Главная // Актуальные документы // ГОСТ (Государственный стандарт)СПРАВКА
Источник публикации
М.: Стандартинформ, 2018
Примечание к документу
Документ
введен в действие с 1 сентября 2019 года.
Название документа
"ГОСТ ISO 6463-2018. Межгосударственный стандарт. Жиры и масла животные и растительные. Определение бутилгидроксианизола (БОА) и бутилгидрокситолуола (БОТ). Метод газожидкостной хроматографии"
(введен в действие Приказом Росстандарта от 24.08.2018 N 523-ст)
"ГОСТ ISO 6463-2018. Межгосударственный стандарт. Жиры и масла животные и растительные. Определение бутилгидроксианизола (БОА) и бутилгидрокситолуола (БОТ). Метод газожидкостной хроматографии"
(введен в действие Приказом Росстандарта от 24.08.2018 N 523-ст)
по техническому регулированию
и метрологии
от 24 августа 2018 г. N 523-ст
МЕЖГОСУДАРСТВЕННЫЙ СТАНДАРТ
ЖИРЫ И МАСЛА ЖИВОТНЫЕ И РАСТИТЕЛЬНЫЕ
ОПРЕДЕЛЕНИЕ БУТИЛГИДРОКСИАНИЗОЛА (БОА)
И БУТИЛГИДРОКСИТОЛУОЛА (БОТ).
МЕТОД ГАЗОЖИДКОСТНОЙ ХРОМАТОГРАФИИ
Animal and vegetable fats and oils. Determination
of butylhydroxyanisole (BHA) and butylhydroxytoluene (BHT).
Gas-liquid chromatographic method
(ISO 6463:1982, IDT)
ГОСТ ISO 6463-2018
Дата введения
1 сентября 2019 года
Цели, основные принципы и основной порядок проведения работ по межгосударственной стандартизации установлены в
ГОСТ 1.0-2015 "Межгосударственная система стандартизации. Основные положения" и
ГОСТ 1.2-2015 "Межгосударственная система стандартизации. Стандарты межгосударственные, правила и рекомендации по межгосударственной стандартизации. Правила разработки, принятия, обновления и отмены"
1 ПОДГОТОВЛЕН Федеральным государственным бюджетным научным учреждением "Федеральный научный центр пищевых систем им. В.М. Горбатова" РАН (ФГБНУ "ФНЦ пищевых систем им. В.М. Горбатова" РАН) на основе официального перевода на русский язык англоязычной версии указанного в
пункте 5 стандарта, который выполнен Федеральным государственным унитарным предприятием "Российский научно-технический центр информации по стандартизации, метрологии и оценке соответствия" (ФГУП "СТАНДАРТИНФОРМ")
2 ВНЕСЕН Федеральным агентством по техническому регулированию и метрологии
3 ПРИНЯТ Межгосударственным советом по стандартизации, метрологии и сертификации (протокол от 30 мая 2018 г. N 109-П)
За принятие проголосовали:
Краткое наименование страны по МК (ИСО 3166) 004-97 | Код страны по МК (ИСО 3166) 004-97 | Сокращенное наименование национального органа по стандартизации |
Армения | AM | Минэкономики Республики Армения |
Беларусь | BY | Госстандарт Республики Беларусь |
Казахстан | KZ | Госстандарт Республики Казахстан |
Киргизия | KG | Кыргызстандарт |
Россия | RU | Росстандарт |
Таджикистан | TJ | Таджикстандарт |
Узбекистан | UZ | Узстандарт |
4
Приказом Федерального агентства по техническому регулированию и метрологии от 24 августа 2018 г. N 523-ст межгосударственный стандарт ГОСТ ISO 6463-2018 введен в действие в качестве национального стандарта Российской Федерации с 1 сентября 2019 г.
