Главная // Актуальные документы // ГОСТ (Государственный стандарт)СПРАВКА
Источник публикации
М.: Стандартинформ, 2019
Примечание к документу
Текст данного документа приведен с учетом
поправки, опубликованной в "ИУС", N 8, 2020.
Документ
введен в действие с 01.07.2020.
Взамен ГОСТ ISO 1304-2013.
Название документа
"ГОСТ ISO 1304-2019. Межгосударственный стандарт. Ингредиенты резиновой смеси. Углерод технический. Определение числа адсорбции йода"
(введен в действие Приказом Росстандарта от 25.10.2019 N 834-ст)
"ГОСТ ISO 1304-2019. Межгосударственный стандарт. Ингредиенты резиновой смеси. Углерод технический. Определение числа адсорбции йода"
(введен в действие Приказом Росстандарта от 25.10.2019 N 834-ст)
по техническому регулированию
и метрологии
от 25 октября 2019 г. N 834-ст
МЕЖГОСУДАРСТВЕННЫЙ СТАНДАРТ
ИНГРЕДИЕНТЫ РЕЗИНОВОЙ СМЕСИ.
УГЛЕРОД ТЕХНИЧЕСКИЙ
ОПРЕДЕЛЕНИЕ ЧИСЛА АДСОРБЦИИ ЙОДА
Rubber compounding ingredients. Carbon black.
Determination of iodine adsorption number
(ISO 1304:2016, IDT)
ГОСТ ISO 1304-2019
Дата введения
1 июля 2020 года
Цели, основные принципы и общие правила проведения работ по межгосударственной стандартизации установлены
ГОСТ 1.0 "Межгосударственная система стандартизации. Основные положения" и
ГОСТ 1.2 "Межгосударственная система стандартизации. Стандарты межгосударственные, правила и рекомендации по межгосударственной стандартизации. Правила разработки, принятия, обновления и отмены"
1 ПОДГОТОВЛЕН Федеральным государственным унитарным предприятием "Всероссийский научно-исследовательский институт стандартизации материалов и технологий" (ФГУП "ВНИИ СМТ"), Межгосударственным техническим комитетом по стандартизации МТК 542 "Продукция нефтехимического комплекса" на основе собственного перевода на русский язык англоязычной версии стандарта, указанного в
пункте 5
2 ВНЕСЕН Федеральным агентством по техническому регулированию и метрологии
3 ПРИНЯТ Межгосударственным советом по стандартизации, метрологии и сертификации (протокол от 30 сентября 2019 г. N 122-П)
За принятие проголосовали:
Краткое наименование страны по МК (ИСО 3166) 004-97 | Код страны по МК (ИСО 3166) 004-97 | Сокращенное наименование национального органа по стандартизации |
Беларусь | BY | Госстандарт Республики Беларусь |
Казахстан | KZ | Госстандарт Республики Казахстан |
Киргизия | KG | Кыргызстандарт |
Россия | RU | Росстандарт |
Таджикистан | TJ | Таджикстандарт |
Узбекистан | UZ | Узстандарт |
Украина | UA | Минэкономразвития Украины |
4
Приказом Федерального агентства по техническому регулированию и метрологии от 25 октября 2019 г. N 834-ст межгосударственный стандарт ГОСТ ISO 1304-2019 введен в действие в качестве национального стандарта Российской Федерации с 1 июля 2020 г.
5 Настоящий стандарт идентичен международному стандарту ISO 1304:2016 "Ингредиенты резиновой смеси. Технический углерод. Определение числа адсорбции йода" ("Rubber compounding ingredients - Carbon black - Determination of iodine adsorption number", IDT).
Международный стандарт разработан подкомитетом SC 3 "Сырье (включая латекс) для резиновой промышленности" Технического комитета по стандартизации ISO/TC 45 "Каучук и резиновые изделия" Международной организации по стандартизации (ISO).
При применении настоящего стандарта рекомендуется использовать вместо ссылочных международных стандартов соответствующие им межгосударственные стандарты, сведения о которых приведены в дополнительном
приложении ДА
6 ВЗАМЕН ГОСТ ISO 1304-2013
Информация о введении в действие (прекращении действия) настоящего стандарта и изменений к нему на территории указанных выше государств публикуется в указателях национальных стандартов, издаваемых в этих государствах, а также в сети Интернет на сайтах соответствующих национальных органов по стандартизации.
