Главная // Актуальные документы // ГОСТ (Государственный стандарт)СПРАВКА
Источник публикации
М.: Стандартинформ, 2019
Примечание к документу
Текст данного документа приведен с учетом
поправки, опубликованной в "ИУС", N 8, 2020.
Документ
введен в действие с 01.06.2020.
Название документа
"ГОСТ IEC/TR 61000-3-14-2019. Межгосударственный стандарт. Электромагнитная совместимость (ЭМС). Часть 3-14. Оценка норм эмиссии для гармоник, интергармоник, колебаний напряжения и несимметрии при подключении установок, создающих помехи, к низковольтным системам электроснабжения"
(введен в действие Приказом Росстандарта от 30.10.2019 N 1112-ст)
"ГОСТ IEC/TR 61000-3-14-2019. Межгосударственный стандарт. Электромагнитная совместимость (ЭМС). Часть 3-14. Оценка норм эмиссии для гармоник, интергармоник, колебаний напряжения и несимметрии при подключении установок, создающих помехи, к низковольтным системам электроснабжения"
(введен в действие Приказом Росстандарта от 30.10.2019 N 1112-ст)
по техническому регулированию
и метрологии
от 30 октября 2019 г. N 1112-ст
МЕЖГОСУДАРСТВЕННЫЙ СТАНДАРТ
ЭЛЕКТРОМАГНИТНАЯ СОВМЕСТИМОСТЬ (ЭМС)
ЧАСТЬ 3-14
ОЦЕНКА НОРМ ЭМИССИИ ДЛЯ ГАРМОНИК, ИНТЕРГАРМОНИК, КОЛЕБАНИЙ
НАПРЯЖЕНИЯ И НЕСИММЕТРИИ ПРИ ПОДКЛЮЧЕНИИ УСТАНОВОК,
СОЗДАЮЩИХ ПОМЕХИ, К НИЗКОВОЛЬТНЫМ СИСТЕМАМ ЭЛЕКТРОСНАБЖЕНИЯ
Electromagnetic compatibility (EMC). Part 3-14. Assessment
of emission limits of harmonic, interharmonic, voltage
fluctuation and unbalance for the connection of disturbing
installations to LV power systems
(IEC/TR 61000-3-14:2011, IDT)
ГОСТ IEC/TR 61000-3-14-2019
Дата введения
1 июня 2020 года
Цели, основные принципы и общие правила проведения работ по межгосударственной стандартизации установлены
ГОСТ 1.0 "Межгосударственная система стандартизации. Основные положения" и
ГОСТ 1.2 "Межгосударственная система стандартизации. Стандарты межгосударственные, правила и рекомендации по межгосударственной стандартизации. Правила разработки, принятия, обновления и отмены"
1 ПОДГОТОВЛЕН Обществом с ограниченной ответственностью "ЛИНВИТ" (ООО "ЛИНВИТ"), Закрытым акционерным обществом "Научно-испытательный центр "САМТЕС" (ЗАО НИЦ "САМТЕС") и Техническим комитетом по стандартизации ТК 030 "Электромагнитная совместимость технических средств" на основе собственного перевода на русский язык англоязычной версии документа, указанного в
пункте 5
2 ВНЕСЕН Федеральным агентством по техническому регулированию и метрологии
3 ПРИНЯТ Межгосударственным советом по стандартизации, метрологии и сертификации (протокол от 30 октября 2019 г. N 123-П)
За принятие проголосовали:
Краткое наименование страны по МК (ИСО 3166) 004-97 | Код страны по МК (ИСО 3166) 004-97 | Сокращенное наименование национального органа по стандартизации |
Армения | AM | Минэкономики Республики Армения |
Беларусь | BY | Госстандарт Республики Беларусь |
Казахстан | KZ | Госстандарт Республики Казахстан |
Киргизия | KG | Кыргызстандарт |
Россия | RU | Росстандарт |
Узбекистан | UZ | Узстандарт |
4
Приказом Федерального агентства по техническому регулированию и метрологии от 30 октября 2019 г. N 1112-ст межгосударственный стандарт ГОСТ IEC/TR 61000-3-14-2019 введен в действие в качестве национального стандарта Российской Федерации с 1 июня 2020 г.
5 Настоящий стандарт идентичен международному документу IEC/TR 61000-3-14:2011 "Электромагнитная совместимость (ЭМС). Часть 3-14. Оценка норм эмиссии для гармоник, интергармоник, колебаний напряжения и несимметрии при подключении установок, создающих помехи, к низковольтным системам электроснабжения" ["Electromagnetic compatibility (EMC) - Part 3-14: Assessment of emission limits of harmonic, interharmonic, voltage, fluctuation and unbalance for the connection of disturbing installations to LV power systems", IDT].
Международный документ IEC/TR 61000-3-14:2011, представляющий собой технический отчет, подготовлен подкомитетом 77A "Низкочастотные явления" Технического комитета TC 77 IEC "Электромагнитная совместимость" (ЭМС).
Он образует часть 3-14 IEC 61000 и имеет статус основополагающей публикации ЭМС в соответствии с Руководством IEC 107.
Первое издание настоящего международного документа гармонизировано с IEC/TR 61000-3-6, IEC/TR 61000-3-7 и IEC/TR 61000-3-13.
При применении настоящего стандарта рекомендуется использовать вместо ссылочных международных стандартов соответствующие им межгосударственные стандарты, сведения о которых приведены в дополнительном
приложении ДА
6 ВВЕДЕН ВПЕРВЫЕ
Информация о введении в действие (прекращении действия) настоящего стандарта и изменений к нему на территории указанных выше государств публикуется в указателях национальных стандартов, издаваемых в этих государствах, а также в сети Интернет на сайтах соответствующих национальных органов по стандартизации.
В случае пересмотра, изменений или отмены настоящего стандарта соответствующая информация также будет опубликована на официальном интернет-сайте Межгосударственного совета по стандартизации, метрологии и сертификации в каталоге "Межгосударственные стандарты"
Стандарты комплекса IEC 61000 публикуются отдельными частями в соответствии со следующей структурой:
часть 1. Общие положения: общее рассмотрение (введение, фундаментальные принципы), определения, терминология;
часть 2. Электромагнитная обстановка: описание электромагнитной обстановки, классификация электромагнитной обстановки, уровни электромагнитной совместимости;
часть 3. Нормы: нормы электромагнитной эмиссии, нормы помехоустойчивости (в тех случаях, когда они не являются предметом рассмотрения техническими комитетами, разрабатывающими стандарты на продукцию);
часть 4. Методы испытаний и измерений: методы измерений, методы испытаний;
часть 5. Руководства по установке и помехоподавлению: руководства по установке, методы и устройства помехоподавления;
часть 6. Общие стандарты;
часть 9. Разное.
Каждая часть далее подразделяется на несколько частей, которые могут быть опубликованы в качестве международных стандартов или технических отчетов/требований, некоторые из них уже опубликованы как разделы. Другие будут опубликованы с указанием номера части, за которым следует дефис, а затем номер раздела (например, IEC 61000-6-1).
Настоящий стандарт, являющийся по своему назначению рекомендательным документом, представляет собой руководство в отношении принципов, которые могут быть применены в качестве основы для определения требований при подключении установок, создающих помехи, к общественным низковольтным (LV) системам электроснабжения. Для целей настоящего стандарта установка, создающая помехи, означает установку (которая может представлять собой нагрузку или генератор), создающую помехи, в том числе: гармоники и/или интергармоники, фликер и/или быстрые изменения напряжения, и/или несимметрию напряжений. Основная цель настоящего стандарта - это представление рекомендаций сетевым организациям по инженерным применениям, которые будут способствовать достижению условий обеспечения надлежащего качества обслуживания для всех подключенных установок пользователей. При рассмотрении установок настоящий стандарт не предназначен для замены стандартов, распространяющихся на оборудование, устанавливающих нормы эмиссии.
Примечание 1 - В настоящем стандарте низкое напряжение (LV) относится к значению Un < 1 кВ.
Настоящий стандарт рассматривает распределение пропускной способности системы для поглощения помех. Он не применяется при решении задач помехоподавления или увеличения пропускной способности системы.
Настоящий стандарт применяется к установкам, подключенным к общественным энергосистемам низкого напряжения, которые снабжают или могут снабжать другие низковольтные нагрузки или установки. Настоящий стандарт предназначен для применения к большим установкам, превышающим минимальный размер. Этот минимальный размер Smin должен быть указан сетевой организацией, в зависимости от характеристик системы.
Примечание 2 - Учитывая указанный минимальный размер, настоящий стандарт, как правило, не применяют к бытовым установкам потребителей.
Настоящий стандарт не предназначен для установления норм эмиссии применительно к отдельным образцам оборудования, подключенным к системам низкого напряжения. Нормы эмиссии для низковольтного оборудования установлены в стандартах IEC, распространяющихся на группы продукции. Нормы, указанные в этих стандартах, определены на основе допущений о числе, типе и использовании оборудования, создающего помехи в установке, подключенной к системе электроснабжения, и опорного полного сопротивления, приведенного в IEC 60725, которое рассматривается в качестве репрезентативного в отношении полных сопротивлений установок небольших жилых объектов. Эти допущения могут быть неприменимы для больших низковольтных установок. Поэтому рекомендации, приведенные в настоящем стандарте, предназначены для предоставления методов определения норм эмиссии для таких больших установок.
Примечание 3 - Соответствие нормам эмиссии, определенным на основе применения методов настоящего стандарта, не исключает любых требований о соответствии нормам эмиссии для оборудования (установленным на основе национальных или региональных регулирующих требований).
Настоящий стандарт распространяется на следующие виды помех, возникающих в низковольтных установках:
- гармоники и интергармоники;
- фликер и быстрые изменения напряжения;
- несимметрия напряжений (компонент с обратной последовательностью).
Так как руководящие принципы, изложенные в настоящем стандарте, обязательно включают некоторые упрощающие предположения, гарантия, что этот подход будет всегда обеспечивать оптимальное решение для всех ситуаций, отсутствует. Рекомендуемый подход при применении к конкретной процедуре оценки следует применять с гибкостью и предусмотрительностью, учитывающей технические вопросы.
Сетевая организация несет ответственность за уточнение требований к подключению установок, создающих помехи, к системе. Установку, создающую помехи, рассматривают как полную установку пользователя (включая элементы, создающие помехи, и те, которые не вызывают помех).
В настоящем стандарте представлены рекомендуемые процедуры установления норм эмиссии для больших установок низкого напряжения. Для того чтобы сетевая организация могла полностью применять положения настоящего стандарта, необходимо присутствие эксперта, который должен учесть соответствующие факторы, касающиеся конкретных типов низковольтных установок.
Примечание 4 - Упрощение норм эмиссии путем создания одного набора таблиц для всех низковольтных сетей может привести в некоторых случаях к чрезмерно консервативным нормам.
Основная часть настоящего стандарта представляет собой описание общей процедуры распределения норм эмиссии применительно к гармоникам, колебаниям напряжения и несимметрии для больших установок, подключенных к низковольтным системам.
В приложениях к настоящему стандарту содержится дополнительная информация, в частности:
-
приложение A включает практический пример применения технических решений на уровне экспертов в области распределительных сетей или на уровне национального регулирования с целью получения собственных норм, которые адаптированы к конкретным характеристикам сетей, на основе использования общего метода;
-
приложение B включает пример практического применения рекомендуемого метода на уровне сетевой организации при подключении конкретных установок на основе локальных параметров низковольтной сети;
-
приложения C и
D содержат подробную информацию теоретического характера, необходимую для использования и понимания процедур, приведенных в настоящем стандарте.
В настоящем стандарте использованы нормативные ссылки на следующие стандарты. Для датированных ссылок применяют только указанное издание ссылочного стандарта, для недатированных - последнее издание (включая все изменения).
IEC 60050-161:1990, International electrotechnical vocabulary - Chapter 161: Electromagnetic compatibility. Amendment 1 (1997). Amendment 2 (1998) [Международный электротехнический словарь. Глава 161. Электромагнитная совместимость. Изменение 1 (1997). Изменение 2 (1998)]
IEC/TR 60725, Consideration of reference impedances and public supply network impedances for use in determining disturbance characteristics of electrical equipment having a rated current < 75 A per phase (Обзор стандартных полных сопротивлений и полных сопротивлений общественных сетей, используемых при определении характеристик помех электрического оборудования с номинальным током < 75 А в одной фазе)
IEC/TR 61000-2-1:1990, Electromagnetic compatibility (EMC) - Part 2-1: Environment - Description of the environment - Electromagnetic environment for low-frequency conducted disturbances and signalling in public power supply systems [Электромагнитная совместимость (ЭМС). Часть 2-1. Электромагнитная обстановка. Описание электромагнитной обстановки. Электромагнитная обстановка для низкочастотных кондуктивных помех и сигналов в общественных системах электроснабжения]
IEC 61000-2-2:2002, Electromagnetic compatibility (EMC) - Part 2-2: Environment - Compatibility levels for low-frequency conducted disturbances and signalling in public low-voltage power supply systems [Электромагнитная совместимость (ЭМС). Часть 2-2. Электромагнитная обстановка. Уровни совместимости для низкочастотных кондуктивных помех и сигналов в низковольтных системах общественного электроснабжения]
IEC 61000-3-2, Electromagnetic compatibility (EMC) - Part 3-2: Limits - Limits for harmonic current emissions (equipment input current < 16 A per phase) [Электромагнитная совместимость (ЭМС). Часть 3-2. Нормы. Нормы эмиссии гармонических составляющих тока (оборудование с входным током <= 16 А в одной фазе)]
IEC 61000-3-3, Electromagnetic compatibility (EMC) - Part 3-3: Limits - Limitation of voltage changes, voltage fluctuations and flicker in public low-voltage supply systems, for equipment with rated current <= 16 A per phase and not subject to conditional connection [Электромагнитная совместимость (ЭМС). Часть 3-3. Нормы. Ограничение изменений напряжения, колебаний напряжения и фликера в общественных низковольтных системах электроснабжения для оборудования с номинальным током не более 16 А в одной фазе, не подлежащего условному соединению]
IEC/TR 61000-3-6:2008, Electromagnetic compatibility (EMC) - Part 3-6: Limits - Assessment of emission limits for the connection of distorting installations to MV, HV and EHV power systems [Электромагнитная совместимость (ЭМС). Часть 3-6. Нормы. Оценка норм эмиссии для подключения установок, создающих помехи, к системам электроснабжения среднего (MV), высокого (HV) и сверхвысокого (EHV) напряжения]
IEC/TR 61000-3-7:2008, Electromagnetic compatibility (EMC) - Part 3-7: Limits - Assessment of emission limits for the connection of fluctuating load installations to MV, HV and EHV power systems [Электромагнитная совместимость (ЭМС). Часть 3-7. Нормы. Оценка норм эмиссии для подключения флуктуирующих установок к системам электроснабжения среднего (MV), высокого (HV) и сверхвысокого (EHV) напряжения]
IEC 61000-3-11, Electromagnetic compatibility (EMC) - Part 3-11: Limits - Limitation of voltage changes, voltage fluctuations and flicker in public low-voltage supply systems - Equipment with rated current < 75 A and subject to conditional connection [Электромагнитная совместимость (ЭМС). Часть 3-11. Нормы. Ограничение изменений напряжения, колебаний напряжения и фликера в общественных низковольтных системах электроснабжения. Оборудование с номинальным током < 75 А в одной фазе, подлежащее условному соединению]
IEC 61000-3-12, Electromagnetic compatibility (EMC) - Part 3-12: Limits - Limits for harmonic currents produced by equipment connected to public low-voltage systems with input current > 16 A and < 75 A per phase [Электромагнитная совместимость (ЭМС). Часть 3-12. Нормы. Нормы гармонических составляющих тока, создаваемых оборудованием, подключаемым к общественным низковольтным системам, с входным током более 16 А, но не более 75 А в одной фазе]
IEC/TR 61000-3-13:2008, Electromagnetic compatibility (EMC) - Part 3-13: Limits - Assessment of emission limits for the connection of unbalanced installations to MV, HV and EHV power systems [Электромагнитная совместимость (ЭМС). Часть 3-13. Нормы. Оценка норм эмиссии при подключении несимметричных электрических установок к системам электроснабжения среднего (MV), высокого (HV) и сверхвысокого (EHV) напряжения]
IEC 61000-4-15, Electromagnetic compatibility (EMC) - Part 4-15: Testing and measurement techniques - Flickermeter - Functional and design specifications [Электромагнитная совместимость (ЭМС). Часть 4-15. Методы испытаний и измерений. Фликерметр. Функциональные и конструктивные требования]
В настоящем стандарте применены термины по IEC 60050-161, а также следующие термины с соответствующими определениями:
3.1 95%-ная (99%-ная) вероятность еженедельного (ежедневного) значения [95% (99%) probability weekly (daily) value]: Значение, которое не превышалось в течение 95% (99%) времени в течение одной(го) недели (дня).
3.2 согласованная мощность (agreed power): Значение установленной мощности для установки, создающей помехи, согласованное между пользователем <*> и сетевой организацией <*>. В случае нескольких точек подключения для каждой точки может быть определено отдельное значение.
--------------------------------
<*> В настоящем стандарте термин "заказчик (customer)" (применительно к установке) заменен на
"пользователь", термин "оператор системы, владелец (system operator, owner)" (применительно к системе электроснабжения) заменен на
"сетевая организация".
3.3
пользователь (user): Физическое лицо, компания или организация, которые управляют установкой, подключенной или наделенной правом на подключение сетевой организацией к системе электроснабжения.
3.4 (электромагнитная) помеха [(electromagnetic) disturbance]: Любое электромагнитное явление, которое, при его наличии в электромагнитной обстановке, может привести к отклонению качества функционирования электрического оборудования от его предназначенного качества функционирования.
3.5 уровень помехи (disturbance level): Величина или значение электромагнитной помехи, измеренные или оцененные установленным способом.
3.6 установка, создающая помехи (disturbing installation): Электрическая установка в целом (включая элементы, создающие помехи, и те, которые не создают помехи), которая может вызвать помехи в виде напряжений или токов в системе электроснабжения, к которой она подключена.
Примечание - В контексте требований настоящего стандарта к установкам, создающим помехи, относят не только потребляющие, но и генерирующие установки.
3.7 электромагнитная совместимость; ЭМС (electromagnetic compatibility, EMC): Способность оборудования или системы удовлетворительно функционировать в их электромагнитной обстановке, не создавая недопустимых электромагнитных помех другому оборудованию или системам в этой обстановке.
Примечание 1 - Электромагнитная совместимость является условием электромагнитной обстановки, при котором для каждого явления уровень эмиссии помех является достаточно низким, а уровни устойчивости к помехам - достаточно высокими, так что все устройства, оборудование и системы функционируют по назначению.
Примечание 2 - Электромагнитная совместимость достигается только в том случае, если уровни эмиссии и помехоустойчивости контролируют таким образом, чтобы уровни помехоустойчивости устройств, оборудования и систем в любом месте не превышались уровнем помех в этом месте в результате кумулятивной эмиссии от всех источников и других факторов, таких как полные сопротивления цепи. Как правило, считается, что совместимость достигнута, если вероятность отклонения от качества функционирования по предназначению достаточно низкая (см. IEC/TR 61000-2-1, раздел 4).
Примечание 3 - В контексте требований настоящего стандарта совместимость может относиться к одной помехе или классу помех.
Примечание 4 - Электромагнитная совместимость - это термин, используемый также для описания области деятельности, связанной с изучением неблагоприятных электромагнитных эффектов, которые устройства, оборудование и системы испытывают друг от друга или от электромагнитных явлений.
3.8 уровень (электромагнитной) совместимости [(electromagnetic) compatibility level]: Регламентированный уровень электромагнитной помехи, используемый в качестве опорного в конкретной электромагнитной обстановке в целях координации при установлении норм электромагнитной эмиссии и устойчивости к электромагнитной помехе.
Примечание - По соглашению, уровень совместимости устанавливают таким образом, что существует лишь малая вероятность (например, 5%) того, что он будет превышен фактическим уровнем помех.
3.9 эмиссия (emission): Явление, при котором электромагнитная энергия исходит от источника электромагнитных помех.
[IEC 60050-161:1990, 161-01-08, модифицировано]
Примечание - В контексте требований настоящего стандарта термин "эмиссия" относится к явлениям, представляющим собой кондуктивные электромагнитные помехи, которые могут вызывать искажения, колебания или несимметрию питающих напряжений.
3.10 уровень эмиссии (emission level): Уровень определенной электромагнитной помехи, эмитируемой конкретным устройством, оборудованием, системой или установкой в целом. Он оценивается и измеряется установленным методом.
3.11 норма эмиссии (emission limit): Максимальный уровень эмиссии, установленный для конкретного устройства, оборудования, системы или установки в целом.
3.12 генерирующая установка (generating plant): Любое оборудование, производящее электрическую энергию, совместно с любым непосредственно связанным или взаимодействующим с ним оборудованием, таким как единичный трансформатор или преобразователь.
3.13 помехоустойчивость, устойчивость к электромагнитной помехе [immunity (to a disturbance)]: Способность устройства, оборудования или системы функционировать без ухудшения качества при наличии электромагнитных помех.
3.14 уровень помехоустойчивости (immunity level): Максимальный уровень определенной электромагнитной помехи, воздействующей на конкретное устройство, оборудование или систему, при котором они сохраняют способность функционировать с заявленным качеством функционирования.
3.15 размер установки (installation size)
3.15.1 большая установка (large installation): Установка с согласованной мощностью, большей или равной значению, указанному сетевой организацией.
Примечание - Это указанное значение в настоящем стандарте обозначено Smin.
3.15.2 небольшая установка (small installation): Установка с согласованной мощностью, меньшей значения, указанного сетевой организацией.
Примечание - Это указанное значение в настоящем стандарте обозначено Smin.
3.16 нормальные условия эксплуатации (normal operating condition): Условия функционирования системы или установки, создающей помехи, которые, как правило, включают в себя все вариации генерации, изменения нагрузки и компенсации реактивной мощности или смены состояния фильтра (например, состояние батарей конденсаторов), запланированные отключения и меры по техническому обслуживанию и налаживанию, неидеальные условия эксплуатации и непредвиденные обстоятельства, при которых рассматриваемая система или установка, создающая помехи, способна работать, что предусмотрено при разработке.
Примечание - Нормальные условия эксплуатации системы, как правило, исключают: условия, возникающие в результате неисправности или нескольких неисправностей, превышающих установленные по стандарту безопасности системы; непредусмотренные ситуации и неизбежные обстоятельства (например, форс-мажорные обстоятельства, исключительные погодные условия и другие стихийные бедствия, действия государственных органов, производственные происшествия); случаи, когда пользователи системы значительно превышают установленные для них нормы эмиссии или не соответствуют требованиям к подключению, а также временные механизмы производства или поставки, которые принимаются для поддержания снабжения клиентов во время технического обслуживания или строительных работ, если в противном случае электроснабжение может быть прервано.
3.17 планируемый уровень (planning level): Уровень конкретной помехи в определенной электромагнитной обстановке, принятый в качестве опорного значения для установления норм, подлежащих соблюдению при эмиссии от установок в конкретной системе, с целью согласования этих ограничений со всеми ограничениями, которые существуют для оборудования и установок, подключенных к системе электроснабжения.
Примечание - Планируемые уровни считаются внутренними составляющими качества, которые должны быть определены на местном уровне лицами, ответственными за планирование и эксплуатацию системы электроснабжения в соответствующем районе.
3.18 точка общего присоединения; PCC [point of common coupling (PCC)]: Точка общественной электрической сети, ближайшая к сетям рассматриваемого потребителя, к которой присоединены или могут быть присоединены электрические сети. PCC представляет собой точку, расположенную "выше по течению" от рассматриваемой установки.
Примечание - Система электроснабжения считается общественной по критерию ее использования, а не права собственности на нее.
3.19 точка присоединения; POC [point of connection (POC)]: Точка в системе общественного электроснабжения, в которой рассматриваемая установка подключена или может быть подключена.
Примечание - Система электроснабжения считается общественной по критерию ее использования, а не права собственности на нее.
3.20 точка оценки; POE [point of evaluation (POE)]: Точка системы общественного электроснабжения, в которой уровни эмиссии данной установки оцениваются с учетом норм эмиссии. Эта точка может быть точкой общего присоединения (PCC), или точкой присоединения (POC), или любой другой точкой, указанной сетевой организацией или согласованной между сторонами.
Примечание - Система электроснабжения считается общественной по критерию ее использования, а не права собственности на нее.
3.21 общественная низковольтная система электроснабжения (public low-voltage power system): Низковольтная система электроснабжения, которая подает или может подавать электрическую энергию нескольким установкам или пользователям.
Примечание - Система электроснабжения считается общественной по критерию ее использования, а не права собственности на нее.
3.22
мощность короткого замыкания (short cirquit power): Теоретическое значение начальной трехфазной мощности короткого замыкания, выраженное в МВА, в точке системы электроснабжения. Оно вычисляется как произведение начального симметричного тока короткого замыкания, номинального напряжения системы и коэффициента