5 Настоящий стандарт идентичен международному стандарту ISO 6463:1982 "Животные и растительные жиры и масла. Определение бутилгидроксианизола (БОА) и бутилгидрокситолуола (БОТ). Метод газожидкостной хроматографии" ("Animal and vegetable fats and oils - Determination of butylhydroxyanisole (BHA) and butylhydroxytoluene (BHT) - Gas-liquid chromatographic method", IDT).
Международный стандарт подготовлен Техническим комитетом ISO/TC 34 "Сельскохозяйственные пищевые продукты" Международной организации по стандартизации (ISO).
При применении настоящего стандарта рекомендуется использовать вместо ссылочных международных стандартов соответствующие им межгосударственные стандарты, сведения о которых приведены в дополнительном
приложении ДА
--------------------------------
<*>
Приказом Федерального агентства по техническому регулированию и метрологии от 24 августа 2018 г. N 523-ст
ГОСТ Р 50206-92 (ИСО 6463-82) отменен.
7 ВВЕДЕН ВПЕРВЫЕ
Информация об изменениях к настоящему стандарту публикуется в ежегодном информационном указателе "Национальные стандарты", а текст изменений и поправок - в ежемесячном информационном указателе "Национальные стандарты". В случае пересмотра (замены) или отмены настоящего стандарта соответствующее уведомление будет опубликовано в ежемесячном информационном указателе "Национальные стандарты". Соответствующая информация, уведомление и тексты размещаются также в информационной системе общего пользования - на официальном сайте Федерального агентства по техническому регулированию и метрологии в сети Интернет (www.gost.ru)
ISO (Международная организация по стандартизации) является Всемирной федерацией национальных организаций по стандартизации (организаций - членов ISO). Разработка международных стандартов осуществляется техническими комитетами ISO. Каждая организация-член, заинтересованная в деятельности, для которой был создан технический комитет, имеет право быть представленной в этом комитете ISO. Международные правительственные и неправительственные организации, имеющие связи с ISO, также принимают участие в работе.
Проекты международных стандартов, принятые техническими комитетами, рассылаются организациям-членам для одобрения до принятия их Советом ISO в качестве международных стандартов.
Международный стандарт ISO 6463 подготовлен Техническим комитетом ISO/TC 34 "Сельскохозяйственные пищевые продукты" и направлен организациям-членам в марте 1981 г.
Он был утвержден организациями-членами следующих стран:
Австралия Австрия Канада Чили Чехословакия Доминиканская Республика Арабская Республика Египет Эфиопия Франция Федеративная Республика Германия Венгрия | Индия Иран Ирак Израиль Италия Кения Республика Корея Мексика Нидерланды Новая Зеландия Португалия | Румыния Южно-Африканская Республика Шри-Ланка Танзания Таиланд Соединенное Королевство Великобритании США СССР Югославия |
Ни одна организация-член не выразила неодобрения данного стандарта.
Данный международный стандарт был одобрен также Международным союзом теоретической и прикладной химии (ИЮПАК).
Настоящий стандарт устанавливает метод газожидкостной хроматографии для определения бутилгидроксианизола (трет-бутил-4-метоксифенол) (БОА) и бутилгидрокситолуола (2,6-ди-трет-бутил-4-метилфенол) (БОТ), используемых в качестве антиоксидантов в животных и растительных жирах и маслах.
Примечание - Метод также позволяет проводить качественное определение трет-бутилгидрохинона (ТБГХ).
ISO 5558
<1>, Animal and vegetable fats and oils - Detection and identification of antioxidants - Thin-layer chromatographic method (Жиры и масла животные и растительные. Определение и идентификация антиоксидантов. Метод тонкослойной хроматографии)
--------------------------------
<1> Для недатированных ссылок применяют последнее издание ссылочного стандарта (включая все изменения к нему).
Метод основан на растворении жира или масла в подходящем растворителе, последующем вводе пробы в газовый хроматограф с использованием метода внутреннего стандарта при калибровке.
4.1 Газ-носитель: инертный газ (такой как азот, гелий или аргон), тщательно высушенный и содержащий менее 10 мг кислорода на килограмм.
