Главная // Актуальные документы // ГОСТ (Государственный стандарт)СПРАВКА
Источник публикации
М.: Стандартинформ, 2018
Примечание к документу
Документ включен в Перечень международных и региональных (межгосударственных) стандартов (
п. п. 4,
65,
175,
228,
238), а в случае их отсутствия - национальных (государственных) стандартов, содержащих правила и методы исследований (испытаний) и измерений, в том числе правила отбора образцов, необходимые для применения и исполнения требований технического
регламента Таможенного союза "О требованиях к автомобильному и авиационному бензину, дизельному и судовому топливу, топливу для реактивных двигателей и мазуту" (ТР ТС 013/2011) и осуществления оценки соответствия объектов технического регулирования (
Решение Коллегии Евразийской экономической комиссии от 15.08.2023 N 114).
Документ включен в Перечень стандартов (
пункты 6,
97,
232,
298 и
309), содержащих правила и методы исследований (испытаний) и измерений, в том числе правила отбора образцов, необходимые для применения и исполнения требований технического
регламента Таможенного союза "О требованиях к автомобильному и авиационному бензину, дизельному и судовому топливу, топливу для реактивных двигателей и мазуту" (ТР ТС 013/2011) и осуществления оценки соответствия объектов технического регулирования (
Решение Комиссии Таможенного союза от 18.10.2011 N 826).
Текст данного документа приведен с учетом
поправки, опубликованной в "ИУС", N 7, 2022.
Документ
введен в действие с 01.01.2019.
Название документа
"ГОСТ ISO 20846-2016. Межгосударственный стандарт. Нефтепродукты жидкие. Определение содержания серы в автомобильных топливах. Метод ультрафиолетовой флуоресценции"
(введен в действие Приказом Росстандарта от 31.10.2018 N 899-ст)
"ГОСТ ISO 20846-2016. Межгосударственный стандарт. Нефтепродукты жидкие. Определение содержания серы в автомобильных топливах. Метод ультрафиолетовой флуоресценции"
(введен в действие Приказом Росстандарта от 31.10.2018 N 899-ст)
по техническому регулированию
и метрологии
от 31 октября 2018 г. N 899-ст
МЕЖГОСУДАРСТВЕННЫЙ СТАНДАРТ
НЕФТЕПРОДУКТЫ ЖИДКИЕ
ОПРЕДЕЛЕНИЕ СОДЕРЖАНИЯ СЕРЫ В АВТОМОБИЛЬНЫХ ТОПЛИВАХ. МЕТОД
УЛЬТРАФИОЛЕТОВОЙ ФЛУОРЕСЦЕНЦИИ
Liquid petroleum products. Determination of sulfur content
of automotive fuels. Ultraviolet fluorescence method
(ISO 20846:2011, Petroleum products - Determination
of sulfur content of automotive fuels - Ultraviolet
fluorescence method, IDT)
ГОСТ ISO 20846-2016
Дата введения
1 января 2019 года
Цели, основные принципы и основной порядок проведения работ по межгосударственной стандартизации установлены в
ГОСТ 1.0-2015 "Межгосударственная система стандартизации. Основные положения" и
ГОСТ 1.2-2015 "Межгосударственная система стандартизации. Стандарты межгосударственные, правила и рекомендации по межгосударственной стандартизации. Правила разработки, принятия, обновления и отмены"
1 ПОДГОТОВЛЕН научно-производственным республиканским унитарным предприятием "Белорусский государственный институт стандартизации и сертификации" (БелГИСС) на основе собственного перевода на русский язык англоязычной версии международного стандарта, указанного в
пункте 5
2 ВНЕСЕН Государственным комитетом по стандартизации Республики Беларусь
3 ПРИНЯТ Межгосударственным советом по стандартизации, метрологии и сертификации по результатам голосования (протокол от 27 июля 2016 г. N 89-П)
За принятие стандарта проголосовали:
Краткое наименование страны по МК (ИСО 3166) 004-97 | Код страны по МК (ИСО 3166) 004-97 | Сокращенное наименование национального органа по стандартизации |
Армения | AM | Минэкономики Республики Армения |
Грузия | GE | Грузстандарт |
Беларусь | BY | Госстандарт Республики Беларусь |
Казахстан | KZ | Госстандарт Республики Казахстан |
Киргизия | KG | Кыргызстандарт |
Россия | RU | Росстандарт |
Таджикистан | TJ | Таджикстандарт |
Туркмения | TM | Главгосслужба "Туркменстандартлары" |
Узбекистан | UZ | Узстандарт |
4
Приказом Федерального агентства по техническому регулированию и метрологии от 31 октября 2018 г. N 899-ст межгосударственный стандарт ГОСТ ISO 20846-2016 введен в действие в качестве национального стандарта Российской Федерации с 1 января 2019 г.