, при этом непериодичной составляющей (постоянным током) пренебрегают.
3.23 ответвление (spur): Фидер, отходящий от основного фидера (как правило, применяется на фидерах среднего и низкого напряжения).
3.24 система электроснабжения (supply system): Все линии, распределительные устройства и трансформаторы, работающие при различных напряжениях, которые составляют систему электроснабжения и систему распределения, к которым подключены установки пользователя.
3.25
сетевая организация (system operator or system owner): Лицо, ответственное за заключение договора о техническом присоединении пользователей, для которых необходимо подключение к нагрузке или подключение генерации к системе распределения.
3.26 коэффициент передачи, коэффициент влияния [transfer coefficient (influence coefficient)]: Относительный уровень помехи, которая может быть передана между двумя шинами или двумя частями энергосистемы при различных условиях эксплуатации.
3.27 явления, относящиеся к определениям. Гармоники
Определения
3.27.1 -
3.27.9 относятся к гармоникам. Они основаны на анализе системных напряжений или токов методом дискретного преобразования Фурье (DFT) в соответствии с определением по IEC 60050-101:1998, 101-13-09.
Примечание 1 - Преобразование Фурье периодической или непериодической функции времени является функцией в частотной области, называемой частотным спектром временной функции или просто спектром. Если функция времени является периодической, то спектр состоит из дискретных линий (или компонентов). Если функция времени не является периодической, то спектр является непрерывной функцией, указывающей компоненты на всех частотах.
Примечание 2 - С целью упрощения определения, приведенные в настоящем стандарте, относятся только к (меж)гармоническим компонентам. Однако они не должны интерпретироваться в качестве ограничений для применения определений, указанных в других стандартах IEC, например в IEC 61000-4-7, в которых ссылка на (меж)гармонические группы или подгруппы более подходит для измерения быстро меняющихся сигналов.
3.27.1
основная частота (fundamental frequency): Частота в спектре, полученном путем преобразования Фурье функции времени, относительно которой рассматриваются все частоты спектра. В контексте требований настоящего стандарта основная частота такая же, как и частота источника питания.
Примечание - В случае периодической функции основная частота, как правило, равна частоте, соответствующей периоду самой функции.
3.27.2 основной компонент (fundamental component): Компонент, частота которого является основной частотой.
3.27.3 частота гармоники (harmonic frequency): Частота, кратная основной частоте. Отношение частоты гармоники к основной частоте называют порядком гармоники (рекомендуемое условное обозначение "h").
3.27.4 гармоническая составляющая (harmonic component): Любой из компонентов на частоте гармоники. Для краткости вместо термина "гармоническая составляющая" допускается применение термина "гармоника".
3.27.5 частота интергармоники (interharmonic frequency): Частота, которая не является целым числом, кратным основной частоте.
Примечание 1 - Аналогично понятию "порядок гармоники" под понятием "порядок интергармоники" понимают отношение частоты интергармоники к основной частоте. Это отношение не выражается целым числом (рекомендуемое условное обозначение "m").
Примечание 2 - В том случае, когда m < 1, допускается применение термина "субгармоническая частота".
3.27.6 интергармоническая составляющая (interharmonic component): Составляющая на частоте интергармоники. Для краткости допускается применение термина "интергармоника".
3.27.7 общее гармоническое искажение; THD (total harmonic distortion, THD): Отношение среднеквадратичного значения суммы всех гармонических составляющих до порядка H к среднеквадратичному значению основного компонента

,
где Q - ток или напряжение;
Q1 - среднеквадратичное значение компонента основной частоты;
h - порядок гармоники;
Qh - среднеквадратичное значение гармонической составляющей порядка h;
H - как правило, 40 или 50, в зависимости от условий.
3.27.8
установка, создающая помехи (distorting installation): Электрическая установка в целом (включая компоненты, создающие помехи, и те, которые не создают помех), которая может привести к искажениям напряжения или тока в системе электроснабжения, к которой она подключена.
Примечание - В контексте требований настоящего стандарта понятие "установка, создающая искажения" включает не только линейные и нелинейные нагрузки, но и генерирующие установки, а также любой источник несинусоидального тока эмиссии, такой как система рекуперативного торможения.
3.27.9
нелинейная нагрузка или оборудование (см. также
термин "установка, создающая помехи") (non linear load or equipment): Любая(ое) нагрузка или оборудование, которые потребляют несинусоидальный ток, находясь под синусоидальным напряжением.
3.28 явления, относящиеся к определениям. Фликер и быстрые изменения напряжения
3.28.1 фликер (fliker): Ощущение неустойчивости зрительного восприятия, вызванное световым источником, яркость или спектральный состав которого изменяются во времени.
Примечание - Фликер является результатом воздействия на лампы накаливания, в то время как электромагнитное явление, вызывающее его, представляет собой колебания напряжения.
3.28.2 быстрые изменения напряжения (rapid voltage changes): Изменения среднеквадратичного значения напряжения основной частоты в течение нескольких периодов; быстрые изменения напряжения также могут быть в виде циклических изменений.
Примечание - Быстрые изменения напряжения часто вызываются запуском, пусковыми токами или переключением оборудования.
3.28.3 установка, создающая колебания напряжения (fluctuating installation): Электрическая установка в целом (включая те элементы, которые создают колебания напряжения, и те, которые не создают колебаний напряжения), которая характеризуется систематическими или внезапными колебаниями напряжения или запусками оборудования и пусковыми токами, которые могут вызывать фликер или быстрые изменения напряжения в системе электроснабжения, к которой она подключена.
Примечание - В контексте требований настоящего стандарта понятие "установка, создающая колебания напряжения" включает не только нагрузки, но и генерирующие установки.
3.28.4 колебания напряжения (voltage fluctuations): Серия изменений напряжения или циклическое изменение огибающей напряжения.
3.29 явления, относящиеся к определениям. Несимметрия
Приведенные ниже определения, относящиеся к несимметрии напряжений, основаны на анализе системных напряжений или токов с помощью матрицы преобразования Фортескью и метода дискретного преобразования Фурье (DFT) с целью определения составляющих основной частоты для вычисления коэффициентов несимметрии.
3.29.1 несимметрия напряжений [voltage umbalance (imbalance)]: Условие, при котором в многофазной системе значения фазных напряжений или фазовых углов между последовательными фазами не равны.
[IEC 60050-161:1990, 161-08-09, модифицировано]
Примечание - В трехфазных системах степень несимметрии, как правило, выражается как отношение составляющих обратной и нулевой последовательности к составляющим прямой последовательности. В настоящем стандарте несимметрия напряжений рассмотрена в отношении трехфазных систем и только составляющих обратной последовательности.
3.29.2 составляющая прямой последовательности трехфазных напряжений (или токов) [positive-sequence component of 3-phase voltage (or currents)]: Симметричная векторная система, полученная применением матрицы преобразования Фортескью и рассчитанная по следующей формуле:

, где

и

,

,

- напряжение между линией и нейтралью (основная составляющая);

- мнимая единица.
Примечание - Могут быть использованы также межфазные напряжения.
3.29.3 составляющая обратной последовательности трехфазных напряжений (или токов) [negative-sequence component of 3-phase voltage (or currents)]: Симметричная векторная система, полученная применением матрицы преобразования Фортескью и рассчитанная по следующей формуле:

, где

и

,

,

- напряжение между линией и нейтралью (основная составляющая);

- мнимая единица.
Примечание - Могут быть использованы также межфазные напряжения.
3.29.4 составляющая нулевой последовательности в трехфазной системе напряжений (или токов) [zero-sequence component of 3-phase voltage (or currents)]: Симметричная векторная система, полученная применением матрицы преобразования Фортескью и рассчитанная по следующей формуле:

,
где

,

,

- напряжение между линией и нейтралью (основная составляющая).
Примечание - Фазные напряжения не могут быть использованы, так как компонент нулевой последовательности в этом случае будет равен нулю.
3.29.5
коэффициент несимметрии напряжений (voltage unbalance factor u): Отношение модулей составляющих обратной последовательности и составляющих прямой последовательности напряжений на основной частоте, %,

.
Примечание 1 - Могут быть использованы также межфазные напряжения.
Примечание 2 - Для упрощения в настоящем стандарте обозначение u использовано для обозначения коэффициента несимметрии напряжений вместо u2. Эквивалентное выражение приведено в IEC 61000-4-30:

, где

.
3.29.6
коэффициент несимметрии токов (current unbalance factor, IUF): Отношение модулей составляющих обратной последовательности и составляющих прямой последовательности токов на основной частоте, %,

,
где

,

,

- фазные токи (основная составляющая);

- коэффициент несимметрии токов по обратной последовательности;

- коэффициент несимметрии токов по прямой последовательности.
3.29.7 установка, вызывающая несимметрию (unbalanced installation): Установка пользователя в целом (включая части, создающие несимметрию, и те, которые не создают несимметрии), работа которой характеризуется неравенством линейных токов либо межфазных напряжений и/или углов сдвига фаз, что может вызвать несимметрию напряжений в системе электроснабжения.
Примечание 1 - В контексте требований настоящего стандарта понятие "установка, вызывающая несимметрию" применяется не только к нагрузкам, но и к генерирующим установкам.
Определение норм эмиссии (напряжения или тока) от отдельного оборудования или установки пользователя должно быть основано на влиянии указанных норм эмиссии на качество электрической энергии (качество напряжения). Оценку качества напряжения осуществляют с применением определенных основополагающих концепций. С целью использования этих концепций для оценки в конкретных местах (расположениях), они должны учитывать различные условия, такие как: расположение, в котором они применяются; характеристики измерения (продолжительность измерения, время выборки, интервалы усреднения, статистика) и порядок проведения расчетов. Эти концепции описаны ниже и проиллюстрированы на
рисунках 1 и
2. Определения приведены в IEC 60050-161.
4.2.1 Общие положения
Уровни совместимости представляют собой опорные значения, используемые для координации эмиссии и помехоустойчивости оборудования, являющегося частью системы энергоснабжения или получающего от нее питание, с целью обеспечения ЭМС системы в целом (включая системное оборудование и подключенное оборудование). Уровни совместимости, как правило, основаны на 95%-ных вероятностных уровнях системы в целом, используя распределения, которые представляют собой как временные, так и пространственные вариации нарушений. При этом учитывается тот факт, что сетевая организация не может постоянно контролировать все точки системы. Поэтому оценка уровней совместимости должна быть проведена на общесистемной основе и для оценки в конкретном расположении не следует применять отдельный метод оценки.
Уровни совместимости для низкочастотных кондуктивных помех и сигналов в общественных низковольтных системах электроснабжения представлены в IEC 61000-2-2.
4.2.2 Гармоники
Уровни совместимости в IEC 61000-2-2 для гармонических напряжений в низковольтных системах следует рассматривать как связанные с квазистационарными или стационарными гармониками и представленные в качестве опорных значений как при длительном воздействии помех, так и при кратковременных помехах.
Длительные воздействия помех связаны главным образом с тепловыми эффектами в кабелях, трансформаторах, двигателях, конденсаторах и т.д. Они возникают из-за гармоник, уровни которых поддерживаются в течение 10 мин или более.
Кратковременные воздействия связаны главным образом с влияниями на электронные устройства, которые могут быть восприимчивы к гармоникам продолжительностью 3 с или менее. Переходные процессы не включены.
Уровни совместимости при длительном воздействии помех для отдельных гармонических составляющих напряжения приведены в
таблице 1. Уровень совместимости для полного гармонического искажения THD = 8%.
Таблица 1
Уровни совместимости для отдельных гармонических напряжений
в низковольтных сетях (в процентах от основной составляющей)
(в соответствии с IEC 61000-2-2)
Нечетные гармоники, не кратные 3 | Нечетные гармоники, кратные 3 | Четные гармоники |
Порядок гармоник h | Гармоническое напряжение, % | Порядок гармоник h | Гармоническое напряжение, % | Порядок гармоник h | Гармоническое напряжение, % |
5 | 6 | 3 | 5 | 2 | 2 |
7 | 5 | 9 | 1,5 | 4 | 1 |
11 | 3,5 | 15 | 0,4 | 6 | 0,5 |
13 | 3 | 21 | 0,3 | 8 | 0,5 |
17 <= h <= 49 | | 21 < h <= 45 | 0,2 | 10 <= h <= 50 | |
При кратковременных воздействиях (см. IEC 61000-2-2) уровни совместимости для отдельных гармонических составляющих напряжения принимают равными значениям, приведенным в
таблице 1, умноженным на коэффициент k
hvs, где значение k
hvs рассчитывают по формуле

. (1)
При кратковременных воздействиях гармоник уровень совместимости для полного гармонического искажения THD = 11%.
Система знаний о электромагнитных помехах, относящихся к интергармоническим напряжениям, находится в развитии. В IEC 61000-2-2 уровни совместимости приведены только для случая интергармонического напряжения, возникающего на частоте, близкой к основной частоте (50 или 60 Гц), что приводит к амплитудной модуляции подаваемого напряжения и вызывает фликер. Уровень совместимости для одного интергармонического напряжения в этом случае основан на уровне фликера Pst = 1 (см. рисунок 2 в IEC 61000-2-2).
IEC 61000-2-2 содержит также указания, касающиеся опорных значений для интергармоник на других частотах:
- предполагается, что опорный уровень для каждой интергармонической частоты будет равен уровню совместимости, указанному в
таблице 1, для следующей более высокой четной гармоники;
- в сети, содержащей приемники управления пульсациями, опорный уровень при определенной рабочей частоте приемников должен составлять 0,2% от номинального напряжения питания;
- для дискретной частоты в полосе от 50-й гармоники до 9 кГц предложенный опорный уровень составляет 0,2% основной составляющей;
- для полосы частот от 50-й гармоники до 9 кГц предложенный опорный уровень при любой ширине полосы 200 Гц составляет 0,3% основной составляющей.
4.2.4 Колебания напряжения
Фликерметр, соответствующий международным требованиям (см. IEC 61000-4-15), предусматривает две величины для оценки дозы фликера: Pst (индекс "st" означает кратковременную дозу фликера, одно значение которой измеряют за каждый 10-минутный интервал времени) и Plt (индекс "lt" означает длительную дозу фликера, одно значение которой измеряют за каждые 2 ч). Оценка качества напряжения, связанного с фликером, как правило, выражается через критерии Pst и/или Plt, причем Plt обычно рассчитывают исходя из группы 12 последовательных значений Pst следующим образом:

. (2)
Для фликера в низковольтных сетях уровни совместимости представлены в IEC 61000-2-2 (см.
таблицу 2).
Таблица 2
Уровни совместимости для фликера в низковольтных сетях
(в соответствии с IEC 61000-2-2)
В настоящем стандарте предполагается также, что фликерметр и связанные с ним факторы адаптированы к типу используемых ламп накаливания (например, 120 или 230 В), так что норма фликера остается неизменной независимо от напряжения ламп. Это существенно, потому что лампы 120 В менее чувствительны к колебаниям напряжения, чем лампы 230 В, а лампы 100 В еще менее чувствительны.
В обычных условиях значение быстрых изменений напряжения (RVC) ограничено 3% номинального напряжения питания для низковольтных систем. Однако изменения напряжения, превышающие 3%, все же могут изредка возникать в сетях общественного питания (см. IEC 61000-2-2).
Уровень совместимости для несимметрии напряжений в низковольтных системах представлен в IEC 61000-2-2 и представляет собой компонент обратной последовательности, равный 2% от компонента прямой последовательности. В практике подключения больших однофазных нагрузок уровень совместимости может принимать значения не более 3%.
Примечание 1 - Необходимо также отметить, что вышеуказанные уровни совместимости относятся к устойчивым тепловым воздействиям несимметрии напряжений. Более высокие значения могут регистрироваться в течение короткого периода времени (например, 100%-ная несимметрия напряжений во время короткого замыкания), но эти кратковременные высокие уровни несимметрии не обязательно оказывают значительное тепловое воздействие на оборудование.
Примечание 2 - Спецификация требований к защите от несимметрии в установках должна учитывать уровень совместимости и кратковременные эффекты несимметрии.
Примечание 3 - Уровень 3% может возникать, как правило, в низковольтных сетях и электрических сетях среднего напряжения, к которым подключены небольшие установки, имеющие однофазное (или межфазное) подключение.
4.3.1 Индикативные значения планируемых уровней
Это уровни, которые могут быть использованы для планирования при оценке воздействия на систему электроснабжения всех установок, создающих помехи. Планируемые уровни должны быть определены сетевой организацией для всех уровней напряжения в системе и могут быть рассмотрены как внутренние индикаторы качества для сетевой организации.
Планируемые уровни должны быть равны или ниже уровней совместимости и должны обеспечивать согласование уровней помех, которые возникают при различных уровнях напряжения. Некоторая разница между планируемыми уровнями и уровнями совместимости может быть оправдана для учета характеристик напряжения (см.
примечание ниже), влияния резонансов и т.д. Планируемые уровни будут отличаться в зависимости от структуры и компонентов системы, и никакие определенные значения не могут быть заданы (относительно уровней совместимости см.
4.2).
Примечание - В некоторых странах существуют характеристики напряжения, представляющие собой квазигарантированные уровни. Они должны быть согласованы с планируемыми уровнями. При рассмотрении этих вопросов следует учитывать характеристики системы.
В последующей части настоящего стандарта изложены процедуры использования уровней планирования для установления норм эмиссии для отдельных установок потребителей, которые создают помехи.
4.3.2 Процедура оценки для сравнения с планируемыми уровнями
Следует использовать методы измерения класса A, установленные в IEC 61000-4-30. Маркированные данные, отмеченные в соответствии с этим стандартом, во время оценки во внимание не принимают. Соответственно, процентиль, применяемый при вычислении индексов, определенных ниже, вычисляют с использованием только действительных (немаркированных) данных.
При быстрых колебаниях напряжения не существует стандартизованного метода измерения. По этой причине рекомендуется, чтобы процедура оценки, используемая в данном случае, основывалась на измеренных среднеквадратичных значениях только основной составляющей с удаленными переходными процессами. На практике необходимо использовать многопериодное окно минимальной длительности, для того чтобы избежать искусственного сглаживания среднеквадратичного значения напряжения основной частоты.
Для каждого типа помех минимальный период измерения составляет 1 нед обычной деловой активности. Период мониторинга должен включать некоторую часть периода ожидаемых максимальных уровней помех.
Для сравнения действительных уровней помех с планируемыми уровнями могут быть применены один или несколько приведенных ниже индексов. Для сравнения с планируемыми уровнями при оценке воздействия более высоких уровней эмиссии, разрешенных на короткие периоды времени, например во время перенапряжений и запусков оборудования, может быть необходимым применение более чем одного индекса.
Для гармонических напряжений применяют следующие индексы:
- 95%-ное еженедельное значение Uhsh (среднеквадратичное значение индивидуальных гармоник за "короткие" 10-минутные периоды) не должно превышать планируемый уровень;
- наибольшее 99%-ное ежедневное значение
Uhvs (среднеквадратичное значение индивидуальных гармонических составляющих в течение "очень коротких" периодов 3 с) не должно превышать планируемый уровень, умноженный на коэффициент к
hvs, указанный в
формуле (1), с учетом приведенной ссылки на кратковременные эффекты гармоник.
Примечание 1 - Гармоники, как правило, измеряют до порядка 40 или 50, в зависимости от условий.
Для фликера индикативные значения для Pst и Plt следующие:
- 95%-ное еженедельное значение Pst не должно превышать планируемый уровень;
- 99%-ное еженедельное значение Pst не должно превышать планируемый уровень, умноженный на коэффициент (например, 1 - 1,5), который должен быть указан сетевой организацией в зависимости от характеристик системы и нагрузки;
- 95%-ное еженедельное значение Plt не должно превышать планируемый уровень.
Примечание 2 - Возможные аномальные результаты (например, из-за отключения напряжения или при других переходных процессах) должны быть устранены. Также рекомендовано, чтобы каждое новое значение Pst включалось в пересмотренный расчет Plt с использованием скользящего окна, в котором самое старое измеренное значение Pst заменяется последним новым значением Pst в каждом 10-минутном интервале. Эта рекомендуемая процедура расчета Plt дает 144 значения Plt каждый день. В некоторых случаях это может потребовать постобработки значений Pst, полученных при измерении фликерметром.
При быстрых изменениях напряжения, учитывая низкую вероятность их появления, статистические показатели не учитывают. Таким образом, максимальные значения быстрых изменений напряжения не должны превышать планируемых уровней. Однако высокие значения, связанные с аномальными нарушениями, такими как неисправности или операции переключения, должны быть удалены из оценки.
Для несимметрии напряжений используют следующие индексы:
- 95%-ное еженедельное значение ush (коэффициент несимметрии напряжений при основной частоте по кратковременным 10-минутным периодам) не должно превышать планируемый уровень;
- наибольшее 99%-ное ежедневное значение uvs (коэффициент несимметрии напряжений при основной частоте в течение очень коротких периодов 3 с) не должно превышать планируемый уровень, умноженный на коэффициент (например, 1,25 - 2), который должен быть указан сетевой организацией, в зависимости от характеристик системы и нагрузки с учетом защитных устройств.
Примечание 3 - В соответствии с IEC 61000-4-30 при оценке коэффициента несимметрии напряжения необходимо использовать только компоненты основной частоты прямой и обратной последовательности (гармоники должны быть удалены, так как некоторые гармоники с обратной последовательностью могут изменить результаты измерения).
4.4 Иллюстрация концепций ЭМС
Основные концепции совместимости и применения планируемых уровней иллюстрированы на
рисунках 1 и
2. Их цель - акцентировать внимание на наиболее важных соотношениях между основными переменными.
Рисунок 1 - Иллюстрация основных концепций качества
напряжения со статистикой "время/расположение" применительно
к системе в целом
Рисунок 2 - Иллюстрация основных концепций качества
напряжения со статистикой по времени применительно к одному
расположению в системе
Внутри системы электроснабжения в целом неизбежно возникает определенный уровень помех в некоторых ситуациях и, следовательно, существует риск перекрытия распределений уровней помех и уровней устойчивости к помехам (см.
рисунок 1). Планируемые уровни, как правило, равны или ниже уровня совместимости; они должны быть установлены сетевой организацией. Уровни помехоустойчивости установлены в соответствующих стандартах или подлежат согласованию между производителями и потребителями оборудования.
На
рисунке 2 показано, что распределение вероятности уровней помех и помехоустойчивости в отдельном расположении, как правило, является более узким, чем во всей системе, так что в большинстве отдельных расположений перекрытие распределений уровней помех и помехоустойчивости будет минимальным или может вообще отсутствовать. В этих условиях помехи не признают, как правило, серьезной проблемой, поэтому предполагают, что оборудование будет функционировать удовлетворительно. Поэтому ЭМС более вероятна, чем показано на
рисунке 1.
Подход к координации, установленный в настоящем стандарте, основан на индивидуальных уровнях эмиссии, определяемых на основе разработанных планируемых уровней. По этой причине одни и те же индексы используют при оценке соответствия фактических измерений нормам эмиссии и планируемым уровням.
Для сравнения фактического уровня эмиссии с нормой эмиссии для потребителя могут быть применены один или несколько приведенных ниже индексов. Для сравнения с нормой эмиссии при оценке воздействия более высоких уровней эмиссии, разрешенных на короткие периоды времени, например во время перенапряжений и запусков оборудования, может быть необходимым применение более чем одного индекса.
При эмиссии гармоник индексы следующие:
- 95%-ное еженедельное значение Uhsh (или Ihsh) (среднеквадратичное значение индивидуальных гармоник за "короткие" 10-минутные периоды) не должно превышать норм эмиссии EUhi (или EIhi);
- наибольшее 99%-ное ежедневное значение
Uhvs (или
Ihvs) (среднеквадратичное значение индивидуальных гармонических составляющих в течение "очень коротких" периодов 3 с) не должно превышать нормы эмиссии, умноженные на коэффициент
khvs, который представлен в
формуле (1).
При эмиссии фликера используют следующие индексы:
- 95%-ное еженедельное значение Pst не должно превышать нормы эмиссии Epsti;
- 99%-ное еженедельное значение Pst не должно превышать нормы эмиссии Epsti при умножении на коэффициент (например, 1 - 1,5), который должен быть указан сетевой организацией, в зависимости от характеристик системы и нагрузок;
- 95%-ное еженедельное значение Plt не должно превышать нормы эмиссии Eplti.
При быстрых изменениях напряжения при низкой вероятности их появления статистические показатели не учитывают. Таким образом, максимальные значения быстрых изменений напряжения не должны превышать норм эмиссии. Однако их высокие значения из-за аномальных нарушений, таких как неисправности или операции переключения, должны быть удалены из оценки.
При эмиссии несимметрии используют следующие индексы:
- 95%-ные еженедельные значения u2sh или i2sh (коэффициенты несимметрии напряжения или тока при основной частоте по "коротким" 10-минутным периодам) не должны превышать норм эмиссии Eu2i (или Ei2i);
- наибольшие 99%-ные ежесуточные значения u2vs или i2vs (коэффициенты несимметрии напряжения или тока на основной частоте в течение "очень коротких" периодов 3 с) не должны превышать норм эмиссии, умноженных на коэффициент (например, 1,25 - 2), который должен быть указан сетевой организацией, в зависимости от характеристик системы, нагрузок и защитных устройств.
С целью сравнения уровней эмиссии помех от установки пользователя с нормами эмиссии минимальный период измерения должен составлять 1 нед. Однако для оценки эмиссии могут применять более короткие периоды измерения в конкретных условиях работы. Такие более короткие периоды должны отражать процессы, которые ожидаются в последующем в течение более длительных периодов (т.е. более 1 нед.). В любом случае период измерения должен быть достаточным для отображения наибольшего уровня эмиссии помех, который, как ожидается, будет иметь место. Если доминирует эмиссия определенного типа помех, создаваемая одной большой единицей оборудования, период должен быть достаточным для захвата как минимум двух полных циклов работы этого оборудования. Если эмиссия обусловлена суммированием нескольких единиц оборудования, период измерений должен быть как минимум рабочей сменой.
Следует использовать методы измерения класса A, установленные в IEC 61000-4-30. Маркированные данные, отмеченные в соответствии с этим стандартом, во время оценки во внимание не принимают. Соответственно процентиль, применяемый при вычислении индексов, определенных выше, вычисляют с использованием только действительных (немаркированных) данных.
Для гармоник, когда сигнал, подлежащий анализу, быстро меняется (например, ток электрической дуги), измерение гармонических групп и подгрупп следует проводить по IEC 61000-4-7, в отличие от измерений гармонических компонентов.
При быстрых изменениях напряжения не существует стандартизованного метода измерения. По этой причине рекомендуется, чтобы процедура оценки, используемая в данном случае, основывалась на измерении среднеквадратичного значения изменений с учетом только основной составляющей с удаленными переходными процессами. На практике необходимо использовать кратчайшее многопериодное окно, для того чтобы избежать искусственного сглаживания среднеквадратичного значения изменений основного напряжения.
Для каждого вида помех уровень эмиссии от установки, создающей помехи, представляет собой уровень помех, оцениваемый в соответствии с другими индексами, указанными в
разделе 6.
Предлагаемый подход к установлению норм эмиссии для установок, создающих помехи, зависит от согласованной мощности установки пользователя и характеристик системы. Задача состоит в том, чтобы нормировать эмиссию помех от всех установок, создающих помехи в системе, до значений, которые не будут приводить к нарушениям уровней напряжений помех, т.е. не будут превышать планируемые уровни. С этой целью определены три этапа оценки, которые могут быть использованы последовательно или независимо друг от друга.
5.2 Этап 1. Упрощенная оценка эмиссии помех
Как правило, для потребителя приемлемо устанавливать небольшие устройства без специальной оценки эмиссии помех сетевой организацией. Производители таких устройств несут ответственность за ограничение эмиссии. Например, IEC 61000-3-2 и IEC 61000-3-12 в случае гармоник, а также IEC 61000-3-3 и IEC 61000-3-11 в случае колебаний напряжения представляют собой стандарты, устанавливающие нормы эмиссии для образцов оборудования, подключенного к низковольтным системам. Для небольших установок, таких как установки жилых домов, сетевая организация может полагаться на эти нормы эмиссии для отдельных единиц оборудования в соответствии с планируемыми уровнями.
В случае подключения более крупных установок сетевая организация должна нести ответственность за то, чтобы планируемые уровни не превышались. Тем не менее существует возможность определить консервативные критерии приемлемости подключения установок, создающих помехи в низковольтных системах. Действительно, если общая помеховая нагрузка или согласованная мощность пользователя является незначительной в сравнении с мощностью короткого замыкания в точке оценки, необходимость проводить детальную оценку уровней эмиссии помех отсутствует.
В
разделах 8 -
10 приведены специальные критерии, которые позволяют применять оценку по этапу 1.
5.3 Этап 2. Нормы эмиссии по отношению к фактическим характеристикам системы
Если установка не соответствует критериям этапа 1, то конкретные характеристики установки, создающей помехи, следует оценивать вместе с абсорбирующей способностью системы. Для каждого типа помех абсорбирующую способность системы определяют исходя из планируемых уровней и распределяют по индивидуальным установкам пользователей в соответствии с их потребностью в отношении общей пропускной способности системы. Уровень помех, передаваемый от уровней восходящего напряжения системы питания до уровня низкого напряжения, также должен быть учтен при распределении уровней планирования для отдельных установок пользователей.
Принцип такого подхода заключается в том, что если система использована на полной мощности и все установки пользователей подключены с их индивидуальными нормами, то общий уровень помех будет равен планируемым уровням с учетом коэффициента передачи между различными частями системы и суммирования различных помех. Процедура распределения уровней планирования для отдельных установок представлена в
разделах 8 -
10.
5.4 Этап 3. Принятие более высоких уровней эмиссии при определенных условиях
При некоторых условиях сетевая организация может подключить установку, создающую более высокие помехи, чем установленные нормы, определяемые по этапу 2. Это особенно характерно, когда нормы по этапу 2 являются обобщенными нормами, полученными с использованием типичных, но консервативных характеристик системы. В такой ситуации пользователь и сетевая организация могут согласовать определенные условия, которые позволяют подключить установку, создающую помехи, к системе.
Следующие обстоятельства могут обеспечить определенный запас в системе, позволяющий подключать установки, характеризующиеся более высокими нормами эмиссии, например:
- некоторые установки не создают значительных уровней помех из-за отсутствия в их составе оборудования, способного создавать значительные помехи. Следовательно, некоторые из потенциально неиспользуемых возможностей системы по поглощению помех могут быть доступны для применения на временной основе;
- в определенных случаях общий закон суммирования может быть излишне консервативным: некоторые установки могут создавать помехи с взаимно противоположными фазами или фазовые сдвиги в системе могут привести к частичной компенсации помех;
- фактические характеристики низковольтной системы могут позволить применение норм эмиссии, которые выше, чем нормы эмиссии по этапу 2 (например, при использовании в системе более коротких кабелей низкого напряжения);
- в отношении несимметрии напряжений следует учитывать, что если все единицы оборудования в низковольтных установках являются однофазными, то допустимы более высокие уровни несимметрии, так как оборудование в меньшей степени зависит от несимметрии;
- в некоторых случаях более высокий уровень помех для низковольтных систем может быть допущен после перераспределения планируемых уровней между системами низкого и среднего напряжения с учетом локальных факторов, таких как специальные эффекты затухания или отсутствие установок, создающих помехи на определенном уровне напряжения.
Во всех случаях, когда это необходимо, сетевая организация может принять решение об установлении более высоких норм эмиссии на этапе 3. Для этого необходимо тщательно изучить соединения между системой и подключаемыми установками, учитывая ранее существующие уровни помех и ожидаемые уровни эмиссии от рассматриваемой установки для различных возможных условий эксплуатации. Принятие более высоких уровней эмиссии для установок пользователей возможно только при выполнении определенных условий и конкретных ограничений, которые должны быть указаны сетевой организацией. Например, ограничения временного характера по этапу 3 могут быть применены:
- до тех пор, пока в системе остается доступным запас мощности для обеспечения большей эмиссии;
- до тех пор, пока другие пользователи не будут в полной мере использовать свои нормы эмиссии, определенные в соответствии с этапом 2;
- для новой подключаемой установки на время, необходимое для выполнения дополнительных корректирующих мероприятий, если это необходимо.
В настоящем стандарте установлена следующая ответственность сторон с точки зрения обеспечения ЭМС:
- пользователь несет ответственность за обеспечение эмиссии в указанной точке оценки ниже норм, которые установлены сетевой организацией;
- сетевая организация несет ответственность за общую координацию уровней помех, которые возникают при нормальных условиях эксплуатации в соответствии с национальными требованиями. Для проведения оценки сетевая организация должна, при необходимости, предоставлять соответствующие системные данные, такие как полное сопротивление системы (см.
6.4) или мощность короткого замыкания, а также уже существующие уровни помех. Процедура оценки разработана таким образом, что эмиссия помех от всех установок, создающих помехи, не приводит к тому, что общие уровни помех в системе превышают планируемые уровни. Однако, учитывая конкретные местные условия и предположения, на которых базируется эта процедура оценки, следует иметь в виду, что абсолютная гарантия относительно того, что рекомендуемый подход всегда позволит избежать превышения уровней, особенно если уже существуют высокие уровни помех, отсутствует;
- в том случае, когда установка превышает нормы эмиссии, сетевая организация и пользователь установки должны согласовать, при необходимости, оптимальные мероприятия с целью снижения эмиссии. Проектирование и выбор метода снижения эмиссии являются обязанностью пользователя.
Примечание - Настоящий стандарт, в основном, регламентирует вопросы эмиссии. Однако поглощение помех также может быть проблемой, если, например, фильтры или конденсаторные батареи соединены без учета их взаимодействия с гармоническими напряжениями, обычно присутствующими в энергосистеме. Поглощение токов с обратной последовательностью также может быть проблемой, если оборудование подключено без учета их номинала и несимметрии напряжений, которые, как правило, присутствуют в энергосистеме. Таким образом, проблема поглощения помех также является частью ответственности пользователя.
6 Общие руководящие принципы для оценки уровней эмиссии
Точка оценки (POE) - это точка, в которой уровни эмиссии установки конкретного пользователя оцениваются на предмет соответствия нормам эмиссии, а также точка в рассматриваемой системе электроснабжения, для которой определены планируемые уровни. Эта точка может быть точкой присоединения (POC) или точкой общего присоединения (PCC) установки, создающей помехи, или любой другой точкой, указанной сетевой организацией или согласованной между сторонами.
Примечание 1 - Следует отметить, что для определения норм эмиссии и оценки уровней эмиссии часто необходимо учитывать параметры системы за пределами точки оценки.
Примечание 2 - Следует помнить, что характеристики напряжения или согласованные значения норм, как правило, применяют в точке присоединения. Это следует учитывать в ходе согласования между сторонами.
6.2 Концепция уровня эмиссии
Уровень эмиссии от конкретной установки в энергосистему представляет собой векторную величину напряжения (или тока) помехи, вызванной этой установкой в точке оценки. В случае гармоник или несимметрии напряжений общая концепция может быть проиллюстрирована
рисунком 3, на котором показаны вектор помехи
Udi и его вклад (совместно с вектором помехи
Ud0, создаваемым всеми другими источниками помех, когда рассматриваемая установка не подключена к системе) в измеряемый вектор помех
Ud в POE, когда установка подключена.
Рисунок 3 - Иллюстрация вектора эмиссии
Udi и его вклада
в измеряемый вектор помех Ud от установки в POE
Если вектор эмиссии приводит к увеличению уровня помех (т.е. |Ud| > |Ud0|), то уровень эмиссии, как определено выше (т.е. |Udi|), должен быть менее норм эмиссии, оцененных в соответствии с положениями в настоящем стандарте. Для гармоник взаимодействие между системой электроснабжения и установкой пользователя может в некоторых случаях приводить к усилению или уменьшению уровня искажения напряжения в заданном гармоническом порядке (из-за возникновения параллельного или последовательного резонансного состояния или из-за эффектов поглощения). Усиление возможно даже там, где сама установка не создает гармоники этого порядка. Так как в настоящем стандарте рассмотрены требования к координации ЭМС, такие ситуации усиления учитывают при определении фактических уровней помех.
Для несимметрии напряжений взаимодействие между системой электроснабжения и установкой пользователя может привести к уменьшению несимметрии напряжений (из-за балансирующего эффекта вращающихся машин).
Эту ситуацию учитывают при определении фактических норм эмиссии. И наоборот, подключение установки к системе электроснабжения может в некоторых случаях приводить к увеличению уровней несимметрии в POE, где сама установка является сбалансированной нагрузкой (из-за эффекта неперемещенных линий). В данном случае вклад сбалансированной нагрузки в уровни несимметрии в POE рассматривают как уровень эмиссии несимметрии энергосистемы, а не как эмиссию конкретной установки.
Однако для фликера помехи практически всегда являются аддитивными и не следует ожидать их поглощения или уменьшения.
Если не указано иное, рекомендуется проводить оценку уровней эмиссии в стандартных условиях эксплуатации. При оценке уровней эмиссии от установок необходимо рассматривать худшие эксплуатационные режимы, включая непредвиденные ситуации, в которых должна работать разработанная система или установка пользователя.
Если представляется существенным, необходимо учитывать также следующие факторы:
- неидеальные условия эксплуатации и несимметрии, которые могут иметь место в системе электроснабжения и внутри возмущающей установки;
- запланированные переключения оборудования, такого как фильтры и батареи конденсаторов с изменением нагрузки.
Более детальные сведения об оценке уровней эмиссии при энергоснабжении промышленных предприятий приведены в IEC/TR 61000-2-6. В IEC/TR 61000-3-7 также приведены упрощенные и усовершенствованные методы прогнозирования для оценки индексов жесткости фликера.
6.4 Характеристики полного сопротивления системы
Наличие информации о характеристиках системы электроснабжения является необходимым условием как для сетевой организации при определении норм эмиссии, так и для пользователя конкретной установки при измерении и оценке уровня эмиссии его установки.
Для низковольтных систем принято использовать мощность короткого замыкания или сопротивление системы питания (кроме вклада двигателей или другого оборудования, подключенного к ней) на основной частоте. Так же, как и в
6.3, рекомендуется учитывать худшие эксплуатационные режимы, включая непредвиденные ситуации, в которых должна работать разработанная система.
Характеристики системы могут значительно различаться со временем. Таким образом, когда ожидаются важные изменения между нынешней и будущей конфигурацией системы, должен быть предоставлен другой набор данных системного сопротивления, для того чтобы пользователь мог оценить свои уровни эмиссии для сравнения обеих ситуаций и достичь оптимальной конструкции своего оборудования.
Применительно к гармоникам процедура, приведенная в настоящем стандарте, не учитывает возможные случаи резонанса на уровне низкого напряжения. Когда может возникнуть резонанс, требуется более подробная оценка или моделирование. Следует принять во внимание, что другие объекты пользователя также влияют на сопротивление системы. Особое внимание необходимо обратить на конденсаторные батареи, которые могут изменять резонансы или создавать дополнительные.
Применительно к фликеру рекомендуется использовать мощность короткого замыкания, включая информацию о коэффициенте мощности или эквивалентном полном сопротивления системы питания при проведении оценки.
При установлении норм эмиссии для несимметрии по этапу 2 считают, что полное сопротивление отрицательной последовательности низковольтной системы в POE равно полному сопротивлению положительной последовательности, полученному с учетом мощности короткого замыкания в POE.
Трехфазные нагрузки двигателей в установках других пользователей, подключенных к сети низкого напряжения, могут повлиять на фактическое полное сопротивление отрицательной последовательности, измеряемое в POE.
Следует учитывать, что сетевая организация, как правило, не имеет полной информации о существующих объектах пользователей, поэтому может учитывать только приблизительную информацию.
7 Общий закон суммирования
Координация уровней кондуктивных помех требует принятия гипотез, относящихся к суммированию помех, вызываемых различными установками, создающими помехи. В случае гармоник, фликера или несимметрии, которые вызваны случайными помехами, фактический уровень общих помех в любой точке системы распределения представляет собой результат векторного суммирования помех от каждого отдельного источника.
Опытным путем может быть принят следующий общий закон суммирования для применения на уровне системы электроснабжения:

, (3)
где D - значение результирующего уровня помехи для рассматриваемой совокупности из i источников;
Di - значение уровня помехи, создаваемого одним из источников помех, которые должны быть объединены;

- показатель, который в основном зависит от трех факторов:
- вида помехи,
- выбранного значения вероятности того, что действительное значение не превысит расчетное,
- степени случайных изменений отдельных помех по амплитуде и фазе.
Примечание 1 - Приведенный общий закон суммирования является статистической аппроксимацией основного векторного суммирования применительно к многим случайным источникам. Он используется специально для распределения норм эмиссии установок, для того чтобы определить возможное увеличение уровня помех, которое может быть допущено сетевой организацией.
Примечание 2 - Следует учитывать, что при рассмотрении конкретного источника помех векторное суммирование на практике может привести к снижению уровня помех, хотя общий закон суммирования предполагает только увеличение.
Для целей настоящего стандарта при отсутствии дополнительной конкретной информации могут быть применены показатели, приведенные в
таблице 3.
Таблица 3
Показатели суммирования для гармоник (индикативные значения)
Порядок гармоники | |
h < 5 | 1 |
5 <= h <= 10 | 1,4 |
h > 10 | 2 |
Примечание 1 - Если известно, что гармоники, вероятно, будут находиться в фазе (т.е. разность фазовых углов составит менее 90°), то показатель

должен быть применен для порядка 5 и выше.
Примечание 2 - Более высокие показатели суммирования могут быть использованы для гармоник низкого порядка, вероятность совпадения фаз которых меньше.
7.3 Фликер и быстрые изменения напряжения
Закон суммирования, который лучше всего соответствует результатам измерений, зависит от степени совпадения изменений напряжения, от Pst-процентиля, который используется для оценки, а также от конструкции оборудования, создающего колебания напряжения.
В целом значение

("правило суммирования третьего порядка") использовалось в течение многих лет и рекомендовано для суммирования
Pst (или
Plt) при условии, что дополнительная информация недоступна для обоснования другого значения, как указано в IEC/TR 61000-3-7.
При быстрых изменениях напряжения вероятность совпадения нескольких изменений крайне низка. Поэтому закон суммирования не требуется.
7.4 Несимметрия напряжений
При несимметрии напряжений, на основании доступной информации, в условиях отсутствия дополнительной специфической информации (см.
примечания 1 -
3) показатель

должен быть адаптирован с учетом многочисленных случайных источников несимметрии. Индикативное значение показателя

для суммирования общих источников несимметрии равно
Примечание 1 - Закон суммирования предназначен только для оценки общего воздействия на систему многочисленных случайных или неконтролируемых источников несимметрии, включая воздействие многочисленных случайно связанных однофазных установок, которые создают более или менее случайные флуктуации во времени. Если известно, что несимметрии напряжений, вероятно, будут в фазе и совпадут по времени, следует использовать показатель суммирования

ближе к 1.
Примечание 2 - В случае наличия большой однофазной установки, в которой может (могут) быть выбрана(ны) оптимальная(ые) фаза(ы), к которой(ым) можно подключить установку, следует использовать физические характеристики соединения для оценки ее влияния на систему вместо регулировки показателя общего закона суммирования.
Примечание 3 - Индикативные значения для показателя суммирования базируются не на результатах измерений, а приведены в IEC/TR 61000-3-13 на основе однородного распределения случайных векторов со случайным изменением фазы на 360 градусов и диапазоном значений от 0,1 до 1 относительных единиц. В случае несимметрии векторы, вероятно, сгруппируются по фазе вблизи значений 0 градусов, 60 градусов, 120 градусов и т.д., в зависимости от подключенных фаз (подключение "фаза - фаза" или "фаза - нейтраль") и от коэффициента мощности источников несимметрии.
Для систем, в которых доминирующим источником несимметрии напряжений могут быть большие однофазные нагрузки, закон суммирования не должен быть использован при определении общей несимметрии этих нагрузок. Необходимо рассматривать специфические характеристики схемы подключения и профили изменений нагрузки.
8 Нормы эмиссии гармоник для искажающих установок в низковольтных системах
8.1 Этап 1. Упрощенная оценка эмиссии помех
Для небольших установок, таких как установки жилых зданий, сетевая организация может применять нормы эмиссии гармоник для отдельных образцов оборудования, для того чтобы обеспечить соответствие планируемым уровням. Например, в IEC 61000-3-2 и IEC 61000-3-12 установлены нормы эмиссии гармоник для оборудования, подключаемого к общественным низковольтными системам.
Установка может быть подключена к системе электроснабжения без дальнейшей экспертизы, если все образцы оборудования в установке соответствуют нормам эмиссии, приведенным в IEC 61000-3-2 и IEC 61000-3-12, и если выполняется следующее условие:
Si < Smin, (4)
где Si - согласованная мощность установки пользователя i;
Smin - минимальное значение согласованной мощности низковольтных установок, к которым применяется процедура определения норм эмиссии, установленная в настоящем стандарте.
В соответствии с настоящим стандартом минимальное значение согласованной мощности подключаемых низковольтных установок Smin должно быть указано сетевой организацией в зависимости от системных характеристик.
Примечание - Для того чтобы учесть особенности каждого вида помех, могут быть определены различные минимальные значения согласованной мощности Smin для гармоник, колебаний напряжения и несимметрии.
Наоборот, для больших установок (Si > Smin) или если некоторые элементы оборудования в установке не соответствуют определенным нормам эмиссии, приведенным в IEC 61000-3-2 и IEC 61000-3-12, сетевая организация должна убедиться в том, что планируемые уровни не превышены.
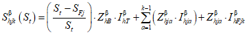
В этом случае подключение установки, создающей помехи, может быть осуществлено по этапу 1, если выполнены следующие условия:
a) пользователь не использует конденсаторы коррекции коэффициента мощности и/или фильтры гармоник;
b) следующее равенство не нарушено:

; (5)
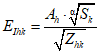
c) для каждого отдельного гармонического порядка эмиссия синусоидального тока меньше, чем принятые нормы, определенные сетевой организацией согласно сетевым характеристикам:

, (6)
где Si - согласованная мощность установки пользователя i;
Ssc - мощность короткого замыкания с точки зрения оценки;
Ihi - гармонический ток порядка h, вызванный искажающей установкой i;
Ii - среднеквадратичный ток (основная частота), соответствующий(ая) согласованной мощности установки пользователя
i (

, где
UN - номинальное междуфазное напряжение низковольтной системы);
EIh - норма эмиссии гармонического тока порядка h, определенного сетевой организацией или владельцем исходя из традиционных характеристик системы для оценки установок по этапу 1.
8.2 Этап 2. Нормы эмиссии по отношению к фактическим характеристикам системы
8.2.1 Общие положения
Учитывая фактическую абсорбирующую способность системы, из-за коэффициента передачи между вышестоящей системой среднего напряжения и рассматриваемой низковольтной системой и разностей фаз синусоидальных токов, а также из-за системного полного сопротивления и характеристик подключаемой установки могут иметь место уровни эмиссии выше, чем в соответствии с критериями этапа 1.
Для определения норм эмиссии гармонических токов по этапу 2 для установок, относящихся к области распространения настоящего стандарта (именуемых ниже "большие установки"), необходимо учитывать, что большинство установок, подключенных к общественным низковольтным системам, являются малыми установками, в составе которых применяется только стандартное оборудование (ниже "небольшие установки"). Кроме того, пропорция небольших и больших установок (с точки зрения мощности), как правило, заранее не известна и во многом зависит от особенностей рассматриваемых низковольтных систем.
Метод, предложенный в настоящем стандарте для больших низковольтных установок, принимает во внимание эмиссию тока от отдельных образцов оборудования, а также то, что текущие нормы для оборудования определены таким образом, что если низковольтная система используется подобным оборудованием на полную проектную мощность, то общий уровень напряжения помех не будет превышать планируемых уровней. С учетом этого процедура установления норм эмиссии для больших низковольтных установок по этапу 2 следующая:
- вначале определяется допустимый общий вклад всех больших и небольших установок, подключенных к данной низковольтной системе, в общий уровень помех для этой низковольтной системы;
- после этого воздействие индивидуальной большой низковольтной установки устанавливается таким способом, чтобы общий уровень помех в низковольтной системе был ниже или равен уровню, полученному при условии, что большая установка заменена группой из небольших установок, имеющих такую же общую мощность.
Благодаря этому уровень помех в результате эмиссии гармоник от всех источников гармоник, подключенных к системе, не будет превышать планируемого уровня.
8.2.2 Общая эмиссия, которая распределяется между пользователями
Задача состоит в том, чтобы установить нормы эмиссии гармонических токов для больших низковольтных установок (см.
раздел 1). В качестве первого шага необходимо определить допустимый общий вклад в искажение напряжения, вызванное рассматриваемой низковольтной системой.
Для этого необходимо применение общего закона суммирования
(3) для определения максимально допустимого общего воздействия всех гармонических источников, присутствующих в конкретной низковольтной системе. Действительно, для каждого гармонического порядка фактическое гармоническое напряжение в низковольтных системах представляет собой векторную комбинацию гармонического напряжения, распространяющегося от вышестоящей системы среднего напряжения и гармонического напряжения, возникающего в результате воздействия всех искажающих источников, подключенных к рассматриваемой низковольтной системе.
Это суммарное значение гармонического напряжения не должно превышать планируемого уровня для низковольтной системы. Общий уровень гармонического напряжения, который может быть отнесен ко всем установкам, подключенным к рассматриваемой системе, рассчитывают по формуле (для получения дополнительной информации см.
C.3 приложения C)

