Главная // Актуальные документы // ГОСТ (Государственный стандарт)СПРАВКА
Источник публикации
М.: Стандартинформ, 2019
Примечание к документу
Текст данного документа приведен с учетом поправок, опубликованных в "ИУС",
N 8, 2020;
N 12, 2021;
N 7, 2023.
Документ
введен в действие с 01.06.2020.
Название документа
"ГОСТ 26726-2019. Межгосударственный стандарт. Реактивы. Пламенно-фотометрический метод определения примесей натрия, калия, кальция и стронция"
(введен в действие Приказом Росстандарта от 08.08.2019 N 466-ст)
"ГОСТ 26726-2019. Межгосударственный стандарт. Реактивы. Пламенно-фотометрический метод определения примесей натрия, калия, кальция и стронция"
(введен в действие Приказом Росстандарта от 08.08.2019 N 466-ст)
по техническому регулированию
и метрологии
от 8 августа 2019 г. N 466-ст
МЕЖГОСУДАРСТВЕННЫЙ СТАНДАРТ
РЕАКТИВЫ
ПЛАМЕННО-ФОТОМЕТРИЧЕСКИЙ МЕТОД ОПРЕДЕЛЕНИЯ ПРИМЕСЕЙ
НАТРИЯ, КАЛИЯ, КАЛЬЦИЯ И СТРОНЦИЯ
Reagents. Flame-photometric method for determination
of impurities sodium, potassium, calcium and strontium
ГОСТ 26726-2019
Дата введения
1 июня 2020 года
Цели, основные принципы и общие правила проведения работ по межгосударственной стандартизации установлены
ГОСТ 1.0 "Межгосударственная система стандартизации. Основные положения" и
ГОСТ 1.2 "Межгосударственная система стандартизации. Стандарты межгосударственные, правила и рекомендации по межгосударственной стандартизации. Правила разработки, принятия, обновления и отмены"
1 РАЗРАБОТАН Федеральным государственным унитарным предприятием "Научно-исследовательский институт химических реактивов и особо чистых химических веществ" Национального исследовательского центра "Курчатовский институт" (ФГУП НИЦ "Курчатовский институт" - ИРЕА)
2 ВНЕСЕН Техническим комитетом по стандартизации ТК 60 "Химия"
3 ПРИНЯТ Межгосударственным советом по стандартизации, метрологии и сертификации (протокол от 30 июля 2019 г. N 120-П)
За принятие проголосовали:
Краткое наименование страны по МК (ИСО 3166) 004-97 | Код страны по МК (ИСО 3166) 004-97 | Сокращенное наименование национального органа по стандартизации |
Азербайджан | AZ | Азстандарт |
Беларусь | BY | Госстандарт Республики Беларусь |
Казахстан | KZ | Госстандарт Республики Казахстан |
Киргизия | KG | Кыргызстандарт |
Россия | RU | Росстандарт |
Таджикистан | TJ | Таджикстандарт |
Туркмения | TM | Главгосслужба "Туркменстандартлары" |
Узбекистан | UZ | Узстандарт |
Украина | UA | Минэкономразвития Украины |
4
Приказом Федерального агентства по техническому регулированию и метрологии от 8 августа 2019 г. N 466-ст межгосударственный стандарт ГОСТ 26726-2019 введен в действие в качестве национального стандарта Российской Федерации с 1 июня 2020 г.
Информация о введении в действие (прекращении действия) настоящего стандарта и изменений к нему на территории указанных выше государств публикуется в указателях национальных стандартов, издаваемых в этих государствах, а также в сети Интернет на сайтах соответствующих национальных органов по стандартизации.
В случае пересмотра, изменения или отмены настоящего стандарта соответствующая информация будет опубликована на официальном интернет-сайте Межгосударственного совета по стандартизации, метрологии и сертификации в каталоге "Межгосударственные стандарты"
Настоящий стандарт распространяется на химические реактивы и устанавливает пламенно-фотометрический метод определения массовой доли примесей натрия, калия, кальция и стронция с применением ограничивающих растворов (растворов сравнения) (способ 1) и по градуировочному графику (способ 2) в диапазоне измерений от 0,001% до 1%.
Сущность метода заключается в сравнении интенсивности излучения резонансных линий элементов, образующихся в пламени газовоздушной смеси при введении в него растворов анализируемых реактивов и растворов сравнения.
Применяемый способ и дополнительные условия определения должны быть указаны в документе по стандартизации на анализируемый реактив.
В настоящем стандарте использованы нормативные ссылки на следующие межгосударственные стандарты:
ГОСТ 12.1.004 Система стандартов безопасности труда. Пожарная безопасность. Общие требования
ГОСТ 12.1.007 Система стандартов безопасности труда. Вредные вещества. Классификация и общие требования безопасности
ГОСТ 12.4.009 Система стандартов безопасности труда. Пожарная техника для защиты объектов. Основные виды. Размещение и оборудование
ГОСТ 12.4.021 Система стандартов безопасности труда. Системы вентиляционные. Общие требования
ГОСТ 61 Реактивы. Кислота уксусная. Технические условия
ГОСТ 3118 Реактивы. Кислота соляная. Технические условия
ГОСТ 3757 Реактивы. Алюминий азотно-кислый 9-водный. Технические условия
ГОСТ 3777 Реактивы. Барий азотнокислый. Технические условия
ГОСТ 3885 Реактивы и особо чистые вещества. Правила приемки, отбор проб, фасовка, упаковка, маркировка, транспортирование и хранение
ГОСТ 4168 Реактивы. Натрий азотнокислый. Технические условия
ГОСТ 4172 Реактивы. Натрий фосфорнокислый двузамещенный 12-водный. Технические условия
ГОСТ 4204 Реактивы. Кислота серная. Технические условия
ГОСТ 4209 Реактивы. Магний хлористый 6-водный. Технические условия
ГОСТ 4212 Реактивы. Методы приготовления растворов для колориметрического и нефелометрического анализа
ГОСТ 4233 Реактивы. Натрий хлористый. Технические условия
ГОСТ 4234 Реактивы. Калий хлористый. Технические условия
ГОСТ 4461 Реактивы. Кислота азотная. Технические условия
ГОСТ 4523 Реактивы. Магний сернокислый 7-водный. Технические условия
ГОСТ 5457 Ацетилен растворенный и газообразный технический. Технические условия
ГОСТ 6709 Вода дистиллированная. Технические условия
ГОСТ 10929 Реактивы. Водорода пероксид. Технические условия
ГОСТ 14919 Электроплиты, электроплитки и жарочные электрошкафы бытовые. Общие технические условия
ГОСТ 17433 Промышленная чистота. Сжатый воздух. Классы загрязненности
ГОСТ 24104 Весы лабораторные. Общие технические требования <*>
--------------------------------
<*> В Российской Федерации действует
ГОСТ Р 53228-2008 "Весы неавтоматического действия. Часть 1. Метрологические и технические требования. Испытания".
