Главная // Актуальные документы // ГОСТ (Государственный стандарт)СПРАВКА
Источник публикации
М.: Стандартинформ, 2017
Примечание к документу
Документ включен в
Перечень международных и региональных (межгосударственных) стандартов, а в случае их отсутствия - национальных (государственных) стандартов, в результате применения которых на добровольной основе обеспечивается соблюдение требований технического
регламента Таможенного союза "О безопасности машин и оборудования" (ТР ТС 010/2011) (
Решение Коллегии Евразийской экономической комиссии от 09.03.2021 N 28).
Документ
введен в действие с 01.01.2018.
Название документа
"ГОСТ 33967-2016. Межгосударственный стандарт. Насосы центробежные для перекачивания вязких жидкостей. Поправки к рабочим характеристикам"
(введен в действие Приказом Росстандарта от 02.06.2017 N 492-ст)
"ГОСТ 33967-2016. Межгосударственный стандарт. Насосы центробежные для перекачивания вязких жидкостей. Поправки к рабочим характеристикам"
(введен в действие Приказом Росстандарта от 02.06.2017 N 492-ст)
агентства по техническому
регулированию и метрологии
от 2 июня 2017 г. N 492-ст
МЕЖГОСУДАРСТВЕННЫЙ СТАНДАРТ
НАСОСЫ ЦЕНТРОБЕЖНЫЕ ДЛЯ ПЕРЕКАЧИВАНИЯ ВЯЗКИХ ЖИДКОСТЕЙ
ПОПРАВКИ К РАБОЧИМ ХАРАКТЕРИСТИКАМ
Centrifugal pumps pumping viscous liquids.
Corrections for operating characteristics
(ISO/TR 17766:2005, NEQ)
ГОСТ 33967-2016
Дата введения
1 января 2018 года
Цели, основные принципы и основной порядок проведения работ по межгосударственной стандартизации установлены в
ГОСТ 1.0-2015 "Межгосударственная система стандартизации. Основные положения" и
ГОСТ 1.2-2015 "Межгосударственная система стандартизации. Стандарты межгосударственные, правила и рекомендации по межгосударственной стандартизации. Правила разработки, принятия, обновления и отмены".
1 ПОДГОТОВЛЕН Российской ассоциацией производителей насосов (РАПН) на основе собственного перевода на русский язык англоязычной версии документа, указанного в
пункте 5
2 ВНЕСЕН Межгосударственным техническим комитетом по стандартизации МТК 245 "Насосы"
3 ПРИНЯТ Межгосударственным советом по стандартизации, метрологии и сертификации (протокол от 25 сентября 2016 г. N 92-П)
За принятие проголосовали:
Краткое наименование страны по МК (ИСО 3166) 004-97 | Код страны по МК (ИСО 3166) 004-97 | Сокращенное наименование национального органа по стандартизации |
Азербайджан | AZ | Азстандарт |
Армения | AM | Минэкономики Республики Армения |
Беларусь | BY | Госстандарт Республики Беларусь |
Грузия | GE | Грузстандарт |
Казахстан | KZ | Госстандарт Республики Казахстан |
Киргизия | KG | Кыргызстандарт |
Молдова | MD | Молдова-Стандарт |
Россия | RU | Росстандарт |
Таджикистан | TJ | Таджикстандарт |
Туркменистан | TM | Главгосслужба "Туркменстандартлары" |
Узбекистан | UZ | Узстандарт |
Украина | UA | Минэкономразвития Украины |
4
Приказом Федерального агентства по техническому регулированию и метрологии от 2 июня 2017 г. N 492-ст межгосударственный стандарт ГОСТ 33967-2016 введен в действие в качестве национального стандарта Российской Федерации с 1 января 2018 г.
5 Настоящий стандарт соответствует международному документу ISO/TR 17766:2005 "Центробежные насосы для перекачивания вязких жидкостей - Поправки к рабочим характеристикам" ("Centrifugal pumps handling viscous liquids - Performance corrections", NEQ) в части метода пересчета рабочих характеристик центробежных насосов с воды на вязкую жидкость.
Международный документ разработан Техническим комитетом по стандартизации ISO/TC 115 "Насосы" Международной организации по стандартизации (ISO).
6 ВВЕДЕН ВПЕРВЫЕ
Информация об изменениях к настоящему стандарту публикуется в ежегодном информационном указателе "Национальные стандарты", а текст изменений и поправок - в ежемесячном информационном указателе "Национальные стандарты". В случае пересмотра (замены) или отмены настоящего стандарта соответствующее уведомление будет опубликовано в ежемесячном информационном указателе "Национальные стандарты". Соответствующая информация, уведомление и тексты размещаются также в информационной системе общего пользования - на официальном сайте Федерального агентства по техническому регулированию и метрологии в сети Интернет (www.gost.ru)
Настоящий стандарт разработан на основе метода пересчета рабочих характеристик центробежных насосов с воды на вязкую жидкость, представленного в техническом отчете ISO/TR 17766:2005 "Центробежные насосы для перекачивания вязких жидкостей - Поправки к рабочим характеристикам". Метод разработан Гидравлическим институтом (Нью-Джерси, США) и является эмпирическим, поскольку основан на результатах экспериментальных данных, полученных из разных источников по всему миру. Данный метод позволяет произвести пересчет рабочей характеристики центробежного насоса с воды на вязкую жидкость. Последовательность воспроизведения метода также позволяет провести оптимальный подбор насоса для работы на вязкой жидкости на заданных параметрах.
