Главная // Актуальные документы // ГОСТ (Государственный стандарт)СПРАВКА
Источник публикации
М.: Стандартинформ, 2018
Примечание к документу
Документ включен в
Перечень международных и региональных (межгосударственных) стандартов, а в случае их отсутствия - национальных (государственных) стандартов, в результате применения которых на добровольной основе обеспечивается соблюдение требований технического
регламента Таможенного союза "О безопасности машин и оборудования" (ТР ТС 010/2011) (
Решение Коллегии Евразийской экономической комиссии от 09.03.2021 N 28).
Текст данного документа приведен с учетом поправок, опубликованных в "ИУС",
N 6, 2019;
N 12, 2021;
поправки, опубликованной в "ИУС", N 9, 2023.
Документ
введен в действие с 01.08.2018.
Название документа
"ГОСТ 34233.5-2017. Межгосударственный стандарт. Сосуды и аппараты. Нормы и методы расчета на прочность. Расчет обечаек и днищ от воздействия опорных нагрузок"
(введен в действие Приказом Росстандарта от 14.12.2017 N 1993-ст)
"ГОСТ 34233.5-2017. Межгосударственный стандарт. Сосуды и аппараты. Нормы и методы расчета на прочность. Расчет обечаек и днищ от воздействия опорных нагрузок"
(введен в действие Приказом Росстандарта от 14.12.2017 N 1993-ст)
агентства по техническому
регулированию и метрологии
от 14 декабря 2017 г. N 1993-ст
МЕЖГОСУДАРСТВЕННЫЙ СТАНДАРТ
СОСУДЫ И АППАРАТЫ
НОРМЫ И МЕТОДЫ РАСЧЕТА НА ПРОЧНОСТЬ
РАСЧЕТ ОБЕЧАЕК И ДНИЩ ОТ ВОЗДЕЙСТВИЯ ОПОРНЫХ НАГРУЗОК
Vessels and apparatus. Norms and methods
of strength calculation. Calculation of shells
and bottoms under Influence of support loads
(ISO 16528-1:2007, NEQ)
(ISO 16528-2:2007, NEQ)
ГОСТ 34233.5-2017
Дата введения
1 августа 2018 года
Цели, основные принципы и основной порядок проведения работ по межгосударственной стандартизации установлены в
ГОСТ 1.0-2015 "Межгосударственная система стандартизации. Основные положения" и
ГОСТ 1.2-2015 "Межгосударственная система стандартизации. Стандарты межгосударственные, правила и рекомендации по межгосударственной стандартизации. Правила разработки, принятия, обновления и отмены".
1 РАЗРАБОТАН Акционерным обществом "Всероссийский научно-исследовательский и проектно-конструкторский институт нефтяного машиностроения" (АО "ВНИИНЕФТЕМАШ"); Закрытым акционерным обществом "ПЕТРОХИМ ИНЖИНИРИНГ" (ЗАО "ПХИ"); Обществом с ограниченной ответственностью "Научно-техническое предприятие ЦЕНТРХИММАШ" (ООО "НТП ЦЕНТРХИММАШ"); Акционерным обществом "Научно-исследовательский и конструкторский институт химического машиностроения" (АО "НИИХИММАШ")
2 ВНЕСЕН Межгосударственным техническим комитетом по стандартизации МТК 523 "Техника и технологии добычи и переработки нефти и газа"
3 ПРИНЯТ Межгосударственным советом по стандартизации, метрологии и сертификации (протокол от 14 июля 2017 г. N 101-П)
За принятие проголосовали:
Краткое наименование страны по МК (ИСО 3166) 004-97 | Код страны по МК (ИСО 3166) 004-97 | Сокращенное наименование национального органа по стандартизации |
Азербайджан | AZ | Азстандарт |
Армения | AM | Минэкономразвития Республики Армения |
Беларусь | BY | Госстандарт Республики Беларусь |
Киргизия | KG | Кыргызстандарт |
Россия | RU | Росстандарт |
Туркмения | TM | Главгосслужба "Туркменстандартлары" |
Украина | UA | Минэкономразвития Украины |
4
Приказом Федерального агентства по техническому регулированию и метрологии от 14 декабря 2017 г. N 1993-ст межгосударственный стандарт ГОСТ 34233.5-2017 введен в действие в качестве национального стандарта Российской Федерации с 1 августа 2018 г.
5 В настоящем стандарте учтены основные нормативные положения следующих международных стандартов:
- ISO 16528-1:2007 "Котлы и сосуды, работающие под давлением. Часть 1. Требования к рабочим характеристикам" ("Boilers and pressure vessels - Part 1: Performance requirements", NEQ);
- ISO 16528-2:2007 "Котлы и сосуды, работающие под давлением. Часть 2. Процедуры выполнения требований ISO 16528-1" ("Boilers and pressure vessels - Part 2: Procedures for fulfilling the requirements of ISO 16528-1", NEQ)
--------------------------------
<*>
Приказом Федерального агентства по техническому регулированию и метрологии от 14 декабря 2017 г. N 1993-ст
ГОСТ Р 52857.5-2007 отменен с 1 августа 2018 г.
7 ВВЕДЕН ВПЕРВЫЕ
Информация об изменениях к настоящему стандарту публикуется в ежегодном информационном указателе "Национальные стандарты", а текст изменений и поправок - в ежемесячном информационном указателе "Национальные стандарты". В случае пересмотра (замены) или отмены настоящего стандарта соответствующее уведомление будет опубликовано в ежемесячном информационном указателе "Национальные стандарты". Соответствующая информация, уведомление и тексты размещаются также в информационной системе общего пользования - на официальном сайте Федерального агентства по техническому регулированию и метрологии в сети Интернет (www.gost.ru).
Настоящий стандарт распространяется на сосуды и аппараты, применяемые в химической, нефтехимической, нефтеперерабатывающей и других отраслях промышленности, и устанавливает нормы и методы расчета на прочность и устойчивость сосудов и аппаратов, работающих в условиях статических <1> нагрузок под внутренним избыточным давлением, вакуумом, наружным давлением или без давления, от воздействия локальных нагрузок в местах крепления несущих ушек, опорных лап, седловых опор, опорных стоек и др.
--------------------------------
<1> Если число циклов повторного статического нагружения и размах нагрузок превышают значения, при которых по
ГОСТ 34233.6 не проводят расчет на малоцикловую прочность, необходимо дополнительно к расчету по настоящему стандарту провести проверку сосуда на малоцикловую прочность в местах крепления опор.
Нормы и методы расчета на прочность применимы при условии, что отклонение от геометрической формы и неточности изготовления рассчитываемых элементов сосудов не превышают допусков, установленных нормативными документами. Настоящий стандарт применяется совместно с
ГОСТ 34233.1 и
ГОСТ 34233.2.
В настоящем стандарте использованы нормативные ссылки на следующие стандарты:
ГОСТ 34233.1-2017 Сосуды и аппараты. Нормы и методы расчета на прочность. Общие требования
ГОСТ 34233.2-2017 Сосуды и аппараты. Нормы и методы расчета на прочность. Расчет цилиндрических и конических обечаек, выпуклых и плоских днищ и крышек
ГОСТ 34233.6-2017 Сосуды и аппараты. Нормы и методы расчета на прочность. Расчет на прочность при малоцикловых нагрузках
ГОСТ 34283-2017 Сосуды и аппараты. Нормы и методы расчета на прочность при ветровых, сейсмических и других внешних нагрузках
Примечание - При пользовании настоящим стандартом целесообразно проверить действие ссылочных стандартов в информационной системе общего пользования - на официальном сайте Федерального агентства по техническому регулированию и метрологии в сети Интернет или по ежегодному информационному указателю "Национальные стандарты", который опубликован по состоянию на 1 января текущего года, и по выпускам ежемесячного информационного указателя "Национальные стандарты" за текущий год. Если ссылочный стандарт заменен (изменен), то при пользовании настоящим стандартом следует руководствоваться заменяющим (измененным) стандартом. Если ссылочный стандарт отменен без замены, то положение, в котором дана ссылка на него, применяется в части, не затрагивающей эту ссылку.
В настоящем стандарте применены следующие обозначения:
A0 - длина опорной плиты седловой опоры в поперечном направлении горизонтального сосуда, мм;
Aб - площадь поперечного сечения фундаментного болта по внутреннему диаметру резьбы, мм2;
Aк - площадь поперечного сечения кольца жесткости, мм2;
Aоп - минимальная площадь горизонтального сечения седловой опоры, а также минимальная площадь поперечного сечения пластины опорной стойки, мм2;
Aш - расчетная площадь углового сварного шва приварки опорного узла и/или подкладного листа. Определяется как произведение длины сварного шва на 0,7 высоты меньшего катета сварного шва, мм2;
As - площадь поперечного сечения седловой опоры с учетом подкладного листа и примыкающего участка обечайки аппарата общей длиной