ГОСТ 27025 Реактивы. Общие указания по проведению испытаний
Примечание - При пользовании настоящим стандартом целесообразно проверить действие ссылочных стандартов и классификаторов на официальном интернет-сайте Межгосударственного совета по стандартизации, метрологии и сертификации (www.easc.by) или по указателям национальных стандартов, издаваемым в государствах, указанных в
предисловии, или на официальных сайтах соответствующих национальных органов по стандартизации. Если на документ дана недатированная ссылка, то следует использовать документ, действующий на текущий момент, с учетом всех внесенных в него изменений. Если заменен ссылочный документ, на который дана датированная ссылка, то следует использовать указанную версию этого документа. Если после принятия настоящего стандарта в ссылочный документ, на который дана датированная ссылка, внесено изменение, затрагивающее положение, на которое дана ссылка, то это положение применяется без учета данного изменения. Если ссылочный документ отменен без замены, то положение, в котором ссылка дана на него, применяется в части, не затрагивающей эту ссылку.
3.1 Общие указания по проведению анализа - по
ГОСТ 27025.
3.2 Массу анализируемого реактива и реактивов, используемых для проведения анализа, определяют взвешиванием в граммах с точностью до второго десятичного знака.
3.3 Определение массовой доли калия и натрия проводят в пламени пропан-бутан-воздух, ацетилен-воздух. Определение массовой доли кальция и стронция проводят в пламени ацетилен-воздух.
3.4 Анализ проводят с использованием монохроматора при длине волны, нм:
Na - 589,0; 589,6;
K - 766,5;
Ca - 422,7;
Sr - 460,7.
3.5 Нулевую линию прибора устанавливают по результату, полученному при фотометрировании контрольного раствора.
3.6 При выполнении измерений в лаборатории должны быть соблюдены следующие условия:
температура воздуха ...................................................................... | (20 +/- 5) °C; |
относительная влажность воздуха ............................................... | от 30% до 80%. |
Взвешивание на весах проводят при температуре окружающего воздуха в соответствии с нормативным документом на весы.
3.7 Допускается определять массовую долю примесей натрия, калия, кальция и стронция с использованием атомно-эмиссионного спектрометра с индуктивно связанной плазмой.
3.8 Допускается использование других средств измерений, оборудования, вспомогательных устройств и лабораторной посуды с аналогичными или более высокими техническими и метрологическими характеристиками.
Допускается использование реактивов более высокой квалификации или импортных аналогов.
3.9 При выполнении анализа необходимо соблюдать правила безопасности, установленные для работы с горючими газами.
3.10 К выполнению измерений допускаются сотрудники, освоившие технику выполнения измерений и прошедшие соответствующий инструктаж.
4 Требования безопасности
4.1 Работающие в лаборатории должны соблюдать требования инструкций по охране труда, правил безопасности и проходить предварительные и периодические медицинские осмотры в соответствии с порядком и сроками, установленными органами здравоохранения. Лица моложе 18 лет и беременные женщины к работе не допускаются.
4.2 Вновь поступающие на работу допускаются к исполнению своих обязанностей только после прохождения вводного инструктажа о соблюдении мер безопасности, инструктажа на рабочем месте и собеседования по вопросам техники безопасности.
4.3 Весь работающий персонал в лаборатории должен быть обеспечен необходимой спецодеждой и средствами индивидуальной защиты.
4.4 Помещения лаборатории должны соответствовать требованиям пожарной безопасности по
ГОСТ 12.1.004 и иметь средства пожаротушения по
ГОСТ 12.4.009.
4.5 При работе в лаборатории необходимо соблюдать требования техники безопасности по
ГОСТ 12.1.007.
4.6 Производственные помещения и лаборатории, в которых проводят работы, должны быть обеспечены приточно-вытяжной вентиляцией по
ГОСТ 12.4.021. Также должны быть предусмотрены местные вытяжные устройства.
Работа с концентрированными кислотами и щелочами проводится только в вытяжном шкафу с использованием защитных средств (перчаток, очков). В местах хранения кислот недопустимо присутствие легковоспламеняющихся веществ.
4.7 При попадании кислоты на кожу пораженное место следует сразу промыть в течение 10 - 15 мин под струей воды, затем обмыть 2%-ным раствором питьевой соды или мыльным водным раствором и наложить сухую повязку.
Также следует оказать первую помощь:
- при ингаляционном воздействии химических веществ - свежий воздух, покой;
- при попадании внутрь - прополоскать рот водой;
- при попадании в глаза - обильно промыть большим количеством воды в течение 10 - 15 мин.
Во всех случаях следует обратиться к врачу.
Пробу анализируемого продукта отбирают по
ГОСТ 3885 с учетом указаний документа по стандартизации на конкретный продукт.
6 Средства измерений, реактивы и растворы
Весы лабораторные по
ГОСТ 24104 высокого класса точности (II) с ценой деления (дискретностью отсчета) не более 0,01 г, с наибольшим пределом взвешивания 800 г.
Фотометр пламенный любого типа, обеспечивающий измерение массовых долей примесей натрия, калия, кальция и стронция на длинах волн, приведенных в
3.4.
Ацетилен растворенный технический по
ГОСТ 5457; перед применением пропускают через 96%-ную серную кислоту или твердые поглотительные смеси на основе серной кислоты.
Смесь пропана и бутана технических марки СПБТ (в баллоне) или газ из городской сети.
Вода дистиллированная по
ГОСТ 6709, дважды перегнанная в приборе из кварцевого стекла или деионизированная, полученная в условиях, исключающих контакт с металлами (см.
[1] <*>). Хранят воду в сосудах из кварцевого стекла или полимерного материала. Перед употреблением воду следует проверить на содержание определяемых элементов, указанных в документе по стандартизации на испытуемое вещество. Воду считают пригодной, если содержание определяемых элементов не будет превышать указанных норм.
--------------------------------
<*> В Российской Федерации действует
ГОСТ Р 52501-2005 (ИСО 3696:1987) "Вода для лабораторного анализа. Технические условия".
Растворы, содержащие натрий, калий, кальций и стронций, готовят из ГСО или по
ГОСТ 4212.
