Главная // Актуальные документы // ГОСТ (Государственный стандарт)СПРАВКА
Источник публикации
М.: Стандартинформ, 2018
Примечание к документу
Текст данного документа приведен с учетом
поправки, опубликованной в "ИУС", N 12, 2021.
Документ
введен в действие с 01.06.2018.
Взамен ГОСТ 20869-75.
Название документа
"ГОСТ 20869-2017 (ISO 2896:2001). Межгосударственный стандарт. Пластмассы ячеистые жесткие. Метод определения водопоглощения"
(введен в действие Приказом Росстандарта от 12.12.2017 N 1945-ст)
"ГОСТ 20869-2017 (ISO 2896:2001). Межгосударственный стандарт. Пластмассы ячеистые жесткие. Метод определения водопоглощения"
(введен в действие Приказом Росстандарта от 12.12.2017 N 1945-ст)
Приказом Федерального агентства
по техническому регулированию
и метрологии
от 12 декабря 2017 г. N 1945-ст
МЕЖГОСУДАРСТВЕННЫЙ СТАНДАРТ
ПЛАСТМАССЫ ЯЧЕИСТЫЕ ЖЕСТКИЕ
МЕТОД ОПРЕДЕЛЕНИЯ ВОДОПОГЛОЩЕНИЯ
Rigid cellular plastics.
Method for determination of water absorption
(ISO 2896:2001,
Rigid cellular plastics - Determination of water absorption,
MOD)
ГОСТ 20869-2017
(ISO 2896:2001)
Дата введения
1 июня 2018 года
Цели, основные принципы и основной порядок проведения работ по межгосударственной стандартизации установлены в
ГОСТ 1.0-2015 "Межгосударственная система стандартизации. Основные положения" и
ГОСТ 1.2-2015 "Межгосударственная система стандартизации. Стандарты межгосударственные, правила, рекомендации по межгосударственной стандартизации. Правила разработки, принятия, обновления и отмены"
1 ПОДГОТОВЛЕН Автономной некоммерческой организацией "Центр нормирования, стандартизации и классификации композитов" при участии Объединения юридических лиц "Союз производителей композитов" и Акционерного общества "Институт пластмасс имени Г.С. Петрова" на основе собственного перевода на русский язык англоязычной версии стандарта, указанного в
пункте 5
2 ВНЕСЕН Федеральным агентством по техническому регулированию и метрологии
3 ПРИНЯТ Межгосударственным советом по стандартизации, метрологии и сертификации (протокол от 30 ноября 2017 г. N 52)
За принятие проголосовали:
Краткое наименование страны по МК (ИСО 3166) 004-97 | Код страны по МК (ИСО 3166) 004-97 | Сокращенное наименование национального органа по стандартизации |
Беларусь | BY | Госстандарт Республики Беларусь |
Россия | RU | Росстандарт |
Таджикистан | TJ | Таджикстандарт |
Туркмения | TM | Главгосслужба "Туркменстандартлары" |
4 Приказом Федерального агентства по техническому регулированию и метрологии от 12 декабря 2017 г. N 1945-ст межгосударственный стандарт ГОСТ 20869-2017 (ISO 2896:2001) введен в действие в качестве национального стандарта Российской Федерации с 1 июня 2018 г.
5 Настоящий стандарт является модифицированным по отношению к международному стандарту ISO 2896:2001 "Поропласты жесткие. Определение водопоглощения" ("Rigid cellular plastics - Determination of water absorption", MOD).
Рисунок 2 исключен из текста стандарта, так как не содержит полезной информации, рисунок 3 и ссылки на позиции 5.5 - 5.7 перенесены в
приложение А, так как относятся к методике определения среднего диаметра ячеек.
Дополнительные фразы, слова, включенные в текст настоящего стандарта, выделены курсивом.
Ссылки на международные стандарты, которые не приняты в качестве межгосударственных стандартов, заменены на соответствующие межгосударственные стандарты.
Наименование настоящего стандарта изменено относительно наименования указанного международного стандарта для приведения в соответствие с ГОСТ 1.5
(подраздел 3.6).
Сопоставление структуры настоящего стандарта со структурой указанного международного стандарта приведено в
приложении ДА.