, мм
2;
a - длина выступающей цилиндрической части сосуда, включая отбортовку днища, мм;
B0 - расстояние между фундаментными болтами неподвижной седловой опоры в поперечном направлении горизонтального сосуда, мм;
b - ширина седловой опоры, мм;
b0 - длина плиты основания опорной стойки, а также длина несущего ушка на
рисунках 5 и
6, мм;
b1 - длина несущего ушка в основании, мм;
b2 - ширина подкладного листа, мм;
b3 - длина подкладного листа, мм;
b4 - ширина плиты основания опорной лапы, а также ширина кольца жесткости, мм;
b5 - расстояние между ребрами опорной лапы, мм;
b1max - максимальная длина ребра опоры, мм;
c - сумма всех прибавок к расчетной толщине стенки, мм;
D - внутренний диаметр цилиндрической обечайки или выпуклого днища, мм;
Dк - внутренний диаметр конической обечайки в сечении, соответствующем половине линии контакта опорного узла, мм;
Dр - расчетный диаметр, мм;
d - диаметр окружности фундаментных болтов, мм;
d0 - диаметр окружности, вписанной в шестигранник гайки фундаментного болта, мм;
d1 - диаметр окружности опорных стоек, мм;
d2 - наружный диаметр опорной стойки, мм;
d3 - диаметр подкладного листа, мм;
d4 - диаметр опорной окружности (диаметр сечения, проходящего через середину линии контакта опоры с днищем), мм;
de - эффективный диаметр опорной стойки, мм;
E - модуль упругости материала опоры, МПа;
e - длина свободно выступающей части эквивалентного сосуда, мм;
e1 - расстояние между точкой приложения усилия и обечайкой или подкладным листом, мм;
e2 - расстояние между осью отверстия и средней линией ушка, мм;
e3 - расстояние между точкой приложения усилия и нейтральной осью кольца жесткости, мм;
e4 - расстояние между стенкой сосуда и нейтральной осью кольца жесткости при пластическом изгибе, мм;
e1э - эквивалентное плечо нагрузки, мм;
F - расчетная осевая растягивающая или сжимающая сила (сжимающая сила со знаком минус), действующая на полную площадь сечения обечайки в направлении оси цилиндрической или конической обечайки (без учета нагрузки, возникающей от внутреннего избыточного или наружного давления) в условиях монтажа, эксплуатации или испытания, Н;
F1 - расчетное усилие, действующее на несущее ушко, на опорную лапу или опорную стойку, Н;
Fi - расчетное усилие, действующее на i-ю седловую опору (i = 1, 2, ..., n/2, ..., n), Н;
Fs - распорная нагрузка, действующая в расчетном поперечном сечении седловой опоры вертикальной плоскостью, проходящей через ось аппарата, Н;
Fоп - расчетная нормальная сила, действующая по нормали к корпусу аппарата в месте приварки опорного узла, Н;
Fmax - максимальная расчетная вертикальная сила, действующая на седловые опоры, Н;
Fmin - минимальная расчетная вертикальная сила, действующая на седловые опоры, Н;
[F] - допускаемое осевое усилие из условия устойчивости, Н;
[F]1 - допускаемое опорное усилие на несущее ушко, допускаемое вертикальное усилие на опорную лапу и опорную цилиндрическую стойку, а также допускаемое нормальное усилие на опорную пластинчатую стойку, Н;
[F]2 - допускаемое опорное усилие на опору в продольном направлении, Н;
[F]3 - допускаемое опорное усилие на седловую опору в окружном направлении, Н;
[F]оп - допускаемое вертикальное сжимающее усилие, действующее на опору, Н;
[F]E - допускаемое сжимающее усилие из условий устойчивости в пределах упругости, Н;
[F]п - допускаемое сжимающее усилие из условий прочности, Н;
fтр - коэффициент трения между опорой и основанием;
G - собственный вес с содержимым в условиях монтажа, эксплуатации или испытания, Н;
g - расстояние между средними линиями ребер, мм;
H - высота выпуклой части днища по внутренней поверхности без учета цилиндрической отбортовки, мм;
h - расстояние от центра тяжести опорной лапы, приваренной к стойке, до верхнего обреза фундамента, мм;
h1 - высота опорной лапы, мм;
hр - максимальная высота ребра, мм;
hc - расстояние от оси горизонтального аппарата на седловых опорах до основания, мм;
Jоп - минимальный момент инерции горизонтального сечения седловой опоры, а также минимальный момент инерции пластины, мм4;
K1 - K23 - коэффициенты;
K - скос ребра опорной пластинчатой стойки, мм;
k1, k2 - коэффициенты;
L - длина цилиндрической части сосуда, включая длину цилиндрической отбортовки днища, мм;
l - длина линии контакта опоры с днищем, мм;
l1 - длина опорной лапы (см.
рисунок 7), а также расстояние между седловыми опорами для сосуда, опирающегося симметрично на три и более опоры (см.
рисунок 10б); мм;
lр - длина поперечного сечения ребра седловой опоры, мм;
le - эффективная несущая длина стенки сосуда, мм;
li - расстояние между двумя соседними седловыми опорами, мм;
M - расчетный изгибающий момент, действующий на обечайку в сечении, где расположены опорные узлы, в условиях монтажа, эксплуатации или испытания, Н·мм;
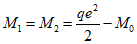
M0 - расчетный изгибающий момент, действующий на консольную часть обечайки, Н·мм;
Mcx - изгибающий момент, действующий на нижнюю часть седловой опоры, Н·мм;
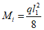
Mi - расчетный изгибающий момент над i-й седловой опорой (i = 1, 2, ..., n/2, ..., n), Н·мм;
Mij - расчетный изгибающий момент между i-й и j-й опорами (i = 1, 2, ..., n/2, ..., n; j = i + 1, ..., n - 1), Н·мм;
Mоп - расчетный изгибающий момент относительно оси, перпендикулярной к нормали к корпусу аппарата в месте приварки опорного узла, Н·мм;
[M] - допускаемый изгибающий момент из условия устойчивости, Н·мм;
[M]1 - допускаемый изгибающий момент для опорной стойки, Н·мм;
[Mт] - допускаемый изгибающий момент для кольца жесткости, Н·мм;
N - дополнительная горизонтальная сила, направленная вдоль оси аппарата, например сила при сейсмическом воздействии или нагрузка, возникающая при монтаже-демонтаже трубного пучка кожухотрубчатого теплообменного аппарата с плавающей головкой или U-образными трубами, Н;
n - количество опор;
nб - количество анкерных или фундаментных болтов в каждой опоре;
nу - коэффициент запаса устойчивости [см. ГОСТ 34233.1
(раздел 9)];
p - расчетное внутреннее избыточное или наружное давление (наружное давление со знаком минус) в условиях эксплуатации или испытания, МПа;
[p] - допускаемое внутреннее избыточное или наружное давление, МПа;
Q - расчетная поперечная сила, действующая на полную площадь сечения обечайки в направлении, перпендикулярном к оси цилиндрической или конической обечайки (без учета нагрузки, возникающей от внутреннего избыточного или наружного давления), в условиях монтажа, эксплуатации или испытания, Н;
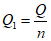
Q1 - горизонтальное усилие, действующее в основании опорной лапы или в основании стойки, в случае приварки к ней опорной лапы, Н;
Qн - действующая на опору расчетная горизонтальная перерезывающая сила, перпендикулярная к оси аппарата, вызванная ветровой, сейсмической и/или другими внешними нагрузками, Н. В случае аппаратов на седловых опорах сила Qн приложена в точке пересечения плоскости опоры с осью аппарата;
Qоп - расчетная сдвигающая сила, действующая в плоскости, перпендикулярной к нормали к корпусу аппарата в месте приварки опорного узла, Н;
Qi - максимальная поперечная сила, действующая в сечении над i-й седловой опорой (i = 1, 2, ..., n/2, ..., n), Н;
[Q] - допускаемое поперечное усилие, Н;
q - распределенная весовая нагрузка для балки, Н/мм;
R - радиус сферической обечайки или сферического сегмента торосферического днища, мм;
r - радиус нейтрального волокна кольца жесткости (см.
рисунки 3 и
9), мм;
rm - радиус кривизны срединной поверхности днища у опорной окружности, мм;
s - исполнительная толщина стенки обечайки, мм;
s1 - исполнительная толщина стенки выпуклого днища, мм;
s2 - исполнительная толщина подкладного листа, мм;
s3 - толщина ребра седловой опоры, мм;
s4 - толщина полки кольца жесткости, перпендикулярной к стенке сосуда, мм;
s5 - толщина полки кольца жесткости, параллельной стенке сосуда, мм;
s6 - толщина нижней полки опорной лапы, мм;
s7 - толщина вертикального ребра опорной лапы, мм;
se - эффективная толщина обечайки с кольцом жесткости, мм;
sef - эффективная толщина обечайки с подкладным листом, мм;
t - ширина участка кольца жесткости в месте приварки к стенке обечайки, мм;
W1 - момент упругого сопротивления кольца жесткости при изгибе, мм3;
Wк - момент упругого сопротивления кольца жесткости при кручении, мм3;
Wоп - минимальный момент сопротивления горизонтального сечения седловой опоры, мм3;
Wп - пластический момент сопротивления площади поперечного сечения кольца жесткости с включением прилегающей к нему части обечайки, мм3;
Wш - момент сопротивления сечения сварного шва (рассчитывается для сечения, форма и размеры которого совпадают с формой и размерами периметра сварного шва, а ширина равна 0,7 высоты меньшего катета сварного шва), мм3;
Ws - момент сопротивления поперечного сечения седловой опоры вертикальной плоскостью, проходящей через ось аппарата, с учетом подкладного листа и примыкающего участка обечайки аппарата общей длиной

