Главная // Актуальные документы // ГОСТ (Государственный стандарт)СПРАВКА
Источник публикации
М.: Стандартинформ, 2016
Примечание к документу
Текст данного документа приведен с учетом
поправки, опубликованной в "ИУС", N 5, 2017.
Документ
введен в действие с 1 сентября 2017 года.
Название документа
"ГОСТ 30347-2016. Межгосударственный стандарт. Молоко и молочная продукция. Методы определения Staphylococcus aureus"
(введен в действие Приказом Росстандарта от 28.11.2016 N 1824-ст)
"ГОСТ 30347-2016. Межгосударственный стандарт. Молоко и молочная продукция. Методы определения Staphylococcus aureus"
(введен в действие Приказом Росстандарта от 28.11.2016 N 1824-ст)
агентства по техническому
регулированию и метрологии
от 28 ноября 2016 г. N 1824-ст
МЕЖГОСУДАРСТВЕННЫЙ СТАНДАРТ
МОЛОКО И МОЛОЧНАЯ ПРОДУКЦИЯ
МЕТОДЫ ОПРЕДЕЛЕНИЯ STAPHYLOCOCCUS AUREUS
Milk and milk products. Methods for determination
of Staphylococcus aureus
ГОСТ 30347-2016
Дата введения
1 сентября 2017 года
Цели, основные принципы и основной порядок проведения работ по межгосударственной стандартизации установлены
ГОСТ 1.0-2015 "Межгосударственная система стандартизации. Основные положения" и
ГОСТ 1.2-2015 "Межгосударственная система стандартизации. Стандарты межгосударственные, правила и рекомендации по межгосударственной стандартизации. Правила разработки, принятия, обновления и отмены"
1 РАЗРАБОТАН Федеральным государственным бюджетным научным учреждением "Всероссийский научно-исследовательский институт молочной промышленности" (ФГБНУ "ВНИМИ")
2 ВНЕСЕН Федеральным агентством по техническому регулированию и метрологии
3 ПРИНЯТ Межгосударственным советом по стандартизации, метрологии и сертификации (протокол от 25 октября 2016 г. N 92-П)
За принятие проголосовали:
Краткое наименование страны по МК (ИСО 3166) 004-97 | Код страны по МК (ИСО 3166) 004-97 | Сокращенное наименование национального органа по стандартизации |
Армения | AM | Минэкономики Республики Армения |
Казахстан | KZ | Госстандарт Республики Казахстан |
Киргизия | KG | Кыргызстандарт |
Россия | RU | Росстандарт |
4
Приказом Федерального агентства по техническому регулированию и метрологии от 28 ноября 2016 г. N 1824-ст межгосударственный стандарт ГОСТ 30347-2016 введен в действие в качестве национального стандарта Российской Федерации с 1 сентября 2017 г.
Информация об изменениях к настоящему стандарту публикуется в ежегодном информационном указателе "Национальные стандарты", а текст изменений и поправок - в ежемесячном информационном указателе "Национальные стандарты". В случае пересмотра (замены) или отмены настоящего стандарта соответствующее уведомление будет опубликовано в ежемесячном информационном указателе "Национальные стандарты". Соответствующая информация, уведомление и тексты размещаются также в информационной системе общего пользования - на официальном сайте Федерального агентства по техническому регулированию и метрологии в сети Интернет (www.gost.ru)
Настоящий стандарт распространяется на молоко и молочную продукцию и устанавливает методы определения Staphylococcus aureus (S. aureus) в определенном объеме или навеске продукта - определение с предварительным обогащением и определение без предварительного обогащения.