Расчеты эксплуатационных характеристик, полученные с использованием метода, изложенного в настоящем стандарте, являются приблизительными. Существует достаточно много факторов, которые данный метод не учитывает, например геометрические размеры проточной части отдельно взятого насоса или особенности его конструкции. Он также не учитывает особенности течения жидкости в зависимости от формы и размеров проточной части. Тем не менее этот метод представляет собой надежное и апробированное решение вопроса пересчета рабочих характеристик центробежных насосов в условиях ограниченности исходных данных. Данный метод был выбран в качестве основы для настоящего стандарта потому, что дает минимальное расхождение между расчетными и экспериментальными данными по сравнению с другими эмпирическими методами.
В
приложениях А -
В приведены примеры расчета поправок, дано описание различных гидравлических потерь, лежащих в основе изменений рабочих характеристик насоса при работе на вязких жидкостях, а также методы определения поправочного коэффициента пускового момента и кавитационного запаса.
Исходный международный документ подготовлен Техническим комитетом ТК 115 "Насосы" Международной организации по стандартизации (ИСО).
Настоящий стандарт устанавливает порядок пересчета значений рабочих характеристик, полученных при работе на воде в предпочтительном рабочем диапазоне одноступенчатых и многоступенчатых центробежных насосов типовых конструкций с одно- и двухсторонним всасыванием, на вязкие (ньютоновские) жидкости со следующими ограничениями:
- кинематическая вязкость жидкости, на которую производится пересчет, составляет от 1 до 3000 сСт;
- при работе насоса на воде в точке максимального КПД:
- подача QBEP-W составляет от 0,6 до 260 м3/ч;
- коэффициент быстроходности ступени насоса ns <= 60 (ns.rus <= 219);
- напор на ступень HBEP-W составляет 3 - 130 м.
Настоящий стандарт не применим:
- к осевым насосам и насосам со специфическими конструктивными особенностями (дополнительная информация приведена в
приложении В);
- в случае если значение NPSHA превышает значение NPSHR на величину, недостаточную для компенсации увеличения NPSHR при увеличении вязкости;
- при работе насоса на неньютоновских жидкостях (гели, пульпа и пр.).
Примечание - С незначительным снижением точности описываемый метод может применяться для пересчета рабочих характеристик насосов с воды на жидкости с кинематической вязкостью от 3000 до 4000 сСт.
В настоящем стандарте использована нормативная ссылка на следующий межгосударственный стандарт:
ГОСТ ISO 17769-1-2014 Насосы жидкостные и установки. Основные термины, определения, количественные величины, буквенные обозначения и единицы измерения. Часть 1. Жидкостные насосы
Примечание - При пользовании настоящим стандартом целесообразно проверить действие ссылочных стандартов в информационной системе общего пользования - на официальном сайте Федерального агентства по техническому регулированию и метрологии в сети Интернет или по ежегодному информационному указателю "Национальные стандарты", который опубликован по состоянию на 1 января текущего года, и по выпускам ежемесячного информационного указателя "Национальные стандарты" за текущий год. Если заменен ссылочный стандарт, на который дана датированная ссылка, то рекомендуется использовать версию этого стандарта с указанным выше годом утверждения (принятия). Если после утверждения настоящего стандарта в ссылочный стандарт, на который дана датированная ссылка, внесено изменение, затрагивающее положение, на которое дана ссылка, то это положение рекомендуется применять без учета данного изменения. Если ссылочный стандарт отменен без замены, то положение, в котором дана ссылка на него, рекомендуется применять в части, не затрагивающей эту ссылку.
В настоящем стандарте применены термины по
ГОСТ ISO 17769-1, а также следующие термины с соответствующими определениями:
3.1 рабочая характеристика насоса: Зависимость напора или КПД центробежного насоса от подачи, представленная в виде кривой на графике с соответствующими осями координат.
3.2 точка максимального КПД: Точка на рабочей характеристике центробежного насоса, в которой при заданной частоте вращения достигается максимальное значение КПД.
3.3 коэффициент быстроходности nq, ns: Частота вращения центробежного насоса, геометрически подобного рассматриваемому, у которого подача составляет 0,075 м3/с при создаваемом напоре 1 м и определяется формулами:

(1)
где n - частота вращения вала рассматриваемого насоса, мин-1;
QBEP - подача рассматриваемого насоса в точке максимального КПД, м3/с;
HBEP - напор ступени рассматриваемого насоса в точке максимального КПД, м,
и
Примечание - В описываемом методе все расчеты ведутся по коэффициенту быстроходности
nq, определяемому по
формуле (1). Коэффициент быстроходности
ns, рассчитываемый по
формуле (2), приводится справочно из-за широкого распространения в отечественной литературе по насосостроению.
3.4 ньютоновская жидкость: Вязкая жидкость с линейной зависимостью касательного напряжения от градиента скорости.
Пример - масла, нефть, буровой раствор.
4 Сокращения и обозначения
В настоящем стандарте приведены сокращения и обозначения в соответствии с
ГОСТ ISO 17769-1, а также следующие термины и обозначения:
BEP - точка максимального КПД;

- поправочный коэффициент КПД;

- поправочный коэффициент КПД, обусловленный трением диска;
CH - поправочный коэффициент напора;
CBEP-H - поправочный коэффициент напора, соответствующий подаче в точке максимального КПД насоса при его работе на воде;
CNPSH - поправочный коэффициент кавитационного запаса;
CQ - поправочный коэффициент подачи;
d2 - диаметр выхода рабочего колеса, м;
g - ускорение свободного падения, м/с2;
H - напор ступени насоса, м;
HBEP-vis - напор ступени при подаче, соответствующей точке максимального КПД насоса при работе на вязкой жидкости, м;
HBEP-W - напор ступени при подаче, соответствующей точке максимального КПД насоса при работе на воде, м;
HL - гидравлические потери, м;
Hth - теоретический напор (без учета утечек), м;
Hvis - напор вязкой жидкости, м. Напор ступени при работе на вязкой жидкости;
Hvis-tot - полный напор насоса при работе на вязкой жидкости, м;
Hw - напор ступени при работе на воде, м;
N - частота вращения вала насоса, мин-1;
nq - коэффициент быстроходности;
ns - коэффициент быстроходности, используемый в отечественной литературе;
NPSHA - допускаемый кавитационный запас насоса, м;
NPSHR - требуемый кавитационный запас насоса (м), определяемый 3%-ным критерием падения напора;
NPSHRBEP-W - требуемый кавитационный запас, м, в точке максимального КПД насоса при работе на воде, определяемый 3%-ным критерием падения напора;
NPSHRvis - кавитационный запас насоса, требуемый для перекачивания вязкой жидкости, м;
NPSHRW - кавитационный запас насоса (м), требуемый для перекачивания воды на основании стандартного 3%-ного критерия падения напора;
P - мощность (без подстрочного индекса) - мощность на муфте, кВт;
Pm - механические потери мощности, кВт;
Pu - полезная мощность, передаваемая жидкости, кВт,

;
PRR - потери мощности на трение дисков, кВт;
Pvis - мощность с учетом вязкости, кВт. Мощность на валу насоса, необходимая для перекачивания вязких сред;
PW - мощность на валу насоса, необходимая для перекачивания воды, кВт;
Q - подача насоса, м3/ч;
QBEP-W - подача насоса при работе на воде, м3/ч, при которой достигается максимальное значение КПД насоса;
Qvis - подача насоса при работе на вязкой жидкости, м3/ч;
QW - подача насоса при работе на воде, м3/ч;
q* - отношение величины подачи к величине подачи в точке максимального КПД q* = Q/QBEP;
Re - число Рейнольдса;
r2 - наружный радиус рабочего колеса, м;
s - удельный вес перекачиваемой жидкости по отношению к воде при температуре 20 °C;
Vvis - кинематическая вязкость перекачиваемой жидкости, сСт;
VW - кинематическая вязкость воды, сСт;
КПД - коэффициент полезного действия;

- общий КПД насоса;

- максимальное значение КПД насоса при работе на воде;

- гидравлический КПД;

- КПД насоса при работе на вязкой жидкости;

- объемный КПД;

- КПД насоса при работе на воде;

- динамическая вязкость, Н·с/м
2;

- кинематическая вязкость, м
2/с;

- плотность, кг/м
3;

- коэффициент напора;

- угловая частота вращения вала насоса, рад/с

.
5 Пересчет рабочей характеристики
5.1 Общие положения пересчета
Для выполнения пересчета рабочих параметров насоса с воды на вязкую жидкость необходимо наличие рабочей характеристики насоса, полученной при его работе на воде.
Для получения точной рабочей характеристики насоса при его работе на вязкой жидкости следует провести испытания насоса непосредственно на данной жидкости.
5.2 Алгоритм пересчета
Алгоритм пересчета включает следующие этапы:
1) оценка применимости для конкретного случая (см.
рисунок 1);
2) расчет параметров насоса при работе на вязкой жидкости при условии, что известны параметры работы насоса на воде (см.
рисунок 2).
Примечание - Пример расчета по данной методике приведен в
приложении А.
Рисунок 1 - Алгоритм оценки применимости процедуры пересчета
Рисунок 2 - Алгоритм пересчета параметров насоса
при работе на вязкой жидкости
5.2.1 Рассчитать число Рейнольдса:

(3)
Вычислить параметр B по формуле:

(4)
где
nq - коэффициент быстроходности, рассчитанный по
формуле (1);
Re - число Рейнольдса.
Если 1 <=
B <= 40, перейти к
5.2.2.
Если
B >= 40, то полученные поправочные коэффициенты, полученные данным пересчетом, будут иметь высокую степень неточности. В этом случае необходимо провести детальный анализ потерь, подходы к которому изложены в
приложении Б.
Если
B <= 1, задать значения
CH = 1 и
CQ = 1, затем перейти к
5.2.4.
Примечание - При B <= 1 рабочая характеристика насоса на вязкой жидкости соответствует рабочей характеристике насоса на воде.
5.2.2 Рассчитать поправочный коэффициент подачи
CQ, соответствующий значению подачи в точке максимального КПД при работе на воде
QBEP-W:
CQ = (2,71)-0,165(logB)3,15. (5)
Вычислить значение подачи при работе на вязкой жидкости Qvis:
Qvis = CQQW. (6)
Вычислить значение напора насоса в точке максимального КПД при работе на вязкой жидкости, принимая во внимание то, что CBEP-H = CQ:
HBEP-vis = CBEP-HHBEP-W. (7)
5.2.3 Для ряда значений QW рассчитать значения поправочного коэффициента напора CH:

(8)
На основе полученных значений CH и значений HW, взятых с исходной характеристики при соответствующих значениях QW, вычислить напор при работе на вязкой жидкости:
Hvis = CHHW. (9)
Примечание - Значения CQ, CBEP-H и CH могут быть взяты с графика, приведенного на рисунке 3.
X - параметр B; Y - поправочные коэффициенты CH и CQ;
1 - CH = f(B) при QW = 1,2QBEP-W;
2 - CH и CQ = f(B) при Qw = QBEP-W;
3 - CH = f(B) при QW = 0,8QBEP-W;
4 - CH = f(B) при QW = 0,6QBEP-W
Рисунок 3 - Диаграмма поправочных коэффициентов
CQ и CH = f(B)
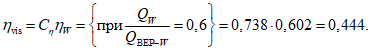
5.2.4 Рассчитать поправочный коэффициент КПД и соответствующие значения КПД насоса для вязких жидкостей:

при 1 <
B < 40. (10)
Примечание - Значения

могут быть взяты с графика, приведенного на рисунке 4.
X - параметр
B;
Y - поправочный коэффициент

Рисунок 4 - Диаграмма поправочного коэффициента


при
B <= 1. (11)
| | ИС МЕГАНОРМ: примечание. Текст дан в соответствии с официальным текстом документа. | |
Рассчитать соответствующие значения КПД насоса при работе на вязкой жидкости:
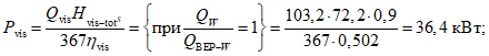
5.2.5 Рассчитать значения потребляемой мощности на валу насоса при перекачивании вязких жидкостей:

(13)
(справочное)
ПРИМЕР ПЕРЕСЧЕТА ПАРАМЕТРОВ НАСОСА С ВОДЫ
НА ВЯЗКУЮ ЖИДКОСТЬ
Исходные данные. Одноступенчатый насос при работе на воде имеет максимальное значение КПД

при подаче
QBEP-W = 110 м
3/ч и полном напоре
HBEP-W = 77 м при частоте вращения
n = 2950 мин
-1. Необходимо определить значения параметров насоса при работе на вязкой жидкости (
Vvis = 120 сСт и удельным весом
s = 0,9). Значения параметров насоса на подачах, отличных от
QBEP-W, приведены в
таблице А.1. Исходная характеристика насоса представлена на
рисунке А.1.
Шаг 1. Рассчитать число Рейнольдса, коэффициент быстроходности и параметр B. Если насос многоступенчатый, то параметр B следует вычислять по напору "на ступень":

(А.1)

(А.2)

(А.3)
Шаг 2. Рассчитать поправочный коэффициент подачи CQ и вычислить значения подачи насоса при работе на вязкой жидкости Qvis с поправкой на значения относительной подачи насоса при работе на воде QW/QBEP-W:

(А.4)

(А.5)

(А.6)
Рассчитать поправочный коэффициент напора и вычислить значение напора насоса при работе на вязкой жидкости в точке максимального КПД (точка BEP):
CBEP-H = CQ = 0,938; (А.7)
HBEP-vis = CBEP-HHBEP-W = 0,938·77 = 72,2 м. (А.8)
Шаг 3. Рассчитать поправочный коэффициент напора CH и значения напора на вязкой жидкости Hvis для подач QW, отличающихся от QBEP-W.
При QW = 0,6QBEP-W соответствующий поправочный коэффициент CH и соответствующий ему напор на вязкой жидкости Hvis составят:

(А.9)
Hvis = CHHW = 0,958·87,3 = 83,6 м. (А.10)
Шаг 4. Рассчитать поправочный коэффициент КПД
C и соответствующие значения КПД насоса при работе на вязкой жидкости
Cvis с поправкой на значения относительной подачи насоса при работе на воде
QW/
QBEP-W. Поскольку значение параметра
B находится в пределах от 1 до 40, то для расчета

используется
формула (10) раздела 5 настоящего стандарта:

(А.11)

(А.12)

(А.13)
Шаг 5. Рассчитать значения потребляемой мощности на валу насоса при работе на вязкой жидкости Pvis с поправкой на значения относительной подачи насоса при работе на воде QW/QBEP-W:

(А.14)

(А.15)
X - подача, м3/ч, при частоте вращения n = 2950 мин-1;
Y1 - полный напор, м, или мощность, кВт; Y2 - КПД;
сплошная линия - вода; пунктирная линия - вязкая жидкость;
Vvis = 120 сСт и s = 0,90; 1, 2 - P = f(Q);
3,
4 -

;
5,
6 -
H =
f(Q)
Рисунок А.1 - Пересчет характеристики одноступенчатого
насоса
Таблица А.1
Пример расчета параметров с воды на вязкую жидкость
Параметр (физическая величина) | Значение |
Вязкость перекачиваемой жидкости Vvis, сСт | 120 |
Удельный вес вязкой жидкости s | 0,90 |
Частота вращения вала насоса n, мин-1 | 2950 |
Коэффициент подачи насоса на воде QW/QBEP-W | 0,60 | 0,80 | 1,00 | 1,20 |
Подача насоса на воде QW или QBEP-W, м3/ч | 66,0 | 88,0 | 110,0 | 132,0 |
Напор ступени насоса на воде HW или HBEP-W, м | 87,3 | 83,0 | 77,0 | 69,7 |
КПД насоса на воде  | 0,60 | 0,66 | 0,68 | 0,66 |
Параметр B | 5,52 |
Поправочный коэффициент подачи CQ | 0,938 |
Поправочные коэффициенты напора CH или CBEP-H | 0,958 | 0,947 | 0,938 | 0,929 |
Поправочный коэффициент КПД  | 0,738 |
Скорректированная подача Qvis или QBEP-vis, м3/ч | 61,9 | 82,5 | 103,2 | 123,8 |
Скорректированный напор ступени Hvis или HBEP-vis, м | 83,6 | 78,6 | 72,2 | 64,8 |
Скорректированный КПД  | 0,44 | 0,49 | 0,50 | 0,48 |
Мощность на валу насоса на вязкой жидкости Pvis, кВт | 28,6 | 32,5 | 36,4 | 40,2 |
(справочное)
АНАЛИЗ ПОТЕРЬ ЭНЕРГИИ ПРИ РАБОТЕ НАСОСОВ
НА ВЯЗКИХ ЖИДКОСТЯХ
Б.1 Общие положения
В данном приложении приводятся объяснения основ теоретических методов анализа потерь энергии в насосах, работающих на вязких жидкостях. Также представлен аналитический метод прогнозирования кавитационного запаса насоса при перекачивании вязкой жидкости. Данный метод не подтвержден экспериментально.
Б.2 Баланс мощности и потери
Баланс мощности насоса без рециркуляции представлен в
уравнении (Б.1), которое может быть применено как к насосу для перекачивания воды, так и к насосу для перекачивания вязкой жидкости:

(Б.1)
где P - входная мощность насоса;

- объемный КПД;

- гидравлический КПД;
PRR - сумма всех потерь на трение дисков на внешних сторонах рабочего колеса и устройства осевой разгрузки - балансировочного барабана или диска, если они есть;
Pm - сумма всех механических потерь от радиальных и упорных подшипников, а также от уплотнений вала.
При повышении вязкости перекачиваемой жидкости число Рейнольдса уменьшается, что приводит к увеличению коэффициента трения в проточной части насоса, аналогично течению жидкости в трубопроводе. Повышение вязкости приводит к следующим потерям в насосе.
Механические потери, Pm, не зависят от вязкости перекачиваемой жидкости.
Гидравлические потери (аналогичны потерям на трение по длине трубопровода) возникают на входе, в рабочем колесе, в спиральном отводе или в направляющем аппарате, а также на выходе из насоса. В основе теории центробежных насосов полезный напор
H представляет собой разность теоретического напора рабочего колеса
Hth и гидравлических потерь
HL. В соответствии с
[1],
[2] и
[3] картина течения потока и коэффициент скольжения рабочего колеса не зависят от вязкости перекачиваемой жидкости и, следовательно, не оказывают влияния на теоретический напор. Таким образом, обусловленное вязким течением снижение напора является функцией гидравлических потерь потока вязкой перекачиваемой жидкости.
Гидравлические потери включают потери на трение, т.е. функцию числа Рейнольдса (размер насоса, частота вращения ротора и влияние вязкости), от шероховатости поверхности гидравлических трактов и смешанные потери, вызванные изменением скорости движения потока из-за неоднородного распределения скоростей. Такие неоднородности или смешанные потери вызваны воздействием лопастной системы, локальным замедлением жидкости, угла атаки между потоком жидкости и лопастями, а также локальными разделениями потока.
Объемные потери обусловлены утечками рабочей жидкости через уплотнительные зазоры между вращающимися и неподвижными частями насоса. Такие утечки уменьшаются с увеличением вязкости вследствие повышения коэффициентов трения в зазорах при уменьшении числа Рейнольдса. Таким образом, значение расхода жидкости через насос возрастает, положительно влияя на напорную характеристику, что частично компенсирует гидравлические потери.
Объемные потери наиболее заметны при работе небольших насосов низкой быстроходности с относительно большими зазорами при перекачивании жидкостей с вязкостью ниже 100 сСт. В результате умеренное увеличение вязкости не оказывает существенного влияния на напор. Известны случаи незначительного повышения напора в результате увеличения вязкости перекачиваемой жидкости
[4].
Представленную в
[5] информацию успешно применяли для вычисления утечек перекачиваемой жидкости через щелевые уплотнения.
Потери на дисковое трение возникают на всех вращающихся поверхностях в насосе, находящихся в контакте с перекачиваемой жидкостью. Связанные с ними потери мощности
PPR значительно влияют на КПД насоса при перекачивании вязких жидкостей. Потери на трение образуются главным образом на дисках закрытого рабочего колеса и в устройствах для осевой разгрузки. Такие потери также увеличиваются с уменьшением числа Рейнольдса или повышением вязкости; они могут быть рассчитаны на базе методик, изложенных в литературе
[6]. С данными о вычислении дисковых потерь и потерь в разгрузочном барабане, которые хорошо коррелируют с экспериментальными результатами, можно ознакомиться в
[5],
[7] и
[8].
Пограничные слои около дисков рабочего колеса добавляют к перекачиваемой жидкости некоторую полезную энергию. Этот эффект частично компенсирует гидравлические потери и также влияет на повышение напора при перекачивании жидкости с умеренной вязкостью.
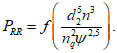
Потери на дисковое трение значительно влияют на потребляемую насосом мощность. Зависимость диаметра рабочего колеса
d2, частоты вращения
n, коэффициента быстроходности
nq и коэффициента напора