В случае пересмотра, изменения или отмены настоящего стандарта соответствующая информация будет опубликована на официальном интернет-сайте Межгосударственного совета по стандартизации, метрологии и сертификации в каталоге "Межгосударственные стандарты"
Предупреждение - Пользователи настоящего стандарта должны обладать навыками практической работы в лаборатории. Настоящий стандарт не предусматривает рассмотрение всех проблем безопасности, связанных с его применением. Пользователь настоящего стандарта несет ответственность за соблюдение техники безопасности и охрану здоровья, а также обеспечивает применение законодательных ограничений перед его использованием.
Настоящий стандарт устанавливает метод определения числа адсорбции йода (далее - йодного числа) технического углерода, предназначенного для использования в резиновой промышленности. Приведены два метода титрования:
- метод A - титрование с использованием бюретки и крахмала в качестве индикатора;
- метод B - потенциометрическое титрование автоматическим титратором.
Йодное число характеризует поверхность технического углерода, которая обычно соответствует поверхности, определяемой по адсорбции азота. Однако йодное число существенно снижается при высоком содержании летучих веществ или веществ, экстрагируемых растворителями; поэтому йодное число не следует рассматривать как показатель удельной поверхности технического углерода. Старение технического углерода также может влиять на значение йодного числа.
В случае разногласий предпочтительным является метод B (потенциометрическое титрование).
В настоящем стандарте использованы нормативные ссылки на следующие международные стандарты [для датированных ссылок применяют только указанное издание ссылочного стандарта, для недатированных - последнее издание (включая все изменения к нему)]:
ISO 385, Laboratory glassware - Burettes (Посуда лабораторная стеклянная. Бюретки)
ISO 648, Laboratory glassware - Single-volume pipettes (Посуда лабораторная стеклянная. Пипетки с одной меткой)
ISO 1042, Laboratory glassware - One-mark volumetric flasks (Посуда лабораторная стеклянная. Мерные колбы с одной меткой)
ISO 1126, Rubber compounding ingredients - Carbon black - Determination of loss on heating (Ингредиенты резиновой смеси. Технический углерод. Определение потерь при нагревании)
Пробу технического углерода высушивают, взвешивают и тщательно смешивают с отмеренным объемом стандартизованного раствора йода. Затем смесь центрифугируют. Отмеренный объем чистого раствора йода титруют стандартизованным раствором тиосульфата натрия. Йодное число технического углерода вычисляют, используя объем раствора, израсходованный на титрование и массу пробы.
Используют стандартное лабораторное оборудование (стаканы, воронки, фарфоровую ложку, стаканчики для взвешивания и др.), а также следующее оборудование.
4.1 Аналитические весы чувствительностью:
b) 0,1 мг (для других пунктов настоящего стандарта).
4.2 Сушильный шкаф с естественной конвекцией, обеспечивающий поддержание температуры (125 +/- 1) °C и ее равномерное распределение в пределах +/- 5 °C.
4.3 Мерные колбы с одной меткой и притертой пробкой, предпочтительно класса A по ISO 1042, вместимостью:
a) (2000,00 +/- 0,60) см3;
b) (1000,00 +/- 0,40) см3.
4.4 Дозирующее устройство вместимостью 25 см
3, откалиброванной с точностью до +/- 0,03 см
3 или пипетка с одной меткой высокой точности, вместимостью:
a) (20,00 +/- 0,03) см3;
b) (25,00 +/- 0,03) см3.
Если используют пипетки класса A по ISO 648, калибровку не проводят. Другие пипетки калибруют с точностью до 0,01 см
3 по дистиллированной воде; используют температурную поправку, если необходимо показать действительный объем, задаваемый с точностью до 0,01 см
3. Действительный задаваемый объем - считываемый объем плюс (или минус) калибровочная поправка на этот объем. Для высокоточного определения объема (см.
7.2.2,
7.3.2,
8.3.3,
8.3.6 и
8.3.8) рекомендуется, чтобы пипетки вместимостью 20 и 25 см
3 имели одно и то же значение калибровочной поправки.
4.5 Цифровые бюретки с ценой деления 0,01 см
3, оснащенные кнопкой обнуления, откалиброванные с точностью до +/- 0,05 см
3 или бюретки (только для метода A) высокой точности, заполняемые сбоку, градуированные через 0,05 см
3 с автоматическим возвратом на нуль следующих вместимостей:
a) (25,00 +/- 0,05) см3;
b) (50,00 +/- 0,05) см3.
Если используют бюретки класса A по ISO 385, калибровку не проводят. Другие бюретки калибруют с точностью до 0,01 см3 по дистиллированной воде; используют температурную поправку, если необходимо показать действительный объем, задаваемый с точностью до 0,01 см3. Действительный задаваемый объем - считываемый объем плюс (или минус) калибровочная поправка на этот объем.
4.6 Бутыли из темного стекла вместимостью 250 и 500 см
3 с притертой пробкой.