5 Настоящий стандарт идентичен международному стандарту ISO 20846:2011 "Нефтепродукты. Определение содержания серы в автомобильных топливах. Метод ультрафиолетовой флуоресценции" ("Petroleum products - Determination of sulfur content of automotive fuels - Ultraviolet fluorescence method", IDT).
Международный стандарт разработан техническим комитетом по стандартизации ISO/TC 28 "Нефтепродукты и смазочные материалы" Международной организации по стандартизации (ISO).
Наименование настоящего стандарта изменено по отношению к наименованию указанного международного стандарта для приведения в соответствие с ГОСТ 1.5
(подраздел 3.6).
При применении настоящего стандарта рекомендуется использовать вместо ссылочных международных стандартов соответствующие им межгосударственные стандарты, сведения о которых приведены в дополнительном
приложении ДА
Информация об изменениях к настоящему стандарту публикуется в ежегодном информационном указателе "Национальные стандарты", а текст изменений и поправок - в ежемесячном информационном указателе "Национальные стандарты". В случае пересмотра (замены) или отмены настоящего стандарта соответствующее уведомление будет опубликовано в ежемесячном информационном указателе "Национальные стандарты". Соответствующая информация, уведомление и тексты размещаются также в информационной системе общего пользования - на официальном сайте Федерального агентства по техническому регулированию и метрологии в сети Интернет (www.gost.ru)
Предупреждение - Применение настоящего стандарта связано с использованием опасных веществ, операций и оборудования. Настоящий стандарт не рассматривает все проблемы безопасности, связанные с его применением, если они существуют. Пользователь настоящего стандарта несет ответственность за обеспечение техники безопасности, охрану здоровья человека и определение границ применимости стандарта до начала его применения.
Настоящий стандарт устанавливает метод ультрафиолетовой флуоресценции для определения содержания серы в диапазоне от 3 до 500 мг/кг в автомобильном бензине с содержанием кислорода не более 3,7% (m/m), в том числе в бензине, содержащем этанол до 10% (V/V), а также в дизельном топливе, содержащем метиловые эфиры жирных кислот (FAME) до 10% (V/V). Метод настоящего стандарта может применяться для испытания других продуктов, содержание серы в которых может отличаться. Однако показатели прецизионности для других продуктов (не являющихся автомобильным топливом) и для результатов определения, находящихся за пределами указанного диапазона, в методе настоящего стандарта не установлены. При концентрациях свыше 3500 мг/кг галогены оказывают мешающее влияние на проведение испытания по методу настоящего стандарта.
Примечание 1 - Некоторые катализаторы, применяемые в процессах переработки нефти и химической очистки нефтепродуктов, могут загрязняться следовыми количествами серосодержащих соединений исходного сырья.
Примечание 2 - Метод настоящего стандарта может применяться для определения содержания серы в технологических потоках и контроля содержания серы в сточных водах.
Примечание 3 - В настоящем стандарте единицы измерения "%" (m/m) и "%" (V/V) применяются для обозначения соответственно массовой и объемной доли вещества.
Примечание 4 - Коэффициенты преобразования сульфатов и органической серы в этиловом спирте не совпадают, но имеют близкие значения.
Примечание 5 - Следует контролировать и учитывать мешающее влияние азота, особенно при определении содержания серы в дизельном топливе, содержащем азотсодержащую присадку, повышающую цетановое число. Например, введение алкилнитрата в виде 2-этилгексил нитрата (EHN) в дизельное топливо для повышения цетанового числа приводит к получению завышенных результатов определения содержания серы, увеличение которых может составить от 0 до 1,7 мг/кг при добавлении 2000 мг/кг EHN к дизельному топливу с содержанием серы 10 мг/кг.
Для применения настоящего стандарта необходимы следующие ссылочные документы. Для недатированных ссылок применяют последнее издание ссылочного документа (включая все изменения к нему).