, (7)
где GhLV - наибольший допустимый общий вклад в гармоническое напряжение порядка h в любой точке системы за счет всех низковольтных установок, которые могут быть подключены к рассматриваемой системе (в процентах от напряжения основной частоты);
LhLV - планируемый уровень гармоники порядка h в низковольтной системе;
ThML - коэффициент передачи гармонических искажений напряжения от вышестоящей системы среднего напряжения к рассматриваемой низковольтной системе при гармоническом порядке h (при необходимости он может быть определен путем моделирования или измерений);
LhMV - планируемый уровень гармоники порядка h в вышестоящей системе среднего напряжения;
Примечание - Для упрощения коэффициент передачи, используемый в
формуле (7), рассматривают как одно значение в каждом гармоническом порядке.
Для упрощенной оценки коэффициент передачи ThML от системы среднего напряжения к низковольтной системе может быть принят равным 1. На практике, однако, он может быть менее 1 для гармоник высоких порядков из-за эффекта демпфирования нагрузок или выше, чем 1 (как правило, между 1 и 3) в условиях низких нагрузок при наличии резонанса. Ответственность за определение соответствующих значений в зависимости от характеристик системы лежит на сетевой организации.
8.2.3 Индивидуальные нормы эмиссии
В данном пункте рассмотрена типичная низковольтная система, изображенная на
рисунке 4. Трансформатор среднего/низкого напряжения снабжает
n фидеров через низковольтную шину. Задача состоит в том, чтобы определить нормы эмиссии для установки пользователя
i, подключенной к одному из фидеров.
Рисунок 4 - Упрощенная схема общественной низковольтной
системы для гармоник
Способ определения норм эмиссии гармоник для больших установок, подключенных к общественным низковольтным системам, указан в
приложении C.
Рисунок 4 иллюстрирует, что рассматриваемая установка
i непосредственно влияет на гармоническое напряжение на фидере 1 и также на других фидерах через гармоническое напряжение, которое она вызывает на низковольтной шине. Таким образом, должны быть выполнены два следующих условия:
- общий вклад искажающих низковольтных установок в гармоническое напряжение в любой точке низковольтной системы должен быть ограничен приемлемым общим воздействием, определяемым GhLV;
- общий вклад искажающих низковольтных установок в гармоническое напряжение на шине низкого напряжения должен быть ограничен частью приемлемого общего вклада GhB, который относится к GhLV следующим образом:
где GhB - приемлемый общий вклад в гармоническое напряжение порядка h на шине низковольтной подстанции за счет всех низковольтных установок, которые могут получать питание от рассматриваемой системы (выражается в процентах от напряжения основной частоты);
K
hB - коэффициент уменьшения для гармонического порядка
h, который представляет собой отношение уровня гармонического напряжения на шине низкого напряжения за счет всех установок, подключенных к рассматриваемой низковольтной системе, к максимальному значению уровня гармонического напряжения в низковольтной системе за счет этих установок (указанный максимальный уровень, как правило, достигается в дальнем конце одного из фидеров). Этот коэффициент уменьшения не зависит от уровней эмиссии гармоник и определяется только структурой низковольтной системы (числом и длинами фидеров, распределением установок потребителей и т.д.) и показателем

закона суммирования. Информация об определении K
hB как функции характеристик низковольтной системы представлена в
приложении D, а также в упрощенной таблице, в которой приведено несколько типовых значений K
hB для систем.
В других отношениях нормы эмиссии от оборудования (см. IEC 61000-3-2 и IEC 61000-3-12) определены как ограничения по току независимо от точки, в которой пользователь подключается к низковольтной сети. Таким образом, эмиссия гармонических токов от небольших низковольтных установок, не относящихся к области применения настоящего стандарта, зависит только от общей мощности этих установок. Для того чтобы следовать тому же подходу, нормы эмиссии для больших низковольтных установок также будут выражены в значениях гармонических токов, рассматривая их влияние с точки зрения самого высокого гармонического напряжения, которое они могли бы вызвать в любой точке низковольтной системы.
Примечание 1 - Несмотря на то что подход, применяемый далее для низковольтных установок, основан на нормах эмиссии, определяемых с точки зрения тока, а не напряжения, он по-прежнему соответствует основным понятиям, приведенным в IEC/TR 61000-3-6, так как указанные нормы эмиссии основаны на эффекте, который они оказывают на напряжение.
С учетом изложенных выше соображений и сведений, приведенных в
приложении C, нормы эмиссии гармоник от большой низковольтной установки
i, выраженные через значения тока, рассчитывают по формуле

, (9)
где
EIhi - нормы эмиссии гармоник тока порядка
h для установки
i, подключенной к низковольтной системе (в процентах тока установки, соответствующей согласованной мощности,

);
UN - номинальное междуфазное напряжение низковольтной системы, В;
GhLV - максимальный приемлемый общий вклад в гармоническое напряжение порядка h в любой точке низковольтной системы за счет всех низковольтных установок, которые могут получать питание от рассматриваемой системы (в процентах от основного напряжения);
Si - согласованная максимальная мощность установки пользователя i, ВА;
St - общая пропускная способность рассматриваемой низковольтной системы, включая обеспечение роста нагрузки в будущем. St может также включать в себя вклад от распределенных генераторов, ВА.
Примечание 2 - При выборе St сетевая организация должна рассмотреть потенциальное число распределенных генераторов, которые могут быть подключены к сети. Например, если ожидается применение 50% распределенных генераторов относительно нагрузочной мощности (т.е. номинальной мощности трансформатора среднего/низкого напряжения), St должен быть в 1,5 раза больше номинальной мощности трансформатора среднего/низкого напряжения. Нужно отметить, что в случае использования низковольтных сетей 100%-ное применение является на практике максимальным применением, учитывая большие вариации нагрузок за день;

- показатель закона суммирования (см.
таблицу 3);
min (x, y) - минимальное значение x и y.
Примечание 3 - Минимальное значение должно быть принято для того, чтобы соответствовать обоим условиям, перечисленным в начале
8.2.3. Первое слагаемое K
hB/
ZhB связано с условием гармонического напряжения на шине низкого напряжения. Второе слагаемое 1/
Zhi связано с состоянием гармонического напряжения в любой точке низковольтной системы (см. также
C.4 и
C.8 приложения C);
K
hB - коэффициент уменьшения в гармоническом порядке
h по
формуле (8);
ZhB - модуль гармонического полного сопротивления системы на шине подстанции, Ом;
Zhi - модуль гармонического полного сопротивления системы в точке оценки установки i, Ом.
Может возникнуть ситуация, когда в некоторых расположениях ранее существовавший уровень гармонических напряжений выше, чем нормальная доля для существующих установок. В этом случае можно уменьшить нормы эмиссии для любых новых установок, рассмотреть возможность пересмотра распределения планируемых уровней между различными уровнями напряжения или увеличить значение поглощения гармоник в системе.
Примечание 4 - Оценка может быть произведена на PCC или на POC. Однако следует отметить, что может произойти увеличение гармонических напряжений между PCC и POC, тем более если имеется особый фидер для некоторых больших установок. В этом случае совместимость будет достигнута в системе электроснабжения, но может отсутствовать в установке. Следует также учитывать, что, так как характеристики напряжения или установленные ограничения применяются в точке присоединения, эти эффекты должны быть учтены при согласовании между сторонами.
Нормы эмиссии гармоник, указанные в
формуле (9), зависят от понижающих коэффициентов K
hB. В некоторых низковольтных системах типичные значения K
hB могут привести к слишком высоким нормам гармонических напряжений. В этих случаях значения K
hB должны быть определены на основе фактических особенностей низковольтных систем. Метод оценки K
hB рассмотрен в
приложении D.
Вышеуказанный подход не учитывает резонанс на уровне низковольтных систем. В тех случаях, когда может возникнуть резонанс, на этапе 3 потребуются дополнительные методы, возможно включающие моделирование.
8.2.4 Альтернативные методы для этапа 2
В мире существует большое разнообразие низковольтных систем. Учитывая это, упрощенный метод, представленный выше для этапа 2, может быть излишне консервативным. В конкретном регионе или стране виды низковольтных систем, как правило, менее разнообразны. Поэтому признается, что в некоторых регионах или странах мира могут быть использованы и другие методы распределения норм по этапу 2, и эти методы могут быть более адаптированы к конкретным характеристикам систем.
8.3 Этап 3. Принятие более высоких уровней эмиссии при определенных условиях
Общие положения, представленные в
4.3, применяют к определению норм гармонических напряжений по этапу 3. Общий метод, который может быть применен к этапу 3, приведен также в
приложении E.
8.4 Нормы эмиссии для интергармоник
По отношению к эффектам, перечисленным в
4.2.3, может быть установлен консервативный планируемый уровень для интергармоник 0,2%.
Примечание - Опыт показывает, что в некоторых случаях могут быть приняты более высокие планируемые уровни, например при отсутствии сигналов управления с помощью пульсаций.
Интергармоники могут складываться арифметически только в том случае, если частоты и фазы равны. Такие условия соблюдают нечасто и в течение коротких промежутков времени. По этой причине может возникнуть не более чем двойное значение наибольшего интергармонического напряжения.
Если напряжение интергармоник от большой низковольтной установки ниже 0,1%, помехи этого вида не рассматривают.
Если допускаются более высокие значения, то интергармонические частоты не должны превышать критерия фликера и не должны иметь места в области использования частот пульсаций (и их боковых частот с разносом в два раза более основной частоты, см.
4.2.3).
9 Нормы эмиссии колебаний напряжения для установок в низковольтных системах
9.1 Этап 1. Упрощенная оценка эмиссии помех
Для небольших установок, таких как установки жилых зданий, сетевая организация может применять нормы эмиссии колебаний напряжения для отдельных образцов оборудования, для того чтобы обеспечить соответствие планируемым уровням. Например, в IEC 61000-3-3 и IEC 61000-3-11 установлены нормы колебаний напряжения для оборудования, подключаемого к общественным низковольтным системам.
Установка может быть подключена к системе электроснабжения без дальнейшей экспертизы, если все образцы оборудования в установке соответствуют нормам эмиссии, установленным в IEC 61000-3-3 и IEC 61000-3-11, и если выполнено следующее условие:
Si < Smin, (10)
где Si - согласованная мощность установки пользователя i;
Smin - минимальное значение согласованной мощности низковольтных установок, к которым применяется процедура определения норм эмиссии, установленная в настоящем стандарте.
Минимальное значение согласованной мощности Smin для применения настоящего стандарта должно быть определено сетевой организацией в соответствии с ее системными характеристиками.
Примечание - Для того чтобы учесть особенности каждого вида помех, могут быть определены различные минимальные значения согласованной мощности Smin для гармоник, колебаний напряжения и несимметрии.
Наоборот, для больших установок (Si >= Smin) сетевая организация должна проявлять предельную осторожность, для того чтобы убедиться в том, что планируемые уровни не превышены.
В этом случае подключение флуктуирующей установки может быть осуществлено по этапу 1, если выполнены следующие условия:
a) все единицы оборудования в установке соответствуют нормам эмиссии, определенным в IEC 61000-3-3 и IEC 61000-3-11;
b) процентили изменений полной мощности

относительно мощности короткого замыкания системы
Ssc, измеренные в точке оценки, находятся в пределах, указанных в
таблице 4. Эти нормы зависят от числа
r изменений напряжения в минуту (падение напряжения с последующим восстановлением означает два изменения напряжения).
Таблица 4
Предельные значения по этапу 1 относительных изменений
мощности в зависимости от числа изменений напряжения
в минуту
r, мин-1 |  , % |
r > 200 | 0,1 |
10 <= r <= 200 | 0,2 |
r < 10 | 0,4 |
| | ИС МЕГАНОРМ: примечание. Нумерация примечаний дана в соответствии с официальным текстом документа. | |
Примечание 2 - Изменения полной мощности

могут быть ниже, равны или выше, чем согласованная мощность
Si рассматриваемой установки (например, для двигателя внутри установки следует учитывать его полную мощность при пуске, и можно получить

,
где SN - номинальная мощность двигателя.
9.2 Этап 2. Нормы эмиссии в сопоставлении с фактическими характеристиками системы
9.2.1 Общие положения
Учитывая фактическую абсорбирующую способность системы, могут иметь место более высокие уровни эмиссии, чем эмиссии, основанные на критериях по этапу 1.
На данном этапе допустимый общий вклад в общий уровень эмиссии распределяется для каждой отдельной установки в соответствии с ее долей от общей мощности системы электроснабжения St, к которой подключена эта установка, чем обеспечивается уровень помех из-за эмиссии установок всех пользователей, связанных с системой, не выше планируемого уровня.
Примечание - Нормы, определенные в стандартах, распространяющихся на продукцию IEC 61000-3-3 и IEC 61000-3-11, направлены на ограничение Pst до 1,0 с системным полным сопротивлением, равным опорному сопротивлению или максимально допустимому системному сопротивлению, заявленному изготовителем. В целом образцы оборудования подключены в расположениях с более низкими значениями полного сопротивления системы так, что планируемые уровни не будут превышены. Однако, когда один или несколько образцов оборудования, соответствующих IEC 61000-3-11, подключены к системе, может случиться так, что существующий ранее уровень фликера выше, чем обычная доля для существующих установок. В этом случае следует уменьшить нормы эмиссии для новых установок или увеличить пропускную способность системы по фликеру.
9.2.2 Общая эмиссия, которая распределяется между установками пользователей
Задача состоит в том, чтобы установить нормы эмиссии в низковольтных системах. В качестве первого шага необходимо определить приемлемый общий вклад в уровень фликера, вызванный рассматриваемой низковольтной системой (GPstLV или GPltLV).
Для определения приемлемого общего вклада всех источников фликера, присутствующих в конкретной низковольтной системе, необходимо прежде всего применение общего закона суммирования
(3). Более того, фактический уровень фликера в низковольтной системе является результатом сочетания уровня фликера, исходящего от вышерасположенной системы среднего напряжения с уровнем фликера, вызываемого всеми флуктуирующими источниками, подключенными к рассматриваемой низковольтной системе. Этот общий уровень фликера не должен превышать планируемый уровень для низковольтной системы. Таким образом, общий вклад в уровень фликера, который может быть отнесен к общему числу установок, подключенных к рассматриваемой низковольтной системе, может быть рассчитан следующим образом:

; (11)

, (12)
где GPstLV - наибольший приемлемый общий вклад в уровень фликера в любой точке низковольтной системы за счет всех низковольтных установок, который может быть вызван в рассматриваемой системе (выражается в Pst или Plt);
LPstLV - планируемый уровень фликера (Pst или Plt) в низковольтной системе;
LPstMV - планируемый уровень фликера (Pst или Plt) в вышестоящей системе среднего напряжения;
TPstML - коэффициент передачи фликера (Pst или Plt) от вышестоящей системы среднего напряжения к низковольтной системе (этот коэффициент, как правило, близок к единице, см. IEC/TR 61000-3-7);

- показатель закона суммирования (как указано выше, как правило, применяется значение

).
9.2.3 Индивидуальные нормы эмиссии
Для установки каждого пользователя будет допустима только часть лимита общей эмиссии GPstLV и GPltLV. Разумный подход состоит в том, чтобы применить соотношение между согласованной мощностью Si и общим объемом электропитания St низковольтной системы. Такой критерий связан с тем, что согласованная мощность установки часто связана с долей заказчика в инвестиционных затратах на энергосистему.
Используя рекомендуемый общий закон суммирования
(3), отдельные нормы эмиссии (
EPsti и
EPlti) определяются
уравнениями (13) и
(14), где обычно используется значение

:

; (13)

, (14)
где EPsti - допустимые нормы эмиссии фликера (индексы Pst или Plt) для установки пользователя i, непосредственно получающей питание от низковольтной системы;
GPstLV - максимальный приемлемый общий вклад в уровень фликера в любой точке низковольтной системы за счет всех низковольтных установок, в значениях Pst или Plt);
Si - согласованная полная мощность установки пользователя i, ВА;
St - общая пропускная способность рассматриваемой низковольтной системы, включая обеспечение роста нагрузки в будущем. St может также включать в себя вклад от распределенных генераторов, ВА.
Примечание 1 - При выборе St сетевая организация должна учитывать потенциальный объем распределенной генерации, которая может быть подключена к сети. Например, если ожидается применение 50% распределенной генерации по отношению к нагрузочной мощности (т.е. к номинальной мощности трансформатора среднего/низкого напряжения), значение St должно быть в 1,5 раза больше номинальной мощности трансформатора среднего/низкого напряжения. Следует отметить, что в случае низковольтных сетей, 100%-ное применение является на практике максимальным, учитывая большие вариации нагрузок за день.
Для пользователей, имеющих низкую согласованную мощность, этот подход может привести на практике к неоправданно низким ограничениям. Для таких случаев нормы эмиссии устанавливают в соответствии с
таблицей 5.
Таблица 5
Минимальные нормы эмиссии при низком напряжении
Может возникнуть ситуация, когда в некоторых расположениях имевшийся ранее уровень фликера выше, чем обычная доля для существующих установок. В частности, это может иметь место, когда поблизости находится один или несколько образцов оборудования, соответствующих нормам IEC 61000-3-11. В этом случае нормы эмиссии для новых установок можно уменьшить или увеличить пропускную способность системы по фликеру.
Примечание 2 - Для колебаний напряжения коэффициенты уменьшения не требуются, потому что нормы эмиссии определены путем оперирования понятиями напряжения помех для больших установок и для отдельных образцов оборудования. Однако установленные в настоящее время предельные значения для оборудования в соответствии с IEC 61000-3-3 и IEC 61000-3-11 могут привести к превышению уровня совместимости, поскольку вклад каждого образца оборудования в уровень Pst ограничен значением 1,0.
9.3 Этап 3. Принятие более высоких уровней эмиссии при определенных условиях
Общие положения, представленные в
4.3, применимы к этапу 3 в отношении колебаний напряжения.
9.4 Быстрые изменения напряжения
9.4.1 Общие положения
Визуальный дискомфорт из-за фликера - наиболее частая причина ограничить изменения напряжения за счет флуктуирующих установок. Однако сетевые организации должны поддерживать значение напряжения в узких пределах, а установки отдельных пользователей не должны создавать значительных изменений напряжения, даже если они приемлемы с точки зрения фликера. В контексте требований настоящего стандарта быстрыми изменениями напряжения считают изменения среднеквадратичного значения напряжения основной частоты по нескольким циклам.
a) Эквивалентная схема
b) Векторная диаграмма
Рисунок 5 - Схема замещения и векторная диаграмма
для простых оценок
Рисунок 6 - Пример резкого изменения напряжения, связанного
с запуском двигателя
Простая оценка изменения относительного напряжения может быть рассчитана по следующим формулам (см.
рисунки 5,
6).

; (15)

. (16)
Для однофазных и симметричных трехфазных установок

. (17)
9.4.2 Нормы эмиссии
Координационный подход, применяемый в настоящем стандарте, основан на отдельных нормах эмиссии, полученных на основе планируемых уровней для того, чтобы обеспечить ЭМС. Так как планируемые уровни устанавливают с учетом числа случаев быстрых изменений напряжения, допустимых в течение определенного интервала, нормы эмиссии для отдельных установок должны быть определены сетевой организацией в каждом конкретном случае, с учетом конкретной ситуации и воздействия каждой установки, которая может вызвать быстрое изменение напряжения в рассматриваемой системе. Комбинированное влияние всех установок не должно приводить к быстрым изменениям напряжения, превышающим уровни, установленные сетевой организацией.
10 Нормы эмиссии несимметрии для несимметричных установок в низковольтных системах
Нормы эмиссии, определенные в настоящем разделе, относятся только к трехфазным установкам. Так как сетевая организация несет ответственность за подключение всех установок к общественным низковольтным системам, она также является ответственной за регулирование вопросов несимметрии, вызываемой подключаемыми однофазными установками.
Примечание - Координационный подход, приведенный в настоящем разделе, может быть также использован сетевой организацией для управления подключением однофазных установок к низковольтной системе электроснабжения.
10.2 Этап 1. Упрощенная оценка эмиссии помех
На этапе 1 до проведения детальной оценки характеристик эмиссии или реакции системы электроснабжения может быть приемлемо подключение небольших установок пользователей или установок пользователей с ограниченным объемом несимметричной нагрузки.
Установка может быть подключена к системе энергоснабжения без дальнейшего анализа, если выполнено следующее условие:
Si < Smin, (18)
где Si - согласованная мощность установки пользователя i;
Smin - минимальное значение согласованной мощности низковольтных установок, к которым применяется процедура определения норм эмиссии, разработанная в настоящем стандарте.
Минимальное значение согласованной мощности Smin для применения настоящего стандарта должно быть определено сетевой организацией в зависимости от ее системных характеристик.
Примечание - Для того чтобы учесть особенности каждого вида помех, для гармоник, колебаний напряжения и несимметрии могут быть определены различные минимальные значения согласованной мощности Smin.
Для больших установок (Si >= Smin) подключение установки, создающей несимметрию, может быть принято по этапу 1 без дальнейшего изучения при выполнении следующего условия:

, (19)
где Sui - эквивалент мощности одной фазы при подключении установки, создающей несимметрию i;
Ssc - расчетная мощность короткого замыкания.
10.3 Этап 2. Нормы эмиссии в сравнении с фактическими характеристиками системы
Учитывая фактическую абсорбирующую способность системы за счет факторов синхронности и разности фаз при несимметрии токов, а также полного сопротивления системы и будущей нагрузки, можно обеспечить более высокие нормы эмиссии, чем разработанные на этапе 1.
Большинство установок, подключенных к общественным низковольтным системам, являются небольшими установками, на которые не распространяются нормы эмиссии, установленные в настоящем стандарте. Кроме того, доля установок, подпадающих под действие настоящего стандарта, как правило, неизвестна заранее и в значительной степени зависит от рассматриваемой низковольтной системы. Для определения норм эмиссии несимметрии для установок, которые рассматривают на этапе 2 (для больших установок), необходимо принять во внимание эмиссию несимметрии, производимую всеми другими источниками несимметрии в общественных низковольтных системах. То есть предполагается, что если низковольтная система использована на полную проектную мощность установками, которые не соответствуют области применения настоящего стандарта (т.е. небольшими установками), то общий уровень несимметрии не будет превышать планируемый. С учетом этого процедура определения норм эмиссии для больших низковольтных установок на этапе 2 следующая:
- вначале определяют допустимый общий вклад всех больших и небольших установок, подключенных к данной низковольтной системе, в общий уровень несимметрии в этой низковольтной системе;
- после этого воздействие индивидуальной большой низковольтной установки устанавливают таким образом, чтобы общий уровень несимметрии в низковольтной системе был ниже или равен тому уровню, который был бы достигнут в случае замены этой большой установки группой небольших установок, имеющих ту же общую мощность.
Благодаря этому уровень помех, вызываемых эмиссией всех источников несимметрии, подключенных к системе, не превысит планируемый уровень.
10.3.2 Общая эмиссия, которая распределяется между источниками несимметрии
Задача состоит в том, чтобы установить нормы эмиссии несимметрии для больших низковольтных установок (см.
10.3.1). В качестве первого шага необходимо определить приемлемый общий уровень несимметрии напряжений для рассматриваемой низковольтной системы.
Для определения максимального приемлемого общего вклада всех источников несимметрии, присутствующих в конкретной низковольтной системе, необходимо, прежде всего, применение общего закона суммирования
(3). Действительно, фактический уровень несимметрии в низковольтной системе является результатом векторной комбинации несимметрии напряжений, поступающей из вышестоящей системы среднего напряжения, и несимметрии напряжений, которая создана всеми установками, подключенными к рассматриваемой низковольтной системе. Этот общий уровень несимметрии для системы не должен превышать планируемого уровня. При этом задают общий уровень несимметрии напряжений, который относится к общему количеству установок, подключенных к рассматриваемой низковольтной системе, и рассчитывают по формуле

, (20)
где GuLV - наибольший допустимый общий уровень несимметрии напряжений в любой точке низковольтной системы за счет всех низковольтных установок, подключенных к рассматриваемой системе (выражается коэффициентом несимметрии напряжений u);
LuLV - планируемый уровень несимметрии напряжений в низковольтной системе;
LuMV - планируемый уровень несимметрии напряжений в вышестоящей системе среднего напряжения;
TuML - коэффициент передачи несимметрии напряжений от вышестоящей системы среднего напряжения к рассматриваемой низковольтной системе (при необходимости он может быть определен моделированием или измерениями);