4.2 Дополнительные газы:
- водород, минимальная чистота 99,9%, свободный от органических соединений;
- воздух или кислород, свободный от органических соединений.
4.3 Дихлорметан или при его отсутствии дисульфид углерода, не содержащий примесей, которые могут повлиять на газохроматографическое определение БОА или БОТ.
ПРЕДУПРЕЖДЕНИЕ - Дихлорметан и дисульфид углерода являются токсичными. Кроме того, дисульфид углерода очень летуч и взрывоопасен, при его использовании необходимо работать с осторожностью.
4.4 Метилундеканоат, содержание основного вещества не менее 99,0%.
4.5 Бутилгидроксианизол, содержание основного вещества не менее 98,0%.
4.6 Бутилгидрокситолуол, содержание основного вещества не менее 98,0%.
Обычное лабораторное оборудование, в частности:
5.1 Газовый хроматограф с пламенно-ионизационным детектором и регистратором, включающий:
5.1.1 Инжектор, вместе с одной из следующих систем задержки нелетучих жиров и масел:
a) предколонка, заполненная силанизированной стекловатой или стеклянными гранулами;
b) переходник, заполненный силанизированной стекловатой, помещенный в инжектор (только в случае горизонтального инжектора).
5.1.2 Колонку из нержавеющей стали или стекла, обеспечивающую селективное разделение БОА и БОТ, длиной примерно 2 м и внутренним диаметром 2 - 4 мм, заполненную, например, 10% метилполисилоксана
<1>, нанесенного на промытую кислотой силилированную кирпичную пыль
<2>.
--------------------------------
<1> Рекомендуется использовать DC 200 [кинематическая вязкость 1,25 м
2/с (12 500 теоретических тарелок)].
<2> Рекомендуется использовать Gas/Chrom Q с размерами частиц от 150 до 180 мкм (от 80 до 100 меш).
5.2 Мерные колбы вместимостью 10, 20 и 100 см
3.
5.3 Градуированные пипетки вместимостью 1 и 2 см
3.
5.4 Аналитические весы.
6 Обнаружение (экстракция)
См. ISO 5558.
7.1 Подготовка аппаратуры
7.1.1 Инжектор
Температура: 250 °C.
Переходник или предколонка (см.
5.1.1) должны быть очищены после каждого рабочего дня и прокондиционированы в течение ночи при температуре 220 °C.
Примечание - Необходимо проверять переходник или предколонку периодическим вводом в хроматограф жира или масла известного состава.
7.1.2 Термостат и колонка
Температура при изотермических условиях: 160 °C.
Скорость потока газа-носителя: оптимальное значение устанавливается оператором.
Перед первым использованием кондиционируют заполненную колонку пропусканием газа-носителя в течение 24 ч при 220 °C.
7.1.3 Детектор
Температура: 250 °C.
Скорость потока дополнительных газов:
- водород: примерно 20 см3/мин;
- воздух или кислород: согласно инструкции производителя.
7.2 Калибровка
7.2.1 Метод калибровки
Используют метод внутренней калибровки, в котором определенное количество известного вещества, соответствующий пик которого не накладывается на другие пики, добавляют в образец и результаты измерения пиков разных составляющих, скорректированных с помощью их относительных калибровочных коэффициентов, сравнивают с результатом измерения пика известного вещества.
7.2.2 Приготовление стандартных смесей
7.2.2.1 Приготовление раствора внутреннего стандарта
Используют в качестве внутреннего стандарта раствор метилундеканоата концентрацией 30 мкг/см3, приготовленный следующим образом.
Взвешивают с точностью до 0,1 мг 30 мг метилундеканоата (см.
4.4) в мерной колбе вместимостью 100 см
3 (см.
5.2). Доводят до метки растворителем (см.
4.3). Переносят пипеткой (см.
5.3) 2 см
3 раствора в мерную колбу вместимостью 20 см
3 (см.