В настоящем стандарте использованы нормативные ссылки на следующие стандарты:
ГОСТ 12.1.004-91 Система стандартов безопасности труда. Пожарная безопасность. Общие требования
ГОСТ 12.1.005-88 Система стандартов безопасности труда. Общие санитарно-гигиенические требования к воздуху рабочей зоны
ГОСТ 12.1.007-76 Система стандартов безопасности труда. Вредные вещества. Классификация и общие требования безопасности
ГОСТ 12.1.019-79 Система стандартов безопасности труда. Электробезопасность. Общие требования и номенклатура видов защиты <*>
--------------------------------
ГОСТ 12.4.009-83 Система стандартов безопасности труда. Пожарная техника для защиты объектов. Основные виды. Размещение и обслуживание
ГОСТ 12.4.021-75 Система стандартов безопасности труда. Системы вентиляционные. Общие требования
ГОСТ 5962-2013 Спирт этиловый ректификационный из пищевого сырья. Технические условия
ГОСТ 33951-2016 Молоко и молочная продукция. Методы определения молочнокислых микроорганизмов
ГОСТ 13928-84 Молоко и сливки заготовляемые. Правила приемки, методы отбора проб и подготовка их к анализу
ГОСТ 26670-91 Продукты пищевые. Методы культивирования микроорганизмов
ГОСТ 26809.1-2014 Молоко и молочная продукция. Правила приемки, методы отбора и подготовка проб к анализу. Часть 1. Молоко, молочные, молочные составные и молокосодержащие продукты
ГОСТ 32901-2014 Молоко и продукты переработки молока. Методы микробиологического анализа
Примечание - При пользовании настоящим стандартом целесообразно проверить действие ссылочных стандартов в информационной системе общего пользования - на официальном сайте Федерального агентства по техническому регулированию и метрологии в сети Интернет или по ежегодному информационному указателю "Национальные стандарты", который опубликован по состоянию на 1 января текущего года, и по выпускам ежемесячного информационного указателя "Национальные стандарты" за текущий год. Если ссылочный стандарт заменен (изменен), то при пользовании настоящим стандартом следует руководствоваться заменяющим (измененным) стандартом. Если ссылочный стандарт отменен без замены, то положение, в котором дана ссылка на него, применяется в части, не затрагивающей эту ссылку.
В настоящем стандарте применен следующий термин с соответствующими определениями:
3.1 коагулазоположительные стафилококки: Грамположительные, каталазоположительные микроорганизмы, которые образуют типичные и/или атипичные колонии на или в селективно-диагностической питательной среде, дающие положительную реакцию на коагулазу на кроличьей плазме.
3.2 Staphylococcus aureus (S. aureus): Коагулазоположительные стафилококки, образующие ацетоин и ферментирующие мальтозу в аэробных условиях при определении этих биохимических тестов по методам, приведенным в настоящем стандарте.
4. Средства измерений, вспомогательное оборудование,
посуда и реактивы
4.1 Средства измерений, вспомогательное оборудование, посуда и реактивы - по
ГОСТ 32901 со следующими дополнениями:
- сухая плазма кроличья, цитратная;
- контрольный штамм Staphylococcus aureus;
- мембранные фильтры;
- яйца куриные пищевые;
- желточно-солевой агар;
- солевой бульон;
- молочно-солевой агар;
- агар Байрд-Паркера;
- питательный агар;
- сухой питательный бульон;
- среда Кларка;
- среда Гиса с мальтозой;
- 1-нафтол;
- теллурит калия;
- перекись водорода;
- спирт этиловый ректификационный из пищевого сырья по
ГОСТ 5962.
4.2 Допускается применять одноразовую посуду. Одноразовую посуду (чашки Петри, флаконы, пипетки и др.) используют таким же образом, как и стеклянную посуду многоразового использования, если они имеют сходные технические характеристики (особенно по стерилизации).
6. Подготовка к проведению анализа
6.1 Подготовка посуды и материалов, приготовление разведений продуктов для посевов - по
ГОСТ 32901.
6.2 Приготовление реактивов и питательных сред
Химические вещества, используемые для приготовления питательных сред, растворов реактивов, эмульсий должны быть аналитического качества.
Допускается при использовании готовой сухой питательной среды уточнение массы навески в соответствии с рекомендацией производителя.
6.2.1 Приготовление гидролизованного и стерильного обезжиренного молока - по
ГОСТ 33951.
6.2.2 Приготовление желточно-солевого агара
Состав:
- | питательный агар | - | 35,0 г; |
- | натрий хлористый | - | 75,0 г; |
- | эмульсия желточная | - | 50,0 см3; |
- | вода дистиллированная | - | 1000 см3. |
Все компоненты, кроме желточной эмульсии, вносят в колбу, перемешивают, нагревают до полного растворения, фильтруют, разливают в колбы или флаконы и стерилизуют при температуре (121 +/- 1) °C в течение (20 +/- 1) мин. После стерилизации раствор охлаждают до температуры (45 +/- 1) °C и добавляют 50 см
3 предварительно подготовленной по
6.2.2.1 желточной эмульсии.
При использовании готовой питательной среды 100 г солевого агара вносят в колбу, добавляют 1000 см3 дистиллированной воды и нагревают, перемешивая, до полного растворения. Полученный раствор фильтруют, разливают в колбы или флаконы и стерилизуют при температуре (121 +/- 1) °C в течение (20 +/- 1) мин. По истечении времени смесь охлаждают до температуры (45 +/- 1) °C и добавляют 50 см3 предварительно подготовленной по 6.2.2.1 желточной эмульсии.
Смесь тщательно перемешивают и разливают в чашки Петри. Чашки со средой хранят при температуре (4 +/- 2) °C не более 5 сут.