Сведения о соответствии ссылочных межгосударственных стандартов международным стандартам, использованным в качестве ссылочных в примененном международном стандарте, приведены в дополнительном
приложении ДБ
6 ВЗАМЕН ГОСТ 20869-75
Информация об изменениях к настоящему стандарту публикуется в ежегодном информационном указателе "Национальные стандарты", а текст изменений и поправок - в ежемесячном информационном указателе "Национальные стандарты". В случае пересмотра (замены) или отмены настоящего стандарта соответствующее уведомление будет опубликовано в ежемесячном информационном указателе "Национальные стандарты". Соответствующая информация, уведомление и тексты размещаются также в информационной системе общего пользования - на официальном сайте Федерального агентства по техническому регулированию и метрологии в сети Интернет (www.gost.ru)
Настоящий стандарт распространяется на жесткие ячеистые пластмассы и устанавливает метод определения водопоглощения. Метод используют для измерения выталкивающей силы, действующей на образец после его выдержки под слоем воды толщиной 50 мм в течение 4 сут или другого заданного времени. Для учета любых изменений объема образца, а также для корректировки объема воды в срезанных поверхностных ячейках образца при необходимости вводят поправки. Водопоглощение, %, выражают как среднеарифметическое значение увеличения объема нескольких образцов по отношению к их первоначальному объему.
Метод предназначен для контроля качества и использования при разработке нормативных документов и технической документации на продукцию.
В настоящем стандарте использованы нормативные ссылки на следующие межгосударственные стандарты:
ГОСТ 5632-2014 Легированные нержавеющие стали и сплавы коррозионно-стойкие, жаростойкие и жаропрочные. Марки
ГОСТ 12423-2013 (ISO 291:2008) Пластмассы. Условия кондиционирования и испытания образцов (проб)
ГОСТ 25015-2017 (ISO 1923:1981) Пластмассы ячеистые и пенорезины. Метод измерения линейных размеров
Примечание - При пользовании настоящим стандартом целесообразно проверить действие ссылочных стандартов в информационной системе общего пользования - на официальном сайте Федерального агентства по техническому регулированию и метрологии в сети Интернет или по ежегодному информационному указателю "Национальные стандарты", который опубликован по состоянию на 1 января текущего года, и по выпускам ежемесячного информационного указателя "Национальные стандарты" за текущий год. Если ссылочный стандарт заменен (изменен), то при пользовании настоящим стандартом следует руководствоваться заменяющим (измененным) стандартом. Если ссылочный стандарт отменен без замены, то положение, в котором дана ссылка на него, применяется в части, не затрагивающей эту ссылку.
Водопоглощение материала определяют путем измерения выталкивающей силы, действующей на образец, погруженный в дистиллированную воду на заданное время.
5 Средства измерений, оборудование
5.1 Весы, обеспечивающие взвешивание, г, с точностью до первого десятичного знака, допускающие установку рамки
(5.2).
5.2 Рамка для выдержки образцов в воде и гидростатического взвешивания,
прямоугольной формы, из нержавеющей стали
по ГОСТ 5632, стойкой к воздействию воды, размера, достаточного для размещения испытуемого образца. К рамке прикрепляют груз
массой 125 г для исключения всплывания образца. Держатель устанавливают на весы в подвешенном виде.
1 - рамка; 2 - образец; 3 - груз
Рисунок 1 - Рамка для взвешивания с образцом
5.3 Сосуд цилиндрической формы, диаметром не менее 250 мм и высотой 250 мм или
диаметром 120 мм, высотой 240 мм.
5.4 Пленка полимерная, например полиэтиленовая.
6.1 Количество образцов
Испытывают не менее трех образцов. Рекомендуется испытывать пять образцов.