- показатель закона суммирования (см.
7.4).
Примечание - Несимметрия напряжений, созданная несимметрией линейных низковольтных полных сопротивлений, как правило, пренебрежимо мала по сравнению с несимметрией напряжений, созданной несимметричными низковольтными нагрузками в системе. Для упрощения несимметрия линейных низковольтных полных сопротивлений в настоящем стандарте не рассмотрена. Однако в некоторых случаях несимметрия напряжений из-за низковольтных линий не может считаться незначительной (например, при открытых проводных воздушных низковольтных линиях, несущих токи большой силы при расстоянии 100 м и более).
Для начальной упрощенной оценки коэффициент передачи TuML от системы среднего напряжения к низковольтной системе можно принять равным 1. На практике, однако, он часто может быть менее 1 из-за эффекта балансировки трехфазных вращающихся машин, связанных с нисходящей системой. Ответственность за определение соответствующих значений в зависимости от характеристик системы возлагается на сетевую организацию (рекомендации для определения TuML приведены в IEC/TR 61000-3-13, приложение A).
10.3.3 Индивидуальные нормы эмиссии
Рассмотрим типичную низковольтную систему, как показано на
рисунке 7. Трансформатор среднего/низкого напряжения снабжает
n фидеров через низковольтную шину. Цель состоит в том, чтобы определить нормы эмиссии для установки пользователя
i, подключенной к одному из фидеров.
Рисунок 7 - Упрощенная схема общественной низковольтной
системы при несимметрии
Однофазные установки вызывают несимметрию токов пропорционально их мощности. Аналогичным образом небольшие трехфазные низковольтные установки, не соответствующие области применения настоящего стандарта, могут создавать несимметрию токов в зависимости только от их согласованной мощности. Следовательно, эти установки вызывают несимметрию независимо от точки их подключения к низковольтной системе. Для того чтобы учесть это, нормы эмиссии для больших низковольтных установок также будут выражены в значениях несимметрии токов, рассматривая их воздействие с точки зрения наибольшего уровня несимметрии, который они могли бы вызвать в любой точке низковольтной системы.
Примечание 1 - Несмотря на то что подход, предложенный далее для низковольтных установок, основан на нормах эмиссии, которые выражены в единицах тока, а не напряжения, он по-прежнему соответствует основным понятиям, приведенным в IEC/TR 61000-3-13, так как эти нормы эмиссии основаны на том эффекте, который они оказывают на напряжение.
Предложенный метод определения норм эмиссии несимметрии для больших установок, подключенных к общественным низковольтным системам, аналогичен методу, который использован для гармоник (см.
8.2.3). Рассматриваемая установка пользователя
i непосредственно влияет на несимметрию напряжений на фидере 1, а также на другие фидеры через несимметрию напряжений, которое она вызывает на низковольтной шине (см.
рисунок 7).
Поэтому должны быть выполнены следующие условия:
- общий вклад низковольтных установок, создающих несимметрию, в несимметрию напряжений на шине низкого напряжения, должен быть ограничен приемлемым общим вкладом, определяемым GuLV;
- общий вклад несимметричных низковольтных установок в несимметрию напряжений на шине низкого напряжения ограничен частью приемлемого общего вклада GuB, который относится к GuLV и рассчитывается по формуле
где GuB - приемлемый общий вклад в несимметрию напряжений на шине низковольтной подстанции за счет всех низковольтных установок, подключенных к рассматриваемой системе (выражается в единицах коэффициента несимметрии напряжений u);
K
uB - коэффициент уменьшения несимметрии напряжений, который соответствует отношению уровня несимметрии напряжений на шине низкого напряжения за счет всех установок, подключенных к рассматриваемой низковольтной системе, к максимальному уровню несимметрии напряжений в низковольтной системе за счет этих установок (максимальный уровень, как правило, достигается на дальнем конце одного из фидеров). Этот коэффициент уменьшения зависит не от уровней эмиссии несимметрии, а только от структуры низковольтной системы (количества и длин фидеров, распределения установок потребителей и т.д.) и от показателя

, используемого в законе суммирования. Информация об определении K
uB в зависимости от характеристик низковольтной системы приведена в
приложении D, как и типичное значение K
uB для низковольтных систем.
С учетом вышеизложенного нормы эмиссии несимметрии для больших низковольтных установок пользователя i, выраженные в значениях тока, рассчитывают по формуле

, (22)
где
EI2i - нормы эмиссии несимметрии токов для установки пользователя
i, подключенной к низковольтной системе (в процентах от тока установки, соответствующего согласованной мощности

);
UN - номинальное междуфазное напряжение системы, В;
GuLV - максимальный приемлемый общий вклад в несимметрию напряжений в любой точке низковольтной системы за счет всех низковольтных установок, который может быть создан в рассматриваемой системе (в единицах коэффициента несимметрии напряжений u);
Si - согласованная мощность установки пользователя i, ВА;
St - общая пропускная способность рассматриваемой низковольтной системы, включая обеспечение роста нагрузки в будущем. St может также включать вклад от распределенных генераторов, ВА.
Примечание 2 - При выборе St сетевая организация должна учитывать потенциальный объем распределенной генерации, которая может быть подключена к сети. Например, если ожидается применение 50% распределенной генерации по отношению к нагрузочной мощности (т.е. к номинальной мощности трансформатора среднего/низкого напряжения), значение St должно быть в 1,5 раза более номинальной мощности трансформатора среднего/низкого напряжения. Следует отметить, что в случае низковольтных сетей 100%-ное применение является на практике максимальным, учитывая большие вариации нагрузок за день;

- показатель закона суммирования
(7.4);
min (x, y) - представляет минимальное значение x и y;
Примечание 3 - Для соответствия обоим условиям, указанным в начале этого раздела, должно быть принято минимальное значение. Первое слагаемое KuB/ZB связано с состоянием несимметрии напряжений на шине низкого напряжения. Второе слагаемое 1/Zi связано с состоянием несимметрии напряжений в любой точке низковольтной системы.
K
uB - коэффициент уменьшения несимметрии напряжений по
формуле (21);
ZB - модуль сопротивления короткого замыкания низковольтной системы на шине подстанции, Ом;
Zi - модуль сопротивления короткого замыкания системы в точке оценки установки пользователя i, Ом.
В некоторых расположениях может иметь место такая ситуация, при которой ранее существовавший уровень несимметрии напряжений станет выше нормальной доли для существующих установок пользователей. В этом случае можно снизить нормы эмиссии для любых новых установок, пересмотреть распределение планируемых уровней между различными уровнями напряжения или увеличить способность поглощения несимметрии в системе.
Нормы эмиссии несимметрии, которые представлены
формулой (22), зависят от коэффициента уменьшения K
uB. В некоторых низковольтных системах типовое значение K
uB может привести к слишком высоким нормам несимметрии. В этих случаях значение K
uB должно быть определено на основе фактических особенностей низковольтной системы. В
приложении D рассмотрен метод оценки значения этого коэффициента.
10.4 Этап 3. Принятие более высоких уровней эмиссии при определенных условиях
Общие соображения, представленные в
4.3, принимают при выполнении этапа 3, описывающего возникновение несимметрии напряжений.
11 Сводные диаграммы, которые представляют процедуру оценки
Обзор методов оценки, представленных в настоящем стандарте, отображен на
рисунке 8 для гармоник, на
рисунке 9 - для колебаний напряжения и на
рисунке 10 - для несимметрии напряжений.
Для колебаний напряжения процедура оценки в равной степени применима к Pst и Plt.
Рисунок 8 - Схема процедуры оценки гармоник
Рисунок 9 - Схема процедуры оценки колебаний напряжения
Рисунок 10 - Схема процедуры оценки несимметрии
(справочное)
ПРИМЕР ИСПОЛЬЗОВАНИЯ ОБЩЕГО МЕТОДА ДЛЯ ОПРЕДЕЛЕНИЯ НОРМ
ДЛЯ КОНКРЕТНОГО ТИПА НИЗКОВОЛЬТНЫХ СЕТЕЙ
A.1 Обзор
Общий метод, который представлен в настоящем стандарте, может быть применен двумя последовательными шагами:
- расчетом общих параметров, связанных с типом низковольтной сети;
- расчетом индивидуальных параметров и норм эмиссии для конкретной установки.
Мероприятия по первому шагу могут быть проведены техническим экспертом в области распределительных сетей или регулирующим органом; мероприятия по второму шагу - представителем местной сетевой распределительной организации, возможно, с помощью расчетных инструментов, подготовленных техническим экспертом.
В настоящем приложении представлен практический пример технического применения мероприятий по первому шагу. Пример реализации мероприятий по второму шагу приведен в
приложении B.
A.2 Определение значения Smin
К области применения настоящего стандарта относятся только большие установки, размер которых превышает минимальный. Этот минимальный размер Smin должен быть определен сетевой организацией в зависимости:
- от общего числа установок, которые превышают Smin;
- потенциального воздействия установки с согласованной мощностью, равной Smin, на распределительную систему.
С одной стороны, общее число установок, согласованная мощность которых превышает заданное значение S, резко уменьшается при увеличении S. Для того чтобы ограничить число установок для осуществления оценки, с учетом интересов сетевой организации следует выбрать значение Smin как можно выше.
С другой стороны, для установок согласованной мощностью менее Smin применяют только стандарты ЭМС, распространяющиеся на оборудование. Нормы, установленные в этих стандартах, определены на основе предположений о количестве, типе и использовании оборудования, создающего помехи, в небольшой установке, подключенной к системе, на основе расчетного полного сопротивления, представленного в IEC 60725, которое считается опорным исходным сопротивлением для небольших жилых установок. Данные стандарты могут быть неприменимы к большим низковольтным установкам. В частности, в этом случае могут наблюдаться более высокие концентрации помех, созданные оборудованием. Таким образом, оператор системы должен оценить потенциальное воздействие подобных установок на распределительную систему и определить значение Smin так, чтобы установки с согласованной мощностью менее этого значения не приводили к неприемлемым уровням помех. Значение Smin зависит от характеристик системы распределения, в частности ее сопротивлений.
Выбор значения Smin представляет собой компромисс между такими условиями, как ограничение количества установок, эмиссии которых должны быть оценены, и сохранение приемлемых норм эмиссии помех низковольтными установками.
Значение Smin между 30 и 100 кВА следует принимать для большинства типов сетей.
Примечание - Если значение, выбранное для Smin, является высоким, то по первому шагу следует предусмотреть небольшое число больших установок. В этом случае сетевая организация может непосредственно оценить все установки при выполнении второго шага.
A.3 Общая эмиссия, которая будет распределена между пользователями
A.3.1 Гармоники
Максимальный общий вклад в гармоническое напряжение
GhLV гармоник порядка
h, который может быть разделен между всеми низковольтными установками, рассчитывают по
формуле (7):

.
Предполагается, что:
- планируемые уровни напряжения гармоник для низковольтных систем, определенные сетевой организацией, равны уровням совместимости, приведенным в
таблице 1;
- планируемые уровни напряжения гармоник при среднем напряжении, определенные сетевой организацией, равны значениям, приведенным в таблице 2 IEC/TR 61000-3-6;
- коэффициенты передачи гармонических напряжений от системы среднего напряжения до низковольтной системы равны 1;
- показатель закона суммирования соответствует показателям, приведенным в
таблице 3;
- значения максимально допустимого общего вклада
GhLV для нижних нечетных порядков гармоник приведены в
таблице A.1.
Таблица A.1
Пример максимально допустимого общего вклада для напряжений
гармоник
h | LhLV, % | LhMV, % | ThML | | GhLV, % |
3 | 5 | 4 | 1 | 1 | 1,0 |
5 | 6 | 5 | 1 | 1,4 | 2,1 |
7 | 5 | 4 | 1 | 1,4 | 2,0 |
9 | 1,5 | 1,2 | 1 | 1,4 | 0,6 |
11 | 3,5 | 3 | 1 | 2 | 1,8 |
13 | 3 | 2,5 | 1 | 2 | 1,7 |
A.3.2 Колебания напряжения
Максимальный общий вклад в кратковременную или длительную дозу фликера, который может быть разделен между всеми низковольтными установками,
GPstLV или
GPltLV, рассчитывают по
формулам (11) или
(12):

;

.
Предполагается, что:
- планируемые уровни фликера для низковольтных систем, определенные сетевой организацией, равны уровням совместимости, приведенным в
таблице 2;
- планируемые уровни фликера для системы среднего напряжения, определенные сетевой организацией, равны значениям, представленным в таблице 2 IEC/TR 61000-3-7;
- коэффициенты передачи фликера от системы среднего напряжения до низковольтной системы равны 1;
- показатель закона суммирования равен 3.
Значения максимально приемлемого общего вклада в уровень фликера рассчитывают по формулам:

;

.
A.3.3 Несимметрии напряжений
Максимальный общий вклад в несимметрию напряжений, который может быть разделен между всеми низковольтными установками,
GuLV, рассчитывают по
формуле (20):

.
Предполагается, что:
- планируемый уровень несимметрии напряжения для низковольтной системы, определенный сетевой организацией, равен уровню совместимости, приведенному в
4.2.5;
- планируемый уровень несимметрии напряжений для системы среднего напряжения, определенный сетевой организацией, равен значениям, представленным в таблице 2 IEC/TR 61000-3-13;
- коэффициент передачи несимметрии напряжений от системы среднего напряжения в низковольтную систему равен 1;
- показатель закона суммирования равен 1,4.
Значение максимально допустимого общего вклада в несимметрию напряжений рассчитывают по формуле

.
A.4 Коэффициенты уменьшения для гармоник и несимметрии
A.4.1 Общие положения
В соответствии с
приложением D коэффициент уменьшения гармонического напряжения порядка
h рассчитывают по формуле

,
где UhB(St) - вклад всех низковольтных установок в уровень гармонического напряжения h на шине низковольтной подстанции;
UhFj (St) - вклад всех низковольтных установок в уровень гармонического напряжения h на дальнем конце фидера.
Коэффициенты уменьшения для гармоник и несимметрии следует определять отдельно для каждого типа низковольтных сетей, в основном для сетей с воздушными линиями и для сетей с подземными кабелями.
Метод, который использован далее, предусматривает выполнение следующих этапов:
- определение характеристик рассматриваемого типа сетей;
- анализ влияния параметров сети на соотношение UhB/UhFj;
- расчет напряжений сети при различных конфигурациях сети;
- устранение нереалистичных конфигураций;
- определение значений коэффициента уменьшения.
Также приведена информация по методу, которая может быть использована для расчета гармоник (или несимметрии напряжений) в любом узле низковольтной сети.
Далее этот общий метод применяют в случае наличия низковольтных сетей с воздушными линиями для расчета коэффициентов уменьшения гармоник, не кратных трем.
A.4.2 Определение характеристик рассматриваемого типа сетей низкого напряжения
Вначале должна быть определена структура рассматриваемого типа сети. В соответствии с
приложением D общая схема низковольтной сети для расчета уровней гармонических напряжений может быть представлена, как указано на
рисунке A.1:
n - число фидеров;
m - число узлов между низковольтной шиной и дальним концом фидера j, в зависимости от рассматриваемого фидера (исключая низковольтную шину и включая конец фидера);
Njk - узел k на фидере j;
St - суммарная пропускная способность рассматриваемой системы;
SFj - полная мощность всех установок, подключенных к фидеру j;
Sjk - полная мощность всех установок, получающих питание от узла Njk;
h - порядок гармоники;

- модуль гармонического полного сопротивления системы на шине низкого напряжения;
Zhjk - модуль гармонического полного сопротивления системы на узле Njk;
IhT - гармонический ток порядка h, протекающий через трансформатор среднего/низкого напряжения;
Ihjk - эмиссия гармонического тока от установок потребителей, подключенных к узлу Njk;
IhFjk - гармонический ток порядка h, протекающий через фидер j непосредственно перед узлом Njk;
UhB (St) - вклад всех низковольтных установок в гармоническое напряжение порядка h на шине низковольтной подстанции;
UhFj (St) - вклад всех низковольтных установок в гармоническое напряжение порядка h на дальнем конце фидера j;
Uhjk (St) - вклад всех низковольтных установок в гармоническое напряжение порядка h на узле Njk.
Рисунок A.1 - Упрощенная схема общественной низковольтной
системы для расчета уровней гармоник
В рассматриваемом примере приняты следующие упрощения:
- шина подстанции питает n идентичных низковольтных фидеров;
- каждый низковольтный фидер - воздушная линия, имеющая одинаковое поперечное сечение по своей общей длине без учета ответвлений;
- установки пользователей равномерно распределены вдоль фидеров;
- низковольтная система и нагрузки, связанные с ней (только для определения коэффициента уменьшения гармоник), сбалансированы.
Затем должны быть определены диапазоны сетевых параметров, которые будут приняты во внимание.
В соответствии с
формулой (D.11) приложения D сетевые параметры, которые будут учтены при расчете коэффициента уменьшения K
hB, следующие:
- St - общая пропускная способность низковольтной системы;
- n - число низковольтных фидеров (для фидеров, являющихся одинаковыми, SFJ рассчитывают от St и n);
- lF - длина низковольтных фидеров;
-

- комплексное гармоническое сопротивление надземной линии на единицу длины (сложное гармоническое сопротивление

вычисляют с учетом

,

,
lF, при этом
m - количество узлов на каждом низковольтном фидере и
k - количество узлов на фидере
Fj);
- h - гармонический порядок;
-

- показатель закона суммирования для небольших установок.
Следующие параметры можно не учитывать при расчете:
- m - число узлов на каждом фидере (это число не оказывает влияния, если его значение достаточно велико) (>= 10);
- Sjk - полная мощность всех установок, снабжаемых узлом Njk, которую рассчитывают из St, n и m;
-

- комплексное гармоническое сопротивление системы на шине, которая главным образом зависит от расчетного питания трансформатора среднего/низкого напряжения, питающего низковольтную сеть.
В рассматриваемом примере предполагается, что сетевые параметры имеют следующие диапазоны значений:
- St - от 50 до 1000 кВ·А;
- n - от 1 до 8 низковольтных фидеров;
- lF - от 50 до 1000 м;
-

соответствует линии, изготовленной из меди с поперечным сечением от 12 до 48 мм
2 или из алюминия с поперечным сечением от 35 до 75 мм
2;
- h - от 5 до 37 (порядки, не кратные трем, нечетные);
-

- от 1,0 до 2,0.
A.4.3 Метод расчета гармонических напряжений
В настоящем пункте представлена последовательность расчета гармоник в любом узле и гармонических токов в любой ветви низковольтной системы, представленной на
рисунке A.1, с помощью простых методов.
Согласно
приложению D все гармонические токи и напряжения, связанные с низковольтными установками, пропорциональны одному и тому же коэффициенту (этот коэффициент называют A
h, теоретические основы его расчета представлены в
приложении D). Таким образом, расчет гармонических величин можно производить в два этапа. На первом этапе выбирают значение одного порядка, из которого вычисляют все остальные значения. На втором этапе реальные значения гармонических токов и напряжений обновляют путем умножения всех значений, полученных на первом этапе, на правильный коэффициент пропорциональности. Этот коэффициент определяется путем установления таких ограничений: максимальное значения гармонических напряжений для низковольтных фидеров, гармонические токи, создаваемые установкой с заданной полной мощностью, и т.д.
В данном случае необходимы исключительно соотношения UhB/Uhjk, которые не зависят от коэффициента пропорциональности. Поэтому ниже подробно описана только методика, используемая для первого этапа.
Шаг 1. Выбор значения уровня гармонического напряжения на шине низковольтной подстанции
Вклад всех низковольтных установок в гармоническое напряжение на шине низковольтной подстанции фиксируют при произвольном значении, например:
UhB(St) = 1%.
Шаг 2. Выбор значения для m
Значение m должно быть более или равно 10. Например, описанное в настоящем приложении значение m = 20.
Шаг 3. Расчет модулей полных гармонических сопротивлений ZhB и Zhjk
- ZhB - рассчитывают исходя из номинальной мощности трансформатора среднего/низкого напряжения;
-
Zhjk - рассчитывают исходя из комплексного гармонического сопротивления

, комплексного гармонического сопротивления фидеров на единицу длины

, длины фидеров
lF, числа узлов на фидер
m и числа узлов
k на фидер
j.
Шаг 4. Расчет полной мощности всех установок, подключенных к фидеру j
В целом

. (A.1)
Если n фидеров одинаковые, то

. (A.2)
Шаг 5. Вычисление гармонического тока, пропускаемого через трансформатор среднего/низкого напряжения

. (A.3)
Шаг 6. Расчет эмиссии гармонического тока установками пользователей, подключенными к узлу Njk

. (A.4)
Поэтому

. (A.5)
Шаг 7. Расчет гармоник тока, протекающего через фидер j, исключительно в вышестоящий узел Njk

(A.6)
или

(A.7)
Шаг 8. Расчет вклада всех низковольтных установок в гармоническое напряжение на первом узле Nj1 фидера j

. (A.8)
Поэтому для узла Nj1

. (A.9)
И наконец,

. (A.10)
Шаг 9. Расчет вклада всех низковольтных установок в гармоническое напряжение на других узлах Nja (2 <= a <= m) фидера j

. (A.11)
Поэтому

. (A.12)
И наконец, для (2 <= a <= m):

. (A.13)
A.4.4 Анализ влияния параметров сети на гармоники
Для нахождения минимального значения отношения U
hB/U
hFj [см.
формулу D.11) приложения D] необходимо проанализировать влияние параметров сети на этот коэффициент, что позволит устранить параметры, которые оказывают незначительное влияние на это соотношение.
Методика заключается в выполнении трех следующих шагов:
- определение частного случая, который примерно соответствует среднему случаю рассматриваемого типа низковольтных сетей;
- анализ влияния каждого из сетевых параметров, перечисленных в
4.2, на соотношение U
hB/U
hFj;
- определение доминирующих параметров сети.
Для типов сетей, рассмотренных в настоящем приложении, выбраны следующие характеристики для конкретного типа сети, которые использованы для анализа влияния параметров сети:
- St = 250 кВА;
- n = 5 низковольтных фидеров;
- lF = 300 м;
-