6.2.2.1 Подготовка желточной эмульсии
Для приготовления желточной эмульсии свежее куриное яйцо моют проточной водой, протирают смоченной в спирте ватой и обсушивают. Отделяют желток и вносят его в 100 см
3 стерильного раствора хлористого натрия, приготовленного по
ГОСТ 32901. Смесь тщательно перемешивают, выдерживают на водяной бане при температуре (47 +/- 1) °C в течение 2 часов, затем оставляют на (18 - 24) ч при температуре (3 +/- 2) °C для образования осадка.
Для использования собирают в асептических условиях в стерильную колбу надосадочную жидкость.
Подготовленную эмульсию хранят при температуре (4 +/- 2) °C не более 72 ч.
6.2.3 Приготовление солевого бульона
Состав:
- | натрий хлористый | - | 7,5 г; |
- | питательный сухой бульон | - | 1,5 г; |
- | дистиллированная вода | - | 100,0 см3. |
В 100 см3 дистиллированной воды вносят 1,5 г сухого питательного бульона, нагревают до полного растворения, фильтруют и добавляют 7,5 г хлорида натрия. Смесь перемешивают до полного растворения, устанавливают pH (6,9 +/- 0,1), разливают в пробирки или колбы и стерилизуют при температуре (121 +/- 1) °C в течение (10 +/- 1) мин.
При использовании готовой среды в 100 см3 дистиллированной воды вносят 10 г сухой среды, нагревают до полного растворения, фильтруют и устанавливают pH (6,9 +/- 0,1). Смесь разливают в пробирки или колбы и стерилизуют при температуре (121 +/- 1) °C в течение (10 +/- 1) мин.
6.2.4 Приготовление молочно-солевого агара
Состав:
- | питательный агар | - | 35,0 г; |
- | натрий хлористый | - | 75,0 г; |
- | молоко обезжиренное | - | 100 см3; |
- | вода дистиллированная | - | 1000 см3. |
Все компоненты, кроме обезжиренного молока, вносят в колбу, перемешивают, нагревают до полного растворения, фильтруют и разливают в колбы или флаконы. Смесь стерилизуют при температуре (121 +/- 1) °C в течение (20 +/- 1) мин. По истечении времени смесь охлаждают до температуры (45 +/- 1) °C и добавляют 100 см
3 стерильного обезжиренного молока по
6.2.1.
При использовании готовой питательной среды 100 г молочно-солевого агара вносят в колбу, добавляют 1000 см3 дистиллированной воды и нагревают при перемешивании до полного растворения. Смесь фильтруют, разливают в колбы или флаконы и стерилизуют при температуре (121 +/- 1) °C в течение (20 +/- 1) мин.
Смесь тщательно перемешивают и разливают в чашки Петри. Чашки со средой хранят при температуре (4 +/- 2) °C не более 5 сут.
6.2.5 Приготовление агара Байрд-Паркера
Состав:
- | триптон | - | 10,0 г; |
- | дрожжевой экстракт | - | 1,0 г; |
- | мясной экстракт | - | 5,0 г; |
- | литий хлористый, гексагидрат | - | 5,0 г; |
- | теллурит калия | - | 1,0 г; |
- | пируват натрия | - | 10 г; |
- | глицин | - | 12,6 г; |
- | агар | - | (12,0 - 20,0) г; |
- | вода дистиллированная | - | 1000 см3. |
Все компоненты питательной среды, кроме теллурита калия, вносят в колбу, нагревают, перемешивая, до полного растворения, при наличии осадка фильтруют. Охлаждают до температуры (50 +/- 2) °C и устанавливают pH таким образом, чтобы после стерилизации pH составил (7,2 +/- 0,1) при температуре 25 °C, среду разливают по 90 см3 в бутылочки вместимостью 250 см3. Стерилизуют при температуре (121 +/- 1) °C в течение (20 +/- 1) мин.
При использовании готовой питательной среды 60 г сухой среды вносят в 1000 см3 дистиллированной воды, нагревают и перемешивают до полного растворения. При наличии осадка раствор фильтруют, охлаждают до температуры (50 - 60) °C, устанавливают pH (7,2 +/- 0,1), разливают в колбы или бутылочки по 90 см3 и стерилизуют при температуре (121 +/- 1) °C в течение (20 +/- 1) мин.
Готовую среду хранят при температуре (4 +/- 2) °C не более 30 суток.
Перед использованием к расплавленной в колбе или бутылке среде в асептических условиях добавляют 1 см
3 стерильного 1%-ного (или 0,5 см
3 2%-ного) раствора теллурита калия
(6.2.13) и 5 см
3 желточной эмульсии
(6.2.2.1). После тщательного перемешивания приготовленную среду разливают в чашки Петри.
Чашки со средой можно хранить не более 48 ч.