6.2 Размеры
Рекомендуемый объем образца - не менее 500 см3, номинальные длина и ширина - 150 мм. Для материалов, изготавливаемых и поставляемых с поверхностной пленкой, толщина образца должна быть такой же, как и у изделия. Для материалов без поверхностной пленки толщиной более 75 мм образцы для испытаний подрезают до толщины 75 мм.
Неравномерность толщины образца должна быть в пределах 1% (допуск на параллельность).
Результаты испытаний образцов с поверхностной пленкой и без поверхностной пленки несопоставимы.
Допускается использовать образцы в виде куба с ребром (50,0 +/- 0,5) мм. При толщине испытуемого материала менее 50 мм допускается использовать образцы высотой не менее 15 мм. В этом случае толщина образца должна быть указана в протоколе испытаний.
Способ изготовления образцов и место их отбора указывают в нормативном документе или технической документации на конкретный продукт.
6.3 Подготовка и кондиционирование
Поверхности образца должны быть гладкими и чистыми, с ровной поверхностью, без видимых дефектов ячеистой структуры и механической обработки.
Образцы высушивают в эксикаторе при температуре окружающей среды до тех пор, пока результаты двух последовательных взвешиваний с интервалом не менее 12 ч не будут отличаться от их среднего значения менее чем на 1%.
Допускается перед испытанием не проводить высушивание, а кондиционировать образцы по ГОСТ 12423 в течение 24 ч при температуре (23 +/- 2) °C и относительной влажности (50 +/- 5)%, если в нормативном документе или технической документации на конкретный продукт нет других указаний.
7.1 Испытания проводят в помещении в соответствии с условиями по
ГОСТ 12423. Если нет других указаний, условия должны быть следующими: температура - (23 +/- 2) °C, относительная влажность - (50 +/- 5)%.
Для тропических стран условия испытания: температура - (27 +/- 2) °C, относительная влажность - (65 +/- 5)%.
Допускается проводить испытания при условиях окружающей среды.
7.2 Образец взвешивают, записывая результат взвешивания, г, с точностью до первого десятичного знака (масса m1).
7.3 Измеряют размеры образца по
ГОСТ 25015 и вычисляют первоначальный объем образца
V0 и полную геометрическую поверхность образца S.
7.4 Цилиндрический сосуд
(5.3) заполняют дистиллированной водой
(4.1) с температурой окружающей среды.
7.5 Рамку
(5.2) погружают в воду, удаляют пузыри, крепят к весам и определяют кажущуюся массу рамки
m2, записывая результат взвешивания, г, с точностью до первого десятичного знака.
7.6 Образец помещают в рамку и погружают рамку с образцом в воду так, чтобы расстояние между поверхностью воды и верхней поверхностью образца было около 50 мм. Заметные пузырьки воздуха удаляют с образца кистью или перемешиванием.
7.7 Цилиндрический сосуд накрывают полимерной пленкой
(5.4).
7.8 По истечении (96 +/- 1) ч или другого согласованного сторонами времени выдержки полимерную пленку удаляют и определяют кажущуюся массу погруженной рамки с образцом m3, записывая результат взвешивания, г, с точностью до первого десятичного знака.
7.9 Визуально контролируют форму образца.
Если образец сохранил исходную форму, далее применяют методику A
(8.1); если исходная форма образца изменилась, применяют методику B
(8.2).
7.10 Повторяют испытание для каждого образца.
8 Поправки на изменение формы и размеров образца и срезанные поверхностные ячейки
8.1 Методика A (сохранение исходной формы)
8.1.1 Назначение
Методику A используют при отсутствии признаков изменения исходной формы образца после выдержки.
8.1.2 Поправка
Образец извлекают из воды и проводят повторное измерение его размеров не более чем через 1 мин после извлечения.
Поправку S0 вычисляют по формуле

