) скорости выделения и дисперсии растворителя.
Cдоп, г/м3 - предельно допустимое количество выделяющихся горючих веществ в пределах общего объема сушильного устройства

. (A.10)
В случае, когда сушильное устройство поточного типа разделено на секции (вентиляционные секции), для каждой секции выполняется соответствующий расчет вентиляции с учетом количества выделяющихся в каждой секции горючих веществ в час. Если воздушный поток между секциями оказывает влияние на концентрацию растворителя, необходимо проводить измерение концентрации в каждой секции при вводе сушильного устройства в эксплуатацию и каждый раз, когда вносятся изменения в систему вентиляции, чтобы удостовериться, что все параметры являются правильными, соответствуют установленным при конструировании.
Об измерении концентрации горючих веществ в сушильном устройстве см.
приложение C.
Расчет воздушного потока для сушильного устройства непрерывного действия должен быть выполнен в соответствии с приведенными ниже формулами.
Минимальная объемная скорость выходящего потока, приведенная к температуре 20 °C, определяется следующим образом:

. (A.11)
Минимальная объемная скорость выходящего потока при температуре сушки рассчитывается следующим образом:

. (A.12)
Отсюда максимальная пропускная способность выделяющихся горючих веществ в сушильном устройстве непрерывного действия, допустимая для данной объемной скорости выходящего потока, составит:

. (A.13)
или

. (A.14)
A.2.2 Основы расчета для сушильных устройств непрерывного действия (поточного типа) для порошковых покрытий
Пояснения к символам и единицы измерения:
W, г/ч - максимальное количество порошковых покрытий, поступающих в сушильное устройство в час;
R - процент составных частей порошковых покрытий, выделенных в процессе цикла закрепления сушильного устройства. В случае, если точное значение величины R не известно, должна применяться величина в размере 9% веса покрытия (R = 0,09);
Mmax, г/ч - R·W;
НКПВ20, г/м3(s) - НКПВ выделяющихся горючих компонентов при 20 °C (293 К) и 1013 mbar.
Примечание:
a) должны применяться величины, указанные изготовителем/поставщиком порошкового покрытия;
b) если компоненты выделяющихся составляющих известны, но НКПВ их смеси не известен, при этом должна приниматься НКПВ компонента с самой низкой величиной;
c) в случае, если достоверное значение величины НКПВ отсутствует, среднее значение уровня концентрации не должно превышать 10 г/м3.
На основе набора этих данных расчет может быть выполнен согласно
A.2.1.
(справочное)
B.1 Камерные сушильные устройства
B.1.1 Пример 1: Расчет требуемой минимальной объемной скорости выходящего потока (см. 3.20)
Полуфабрикаты, покрытые лаком в количестве 250 г, загружены в камерное сушильное устройство общим объемом 1,5 м
3 при температуре сушки 260 °C. Процесс сушки одновременно загруженных полуфабрикатов занимает 40 мин, количество выделяющихся горючих веществ в лаке составляет 50%. Выделяющееся вещество - этанол. НКПВ
20 составляет 59 г/м
3, температурная зависимость - 7,5%/100 К. Среднее время до начала сушки составляет половину времени покрытия - 20 мин и, таким образом, потеря перед сушкой составляет 45% (см.
A.1.1.2).
Каков минимальный уровень объемной скорости выходящего потока?
Известные параметры:
- количество лака составляет 250 г, выделяющиеся горючие вещества - 50%;
- время до начала сушки - 20 мин, следовательно, потери до начала сушки принимаются в размере 45%;
- температура сушки - 260 °C;
- общий объем сушильного устройства - 1,5 м3;
- НКПВ20 = 59 г/м3;
-

.
Для 250 г первоначального лакового покрытия с содержанием выделяющихся горючих веществ в размере 50%:

выделяющихся горючих веществ содержалось в первоначальном лаковом покрытии.
Учитывая потери до начала процесса сушки в размере 45%,
выделяющихся горючих веществ было загружено в камерное сушильное устройство.
Сушильное устройство действует в диапазоне 2 в соответствии с
рисунком 1 (о требованиях см.
5.9.1.6). Под влиянием кинетики реакции НКПВ снижается с увеличением температуры, что характеризуется
уравнением (C.2):

.

.

.