6.2.6 Приготовление питательного агара
50 г сухой питательной среды вносят в 1000 см3 дистиллированной воды, нагревают и перемешивают до полного растворения, при наличии осадка фильтруют. Смесь охлаждают до температуры (50 +/- 2) °C и устанавливают pH таким образом, чтобы после стерилизации pH составил (7,3 +/- 0,1) при температуре 25 °C. Среду разливают в колбы или флаконы и стерилизуют при температуре (121 +/- 1) °C в течение (20 +/- 1) мин.
6.2.7 Приготовление среды Кларка
Состав:
- | пептон | - | 5,0 г; |
- | глюкоза | - | 5,0 г; |
- | фосфорнокислый двузамещенный калий (K2HPO4) | - | 5,1 г; |
- | вода дистиллированная | - | 1000 см3. |
Все компоненты питательной среды вносят в колбу, перемешивают, нагревают до полного растворения. Смесь охлаждают до температуры (50 +/- 2) °C и устанавливают pH таким образом, чтобы после стерилизации pH составил (7,2 +/- 0,1) при температуре 25 °C. Среду разливают по (5 - 7) см3 в пробирки вместимостью 20 см3 и стерилизуют при температуре (121 +/- 1,0) °C в течение 15 мин или дробным методом - текучим паром по 30 мин 3 дня подряд.
При использовании готовой среды 20 г сухой питательной среды вносят в 1000 см3 дистиллированной воды, нагревают и перемешивают до полного растворения. Смесь охлаждают до температуры (50 +/- 2) °C и устанавливают pH таким образом, чтобы после стерилизации pH составил (7,2 +/- 0,1) при температуре 25 °C. Среду разливают по (5 - 7) см3 в пробирки вместимостью 20 см3 и стерилизуют при температуре (121 +/- 1,0) °C в течение 15 мин или дробным методом - текучим паром по 30 мин 3 дня подряд.
6.2.8 Приготовление среды Гиса с мальтозой
Состав:
- | питательный агар | - | 6,62 г |
- | натрия хлорид | - | 4,8 г |
- | динатрия фосфат обезвоженный | - | 0,3 г |
- | Д(+)-мальтоза | - | 2,8 г |
- | водный голубой | - | 0,05 г |
- | розоловая кислота | - | 0,03 г |
- | агар микробиологический | - | 0,4 г |
- | вода дистиллированная | - | 1000 см3. |
Все компоненты питательной среды вносят в колбу, перемешивают и нагревают до полного растворения. Смесь охлаждают до температуры (50 +/- 2) °C и устанавливают pH таким образом, чтобы после стерилизации pH составил (7,4 +/- 0,1) при температуре 25 °C. Среду разливают по (4 - 5) см3 в пробирки вместимостью 20 см3 и стерилизуют при температуре (112 +/- 1,0) °C в течение 12 мин.
При использовании готовой среды 15 г сухой питательной среды вносят в 1000 см3 дистиллированной воды, нагревают и перемешивают до полного растворения, при наличии осадка фильтруют. Смесь охлаждают до температуры (50 +/- 2) °C и устанавливают pH таким образом, чтобы после стерилизации pH составил (7,4 +/- 0,1) при температуре 25 °C. Разливают в стерильные пробирки по (4 - 5) см3 и стерилизуют при (112 +/- 1,0) °C в течение 12 мин.
6.2.9 Приготовление раствора плазмы кроличьей цитратной
Содержимое ампулы с лиофилизированной плазмой кроличьей цитратной растворить в 1 см3 или 2 см3 стерильного 0,9%-ного раствора хлористого натрия и развести из расчета 1:5 тем же раствором. Растворенный препарат допускается хранить при температуре (4 +/- 2) °C до 2 сут.
6.2.10 Приготовление растворов и реактивов для окраски препаратов - по
ГОСТ 32901.
6.2.11 Приготовление раствора гидроокиси калия
Состав:
- | гидроокись калия (KOH) | - | 40,0 г; |
- | вода | - | до 100 см3. |
Навеску гидроокиси калия массой 40 г переносят в мерную колбу вместимостью 100 см3, доводят объем до метки дистиллированной водой и растворяют.
6.2.12 Приготовление спиртового раствора 1-нафтола
Состав:
- | 1-нафтол | - | 5,0 г; |
- | этиловый спирт (C2H5OH) | - | до 100 см3. |
5 г 1-нафтола, имеющего точку плавления 92,5 °C, вносят в мерную колбу вместимостью 100 см3 и доливают этиловым спиртом с объемной долей 96% до метки. Раствор применяют свежеприготовленным и используют для проведения реакции Фогес Проскауера.