ISO 1042, Laboratory glassware - One-mark volumetric flasks (Посуда лабораторная стеклянная. Колбы мерные с одной меткой)
ISO 3170, Petroleum liquids - Manual sampling (Нефтепродукты жидкие. Ручной отбор проб)
ISO 3171, Petroleum liquids - Automatic pipeline sampling (Нефтепродукты жидкие. Автоматический отбор проб из трубопроводов)
ISO 3675:1998, Нефть сырая и нефтепродукты. Лабораторное определение плотности. Метод с применением ареометра
ISO 12185:1996, Нефть сырая и нефтепродукты. Определение плотности. Метод с применением осциллирующей U-образной трубки
Пробу углеводородного продукта вводят в анализатор с ультрафиолетовым флуоресцентным детектором. Пробу впрыскивают в высокотемпературную камеру сгорания (1000 - 1100 °C), где происходит окисление серы до диоксида серы (SO2) в среде кислорода. Удаляют воду, образовавшуюся при сгорании пробы, а газообразные продукты горения пробы подвергают воздействию ультрафиолетового излучения. SO2, поглощая энергию ультрафиолетового излучения, преобразуется в возбужденный диоксид серы (SO2*). Флуоресценция, излучаемая возбужденным SO2* при возвращении его в исходное состояние, регистрируется трубкой фотоэлектронного умножителя, и результирующий сигнал является мерой содержания серы в пробе.
4.1 Инертный газ, аргон или гелий высокой степени чистоты с содержанием основного вещества не менее 99,998% (V/V).
4.2 Кислород высокой степени чистоты с содержанием основного вещества не менее 99,75% (V/V).
Предостережение: Вызывает быстрое возгорание.
4.3.1 Общие требования
Используют растворитель, указанный в
4.3.2 или
4.3.3, или растворитель, аналогичный тому, который присутствует в пробе испытуемого продукта. Необходимо вводить поправку на увеличение содержания серы от растворителя, применяемого при приготовлении стандартных растворов и разбавлении пробы. При применении растворителя, который в качестве примеси не содержит серу, вводить поправку не требуется.
4.3.2 Толуол, со степенью чистоты "reagent grade" (реактивной чистоты).
4.3.3 Изооктан, со степенью чистоты "reagent grade" (реактивной чистоты).
Предостережение: Легковоспламеняющиеся растворители.
4.4 Серосодержащие соединения
4.4.1 Соединения с содержанием серы не менее 99% (m/m). Примеры данных соединений приведены в
4.4.2 -
4.4.4. Если содержание серы в соединении менее 99% (m/m), необходимо провести качественный и количественный анализы всех примесей.
Примечание - Если точное содержание серы известно, можно ввести поправку на химическую чистоту.
В качестве альтернативы соединениям, указанным в
4.4.2 -
4.4.4, возможно применение стандартных образцов от аккредитованных поставщиков.
4.4.2 Дибензотиофен (DBT) молекулярной массой 184,26 с номинальным содержанием серы 17,399% (m/m).
4.4.3 Дибутилсульфид (DBS) молекулярной массой 146,29 с номинальным содержанием серы 21,915% (m/m).
4.4.4 Тионафтен (бензотиофен) (TNA) молекулярной массой 134,20 с номинальным содержанием серы 23,890% (m/m).
4.5 Основной серосодержащий раствор
Приготавливают основной раствор с содержанием серы приблизительно 1000 мг/л в мерной колбе
(5.9), точно взвешивая соответствующее количество серосодержащего соединения
(4.4). Обеспечивают полное растворение навески в растворителе
(4.3). Вычисляют содержание серы в растворе с точностью до 1 мг/л. Полученный основной раствор используют для приготовления стандартных растворов. Основной раствор с содержанием серы приблизительно 1000 мг/кг может быть приготовлен путем растворения точно взвешенного соответствующего количества серосодержащего соединения
(4.4) в мерной колбе
(5.9) и при повторном взвешивании мерной колбы после наполнения ее растворителем
(4.3) до отметки. Необходимо принять меры, не допускающие испарения растворителя и/или серосодержащих соединений, для того чтобы избежать ошибок при взвешивании. Масса серосодержащих соединений, указанных в
4.4.2 -
4.4.4, используемых для приготовления растворов в мерной колбе вместимостью 100 мл, составляет 0,5748 г (DBT), 0,4563 г (DBS) и 0,4186 г (TNA) соответственно.
Примечание - Срок хранения основного раствора не должен превышать трех месяцев при хранении его при низкой температуре (обычно в холодильнике).
4.6 Стандартные растворы для калибровки
Приготавливают стандартные растворы путем разбавления основного серосодержащего раствора
(4.5) выбранным растворителем
(4.3).