.
можно сделать вывод, что
и, согласно
уравнению (A.8), минимальная объемная скорость выходящего потока при температуре сушки составит

.
B.1.2 Пример 2: Расчет максимально допустимого количества лака
Детали, покрытые лаком, сушатся в камерном сушильном устройстве общим объемом 36,8 м3 при температуре сушки 210 °C. Определенная минимальная объемная скорость выходящего потока при температуре сушки составляет 2100 м3/ч.
Какое максимальное количество лака может быть нанесено, если он составляет 60% веса выделяющихся горючих веществ (растворителей) и среднее время перед сушкой составляет 20 мин?
Поскольку НКПВ и молярный вес выделяющихся горючих веществ (растворителей) не известны, принимаем

. Неизвестная температурная зависимость НКПВ приблизительно составляет 20%/100 К.
Известные параметры (данные):
- объемная скорость выходящего потока: | 2100 м3/ч; |
- общий объем сушильного устройства: | 36,8 м3; |
- время перед сушкой: | 20 мин; |
- температура сушки: | 210 °C; |
- НКПВ
20 и

не известны, поэтому НКПВ
20 = 40 г/м
3 и

.
При температуре сушки 210 °C время испарения, рассчитанное по
уравнению (A.6), составляет:

.
Время воздухообмена в общем объеме сушильного устройства, рассчитанное согласно
уравнению (A.7), составляет:

.
Таким образом, соотношение t0/tw составит:

.

;

.
При работе в диапазоне 2
рисунка 1 предельно допустимая концентрация составляет 60% НКПВ, т.е. 14,8 г/м
3.
В соответствии с
уравнением (A.9), общее количество выделяющихся горючих веществ (например, растворителей), которое должно быть загружено, составит:

.
Потери перед сушкой (см.
A.1.1.2) после истечения среднего времени перед сушкой в размере 20 мин составляют 45%. Таким образом,
Mmax соответствует 55% количества выделяющихся горючих веществ (например, растворителей), содержащихся в материалах для запечатывания или покрытия перед сушкой, т.е. максимально допустимое количество горючих веществ в лаке, которое может быть нанесено, составит:

.
При доле выделяющихся горючих веществ в лаке в размере 60% результат составит:

.
Таким образом, максимальное количество лака, которое может быть нанесено за одну загрузку, составляет 2,288 кг.
B.2 Сушильные устройства непрерывного действия (поточного типа)
B.2.1 Пример расчета минимально необходимой объемной скорости выходящего потока
a) Пример 1
Стальные пластины различного размера поверхности высушиваются в сушильном устройстве непрерывного действия при температуре сушки 260 °C. Максимальное количество выделяющихся горючих веществ составляет 48 кг/ч. Коэффициент вентиляции сушильного устройства (f) равен 1. Выделяющееся горючее вещество имеет НКПВ20 = 59 г/м3. Температурная зависимость НКПВ этого вещества составляет - 11%/100 К.
Сушильное устройство работает в диапазоне 2 согласно
рисунку 1.
Известные параметры:
- температура сушки составляет 260 °C;
- выделение горючих веществ - 48 кг/ч;
- коэффициент вентиляции - 1;
- НКПВ20 - 59 г/м3;
-

.
Под действием кинетики реакции НКПВ снижается с увеличением температуры. Эта зависимость может быть описана
уравнением (C.2):

,
из чего следует:

.
В соответствии с
уравнением (A.11), минимальная объемная скорость выходящего потока, при температуре 20 °C, составит:

.
Таким образом, минимальная объемная скорость выходящего потока при температуре сушки согласно
уравнению (A.12) составляет:

.
b) Пример 2
Сушильное устройство разделено на две секции с независимой друг от друга вентиляцией (раздельный впуск и выпуск воздуха). 70% загружаемых выделяющихся горючих веществ выделяется в первой секции, 30% - во второй.
Сушильное устройство работает в диапазоне 3 согласно
рисунку 1. Концентрация выделяющихся горючих веществ измеряется системами автоматического контроля газа в обеих секциях сушильного устройства, максимальное допустимое выделение ограничивается до безопасного уровня с помощью специального устройства для нанесения покрытия (см.
5.9.1.6.3).
Согласно
рисунку 1, фактор
CНКПВдоп составляет 75% от НКПВ
20 при температуре сушки 260 °C. Под действием кинетики реакции НКПВ
20 снижается с увеличением температуры. Эта зависимость может быть описана
уравнением (C.2):

.
Таким образом, максимально допустимое количество выделяющихся горючих веществ в обеих секциях сушильного устройства составит Cдоп = 32,6 г/м3(S).
70% от 48 кг/ч, т.е. 33,6 кг/ч выделяется в первой секции.
Согласно
уравнению (A.11), минимальная объемная скорость выходящего потока при температуре 20 °C, составит:

.
В первой сушильной секции минимальная объемная скорость выходящего потока при температуре сушки согласно
уравнению (A.12) составляет:

.
Во второй секции выделяется 30% из 48 кг/ч, т.е. 14,4 кг.
Согласно
уравнению (A.11), минимальная объемная скорость выходящего потока при температуре 20 °C во второй секции составит:

.
Согласно
уравнению (A.12), минимальная объемная скорость выходящего потока при температуре сушки составляет:

.
B.2.2 Пример расчета максимально допустимой пропускной способности сушильного устройства горючих веществ
В сушильном устройстве непрерывного действия необходимо высушить бумажное полотно при температуре сушки 160 °C. Нижний предел воспламенения растворителя при 20 °C составляет 35 г/м3. Минимальная объемная скорость выходящего потока при температуре сушки равна 24 060 м3/ч. Коэффициент вентиляции сушильного устройства равен 1 (f = 1).
Какое максимальное количество растворителя в час может быть введено в сушильное устройство?
Известные параметры:
- температура сушки составляет 160 °C;
- минимальная объемная скорость выходящего потока - 24 060 м3/ч;
- коэффициент вентиляции - f = 1;
- НКПВ20 - 35 г/м3;
-

не известен, поэтому - -20%/100 К.
Общий объем сушильного устройства не свободен от источников воспламенения, концентрация горючих веществ измеряется системой автоматического контроля газа.
В связи с этим, сушильное устройство отнесено к диапазону 2, согласно
рисунку 1. В соответствии с
рисунком 1, по
уравнению (C.2) получаем следующий результат при температуре сушки 160 °C:

.
Таким образом, максимально допустимое количество горючих веществ в общем объеме сушильного устройства составит Cдоп = 15,1 г/м3(S).

.
Следовательно, максимальное количество растворителя, которое может быть введено в сушильное устройство непрерывного действия, составит 246 кг/ч.
(обязательное)
ИЗМЕРЕНИЕ КОНЦЕНТРАЦИИ В СУШИЛЬНЫХ УСТРОЙСТВАХ
C.1 Общие положения
Точки отбора пробы для измерения должны быть расположены таким образом, чтобы система автоматического контроля газа могла своевременно обнаружить любое превышение допустимой концентрации горючих веществ внутри сушильного устройства.
Примечание - Исключение составляет приповерхностный слой объектов с нанесенным покрытием.
Для соответствующих изделий (например, листы) точки измерения должны находиться, по возможности, на расстоянии от 5 см до 10 см от покрытой поверхности, в зоне выхода воздушного потока.
В случае если точки отбора пробы для измерения расположены в зоне рециркуляционного воздухопровода, они должны находиться по направлению потока в полезном объеме сушильного устройства (в зоне выхода воздушного потока). Точки отбора пробы для измерения внутри вытяжного вентиляционного воздухопровода должны быть расположены как можно ближе к полезному объему, в зоне, где находится однородная смесь горючих веществ в воздухе.
Должны быть учтены различия уровня концентрации в точках измерения и участках с максимальной концентрацией.
Для определения участков с наиболее высокой концентрацией горючих веществ во время пуско-наладочных работ производятся контрольные замеры уровня концентрации отдельно для каждой секции сушильного устройства.
C.2 Требования к системам измерения уровня концентрации
В общем случае системы измерения уровня концентрации включают систему автоматического контроля газа и, при необходимости, дополнительные пробоотборники.
Системы измерения уровня концентрации должны своевременно обнаруживать возможные изменения уровня концентрации для предотвращения возникновения опасных состояний.
Максимальное увеличение во времени концентрации внутри общего объема сушильного устройства должно быть определено с учетом оценки риска. При этом должны быть учтены как нормальный режим работы, так и неисправности в работе.
Общее время установления показаний системы измерения определяется:
- временем прохождения газа внутри общего объема до точки отбора пробы;
- временем запаздывания (мертвое время) пробоотборника (при минимальной объемной скорости потока газовой пробы);
- временем настройки системы автоматического контроля газа;
- временем до начала эффективного действия счетчика измерений.
Примечание 1 - Это требование предполагает знание динамической характеристики сушильного устройства, включая все узлы управления. Для сложных установок должны также учитываться установки, расположенные выше по потоку.
Системы автоматического контроля газа должны соответствовать категории 2G, в частности, они должны быть применимы для всех горючих веществ, выделяющихся в процессе сушки, согласно EN 60079-29-1.
Конструкция пробоотборника должна минимизировать время запаздывания (мертвое время), связанное с перемещением измеряемого газа.
Примечание 2 - На величину времени запаздывания влияет скорость подачи насосом измеряемого газа, длина и поперечное сечение пробоотборной линии и объем фильтра.
Система отбора проб должна быть пригодной для всех горючих веществ, выделяющихся в процессе сушки. В случае падения объемного потока образца газа ниже допустимого минимального уровня на экране должно быть осуществлено оповещение о неисправности.
Настройка системы автоматического контроля газа должна выполняться одним из следующих способов:
a) на основе горючих веществ, выделяющихся в процессе работы или
b) путем использования заменителей испытываемого газа; в этом случае должен быть применен коэффициент чувствительности (реакции) системы контроля анализируемого горючего вещества по отношению к заменителю газа. Для смесей горючих веществ должны быть учтены все компоненты.
C.3 Расчет нижнего предела воспламенения при температуре сушки
Нижний предел воспламенения при температуре сушки