6.2.13 Приготовление раствора теллурита калия
Состав:
- | теллурит калия (K2TeO3) | - | 1,0 г; |
- | вода | - | 100 см3. |
Примечание - Необходимо предварительно убедиться, что имеющийся в наличии теллурит калия пригоден для данного испытания.
Теллурит калия полностью растворяют в воде при минимальном нагревании. Если в воде присутствует белый нерастворимый осадок, то такой порошок не используют. Приготовленный раствор теллурита калия стерилизуют путем фильтрации через мембранный фильтр с размером пор 0,22 мкм. Раствор допускается хранить при температуре (3 +/- 2) °C не более 1 мес. Если при хранении раствора образуется белый осадок, то такой раствор не используют.
6.2.14 Приготовление раствора перекиси водорода
10 см3 пероксида водорода с содержанием основного вещества 30% (в случае, если пероксид водорода имеет другое содержание основного вещества, то делается пересчет) переносят в мерную колбу вместимостью 100 см3, доводят объем до метки дистиллированной водой.
Раствор применяют для определения каталазной активности.
7. Условия проведения анализа
При выполнении анализа в лаборатории должны соблюдаться следующие условия:
температура окружающего воздуха ................. (20 +/- 5) °C;
относительная влажность воздуха ................. от 30% до 80%;
атмосферное давление ............................ от 84 кПа до 106 кПа.
8.1 Метод определения количества S. aureus с предварительным обогащением
8.1.1 Сущность метода
Метод основан на высеве навески продукта и (или) его разведения в жидкую селективную среду, инкубировании посевов, учете положительных пробирок (колб), пересеве культуральной жидкости на поверхность агаризованной селективно-диагностической среды, подтверждении по биохимическим признакам принадлежности выделенных типичных и (или) атипичных колоний к коагулазоположительным стафилококкам и S. aureus.
8.1.2 Проведение анализа
8.1.2.1 Выбор разведений для посева
Из навески продукта готовят ряд десятикратных разведений так, чтобы можно было определить наличие или отсутствие S. aureus в определенной массе (объеме), указанной в нормативном или техническом документе на конкретный продукт.
8.1.2.2 Посев
Навеску продукта или его разведения засевают по 1 см
3 в пробирки или колбочки с солевым бульоном
(6.2.3). Соотношение между количеством высеваемого продукта или его эквивалентным разведением и питательной средой 1:10.
Пробирки и колбочки с посевами выдерживают в термостате при температуре (37 +/- 1) °C в течение (24 - 48) ч. Предположительное присутствие коагулазоположительных стафилококков определяется по помутнению среды.
Для подтверждения принадлежности микроорганизмов, выросших на солевом бульоне к коагулазоположительным стафилококкам, для получения изолированных колоний делают пересев петлей из бульона на чашки Петри с подсушенными средами типа Байрд-Паркер
(6.2.5), желточно-солевого агара
(6.2.2) или молочно-солевого агара
(6.2.4) по прошествии 24 ч инкубирования из предположительно положительных пробирок; все оставшиеся пробирки - после 48 ч.
Чашки с посевами выдерживают в термостате при температуре (37 +/- 1) °C в течение (24 - 48) ч. После термостатирования посевы просматривают и отмечают рост характерных колоний.
На желточно-солевом агаре колонии коагулазоположительных стафилококков имеют форму плоских дисков диаметром (2 - 4) мм белого, желтого, кремового, лимонного, золотистого цвета с ровными краями; вокруг колоний образуется радужное кольцо и зона помутнения среды.
На молочно-солевом агаре колонии коагулазоположительных стафилококков растут в виде непрозрачных круглых колоний, окрашенных от белого до оранжевого цвета, диаметром (2 - 4) мм, слегка выпуклых.
На среде Байрд-Паркера колонии коагулазоположительных стафилококков растут в виде черных, блестящих, выпуклых колоний диаметром (1 - 1,5) мм, окруженных зоной просветления среды шириной (1 - 3) мм.
8.1.3 Подтверждение принадлежности типичных и атипичных колоний
Для подтверждения принадлежности типичных и атипичных колоний к коагулазоположительным стафилококкам отбирают не менее пяти типичных и/или атипичных колоний с каждой чашки Петри. Для подтверждения принадлежности отобранных типичных и атипичных колоний к коагулазоположительным стафилококкам пересевают каждую отобранную колонию отдельно на поверхность скошенного питательного агара по
6.2.6.
Посевы инкубируют при температуре (37 +/- 1) °C в течение (24 +/- 3) ч.
Для подтверждения принадлежности к коагулазоположительным стафилококкам у выросших и отобранных микроорганизмов определяют отношение к окраске по Граму - по
ГОСТ 32901; способность образовывать каталазу и способность коагулировать плазму крови кролика.