Реактивы, не содержащие натрий, калий, кальций и стронций, или с минимальным их содержанием готовят в соответствии с документом по стандартизации на реактив или
приложениями А -
Е. Степень чистоты реактивов определяют методом добавок. При наличии в используемых реактивах примесей определяемых элементов их учитывают при обработке результатов.
Все растворы хранят в полиэтиленовой или кварцевой посуде.
7.1 Приготовление растворов
Приготовление растворов анализируемых реактивов, растворов сравнения и контрольного (или фонового) раствора для анализа соединений алюминия, бария, железа, кальция, магния и натрия приведено в
приложениях А -
Е. Для анализа веществ, не приведенных в приложениях, приготовление анализируемого раствора осуществляют согласно документу по стандартизации на анализируемый продукт. Растворы сравнения, если нет особых указаний в документе по стандартизации, готовят в соответствии с
таблицей 1.
Таблица 1
Приготовление растворов сравнения
Номер раствора сравнения | Концентрация элемента в растворе, приготовленном по ГОСТ 4212, мг/см 3 | Объем раствора, приготовленного по ГОСТ 4212, см 3 | Масса элемента, введенного в раствор сравнения, мг | Концентрация элемента в растворе сравнения, мг/см3 | Массовая доля примеси в растворе сравнения в пересчете на препарат при его концентрации 1 г/100 см3, % |
1 | 0,1 | 0,1 | 0,01 | 0,0001 | 0,001 |
2 | 0,1 | 0,5 | 0,05 | 0,0005 | 0,005 |
3 | 0,1 | 1,0 | 0,1 | 0,001 | 0,01 |
4 | 1,0 | 0,2 | 0,2 | 0,002 | 0,02 |
5 | 1,0 | 0,3 | 0,3 | 0,003 | 0,03 |
6 | 1,0 | 0,5 | 0,5 | 0,005 | 0,05 |
7 | 1,0 | 0,8 | 0,8 | 0,008 | 0,08 |
8 | 1,0 | 1,0 | 1,0 | 0,01 | 0,1 |
9 | 1,0 | 2,0 | 2,0 | 0,02 | 0,2 |
10 | 1,0 | 5,0 | 5,0 | 0,05 | 0,5 |
11 | 1,0 | 7,0 | 7,0 | 0,07 | 0,7 |
12 | 1,0 | 9,0 | 9,0 | 0,09 | 0,9 |
13 | 1,0 | 10,0 | 10,0 | 0,1 | 1,0 |
Затем объемы растворов сравнения доводят в мерной колбе до 100 см3 и тщательно перемешивают.
В тех случаях, когда анализируемый реактив оказывает влияние на результат анализа, растворы сравнения готовят с использованием реактива, не содержащего определяемых элементов или с минимальным их содержанием.
Одновременно в тех же условиях готовят контрольный раствор без введения в него определяемого элемента.
Если массовая доля примеси в анализируемом реактиве превышает указанное в
таблице максимальное значение массовой доли примеси, для анализа используют более разбавленные растворы, сохраняя указанные в
таблице 1 требования к растворам сравнения.
7.2 Подготовка пламенного фотометра
Подготовку пламенного фотометра к работе, построение и проверку приемлемости градуировочного графика проводят в соответствии с руководством по эксплуатации пламенного фотометра.
8.1 Определение массовой доли примесей по способу 1
Выбирают два раствора сравнения - один с большей, другой с меньшей концентрацией определяемого элемента по сравнению с анализируемым раствором.
Концентрация определяемого элемента во всех трех растворах должна быть одного порядка. Растворы сравнения, анализируемый и контрольный растворы один за другим анализируют при одинаковых условиях и регистрируют величину сигнала, учитывая поправку, за которую принимают результат, полученный при фотометрировании контрольного раствора.
8.2 Определение массовой доли примесей по способу 2
Для анализа берут не менее двух навесок анализируемого реактива.
После подготовки прибора проводят фотометрирование воды, применяемой для приготовления всех растворов, а также анализируемого, контрольного растворов и растворов сравнения в порядке возрастания массовой доли примеси.
Затем проводят фотометрирование в обратной последовательности, начиная с растворов с максимальным содержанием примесей, учитывая в качестве поправки результат, полученный при фотометрировании контрольного раствора. Каждое измерение проводят три раза и вычисляют среднеарифметическое значение интенсивности излучения для каждого раствора.
После каждого измерения распыляют дистиллированную воду.
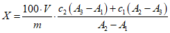
9.1 При определении массовой доли примесей по способу 1
Массовую долю примеси X, %, вычисляют по формуле

, (1)
где V - объем анализируемого раствора, см3;
m - масса навески анализируемого реактива, мг;
c2 - концентрация элемента (большая) в растворе сравнения, мг/см3;
A3 - результат измерения величины сигнала анализируемого раствора;
A1 - результат измерения величины сигнала раствора сравнения с меньшей концентрацией элемента;
c1 - концентрация элемента (меньшая) в растворе сравнения, мг/см3;
A2 - результат измерения величины сигнала раствора сравнения с

концентрацией элемента.
9.2 При определении массовой доли примесей по способу 2
По полученным данным для растворов сравнения строят градуировочный график, откладывая на оси ординат значения интенсивности излучения, на оси абсцисс - массу определяемого элемента.
Массовую долю примеси X, %, вычисляют по формуле

, (2)
где m1 - масса определяемой примеси натрия, калия, кальция и стронция в 100 см3 анализируемого раствора, полученная по градуировочному графику, мг;
V - объем раствора, приготовленного для анализа, см3;
m2 - масса навески анализируемого реактива, г.
9.3 За результат анализа принимают среднеарифметическое значение результатов двух параллельных определений, допускаемые расхождения между которыми относительно среднеарифметического значения результата определения массовой доли не должны превышать:
15% - при определении калия;
5% - при определении натрия в соединениях алюминия (в соответствии с
приложением А);
20% - при определении натрия, калия, кальция и стронция в соединениях бария (в соответствии с
приложением Б);
15% - при определении натрия, калия и кальция в соединениях железа (в соответствии с
приложением В);
15% - при определении натрия и калия в соединениях кальция (в соответствии с
приложением Г);
20% - при определении кальция в соединениях магния (в соответствии с
приложением Д);
10% - при определении калия в соединениях натрия (в соответствии с
приложением Е).