может быть рассчитан на основе нижнего предела воспламенения НКПВ в г/м
3 при 20 °C. Должны быть учтены как температурная зависимость объема газа (физическое влияние), так и способность к воспламенению (химическое влияние).
Приведенные ниже формулы применимы для идеальных газов без учета изменений давления.
Определения символов и единицы измерения:

- нижний предел воспламенения при 20 °C и 1013 мбар;

- нижний предел воспламенения при 20 °C, соответствующий температуре газа

;

- нижний предел воспламенения при температуре

, соответствующий 20 °C;

- нижний предел воспламенения при температуре

, соответствующий температуре

;

- температура сушки;

- температура газа, относящаяся к уровню концентрации в г/м
3.
Стандартными (нормативными) величинами

,

и

;

, %/100 К - температурная зависимость от кинетики реакции НКПВ; если эта величина не известна, принимается

.
C.3.1 Влияние температуры на показания величины концентрации (физическое влияние)
Числовое значение нижнего предела воспламенения при 20 °C меняется в зависимости от температуры газа, при которой измерена величина концентрации. Это физическое влияние должно быть учтено при измерении концентрации, если предельно допустимая концентрация горючих веществ согласно
рисунку 1 не зависит от температуры (это имеет место всегда в случае, когда значение предельной величины концентрации для допустимого рабочего диапазона расположено на диаграмме горизонтально).
Пересчет числового значения величины нижнего предела воспламенения при 20 °C к температуре газа

производится по формуле:

, (C.1)

в граммах на кубический метр (г/м
3);

в градусах Цельсия (°C).
Показания уровня концентрации измерительного прибора обычно базируются на исходной температуре

. При необходимости, показания измеренной величины должны быть пересчитаны для температуры газа

.
C.3.2 Влияние температуры смеси на кинетику реакции (химическое влияние)
Приведенная ниже формула характеризует приближенную линейную температурную зависимость нижнего предела воспламенения НКПВ в соответствии с
рисунком 1.

, (C.2)
где

в граммах на кубический метр (г/м
3);

в градусах Цельсия (°C);

в %/100 К.
C.3.3 Учет химического и физического влияний
Если предельно допустимый уровень концентрации горючих веществ согласно
рисунку 1 находится в линейной зависимости от температуры, при контроле уровня концентрации должно быть учтено химическое и физическое влияние.
Нижний предел воспламенения при температуре сушки

, соответствующий температуре газа

, определяется в соответствии с уравнением:

, (C.3)

в граммах на кубический метр (г/м
3);

и

в градусах Цельсия (°C);

в %/100 К.
Показания концентрации измерительного инструмента обычно базируются на исходной температуре

. При необходимости, показания измеренной величины должны быть пересчитаны для температуры газа