8.1.3.1 Коагулазоположительные стафилококки окрашиваются по Граму положительно (в темно-фиолетовый цвет), имеют шарообразную форму и располагаются чаще (но не всегда) в виде скоплений, напоминающих гроздья винограда.
8.1.3.2 Определение способности микроорганизмов образовывать каталазу
На колонию микроорганизмов, взятую с поверхности питательной среды или извлеченную из нее, помещенную на предметное стекло и выдержанную на воздухе в течение 30 мин, пипеткой наносят каплю 3%-ного раствора перекиси водорода
(6.2.14). Если через (30 - 60) с на стекле появляются пузырьки газа, то считают, что они образовались в результате разложения перекиси водорода каталазой, образуемой микроорганизмами.
Коагулазоположительные стафилококки образуют каталазу.
8.1.3.3 Определение способности коагулировать плазму крови кролика
Способность коагулировать плазму крови кролика определяют у микроорганизмов, окрашивающихся положительно и образующих каталазу.
В пробирку с 0,5 см
3 разведенной кроличьей плазмы
(6.2.9) вносят петлю суточной агаровой культуры и тщательно перемешивают. Одну пробирку с плазмой оставляют незасеянной, а в другую засевают контрольный штамм S. aureus (коагулазоположительный стафилококк). Пробирки помещают в термостат и выдерживают при температуре (37 +/- 1) °C в течение (3 - 6) ч. Если по истечении 6 ч коагуляции плазмы не произошло, то пробирки оставляют в термостате до 24 ч. Если через 24 ч плазма не свернулась, то испытуемую культуру стафилококка относят к коагулазоотрицательной.
При определении коагулазной активности реакцию считают отрицательной, если в плазме не образуются отдельные нити или сгустки или если в плазме появились отдельные нити (реакцию плазмокоагуляции оценивают на один плюс).
При определении коагулазной активности реакцию считают положительной, если:
++++ | - | сгусток плотный; |
+++ | - | сгусток, имеющий небольшой отсек; |
++ | - | сгусток в виде взвешенного мешочка. |
Все три варианта являются положительным результатом. При получении положительной реакции считают, что в посевах обнаружен коагулазоположительный стафилококк.
8.1.3.4 Оценка результатов подтверждения принадлежности характерных колоний к коагулазоположительным стафилококкам
Если при испытании типичных и атипичных колоний в них обнаружены грамположительные кокки, образующие каталазу, способные коагулировать плазму крови, то считают, что выявленные микроорганизмы относятся к коагулазоположительным стафилококкам.
8.1.4 Подтверждение принадлежности выявленных коагулазоположительных стафилококков к S. aureus
Принадлежность выявленных коагулазоположительных стафилококков к S. aureus проводят по определению их способности образовывать ацетоин и ферментировать мальтозу в аэробных условиях. Дифференциация видов и подвидов коагулазоположительных стафилококков - в соответствии с
приложением А.
8.1.4.1 Определение способности образования ацетоина (реакция Фогес-Проскауера)
Культуру высевают в пробирки со средой Кларка
(6.2.7). Посевы инкубируют при температуре (37 +/- 1) °C в течение 48 ч.
После инкубирования посевов к 1 см
3 отобранной культуральной жидкости прибавляют 0,6 см
3 раствора 1-нафтола
(6.2.12) и 0,2 см
3 раствора гидроокиси калия
(6.2.11). После добавления каждого реактива пробирку встряхивают. Появление розового окрашивания через (15 - 60) мин указывает на положительную реакцию. S. aureus образует ацетоин.
8.1.4.2 Определение способности ферментации мальтозы в аэробных условиях
Исследуемые культуры высевают уколом петлей в среду Гисса с мальтозой
(6.2.8) и инкубируют при температуре (37 +/- 1) °C в течение 48 ч. Изменение цвета среды указывает на положительную реакцию. S. aureus ферментирует мальтозу в аэробных условиях.
8.1.4.3 Представление результатов определения количества S. aureus выражают: "обнаружены" или "не обнаружены" в x см3 или в x г продукта.
8.2 Метод определения количества S. aureus без предварительного обогащения
8.2.1 Сущность метода
Метод основан на высеве продукта или его разведении на поверхность плотной селективной среды, инкубировании, подсчете типичных и (или) атипичных колоний, подтверждении по биохимическим признакам принадлежности выделенных колоний к коагулазоположительным стафилококкам и S. aureus.
8.2.2 Проведение анализа
8.2.2.1 Выбор разведений для посева - по
8.1.2.1.