, мм
3;
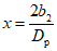
x - расстояние между осью эллиптического днища и серединой опорного узла, мм, а также параметр для определения коэффициентов K5, K7 и K8;

- угол между направлением усилия и нормалью к стенке обечайки, град;

- угол наклона меридиональной касательной у опорной окружности, град;

- угол между осью опорной стойки и вертикалью, град;

- угол охвата седловой опоры, град;

- угол охвата сосуда подкладным листом, град;

- коэффициент прочности сварных швов обечайки, расположенных в области опорного узла;

- коэффициент прочности сварных швов приварки опорного узла к подкладному листу или корпусу аппарата и подкладного листа к корпусу;

- коэффициент, представляющий отношение местных мембранных напряжений к местным напряжениям изгиба;

- коэффициент, учитывающий степень нагрузки общими мембранными напряжениями;

- эквивалентное напряжение в фундаментном болте, МПа;

- напряжение изгиба в седловой опоре, МПа;

- напряжение сжатия в седловой опоре, МПа;

- расчетное нормальное напряжение в сварном шве, МПа;

- напряжение растяжения в фундаментном болте, МПа;

- общие мембранные напряжения, МПа;

- общие мембранные меридиональные напряжения, МПа;

- общие мембранные кольцевые напряжения, МПа;

- допускаемое напряжение при расчетной температуре, МПа;

- допускаемое напряжение для фундаментного или анкерного болта, МПа;

- допускаемое напряжение для материала кольца жесткости, МПа;

- предельное напряжение изгиба, МПа;

- допускаемое напряжение для материала опорного узла, МПа;

- среднее расчетное напряжение сдвига в сварном шве, МПа;

- напряжение сдвига в фундаментном болте, МПа;