4.7 Стеклянная бутыль вместимостью 2000 см
3 с притертой пробкой.
4.8 Бутыли из желтого стекла вместимостью 1000 и 2000 см
3 с притертой пробкой.
4.9 Центрифужные пробирки вместимостью 50 см
3 с навинчивающейся крышкой и полиэтиленовой прокладкой.
Не допускается использовать корковые, резиновые или металлические пробки.
4.10 Механическое встряхивающее устройство, совершающее 240 колебаний в минуту с амплитудой 25 мм.
4.11 Центрифуга с угловой скоростью вращения не менее 105 рад/с (1000 об/мин).
4.12 Эксикатор с силикагелем в качестве осушителя.
4.13 Магнитные мешалки с вращающимися лопастями.
4.14 Автоматический титратор (только для метода B), оснащенный комбинированным электродом для потенциометрического титрования.
Если нет других указаний, химические вещества должны быть квалификации ч.д.а.
5.1 Вода деионизованная или дистиллированная.
5.5 Пентагидрат тиосульфата натрия (Na
2S
2O
3·5H
2O).
5.6
н-Амиловый спирт (C
5H
11OH).
5.7 Серная кислота (H
2SO
4), массовая доля 98%, плотностью

.
5.8 Растворимый крахмал (только для метода A).
5.9 Салициловая кислота (C
7H
6O
3) (только для метода A).
6 Приготовление растворов
6.1 Раствор йода концентрацией 0,02364 моль/дм3 (0,04728 н), содержащий 9,5 частей йодида калия на 1 часть йода
Примечание - Поскольку результат испытания зависит от концентрации раствора йода и йодида калия, необходимо точно следовать инструкциям по приготовлению и стандартизации раствора (см.
7.3).
6.1.1 Взвешивают 114,00 г йодида калия (см.
5.3) с точностью до 0,01 г в химический стакан вместимостью 100 см
3.
6.1.2 Помещают через воронку большого диаметра приблизительно 3/4 KI в чистую мерную колбу вместимостью 2000 см
3 (см.
4.3).
6.1.3 Добавляют воду (см.
5.1) в объеме, достаточном для покрытия всего KI. Вращательными движениями растворяют содержимое колбы и выдерживают раствор до достижения температуры окружающей среды.
6.1.4 Помещают оставшийся KI в химический стакан вместимостью 250 см
3 с объемом воды (см.
5.1), достаточным для его растворения.
6.1.5 Взвешивают на весах [см.
4.1a)] в стаканчике для взвешивания с пришлифованной крышкой 12,00 г йода с точностью до 0,01 г. Кристаллы йода переносят только фарфоровой ложкой, перед взвешиванием стаканчик для взвешивания закрывают.
6.1.6 Используя воронку, добавляют йод в раствор йодида калия, приготовленный по
6.1.3.
6.1.7 Тщательно промывают стаканчик для взвешивания порциями раствора KI, приготовленного по
6.1.4, до обесцвечивания и переносят промывные воды с помощью воронки в мерную колбу вместимостью 2000 см
3.
6.1.8 Промывают воронку оставшимся раствором KI, приготовленным по
6.1.4.
6.1.9 Добавляют воду (см.
5.1), заполняя почти полностью мерную колбу, укупоривают ее притертой стеклянной пробкой, гомогенизируют раствор 2 - 3 раза вращательными движениями и выдерживают приблизительно 1 ч.
6.1.10 Открывают колбу, доводят объем до метки водой (см.
5.1), помещают в колбу лопасти, устанавливают колбу на магнитную мешалку (см.
4.13) и перемешивают со средней скоростью в течение 2 ч.
При средней скорости перемешивания глубина водоворота должна быть примерно 5 мм.
6.1.11 Переносят раствор в бутыль из желтого стекла (см.
4.8) и перед использованием выдерживают в течение ночи.
6.2 Раствор тиосульфата натрия концентрацией 0,05 моль/дм3 (0,05 н)
Примечание - Ранее использовали раствор тиосульфата натрия концентрацией 0,0394 моль/дм3 (0,0394 н). Поскольку концентрация раствора тиосульфата не влияет на йодное число, в настоящем методе используют имеющийся в продаже раствор концентрацией 0,05 моль/дм3 (0,05 н). При необходимости его можно приготовить из твердого тиосульфата натрия, как описано ниже.
Допускается использовать раствор тиосульфата натрия концентрацией 0,0394 моль/дм3 (0,0394 н). В этом случае должны быть соответствующим образом скорректированы процедура приготовления раствора, формулы, используемые для его стандартизации, и формулы, используемые при вычислении йодного числа.