Вычисляют точное содержание серы в каждом стандартном растворе. Стандартные растворы с известной концентрацией серы в миллиграммах на литр (или в миллиграммах на килограмм) могут быть получены путем разбавления по объему (или по массе) исходного раствора с концентрацией 1000 мг/л (или 1000 мг/кг). Возможны другие методы приготовления стандартных растворов, но для приведенного выше метода не вводится поправка на плотность раствора.
Новые стандартные растворы следует приготавливать в зависимости от частоты их применения и срока годности. При хранении при низкой температуре (обычно в холодильнике) стандартные растворы с концентрацией серы более 30 мг/кг (или мг/л) имеют срок годности не менее одного месяца. При концентрации серы менее 30 мг/кг срок годности должен быть уменьшен.
4.7 Образцы для контроля качества
Образцами для контроля качества являются стабильные образцы, представительные для испытуемых продуктов, с известным содержанием серы, определение которого проводилось по настоящему методу в течение длительного периода времени. Также могут использоваться стандартные образцы с установленным содержанием серы, имеющиеся в продаже. Перед использованием проверяют срок годности образцов.
4.8 Стекловата
Необходимо соблюдать рекомендации изготовителя.
Основные элементы оборудования для испытаний приведены на
рисунке 1.
1 - источник УФ-излучения; 2 - фотоумножитель; 3 - выходной
сигнал; 4 - печь, обеспечивающая температуру 1000 - 1100 °C;
5 - устройство подачи кислорода; 6 - устройство подачи
инертного газа; 7 - газоотвод; 8 - осушительная камера
паров; 9 - кварцевая камера; 10 - микрошприц
Рисунок 1 - Устройство оборудования для испытания
5.1 Печь, имеющая электрическое устройство, обеспечивающее температуру, достаточную для пиролиза всей пробы и окисления серы до диоксида серы (SO
2). Печь может быть горизонтального или вертикального типа.
5.2 Кварцевая камера сгорания, имеющая устройство, обеспечивающее прямой впрыск пробы в нагретую зону окисления печи
(5.1).
Камера сгорания имеет боковые отводы для подачи кислорода и инертного несущего газа. Секция для окисления должна быть достаточно большой вместимости для обеспечения полного сгорания пробы. Она может быть горизонтального или вертикального типа.
5.3 Регуляторы расхода, способные обеспечивать постоянную подачу кислорода и несущего газа.
5.4 Осушитель паров, способный извлекать водяные пары, образующиеся при сгорании, до измерений детектором
(5.5).
5.5 Детектор УФ-излучения избирательного действия, предназначенный для количественных определений и обеспечивающий измерение светового излучения в результате флуоресценции диоксида серы под воздействием УФ-лучей.
Предупреждение: Воздействие чрезмерного количества ультрафиолетового излучения вредно для здоровья. Оператор должен избегать воздействия не только прямого УФ-излучения, но и вторичного или рассеянного излучения, которое может присутствовать.
5.6 Микрошприц, обеспечивающий точное впрыскивание пробы объемом от 5 до 50 мкл.
Следует соблюдать инструкции изготовителя по определению необходимой длины иглы. Для вертикального впрыскивания рекомендуются шприцы из политетрафторэтилена.
5.7 Система впрыскивания пробы может иметь вертикальное или горизонтальное положение.
Система должна иметь отверстие для прямого впрыскивания, обеспечивающее количественную подачу испытуемого продукта в поток несущего инертного газа, который направляет пробу в зону окисления при контролируемой и постоянной скорости. Необходимо наличие механизма привода впрыскивания, который подает пробу из микрошприца с постоянным расходом, не превышающим 1 мкл/с.
Примечание - Могут использоваться лодочные системы впрыскивания, если при их использовании обеспечивается соответствие требованиям
раздела 12.
5.8 Весы, обеспечивающие взвешивание с точностью до 0,1 мг.
5.9 Мерные колбы с одной отметкой класса A по ISO 1042 соответствующей вместимости, включая колбы вместимостью 100 мл, для приготовления основного серосодержащего раствора
(4.5) и стандартных растворов для калибровки
(4.6).
6.1 Если не указано иное, отбор проб проводят в соответствии с процедурами, установленными в ISO 3170 (для ручного отбора проб) или ISO 3171 (для автоматического отбора проб из трубопровода). Для сохранения летучих компонентов, присутствующих в пробах, пробы хранят при максимально возможной низкой температуре, не открывая дольше, чем это необходимо. Пробы подвергают испытаниям сразу после отбора, если это возможно, для предотвращения потерь серы или загрязнения по причине контакта с сосудом для хранения пробы.