представлены формулой

(Б.2)
Влияние вязкости на КПД представлено на
рисунке Б.1, на котором отношение потерь на дисковое трение
PPR к полезной мощности
PU представлено как функция кинематической вязкости в зависимости от коэффициента быстроходности
nq. В данном конкретном случае потери на дисковое трение увеличиваются приблизительно в 30 раз при увеличении вязкости от 10
-6 до 3·10
-3 м
2/с (от 1 до 3000 сСт). При вязкости от 3000 сСт мощность дискового трения приблизительно в 10 раз больше, чем полезная мощность при коэффициенте быстроходности
nq = 10 и оценивается в 50% от
Pu для
nq = 45.
X - кинематическая вязкость, м2/с; Y - PRR/PU;
1 - nq = 10; 2 - nq = 20; 3 - nq = 45
Рисунок Б.1 - Соотношение потерь на дисковое трение
и полезной мощности
При рассмотрении влияния дисковых потерь на КПД можно вывести коэффициент
, представленный на
рисунке Б.2. Этот коэффициент показывает зависимость КПД от коэффициента быстроходности насоса при перекачивании вязких жидкостей, обусловленную влиянием дискового трения. Аналогично коэффициент

влияет и на потребляемую мощность.
X - кинематическая вязкость [м
2/с];
Y -

;
1 - nq = 45; 2 - nq = 20; 3 - nq = 10
Рисунок Б.2 - Влияние дисковых потерь на КПД
Термическое воздействие. Все потери мощности за исключением внешних механических потерь исчезают при нагреве жидкости. Нагрев повышает локальную температуру жидкости и понижает значение вязкости по сравнению с величиной, соответствующей температуре на входе в насос. Местное нагревание жидкости из-за высоких касательных напряжений, как правило, сказывается на значении дисковых потерь и объемном КПД. При показателе вязкости выше 1000 сСт местное нагревание жидкости может заметно влиять, тем не менее, эффект этого воздействия количественно определить достаточно сложно.
Мощностная характеристика P = f(Q): В связи с тем, что вязкость жидкости, как правило, не оказывает воздействия на теоретический напор и механические потери, увеличение потребляемой мощности при перекачивании вязких жидкостей, главным образом, происходит за счет потерь на дисковое трение. Поэтому характеристика потребляемой мощности насоса при работе на вязких жидкостях Pvis = f(Q) смещается относительно характеристики того же насоса, работающего на воде Pw = f(Q) фактически на величину константы, эквивалентной увеличению потерь на дисковое трение, за исключением работы на малых подачах.
На требуемый кавитационный запас насоса (NPSHR) влияет распределение давления вблизи входных кромок лопастей рабочего колеса. Распределение давления зависит от числа Рейнольдса и гидравлических потерь на участке между поперечными сечениями на уровне всасывающего фланца насоса и на входе в рабочее колесо. Эти потери возрастают с повышением вязкости и влияют на кавитационный запас насоса.
Другие факторы, влияющие на кавитационный запас насоса, - термодинамические характеристики перекачиваемых жидкостей и содержание в них газов. Влияние этих факторов описано в
Б.3. Метод оценки кавитационного запаса насоса при работе на вязких жидкостях основан на аналитических рассуждениях, приведенных в
Б.3.
При оценке кавитационного запаса также следует учитывать изменение перепада давлений во всасывающем трубопроводе.
Б.3 Оценка требуемого кавитационного запаса насоса (NPSHR)
NPSHR как характеристика всасывающей способности центробежных насосов представляет собой разность между полным абсолютным напором на входе в насос и напором, соответствующим давлению насыщенного пара, необходимую для предотвращения падения полного напора в результате начальной кавитации более чем на 3%. Кавитационный запас зависит от условий эксплуатации насоса, конструкции и геометрии его подвода, а также от физических свойств перекачиваемой жидкости.
Перекачивание вязкой жидкости влияет на NPSHR двояко. С увеличением вязкости трение повышается, что приводит к увеличению значения NPSHR. В то же время повышенная вязкость приводит к снижению диффузии частиц воздуха и пара в жидкости. Это замедляет скорость роста пузырьков и создает термодинамический эффект, который приводит к определенному снижению значения NPSHR.