.
(обязательное)
ПРОТИВОВЗРЫВНЫЕ УСТРОЙСТВА
Противовзрывные устройства являются автоматическими системами защиты. Противовзрывные устройства должны быть сконструированы согласно EN 14994.
Примечание - EN 14994 применяется только к сушильным устройствам, которые не способны выдержать давление взрыва 10 кПа и выше. Информация о противовзрывных устройствах для давления взрыва менее 10 кПа приводится также в ANCI/NFPA 68
[17] "Стандарт по защите от взрыва посредством дефлаграционной вентиляции".
Кроме того, следует учитывать пункт 6.5.3 EN 1127-1:2007.
(справочное)
ВЗАИМОСВЯЗЬ НАСТОЯЩЕГО СТАНДАРТА С ОСНОВОПОЛАГАЮЩИМИ
ТРЕБОВАНИЯМИ ДИРЕКТИВЫ ЕС 98/37/ЕС
--------------------------------
<*> Настоящее приложение идентично приложению ZA примененного европейского регионального стандарта и приводится для информации, поскольку его действие распространяется только на государства - члены Европейского союза.
Настоящий стандарт подготовлен на основании поручения, данного Комитету по стандартизации (CEN) Европейской комиссией (ЕС) и Европейской ассоциацией свободной торговли (ЕАСТ), как средство выполнения основополагающих требований нового подхода Директивы ЕС по машинам и оборудованию 98/37/ЕС.
После опубликования сведений о настоящем стандарте в официальном бюллетене Европейского союза на основании указанной Директивы и его введения в действие в качестве национального стандарта, по крайней мере одним государством - его членом, соответствие нормативным положениям настоящего стандарта дает основание для признания его соответствия основополагающим требованиям упомянутой Директивы и связанным с ней правилам ЕАСТ в пределах рамок действия настоящего стандарта.
Предупреждение - К продукции, на которую распространяется действие настоящего стандарта, могут применяться другие требования и другие Директивы ЕС.
(справочное)
ВЗАИМОСВЯЗЬ НАСТОЯЩЕГО СТАНДАРТА С ОСНОВОПОЛАГАЮЩИМИ
--------------------------------
<*> Настоящее приложение идентично приложению ZB примененного европейского регионального стандарта и приводится для информации, поскольку его действие распространяется только на государства - члены Европейского союза.
Настоящий стандарт подготовлен на основании поручения, данного Комитету по стандартизации (CEN) Европейской комиссией (ЕС) и Европейской ассоциацией свободной торговли (ЕАСТ), как средство выполнения основополагающих требований нового подхода
Директивы ЕС по машинам и оборудованию 2006/42/ЕС.
После опубликования сведений о настоящем стандарте в официальном бюллетене Европейского союза на основании указанной
Директивы и его введения в действие в качестве национального стандарта, по крайней мере одним государством - его членом, соответствие нормативным положениям настоящего стандарта дает основание для признания его соответствия основополагающим требованиям упомянутой
Директивы и связанным с ней правилам ЕАСТ в пределах рамок действия настоящего стандарта.
Предупреждение - К продукции, на которую распространяется действие настоящего стандарта, могут применяться также другие требования и другие Директивы ЕС.
(справочное)
СВЕДЕНИЯ О СООТВЕТСТВИИ ССЫЛОЧНЫХ ЕВРОПЕЙСКИХ РЕГИОНАЛЬНЫХ
И МЕЖДУНАРОДНЫХ СТАНДАРТОВ МЕЖГОСУДАРСТВЕННЫМ СТАНДАРТАМ
Таблица ДА.1
Обозначение ссылочного международного стандарта | Степень соответствия | Обозначение и наименование соответствующего межгосударственного стандарта |
EN 547-1:1996+A1:2008 | - | |
EN 619:2001+A1:2010 | - | |
EN 746-1:1997+A1:2009 | - | |
EN 746-2 | - | |
EN 953:1997+A1:2009 | - | |
ЕН 1037:1995+A1:2008 | - | |
| | ИС МЕГАНОРМ: примечание. В официальном тексте документа, видимо, допущена опечатка: стандарт имеет номер ГОСТ 31438.1-2011, а не ГОСТ 31438-2011. | |
|
EN 1127-1:2007 | IDT | ГОСТ 31438-2011 (EN 1127-1:2007) "Взрывоопасные среды. Взрывозащита и предотвращение взрыва. Часть 1. Основополагающая концепция и методология" |
EN 12198-1:2000+A1:2008 | IDT | ГОСТ EN 12198-1-2012 "Безопасность машин. Оценка и уменьшение опасности излучения, исходящего от машин. Часть 1. Общие принципы" |
EN 12433-1 | - | |
EN 12445 | - | |
EN 12453 | - | |
EN 12635 | - | |
EN 12978 | - | |
EN 13023+A1:2010 | - | |