6.2.1 Взвешивают в подходящем сосуде 24,817 г пентагидрата тиосульфата натрия (см.
5.5) с точностью до 0,005 г.
6.2.2 Переносят с помощью воронки взвешенный тиосульфат натрия в мерную колбу вместимостью 2000 см
3 (см.
4.3).
6.2.3 Добавляют через воронку приблизительно 1 дм
3 воды (см.
5.1). Тщательно промывают воронку.
6.2.4 Добавляют в колбу 10 см
3 н-амилового спирта (см.
5.6) и тщательно встряхивают раствор в колбе до полного растворения кристаллов.
6.2.5 Доводят объем раствора до метки водой (см.
5.1), помещают лопасти в колбу, устанавливают колбу на магнитную мешалку и перемешивают в течение 2 ч при средней скорости (см.
6.1.10).
6.2.6 Переносят раствор в стеклянную бутыль (см.
4.7).
6.3 Раствор йодата/йодида калия концентрацией c (KIO3) = 0,00833 моль/дм3 (0,05 н)
6.3.1 Высушивают в сушильном шкафу (см.
4.2) при температуре 125 °C в течение 1 ч достаточное количество йодата калия (см.
5.4). Охлаждают в эксикаторе (см.
4.12) до температуры окружающей среды.
6.3.2 Растворяют в мерной колбе вместимостью 1000 см
3 (см.
4.3) 57,0 г (взвешенного с точностью до 0,1 г) йодида калия (см.
5.3) приблизительно в 200 см
3 воды (см.
5.1). Выдерживают до достижения раствором температуры окружающей среды.
6.3.3 Взвешивают 1,7833 г свежевысушенного йодата калия (см.
5.4) с точностью до 0,1 мг и переносят в мерную колбу с раствором йодида калия.
6.3.4 Доводят объем раствора до метки с водой (см.
5.1). Укупоривают колбу и гомогенизируют раствор, вращая колбу 4 - 5 раз.
6.3.5 Переносят раствор в бутыль из желтого стекла (см.
4.8).
Примечание - Раствор йодата/йодида калия является исходным стандартным раствором в настоящем методе испытания, поэтому важно соблюдать все меры предосторожности для обеспечения точности его приготовления.
6.4 Раствор серной кислоты, приблизительно 20% масс.
6.4.1 Отмеряют мерным цилиндром 175 см
3 воды (см.
5.1) и переносят в коническую колбу вместимостью 250 см
3.
6.4.2 Отмеряют мерным цилиндром небольшой вместимости 25 см
3 концентрированной серной кислоты (см.
5.7).
6.4.3 Очень осторожно вливают кислоту в колбу с водой (см.
6.4.1) и слегка перемешивают. Ополаскивают мерный цилиндр разбавленной кислотой из колбы и переносят ее в ту же колбу. Воду для ополаскивания не используют.
6.4.4 Переносят раствор в бутыль вместимостью 250 см
3 (см.
4.6), укупоривают ее и перед использованием охлаждают раствор до температуры окружающей среды.
6.5 Раствор крахмального индикатора, 0,25% масс. (только для метода A)
6.5.1 В химический стакан вместимостью 50 см
3 помещают 2,5 г порошка растворимого крахмала (см.
5.8), 2 мг салициловой кислоты (см.
5.9) и 25 см
3 воды (см.
5.1), затем перемешивают стеклянной палочкой.
6.5.2 Доводят на плитке до кипения 1000 см
3 воды (см.
5.1) в химическом стакане вместимостью 2000 см
3.
6.5.3 Вливают в кипящую воду приготовленную по
6.5.1 суспензию крахмала и кипятят при перемешивании приблизительно 10 мин.
6.5.4 Охлаждают раствор до температуры окружающей среды и осаждения, сливают осветленный раствор в бутыль вместимостью 500 см
3 (см.
4.6) и укупоривают бутыль.
7 Стандартизация растворов
7.1 Общие положения
Для стандартизации раствора тиосульфата натрия в качестве исходного стандартного раствора используют раствор йодата/йодида калия. Этот раствор тиосульфата натрия затем используют в качестве вторичного стандарта для стандартизации раствора йода.
7.2 Раствор тиосульфата натрия
7.2.1 Наполняют стеклянную (или цифровую) бюретку (см.
4.5) нестандартизованным раствором тиосульфата натрия (см.
6.2) через 24 ч после его приготовления. Через кончик бюретки сливают от 2 до 3 см
3 раствора и записывают показания объема раствора (для цифровой бюретки промывают входную и подающую трубки и устанавливают на нуль).
7.2.2 Переносят пипеткой (см.
4.4) точно 20 см
3 раствора йодата/йодида калия (см.