, (1)
где V1 - объем образца после выдержки, см3;
V0 - первоначальный объем образца, см
3 (см.
9.1);

,
где d1 - толщина образца после погружения, мм;
l1 - длина образца после погружения, мм;
b1 - ширина образца после погружения, мм.
8.1.3 Поправка на объем воды в срезанных поверхностных ячейках
8.1.3.1 В соответствии с
приложением А определяют средний диаметр
D, мм, ячейки образца, полученного из материала, из которого отбирались образцы для определения водопоглощения. Значение среднего диаметра ячейки используют для вычисления объема
Vc поверхностных ячеек, разрезанных при подготовке образца, по формулам:
- для образцов с поверхностной пленкой или ламинированной поверхностью:

, (2)
где D - средний диаметр разрезанных ячеек, мм;
l - длина образца после погружения, мм;
d - толщина образца после погружения, мм;
b - ширина образца после погружения, мм;
- для образцов без поверхностной пленки:

. (3)
8.1.3.2 Для образцов со средним диаметром ячейки менее 0,50 мм и объемом образца не менее 500 см3 поправка на срезанные поверхностные ячейки относительно мала (менее 3,0%) и может не учитываться.
8.2 Методика B (изменение исходной формы)
8.2.1 Назначение
Методику B используют при изменении исходной формы образца после выдержки.
8.2.2 Общая поправка на изменение формы образца и объем воды в срезанных поверхностных ячейках
Используют цилиндрический сосуд
(5.3), но оснащенный водосливной трубкой.
Наполняют сосуд водой до тех пор, пока вода не будет переливаться через слив. После стабилизации уровня воды под слив устанавливают градуированную емкость вместимостью не менее 600 см3, которая должна обеспечивать измерение объема переливаемой воды с погрешностью не более +/- 0,5 см3 (это можно сделать взвешиванием).
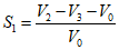
Образец с рамкой извлекают из сосуда и выдерживают на воздухе около 2 мин, чтобы дать стечь воде с поверхности. Затем образец с рамкой осторожно погружают в емкость, наполненную водой, и определяют объем вытесненной воды V2. Затем эту же процедуру повторяют с рамкой без образца и определяют объем вытесненной воды V3.
Общую поправку на изменение формы образца и объем воды в срезанных поверхностных ячейках S1 определяют по формуле

. (4)
9.1 Первоначальный объем образца
V0, см
3, вычисляют по формуле

. (5)
где d - первоначальная толщина образца, мм;
l - первоначальная длина образца, мм;
b - первоначальная ширина образца, мм.
9.2 Водопоглощение WAV, выраженное в объемных процентах, вычисляют по формулам:
9.2.1 При использовании методики A
(8.1):

, (6)
где

- плотность воды, равная 1 г/см
3.
9.2.2 При использовании методики B
(8.2):

. (7)
9.2.3 Водопоглощение по отношению к первоначальной полной поверхности WS, см3/м2, вычисляют по формуле

,
(8)
где S - полная геометрическая поверхность образца, см2.
9.3 За результат испытания принимают среднеарифметическое значение водопоглощения всех испытанных образцов.
Протокол испытания должен содержать:
a) ссылку на настоящий стандарт;
b) полную идентификацию материала для испытания;
c) подробную информацию о методе приготовления образцов, включая указание того, были ли образцы с поверхностной пленкой или без;
d) количество испытанных образцов и их размеры;
e) время погружения;
f) используемый метод определения поправки (
методика A или
B);
g) отдельные откорректированные результаты абсорбции воды и их среднее значение, выраженное в объемных процентах;
h) средний диаметр ячеек каждого образца и среднее значение по всем измеренным образцам, мм;
i) любые обнаруженные анизотропные характеристики образца;
j) любые наблюдения, касающиеся поведения образца;
k) дату проведения испытания.
(обязательное)
ОПРЕДЕЛЕНИЕ СРЕДНЕГО ДИАМЕТРА ЯЧЕЕК
А.1 Сущность метода
С помощью микротома делают срез образца толщиной менее размера ячейки. Проекцию среза выводят на экран с помощью проектора. Среднюю длину хорды ячейки определяют подсчетом ячеек или стенок ячеек в пределах заданного отрезка. Затем вычисляют средний диаметр ячейки.
А.2 Количество образцов
У ячеистых пластмасс с симметричными ячейками относительно однородного размера среднее значение диаметра ячейки можно достоверно получить на одном образце. У ячеистых пластмасс, проявляющих анизотропию, достоверно определить средний диаметр ячейки позволяют только срезы материала в каждом из трех основных направлений.
А.3 Порядок проведения
А.3.1 Оборудование
А.3.1.1 Микротом, способный делать срезы толщиной от 0,1 до 0,4 мм для определения размеров ячеек.
А.3.1.2 Слайд сборный, состоящий из двух стекол, соединенных с одной стороны липкой лентой, между которыми находится откалиброванная шкала длиной 3 см, отпечатанная на тонкой полимерной пленке (см.
рисунок А.1).
В сантиметрах
1 - откалиброванный слайд из стекла; 2 - петля из клейкой
ленты; 3 - покровное стекло; 4 - шкалы для подсчета ячеек
Рисунок А.1 - Сборный слайд
А.3.1.3 Проектор, предназначенный для просмотра слайдов 50 x 50 мм, или микроскоп, проецирующий с откалиброванной шкалой.
А.3.2 В каждом направлении предполагаемого определения среднего диаметра ячейки вырезают образец размером 50 x 50 мм и толщиной, равной толщине материала. Из образца с помощью микротома готовят срезы (толщиной менее ячейки) по одному срезу с каждой срезанной поверхности. Срезы должны быть максимально тонкими, чтобы изображение не портили перекрывающиеся стенки ячеек. Оптимальная толщина среза варьируется в зависимости от среднего размера ячеек материала: чем меньше ячейки материала, тем тоньше должны быть срезы.
А.3.3 Срез закрепляют в слайде. Нуль шкалы устанавливают на линию сетки поверх измеряемой области. Слайд собирают.
А.3.4 Слайд вставляют в проектор. Проектор направляют на стену и фокусируют изображение до получения резкой картинки.
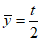
А.3.5 По спроецированной картинке определяют среднюю длину хорды ячейки
t, см, следующим образом.
Сначала подсчитывают количество ячеек (или стенок ячеек), пересекающих прямую линию длиной 3 см, проецированную на срез. Затем делят длину линии на подсчитанное количество ячеек для получения средней длины хорды t. Если длина среза менее 3 см, подсчитывают ячейки вдоль максимально возможной длины.
А.3.6 Если ячеистая структура анизотропная, определяют средний диаметр ячейки в каждом из трех основных направлений и используют среднеарифметическое значение трех результатов.
А.4 Обработка результатов
Средний диаметр ячейки D, см, определяют по формуле