(обязательное)
ПОДГОТОВКА К АНАЛИЗУ ДЛЯ ОПРЕДЕЛЕНИЯ МАССОВОЙ ДОЛИ ПРИМЕСЕЙ
НАТРИЯ И КАЛИЯ В СОЕДИНЕНИЯХ АЛЮМИНИЯ
А.1 Средства измерения, реактивы и растворы
Используют средства измерения, реактивы и растворы, приведенные в
разделе 6 настоящего стандарта, а также следующие растворы:
калий хлористый, квалификации х.ч. по
ГОСТ 4234, 1%-ный раствор, не содержащий натрия или с его минимальным содержанием;
растворы, содержащие по 0,04 мг натрия и калия в 1 см
3 и 0,01 мг натрия в 1 см
3, готовят соответствующим разбавлением раствора, приготовленного по
ГОСТ 4212.
А.2 Приготовление растворов
А.2.1 Для определения массовой доли натрия и калия в азотнокислом, сернокислом, хлористом алюминии и алюмоаммонийных квасцах 1,00 г препарата помещают в мерную колбу вместимостью 500 см3 и растворяют в воде. Доводят объем раствора водой до метки и тщательно перемешивают.
А.2.2 Для определения массовой доли натрия и калия в гидрате окиси алюминия к 1,00 г препарата добавляют 20 см3 раствора серной кислоты и растворяют при нагревании. Затем раствор переносят в мерную колбу вместимостью 500 см3, доводят объем раствора водой до метки и тщательно перемешивают.
А.2.3 Для определения массовой доли натрия в алюмокалиевых квасцах 1,00 г препарата помещают в мерную колбу вместимостью 200 см3, растворяют в воде, доводят объем раствора водой до метки и тщательно перемешивают.
А.3 Приготовление растворов сравнения
А.3.1 Для определения массовой доли натрия и калия в азотнокислом, сернокислом, хлористом алюминии, алюмоаммонийных квасцах и гидроокиси алюминия в шесть мерных колб вместимостью 200 см
3 каждая помещают по 20 см
3 воды и раствор, содержащий натрий и калий, в объемах, указанных в
таблице А.1.
Таблица А.1
Приготовление растворов сравнения
Номер раствора сравнения | Объем раствора концентрации по 0,04 мг/см3 Na и K, см3 | Масса каждого элемента (Na, K), введенного в раствор сравнения, мг | Концентрация элемента в растворе сравнения, мг/см3 | Массовая доля каждой примеси в растворе сравнения в пересчете на препарат при его концентрации 1 г/500 см3, % |
1 | 1,0 | 0,04 | 0,0002 | 0,010 |
2 | 2,5 | 0,10 | 0,0005 | 0,025 |
3 | 5,0 | 0,20 | 0,001 | 0,050 |
4 | 10,0 | 0,40 | 0,002 | 0,100 |
5 | 15,0 | 0,60 | 0,003 | 0,150 |
6 | 25,0 | 2,00 | 0,01 | 0,250 |
Затем растворы перемешивают, доводят объем каждого раствора водой до метки и снова тщательно перемешивают.
А.3.2 Для определения массовой доли натрия в алюмокалиевых квасцах в пять мерных колб вместимостью 100 см
3 каждая помещают по 20 см
3 воды и раствор, содержащий натрий, в объемах, указанных в
таблице А.2.
Таблица А.2
Приготовление растворов сравнения
Номер раствора сравнения | Объем раствора концентрации по 0,01 мг/см3 Na, см3 | Масса элемента (Na), введенного в раствор сравнения, мг | Концентрация элемента в растворе сравнения, мг/см3 | Массовая доля примеси в растворе сравнения в пересчете на препарат при его концентрации 1 г/200 см3, % |
1 | 2 | 0,02 | 0,0002 | 0,004 |
2 | 4 | 0,04 | 0,0004 | 0,008 |
3 | 6 | 0,06 | 0,0006 | 0,012 |
4 | 8 | 0,08 | 0,0008 | 0,016 |
5 | 10 | 0,10 | 0,0010 | 0,020 |
В шестую колбу помещают 1,5 см3 раствора хлористого калия, не содержащего натрия (фоновый раствор). Затем растворы перемешивают, доводят объем каждого раствора до метки и снова тщательно перемешивают.
(обязательное)
ПОДГОТОВКА К АНАЛИЗУ ДЛЯ ОПРЕДЕЛЕНИЯ МАССОВОЙ ДОЛИ ПРИМЕСЕЙ
НАТРИЯ, КАЛИЯ, КАЛЬЦИЯ И СТРОНЦИЯ В СОЕДИНЕНИЯХ БАРИЯ
Б.1 Средства измерения, вспомогательное оборудование, реактивы и растворы
Используют средства измерения, реактивы и растворы, приведенные в
разделе 6 настоящего стандарта, а также следующие растворы и вспомогательное оборудование:
барий азотнокислый квалификации х.ч. по ГОСТ 3777, 5%-ный раствор, не содержащий примесей натрия, калия, кальция, стронция или с их минимальным содержанием;
кислота азотная квалификации х.ч. по
ГОСТ 4461, 5%-ный раствор;
кислота соляная квалификации х.ч. по
ГОСТ 3118, 25%-ный раствор;
раствор, содержащий по 0,01 мг натрия и калия и по 0,02 мг кальция и стронция в 1 см
3, а также раствор, содержащий по 0,01 мг натрия и калия в 1 см
3; готовят соответствующим разбавлением растворов, приготовленных по
ГОСТ 4212;
Б.2 Приготовление растворов
Б.2.1 Для определения массовой доли примесей натрия, калия, кальция и стронция в азотнокислом и хлористом барии 1,00 г препарата растворяют в воде, помещают в мерную колбу вместимостью 200 см3, доводят объем раствора водой до метки и тщательно перемешивают.
Б.2.2 Для определения массовой доли примесей натрия, калия, кальция и стронция в углекислом барии и перекиси бария 1,00 г препарата помещают в коническую кварцевую колбу, добавляют 30 см3 воды и 3 см3 раствора азотной кислоты. Затем нагревают при температуре от 50 °C до 70 °C до полного растворения. Затем раствор переносят количественно в мерную колбу вместимостью 200 см3, доводят объем раствора до метки и тщательно перемешивают.
Б.2.3 Для определения массовой доли примесей натрия и калия в гидроокиси бария 1,00 г препарата помещают в коническую кварцевую колбу, растворяют при нагревании до полного растворения в 50 см3 воды, добавляют небольшими порциями, 50 см3, раствор азотной кислоты и охлаждают. Раствор переносят количественно в мерную колбу вместимостью 200 см3, доводят объем раствора водой до метки и тщательно перемешивают.