Предупреждение: Пробы, отбираемые при температуре ниже комнатной, могут подвергаться расширению и разрушать сосуд. Для таких проб не следует наполнять сосуд полностью, сверху пробы необходимо оставить свободное пространство с учетом расширения продукта.
6.2 Если проба не используется сразу, то перед отбором порции для испытания пробу тщательно перемешивают.
7 Подготовка оборудования
7.1 Собирают и проверяют на утечку оборудование согласно инструкциям изготовителя.
7.2 Регулируют давление подачи и расход каждого газа согласно инструкциям изготовителя.
7.3 Руководствуясь инструкциями изготовителя, устанавливают в печи
(5.1) высокую температуру, достаточную для пиролиза и окисления серы, обычно равную 1100 °C в печи с одной температурной зоной или 750 °C для пиролиза и 1000 - 1100 °C для окисления в печи с двумя температурными зонами.
7.4 Настраивают чувствительность измерительного прибора и устанавливают базовую линию, выполняют процедуры обнуления, следуя инструкциям изготовителя. Проверяют стабильность УФ-излучения до проведения измерения.
Примечание - Для обеспечения стабильности УФ-излучения обычно необходимо прогревание продолжительностью не менее 30 мин.
8 Калибровка оборудования и проверка
8.1 Калибровка по нескольким точкам
8.1.1 Выбирают одну из кривых, приведенных в
таблице 1. Приготавливают серию стандартных растворов
(4.6), разбавляя основной раствор
(4.5) выбранным растворителем
(4.3), для охвата рабочего диапазона. Количество стандартных растворов, применяемых для построения калибровочной кривой, может изменяться, но должно быть не менее четырех.
Таблица 1
Стандартные растворы для калибровки
Кривая I. Содержание серы, мг/л или мг/кг | Кривая II. Содержание серы, мг/л или мг/кг | Содержание серы, мг/л или мг/кг |
0,5 | 5 | 50 |
2 | 10 | 150 |
5 | 30 | 350 |
10 | 60 | 500 |
8.1.2 Промывают микрошприц
(5.6) несколько раз испытуемым раствором, удостоверяются, что последняя порция испытуемого раствора в шприце не содержит пузырьков воздуха.
8.1.3 Применяя одну из методик, приведенных в
8.1.3.1 или
8.1.3.2, отмеряют количество пробы, установленное изготовителем, до впрыскивания пробы в камеру сгорания для анализа.
Примечание - Впрыскивание проб одинакового или близкого объема для всех анализируемых растворов в выбранном рабочем диапазоне обеспечивает аналогичные условия сгорания соединений.
8.1.3.1 Для определения количества пробы шприц наполняют до выбранного уровня и перемещают поршень так, чтобы нижний мениск жидкости совпадал с отметкой шкалы 10%. Затем записывают объем жидкости в шприце. После того как вещество было впрыснуто, снова перемещают поршень так, чтобы нижний мениск жидкости совпадал с отметкой шкалы 10%, и записывают объем жидкости в шприце. Разница между двумя показаниями является объемом впрыснутого продукта.
Примечание - Вместо описанной ручной процедуры впрыскивания можно применять устройство автоматического отбора проб и впрыскивания.
8.1.3.2 Для определения массы взвешивают наполненный шприц с наполненной иглой до впрыскивания и шприц с иглой после впрыскивания, чтобы определить массу впрыснутой испытуемой порции.
Примечание - Измерение массы может быть более точным, чем измерение объема для менее летучих проб, если использовать весы с погрешностью не более +/- 0,01 мг.
8.1.4 Шприц с отмеренным количеством пробы сразу же переносят в анализатор. При прямом впрыскивании шприц осторожно вставляют во входное отверстие камеры сгорания
(5.2) и осуществляют впрыскивание. Ожидают, чтобы остатки пробы сгорели на игле (чистая игла). Как только будет достигнута стабильность базовой линии, начинают анализ. Шприц извлекают после достижения стабильности базовой линии.
8.1.5 Строят калибровочную кривую по одной из методик, приведенных в
8.1.5.1 или
8.1.5.2.