6.3) в коническую колбу вместимостью 250 см
3 или в химический стакан для титрования с цифровой бюреткой.
7.2.3 Добавляют приблизительно 3 см
3 20%-ной серной кислоты (см.
6.4) для выделения йода. Тщательно перемешивают.
7.2.4 Титрование в присутствии крахмального индикатора (метод A)
7.2.4.1 Добавляют в колбу из бюретки тиосульфат натрия до получения раствора бледно-желтого цвета. Промывают кончик бюретки и стенки колбы водой (см.
5.1).
7.2.4.2 Добавляют приблизительно 5 см
3 крахмального индикатора (см.
6.5).
7.2.4.3 По каплям добавляют раствор тиосульфата натрия, пока почти не исчезнет синяя или сине-фиолетовая окраска раствора. Промывают сливной кончик бюретки и стенки колбы водой (см.
5.1).
7.2.4.4 Медленно по каплям добавляют раствор тиосульфата натрия (или устанавливают счетчик цифровой бюретки на деление 0,01 см3) до полного обесцвечивания синей окраски раствора.
7.2.4.5 Записывают объем раствора, израсходованный на титрование
V1, с точностью до 0,025 см
3 (или 0,01 см
3).
Рекомендуется для более эффективного использования стеклянной бюретки применять увеличительное стекло для считывания показаний бюретки с точностью до 0,025 см3.
7.2.4.6 При повторном определении выполняют последовательно процедуры по
7.2.2 -
7.2.4.5.
7.2.4.7 Переходят к процедуре по
7.2.6.
7.2.5 Потенциометрическое титрование (метод B) - предпочтительный метод
7.2.5.1 Помещают химический стакан для титрования в автоматический титратор, погружают в раствор электрод и титруют раствором тиосульфата натрия в соответствии с инструкциями изготовителя.
7.2.5.2 После окончания титрования считывают объем раствора, израсходованный на титрование
V1 с дисплея титратора, с точностью до 0,01 см
3.
7.2.6 Вычисляют концентрацию раствора тиосульфата натрия
c1, моль/дм
3, по формуле

, (1)
где 20 - объем титрованного раствора йодата/йодида калия (см.
6.3), см
3;
6 - стехиометрический коэффициент;
0,008333 - концентрация раствора йодата/йодида калия (см.
6.3), моль/дм
3;
V1 - среднеарифметическое значение двух определений объема раствора, израсходованного на титрования, см3.
7.3.1 Наполняют стеклянную (или цифровую) бюретку стандартизованным раствором тиосульфата натрия, как указано в
7.2.1.
7.3.2 В коническую колбу вместимостью 250 см
3 или химический стакан для титрования с цифровой бюреткой пипеткой (см.
4.4) переносят точно 20 см
3 нестандартизованного раствора йода (см.
6.1).
7.3.3 Титруют содержимое колбы стандартизованным раствором тиосульфата натрия, следуя процедуре, описанной в
7.2.4 или
7.2.5.
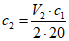
7.3.4 Вычисляют концентрацию раствора йода c2, моль/дм3, по формуле

, (2)
где V2 - среднеарифметическое значение двух определений объема раствора, израсходованного на титрование, см3;
c1 - концентрация стандартизованного раствора тиосульфата натрия, вычисленная по
7.2.6, моль/дм
3;
2 - стехиометрический коэффициент;
20 - объем нестандартизованного титрованного раствора йода, см3.
7.3.5 Приемлемой концентрацией раствора йода считают
c2 = (0,02364 +/- 0,00005) моль/дм
3.
Если концентрация выходит за пределы указанного диапазона, раствор корректируют следующим образом:
- если концентрация раствора выше, добавляют воду (см.
5.1) - 4.2 см
3 воды на 1000 см
3 раствора для каждых 0,0001 моль/дм
3 концентрации выше 0,02364 моль/дм
3;
- если концентрация раствора ниже, добавляют йод - 0,0254 г йода на 1000 см3 раствора для каждых 0,0001 моль/дм3 концентрации ниже 0,02364 моль/дм3.
Примечание - Йод удобнее удалять из концентрированного раствора.
В любом случае необходимо тщательно гомогенизировать скорректированный раствор и повторить всю процедуру стандартизации (см.
7.3).
8.1 Условия проведения испытания
Рекомендуется проводить испытание в помещении при температуре (23 +/- 2) °C и относительной влажности (50 +/- 5)% или при температуре (27 +/- 2) °C при относительной влажности (65 +/- 5)%.
Перед использованием рекомендуется выдерживать реактивы и аппаратуру при той же температуре, в том же помещении несколько часов.