Б.3 Приготовление растворов сравнения
Б.3.1 Для определения массовой доли примесей натрия, калия, кальция и стронция в азотнокислом барии в восемь мерных колб вместимостью 100 см
3 каждая помещают по 25 см
3 воды, по 10 см
3 раствора азотнокислого бария, не содержащего примесей натрия, калия, кальция, стронция или с их минимальным содержанием. Затем в семь колб вводят раствор, содержащий натрий, калий, кальций и стронций, в объемах, указанных в
таблице Б.1.
Таблица Б.1
Приготовление растворов сравнения
Номер раствора сравнения | Объем раствора концентрации по 0,01 мг/см3 Na и K и по 0,02 мг/см3 Ca и Sr, см3 | Масса каждого элемента (Na, K, Ca, Sr), введенного в раствор сравнения, мг | Концентрация элемента в растворе сравнения, мг/см3 | Массовая доля каждой примеси в растворе сравнения в пересчете на препарат при его концентрации 0,5 г/200 см3, % |
Na, K | Ca, Sr | Na, K | Ca, Sr | Na, K | Ca, Sr |
1 | 0,5 | 0,005 | 0,01 | 0,00005 | 0,0001 | 0,001 | 0,002 |
2 | 1 | 0,01 | 0,02 | 0,0001 | 0,0002 | 0,002 | 0,004 |
3 | 2 | 0,02 | 0,04 | 0,0002 | 0,0004 | 0,004 | 0,008 |
4 | 3 | 0,03 | 0,06 | 0,0003 | 0,0006 | 0,006 | 0,012 |
5 | 4 | 0,04 | 0,08 | 0,0004 | 0,0008 | 0,008 | 0,016 |
6 | 5 | 0,05 | 0,10 | 0,0005 | 0,001 | 0,010 | 0,020 |
7 | 10 | 0,10 | 0,20 | 0,001 | 0,002 | 0,020 | 0,040 |
В восьмой колбе - контрольный раствор без определяемых элементов. Затем растворы перемешивают, доводят объем каждого раствора водой до метки и снова тщательно перемешивают.
Б.3.2 Для определения массовой доли натрия, калия, кальция и стронция в хлористом барии, углекислом барии и перекиси бария растворы сравнения и контрольный раствор готовят по
3.1. При этом в растворы вводят раствор азотнокислого бария, не содержащего определяемых примесей или с их минимальным содержанием, в следующих объемах:
13,4 см3 - для углекислого бария;
15,2 см3 - для перекиси бария;
12,5 см3 - для хлористого бария.
Кроме того, для хлористого бария вводят 0,6 см3 раствора соляной кислоты.
Б.3.3 Для определения массовой доли примесей натрия и калия в гидрате окиси бария в восемь мерных колб вместимостью 100 см
3 каждая помещают по 25 см
3 воды, по 8,4 см
3 раствора азотнокислого бария, не содержащего определяемых примесей или с минимальным их содержанием. Затем в восемь колб вводят раствор, содержащий натрий и калий, в соответствии с
таблицей Б.1. В восьмой колбе - контрольный раствор без определяемых элементов.
Затем растворы перемешивают, доводят объем каждого раствора водой до метки и снова тщательно перемешивают.
Б.3.4 При определении массовой доли примесей кальция и стронция в гидрате окиси бария растворы сравнения и контрольный раствор готовят, как указано в
Б.3.3. При этом вместо раствора, содержащего натрий и калий, вводят раствор, содержащий кальций и стронций.
(обязательное)
ПОДГОТОВКА К АНАЛИЗУ ДЛЯ ОПРЕДЕЛЕНИЯ МАССОВОЙ ДОЛИ ПРИМЕСЕЙ
НАТРИЯ, КАЛИЯ, КАЛЬЦИЯ В СОЕДИНЕНИЯХ ЖЕЛЕЗА
В.1 Средства измерения, вспомогательное оборудование, реактивы и растворы
Реактивы и растворы, указанные в
разделе 6 настоящего стандарта, а также следующие растворы и вспомогательное оборудование:
водорода перекись квалификации х.ч. по
ГОСТ 10929;
железо карбонильное особой чистоты;
кислота уксусная квалификации х.ч. по
ГОСТ 61, ледяная, разбавленная 2:5;
кислота серная по
ГОСТ 4204, концентрированная и раствор 1:1;
кислота соляная по
ГОСТ 3118, концентрированная и раствор 2:3;
8-оксихинолин, 20%-ный раствор в разбавленной уксусной кислоте, проверенный на содержание натрия, калия и кальция; при необходимости проводят очистку сублимацией;
раствор, содержащий по 0,1 мг натрия, калия, кальция в 1 см
3, готовят соответствующим разбавлением раствора, приготовленного по
ГОСТ 4212;
В.2 Приготовление растворов для анализа
В.2.1 При определении массовой доли примесей натрия, калия и кальция в азотнокислом и хлорном железе и железоаммонийных квасцах 1,00 г препарата помещают в мерную колбу вместимостью 200 см
3, растворяют в воде, прибавляют 6 см
3 раствора соляной кислоты, раствор 8-оксихинолина (8 см
3 - для азотнокислого железа и железоаммонийных квасцов, 12 см
3 - для хлорного железа) и перемешивают. Объем раствора доводят водой до метки и снова тщательно перемешивают.
В.2.2 При определении примесей в соли Мора, окисном сернокислом и закисном сернокислом железе 1,00 г препарата помещают в кварцевый стакан вместимостью 100 см3 и растворяют в 30 см3 воды и 0,3 см3 раствора серной кислоты (окисное сернокислое железо растворяют при слабом нагревании).
Раствор переносят количественно в мерную колбу вместимостью 200 см3, прибавляют 6 см3 раствора соляной кислоты, 12 см3 раствора 8-оксихинолина и перемешивают. Объем раствора доводят водой до метки и тщательно перемешивают.
В.2.3 При определении примесей в двухлористом железе 1,00 г препарата помещают в кварцевый стакан и растворяют в 30 см3 воды и 0,3 см3 раствора соляной кислоты при слабом нагревании.
Раствор охлаждают, переносят количественно в мерную колбу вместимостью 200 см3, прибавляют 6 см3 раствора соляной кислоты, 6 см3 раствора 8-оксихинолина и перемешивают. Объем раствора доводят водой до метки и тщательно перемешивают.
В.2.4 При определении примесей только натрия и калия в соединениях железа 8-оксихинолин в анализируемые растворы не вводят.