8.2.2.2 Посев
Навеску жидкого продукта или его разведения по 1 см
3 засевают на поверхность питательной среды в одной чашке Петри диаметром 140 мм, либо наносят на поверхность питательной среды (
6.2.2,
6.2.4,
6.2.5) в три чашки Петри диаметром 90 мм и тщательно растирают шпателем по поверхности. Чашки Петри с посевом инкубируют дном вверх при температуре (37 +/- 1) °C в течение (24 - 48) ч. После термостатирования подсчитывают количество характерных типичных и/или атипичных колоний на каждой чашке Петри.
На желточно-солевом агаре колонии S. aureus имеют форму плоских дисков диаметром (2 - 4) мм белого, желтого, кремового, лимонного, золотистого цвета с ровными краями; вокруг колоний образуется радужное кольцо и зона помутнения среды.
На молочно-солевом агаре колонии коагулазоположительных стафилококков растут в виде непрозрачных, круглых колоний, окрашенных от белого до оранжевого цвета, диаметром (2 - 4) мм, слегка выпуклых.
На среде Байрд-Паркера колонии коагулазоположительных стафилококков растут в виде черных, блестящих, выпуклых колоний диаметром (1 - 1,5) мм, окруженных зоной просветления среды шириной (1 - 3) мм.
С каждой чашки Петри отбирают не менее 5 характерных и/или сомнительных колоний коагулазоположительных стафилококков (в случае роста менее пяти - все характерные колонии) и пересевают на поверхность скошенного питательного агара, разлитого в пробирки в соответствии с
6.2.6. Пробирки с посевами выдерживают в термостате при температуре (37 +/- 1) °C в течение 24 ч.
У выросших культур определяют отношение к окраске по Граму, способность коагулировать плазму кролика и образовывать каталазу в соответствии с
8.1.3.
8.2.3 Обработка результатов
8.2.3.1 Оценка результатов посевов на или в агаризованные селективно-диагностические среды
Число коагулазоположительных стафилококков для каждой чашки Петри, на которой подсчитывали количество выросших колоний, рассчитывают по формуле:

(1)
где bт - число типичных колоний, в которых подтверждено наличие коагулазоположительных стафилококков;
| | ИС МЕГАНОРМ: примечание. Текст дан в соответствии с официальным текстом документа. | |
Bт - число атипичных колоний, отобранных для подтверждения;
Nт - общее количество типичных колоний, подсчитанное на чашке Петри;
bат - число атипичных колоний, в которых подтверждено наличие коагулазоположительных стафилококков;
Bат - число атипичных колоний, отобранных для подтверждения;
Nат - общее количество атипичных колоний, подсчитанное на чашке Петри.
Результат округляют и записывают в соответствии с
ГОСТ 26670.
Формула (1) относится в том числе к подсчету S. aureus, при этом в расчет вносят следующие данные:
bт - число колоний коагулазоположительных стафилококков, в которых подтверждено наличие S. aureus;
Bт - число колоний коагулазоположительных стафилококков, отобранных для подтверждения;
Nт - общее количество колоний коагулазоположительных стафилококков, подсчитанное на чашке Петри;
bат - число атипичных колоний коагулазоположительных стафилококков, в которых подтверждено наличие S. aureus;
Bат - число атипичных колоний коагулазоположительных стафилококков, отобранных для подтверждения;
Nат - общее количество атипичных колоний коагулазоположительных стафилококков, подсчитанное на чашке Петри.
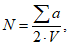
Рассчитанные значения используют для подсчета количества коагулазоположительных стафилококков или S. aureus в 1 г или 1 см3 продукта по формуле:

(2)
где

- сумма колоний коагулазоположительных стафилококков или S. aureus на всех чашках;
V - объем посевного материала, внесенного в каждую чашку Петри, см3;
n - число чашек Петри в разведении, выбранном для подсчета;
d - степень разведения соответствующая разведению выбранному для подсчета.
Согласно
ГОСТ 26670 для подсчета отбирают чашки, на которых выросло не более 300 колоний, при этом число типичных и (или) атипичных колоний должно находиться в пределах (15 - 150) колоний. Если в двух последовательных разведениях количество выросших типичных и (или) атипичных колоний находится в пределах (15 - 150), то в этом случае расчет количества коагулазоположительных стафилококков или S. aureus проводят по формуле:

(3)
где

- сумма колоний коагулазоположительных стафилококков или S. aureus на всех чашках;
V - объем посевного материала, внесенного в каждую чашку Петри, см3;
n1 - число чашек с посевами первого разведения;
n2 - число чашек с посевами второго разведения;
d - степень разведения, соответствующая первому разведению (исходное разведение также учитывается).
Результаты определения количества коагулазоположительных стафилококков или S. aureus на 1 г (см
3) продукта округляют и записывают в соответствии с
ГОСТ 26670.