соответствует линии, изготовленной из алюминия сечением 35 мм
2;
- h = 5;
-

.
Когда изменение соотношения U
hB/U
hFj является функцией каждого из параметров, остальные параметры могут быть заданы конкретным значением, определенным заранее; они представлены в
таблицах A.2 -
A.7, приведенных ниже.
Таблица A.2
Влияние общей пропускной способности низковольтной системы
на соотношение UhB/UhFj (пример)
St, кВА | 50 | 100 | 160 | 250 | 400 | 630 | 1000 |
UhB/UhFj | 0,89 | 0,81 | 0,74 | 0,63 | 0,51 | 0,38 | 0,33 |
Таблица A.3
Влияние числа фидеров в низковольтных системах
на соотношение UhB/UhFj (пример)
n | 2 | 3 | 4 | 5 | 6 | 7 | 8 |
UhB/UhFj | 0,43 | 0,52 | 0,58 | 0,63 | 0,67 | 0,70 | 0,73 |
Таблица A.4
Влияние длины низковольтных фидеров
на соотношение UhB/UhFj (пример)
lf, м | 50 | 100 | 200 | 300 | 400 | 500 | 600 | 800 | 1000 |
UhB/UhFj | 0,93 | 0,85 | 0,74 | 0,63 | 0,56 | 0,49 | 0,44 | 0,36 | 0,31 |
Таблица A.5
Влияние полного сопротивления низковольтных фидеров
на соотношение UhB/UhFj (пример)
Линейные характеристики | Cu 12 мм2 | Al 35 мм2 | Al 55 мм2 | Al 75 мм2 |
UhB/UhFj | 0,61 | 0,63 | 0,65 | 0,65 |
Таблица A.6
Влияние нечетных гармоник на соотношение UhB/UhFj (пример)
h | 5 | 7 | 11 | 13 | 17 | 19 | 23 | 25 |
UhB/UhFj | 0,63 | 0,65 | 0,65 | 0,66 | 0,66 | 0,66 | 0,66 | 0,66 |
Таблица A.7
Влияние показателя закона суммирования на соотношение
UhB/UhFj (пример)
| 1,0 | 1,1 | 1,2 | 1,3 | 1,4 | 1,5 | 1,6 | 1,7 | 1,8 | 1,9 | 2,0 |
UhB/UhFj | 0,69 | 0,68 | 0,66 | 0,65 | 0,63 | 0,62 | 0,61 | 0,60 | 0,58 | 0,57 | 0,56 |
Согласно данным, приведенным в
таблицах A.2 -
A.7, соотношение U
hB/U
hFj в малой степени зависит от характеристик линий, гармонического порядка (в случае гармонических порядков, не кратных трем) и показателя закона суммирования. Таким образом, в случае рассмотренной низковольтной сети и гармонических порядков, не кратных трем, доминирующими параметрами сети являются:
- St - общая пропускная способность низковольтной системы;
- n - число низковольтных фидеров;
- lF - длина низковольтных фидеров.
Для гармонических порядков, не кратных трем, в низковольтных сетях с воздушными линиями результаты подобны, за исключением того, что по сравнению:
- с гармоническими порядками, не кратными трем, соотношение UhB/UhFj очень различается для гармонических порядков, кратных трем;
- другими гармоническими порядками, кратными трем, отношение UhB/UhFj ниже для порядка 3.
A.4.5 Расчет гармонических напряжений при различных конфигурациях сети
В настоящем пункте соотношение U
hB/U
hFj рассмотрено как функция доминирующих параметров сети, определенных в
A.4.4. В
таблицах A.8 -
A.11 представлено значение данного коэффициента как функции
St и
n при учете четырех вариантов различной длины низковольтных фидеров. Необходимо отметить, что
n > 2, потому что отсутствует необходимость рассматривать коэффициент уменьшения K
hB при наличии исключительно одного низковольтного фидера.
Таблица A.8
Соотношение U
hB/U
hFj для низковольтного фидера длиной 100 м
(пример)
| | ИС МЕГАНОРМ: примечание. Здесь и далее ячейки, выделенные серой "заливкой" в официальном тексте документа, в электронной версии документа обозначены символом "&". | |
Число фидеров | Общая пропускная способность St, кВА |
50 | 100 | 160 | 250 | 400 | 630 | 1000 |
2 | 0,91 | 0,85 | 0,79 | 0,71 | 0,60 | 0,49 | & 0,43 |
3 | 0,94 | 0,89 | 0,85 | 0,79 | 0,69 | 0,58 | 0,52 |
4 | 0,95 | 0,92 | 0,89 | 0,83 | 0,74 | 0,64 | 0,58 |
5 | 0,96 | 0,93 | 0,91 | 0,85 | 0,78 | 0,68 | 0,63 |
6 | 0,97 | 0,94 | 0,92 | 0,88 | 0,81 | 0,72 | 0,67 |
7 | 0,97 | 0,95 | 0,93 | 0,89 | 0,83 | 0,75 | 0,70 |
8 | 0,98 | 0,96 | 0,93 | 0,91 | 0,85 | 0,78 | 0,73 |
Таблица A.9
Соотношение U
hB/U
hFj для низковольтного фидера длиной 300 м
(пример)
Число фидеров | Общая пропускная способность St, кВА |
50 | 100 | 160 | 250 | 400 | 630 | 1000 |
2 | 0,77 | 0,65 | 0,55 | 0,43 | & 0,32 | & 0,23 | & 0,19 |
3 | 0,83 | 0,72 | 0,63 | 0,52 | 0,40 | & 0,29 | & 0,25 |
4 | 0,86 | 0,78 | 0,69 | 0,58 | 0,46 | & 0,34 | & 0,29 |
5 | 0,89 | 0,81 | 0,74 | 0,63 | 0,51 | 0,38 | & 0,33 |
6 | 0,91 | 0,83 | 0,77 | 0,67 | 0,55 | 0,42 | & 0,37 |
7 | 0,92 | 0,85 | 0,79 | 0,70 | 0,58 | 0,46 | & 0,40 |
8 | 0,93 | 0,87 | 0,81 | 0,73 | 0,61 | 0,49 | & 0,43 |
Таблица A.10
Соотношение UhB/UhFj для низковольтного фидера длиной 500 м
(пример)
Число фидеров | Общая пропускная способность St, кВА |
50 | 100 | 60 | 250 | 400 | 630 | 1000 |
2 | 0,66 | 0,51 | & 0,41 | & 0,31 | & 0,21 | & 0,15 | & 0,12 |
3 | 0,74 | 0,60 | 0,50 | & 0,38 | & 0,27 | & 0,19 | & 0,16 |
4 | 0,79 | 0,66 | 0,56 | 0,44 | & 0,32 | & 0,23 | & 0,19 |
5 | 0,82 | 0,70 | 0,61 | 0,49 | 0,37 | & 0,26 | & 0,22 |
6 | 0,85 | 0,74 | 0,65 | 0,53 | 0,40 | & 0,29 | & 0,25 |
7 | 0,86 | 0,77 | 0,68 | 0,57 | 0,43 | & 0,32 | & 0,27 |
8 | 0,88 | 0,79 | 0,70 | 0,60 | 0,46 | 0,34 | & 0,30 |
Таблица A.11
Соотношение U
hB/U
hFj для низковольтного фидера длиной 1000 м
(пример)
Число фидеров | Общая пропускная способность St, кВА |
50 | 100 | 60 | 50 | 400 | 630 | 1000 |
2 | 0,48 | & 0,33 | & 0,25 | & 0,17 | & 0,12 | & 0,08 | & 0,06 |
3 | 0,57 | 0,41 | & 0,31 | & 0,23 | & 0,15 | & 0,10 | & 0,08 |
4 | 0,63 | 0,47 | & 0,37 | & 0,27 | & 0,18 | & 0,12 | & 0,10 |
5 | 0,68 | 0,52 | 0,41 | & 0,31 | & 0,21 | & 0,14 | & 0,12 |
6 | 0,71 | 0,56 | 0,45 | & 0,34 | & 0,24 | & 0,16 | & 0,14 |
7 | 0,74 | 0,60 | 0,49 | 0,37 | & 0,26 | & 0,18 | & 0,15 |
8 | 0,76 | 0,63 | 0,52 | 0,40 | & 0,28 | & 0,20 | & 0,16 |
A.4.6 Устранение нереалистичных конфигураций
Некоторые конфигурации, изученные в
A.4.5, приводят к крайне низким значениям соотношения U
hB/U
hFj. Однако эти конфигурации нереалистичны, потому что они соответствуют чрезмерно высоким значениям падения напряжения вдоль низковольтных фидеров. Поэтому нереалистичные конфигурации должны быть устранены до определения значений K
hB.
Например, в
таблицах A.8 -
A.11 ячейки, соответствующие падениям напряжения выше 10%, выделены цветом как нереалистичные конфигурации.
Примечание - В этом случае согласно предположениям, сделанным в
A.4.2, поперечное сечение проводника считалось постоянным независимо от числа фидеров.
A.4.7 Определение значений понижающих коэффициентов для гармоник
После использования указанного выше метода можно определить значения коэффициента уменьшения. При этом могут быть представлены:
- либо значение KhB;
- либо таблицы, содержащие значение K
hB, как функции соответствующих сетевых параметров (см.
таблицы A.8 -
A.11).
Если предпочтительно иметь только одно значение коэффициента уменьшения, рекомендуется, чтобы выбранное значение K
hB было минимальным значением соотношения U
hB/U
hFj (см.
D.8 приложения D). В конкретном случае, рассматриваемом в настоящем приложении,
таблицы A.8 -
A.11 даны для нечетных гармонических порядков, не кратных трем.
KhB = 0,34.
При проведении тех же расчетов для гармонических порядков, кратных трем, результаты были бы следующие:
KhB = 0,15 для h = 3;
KhB = 0,12 для h > 3.
Значение коэффициента уменьшения K
hB для рассматриваемого типа низковольтных сетей приведено в
таблице A.12.
Таблица A.12
Коэффициент уменьшения K
hB как функция гармонического
порядка (пример)
| 3 | 5 | 7 | 9 | 11 | 13 | 15 | 17 | 19 | 21 | 23 | 25 |
KhB | 15 | 0,34 | 0,34 | 0,12 | 0,34 | 0,34 | 0,12 | 0,34 | 0,34 | 0,12 | 0,34 | 0,34 |
Другой вариант состоит в том, чтобы определить значение K
hB в зависимости от конфигурации сети. В этом случае следует предоставить таблицы или инструмент вычисления, дающий значение K
hB как функцию соответствующих параметров сети, таким образом, чтобы сетевая организация могла выбрать соответствующее значение K
hB для применения формулы норм эмиссии при излучении подключения определенной установки к низковольтной системе, например: в случае необходимости подключения низковольтной установки к трансформатору среднего/низкого напряжения на 250 кВА и четырех фидеров длиной 200 м согласно
таблице A.9 K
hB = 0,58 для нечетных гармонических порядков, не кратных трем.
A.4.8 Определение коэффициента уменьшения для несимметрии
Аналогичные расчеты могут быть проведены для несимметрии. В этом случае анализ влияния параметров сети показывает, что доминирующими параметрами сети являются:
- St - общая пропускная способность низковольтной системы;
- n - число низковольтных фидеров;
- lF - длина фидеров;
-

- комплексное сопротивление воздушной линии на единицу длины.
После расчета несимметрии напряжений при различных конфигурациях сети и устранения нереалистичных конфигураций может быть предоставлено либо единственное значение KuB или таблицы, дающие значение KuB в качестве функции соответствующих параметров сети.
При проведении аналогичных расчетов (последовательно от
A.4.2 до
A.4.7) может быть получено следующее значение понижающего коэффициента для несимметрии напряжений:
KuB = 0,27.
(справочное)
ПРИМЕР ИСПОЛЬЗОВАНИЯ ОБЩЕГО МЕТОДА ДЛЯ РАСЧЕТА НОРМ ЭМИССИИ
ДЛЯ КОНКРЕТНОЙ УСТАНОВКИ
B.1 Обзор
Общий метод, представленный в настоящем стандарте, может быть применен двумя последовательными шагами:
- расчетом общих параметров, связанных с типом низковольтной сети;
- расчетом индивидуальных параметров и норм эмиссии для конкретной установки.
Мероприятия по первому шагу могут быть проведены техническим экспертом в области распределительных сетей или регулирующим органом; мероприятия по второму шагу - представителем местной сетевой организации, возможно, с помощью расчетных инструментов, подготовленных техническим экспертом.
Практический пример технического применения мероприятий по первому шагу приведен в
приложении A. Пример реализации мероприятий по второму шагу представлен в настоящем приложении.
B.2 Описание рассматриваемого случая
В качестве примера применения метода, описанного в настоящем стандарте, рассмотрен следующий частный случай. Новая установка должна быть подключена к низковольтной сети, и сетевая организация должна определить нормы эмиссии для гармоник, фликера и несимметрии. В данном случае предполагается, что:
- UN = 400 В;
-
St = 400 кВА (общее сопротивление вышестоящей системы среднего напряжения и трансформатора среднего/низкого напряжения должно быть равно

);
- n = 6;
- Si = 100 кВА (согласованная полная мощность рассматриваемой установки);
- рассматриваемая установка подключена к шине низкого напряжения алюминиевой воздушной линией длиной 50 м сечением 75 мм
2 (

для линейных проводников и

для нейтрального проводника);
- lF = 300 м (для других фидеров).
B.3 Общие параметры, подлежащие рассмотрению
Значения общих параметров, связанных с рассматриваемым типом сети, представлены в
приложении A. Местная сетевая организация может принять эти значения во внимание для расчета предельных значений эмиссии для конкретной установки.
В настоящем приложении общие параметры, относящиеся к рассматриваемому типу сети, имеют следующие значения.
Минимальная мощность больших установок: Smin = 50 кВА.
Нормы для каждого индивидуального гармонического порядка
EIh, определенные для оценки установки при первом шаге с учетом консервативных характеристик сети, приведены в
таблице B.1.
Таблица B.1
Пример консервативных норм эмиссии гармонических токов
для оценки на этапе 1
Гармонический порядок h | 3 | 5 | 7 | 9 | 11 | 13 | > 13 и <= 40 |
Нормы эмиссии гармонических токов EIh, % | 4 | 5 | 5 | 1 | 3 | 3 | |
Для гармоник наибольший допустимый общий вклад и коэффициент уменьшения K
hB приведены в
таблице B.2 для более низких
GhLV порядков нечетных гармоник.
Примечание - В данном примере предполагается, что при среднем напряжении отсутствует нейтральный проводник. Поэтому планируемые уровни гармонических напряжений для порядков, кратных трем, в системе среднего напряжения могут быть выбраны существенно ниже значений, приведенных в
таблице A.1 приложения A. Это приводит к более высоким значениям максимального приемлемого общего вклада для порядков гармоник, кратных трем.
Таблица B.2
Значения общих параметров для гармоник
h | 3 | 5 | 7 | 9 | 11 | 13 |
GhLV, % | 4,0 | 2,1 | 2,0 | 1,2 | 1,8 | 1,7 |
KhB | 0,15 | 0,34 | 0,34 | 0,12 | 0,34 | 0,34 |
Для колебаний напряжения максимально допустимые общие вклады GPstLV и GPltLV равны:
GPstLV = 0,65;
GPltLV = 0,55.
При несимметрии напряжений максимально приемлемый общий вклад GuLV и коэффициент уменьшения KuB равны:
GuLV = 0,5%;
KuB = 0,27.
B.4 Нормы эмиссии гармоник
Согласованная полная мощность установки пользователя (
Si = 100 кВА) выше, чем значение
Smin (50 кВА). Таким образом, следует применять процедуру, описанную в
разделе 8.
Расчет мощности короткого замыкания в точке оценки рассматриваемой установки дает следующие результаты:
Ssc = 3 375 кВА, Si/Ssc = 3,0%.
Условие (5) не выполнено. Подключение установки не может быть принято на этапе 1, и должен быть применен этап 2.
Поэтому нормы эмиссии гармоники рассчитывают по
формуле (9)

.
При первом приближении модуль гармонического полного сопротивления системы на шине низковольтной подстанции рассчитывают следующим образом:

,
где
RB - резистивная часть сопротивления

на основной частоте (
RB = 0,007 Ом);
XB - реактивная часть сопротивления

на основной частоте (
XB = 0,020 Ом);
h - гармонический порядок.
При условии симметрии низковольтной системы и подключенных к ней нагрузок модуль гармонического полного сопротивления системы питания в точке оценки установки пользователя рассчитывают следующим образом:

,
где li - длина фидера между шиной низковольтной подстанции и рассматриваемой установкой (li = 50 м);
rLF - резистивная часть сопротивления проводника фидерной линии на основной частоте (rLF = 0,44 Ом/км);
xLF - реактивная часть сопротивления проводника фидера на основной частоте (xLF = 0,35 Ом/км);
rNF - резистивная часть сопротивления фидера нейтрального проводника на основной частоте (rNF = 0,60 Ом/км);
xNF - реактивная часть сопротивления нейтрального проводника фидера на основной частоте (xNF = 0,35 Ом/км);

- показатель, равный 0 для порядка гармоник, не кратных трем, и 1 для гармоник, кратных трем.
В
таблице B.3 приведены нормы эмиссии, полученные в результате применения
формулы (9), а также значения параметров, используемых для каждого гармонического порядка.
Таблица B.3
Нормы эмиссии для гармоник (с одинарным значением K
hB)
h | GhLV, % | KhB | | ZhB, Ом | Zhi, Ом | EIhi, % |
3 | 4,0 | 0,15 | 1 | 0,060 | 0,295 | 4,0 |
5 | 2,1 | 0,34 | 1,4 | 0,100 | 0,190 | 4,2 |
7 | 2,0 | 0,34 | 1,4 | 0,140 | 0,264 | 2,9 |
9 | 1,2 | 0,12 | 1,4 | 0,180 | 0,819 | 0,5 |
11 | 1,8 | 0,34 | 2 | 0,220 | 0,414 | 2,2 |
13 | 1,7 | 0,34 | 2 | 0,260 | 0,488 | 1,8 |
Нормы эмиссии, полученные в
таблице B.3, являются консервативными, так как использовалось единственное значение K
hB, независимо от реальных характеристик низковольтной сети, к которой должна быть подключена новая установка. Анализируя
A.4.5 приложения A, можно заметить, что действительное значение K
hB для рассматриваемой низковольтной сети (
lF = 300 м,
n = 6,
St = 400 кВА) равно 0,55 для гармоник, не кратных трем.
Если будут представлены таблицы или инструмент расчета, дающий значение K
hB в зависимости от соответствующих параметров сети, то местная сетевая организация получит предельные значения эмиссии, указанные в
таблице B.4.
Таблица B.4
Нормы эмиссии для гармоник (значение K
hB учитывает реальные
характеристики сети)
h | GhLV, % | KhB | | ZhB, Ом | Zhi, Ом | EIhi, % |
3 | 4,0 | 0,26 | 1 | 0,060 | 0,295 | 5,4 |
5 | 2,1 | 0,55 | 1,4 | 0,100 | 0,190 | 6,6 |
7 | 2,0 | 0,55 | 1,4 | 0,140 | 0,264 | 4,5 |
9 | 1,2 | 0,22 | 1,4 | 0,180 | 0,819 | 0,9 |
11 | 1,8 | 0,55 | 2 | 0,220 | 0,414 | 3,5 |
13 | 1,7 | 0,55 | 2 | 0,260 | 0,488 | 2,8 |
B.5 Нормы эмиссии колебаний напряжения
Согласованная полная мощность установки пользователя (
Si = 100 кВА) выше, чем значение
Smin (50 кВА). Таким образом, должна быть применена процедура, описанная в
разделе 9.
Предполагается, что в рассматриваемой установке есть несколько двигателей с номинальной мощностью
SN = 5 кВА и их полная мощность при пуске

. При запуске одного двигателя рассчитывают коэффициент


.
Это соотношение превышает 0,4%, и таким образом нормы, данные в
таблице 4, не соблюдены. Подключение установки не может быть принято на этапе 1, и должен быть применен этап 2.

;

.
Так как эти значения более, чем минимальные значения, допустимые для всех низковольтных установок, и данные в
таблице 5, нормы эмиссии для этих низковольтных установок равны значениям, указанным выше.
B.6 Нормы эмиссии несимметрии
Согласованная полная мощность установки пользователя (
Si = 100 кВА) выше значения
Smin (50 кВА). Таким образом, должна быть применена процедура, приведенная в
разделе 9.
Предполагается, что в рассматриваемой установке большее значение нагрузки связано с двумя фазами, так что
условие (19) не выполняется. Подключение установки не может быть принято на этапе 1, и должен быть применен этап 2.
Поэтому нормы эмиссии несимметрии напряжений рассчитывают в соответствии с
формулой (22)

.
Для модуля полного сопротивления короткого замыкания системы на шине низковольтной подстанции
ZB и в точке оценки установки
Zi применяют обозначения, аналогичные приведенным в
B.4

;

.
В
таблице B.5 представлены нормы эмиссии, полученные в результате применения
формулы (22), вместе со значениями используемых параметров.
Таблица B.5
Нормы эмиссии при несимметрии (с одним значением для K
uB)
GuLV, % | KuB | | ZB, ОМ | Zi, Ом | EI2i, % |
0,5 | 0,27 | 1,4 | 0,021 | 0,047 | 3,8 |
Как и в случае гармоник, нормы эмиссии, приведенные в
таблице B.5, являются консервативными, так как использовалось одно значение K
uB независимо от реальных характеристик сети, к которой должна быть подключена новая установка. Для рассматриваемой сети (
lF = 300 м,
n = 6,
St = 400 кВА, воздушные линии из алюминия с сечением 75 мм
2), действительное значение K
uB равно 0,51. Если представлены таблицы или инструмент расчета, дающий значение K
uB в зависимости от соответствующих параметров сети, местная сетевая организация может получить значение нормы эмиссии
EI2i = 6,3%.
(справочное)
НОРМЫ ЭМИССИИ ДЛЯ ГАРМОНИК НА ЭТАПЕ 2
C.1 Обзор
Задача настоящего приложения состоит в том, чтобы разъяснить метод и предположения, используемые при определении норм эмиссии гармоник для этапа 2, приведенные в
8.2.
Параметры низковольтных систем отличаются от параметров систем среднего напряжения. С одной стороны, большинство установок, подключенных к общественным низковольтным системам, являются небольшими установками, на которые не распространяются нормы эмиссии, определенные в настоящем стандарте. Для этих небольших установок применяют только стандарты ЭМС, распространяющиеся на оборудование. С другой стороны, нормы эмиссии для низковольтного оборудования (см. IEC 61000-3-2 и IEC 61000-3-12) определены как нормы тока, в то время как общий подход, приведенный в IEC/TR 61000-3-6, основан на распределении гармонических напряжений. Таким образом, для низковольтных систем необходимо последовательно адаптировать оба подхода.
В настоящем приложении определение норм эмиссии гармоник для этапа 2 проводят посредством следующих шагов:
a) представление предположений;
b) определение общей эмиссии, которая будет разделена между пользователями системы;
c) описание общих условий для определения индивидуальных норм эмиссии;
d) условие, которое должно будет выполнено на шине низкого напряжения, для того чтобы не превысить допустимые уровни гармоник в этой точке системы;
e) условие, которому должен соответствовать низковольтный фидер, для того чтобы не превышать допустимые уровни гармоники на фидере, к которому подключена рассматриваемая установка;
f) определение индивидуальных норм эмиссии для установки, подключенной к системе.
C.2 Предположения
C.2.1 Общая схема общественной низковольтной системы
В этом приложении рассмотрена типичная низковольтная система, как показано на
рисунке C.1. Трансформатор среднего/низкого напряжения снабжает
n фидеров через низковольтную шину. Трансформатор должен быть полностью загружен. Установки пользователей подключаются к каждому фидеру. Небольшие установки, которые не подпадают под действие установленных в настоящем стандарте норм эмиссии, отличаются от больших установок, к которым применяется настоящий стандарт. На этом
рисунке небольшие установки представлены окружностями, большие установки - в виде квадратов. Задача настоящего приложения состоит в том, чтобы определить нормы эмиссии гармоник для установки пользователя
i, подключенной к фидеру 1.
Рисунок C.1 - Схема общественной низковольтной системы
- Si - согласованная полная мощность установки пользователя i;
- St - общая пропускная способность рассматриваемой низковольтной системы;
- UhB - гармоническое напряжение порядка h на шине низковольтной подстанции;
- UhFj - гармоническое напряжение порядка h на конце фидера j;
- ZhB - модуль гармонического полного сопротивления системы на шине низкого напряжения;
- Zhi - модуль гармонического полного сопротивления системы в точке оценки установки пользователя i;
- n - число фидеров, обеспечиваемых подстанцией среднего/низкого напряжения.
Для того чтобы определить вклад каждого типа установок в гармонические напряжения на низковольтной системе, также будут использованы следующие обозначения:
- SFj - полная мощность всех установок, подключенных к конкретному фидеру j;
- SLt - полная мощность всех больших установок, подключенных к рассматриваемой низковольтной системе;
- SSt - полная мощность всех небольших установок, подключенных к рассматриваемой низковольтной системе;
- SLFj - полная мощность всех больших установок, подключенных к конкретному фидеру j;
- SSFj - полная мощность всех небольших установок, подключенных к конкретному фидеру j;
- UhB (Sxx) - вклад всех установок, соответствующий полной мощности Sxx в гармоническое напряжение порядка h на шине подстанции;
- UhFj (Sxx) - вклад всех установок, соответствующий полной мощности Sxx в гармоническое напряжение порядка h на конце фидера j;
- UhLV (Sxx) - вклад всех установок, соответствующий полной мощности Sxx в гармоническое напряжение порядка h в любой точке низковольтной системы.
C.2.2 Нормы эмиссии для оборудования
Для небольших установок применяют исключительно нормы эмиссии для оборудования, установленные в IEC 61000-3-2 и IEC 61000-3-12. В этом приложении приняты следующие предположения:
- гармонические напряжения ниже или равны планируемым уровням в любой точке низковольтной системы, если она полностью загружена небольшими установками;
- нормы эмиссии для оборудования определены как нормы тока независимо от мощности короткого замыкания в PCC установки, что соответствует IEC 61000-3-2, но не в полной мере IEC 61000-3-12. Однако таблица 4 IEC 61000-3-12 распространяется на большинство типов оборудования с входным током >= 16 А, и последняя строка этой таблицы (Rsce >= 120) применяется во многих случаях.
Именно поэтому разумно предположить, что эмиссии гармоник для небольшой установки не зависят от той точки, в которой она подключена к низковольтной системе.
C.2.3 Небольшие и большие установки
Фундаментальное предположение состоит в том, что процентные доли небольших и больших установок (SSt/St и SLt/St), как правило, неизвестны заранее и зависят от рассматриваемой системы. Поэтому нормы эмиссии для больших установок будут определены таким образом, чтобы большая установка могла заменить ряд небольших установок, имеющих ту же самую общую мощность, без увеличения уровней гармонического напряжения.
В других отношениях небольшие установки, как правило, относятся к установкам жилых помещений, так что поведение двух небольших установок является достаточно схожим, в то время как для больших установок есть намного больше разнообразия в установленном оборудовании и в их функционировании с точки зрения эмиссии гармоник. Поэтому в настоящем приложении предполагается, что разброс фазовых углов будет выше для больших установок или между большими и небольшими установками, чем для небольших установок. Таким образом, используя общий закон суммирования, определенный в
7.2 для гармоник, будут учтены два значения показателя:
-

для того, чтобы увеличить гармоническую эмиссию больших установок;
-

для того, чтобы увеличить гармоническую эмиссию небольших установок;
-

для того, чтобы увеличить общую гармоническую эмиссию группы больших установок и группы небольших установок;
-

.
C.3 Общая эмиссия, которая будет разделена между пользователями
В целях определения общей нормы эмиссии, которая может быть распределена между пользователями, подключенными к данной низковольтной системе, рассмотрена схема общественной низковольтной системы, приведенная на
рисунке C.2, полученная на основе
рисунка C.1.
Рисунок C.2 - Схема общественной низковольтной системы
для разработки норм общей эмиссии, которая распределена
между пользователями
Для каждого гармонического порядка, фактические напряжения гармоник в низковольтной системе UhLV являются результатом векторной комбинации гармонического напряжения, поступающего от вышерасположенных систем среднего напряжения UhLV(Su) и гармонического напряжения от всех установок, подключенных к рассматриваемой низковольтной системе UhLV (St). Это общее гармоническое напряжение не должно превышать планируемый уровень для низковольтной системы. Таким образом:

(C.1)
или

. (C.2)
Так как фактическое гармоническое напряжение в вышестоящей системе среднего напряжения не должно превышать планируемый уровень для системы среднего напряжения, его рассчитывают, принимая во внимание коэффициент передачи ThML

. (C.3)
Таким образом, значения общей эмиссии гармоник, которые могут быть отнесены к общему количеству установок, подключенных к рассматриваемой низковольтной системе, рассчитывают по формуле