В.3 Приготовление растворов сравнения
В.3.1 Для определения примесей в железоаммонийных квасцах и азотнокислом железе в девять мерных колб вместимостью 200 см
3 каждая помещают по 25 см
3 воды, 6 см
3 раствора соляной кислоты и 8 см
3 раствора 8-оксихинолина. Затем в восемь колб вводят раствор, содержащий натрий, калий и кальций, в объемах, указанных в
таблице В.1.
Таблица В.1
Приготовление растворов сравнения
Номер раствора сравнения | Объем раствора концентрации по 0,1 мг/см3 Na, K, Ca, см3 | Масса каждого элемента (Na, K, Ca), введенного в раствор сравнения, мг | Концентрация элемента в растворе сравнения, мг/см3 | Массовая доля каждой примеси в растворе сравнения в пересчете на препарат при его концентрации 1 г/200 см3, % |
1 | 0,4 | 0,04 | 0,0002 | 0,004 |
2 | 0,8 | 0,08 | 0,0004 | 0,008 |
3 | 1,2 | 0,12 | 0,0006 | 0,012 |
4 | 1,6 | 0,16 | 0,0008 | 0,016 |
5 | 2,0 | 0,20 | 0,001 | 0,020 |
6 | 4,0 | 0,40 | 0,002 | 0,040 |
7 | 6,0 | 0,60 | 0,003 | 0,060 |
8 | 8,0 | 0,80 | 0,004 | 0,080 |
В девятой колбе - контрольный раствор без добавления определяемых элементов.
Затем растворы перемешивают, доводят объем каждого раствора водой до метки и снова тщательно перемешивают.
В.3.2 При определении примесей в окисном сернокислом и хлорном железе и соли Мора растворы сравнения готовят по
В.3.1, при этом в растворы сравнения вводят по 12 см
3 раствора 8-оксихинолина, а при определении массовой доли указанных примесей в двухлористом железе - 6 см
3 раствора 8-оксихинолина.
В.3.3 При определении массовой доли примеси только натрия и калия в соединениях железа 8-оксихинолин в растворы не вводят.
В.3.4 При определении кальция допускается готовить растворы сравнения с применением карбонильного железа особой чистоты. При этом массу навески карбонильного железа рассчитывают в соответствии с массовой долей железа в анализируемом реактиве и растворяют при нагревании в 2 см
3 серной или соляной концентрированной кислоты (в зависимости от анализируемого препарата), в присутствии 0,5 см
3 перекиси водорода. Анализируемые растворы готовят по
В.2.1 с введением 0,5 см
3 перекиси водорода при нагревании без добавления раствора 8-оксихинолина.
(обязательное)
ПОДГОТОВКА К АНАЛИЗУ ДЛЯ ОПРЕДЕЛЕНИЯ МАССОВОЙ ДОЛИ ПРИМЕСЕЙ
НАТРИЯ И КАЛИЯ В СОЕДИНЕНИЯХ КАЛЬЦИЯ
Г.1 Средства измерения, реактивы и растворы
Используют средства измерения, реактивы и растворы, указанные в
разделе 6 настоящего стандарта, а также следующие растворы:
алюминий азотнокислый квалификации х.ч. по ГОСТ 3757, 10%-ный раствор, не содержащий натрий и калий или с их минимальным содержанием;
кислота соляная по
ГОСТ 3118, 25%-ный раствор;
раствор, содержащий по 0,02 мг натрия и калия в 1 см
3, готовят соответствующим разбавлением раствора, приготовленного по
ГОСТ 4212.
Г.2 Приготовление растворов для анализа
Г.2.1 Для определения массовой доли примесей натрия и калия в азотнокислом, гранулированном хлористом, кристаллическом хлористом и плавленном хлористом кальции 0,50 г препарата помещают в мерную колбу вместимостью 500 см3, растворяют в воде, прибавляют 50 см3 раствора азотнокислого алюминия, доводят объем раствора водой до метки и тщательно перемешивают.
Г.2.2 Для определения массовой доли примесей натрия и калия в сернокислом и углекислом кальции 0,50 г препарата помещают в коническую кварцевую колбу и при кипячении растворяют в 100 см3 воды и 1,5 см3 раствора соляной кислоты. Затем раствор охлаждают, переносят количественно в мерную колбу вместимостью 500 см3, прибавляют 50 см3 раствора азотнокислого алюминия, доводят объем раствора водой до метки и тщательно перемешивают.
Г.3 Приготовление фонового раствора
В колбу вместимостью 100 см3 помещают 20 см3 воды, прибавляют 10 см3 раствора азотнокислого алюминия, доводят объем раствора водой до метки и тщательно перемешивают.
При анализе сернокислого кальция в фоновый раствор прибавляют 0,5 см3 раствора соляной кислоты.
Г.4 Приготовление растворов сравнения
Для приготовления растворов сравнения в семь мерных колб вместимостью 100 см
3 каждая помещают по 20 см
3 воды и раствор, содержащий натрий и калий, в объемах, указанных в
таблице Г.1.
Таблица Г.1
Приготовление растворов сравнения
Номер раствора сравнения | Объем раствора концентрации по 0,02 мг/см3 Na и K, см3 | Масса каждого элемента (Na, K), введенного в раствор сравнения, мг | Концентрация элемента в растворе сравнения, мг/см3 | Массовая доля каждой примеси в растворе сравнения в пересчете на препарат при его концентрации 0,5 г/200 см3, % |
1 | 0,5 | 0,01 | 0,0001 | 0,01 |
2 | 1 | 0,02 | 0,0002 | 0,02 |
3 | 2 | 0,04 | 0,0004 | 0,04 |
4 | 4 | 0,08 | 0,0008 | 0,08 |
5 | 6 | 0,12 | 0,0012 | 0,12 |
6 | 8 | 0,16 | 0,0016 | 0,16 |
7 | 10 | 0,20 | 0,0020 | 0,20 |
Затем растворы перемешивают, доводят объем каждого раствора водой до метки и снова тщательно перемешивают.
(обязательное)
ПОДГОТОВКА К АНАЛИЗУ ДЛЯ ОПРЕДЕЛЕНИЯ МАССОВОЙ ДОЛИ ПРИМЕСИ
КАЛЬЦИЯ В СОЕДИНЕНИЯХ МАГНИЯ
Д.1 Средства измерения, реактивы и растворы
Используют средства измерения, реактивы и растворы, указанные в
разделе 6 настоящего стандарта, а также следующие растворы:
кислота соляная квалификации х.ч. по
ГОСТ 3118, раствор 1:3;
магний сернокислый квалификации х.ч. по
ГОСТ 4523, 20%-ный раствор;
магний хлористый по квалификации х.ч.,
ГОСТ 4209, 20%-ный раствор;
раствор, содержащий 0,1 мг Ca в 1 см
3; готовят соответствующим разбавлением раствора, приготовленного по
ГОСТ 4212.