8.1.5.1 Для ручного построения кривой три раза проводят анализ стандартных растворов и холостой пробы, используя процедуру, приведенную в
8.1.2 -
8.1.4. Вычитают среднее значение результатов анализа холостой пробы из результата анализа каждого стандартного раствора перед определением среднего значения отклика. Строят кривую в виде графика зависимости среднего значения отклика детектора (ось
y) от количества
Q в нанограммах впрыскиваемой серы (ось
x). Кривая должна быть линейной с коэффициентом корреляции не менее 0,995.
Q вычисляется по формулам
Q = mc·wSc (1)
или

, (2)
где wSc - содержание серы в стандартном растворе, мг/кг;
Vc - объем впрыскиваемого стандартного раствора, мкл;

- концентрация серы в стандартном растворе, мг/л;
mc - масса впрыскиваемого стандартного раствора в миллиграммах, определенная путем прямых измерений или вычисленная по измеренным значениям объема впрыскиваемой порции и плотности по формуле
mc = Vc·Dc, (3)
где Dc - плотность стандартного раствора при температуре измерения, г/мл;
8.1.5.2 Для анализатора, оснащенного устройством для построения калибровочной кривой, три раза проводят анализ стандартных растворов и холостой пробы, используя процедуру, приведенную в
8.1.2 -
8.1.4. Если необходимо ввести поправку на холостую пробу (она может отсутствовать (см.
4.3)), вводят поправку на отклик анализатора, используя среднее значение отклика каждого стандартного раствора на количество серы
Q в нанограммах, полученное по
8.1.5.1. Кривая должна быть линейной с коэффициентом корреляции не менее 0,995.
8.1.6 Калибровку анализатора можно выполнить с помощью калибровочной кривой, отличной от указанных в
таблице 1. Согласно установившейся практике калибровочная кривая строится таким образом, чтобы содержание серы в испытуемой пробе находилось в средней части калибровочной кривой.
8.2 Калибровка по одной точке
8.2.1 Приготавливают стандартные растворы для калибровки
(4.6) с содержанием серы, близким к содержанию в анализируемой пробе (максимальное отклонение +/- 50%), разбавлением основного раствора
(4.5). Стандартный раствор, содержание серы в котором более чем на 50% отличается от содержания в пробе, может использоваться, если заранее была установлена линейность зависимости для данной аппаратуры. При необходимости содержание серы в стандартном растворе должно корректироваться с учетом содержания серы в выбранном растворителе
(4.3).
Примечание - С целью определения содержания серы в выбранном растворителе может быть использован метод стандартных добавок, который обеспечивает получение удовлетворительных результатов.
8.2.2 Применяя процедуру, приведенную в
8.1.2 -
8.1.4, не менее трех раз проводят анализ стандартного раствора, используя для анализа соответствующее количество пробы для испытания, установленное изготовителем.
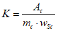
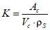
8.2.3 Вычисляют калибровочный коэффициент K, выраженный в количестве импульсов на нанограмм серы, по следующей формуле:

(4)
или

, (5)
где Ac - суммарный отклик детектора для стандартного раствора, выраженный в количестве импульсов;
wSc - содержание серы в стандартном растворе, мг/кг;
Vc - объем впрыскиваемого стандартного раствора, мкл;

- концентрация серы в стандартном растворе, мг/л;
mc - масса впрыскиваемого стандартного раствора в миллиграммах, определенная путем прямых измерений или вычисленная по измеренным значениям объема впрыскиваемой порции и плотности по формуле
mc = Vc·Dc, (6)
где Dc - плотность стандартного раствора при температуре измерения, г/мл.
Вычисляют среднее значение калибровочного коэффициента и проверяют, чтобы стандартное отклонение находилось в допустимых пределах.
Если концентрация серы в стандартных растворах выражена в миллиграммах на килограмм, а впрыскивание раствора производится по объему, необходимо ввести поправку на разницу в плотности стандартного раствора и пробы.
8.3 Проверка
8.3.1 Проверяют калибровку, используя образцы для контроля качества с известным содержанием серы, перед серией испытаний и не реже, чем через каждые 20 анализов в течение большой серии испытаний.
8.3.2 Сравнивают результаты, полученные при калибровке, с известными значениями содержания серы и относящимися к ним неопределенностями. Для результатов, выходящих за пределы допускаемых отклонений, должны быть установлены причины их отклонений.
Примечание - Пределы допускаемых отклонений устанавливаются на основе статистического анализа лабораторией контрольных карт, но до этого следует установить начальные значения. Предел повторяемости данного метода или предел, равный 0,7 воспроизводимости данного метода, являются приемлемыми начальными точками.