- коэффициент.
При расчете сосудов и аппаратов на прочность в местах крепления опорных узлов проверке подлежат прочность корпуса в месте крепления опорных узлов и прочность сварных швов приварки опорных узлов к корпусу.
Расчетные нагрузки, действующие на сосуд или аппарат в местах крепления опорных узлов, определяют в соответствии с настоящим стандартом и
ГОСТ 34233.1.
Для обечайки, нагруженной опорными реакциями в местах крепления несущих ушек, опорных лап или седловых опор, определяют местные допускаемые усилия [
F]
1, [
F]
2, [
F]
3. В основу расчета оболочек, нагруженных локальными усилиями, положено предельное напряжение изгиба, определяемое из условия достижения предельного состояния условной балки-полоски прямоугольного сечения, имеющей единичную ширину и вырезаемой из оболочки двумя параллельными сечениями. Методика определения предельного напряжения изгиба приведена в
4.2.
Для днищ, установленных на опорные стойки, используют решение по определению предельной нагрузки этого узла.
Методики расчета на прочность корпуса в месте крепления несущих ушек, опорных лап, седловых опор, опорных стоек приведены в
разделах 5 -
9.
Методика расчета на прочность сварных швов приварки опорных узлов к корпусу приведена в
разделе 10.
Если отношение толщины стенки к расчетному диаметру или другие соотношения размеров элемента сосуда выходят за пределы границ применения расчетных формул, установленных в
разделах 5 -
9, допускается использовать для определения напряженно-деформированного состояния корпуса в месте крепления опорных узлов численные или другие специальные методы расчета. При этом оценку прочности обечаек в местах крепления несущих ушек, опорных лап и седловых опор проводят, исходя из предельного напряжения изгиба или достижения предельного состояния описанной выше условной балки-полоски прямоугольного сечения, имеющей единичную ширину и вырезаемой из оболочки двумя параллельными сечениями.
4.2. Предельное напряжение изгиба
Предельное напряжение изгиба в месте крепления опор вычисляют по формуле, которая ограничивает местные напряжения изгиба в зависимости от местных мембранных напряжений и степени нагрузки общими мембранными напряжениями

, (1)
где

;

- допускаемое напряжение элемента сосуда или аппарата, к которому крепится опора, определяемое по
ГОСТ 34233.1 для рабочих условий и для условий испытания и монтажа.
Коэффициент

, представляющий отношение местных мембранных напряжений к местным изгибным напряжениям в местах крепления опорных устройств, приведен в
5.4.4,
6.4.4,
6.4.8,
7.1.7.3.
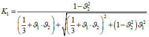
Коэффициент

вычисляют по формуле

. (2)
При

принимают

, а знак коэффициента

меняют на обратный.
Если расстояние между опорным узлом и ближайшим сварным швом более

, то принимают

равным 1. Общие мембранные напряжения

определяют в соответствии с 4.3,
5.4.4,
5.4.5,
6.4.4,
6.4.8,
7.1.7.2.
4.3. Общие мембранные напряжения
4.3.1 Общее мембранное меридиональное напряжение в цилиндрической обечайке вычисляют по формуле

. (3)
4.3.2 Общее мембранное меридиональное напряжение в конической обечайке вычисляют по формуле

. (4)
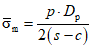
4.3.3 Общее мембранное кольцевое напряжение в цилиндрической и конической обечайках вычисляют по формуле

. (5)
4.3.4 Общее мембранное напряжение в сферической обечайке, сферическом сегменте торосферического днища и эллиптическом днище вычисляют по формуле

. (6)
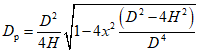
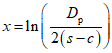
4.3.5 Расчетный диаметр Dр вычисляют по формулам:
- для цилиндрической обечайки
Dр = D; (7)
- для конической обечайки

; (8)
- для сферической обечайки и сферического сегмента торосферических днищ
Dр = R; (9)
- для эллиптического днища

; (10)
- для эллиптического днища с H/D = 0,25

. (11)
Основные размеры несущих ушек приведены на рисунках 1 -
4, причем несущие ушки применяются как с подкладным листом, так и без него.
Рисунок 1 - Несущее ушко с подкладным кольцом,
приваренное в меридиональном направлении цилиндрической
обечайки, не укрепленной кольцом жесткости
Рисунок 2 - Несущее ушко с подкладным кольцом,
приваренное в окружном направлении к цилиндрической
обечайке, не укрепленной кольцом жесткости
Рисунок 3 - Несущее ушко, приваренное к укрепленной
кольцом жесткости цилиндрической обечайке
Рисунок 4 - Примеры применения несущих ушек
5.2. Условия применения расчетных формул
5.2.1 Формулы применяют, когда (s - c)/Dр <= 0,05.
При наличии подкладного листа формулы применяют, когда b3 <= 1,5b1, s2 >= s.
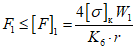
5.2.2 Нагрузка F1 действует в плоскости несущего ушка.
5.2.3 К торосферическим днищам несущее ушко должно быть приварено в области сферического сегмента, к эллиптическим днищам - в области 0 <= x <= 0,4D.
5.2.4 При определении нагрузки F1 для сосудов и аппаратов с несущими ушками ветровые и сейсмические воздействия не учитывают.
Нагрузку F1, действующую на несущее ушко, определяют по специальным методам расчета.
Для симметричного сосуда, закрепленного на двух симметрично расположенных несущих ушках, нагрузку на несущее ушко вычисляют по формуле

. (12)
5.4. Проверка несущей способности обечайки, не подкрепленной элементами жесткости
5.4.1 Несущая способность обечайки в месте приварки несущего ушка без подкладного листа должна удовлетворять условию

. (13)
5.4.2 Несущая способность обечайки в месте приварки несущего ушка с подкладным листом должна удовлетворять условию

. (14)
5.4.3 Коэффициенты
K3 и
K4 определяют по графикам, приведенным на
рисунках 5 и
6, в качестве длины несущего ушка в месте приварки к обечайке
b0 принимают:
Рисунок 5 - Коэффициент
K3
Рисунок 6 - Коэффициент
K4
Коэффициент K5 вычисляют по формулам:

(15)
где параметры

;

.
5.4.4 При определении

по
формуле (1) коэффициент
K1 вычисляют со следующими значениями

и

:
- для несущих ушек цилиндрических и конических обечаек, приваренных в продольном направлении,

принимают равным 0,2;

вычисляют по
формуле (2),

, равное

, вычисляют по
формуле (5);
- для несущих ушек цилиндрических и конических обечаек, приваренных в окружном направлении,

принимают равным 0,3;

вычисляют по
формуле (2),

, равное

, вычисляют по
формуле (3) или
(4) соответственно.
5.4.5 Для несущих ушек, приваренных к выпуклым днищам, расчет следует проводить отдельно для несущего ушка, приваренного вдоль обечайки, и для несущего ушка, приваренного в окружном направлении обечайки, вычисляя в обоих случаях

по
формуле (6). Решающим будет меньшее значение [
F]
1.
5.4.6 Для условий монтажа при отсутствии общих мембранных напряжений

предельное напряжение изгиба принимают:
- для несущих ушек, приваренных к цилиндрическим и коническим обечайкам в продольном направлении

(16)
5.5. Проверка несущей способности цилиндрической обечайки, подкрепленной кольцом жесткости, расположенным непосредственно под несущим ушком
5.5.1 При расчете r, e3, W1 и Wк учитывают эффективную несущую длину le обечайки, вычисляемую по формуле

. (17)
5.5.2 Несущая способность должна удовлетворять условию

. (18)
Коэффициент K6 вычисляют по формулам:

(19)
Если

, то вместо

подставляют

.
6.1. Расчетные модели опорных лап
6.1.1 Основные размеры опорных лап приведены на рисунке 7, причем опорные лапы применяют как с подкладным листом, так и без него.
Рисунок 7 - Основные типы опорных лап
6.1.2 Сосуды и аппараты с опорными лапами устанавливают либо на специальные строительные металлоконструкции, либо на межэтажные перекрытия.
6.2. Условия применения расчетных формул
6.2.1 Опорные лапы присоединены к цилиндрическим или коническим обечайкам. Направление действия усилия принимают параллельно оси обечайки.
6.2.2 Расчетные формулы применяют при условиях:

,
g >= 0,2h1,

,

,

,
b2 >= 0,6b3,
b3 <= 1,5h1,
s2 >= s.
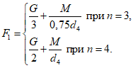
6.3.1 Вертикальное усилие, действующее на опорную лапу, вычисляют по формуле

(20)
Если неизвестно точное значение расстояния между точкой приложения усилия и обечайкой или подкладным листом, то e1 принимают равным 5/6l1.
6.3.2 При наличии внешнего изгибающего момента M допускается устанавливать аппарат на две опорные лапы при условии, что момент действует в плоскости опор.
6.3.3 При n, равном 4, обеспечивающем равномерное распределение нагрузки между всеми опорными лапами (точный монтаж, установка прокладок, подливка бетона и т.д.), вертикальное усилие вычисляют по формуле

. (21)
6.3.4 Если необходимое число опорных лап превышает 4, рекомендуется применять кольцевую опору.
6.3.5 Горизонтальное усилие, действующее в основании опорной лапы или в основании стойки, в случае приварки к ней опорной лапы вычисляют по формуле

. (22)
6.3.6 Эквивалентное плечо нагрузки e1э в случае приварки опорной лапы к стойке вычисляют по формуле

. (23)
6.4. Проверка несущей способности обечайки
6.4.1 Несущая способность обечайки в месте приварки опорной лапы без подкладного листа должна удовлетворять условию

. (24)
6.4.2 При

значение [
F]
1, полученное по
формуле (24), необходимо умножить на

.
6.4.3 Коэффициент K7 вычисляют по формулам:
- для конструкции опорной лапы типов
A и
C (см.
рисунок 7)

(25)
- для конструкции опорной лапы типа
B (см.
рисунок 7)

(26)
- для конструкции опорной лапы типа
D (см.
рисунок 7)

(27)
6.4.4 Предельное напряжение изгиба

вычисляют по
формуле (1).
При этом
K1 вычисляют при

, равном 0,3,

- по
формуле (2), где

, равное

, - по
формуле (5) для конструкций опорных лап типов
A,
B и
C и

, равное

, - по
формуле (3) или
(4) для конструкции опорных лап типа
D.
6.4.5 Несущая способность обечайки в месте приварки опорной лапы с подкладным листом должна удовлетворять условию

. (28)
6.4.6 При
b2/
b3 < 0,6 значение [
F]
1, полученное по
формуле (28), необходимо умножить на (0,4 +
b2/
b3).
6.4.7 Коэффициент K8 вычисляют по формуле

(29)
6.4.8 Предельное напряжение изгиба

вычисляют по
формуле (1).
7.1.1 Расчетные модели сосудов на седловых опорах приведены на рисунках 8 и
9.
Рисунок 8 - Схемы расположения седловых
опор для сосудов аппаратов
Рисунок 9 - Расчетная схема седловой опоры
7.1.2 Условия применения расчетных формул
Расчетные формулы применимы при выполнении условий:

,

,
s2 >= s,

,

.
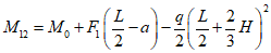
7.1.3 Расчетная схема определения усилий
В качестве основной расчетной схемы для определения опорных усилий, моментов и поперечных усилий принимают балку переменного кольцевого сечения, шарнирно опертую в местах расположения опор и нагруженную в общем случае распределенными и сосредоточенными усилиями в зависимости от конструкции сосуда. Расчетные усилия и моменты определяют методами строительной механики.
На рисунке 10 представлены возможные расчетные схемы для цилиндрического сосуда постоянного сечения с эллиптическими днищами, симметрично опертого на две, три и более опоры.
Рисунок 10 - Расчетные схемы эквивалентного
сосуда для определения усилий
Если применяются симметрично расположенные опоры, то нагрузку от массы сосуда и его содержимого принимают распределенной равномерно, даже если одна опора даст большую осадку, чем другая.
Весовые нагрузки для приведенной на
рисунке 10а балки вычисляют по формулам:

; (30)

. (31)
Примечание - При определении M0 допускается учитывать только вес жидкости в сосуде без учета собственной массы сосуда.
7.1.4 Определение реакции опор
Опорное вертикальное усилие Fi в общем случае определяется методами технической механики и учитывает суммарную массу сосуда и его содержимого.
Для симметричных схем расположения опор, приведенных на
рисунке 10а, опорное вертикальное усилие без учета дополнительных внешних сил определяют по формуле

. (32)
7.1.5 Изгибающие моменты и поперечные усилия
Изгибающие моменты следует вычислять в сечениях обечайки над опорами Mi и между опорами Mij в сечениях, где они имеют наибольшие значения.
Поперечные усилия следует вычислять в сечениях обечайки над опорами Qi.
| | ИС МЕГАНОРМ: примечание. В официальном тексте документа, видимо, допущена опечатка: имеется в виду рисунок 8в, а не рисунок 8c. | |
В общем случае изгибающие моменты и поперечные усилия определяют методами строительной механики. Если опоры расположены несимметрично (см.
рисунок 8c), то поперечные усилия
Qi следует определять в сечениях обечайки над опорами по эпюре поперечных усилий с обеих сторон от опоры и выбирать наибольшие.
- опорное усилие вычисляют по формуле

; (33)
- изгибающий момент над опорами вычисляют по формуле

; (34)
- максимальный изгибающий момент между опорами вычисляют по формуле

; (35)
- поперечное усилие в сечении оболочки над опорой вычисляют по формуле

. (36)
- изгибающие моменты M1 и Mn над 1-й и n-й опорами вычисляют по формуле

; (37)
- изгибающий момент Mi над опорами (i = 2, 3, ..., n - 1) вычисляют по формуле

; (38)
- поперечное усилие в сечении оболочки над опорами вычисляют по формуле
Qi = 0,5Fi. (39)
Максимальный момент
Mij между опорами для схемы расположения опор, представленной на
рисунке 10б, определять не требуется.
7.1.6 Проверка несущей способности обечайки в сечении между опорами
Несущую способность обечайки в сечении между опорами [см. точку (1)
рисунок 8а] следует проверять при условии
max{Mij} > max{Mi}. (40)
7.1.6.1 Сосуды, работающие под внутренним избыточным давлением, и сосуды без давления
Условие прочности:

, (41)
где
Mij - изгибающий момент, вычисляемый по
7.1.5;
K9 - коэффициент, учитывающий частичное заполнение жидкостью, вычисляют по формуле