Д.2 Приготовление растворов для анализа
Д.2.1 Для определения массовой доли примеси кальция в окиси магния 1,00 г препарата растворяют при нагревании в эквивалентном количестве раствора соляной кислоты до слабокислой реакции (по универсальной индикаторной бумаге), переносят количественно в мерную колбу вместимостью 100 см3, доводят объем раствора водой до метки и тщательно перемешивают.
Д.2.2 Для определения массовой доли примеси кальция в сернокислом магнии 4,00 г препарата растворяют в воде, переносят количественно в мерную колбу вместимостью 100 см3, доводят объем раствора водой до метки и тщательно перемешивают.
Д.2.3 Для определения массовой доли примеси кальция в хлористом магнии 5,00 г препарата растворяют в воде, переносят количественно в мерную колбу вместимостью 100 см3, доводят объем раствора водой до метки и тщательно перемешивают.
Д.2.4 Для определения массовой доли примеси кальция в основном углекислом магнии к 0,20 г препарата добавляют при постоянном помешивании небольшими порциями раствор соляной кислоты до полного растворения и прекращения газовыделения, переносят количественно в мерную колбу вместимостью 200 см3, доводят объем раствора водой до метки и тщательно перемешивают.
Д.2.5 Для определения массовой доли примеси кальция в азотнокислом магнии 3,00 г препарата растворяют в воде, переносят количественно в мерную колбу вместимостью 500 см3, доводят объем раствора водой до метки и тщательно перемешивают.
Д.3 Приготовление растворов сравнения
Д.3.1 Для определения массовой доли примеси кальция в окиси магния в шесть мерных колб вместимостью 100 см
3 каждая помещают по 25 см
3 раствора хлористого магния. Затем в пять колб вводят раствор, содержащий кальций, в объемах, указанных в
таблице Д.1.
Таблица Д.1
Приготовление растворов сравнения
Номер раствора сравнения | Объем раствора концентрации 0,1 мг/см3 Ca, см3 | Масса элемента, введенного в раствор сравнения, мг | Концентрация элемента в растворе сравнения, мг/см3 | Массовая доля примеси в растворе сравнения в пересчете на препарат при его концентрации 1 г/100 см3, % |
1 | 1 | 0,1 | 0,001 | 0,01 |
2 | 2 | 0,2 | 0,002 | 0,02 |
3 | 3 | 0,3 | 0,003 | 0,03 |
4 | 4 | 0,4 | 0,004 | 0,04 |
5 | 5 | 0,6 | 0,006 | 0,06 |
В шестой колбе - контрольный раствор без введения определяемых элементов.
Затем растворы перемешивают, доводят объем каждого раствора водой до метки и снова тщательно перемешивают.
Д.3.2 Для определения массовой доли примеси кальция в хлористом магнии в семь мерных колб вместимостью 100 см3 каждая помещают по 25 см3 раствора хлористого магния.
Затем в шесть колб вводят раствор, содержащий кальций, в объемах, указанных в
таблице Д.2.
Таблица Д.2
Приготовление растворов сравнения
Номер раствора сравнения | Объем раствора концентрации 0,1 мг/см3 Ca, см3 | Масса элемента, введенного в раствор сравнения, мг | Концентрация элемента в растворе сравнения, мг/см3 | Массовая доля примеси в растворе сравнения в пересчете на препарат при его концентрации 5 г/100 см3, % |
1 | 1 | 0,1 | 0,001 | 0,002 |
2 | 2 | 0,2 | 0,002 | 0,004 |
3 | 4 | 0,4 | 0,004 | 0,008 |
4 | 6 | 0,6 | 0,006 | 0,012 |
5 | 10 | 1,0 | 0,01 | 0,020 |
6 | 25 | 2,5 | 0,025 | 0,050 |
В седьмой колбе - контрольный раствор без введения определяемых элементов.
Затем растворы перемешивают, доводят объем каждого раствора водой до метки и снова перемешивают.
Д.3.3 Для определения массовой доли примеси кальция в сернокислом магнии в пять мерных колб вместимостью 100 см
3 каждая помещают по 20 см
3 раствора сернокислого магния. Затем в четыре колбы вводят раствор, содержащий кальций, в объемах, указанных в
таблице Д.3.
Таблица Д.3
Приготовление растворов сравнения
Номер раствора сравнения | Объем раствора концентрации 0,1 мг/см3 Ca, см3 | Масса элемента, введенного в раствор сравнения, мг | Концентрация элемента в растворе сравнения, мг/см3 | Массовая доля примеси в растворе сравнения в пересчете на препарат при его концентрации 4 г/100 см3, % |
1 | 2 | 0,2 | 0,002 | 0,005 |
2 | 4 | 0,4 | 0,004 | 0,010 |
3 | 8 | 0,8 | 0,008 | 0,020 |
4 | 20 | 2,0 | 0,020 | 0,050 |
В пятой колбе - контрольный раствор без введения определяемых элементов. Затем растворы перемешивают, доводят объем каждого раствора водой до метки и снова тщательно перемешивают.
Д.3.4 Для определения массовой доли примеси кальция в основном углекислом магнии в пять мерных колб вместимостью 100 см
3 каждая помещают по 1,0 см
3 раствора хлористого магния. Затем в четыре колбы вводят раствор, содержащий кальций, в объемах, указанных в
таблице Д.4.
Таблица Д.4
Приготовление растворов сравнения
Номер раствора сравнения | Объем раствора концентрации 0,1 мг/см3 Ca, см3 | Масса элемента, введенного в раствор сравнения, мг | Концентрация элемента в растворе сравнения, мг/см3 | Массовая доля примеси в растворе сравнения в пересчете на препарат при его концентрации 4 г/100 см3, % |
1 | 0,5 | 0,05 | 0,0005 | 0,05 |
2 | 1,0 | 0,10 | 0,0010 | 0,10 |
3 | 2,0 | 0,20 | 0,0020 | 0,20 |
4 | 3,0 | 0,30 | 0,0030 | 0,30 |
В пятой колбе - контрольный раствор без введения определяемых элементов.
Затем растворы перемешивают, доводят объем каждого раствора водой до метки и снова тщательно перемешивают.
Д.3.5 Для определения массовой доли примеси кальция в азотнокислом магнии в четыре мерные колбы вместимостью 500 см
3 каждая помещают объемы раствора, содержащего кальций, указанные в
таблице Д.5.