Испытания проводят при отсутствии дыма или паров, загрязняющих используемые реагенты и аппаратуру, что может повлиять на результаты испытаний.
8.2 Подготовка пробы
Высушивают достаточную массу технического углерода при температуре 125 °C в течение 1 ч, как указано в ISO 1126. Охлаждают в эксикаторе до температуры окружающей среды. Высушенный технический углерод хранят в эксикаторе до проведения испытания. Стандартные образцы технического углерода должны быть высушены до постоянной массы.
Примечание - Гранулы технического углерода должны быть целыми. При необходимости перед сушкой можно уплотнить рыхлый, негранулированный технический углерод.
8.3 Определение йодного числа
8.3.1 Взвешивают с точностью до 0,1 мг пробу высушенного технического углерода согласно
таблице 1 в центрифужной пробирке (см.
4.9).
Таблица 1
Предполагаемое или номинальное йодное число IAN, г/кг | Масса пробы m, мг | Соотношение объема раствора йода к массе пробы, см3/г |
0 - 130,9 | 500,0 | 50:1 |
131,0 - 280,9 | 250,0 | 100:1 |
281,0 - 520,9 | 125,0 | 200:1 |
521,0 и более | 62,5 | 400:1 |
Используют массу навески, соответствующую предполагаемому йодному числу. Если результат не попадает в указанный диапазон для конкретной массы, испытание повторяют, используя массу, соответствующую диапазону, в который попадает результат.
8.3.2 Масса пробы, приведенная в
таблице 1, действительна только при использовании раствора йода объемом 25 см
3, как установлено в
8.3.3. Допускается использовать другой объем раствора йода и другую массу пробы только в том случае, если соотношение объема раствора йода к массе пробы соответствует указанному в
таблице 1.
При использовании центрифужной пробирки вместимостью 50 см3 масса пробы должна быть не более 1,000 г. Если необходимо увеличить массу пробы и соответствующий объем раствора йода, для обеспечения эффективного встряхивания используют пробирку подходящей вместимости.
8.3.3 Пипеткой или многоразовым дозатором (см.
4.4) вводят 25 см
3 раствора йода концентрацией 0,02364 моль/дм
3 в центрифужную пробирку, содержащую пробу, и сразу укупоривают.
8.3.4 Помещают пробирку в механическое встряхивающее устройство (см.
4.10) таким образом, чтобы продольная ось пробирки была параллельна направлению встряхивания, и встряхивают 1 мин при 240 колебаниях в минуту.
8.3.5 Сразу после встряхивания центрифугируют при угловой скорости приблизительно 105 рад/с (1000 об/мин) в течение 1 мин гранулированный технический углерод или 3 мин негранулированный технический углерод, считая с момента достижения угловой скорости центрифугирования 105 рад/с.
8.3.6 Сразу после центрифугирования полностью сливают раствор йода одним плавным движением в химический стакан вместимостью 50 см
3, оставив навеску технического углерода на дне центрифужной пробирки. Сразу после слива пипеткой (см.
4.4) переносят точно 20 см
3 раствора в коническую колбу вместимостью 250 см
3.
Допускается отбирать 20 см3 раствора йода пипеткой прямо из центрифужной пробирки, не касаясь технического углерода.
Если титрование проводят не сразу, сливают раствор в сосуд небольшой вместимости и сразу же укупоривают.
8.3.7 Титруют 20 см
3 слитого раствора йода стандартизованным раствором тиосульфата натрия концентрацией 0,05 моль/дм
3 в соответствии с процедурой, описанной в
7.2.4 (титрование в присутствии крахмального индикатора) или
7.2.5 (автоматическим титратором).
8.3.8 Повторяя последовательно процедуры по
8.3.3 -
8.3.7, проводят холостое определение, используя раствор йода, и записывают объем раствора, израсходованный на титрование
VB, с точностью до 0,025 см
3 (или 0,01 см
3) (см.
7.2.4.5).
8.3.9 Проводят повторное холостое определение, в вычислениях используют среднеарифметическое значение результатов двух определений.
Примечание - Если новые растворы не используют в течение дня, повторное холостое определение проводят один раз в день. Для лабораторий, работающих посменно, рекомендуется проводить повторные холостые определения в начале каждой смены.
8.3.10 Если концентрация растворов тиосульфата натрия и йода находится в допустимых пределах, то среднеарифметическое значение холостой пробы должно быть (18,91 +/- 0,05) см3, в противном случае следует проверить концентрацию одного или обоих растворов.