(42)
где

,

.
Если расстояние между расчетным сечением и ближайшим кольцевым сварным швом более

, то в
формуле (41) принимают

равным 1.
Условие устойчивости:

. (43)
7.1.6.2 Сосуды, работающие под наружным давлением
Условие устойчивости:

, (44)
где [M] - допускаемый изгибающий момент;
[p] - допускаемое наружное давление.
В случае обечайки, укрепленной кольцами жесткости, допускаемое наружное давление определяют в области между двумя соседними кольцами жесткости.
7.1.7 Проверка несущей способности обечайки, не укрепленной кольцами жесткости в области опорного узла
Несущую способность обечайки следует проверять у краев опорного узла, где возникают наибольшие местные напряжения:
- в меридиональном направлении в нижней точке опирания [см. точку (2)
рисунок 9а];
- в окружном направлении у гребней седловой опоры [см. точку (3)
рисунок 9а].
При симметричном расположении опор проверку проводят только в области неподвижной опоры.
Для несимметричного опирания сосуда проверку проводят в области всех опорных узлов.
7.1.7.1 Вспомогательные параметры и коэффициенты
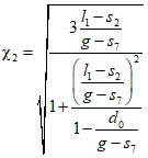
Параметр, определяемый расстоянием от середины опоры до днища, вычисляют по формуле

. (45)
Параметр, определяемый шириной пояса опоры, вычисляют по формуле

. (46)
Коэффициенты, учитывающие влияние ширины пояса опоры, вычисляют по формулам:

; (47)

. (48)
Коэффициенты, учитывающие влияние угла охвата, вычисляют по формулам:

; (49)

; (50)

. (51)
Коэффициенты, учитывающие влияние расстояния от середины опоры до днища и угла охвата, вычисляют по формулам:

; (52)

. (53)
Коэффициент, учитывающий влияние ширины пояса опоры и угла охвата, вычисляют по формуле

. (54)
При вычислении коэффициентов
K12 -
K17 размерность угла

в
формулах (49) -
(54) принимают в радианах.
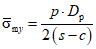
7.1.7.2 Общее мембранное меридиональное напряжение
Общее мембранное меридиональное напряжение изгиба от весовых нагрузок, действующее в области опорного узла, вычисляют по формуле

, (55)
где
Mi - изгибающий момент, вычисляемый по
7.1.5.
7.1.7.3 Цилиндрическая обечайка без подкладных листов в месте опоры
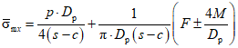
Условие прочности:
Fi <= min{[F]2;[F]3}, (56)
где [
F]
2 - допускаемое опорное усилие от нагружения в меридиональном направлении [точка (2)
рисунок 9а], вычисляемое по формуле

, (57)
[
F]
3 - допускаемое опорное усилие от нагружения в окружном направлении [точка (3)
рисунок 9а], вычисляемое по формуле

, (58)
где

,

- предельные напряжения изгиба

в меридиональном [точка (2)
рисунок 9а] и окружном [точка (3)
рисунок 9а] направлениях соответственно, вычисляемые по
формуле (1).
Коэффициенты

и

для вычисления коэффициента
K1 приведены в таблице 1.
Таблица 1
Коэффициенты

и

Направление изгиба | | | |
Меридиональное в точке (2) | | | |
Окружное в точке (3) | | 0 | |
Для

принимают одно из значений

или

, для которого предельное напряжение изгиба будет наименьшим. Коэффициент
K2 вычисляют так же, как в
формуле (1).
Проверку устойчивости проводят по формуле

, (59)
где p - расчетное наружное давление (для сосудов, работающих под внутренним избыточным давлением, принимают p равным 0);
[p] - допускаемое наружное давление (для обечайки, укрепленной кольцами жесткости, допускаемое наружное давление определяют в области между двумя соседними кольцами жесткости);
Fe - эффективное осевое усилие от местных мембранных напряжений, действующих в области опоры, вычисляемое по формуле

. (60)
7.1.7.4 Цилиндрическая обечайка с подкладными листами в месте опоры
Проверку прочности и устойчивости стенки сосуда проводят по
7.1.7.3, принимая следующие положения:
- подкладной лист рассматривают как седловую опору шириной
b2 с углом охвата

;
- во всех формулах вместо
b следует принимать
b2, вместо

следует принимать

, толщину подкладного листа не учитывают;
- подкладной лист рассматривают как усиление стенки сосуда, во всех формулах вместо (s - c) следует подставлять sef, вычисляемую по формуле

. (61)
7.1.8 Проверка несущей способности обечайки с кольцом жесткости в области опорного узла
7.1.8.1 Проверка прочности и устойчивости стенки сосуда:
а) сосуды, работающие под внутренним избыточным давлением, проверяют:
- по условию прочности

, (62)
где
Mi - изгибающий момент по
7.1.5;
- по условию устойчивости следует проверять по
формуле (59), принимая
p и
Fe равными 0;
б) сосуды, работающие под наружным давлением, проверяют по условию устойчивости по
формуле (59), принимая
Fe равным 0.
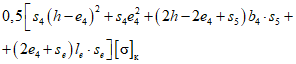
7.1.8.2 Кольцо жесткости должно удовлетворять условию прочности

, (63)
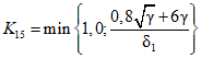
где K18 - коэффициент, приведенный в таблице 2;
Таблица 2
Значение коэффициента K18
Значение для угла охвата  | Значение коэффициента K18 для угла охвата  |
| |
60° | 14 | - |
90° | 21 | 20 |
120° | 33 | 28 |
150° | 56 | 50 |
180° | 103 | - |
Значения [Mт], e4 определяют по таблице 3 (e4 > 0 во всех случаях).
Таблица 3
Определение величин [
Mт],
e4 в зависимости от сечения кольца
При этом параметры se и le вычисляют по формулам:

, (64)

. (65)
Знак "+" в
формуле (63) принимают для колец, расположенных снаружи сосуда, знак "-" - для колец, расположенных внутри сосуда.
В случае применения профиля, не представленного в
таблице 3, [
Mт] следует вычислять по формуле

, (66)
где Wр - пластический момент сопротивления площади поперечного сечения профиля, включая площадь le·se. Нейтральная ось (для определения e4) разделяет площадь поперечного сечения профиля на две равные части.
8. Опорные стойки цилиндрические
8.1. Расчетные модели опорных цилиндрических стоек
Основные размеры цилиндрических опорных стоек приведены на рисунке 11.
Рисунок 11 - Цилиндрические опорные стойки
8.2. Условия применения расчетных формул
8.2.1 Метод расчета днищ, установленных на наклонных опорных стойках, применяют, если их взаимное перемещение исключено.
8.2.2 Метод расчета применяют только для сосудов и аппаратов, работающих под внутренним избыточным давлением.
8.2.3 Формулы применяют при соблюдении условия b3 <= 1,6b2.
8.2.4 К торосферическим днищам опорные стойки должны быть присоединены в области сферического сегмента, а к эллиптическим днищам - в области 0 < x < 0,4D.
8.3.1 Вертикальное усилие на опорную стойку вычисляют по формуле