Таблица Д.5
Приготовление растворов сравнения
Номер раствора сравнения | Объем раствора концентрации 0,1 мг/см3 Ca, см3 | Масса элемента, введенного в раствор сравнения, мг | Концентрация элемента в растворе сравнения, мг/см3 | Массовая доля примеси в растворе сравнения в пересчете на препарат при его концентрации 3 г/500 см3, % |
1 | 3 | 0,3 | 0,0006 | 0,01 |
2 | 6 | 0,6 | 0,0012 | 0,02 |
3 | 12 | 1,2 | 0,0024 | 0,04 |
4 | 15 | 1,5 | 0,003 | 0,05 |
Затем растворы перемешивают, доводят объем каждого раствора водой до метки и снова тщательно перемешивают.
В качестве поправки используют результат, полученный при фотометрировании контрольного раствора.
(обязательное)
ПОДГОТОВКА К АНАЛИЗУ ДЛЯ ОПРЕДЕЛЕНИЯ МАССОВОЙ ДОЛИ ПРИМЕСИ
КАЛИЯ В СОЕДИНЕНИЯХ НАТРИЯ
Е.1 Средства измерения, вспомогательное оборудование, реактивы и растворы
Используют средства измерения, реактивы и растворы, указанные в
разделе 6 настоящего стандарта, а также следующие растворы и вспомогательное оборудование:
натрий азотнокислый по
ГОСТ 4168, 10%-ный раствор, не содержащий калий или с его минимальным содержанием;
натрий фосфорнокислый двузамещенный по
ГОСТ 4172, 10%-ный раствор, не содержащий калий или с минимальным его содержанием;
натрий хлористый, х.ч., по
ГОСТ 4233, 10%-ный раствор, не содержащий калий или с минимальным его содержанием;
раствор, содержащий 0,02 мг калия в 1 см
3; готовят соответствующим разбавлением раствора, приготовленного по
ГОСТ 4212;
Е.2 Приготовление растворов для анализа
Е.2.1 Для определения массовой доли примеси калия в двууглекислом, кристаллическом углекислом и безводном углекислом натрии 1,00 г препарата помещают в мерную колбу вместимостью 100 см3, растворяют в 30 см3 воды, осторожно прибавляют при перемешивании 2,5 см3 раствора соляной кислоты, доводят объем раствора водой до метки и снова тщательно перемешивают.
Е.2.2 Для определения массовой доли калия в азотистокислом, азотнокислом и хлористом натрии 1,00 г препарата помещают в мерную колбу вместимостью 100 см3, растворяют в 30 см3 воды, доводят объем раствора водой до метки и тщательно перемешивают.
Е.2.3 Для определения массовой доли примеси калия в двузамещенном фосфорнокислом натрии 1,00 г препарата помещают в мерную колбу вместимостью 100 см3, растворяют в воде при слабом нагревании, доводят объем раствора водой до метки и тщательно перемешивают.
Е.3 Приготовление растворов сравнения
Е.3.1 Для определения массовой доли примеси калия в двууглекислом, кристаллическом углекислом, безводном углекислом и хлористом натрии в девять мерных колб вместимостью 100 см3 каждая помещают раствор хлористого натрия особой чистоты, не содержащий калия, в объемах, эквивалентных содержанию натрия в анализируемом растворе:
7,0 см3 - для углекислого натрия;
4,1 см3 - для кристаллического углекислого натрия;
11,0 см3 - для безводного углекислого натрия;
10,0 см3 - для хлористого натрия.
Затем в восемь колб вводят раствор, содержащий калий, в объемах, указанных в
таблице Е.1.
Таблица Е.1
Приготовление растворов сравнения
Номер раствора сравнения | Объем раствора концентрации 0,02 мг/см3 K, см3 | Масса элемента, введенного в раствор сравнения, мг | Концентрация элемента в растворе сравнения, мг/см3 | Массовая доля примеси в растворе сравнения в пересчете на препарат при его концентрации 1 г/100 см3, % |
1 | 0,5 | 0,1 | 0,0001 | 0,001 |
2 | 1 | 0,02 | 0,0002 | 0,002 |
3 | 2 | 0,04 | 0,0004 | 0,004 |
4 | 3 | 0,06 | 0,0006 | 0,006 |
5 | 4 | 0,08 | 0,0008 | 0,008 |
6 | 6 | 0,12 | 0,0012 | 0,012 |
7 | 8 | 0,16 | 0,0016 | 0,016 |
8 | 10 | 0,20 | 0,0020 | 0,020 |
В девятой колбе - контрольный раствор без дополнительно введенных определяемых элементов.
Затем содержимое колб перемешивают, доводят объем каждого раствора водой до метки и снова тщательно перемешивают.
Е.3.2 Для определения массовой доли примеси калия в азотнокислом и азотистокислом натрии растворы сравнения и контрольный раствор готовят, как указано в
таблице Е.1, при этом в качестве фона в каждый раствор вводят раствор азотнокислого натрия, не содержащий калия:
10 см3 - для азотнокислого натрия;
12,2 см3 - для азотистокислого натрия.
Е.3.3 Для определения массовой доли примеси калия в двузамещенном фосфорнокислом натрии в шесть мерных колб вместимостью 100 см
3 каждая помещают по 20 см
3 воды и по 10 см
3 раствора фосфорнокислого двузамещенного натрия, не содержащего калия. Затем в пять колб вводят раствор, содержащий калий, в объемах, указанных в
таблице Е.2.
Таблица Е.2
Приготовление растворов сравнения
Номер раствора сравнения | Объем раствора концентрации 0,02 мг/см3 K, см3 | Масса элемента, введенного в раствор сравнения, мг | Концентрация элемента в растворе сравнения, мг/см3 | Массовая доля примеси в растворе сравнения в пересчете на препарат при его концентрации 1 г/100 см3, % |
1 | 0,5 | 0,01 | 0,0001 | 0,001 |
2 | 1,0 | 0,02 | 0,0002 | 0,002 |
3 | 2,0 | 0,04 | 0,0004 | 0,004 |
4 | 3,0 | 0,06 | 0,0006 | 0,006 |
5 | 4,0 | 0,08 | 0,0008 | 0,008 |
В шестой колбе - контрольный раствор без определяемых элементов.
Затем содержимое колб перемешивают, доводят объем каждого раствора водой до метки и снова тщательно перемешивают.
Растворы сравнения 1 - 3 готовят перед применением из более концентрированных растворов.
| ISO 3696:1987 | Water for analytical laboratory use - Specification and test methods (Вода для аналитического лабораторного применения. Технические требования и методы испытаний) |