, (C.4)
где GhLV - наибольший общий вклад локальных низковольтных установок в гармоническое напряжение порядка h в любой точке низковольтной системы (выраженный в процентах напряжения основной частоты);
LhLV - планируемый уровень гармоники порядка h в низковольтной системе;
LhMV - планируемый уровень гармоники порядка h в вышестоящей системе среднего напряжения;
ThML - коэффициент передачи искажения гармонического напряжения от вышестоящей системы среднего напряжения к рассматриваемой низковольтной системе при гармоническом порядке h;

- показатель закона суммирования для больших установок.
В связи с использованием общего закона суммирования вклад UhLV(St) всех установок, получающих питание от низковольтной системы, в гармоническое напряжение порядка h в этой системе максимален в конце фидеров. Вклад UhB (St) данных установок в гармоническое напряжение на шине низкого напряжения приведен ниже.
Приемлемый общий вклад локальных низковольтных установок в гармоническое напряжение на шине низкого напряжения также определяют как долю максимального общего вклада GhLV и рассчитывают по формуле:
GhB = KhB·GhLV. (C.5)
где GhB - приемлемый общий вклад локальных низковольтных установок в гармоническое напряжение на шине низкого напряжения hth (выраженный в процентах от основного напряжения);
KhB - коэффициент уменьшения гармонического порядка h, соответствующий соотношению общего вклада локальных низковольтных установок на шине низкого напряжения к максимальному общему вкладу на концах низковольтных фидеров, когда низковольтная система полностью загружена небольшими установками;
GhLV - максимальный общий вклад локальных низковольтных установок в гармоническое напряжение hth в любой точке низковольтных систем (выраженный в процентах от основного напряжения).
Этот коэффициент рассчитывают по формуле

. (C.6)
Так как предполагается, что эмиссия гармоник от небольшой установки не зависит от точки, в которой она подключена к низковольтной системе, коэффициент уменьшения K
hB не зависит от уровней эмиссии гармоник, а определяется только структурой низковольтной системы (числом и длинами фидеров, распределением пользователей и т.д.) и показателем

, используемым в законе суммирования. В
приложении D приведены значения K
hB для некоторых типичных низковольтных систем.
C.4 Общие условия для определения индивидуальных норм эмиссии
Нормы эмиссии гармоник для больших установок должны быть определены таким способом, чтобы планируемые уровни не превышались в низковольтных системах. Так как гармонические уровни выше на концах низковольтных фидеров (из-за используемого закона суммирования), это означает, что для каждого фидера j и каждого гармонического порядка h вклад UhFj(St) всех установок, снабжаемых рассматриваемыми системами, в гармоническое напряжение на конце фидера должно быть ниже или равным максимальному общему вкладу GhLV. Это соответствует следующему набору условий n, которые должны быть соблюдены для каждого гармонического порядка следующим образом:

. (C.7)
Однако, рассматривая соединение определенной большой установки, например установки пользователя
i, подключенной к фидеру 1 (см.
рисунок C.1), можно заметить, что эта установка изменяет уровни гармонического напряжения на других фидерах только через гармоническое напряжение на низковольтной шине. Поэтому вклад всех этих низковольтных установок
UhFj(
St) для гармонического напряжения в конце каждого фидера не должен превышать максимальный общий вклад
GhLV, если уровень гармонического напряжения на шине низкого напряжения не превысит приемлемый общий вклад
GhB на уровне шины. Таким образом, набор условий
n (C.7) может быть заменен следующими условиями:
UhB(
St) <= K
hB·
GhLV; (C.8)
Примечание - В настоящем приложении многие формулы представляют собой неравенства. Поэтому для них применено понятие "условие".
C.5 Условие на шине низкого напряжения
C.5.1 Общее условие на шине низкого напряжения
Для определения условий на шине низкого напряжения рассмотрена упрощенная схема общественной низковольтной системы, проиллюстрированная на
рисунке C.3. Эта схема является производной от схемы, приведенной на
рисунке C.1, в которой все небольшие установки объединены в единую эквивалентную нагрузку, имеющую общую полную мощность, равную
SSt, и все большие установки объединены в еще одну эквивалентную нагрузку, имеющую общую полную мощность, равную
SLt.
Рисунок C.3 - Упрощенная схема общественной низковольтной
системы для разработки условий на шине низкого напряжения
Вклад всех низковольтных установок в гармоническое напряжение порядка
h на шине низкого напряжения является векторным сочетанием вклада от небольших установок и от больших установок. Согласно закону суммирования в
C.2.3

. (C.10)
Этот общий вклад
UhB(
St) должен соответствовать
условию (C.8), приведенному в C.4. Поэтому соблюдают условие

. (C.11)
C.5.2 Общий вклад небольших установок
Согласно первому предположению, которое сделано в
C.2.2, и описанию
GhB в
C.3,
условие (C.11) также соблюдается, если к рассматриваемой низковольтной системе подключены только небольшие установки. Таким образом, с учетом показателя закона суммирования для небольших установок:

(C.12)
или

, (C.13)
где Ih(Sk) - гармонический ток порядка h, произведенный небольшой установкой k. Для единственной установки k предполагается, что:

; (C.14)
или

. (C.15)
Согласно второму предположению, сделанному в
C.2.2, предыдущее условие верно, когда все небольшие установки имеют одну и ту же согласованную полную мощность. Предполагается, что это условие верно, если небольшие установки имеют разные значения их согласованной мощности.
Если в настоящее время к рассматриваемой низковольтной системе подключены несколько больших установок, то из
условия (C.15) следует, что общий вклад всех небольших низковольтных установок в гармоническое напряжение порядка
h на шине подстанции рассчитывают по условию

(C.16)
или

, (C.17)
где правая часть этого условия представляет приемлемый общий вклад небольших низковольтных установок в гармоническое напряжение порядка h на шине низковольтной подстанции.
Если согласно
C.2.3,

, то

, и поэтому

. (C.18)
C.5.3 Приемлемый общий вклад небольших установок
Согласно
условию (C.11), общий вклад всех больших низковольтных установок в гармоническое напряжение порядка
h на шине низковольтной подстанции должен соответствовать следующему условию:

. (C.19)
Условие (C.11) по-прежнему выполняется, если общий вклад небольших низковольтных установок заменяется их большим числом, приведенным в
условии (C.18). Таким образом, достаточное условие для общего вклада всех больших низковольтных установок следующее:

. (C.20)
В итоге после упрощения

, (C.21)
где правая часть этого условия представляет собой приемлемый общий вклад больших низковольтных установок в гармоническое напряжение порядка h на шине низковольтной подстанции.
C.5.4 Индивидуальные нормы эмиссии для большой установки на шине низкого напряжения
Для каждой большой установки приемлема только доля допустимого общего вклада согласно
условию (C.21). Взвешенный подход заключается в том, чтобы распределить его между отдельными пользователями в соответствии с их согласованной мощностью. Использование данного критерия вызвано тем, что согласованная мощность пользователя часто связана с его долей в инвестиционных ресурсах энергосистемы. Таким образом, для установки пользователя
i рассчитывают долю допустимого общего вклада по условию

. (C.22)
Это позволяет определить следующие нормы эмиссии гармонического тока для больших низковольтных установок на шине низкого напряжения по формуле

, (C.23)
где
EIBhi - норма эмиссии гармонического тока порядка
h на шине низкого напряжения для установки пользователя
i, подключенной к низковольтной системе (в процентах тока установки в соответствии с ее согласованной полной мощностью,

);
ZhB - модуль гармонического полного сопротивления системы на шине низкого напряжения, Ом;
Un - номинальное междуфазное напряжение низковольтной системы, В;
Si - согласованная полная мощность установки пользователя i, ВА;
K
hB - коэффициент уменьшения при гармоническом порядке
h, как определено в
C.3;
GhLV - максимальный общий вклад локальных низковольтных установок в гармоническое напряжение hth в низковольтной системе (в процентах от основного напряжения);
St - общая пропускная способность рассматриваемой низковольтной системы, ВА;

- показатель закона суммирования для больших установок.
C.6 Условие для низковольтного фидера, к которому подключена большая установка
C.6.1 Общее условие для низковольтного фидера
Для того чтобы определить условие для низковольтного фидера, к которому подключена рассматриваемая большая установка пользователя
i, применяют упрощенную схему общественной низковольтной системы, изображенную на
рисунке C.4. Эта схема основана на схеме, приведенной на
рисунке C.1, в которой:
- все небольшие установки, подключенные к фидеру 1, объединены в единую эквивалентную нагрузку, имеющую общую полную мощность, равную SSF1;
- все другие небольшие установки объединены в другую единую эквивалентную нагрузку, имеющую общую полную мощность, равную SSt - SSF1;
- все большие установки, подключенные к фидеру 1, объединены в единую эквивалентную нагрузку, имеющую общую полную мощность, равную SLF1;
- все другие большие установки объединены в другую единую эквивалентную нагрузку, имеющую общую полную мощность, равную SLT - Slf1.
Рисунок C.4 - Упрощенная схема общественной низковольтной
системы, которая позволяет выработать условие
для низковольтного фидера, к которому
подключена большая установка
Вклад всех низковольтных установок в гармоническое напряжение порядка h на конце фидера 1 является векторной комбинацией вклада от небольших установок и от больших установок, который рассчитывают по условию

. (C.24)
Относительно вклада всех больших (небольших) низковольтных установок в гармоническое напряжение порядка
h на конце фидера 1 можно утверждать, что это - векторная комбинация вклада больших (небольших) низковольтных установок, подключенных к фидеру 1, и вклада всех других больших (небольших) установок в уровень гармоники на шине подстанции LV. Согласно предположениям о законе суммирования в
C.2.3

; (C.25)

. (C.26)

. (C.27)
C.6.2 Общий вклад больших установок, подключенных к другим фидерам
Согласно
условию (C.21) общий вклад больших низковольтных установок, подключенных к другим фидерам, в гармоническое напряжение порядка
h на шине подстанции рассчитывают по формуле

. (C.28)
C.6.3 Общий вклад небольших установок, подключенных к другим фидерам
Согласно
условию (C.17) общий вклад небольших низковольтных установок, подключенных к другим фидерам, в гармоническое напряжение порядка
h на шине подстанции рассчитывают по формуле

. (C.29)
C.6.4 Общий вклад небольших установок, подключенных к тому же самому фидеру
Согласно первому предположению, сделанному в
C.2.2,
условие (C.9) соблюдается, если исключительно небольшие установки подключены к рассматриваемой низковольтной системе. Учитывая предположение о том, что на этапе 1 все большие установки заменены небольшими установками, имеющими аналогичную эквивалентную мощность, то в соответствии с
условиями (C.26) и
(C.9)

; (C.30)
или

. (C.31)
Теперь, принимая во внимание
условие (C.29), приемлемый общий вклад небольших низковольтных установок, подключенных к фидеру 1, рассчитывают по условию

; (C.32)
или

. (C.33)
Если в настоящее время некоторые большие установки также подключены к фидеру 1, общий вклад всех небольших низковольтных установок, подключенных к фидеру 1, в гармоническое напряжение порядка h на конце фидера 1 рассчитывают следующим образом:

. (C.34)
C.6.5 Общий вклад всех небольших установок, подключенных к низковольтной системе
Согласно
условиям (C.26),
(C.29) и
(C.34) общий вклад всех небольших установок, подключенных к низковольтной системе, в гармоническое напряжение порядка
h на конце фидера 1 рассчитывают по условию

; (C.35)
или

. (C.36)
C.6.6 Приемлемый общий вклад всех больших установок, подключенных к рассматриваемому фидеру
Согласно
условию (C.27) общий вклад всех больших низковольтных установок, подключенных к фидеру 1, в гармоническое напряжение порядка
h на конце фидера 1 должен соответствовать следующему условию:

. (C.37)
Кроме того,
условие (C.27) соблюдается в том случае, если общий вклад всех небольших низковольтных установок, подключенных к низковольтным системам, и общий вклад всех больших низковольтных установок, не подключенных к фидеру 1, заменяются соответственно

значением, как указано в
условиях (C.36) и
(C.28). Таким образом, достаточным условием для общего вклада всех больших низковольтных установок, подключенных к фидеру 1, является:

; (C.38)
или

. (C.39)
Для упрощения аргументации
условие (C.39) рассматривают отдельно и временно рассчитывают как
A:

.
Так как

, то
A >= 0.
Значение A также может быть рассчитано следующим образом:

.
Так как

, то
A <= 1.
Поэтому 0 <=
A <= 1, и, так как

согласно предположениям, сделанным в
C.2.3, в итоге
Условие (C.27) соблюдено в том случае, если последнее слагаемое в
условии (C.39) заменено более высоким значением. Таким образом, достаточным условием для общего вклада всех больших низковольтных установок, подключенных к фидеру 1, будет следующее:

; (C.40)
или

; (C.41)
или

; (C.42)
или

. (C.43)
Так как 0 <= K
hB <= 1 и

, получаем:

и

.
Таким образом, достаточным условием для того, чтобы соответствовать общему
условию (C.27), является следующее условие:

. (C.44)
Поэтому приемлемый общий вклад всех больших низковольтных установок, подключенных к фидеру 1, в гармоническое напряжение порядка h на конце фидера 1, рассчитывают по условию:

. (C.45)
C.6.7 Индивидуальные нормы эмиссии для большой установки относительно фидеров
Для каждой большой низковольтной установки, подключенной к фидеру 1, допустима только часть приемлемого общего вклада, данного согласно
условию (C.45). Так же как и в
C.5.4, взвешенным подходом станет распределение его между отдельными пользователями на основе их согласованной мощности. Таким образом, для установки пользователя
i эта часть будет рассчитана по условию:

. (C.46)
Это ведет к определению следующих норм эмиссии гармонического тока для больших низковольтных установок относительно фидеров, которые рассчитывают по формуле

, (C.47)
где
EIFhi - норма эмиссии гармоники тока порядка
h относительно фидеров для установки пользователя
i, подключенной к низковольтной системе (в процентном соотношении от тока установки, соответствующего его согласованной полной мощности

);
Zhi - модуль гармонического полного сопротивления системы при оценке установки пользователя i, Ом;
UN - номинальное межфазное напряжение низковольтной системы, В;
St - согласованная полная мощность установки пользователя i, ВА;
GhLV - максимальный общий вклад локальных установок в гармоническое напряжение в низковольтной системе hth (в процентах напряжения основной частоты);
St - общая пропускная способность рассматриваемой низковольтной системы, ВА;

- показатель закона суммирования для больших установок.
C.7 Индивидуальные нормы эмиссии для больших установок, подключенных к низковольтным системам
Для выполнения
условий (C.8) и
(C.9) показано, что достаточное условие для большой низковольтной установки состоит в том, чтобы удовлетворить обоим
условиям (C.22) и
(C.46). Как следствие, это приводит к определению следующих норм эмиссии гармонического тока для больших установок, подключенных к низковольтным системам, которые рассчитывают по формуле
EIhi = min EIBhi; EIFhi. (C.48)
То есть в результате получаем:

. (C.49)
C.8 Обоснование используемого подхода
Следует отметить, что для низковольтных систем невозможно использовать тот же подход, что и для систем среднего напряжения. Поскольку в IEC/TR 61000-3-6 нормы эмиссии гармоник для отдельных установок определены в значениях гармонических напряжений независимо от их расположений в системе среднего напряжения, то для установок, подключенных к шине среднего напряжения, допустимы

нормы эмиссии гармонических токов, чем для установок, подключенных на дальних концах фидеров среднего напряжения.
Если трансформатор среднего/низкого напряжения полностью загружен бытовыми потребителями и только одной большой установкой, расположенной очень близко к низковольтной шине, то использование того же подхода в низковольтных системах для указанной большой установки, как и в системах среднего напряжения, привело бы к значительному повышению норм эмиссии гармонического тока по сравнению со значениями, рассчитанными по
условию (9), фактически пренебрегая коэффициентом уменьшения K
hB. В этом случае уровень гармонического напряжения на шине низкого напряжения увеличится, и гарантия того, что планируемые уровни не будут превышены на дальних концах низковольтных фидеров, будет отсутствовать.
(справочное)
РАСЧЕТ КОЭФФИЦИЕНТОВ УМЕНЬШЕНИЯ ДЛЯ ГАРМОНИК И НЕСИММЕТРИИ
D.1 Обзор
В соответствии с
C.3 приложения C коэффициент уменьшения в гармоническом порядке
h K
hB рассчитывают по формуле

, (D.1)
где UhB (St) - общий вклад в гармоническое напряжение порядка h на шине подстанции LV за счет всех низковольтных установок, подключенных к рассматриваемой низковольтной системе;
max (UhLV (St)) - максимальное значение общего вклада в гармоническое напряжение порядка h в любой точке рассматриваемой низковольтной системы за счет всех низковольтных установок, подключенных к этим низковольтным системам, когда низковольтная система полностью загружена небольшими установками.
Аналогичным образом рассчитывают коэффициент уменьшения для несимметрии KuB

, (D.2)
где U2B (St) - общий вклад в несимметрию напряжений на шине низковольтной подстанции за счет всех низковольтных установок, подключенных к рассматриваемой низковольтной системе;
max (U2LV (St)) - максимальное значение общего вклада в несимметрию напряжений в любой точке рассматриваемой низковольтной системы за счет всех низковольтных установок, подключенных к этой низковольтной системе, когда низковольтная система полностью загружена небольшими установками.
В настоящем приложении коэффициенты уменьшения вначале рассмотрены в случае гармонических помех, а затем полученные результаты распространены на случай несимметрии. Расчет коэффициентов производят в следующем порядке:
a) общий метод расчета коэффициентов уменьшения гармоник;
b) расчет коэффициентов уменьшения для гармоник для общих случаев;
c) оценка коэффициентов уменьшения для гармоник при отдельных случаях и рекомендуемые значения;
d) оценка коэффициентов уменьшения для несимметрии при отдельных случаях и рекомендуемые значения.
D.2 Общий метод расчета коэффициентов уменьшения гармоник
D.2.1 Общая схема низковольтной системы и предположения
В настоящем приложении рассмотрена общая схема общественной низковольтной системы (см.
рисунок D.1). Трансформатор среднего/низкого напряжения снабжает
n фидеров через низковольтную шину. Трансформатор должен быть полностью загружен. Каждый фидер имеет древообразную структуру с ответвлениями, которая отличается от структуры других фидеров. Установки пользователей не обязательно должны быть равномерно распределены по фидерам.
Рисунок D.1 - Общая схема общественной низковольтной системы
В настоящем приложении приняты следующие предположения:
- к рассматриваемой низковольтной системе подключены только небольшие установки, к которым не применяются нормы эмиссии, определенные в настоящем стандарте [см. определение коэффициента уменьшения в
формуле (D.1)];
- эмиссии гармонического тока от любой небольшой установки не зависят от точки ее подключения к низковольтной системе (см.
C.2.2 приложения C). Они зависят только от согласованной полной мощности рассматриваемой установки;
- показатель закона суммирования для небольших установок равен

(см.
C.2.3 приложения C).
Исходя из двух последних предположений гармонический ток порядка h, производимый установкой пользователя i, рассчитывают по формуле

, (D.3)
где Ah - постоянная распределения. Эту постоянную не нужно определять для расчета коэффициента уменьшения KhB, но ее можно вычислить впоследствии;
h - гармонический порядок;
Ihi - уровень эмиссии гармонического тока, создаваемого установкой пользователя i;

- показатель закона суммирования для небольших установок;
Si - согласованная полная мощность установки пользователя i.
D.2.2 Упрощенная схема общественных низковольтных систем для вычисления общего вклада всех низковольтных установок в уровень гармонического напряжения на данном узле
Представлено упрощение эквивалентной схемы для расчета уровней гармонического напряжения на любом узле рассматриваемой низковольтной системы. Для этого конкретный узел
Ni на фидере 1, который может находиться в любом месте низковольтной системы, рассматривается, как показано на
рисунке D.2. На пути от шины низковольтной подстанции к узлу
Ni есть несколько промежуточных узлов
Ni_1,
Ni_2, ...,
Ni_S. Каждый из этих узлов снабжает любую небольшую установку (см. узлы
Ni_1,
Ni_2 и
Ni_4 на
рисунке D.2) или ряд небольших установок (см. узлы
Ni_3 и
Ni_5 на
рисунке D.2).
Рисунок D.2 - Упрощение общей схемы общественной
низковольтной системы для расчета уровней гармонических
напряжений в узле Ni на этапе 1
Упрощенная эквивалентная схема низковольтной системы для вычисления уровней гармонических напряжений на узле
Ni может быть определена (см.
рисунок D.2), как показано на
рисунке D.3, в соответствии с которой:
- Ni - рассматриваемый узел, на котором рассчитывают уровень гармонического напряжения;
- Ni_k - kth - промежуточный узел между шиной низковольтной подстанции и узлом Ni;
- s - число промежуточных узлов между низковольтной шиной и узлом Ni;
- St - общая пропускная способность рассматриваемой низковольтной системы;
- SF1 - полная мощность всех установок, подключенных к фидеру 1;
- Si - согласованная полная мощность установки пользователя i, непосредственно подключенной к узлу Ni;
- Si_ds - полная мощность всех установок, расположенных ниже узла Ni;
- Si_k - полная мощность всех установок, снабжаемых узлом Ni_k;
- ZhB - модуль гармонического полного сопротивления системы на низковольтной шине;
- Zhi - модуль гармонического полного сопротивления системы на узле Ni;
- Zhi_k - модуль гармонического полного сопротивления порядка h на промежуточном узле Ni_k;
- Uhi - гармоническое напряжение порядка h на узле Ni;
- UhB (Sxx) - вклад всех установок, соответствующий полной мощности Sxx, в гармоническое напряжение порядка h на шине низковольтной подстанции;
- Uhi (Sxx) - вклад всех установок, соответствующий полной мощности Sxx, в гармоническое напряжение порядка h на узле Ni.
Рисунок D.3 - Упрощение общей схемы общественной
низковольтной системы для расчета уровней гармонических
напряжений в узле Ni на этапе 2
D.2.3 Общий вклад всех низковольтных установок на данном узле
Общий вклад всех низковольтных установок в гармоническое напряжение порядка
h на данном узле
Ni является векторной комбинацией вкладов каждого набора установок, показанных на
рисунке D.3. Применяя общий закон суммирования, получаем:

. (D.4)
Вклад одного набора установок в гармоническое напряжение порядка
h на узле
Ni является произведением эмиссии гармонического тока порядка
h на общее гармоническое системное полное сопротивление, создаваемое этим набором установок и узлом
Ni. Таким образом, принимая во внимание общее предположение, определяемое
формулой (D.3), вклад всех установок на узле
Ni_k рассчитывают по формуле

. (D.5)
Поэтому общий вклад всех низковольтных установок в гармоническое напряжение порядка h на узле Ni рассчитывают по формуле

. (D.6)
D.2.4 Общий вклад всех низковольтных установок на шине низковольтной подстанции
В качестве частного случая приведен общий вклад всех низковольтных установок в гармоническое напряжение порядка h на шине низковольтной подстанции, который рассчитывают по формуле

. (D.7)
D.2.5 Расчет коэффициента уменьшения для гармоник
Коэффициент уменьшения для гармоники порядка h может быть рассчитан для рассматриваемой системы следующим образом:

, (D.8)

- максимальное значение, заданное
формулой (D.6), как функция узла
Ni.
D.3 Расчет коэффициентов уменьшения для гармоник. Общий случай
D.3.1 Общие положения
Ввиду использования общего закона суммирования максимальный уровень гармонического напряжения порядка
h,

будет получен на дальнем конце одного из низковольтных фидеров. Коэффициент уменьшения гармоник K
hB рассчитывают исходя непосредственно из общего вклада всех низковольтных установок в уровень гармонического напряжения порядка
h на дальнем конце каждого низковольтного фидера.
D.3.2 Упрощенная схема общественных низковольтных систем для расчета коэффициента уменьшения гармоник
Рисунок D.4 - Упрощение общей схемы общественной
низковольтной системы для расчета уровней гармонических
напряжений в дальней точке фидеров низковольтных систем
Для расчета коэффициентов уменьшения гармоник рассмотрена упрощенная схема, представленная на
рисунке D.4. Эта схема, являясь производной от схем, приведенных на
рисунках D.2 и
D.3, позволяет рассчитывать вклад всех низковольтных установок в уровень гармонического напряжения на дальнем конце фидера
j. На пути от низковольтной шины подстанции до дальнего конца фидера
j находится
m узлов (
m - в зависимости от рассматриваемого фидера),
Nj1,
Nj2, ...,
Njk, ...,
Njm (N
jm - узел в дальнем конце фидера). Каждый из этих узлов снабжает ряд небольших установок согласованным объемом энергии
Sjk.
D.3.3 Общий вклад всех низковольтных установок на дальнем конце низковольтных фидеров
Согласно
формуле (D.6) общий вклад всех низковольтных установок в гармоническое напряжение порядка
h на дальнем конце фидера
j рассчитывают по формуле