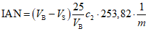
Вычисляют йодное число IAN, грамм йода на килограмм технического углерода, с точностью до 0,1 г/кг по формуле

, (3)
где VB - объем раствора тиосульфата натрия, необходимый для титрования холостой пробы, см3;
VS - объем раствора тиосульфата натрия, необходимый для титрования навески, см3;
25 - объем раствора йода, контактирующего с техническим углеродом (из калибровочной пипетки или дозатора), см3;
c2 - концентрация раствора йода, моль/дм3;
253,82 - молекулярная масса йода I2;
m - масса пробы, г.
10 Проверка с использованием стандартных образцов технического углерода
Рекомендуется контролировать надлежащее выполнение процедуры испытания, используя стандартные образцы технического углерода (SRB) (стандартные значения и диапазон для каждого из них приведен в
[2]).
Если значения для стандартного образца технического углерода не попадают в допустимые диапазоны, следует подготовить новые растворы и проконтролировать их, включая исходный стандартный раствор, приготовленный по
6.3.
Протокол испытаний должен содержать:
1) обозначение настоящего стандарта;
2) подробную информацию, необходимую для полной идентификации пробы;
3) условия проведения испытания;
4) полученные результаты, выраженные в соответствии с
разделом 9;
5) сведения о любых отклонениях от метода настоящего стандарта;
6) дату проведения испытаний.
(справочное)
ПРЕЦИЗИОННОСТЬ И СМЕЩЕНИЕ
A.1 Общие сведения
A.1.1 Прецизионность данного метода испытаний установлена по
[1]. Использованы термины и другие статистические данные по
[1].
A.1.2 Оценка прецизионности метода приведена ниже. Показатели прецизионности не используют при проведении приемочных испытаний материалов без документального подтверждения их применимости к конкретным материалам и конкретным протоколам испытаний, включающим настоящий метод.
A.2 Прецизионность
A.2.1 Была проведена программа межлабораторных испытаний по определению прецизионности типа 1. Значения повторяемости и воспроизводимости характеризуют испытания, проведенные за короткий промежуток времени. Применяя метод A (титрование в присутствии крахмального индикатора), семь лабораторий испытывали три пробы технического углерода два раза в два разных дня; следовательно, P = 7, q = 3 и n = 4. При применении метода B (потенциометрическое титрование) 23 лаборатории испытывали три пробы технического углерода два раза в два разных дня; следовательно, P = 23, q = 3 и n = 4. За результат испытания принимали значение единичного определения. Допустимые значения расхождение результатов не определяли.
A.2.2 Результаты вычислений показателей прецизионности приведены в
таблице A.1 (метод A) и в
таблице A.2 (метод B), в которых материалы расположены в порядке убывания в зависимости от среднего значения йодного числа. Выбросы были исключены. Число лабораторий, оставшихся после исключения выбросов, приведено в таблицах.
A.3 Вычисление прецизионности
A.3.1 Общие сведения
Использованы следующие обозначения:
sr - внутрилабораторное стандартное отклонение;
r - повторяемость (в единицах измерения);
(r) - повторяемость, %;
sR - межлабораторное стандартное отклонение;
R - воспроизводимость (в единицах измерения).
(R) - воспроизводимость, %.
Таблица A.1
Показатели прецизионности для метода A
(титрование в присутствии крахмального индикатора)
Проба | Число лабораторий | Среднее значение IAN, г/кг | Внутрилабораторная прецизионность | Межлабораторная прецизионность |
sr | r | (r) | sR | R | (R) |
A (N115) | 4 | 158,21 | 0,268 | 0,758 | 0,479 | 1,302 | 3,760 | 2,376 |
B (N772) | 5 | 32,67 | 0,170 | 0,482 | 1,475 | 0,607 | 1,784 | 5,460 |
C (N330) | 5 | 80,77 | 0,432 | 1,221 | 1,512 | 0,678 | 2,274 | 2,816 |
Среднеарифметическое значение | 5 | 90,55 | - | - | - | - | - | - |
Объединенное среднее значение | - | - | 0,309 | 0,875 | 1,250 | 0,917 | 2,738 | 3,803 |
Таблица A.2
Показатели прецизионности для метода B
(потенциометрическое титрование)
Проба | Число лабораторий | Среднее значение IAN, г/кг | Внутрилабораторная прецизионность | Межлабораторная прецизионность |
sr | r | (r) | sR | R | (R) |
A (N115) | 19 | 160,55 | 0,570 | 1,612 | 1,005 | 2,519 | 7,306 | 4,551 |
B (N772) | 20 | 33,38 | 0,400 | 1,131 | 3,387 | 0,911 | 2,814 | 8,430 |
C (N330) | 19 | 82,47 | 0,344 | 0,972 | 1,178 | 1,360 | 3,969 | 4,812 |
Среднеарифметическое значение | 19 | 92,13 | - | - | - | - | - | - |
Объединенное среднее значение | - | - | 0,448 | 1,268 | 2,150 | 1,734 | 5,068 | 6,190 |
Примечание - По результатам статистического анализа установлено, что имеется значительное расхождение между средним значением, полученным при применении метода A и метода B. По методу A (титрование в присутствии крахмального индикатора) получены значения на 1% ниже, чем по методу B (потенциометрическое титрование). Причины расхождения не установлены. При сравнении показателей прецизионности двух методов следует учитывать, что было разное количество участвующих лабораторий, т.е. статистическая база была другой: метод A применяли в семи лабораториях, метод B - в 23 лабораториях.