Влияние вязкости на кавитационный запас насоса описывают, главным образом, изменением числа Рейнольдса. Однако это влияние не может быть выражено только одной зависимостью для всех конструкций и типовых размеров насосов. Как правило, чем больше размер насоса и плавнее очертания его подвода и входных участков рабочих колес, тем меньше они восприимчивы к изменениям, возникающим при перекачивании вязкой жидкости.
Газ, растворенный в жидкости, а также введенный в перекачиваемую жидкость, влияет на NPSHR иначе, чем большие пузырьки газа. Если скорость потока жидкости на входе в насос достаточно высока, то небольшое количество газа не выделяется и фактически не влияет на NPSHR или влияет незначительно. Присутствие больших концентраций газа в перекачиваемой жидкости воздействует на кавитационную характеристику насоса. В этом случае форма кавитационной характеристики Htot = f(NPSHR) изменяется с резкого излома до плавного. Таким образом, точка, в которой происходит 3%-ная потеря напора на кавитационной характеристике, сдвигается вправо или, другими словами, происходит увеличение значения NPSHR.
Замечено, что при перекачивании вязких жидкостей при более низких значениях частоты вращения вала кавитационный запас насоса имеет более высокие значения по сравнению с теми, которые получаются при вычислении по формулам подобия.
Процесс парообразования и газовыделения в значительной степени зависит от продолжительности воздействия низкого давления на определенный объем жидкости. Кавитационные испытания, как правило, проводят при постоянных значениях расхода жидкости и частоты вращения при переменном давлении на входе, что трудно реализуемо при перекачивании вязких жидкостей, если входное давление изменяется по всему контуру. Данное явление объясняется тем, что в отличие от воды из вязкой жидкости, находящейся в резервуаре, невозможно быстро удалить воздух. Вследствие этого воздух будет постепенно выделяться из жидкости во всасывающем патрубке насоса и вызовет запирание на входе в рабочее колесо.
В предлагаемом обобщенном методе оценки значений NPSHR применен аналитической подход, не подкрепленный экспериментальными данными. Метод нельзя применять к углеводородам без учета теплового воздействия на свойства жидкостей.
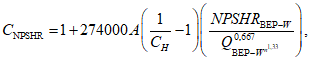
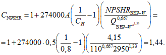
Значение поправочного коэффициента кавитационного запаса при пересчете с воды на вязкую жидкость определяется следующей формулой:

(Б.3)
где A = 0,1 для насосов с осевым входом;
A = 0,5 для насосов с боковым подводом (поворот потока от всасывающего патрубка до входа в рабочее колесо составляет приблизительно 90°).
Значения кавитационного запаса насоса определяют с помощью поправочного коэффициента CNPSH по формуле:
NPSHvis = CNPSHNPSHRW. (Б.4)
Подача насоса в данном методе пересчета значений кавитационного запаса насоса не корректируется. Значения NPSHRvis соответствуют исходным значениям QW.
Пример - См. рисунок Б.3 и таблицу Б.1. Насос имеет конструкцию подвода, соответствующую значению параметра A = 0,5. Подача QBEP-W = 110 м3/ч, значение NPSHRBEP-W = 4,15 м при частоте вращения n = 2950 мин-1. Параметр B = 12,0, поправочный коэффициент напора CH = 0,81.
X - подача Q, м3/ч при n = 2950 мин-1;
Y - кавитационный запас насоса NPSHR, м;
1 - вода; 2 - вязкая жидкость
(s = 0,90, B = 12,0)
Рисунок Б.3 - Результат пересчета NPSHR
Таблица Б.1
Параметр | Значение |
Параметр B | 12,0 |
Удельный вес вязкой жидкости s | 0,90 |
Частота вращения вала насоса n, мин-1 | 2,950 |
Коэффициент максимального КПД подачи насоса для воды QW/QBEP-W | 0,60 | 0,80 | 1,00 | 1,20 |
Коэффициент расхода жидкости QW, м3/ч | 66 | 88 | 110 | 132 |
Требуемый кавитационный запас насоса NPSHRW, м | 2,55 | 3,10 | 4,15 | 6,25 |
Поправочный коэффициент для напора в лучшей точке КПД потока, CH | 0,81 |
Поправочный коэффициент кавитационного запаса насоса | 1,14 |
Скорректированный кавитационный запас насоса NPSHRvis, м | 2,91 | 3,53 | 4,73 | 7,13 |
Поправочный коэффициент кавитационного запаса:

(Б.5)
(справочное)
ВЛИЯНИЕ КОНСТРУКТИВНЫХ ОСОБЕННОСТЕЙ НАСОСА
ПРИ ЕГО РАБОТЕ НА ВЯЗКИХ ЖИДКОСТЯХ
В.1 Элементы конструкции насоса
При перекачивании вязких жидкостей насосы с коэффициентом быстроходности 20 <= nq <= 40 на основании доступных экспериментальных данных могут обеспечить высокие значения КПД.
Насосы специальных конструкций с внешней трубопроводной обвязкой, оборудованных устройством самовсасывания, отводной колонной или другими устройствами подвода или отвода жидкости, требуют дополнительного изучения потерь при работе на вязких жидкостях.
Конструкция насосов, двигателей и соединительных муфт должны учитывать изменение вращающего момента, возникающее при запуске при температурах перекачиваемой жидкости ниже нормальных условий работы.
Внутренние узлы насоса, такие как вал и связанные с ним приводные механизмы, должны быть проверены на работоспособность в условиях работы при повышенных значениях вращающего момента.
В.2 Приводы и муфты
Привод необходимо подбирать с учетом потенциальных изменений крутящего момента во время работы насоса и, особенно в момент запуска. Рекомендуется запросить у поставщика насоса моментную характеристику M = f(n) в том случае, когда потребителю необходимо самостоятельно подобрать привод к насосу.
Подбор соединительных муфт должен быть выполнен с условием обеспечения стабильной работы при максимальном значении крутящего момента с учетом пусковых эффектов.
В.3 Торцовые уплотнения
Торцовые уплотнения должны обеспечивать герметизацию насоса при его работе во всех режимах, включая переходные процессы и сбои. Узлы торцовых уплотнений на вязких жидкостях работают иначе, чем на воде, и испытывают более высокие нагрузки.
Современные торцовые уплотнения включают вспомогательные системы промывки с собственной трубопроводной обвязкой. Во многих случаях вспомогательные системы включают вторичные узлы, например фильтры, которые иногда некорректно функционируют на вязких жидкостях. Обычно обвязка расположена с наружной стороны корпуса насоса и часто требует локального подогрева или других действий, направленных на поддержание корректной работы промывочной системы уплотнения.
В.4 Герметичные насосы
Существует два основных вида герметичных насосов: с "мокрым" ротором и с магнитной муфтой. В насосах первого вида ротор двигателя и подшипники скольжения погружены в перекачиваемую жидкость. В насосах второго вида вал и его подшипники находятся под магнитной муфтой. Дополнительное сопротивление вязкой жидкости, обусловленное погружением этих элементов в жидкость, приводит к более высоким потерям, что в свою очередь ведет к увеличению потребления энергии и значения пускового момента.
Нагрев вязкой жидкости в камере ротора иногда снижает потери в герметичных насосах. Данный нагрев можно обеспечить, снижая расход охлаждающей жидкости, подводимой к двигателю или магнитной муфте. Также следует учитывать влияние нагрева, вызванного повышенными потерями на трение. В герметичных насосах с подшипниками скольжения перекачиваемая вязкая жидкость должна обладать смазывающими свойствами, необходимыми для их нормальной работы.
| HAMKINS, C.P., JESKE, H.O. and HERGT, P.H., "Prediction of Viscosity Effects in Centrifugal Pumps by Consideration of Individual Losses", (from a lecture at the Third European Congress Fluid Machinery for the Oil, Petrochemical, and Related Industries; The Hague, Netherlands, 18 - 20 May 1987) |
| HERGT, P., STOFFEL, B. and LAUER, H., "Verlustanalyse an einer Kreiselpumpe auf der Basis von Messungen bei hoher Viskositat des Fordermediums", VDI Report No. 424, 1981, pp. 29 - 38 |
| СУХАНОВ Д.Ю. "Работа центробежных насосов на вязких жидкостях", М., Машгиз, 1952 |
| WEN-GUANG, Li, "The 'Sudden-Rising Head' Effect in Centrifugal Oil Pumps", World Pumps, 2000, No. 10 |
| YAMADA, Y., "Resistance of Flow Through an Annulus with an Inner Rotating Cylinder", Bulletin JSME, Vol. 5, No. 17, 1962, pp. 302 - 310 |
| GULICH, J.F., "Kreiselpumpen. Ein Handbuch fur Entwicklung, Anlagenplanug und Betrieb", Springer, ISBN 3-540-56987-1, Berlin, 1999, pp. 70 - 72, 107, 538 - 550 |
| DAILY, J.W., NECE, R.E., "Roughness Effects on Frictional Resistance of Enclosed Rotating Disc", Transactions of ASME, Journal of Basic Engineering, 1960, No. 82, pp. 553 - 560 |
| YAMADA, Y., "Torque Resistance of a Flow Between Rotating Co-axial Cylinders Having Axial Flow", Bulletin JSME, Vol. 5, No. 20, 1962, pp. 634 - 641 |
УДК 621.762.6:006.354 | | | NEQ |
Ключевые слова: насосы, центробежные насосы, поправки, вязкие жидкости |