9.1 Определяют плотность пробы ареометром по методу, установленному в ISO 3675, или плотномером с осциллирующей U-образной трубкой по методу, установленному в ISO 12185.
Если температура впрыскиваемой пробы более чем на 3 °C отличается от температуры определения плотности или используется значение плотности при стандартной температуре, для расчета плотности при температуре впрыскивания можно использовать значения плотности, приведенные в
[1].
9.2 Оценивают содержание серы в пробе и готовят испытуемую порцию, содержащую серу в пределах диапазона калибровочной кривой, построенной по нескольким точкам калибровки, или близко к содержанию серы в стандартном растворе (максимальное отклонение +/- 50%) при калибровке по одной точке. Если предполагаемое содержание серы больше содержания серы в стандартных растворах, готовят раствор разбавлением по объему или массе выбранным растворителем
(4.3). Если содержание серы в пробе превышает 500 мг/кг, ее разбавляют до наиболее подходящего уровня.
9.3 Используя процедуру
8.1.2 -
8.1.4, проводят анализ трех порций пробы соответствующего количества, установленного изготовителем анализатора.
9.4 Осматривают камеру сгорания и другие элементы пути потока для проверки полноты окисления испытуемой порции пробы. Если имеются осадки (отложения), выполняют процедуру, описанную в
9.4.1 -
9.4.2.
9.4.1 Если наблюдается коксовый осадок или сажа, очищают элементы камеры сгорания согласно инструкциям изготовителя. После очистки и/или регулировки оборудование собирают и проверяют на утечку. Проводят проверку калибровки до повторного анализа.
9.4.2 Используют для испытаний пробу в меньшем количестве, или уменьшают скорость впрыскивания, или и то и другое.
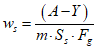
10.1 Применение калибровки по нескольким точкам
Для анализаторов, калиброванных с использованием калибровочной кривой, вычисляют содержание серы wS в миллиграммах на килограмм (мг/кг) по формулам

(7)
или

, (8)
где A - суммарный отклик детектора для пробы, выраженный в количестве импульсов;
Y - отрезок, отсекаемый на оси y от калибровочной кривой, выраженный в количестве импульсов;
Ss - угол наклона калибровочной кривой, выраженный как отношение количества импульсов к нанограмму серы;
Fg - коэффициент, учитывающий разбавление по массе (отношение массы испытуемой порции к массе испытуемой порции и растворителя), г/г;
V - объем впрыскиваемой испытуемой порции раствора, мкл;
Fv - коэффициент, учитывающий разбавление по объему (отношение массы испытуемой порции к объему испытуемой порции и растворителя), г/мл;
m - масса впрыскиваемой испытуемой порции раствора в миллиграммах, определенная путем прямых измерений или вычисленная по значениям измеренного объема впрыскиваемой порции и плотности по формуле
m = V·D, (9)
где D - плотность испытуемой порции раствора при температуре испытания, г/мл.
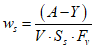
10.2 Применение калибровки по одной точке
Вычисляют содержание серы wS в пробе в миллиграммах на килограмм (мг/кг) по следующим формулам:

(10)
или

, (11)
где K - калибровочный коэффициент, выраженный в количестве импульсов на нанограмм серы;
V - объем впрыскиваемой испытуемой порции раствора, мкл;
A - суммарный отклик детектора для пробы, выраженный в количестве импульсов;
Fg - коэффициент, учитывающий разбавление по массе (отношение массы испытуемой порции к массе испытуемой порции и растворителя), г/г;
Fv - коэффициент, учитывающий разбавление по объему (отношение массы испытуемой порции к объему испытуемой порции и растворителя), г/мл;
m - масса впрыскиваемой испытуемой порции раствора в миллиграммах, определенная путем прямых измерений или вычисленная по значениям измеренного объема впрыскиваемой порции и плотности по формуле
m = V·D, (12)
где D - плотность испытуемой порции раствора при температуре измерения, г/мл.
Если при низком содержании серы пробу разбавляют, то при расчете следует вводить поправку на содержание серы в растворителе.
10.3 Вычисления
Вычисляют среднее значение содержания серы в пробе после проведения трех определений.
Записывают содержание серы в миллиграммах на килограмм (мг/кг) с точностью до 1 мг/кг при значении более 60 мг/кг и с точностью до 0,1 мг/кг при значении менее 60 мг/кг.