Прецизионность объединенных средних значений йодного числа можно выразить в соответствии с
A.3.2 и
A.3.3.
Повторяемость в процентах (r) для йодного числа, установленная по результатам оценки, составляет 1,25% для метода A и 2,15% - для метода B. Результаты двух единичных испытаний (или определений), расхождение между которыми превышает 1,25% (метод A) или 2,15% (метод B) считаются недостоверными и требующими проведения соответствующей проверки.
Воспроизводимость в процентах (R) для йодного числа, установленная по результатам оценки, составляет 3,80% для метода A и 6,19% - для метода B. Результат двух единичных испытаний (или определений), полученные в разных лабораториях, расхождение между которыми превышает 3,80% (метод A) или 6,19% (метод B), следует считать недостоверными и требующими проведения соответствующей проверки.
A.4 Смещение
Согласно терминологии, относящейся к методам испытаний, смещение - это разность между средним значением определяемой характеристики, полученным при испытании, и принятым опорным (действительным) значением определяемой характеристики. Для данного метода опорные значения отсутствуют, поскольку значение определяемой характеристики может быть установлено только при применении данного метода испытания. Следовательно, смещение метода не установлено.
(справочное)
НОМЕРА CAS РЕАКТИВОВ
Таблица B.1
Номера CAS реактивов
Обозначение пункта настоящего стандарта | Наименование химического вещества | Формула | |
| Йод | I2 | 7553-56-2 |
| Йодид калия | KI | 7681-11-0 |
| Йодат калия | KIO3 | 7758-05-6 |
| Пентагидрат тиосульфата натрия | Na2S2O3·5H2O | 10102-17-7 |
| н-Амиловый спирт | C5H11OH | 71-41-0 |
| Серная кислота | H2SO4 | 7664-93-9 |
| Растворимый крахмал | (C6H10O5)n | 9005-84-9 |
| Салициловая кислота | C7H6O3 | 00069-72-7 |
<a> CAS - Химическая реферативная служба США. |
(справочное)
СВЕДЕНИЯ О СООТВЕТСТВИИ ССЫЛОЧНЫХ МЕЖДУНАРОДНЫХ СТАНДАРТОВ
МЕЖГОСУДАРСТВЕННЫМ СТАНДАРТАМ
Таблица ДА.1
Обозначение ссылочного международного стандарта | Степень соответствия | Обозначение и наименование соответствующего межгосударственного стандарта |
ISO 385 | - | <*> |
ISO 648 | NEQ | ГОСТ 29169-91 (ИСО 648-77) "Посуда лабораторная стеклянная. Пипетки с одной отметкой" |
ISO 1042 | NEQ | ГОСТ 1770-74 (ИСО 1042-83, ИСО 4788-80) "Посуда мерная лабораторная стеклянная. Цилиндры, мензурки, колбы, пробирки. Общие технические условия" |
ISO 1126 | IDT | ГОСТ ISO 1126-2018 "Ингредиенты резиновой смеси. Углерод технический. Определение потерь при нагревании" |
<*> Соответствующий межгосударственный стандарт отсутствует. До его принятия рекомендуется использовать перевод на русский язык данного международного стандарта. Перевод данного международного стандарта находится в Федеральном информационном фонде стандартов. Примечание - В настоящей таблице использованы следующие условные обозначения степени соответствия стандартов: - NEQ - неэквивалентные стандарты; - IDT - идентичные стандарты. |
| ISO/TR 9272:2005 | Rubber and rubber products - Determination of precision for test method standards (Резина и резиновые изделия. Определение прецизионности для стандартных методов испытаний) |
| ASTM D4821 | Standard guide for carbon black - Validation of test method precision and bias (Стандартное руководство по техническому углероду. Оценка показателей прецизионности и смещения метода испытаний) |
УДК 661.666.4:675.046.18:006.354 | | IDT |
Ключевые слова: ингредиенты резиновой смеси, технический углерод, определение числа адсорбции йода |