, (А.1)
где t - средняя длина хорды ячейки, см.
Полученное значение умножают на 10, чтобы получить результат, выраженный в миллиметрах; результат указывают с точностью до двух значащих цифр.
Примечание - При выведении формул для среднего диаметра ячейки используют следующие допущения: форма ячейки является сферой, все ячейки имеют примерно одинаковые размеры. В
А.3.5 описан метод определения
t - среднего значения длин хорд произвольно разрезанных ячеек. Отношение между
t и средним диаметром ячейки
D в плоскости реза можно вычислить по формуле:
Для любой окружности x2 + y2 = r2.
Тогда среднее значение ординаты в первой четверти выражается формулой

, (А.2)
где r - радиус ячейки в плоскости поверхности.

,
тогда

. (А.3)
Так как

, то

. (А.4)

. (А.5)
Средний диаметр кругового сегмента
d относится к диаметру сферы
D аналогично. Средний диаметр сферы больше среднего диаметра кругового сегмента
d, так как ячейки произвольно обрезаются по глубине в плоскости поверхности образца. Снова применяют
формулу (А.4) и рассчитывают по формуле среднее значение диаметра сферы в зависимости от длины хорды

. (А.6)

. (А.7)
(справочное)
СОПОСТАВЛЕНИЕ СТРУКТУРЫ НАСТОЯЩЕГО СТАНДАРТА СО СТРУКТУРОЙ
ПРИМЕНЕННОГО В НЕМ МЕЖДУНАРОДНОГО СТАНДАРТА
Таблица ДА.1
Структура настоящего стандарта | Структура международного стандарта ISO 2896:2001 |
| 10 Прецизионность и достоверность |
- | 11 Протокол испытания |
Приложения | | Приложения | А |
ДА | - |
| - |
Примечание - Сопоставление структуры стандартов приведено начиная с раздела 10, так как предыдущие разделы стандартов и их иные структурные элементы (за исключением предисловия) идентичны. |
(справочное)
СВЕДЕНИЯ О СООТВЕТСТВИИ ССЫЛОЧНЫХ МЕЖГОСУДАРСТВЕННЫХ
СТАНДАРТОВ МЕЖДУНАРОДНЫМ СТАНДАРТАМ, ИСПОЛЬЗОВАННЫМ
В КАЧЕСТВЕ ССЫЛОЧНЫХ В ПРИМЕНЕННОМ МЕЖДУНАРОДНОМ СТАНДАРТЕ
Таблица ДБ.1
Обозначение ссылочного межгосударственного стандарта | Степень соответствия | Обозначение и наименование ссылочного международного стандарта |
| MOD | ISO 291 "Пластмассы. Стандартные атмосферы для кондиционирования и испытания" |
| MOD | ISO 1923:1981 "Ячеистые пластмассы и резины. Определение линейных размеров" |
Примечание - В настоящей таблице использовано следующее условное обозначение степени соответствия стандартов: - MOD - модифицированные стандарты. |
УДК 678.5-405.8620.193.19:006.354 | | MOD |
Ключевые слова: пластмассы ячеистые жесткие, водопоглощение, образцы, набухание |