5.2) и доводят до метки растворителем.
7.2.2.2 Приготовление стандартных растворов антиоксидантов
Взвешивают с точностью до 0,1 мг ровно 100 мг антиоксиданта (БОА или БОТ) (см.
4.5 или
4.6) в мерную колбу вместимостью 100 см
3 (см.
5.2). Доводят до метки растворителем (см.
4.3). Пипеткой (см.
5.3) переносят 1 см
3 этого раствора в мерную колбу вместимостью 10 см
3 (см.
5.2) и доводят до метки растворителем.
В пять мерных колб вместимостью 10 см
3 (см.
5.2) пипеткой (см.
5.3) вносят 0,2; 0,5; 0,8; 1,0 и 1,2 см
3 раствора антиоксиданта. Добавляют пипеткой в каждую колбу 2 см
3 внутреннего стандарта (см.
7.2.2.1) и доводят до метки растворителем.
Эти растворы содержат соответственно 2, 5, 8, 10 и 12 мкг антиоксиданта в 1 см3.
Примечание - Проверяют с помощью холостой пробы отсутствие наложения пиков с метилундеканоатом. В случае обнаружения наложения пиков используют в качестве внутреннего стандарта метилмиристат.
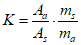
7.2.3 Определение калибровочных коэффициентов и построение калибровочного графика
Вводят каждый раствор (см.
7.2.2.2) в хроматограф и вычисляют коэффициент линейной корреляции
K по формуле

,
где Aa - площадь пика, соответствующего антиоксиданту;
As - площадь пика, соответствующего внутреннему стандарту;
ma - масса антиоксиданта в стандартном растворе, г;
ms - масса добавленного внутреннего стандарта, г.
При необходимости строят график, откладывая на оси ординат отношения площади пиков, соответствующих антиоксиданту, к площади пика, соответствующего внутреннему стандарту, на оси абсцисс - концентрации антиоксиданта во введенных в инжектор растворах.
Взвешивают с точностью до 1,0 мг 1,0 г жира или масла и переносят в мерную колбу вместимостью 10 см
3 (см.
5.2). Добавляют 2 см
3 внутреннего стандарта (см.
7.2.2.1) и доводят до метки растворителем (см.
4.3).
Необходимо, чтобы колба была постоянно закрыта.
Вводят в хроматограф от 1 до 7 мм3 (мкл) смеси.
Содержание БОА или БОТ X, выраженное в миллиграммах на килограмм продукта (млн-1), вычисляют по формуле

,
где
m - масса пробы (см.
7.3), г;
ms - масса добавленного внутреннего стандарта (примерно 60 мкг), мкг;
Aa - площадь пика, соответствующего антиоксиданту;
As - площадь пика, соответствующего внутреннему стандарту;
K - коэффициент линейной корреляции для антиоксиданта по отношению к внутреннему стандарту.
9 Оформление результатов испытаний
В протоколе испытаний должны быть указаны используемый метод и полученные результаты. В нем также должны быть отражены условия, не обозначенные в настоящем стандарте или рассматриваемые как дополнительные, и любые обстоятельства, которые могли бы повлиять на результаты.
Протокол испытаний должен содержать всю информацию, необходимую для полной идентификации образца.
(справочное)
СВЕДЕНИЯ О СООТВЕТСТВИИ ССЫЛОЧНЫХ МЕЖДУНАРОДНЫХ СТАНДАРТОВ
ССЫЛОЧНЫМ МЕЖГОСУДАРСТВЕННЫМ СТАНДАРТАМ
Таблица ДА.1
Обозначение ссылочного международного стандарта | Степень соответствия | Обозначение и наименование соответствующего межгосударственного стандарта |
ISO 5558 | - | |
<*> Соответствующий межгосударственный стандарт отсутствует. До его утверждения рекомендуется использовать перевод на русский язык международного стандарта ISO 5558. Официальный перевод данного международного стандарта находится в Федеральном информационном фонде стандартов. |