Пример - Подсчет количества колоний коагулазоположительных стафилококков или S. aureus при посеве 0,1 см3 исследуемого продукта:
- для первого выбранного разведения (102): 140 типичных колоний и 125 типичных колоний, атипичных колоний нет;
- для второго выбранного разведения (103): 16 типичных колоний и 15 типичных колоний, атипичных колоний нет.
Для подтверждения было отобрано следующее число колоний:
- из 140 колоний взято пять колоний, подтвержденных как коагулазоположительные стафилококки, a = 140;
- из 125 колоний взято пять колоний, три из которых подтверждены как коагулазоположительные стафилококки, a = 75;
- из 16 колоний взято пять колоний, подтвержденных как коагулазоположительные стафилококки, a = 16;
- из 15 колоний взято пять колоний, три из которых подтверждены как коагулазоположительные стафилококки, a = 9.
Результат после округления - 1,1·105.
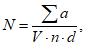
8.2.3.2 Оценка малых количеств выросших колоний
Если на каждой их двух чашек Петри, соответствующих посеву навески исследуемой пробы (жидкие продукты) или исходной суспензии (продукты другой консистенции), обнаружено менее 15 колоний коагулазоположительных стафилококков или S. aureus, то результат рассчитывают и выражают следующим образом:
а) при посеве жидких продуктов количество коагулазоположительных стафилококков или S. aureus на объем продукта (см3) рассчитывают по формуле:

(4)
где

- сумма колоний коагулазоположительных стафилококков или S. aureus на двух чашках Петри;
V - объем посевного материала, внесенного в каждую чашку Петри;
б) при посеве продуктов другой консистенции количество коагулазоположительных стафилококков или S. aureus на массу продукта (г) рассчитывают по формуле:

(5)
где

- сумма колоний коагулазоположительных стафилококков или S. aureus на двух чашках Петри;
V - объем посевного материала, внесенного в каждую чашку Петри;
d - степень разведения исходной суспензии.
Если на двух чашках Петри при посеве 0,1 см3 исследуемой пробы жидкого продукта или исходной суспензии продукта другой консистенции не обнаружено колоний коагулазоположительных стафилококков или S. aureus, то результат выражают следующим образом:
- менее 10 КОЕ коагулазоположительных стафилококков или S. aureus в 1 см3 жидкого продукта;
- менее 10/d КОЕ коагулазоположительных стафилококков или S. aureus в 1 г продукта другой консистенции.
Если высевали 1 см3 пробы, то результат выражают следующим образом:
- менее 1 КОЕ коагулазоположительных стафилококков или S. aureus в 1 см3 жидкого продукта;
- менее 1/d КОЕ коагулазоположительных стафилококков или S. aureus в 1 г продукта другой консистенции.
9. Требования, обеспечивающие безопасность
При выполнении работ необходимо соблюдать следующие требования:
- помещение лаборатории должно быть оборудовано общей приточно-вытяжной вентиляцией в соответствии с требованиями
ГОСТ 12.4.021;
- содержание вредных веществ в воздухе рабочей зоны не должно превышать норм, установленных
ГОСТ 12.1.005;
- требования техники безопасности при работе с химическими реактивами в соответствии с
ГОСТ 12.1.007;
- требования техники безопасности при работе с электроустановками в соответствии с
ГОСТ 12.1.019;
- требования безопасности при работе в микробиологической лаборатории с микроорганизмами III - IV групп патогенности (опасности) в соответствии с положениями нормативного документа, действующего на территории государства, принявшего соответствующий стандарт.
Помещение лаборатории должно соответствовать требованиям пожарной безопасности в соответствии с
ГОСТ 12.1.004 и быть оснащено средствами пожаротушения в соответствии с
ГОСТ 12.4.009.
(справочное)
ДИФФЕРЕНЦИАЦИЯ КОАГУЛАЗОПОЛОЖИТЕЛЬНЫХ ВИДОВ И ПОДВИДОВ
СТАФИЛОКОККОВ ПО ДВУМ ПРИЗНАКАМ: ОБРАЗОВАНИЮ АЦЕТОИНА
И ФЕРМЕНТАЦИИ МАЛЬТОЗЫ В АЭРОБНЫХ УСЛОВИЯХ
Таблица А.1
Наименование тестов | S. aureus | S. delphini | S. hyicus | S. intermedius | S. schleiferisubsp. coagulans |
subsp. anaerobius | subsp. aureus |
Образование ацетоина | - | + | - | - | - | + |
Ферментация мальтозы в аэробных условиях | + | + | | - | w | - |
Примечания: "+" означает, что 90% или более штаммов положительные; "-" означает, что 90% или более штаммов отрицательные; "w" означает, что реакция слабая; "отсутствие обозначения" означает, что определение показателя не проводилось. |