EN 13463-1:2009 | MOD | ГОСТ 31441.1-2011 "Оборудование неэлектрическое, предназначенное для применения в потенциально взрывоопасных средах. Часть 1. Общие требования" |
EN 13478:2001+A1:2008 | IDT | |
EN 13501-1:2007+A1:2009 | - | |
EN 14462 | - | |
EN 14994 | - | |
EN 50104 | - | |
|
|
EN 60079-0:2006 | MOD | ГОСТ 31610.0-2012 (IEC 60079-0:2004) "Электрооборудование для взрывоопасных газовых сред. Часть 0. Общие требования" |
EN 60079-29-1 | IDT | ГОСТ IEC 60079-29-1-2013 "Взрывоопасные среды. Часть 29-1. Газоанализаторы. Требования к эксплуатационным характеристикам газоанализаторов горючих газов" |
EN 60204-1:1997 | - | |
EN 61000-6-2 | MOD | ГОСТ 30804.6.2-2013 (IEC 61000-6-2:2005) "Совместимость технических средств электромагнитная. Устойчивость к электромагнитным помехам технических средств, применяемых в промышленных зонах. Требования и методы испытаний" |
EN ISO 12100-1:2003 | IDT | ГОСТ ISO 12100-2013 "Безопасность машин. Основные принципы конструирования. Часть 1. Оценка риска и снижение риска" |
| | ИС МЕГАНОРМ: примечание. В официальном тексте документа, видимо, допущена опечатка: одна и та же строка таблицы приведена дважды. | |
|
EN ISO 12100-1:2003 | IDT | ГОСТ ISO 12100-2013 "Безопасность машин. Основные принципы конструирования. Часть 1. Оценка риска и снижение риска" |
EN ISO 13732-1:2008 | - | |
EN ISO 13849-1:2008 | - | |
EN ISO 14122-2:2001 | - | |
EN ISO 14122-3:2001 | - | |
EH ISO 14122-4:2004+A1:2010 | - | |
IEC 62598 | - | |
IEC 60519-1 | IDT | |
IEC 60519-6 | - | |
<*> Соответствующий межгосударственный стандарт отсутствует. До его утверждения рекомендуется использовать перевод на русский язык данного международного стандарта. Примечание - В настоящей таблице использованы следующие условные обозначения степени соответствия стандартов: - IDT - идентичные стандарты; - MOD - модифицированные стандарты. |
| EN ISO 13857 | Safety of machinery - Safety distances to prevent danger zones being reached by upper and lower limbs (ISO 13857:2008) |
| EN 1839 | Determination of explosion limit of gases and vapors |
| EN 12198-3 | Safety of machinery - Assessment and reduction of risks arising from radiation emitted by machinery - Part 3: Reduction of radiation by attenuation or screening |
[4] | EN 13237:2003 | Potentially explosive atmosphere - Terms and definitions for equipment and protective systems intended for use in potentially explosive atmospheres |
[5] | EN ISO 4618:2006 | Paints and varnishes - Terms and definitions (ISO 4618:2006) |
| EN ISO 10218-1 | Robots for industrial environments - Safety requirements - Part 1: Robot (ISO 10218:2006, including Cor.1:2007) |
| EN ISO 11688-1 | Acoustics - Recommended practice for the design of low noise machinery and equipment - Part 1: Planning (ISO/TR 11688-1:1995) |
| EN ISO 11688-2 | Acoustics - Recommended practice for the design of low noise machinery and equipment - Part 2: Introduction to the physics of low-noise design (ISO/TR 11688-2:1998) |
| EN 60079-29-2 | Explosive atmospheres - Part 29-2: Gas detectors - selection, installation, use and maintenance of detectors for flammable gases and oxygen (IEC 60079-29-2:2007) |
| EN ISO 14121-1 | Safety of machinery - Risk assessment - Part 1: Principles (ISO 14121-1:2007) |
[11] | EN 61000-6-1 | Electromagnetic compatibility (EMC) - Part 6-1: Generic standards; Immunity for residential, commercial and light-industrial environments (IEC 61000-6-1:2005) |
[12] | EN 61000-6-3 | Electromagnetic compatibility (EMC) - Part 6-3: Generic standards; Emission standard for residential, commercial and light-industrial environments (IEC 61000-6-3:2006) |
[13] | EN 61000-6-4 | Electromagnetic compatibility (EMC) - Part 6-4: Generic standards; Emission standard for industrial environments (IEC 61000-6-4:2006) |
[14] | EN 12215 | Coating plants - Spray booths for application of organic liquid coating materials - Safety requirements |
[15] | EN 13355 | Coating plants - Combined booths - Safety requirements |
[16] | EN 13445 (all parts) | Unfired pressure vessels |
| ANSI/NFPA 68 | Standard on explosion protection by deflagration venting |