(67)
8.3.2 При n, равном 4, в случае обеспечения равномерного распределения нагрузки между всеми опорными стойками (точный монтаж, установка прокладок, подливка бетона и т.д.), усилие вычисляют по формуле

. (68)
8.3.3 Действие момента M допускается только в том случае, если опорные стойки связаны между собой жесткой рамой, препятствующей взаимному перемещению стоек.
При этом следует выполнить условие:

. (69)
8.4. Проверка несущей способности выпуклого днища
8.4.1 Несущая способность выпуклого днища должна удовлетворять условиям

, (70)

, (71)
где [
F]
1 - допускаемое осевое усилие, вычисляемое по
формуле (72);
[
p] - допускаемое внутреннее избыточное давление в центральной зоне выпуклого днища по
ГОСТ 34233.2;
de равно d2 для опорных стоек без подкладного листа.
8.4.2 Допускаемое осевое усилие вычисляют по формуле

. (72)
8.4.3 Радиус кривизны срединной поверхности днища у опорной окружности
rm и угол наклона меридиональной касательной у опорной окружности

определяют согласно таблице 4.
Таблица 4
Определение значений
rm и

Форма днища | Эллиптическое днище (H = 0,25D) | Торосферическое днище типа |
A | B | C |
rm | | D | 0,9D | 0,8D |
| | | | |
9. Опорные пластинчатые стойки
9.1. Расчет эллиптического днища в месте крепления опорной стойки
9.1.1 Расчетная схема
Основные размеры опорных пластинчатых стоек приведены на рисунке 12.
Рисунок 12 - Опорная стойка на эллиптическом днище
9.2. Условия применения расчетных формул
9.2.1 Метод расчета применяют только для эллиптических днищ, работающих под внутренним избыточным давлением.
9.2.2 Формулы применяют при соблюдении условий для эллиптических днищ:

,

,

,
b3 >= 1,2l,
b2 >= 0,6b3,
s2 >= s1.
9.3.1 Вертикальное усилие на опорную стойку вычисляют по формуле

(73)
9.3.2 При n, равном 4, обеспечивающем равномерное распределение нагрузки между всеми опорными стойками (точный монтаж, установка прокладок, подливка бетона и т.д.), усилие вычисляют по формуле

. (74)
9.3.3 Изгибающий момент, передаваемый опорой на днище, вычисляют по формуле

. (75)
9.4. Проверка несущей способности эллиптического днища
9.4.1 Несущую способность днища в месте приварки опорной лапы следует проверять по формуле

, (76)
где [
p] допускаемое внутреннее избыточное давление в центральной зоне выпуклого днища по
ГОСТ 34233.2, угол

- согласно
таблице 4.
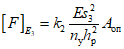
9.4.2 Допускаемое нормальное усилие, действующее по нормали к неподкрепленному эллиптическому днищу, вычисляют по формуле

, (77)
где d4 - диаметр сечения, проходящего через середину линии контакта опоры с днищем, вычисляют по формуле
d4 = d + 2c1 - K - b1max. (78)
9.4.3 Допускаемый изгибающий момент для неподкрепленного эллиптического днища вычисляют по формуле

. (79)
9.4.4 Коэффициенты
K20 и
K21 определяют по графикам, приведенным на рисунках 13 и
14 соответственно, в зависимости от относительной толщины днища (
s1 -
c)/
D и относительной длины линии контакта опоры с днищем
l/
D.
Рисунок 13 - Коэффициент K20
Рисунок 14 - Коэффициент
K21
9.4.5 Длину линии контакта опоры с днищем вычисляют по формуле

. (80)
9.4.6 Допускаемое нормальное усилие, действующее по нормали к подкрепленному подкладным листом эллиптическому днищу, вычисляют по формуле

. (81)
9.4.7 Допускаемый изгибающий момент для подкрепленного подкладным листом эллиптического днища вычисляют по формуле

. (82)
9.4.8 Коэффициенты
K22 и
K23 определяют по графикам, приведенным на рисунках 15 и
16 соответственно.
Рисунок 15 - Коэффициент K22
Рисунок 16 - Коэффициент
K23
10. Расчет на прочность сварных швов приварки опорных узлов к корпусу сосуда
Расчету на прочность подлежат угловые сварные швы приварки опорного узла к корпусу или подкладному листу и швы приварки подкладного листа к корпусу сосуда или аппарата.
Расчетную нормальную силу
Fоп, расчетную сдвигающую силу
Qоп и расчетный изгибающий момент
Mоп определяют по правилам механики, руководствуясь результатами расчета нагрузок на элементы опорного узла, приведенными в
разделах 5 -
9 и в
ГОСТ 34283.
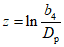
Расчетное нормальное напряжение в сварном шве рассчитывают по формуле

. (83)
Если расчетное нормальное напряжение в сварном шве является напряжением сжатия

, его не учитывают при расчете прочности сварного шва. Среднее расчетное напряжение сдвига в сварном шве вычисляют по формуле

. (84)
Если на сварной шов одновременно действуют моменты и/или сдвигающие силы в двух взаимно перпендикулярных направлениях, результирующие значения нормальных напряжений и напряжений сдвига определяют по правилам механики.
Условие прочности угловых сварных швов приварки опорного узла к корпусу или подкладному листу и швов приварки подкладного листа к корпусу сосуда или аппарата:

. (85)
Для угловых сварных швов коэффициент прочности

принят равным 0,65.
(рекомендуемое)
РАСЧЕТ НА ПРОЧНОСТЬ ОПОР
В настоящем приложении приведен расчет на прочность опор различных типов и фундаментных болтов от действия массы аппарата и внешних нагрузок, определяемых в соответствии с
ГОСТ 34283.
А.1. Расчет на прочность несущих ушек
Проверку на прочность несущих ушек проводят в двух сечениях: в месте расположения отверстия и месте приварки к обечайке, днищу или подкладному листу.
А.1.1 Несущие ушки в месте расположения отверстия должны быть проверены на условия прочности при растяжении и сдвиге. При этом среднее растягивающее напряжение в сечении ушка, перпендикулярном к направлению действия силы
F1, не должно превышать допускаемого напряжения для материала несущих ушек

, а среднее сдвигающее напряжение в сечении ушка, параллельном направлению действия силы
F1, не должно превышать

.
А.1.2 Проверку несущих ушек в месте приварки к обечайке, днищу или подкладному листу следует выполнять в соответствии с
формулами (83) -
(85), подставляя в
формулы (83) и
(84) вместо площади и момента сопротивления сварного шва площадь и момент сопротивления сечения несущего ушка в месте приварки и сравнивая расчетное напряжение, полученное по
формуле (85), с допускаемым напряжением для материала несущих ушек

.
А.2. Расчет на прочность опорных лап
А.2.1 Проверку опорных лап в месте приварки к обечайке или подкладному листу следует выполнять в соответствии с
формулами (83) -
(85), подставляя в них вместо площади и момента сопротивления сварного шва площадь и момент сопротивления сечения опорной лапы в месте приварки и сравнивая расчетное напряжение, полученное по
формуле (85), с допускаемым напряжением для материала опорной лапы