12.1 Общие положения
Показатели прецизионности, полученные в результате статистической обработки в соответствии с
[2], приведены в
12.2 и
12.3.
Расхождение между двумя последовательными результатами испытания, полученными одним и тем же оператором при работе на одном и том же оборудовании при одинаковых условиях на идентичном испытуемом продукте в течение длительного промежутка времени при правильном выполнении метода, только в одном случае из двадцати может превысить значения, приведенные в
таблице 2.
Таблица 2
Содержание серы, мг/кг | Автомобильный бензин | Дизельное топливо |
От 3 до 60 включ. | r = 0,0631X + 0,35 | r = 0,0553X + 0,55 |
Св. 60 до 500 | r = 0,0417X + 1 | r = 0,0285X + 2 |
Примечание - X - среднее значение сравниваемых результатов в миллиграммах на килограмм. |
Расхождение между двумя отдельными и независимыми результатами испытаний, полученными разными операторами в разных лабораториях на идентичном испытуемом продукте в течение длительного промежутка времени при правильном выполнении метода, только в одном случае из двадцати может превысить значения, приведенные в
таблице 3.
Таблица 3
Содержание серы, мг/кг | Автомобильный бензин | Дизельное топливо |
От 3 до 60 включ. | R = 0,1749X + 0,96 | R = 0,1120X + 1,12 |
Св. 60 до 500 | R = 0,1573X + 2 | R = 0,1080X + 2 |
Примечание - X - среднее значение сравниваемых результатов в миллиграммах на килограмм. |
Примеры показателей прецизионности приведены в
таблице 4.
Таблица 4
Повторяемость
r и воспроизводимость
R
Содержание серы, мг/кг | Повторяемость | Воспроизводимость |
Автомобильный бензин | Дизельное топливо | Автомобильный бензин | Дизельное топливо |
10 | 1,0 | 1,1 | 2,7 | 2,2 |
30 | 2,2 | 2,2 | 6,2 | 4,5 |
50 | 3,5 | 3,3 | 9,7 | 6,7 |
100 | 5 | 5 | 18 | 13 |
350 | 16 | 12 | 57 | 40 |
500 | 22 | 16 | 81 | 56 |
Протокол испытания должен содержать следующую информацию:
a) ссылку на настоящий стандарт;
b) тип и информацию, необходимую для полной идентификации испытуемого продукта;
d) любое отклонение (по соглашению сторон или другое) от установленного метода испытания;
e) дату проведения испытания.
(справочное)
СВЕДЕНИЯ О СООТВЕТСТВИИ ССЫЛОЧНЫХ МЕЖДУНАРОДНЫХ СТАНДАРТОВ
МЕЖГОСУДАРСТВЕННЫМ СТАНДАРТАМ
Таблица ДА.1
Обозначение ссылочного международного стандарта | Степень соответствия | Обозначение и наименование соответствующего межгосударственного стандарта |
ISO 1042:1998 | - | |
ISO 3170:2004 | NEQ | |
ISO 3171:1988 | NEQ | |
ISO 3675:1998 | IDT | ГОСТ ISO 3675-2014 "Нефть сырая и нефтепродукты. Лабораторный метод определения плотности с использованием ареометра" |
ISO 12185:1996 | IDT | ГОСТ ISO 12185-2009 "Нефть и нефтепродукты. Определение плотности с использованием плотномера с осциллирующей U-образной трубкой" |
<*> Соответствующий межгосударственный стандарт отсутствует. До его утверждения рекомендуется использовать перевод на русский язык данного стандарта. Перевод данного международного стандарта находится в Федеральном информационном фонде стандартов. Примечание - В настоящей таблице использованы следующие условные обозначения степени соответствия стандартов: - IDT - идентичные стандарты; - NEQ - неэквивалентные стандарты. |
| ISO 91-1:1992 | Petroleum measurement tables - Part 1: Tables based on reference temperatures of 15 °C and 60 °F (Таблицы измерений нефтяных продуктов. Часть 1. Таблицы на основе эталонных температур 15 °C и 60 °F) |
| ISO 4259:2006 | Petroleum products - Determination and application of precision data in relation to methods of test (Нефтяные продукты. Определение и применение показателей точности методов испытаний) |
УДК 621.829:543.06:006.354(083.74)(476) | | IDT |
Ключевые слова: нефтепродукты жидкие, определение содержания серы, автомобильные топлива, метод ультрафиолетовой флуоресценции |