. Для конструкции опорных лап типа C (см.
рисунок 7) следует дополнительно выполнить аналогичную проверку в месте приварки вертикальных ребер к горизонтальной пластине опоры лапы.
А.2.2 Кроме случая нагружения опорных лап вертикальным сжимающим усилием, определяемым по
формулам (20) и
(21), следует рассмотреть возможность действия на опорную лапу вертикального растягивающего усилия. Для этого надо подставить в
формулы (20) и
(21) значение изгибающего момента
M со знаком минус. Если значение вертикального усилия, действующего на опорную лапу, получится отрицательным, его следует учесть при расчете опорных лап типов A, B, C (см.
рисунок 7) и фундаментных или анкерных болтов.
А.2.3 Если
F1 < 0, минимальная толщина нижней полки опорной лапы типов A, B, C (см.
рисунок 7)
s6 должна отвечать условию

, (А.1)
где

- коэффициент, определяемый по формуле

(А.2)
или по
рисунку 7 ГОСТ 34233.9 при
b4 =
l1 -
s2 и
b5 =
g -
s7.
А.2.4 Если вертикальное усилие, действующее на опорную лапу,
F1 >= 0, анкерные болты следует проверить на срез по формуле

. (А.3)
Если вертикальное усилие, действующее на опорную лапу, F1 < 0, анкерные болты следует проверить на совместные действия растяжения и сдвига по формуле

, (А.4)
где

- напряжение растяжения в анкерном болте

, (А.5)

- напряжение сдвига в анкерном болте определяют по
формуле (А.3).
А.3. Расчет на прочность седловых опор
А.3.1 Усилия, действующие на седловые опоры, определяют, исходя из расчетной схемы, описанной в
7.1.3, и рассчитывают по правилам строительной механики.
А.3.2 Допускается использовать упрощенные схемы определения расчетных нагрузок, действующих на седловые опоры, дающие результаты, идущие в сторону запаса. Для сосуда на двух опорах (см.
рисунок 10а) максимальная и минимальная расчетные вертикальные силы, действующие на каждую из опор, будут равны:

, (А.6)

. (А.7)
Если на сосуд действуют какие-либо дополнительные нагрузки, которые в соответствии с
ГОСТ 34283 следует учесть при расчете аппарата в целом, например нагрузки от присоединенных трубопроводов, их также необходимо учесть при определении нагрузок, действующих на опоры.
А.3.3 Если
Fmax >
Fi, необходимо дополнительно выполнить расчет опорного узла в соответствии с
разделом 7, подставив в формулы величину
Fmax вместо
Fi.
А.3.4 Расчетное поперечное сечение седловой опоры вертикальной плоскостью, проходящей через ось аппарата (см.
рисунок 9), включающее сечение самой опоры, подкладного листа и участка обечайки аппарата общей длиной

, должно быть проверено на действие распорной нагрузки:

. (А.8)
Условие прочности при действии распорной нагрузки:

. (А.9)
А.3.5 Опора должна быть проверена на прочность и устойчивость от действия сжимающих напряжений и напряжений изгиба.
Расчетное сжимающее напряжение в опоре:

. (А.10)
Расчетное напряжение изгиба в опоре (1-я опора считается неподвижной):

. (А.11)
Условие прочности опоры:

. (А.12)
Допускаемое сжимающее усилие:
- из условия упругой устойчивости опоры в целом

; (А.13)
- из условия упругой устойчивости ребра опоры с одним вертикальным швом

; (А.14)
- из условия упругой устойчивости ребер (части ребра) опоры с двумя вертикальными швам (между двумя другими ребрами)

. (А.15)
Значения безразмерных коэффициентов
k1,
k2 приведены в таблицах А.1 -
А.2.
Таблица А.1
Коэффициент k1
| 0,8 | 1,0 | 1,2 | 1,4 | 1,6 | 1,8 | 2,0 | 2,2 | 2,4 | 3 | 4 | 5 | 10 |
k1 | 1,56 | 1,54 | 1,92 | 2,41 | 3,08 | 3,93 | 5,00 | 6,35 | 7,66 | 11,10 | 19,20 | 30,00 | 120,00 |
<*> lр - расстояние от свободного края ребра до шва. |
Таблица А.2
| 0,4 | 0,5 | 0,6 | 0,8 | 1 | 1,2 | 1,4 | 1,6 | 2 | 3 | 4 | 5 | 10 |
k2 | 1,37 | 1,74 | 2,30 | 4,22 | 6,96 | 9,32 | 12,50 | 16,70 | 25,30 | 58,00 | 101,00 | 158,00 | 634,00 |
<*> lр - расстояние между ребрами. |
Допускаемое сжимающее усилие из условия упругой устойчивости опоры:

. (А.16)
Допускаемое сжимающее усилие из условий прочности опоры:

. (А.17)
Допускаемое сжимающее усилие, действующее на опору:

. (А.18)
Условие устойчивости опоры:
Fmax <= [F]оп. (А.19)
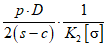
А.3.6 Расчет на прочность фундаментных болтов
Изгибающий момент, действующий на нижнюю часть опоры:
Mcx = Qнhс. (А.20)
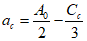
Длина сжатой зоны под опорой:

. (А.21)
Расстояние от центра тяжести сжатой зоны до оси аппарата:

. (А.22)
Расстояние от центра тяжести сжатой зоны до оси фундаментного болта:

. (А.23)
Напряжение растяжения в фундаментном болте:

. (А.24)
Напряжение сдвига в фундаментном болте (1-я опора считается неподвижной):

. (А.25)
Условие прочности фундаментных болтов:

. (А.26)
А.4. Расчет на прочность опорных стоек
А.4.1 Расчет цилиндрической опорной стойки на действие сжимающего усилия
F1 выполняют в соответствии с
ГОСТ 34233.2.
А.4.2 Расчет на прочность фундаментных болтов аппаратов на опорах-стойках выполняют по
формуле (А.3).
А.5. Расчет на прочность пластинчатых опорных стоек
А.5.1 Расчет допускаемого сжимающего усилия, действующего на каждую из пластин пластинчатой опорной стойки, выполняют по
формулам (А.13),
(А.16),
(А.17) и
(А.18). При этом под
hр понимают максимальную высоту пластины, под
Jоп - минимальный момент инерции пластины, а под
Aоп - минимальную площадь поперечного сечения пластины. Условие прочности и устойчивости для опорной стойки, состоящей из двух пластин:
0,5F1 <= [F]оп. (А.27)
А.5.2 Расчет на прочность фундаментных болтов аппаратов на пластинчатых опорах выполняют так же, как расчет фундаментных болтов аппаратов на опорах-лапах, в соответствии с
А.2.4. Растягивающее усилие, действующее на пластинчатую опору при установке четырех опор, как в случае обычного, так и в случае точного монтажа, следует определять по
формуле (74), подставив в нее величину изгибающего момента со знаком минус.