, (D.9)
где UhFj(St) - вклад всех низковольтных установок в гармоническое напряжение порядка h на дальнем конце фидера j;
h - порядок гармоник;
m - число между низковольтной шиной и дальним концом фидера j в зависимости от рассматриваемого фидера (исключая низковольтную шину и включая конец фидера);
St - общая пропускная способность рассматриваемой низковольтной системы;
SFj - полная мощность всех установок, подключенных к фидеру j;
Sjk - полная мощность всех установок, снабжаемых узлом Njk;
ZhB - модуль гармонического полного сопротивления системы на низковольтной шине;
Zhjk - модуль гармонического полного сопротивления порядка h на узле Njk;

- показатель закона суммирования для небольших установок.
D.3.4 Коэффициент уменьшения гармоник
Так как уровень гармонического напряжения из-за всех установок, подключенных к рассматриваемой общественной низковольтной системе, является максимальным на дальнем конце одного из низковольтных фидеров, как следует из
формул (D.7) -
(D.9), коэффициент уменьшения K
hB для гармонического порядка
h рассчитывают по формулам

(D.10)
или

(D.11)
D.4 Оценка коэффициентов уменьшения для гармоник в отдельных случаях и рекомендуемые значения
D.4.1 Применение общего метода для упрощенных низковольтных систем
Прежде чем рекомендовать типичные значения коэффициентов уменьшения гармоник для низковольтных систем, общий метод, приведенный в
D.3 для вычисления коэффициентов уменьшения гармоник, применен ниже для двух особых случаев низковольтных систем: сельской воздушной системы и городской подземной системы.
Рассмотренные частные случаи низковольтных систем являются упрощенными схемами при соблюдении следующих условий:
- шина низковольтной подстанции снабжает n идентичных низковольтных фидеров;
- каждый низковольтный фидер имеет то же поперечное сечение по его общей длине без ответвлений;
- установки пользователей равномерно распределены между фидерами.
Также предполагается, что низковольтная система и нагрузки, подключенные к ней, сбалансированы. В этом случае гармонические компоненты, не кратные трем, ведут себя как компоненты положительной или отрицательной последовательности, а комплексное гармоническое сопротивление порядка h в узле Njk рассчитывают по формуле

. (D.12)
В то же время гармонические составляющие, кратные трем, ведут себя как компоненты нулевой последовательности. Поэтому комплексное гармоническое сопротивление в узле Nhjk можно рассчитать следующим образом:

, (D.13)
где

- комплексное гармоническое сопротивление порядка
h на узле
Njk;

- комплексное гармоническое сопротивление порядка
h на узле
Njk для линейного проводника;

- комплексное гармоническое сопротивление порядка
h на узле
Njk для нейтрального проводника.
Как представлено в
C.2.3 приложения C, значения показателя закона суммирования для небольших установок

будут ниже значений, рассматриваемых для больших установок согласно показателям, приведенным в
таблице 3. Значения, используемые для

в таких случаях для гармонических порядков 3 - 13, приведены в
таблице D.1.
Таблица D.1
Значения показателя закона суммирования, используемые
для небольших установок
Порядок гармоники h | 3 | 5 | 7 | 9 | 11 | 13 |
| 1 | 1,2 | 1,2 | 1,2 | 1,4 | 1,4 |
D.4.2 Случай сельской воздушной низковольтной системы
Рассматриваемая в настоящем пункте низковольтная система имеет следующие характеристики:
- St = 100 кВА (общая пропускная способность);
- XB = 4% (реактивное сопротивление трансформатора среднего/низкого напряжения на основной частоте; сопротивлением источника среднего напряжения пренебрегают);
- n = 2 (число низковольтных фидеров);
- lF = 300 м (длина низковольтных фидеров);
-

(сопротивление линейного проводника низковольтного фидера на основной частоте);
-

(сопротивление нейтрального проводника низковольтного фидера на основной частоте);
- UN = 400 В (номинальное напряжение низковольтной системы).
Значения коэффициентов уменьшения для гармонических порядков 3 - 13, полученные при помощи общего метода, описанного в
D.3 по данному конкретному случаю, приведены в
таблице D.2.
Таблица D.2
Значения коэффициентов уменьшения на примере сельской
воздушной низковольтной системы
Порядок гармоники h | 3 | 5 | 7 | 9 | 11 | 13 |
Коэффициент уменьшения KhB | 0,30 | 0,65 | 0,66 | 0,32 | 0,66 | 0,66 |
D.4.3 Пример городской подземной низковольтной системы
Низковольтная система, которая рассмотрена ниже, имеет следующие характеристики:
- St = 630 кВ·А (общая пропускная способность низковольтной системы);
- XB = 4% (реактивное сопротивление трансформатора среднего/низкого напряжения на основной частоте; сопротивлением источника среднего напряжения пренебрегают);
- n = 5 (число низковольтных фидеров);
- lF = 250 м (длина низковольтных фидеров);
-

(сопротивление линейного проводника низковольтного фидера на основной частоте);
-

(сопротивление нейтрального проводника низковольтного фидера на основной частоте);
- UN = 400 В (номинальное напряжение низковольтной системы).
Значения коэффициентов уменьшения для гармонических порядков 3 - 13, полученных при помощи общего метода, описанного в
D.3 по данному конкретному случаю, приведены в
таблице D.3.
Таблица D.3
Значения коэффициентов уменьшения на примере конкретной
городской подземной низковольтной системы
Гармонический порядок h | 3 | 5 | 7 | 9 | 11 | 13 |
Коэффициент уменьшения KhB | 0,35 | 0,81 | 0,81 | 0,47 | 0,81 | 0,81 |
D.4.4 Пример типовых значений коэффициентов уменьшения для гармоник в низковольтных системах
Значения коэффициентов уменьшения для гармоник в основном зависят от суммарной пропускной способности низковольтной системы, длины низковольтных фидеров и их числа. Они могут быть рассчитаны сетевой организацией в соответствии с фактическими характеристиками эксплуатируемых ими низковольтных систем с использованием общего метода, описанного в настоящем приложении. При отсутствии достаточно надежных данных для оценки коэффициентов уменьшения могут быть использованы типовые значения, которые приведены в
таблице D.4. Эти значения, основанные на моделировании, способствуют определению достаточно консервативных норм эмиссии гармоник. Таким образом, значения в
таблице D.4, как правило, подходят для низковольтных систем, однако в редких случаях (при очень длинных или загруженных низковольтных фидерах) для коэффициентов уменьшения гармоник следует выбирать более низкие значения.
Таблица D.4
Пример типичных значений коэффициентов уменьшения K
hB
для гармоник
| Гармоники, кратные трем (h = 3 n) | Гармоники, не кратные трем (h /= 3 n) |
Воздушные низковольтные системы | 0,20 | 0,50 |
Подземные низковольтные системы | 0,20 | 0,65 |
D.5 Оценка коэффициента уменьшения несимметрии в отдельных случаях и рекомендуемые значения
D.5.1 Применение метода оценки коэффициента уменьшения несимметрии
Те же предположения, что и для гармоник (см.
D.2.1), можно сделать для несимметрии. Аналогично использован закон суммирования для несимметрии. Несимметрия тока, производимая небольшой установкой, зависит только от ее согласованной мощности независимо от точки ее подключения к низковольтной системе. Поэтому для оценки коэффициента уменьшения несимметрии можно использовать метод, разработанный для гармоник. Единственные изменения - использование полных сопротивлений отрицательной последовательности вместо гармонических полных сопротивлений и показателя закона суммирования для несимметрии. При этом предполагается, что:
- системные полные сопротивления отрицательной последовательности могут быть аппроксимированы системными полными сопротивлениями положительной последовательности в низковольтной системе;
- показатель закона суммирования для небольших установок

равен показателю закона суммирования, определенному в
7.4.
Рисунок D.5 - Упрощенная схема общественной низковольтной
системы для расчета уровней несимметрии напряжений в дальней
точке фидеров низковольтных систем
Для расчета коэффициента уменьшения несимметрии рассмотрена упрощенная схема, приведенная на
рисунке D.5. Так же, как и в
формуле (D.9) для гармоник, общий вклад всех низковольтных установок в несимметрию напряжений на дальнем конце фидера
j рассчитывают по формуле

, (D.14)
где U2Fj(St) - вклад всех низковольтных установок в несимметрию напряжений на дальнем конце фидера j;
m - число узлов между низковольтной шиной и дальним концом фидера j в зависимости от рассматриваемого фидера (исключая низковольтную шину и включая конец фидера);
St - общая пропускная способность рассматриваемой низковольтной системы;
SFj - полная мощность установок, подключенных к фидеру j;
Sjk - полная мощность установок, снабжаемых узлом Njk;
ZB - модуль системного сопротивления на шине низкого напряжения (основная частота);
Zjk - модуль системного сопротивления в узле Njk (основная частота);
Au - постоянная распределения для несимметрии;

- показатель закона суммирования для несимметрии.
Общий вклад всех низковольтных установок в несимметрию напряжений на шине подстанции рассчитывают по формуле

. (D.15)
Коэффициент уменьшения KuB рассчитывают по формуле

(D.16)
Ниже данный метод применяется к тем же частным случаям низковольтных систем, как и для гармоник: сельской воздушной и городской подземной низковольтным системам, прежде чем предложить типовые значения коэффициента уменьшения несимметрии.
D.5.2 Пример сельской воздушной низковольтной системы
Рассматриваемая низковольтная система имеет следующие характеристики:
- St = 100 кВ·А (общая пропускная способность низковольтной системы);
- XB = 4% (реактивное сопротивление трансформатора среднего/низкого напряжения);
- n = 2 (число низковольтных фидеров);
- lF = 300 м (длина низковольтных фидеров);
- zLF = 0,96 + j 0,35 Ом/км (сопротивление низковольтных фидеров);
- UN = 400 В (номинальное напряжение низковольтной системы).
Значение коэффициента уменьшения для несимметрии, полученного в данном конкретном случае, следующее:
KuB = 0,45.
D.5.3 Случай городской подземной низковольтной системы
Рассматриваемая низковольтная система имеет следующие характеристики:
- n = 5 (число низковольтных фидеров);
- lF = 250 м (длина низковольтных фидеров);
- St = 630 кВ·А (общая пропускная способность низковольтной системы);
- XB = 4% (реактивное сопротивление трансформатора среднего/низкого напряжения);
- zLF = 0,32 + j 0,08 Ом/км (сопротивление низковольтных фидеров);
- UN = 400 В (номинальное напряжение низковольтной системы).
Значение коэффициента уменьшения для несимметрии, полученного в этом конкретном случае, следующее:
KuB = 0,52.
D.5.4 Типовое значение коэффициента уменьшения для несимметрии в низковольтных системах
Значение коэффициента уменьшения для несимметрии зависит главным образом от общей пропускной способности низковольтной системы, длины низковольтных фидеров, их поперечного сечения и их числа. Оно может быть вычислено в соответствии с фактическими особенностями низковольтных систем при помощи общего метода, описанного в настоящем приложении. При отсутствии достаточно достоверных данных для этой оценки может быть использовано следующее типовое значение:
KuB = 0,25.
Это значение приводит к определению предельных значений несимметрии, которые достаточно консервативны. Таким образом, это значение, как правило, подходит для низковольтных систем, но в редких случаях (очень длинный или загруженный низковольтный фидер) для коэффициента уменьшения несимметрии следует выбирать более низкое значение.
(справочное)
ПРИМЕР МЕТОДА ВЫЧИСЛЕНИЯ НОРМ ЭМИССИИ ГАРМОНИК НА ЭТАПЕ 3
E.1 Обзор
Рисунок E.1 - Изучаемая низковольтная система
Применяемый метод обсуждается со ссылкой на четырехфидерную радиальную низковольтную систему, приведенную на
рисунке E.1, и может быть распространен на любое другое число фидеров. Исследуемая установка, распределение гармоник которой должно быть определено, является большой установкой с согласованной мощностью
Si. Ее положение дается с точки зрения гармонического полного сопротивления
Zhi от предложенной точки подключения к шине среднего напряжения.
Этапы применения метода следующие:
a) оценка гармонического напряжения при воздействии всех установок, кроме большой установки пользователя
i согласованной мощности
Si и других, еще не подключенных, больших установок (см.
E.2);
b) определение гармонического напряжения, доступного всем большим установкам (см.
E.3);
c) определение коэффициента распределения гармоник, который может быть применен ко всем большим установкам, которые будут подключены к этим низковольтным системам (см.
E.4);
d) использование коэффициента распределения гармоник для определения гармонического распределения для исследуемой установки пользователя
i (см.
E.5).
На определенных этапах необходимо применять предположения в отношении данных, которые, как правило, отсутствуют. Можно более точно адаптировать метод, если со временем будут получены улучшенные данные, как указано в
E.5.
E.2 Оценка вклада всех источников в гармоническое напряжение, кроме больших установок, которые еще не подключены
Одним из источников гармоник является система электроснабжения среднего напряжения, к которой подключен первичный трансформатор. Следует предположить, что гармоническое среднее напряжение достигнет соответствующего планируемого уровня и что оно распространится на низковольтную систему без изменений. Планируемый уровень среднего напряжения представлен символом LhMV.
Другие источники - установки, существующие в низковольтной системе. Их гармоническая эмиссия будет определена типами оборудования, нормами эмиссии гармоник, которым соответствует оборудование, и характером использования, причем точного метода прогнозирования не существует. Значение может быть получено путем:
- измерения;
- моделирования;
- распределения доли имеющегося гармонического напряжения, на основе соотношения установленного значения, ВА, относительно мощности питания.
Необходимо также оценить вклад небольших низковольтных установок, которые еще не подключены. Это требует применения инженерного решения. Вклад может быть определен путем масштабирования вклада, найденного для существующих установок, описанных в пункте выше, пропорционально относительному значению двух типов нагрузки, ВА.
Обозначают вклад, вносимый существующими и будущими небольшими установками в гармоническое напряжение порядка h на фидере 1, в качестве примера, через UhF1(Sst).
E.3 Определение гармонического напряжения, доступного для всех больших установок
Предположительно, планируемый уровень гармонического напряжения порядка hth в низковольтной системе составляет LhLV. Используя закон суммирования, общее напряжение, возникающее на фидере 1 из-за влияния всех больших установок, которые необходимо подключить к низковольтной системе, можно рассчитать по формуле

, (E.1)
где GhF1(SLt) - приемлемый общий вклад всех больших низковольтных установок в гармоническое напряжение порядка hth на конце фидера 1;
LhLV - планируемый уровень порядка гармоники hth в низковольтной системе;
LhMV - планируемый уровень порядка гармоники hth в вышестоящей системе среднего напряжения;
UhF1(SSt) - вклад всех небольших низковольтных установок в гармоническое напряжение порядка h на конце фидера 1;

- показатель закона суммирования для больших установок.
Подобные значения могут быть определены для каждого из фидеров.
E.4 Определение постоянной гармонического распределения для больших установок
E.4.1 Принцип распределения
Распределение гармоник следует проводить, принимая во внимание размер установки.
Установкам равного размера может быть выделена равная квота:
(i) гармонического напряжения;
(ii) гармонического тока;
(iii) значения гармоники, ВА.
Эти три принципа распределения предложены и проанализированы в других документах IEC (первоначально в приложениях D, E IEC/TR 61000-3-6:1996), в которых показано, что
принципы (i) и
(ii) являются неудовлетворительными, если сопротивление низковольтного фидера значительно, в то время как
принцип (iii) представляет собой хороший компромисс, поэтому будет использован ниже. Однако
принцип (iii) имеет трудности применения - необходимо иметь данные как по согласованной мощности, так и по положению для всех больших установок, прежде чем можно будет рассчитать распределение. Несмотря на то что для определенных больших установок могут существовать предварительные данные, некоторые из них, как правило, неизвестны во время оценки исследуемой установки. Поиск эффективных способов оценки для этих недостающих данных рассмотрен в
следующем подразделе.
E.4.2 Оценка величины и положения больших установок
Нагрузка, представленная большой установкой, состоит из определенной исследованной нагрузки и других составляющих больших установок, подлежащих подключению. Ее можно считать состоящей из трех компонентов, как показано на
рисунке E.2:
(i) исследуемая установка пользователя i: согласованная мощность Si с известным расположением, для которой производится распределение гармоник;
(ii) известные большие установки: в некоторых случаях возможны большие установки, которые еще не подключены, но согласованная мощность и положение которых известны. Они представлены на
рисунке E.2 в виде нагрузок согласованной мощности
SkLF1 -
SkLF4 на фидерах 1 - 4 с позицией, представленной эквивалентным гармоническим сопротивлением. При наличии более чем одной подобной нагрузки на фидер они могут быть представлены индивидуально. Альтернативно, если желательно уменьшить объем вычислений, их можно совместить в одну нагрузку на фидер со средним репрезентативным расположением - это подход, принятый в настоящем стандарте;
(iii) неизвестные большие установки: оставшаяся часть будущей нагрузки, включающей большие установки (обозначение
SuLt) имеет общее значение, которое можно оценить на основе неиспользуемых мощностей, которые в конечном счете необходимо использовать. Они представлены на
рисунке E.2 как нагрузки согласованной мощности
SuLF1 -
SuLF4 на фидерах 1 - 4 с положением, представленным эквивалентным гармоническим сопротивлением.
Рисунок E.2 - Компоненты большой установки
Необходимо провести разумную оценку величины и расположения различных частей неизвестных компонентов больших установок, описанных в
(iii), для того чтобы можно было определить распределение, основанное на значении гармоник, В·А, как показано в
E.4.3. Подход к составлению такой оценки заключается в следующем:
a) определение общей нагрузки большой установки SLt:
SLt =
Si + (
SkLF1 +
SkLF2 +
SkLF3 +
SkLF4) +
SuLt; (E.2)
b) определение средней нагрузки на фидер для большой установки SL_av:

; (E.3)
c) определение числа фидеров с известной нагрузкой (состоящей из
Si,
SkLF1 -
SkLF4) меньшей, чем
SL_av. Если предположить, что это число равно
nменее_чем_av, то значение
SuLt распределяется равномерно по этим фидерам, давая каждому прирост

:

. (E.4)
Таким образом, используя этот метод, можно получить, что некоторые
SuLF1 -
SuLF4 будут равны нулю, в то время как остальные будут равняться

. Проведено несколько исследований, которые показывают, что принятое положение 30% длины фидера от точки питания минимизирует ошибки.
E.4.3 Определение Ah для низковольтных установок
Для большой установки согласованной мощностью Si модуль оцениваемого полного сопротивления обозначен ZhF. Он состоит из гармонических полных сопротивлений трансформатора и фидера. Модуль гармонического полного сопротивления трансформатора обозначен ZhB. Распределение производится на основе значения гармоники, В·А, распределенную эмиссию тока EIhi рассчитывают по формуле

. (E.5)
Постоянная распределения Ah должна быть определена таким образом, чтобы доступное гармоническое напряжение для каждого фидера не превышалось. Расчет гармонического напряжения на фидере должен учитывать как непосредственно подключенные установки, так и подключенные к смежным фидерам.
Напряжение, создаваемое в точке оценки током, распределенным для большой установки согласованной мощности Sk, рассчитывают по формуле

. (E.6)
Напряжение, создаваемое на клеммах трансформатора током, распределенным для большой установки согласованной мощности Sk, рассчитывают по формуле

. (E.7)
Для фидера 1 с использованием закона суммирования

(E.8)
Первые три члена (в первых фигурных скобках) представляют собой вклад гармонического напряжения в фидере 1 от нагрузок, подключенных к нему. Остающиеся члены, также заключенные в фигурные скобки, дают гармонический вклад напряжения в фидере 1 от нагрузок, подключенных к другим фидерам.
AhF1 определено как максимально допустимое значение Ah, дающее приемлемое значение для гармонического напряжения в фидере 1. Следовательно,

(E.9)
Подобные уравнения могут быть представлены для AhF2 - AhF4.
Для того чтобы обеспечить значение гармонического напряжения в этой низковольтной системе менее предельного значения, Ah рассчитывают по формуле
Ah = min (
AhF1,
AhF2,
AhF3,
AhF4). (E.10)
Применение этого значения в
формуле (E.10) обеспечивает при использовании системы на полную проектную мощность и при полном распределении эмиссии между всеми установками, соответствие самых высоких гармонических напряжений, возникающих на концах низковольтных фидеров, планируемым уровням
LhLV.
E.5 Определение гармонического распределения для исследуемой установки
Ток гармоники, подлежащий распределению, рассчитывают по
формуле (E.5)

. (E.11)
Следует отметить, что одно и то же значение
Ah может быть использовано для всех будущих исследований больших установок, подключаемых к данной низковольтной системе, если только не требуется пересмотреть данные, используемые в ее расчетах в более поздние сроки. Например, в будущем может стать очевидным, что нагрузка небольшой установки отличается от той, что первоначально предполагалась. Это может быть использовано для того, чтобы дать улучшенные значения
UhFj(
Sst) и, следовательно,
GhFj(
SLt) для одного или нескольких фидеров, что может привести к лучшему значению для
Ah в соответствии с
формулой (E.10).
(справочное)
ПРИМЕР ИСПОЛЬЗОВАНИЯ МЕТОДА, ПРЕДСТАВЛЕННОГО В ПРИЛОЖЕНИИ E
F.1 Обзор
Рисунок F.1 - Изучаемая система
Рассматриваемая система приведена на
рисунке F.1. Представленная установка подключена к фидеру 1 и имеет согласованную мощность
Si. Известные большие установки представлены с согласованной мощностью
SkLF1 -
SkLF4, в то время как емкость большой установки, детали которой неизвестны, представлена с согласованной мощностью
SuLF1 -
SuLF4.
Примечание - Небольшие установки не показаны на
рисунке, однако они включены в определение
GhFj(
SLt).
Необходимо определить распределение гармонического тока гармоники 5-го порядка исследуемой установки пользователя
i 50 кВА, подключенной в 50 м от точки поставки. Основные системные данные приведены в
таблице F.1.
Таблица F.1
Основные системные данные
Число низковольтных фидеров | 4 |
Реактивное сопротивление низковольтного фидера | 0,4 Ом/км |
R/X низковольтного фидера | 2 |
Линейное напряжение | 415 В |
Мощность трансформатора | 350 кВА |
Реактивность трансформатора | 5% |
Все фидеры имеют длину 100 м, и предполагается, что на 5-й гармонике гармоническое напряжение 1% должно быть распределено по большим установкам. Указанные ниже данные (см.
таблицу F.2) приведены для других больших установок, для которых известны размер и детали подключения.
Таблица F.2
Известные данные о больших установках
Низковольтный фидер | Согласованная мощность установки, кВА | Расстояние от трансформатора до установки, м |
1 | 50 | 50 |
2 | 50 | 50 |
3 | 50 | 50 |
4 | 50 | 50 |
Емкость большой установки 60 кВА, которая не распределена по конкретным установкам на данный момент.
F.2 Этап 1. Оценка вкладов гармонического напряжения от всех источников, кроме больших установок, которые еще не подключены (см.
E.2 приложения E)
См. этап 2.
F.3 Этап 2. Определение гармонического напряжения, доступного для всех больших установок
Этапы 1 и 2 не следует проводить подробно применительно к приведенному примеру, так как указано, что GhFj(SLt), доступное гармоническое напряжение для больших установок, составляет 1% для каждого фидера.
F.4 Этап 3. Оценка величины и расположения больших установок (см.
E.4.2 приложения E)
Общую нагрузку большой низковольтной установки рассчитывают по
формуле (E.2) приложения E
SLt = Si + SkLF1 + SkLF2 + SkLF3 + SkLF4 + SuLt =
= 50 + 50 + 50 + 50 + 50 + 60 = 310 кВА.
Среднюю большую нагрузку/фидер установки рассчитывают по
формуле (E.3) приложения E

.
Известная нагрузка на каждом из низковольтных фидеров приведена в
таблице F.2 с добавлением 50 кВА на фидере 1 (исследуемая установка). Следовательно, имеются три фидера (2 - 4) с нагрузками, меньшими, чем рассчитанная средняя нагрузка. Неизвестная будущая нагрузка распределена поровну между этими тремя фидерами.

.
Следовательно, Su_F1 = 0

.
Предполагается, что все три нагрузки согласованной мощности
SuLF2 -
SuLF4, подключены в положении 30% длины фидера, то есть в 30 м от точки питания. На
рисунке F.2 показаны низковольтные установки, включая неизвестную нагрузку, которая была рассчитана.
Рисунок F.2 - Данные о больших установках
F.5 Этап 4. Определение гармонических сопротивлений
Этот расчет является стандартным для гармонического анализа и не включен в
приложение E. Для расчетов использована мощность трансформатора 350 кВА. В рассматриваемом случае достаточно определить три полных сопротивления -
(i) трансформатора,
(ii) фидера в предполагаемом расположении неизвестных установок,
(iii) фидера в предполагаемом расположении известных установок. Следует отметить, что в этом случае исследуемая установка подключается к фидеру с тем же полным сопротивлением, что и сопротивление
(iii):

.
ZhB = h·XB = 5·0,05 = 0,25 отн. ед.
(ii) Неизвестная нагрузка:
- для фидера

;
RuLFj = 2·XulFj = 0,049 отн. ед.;
- для полного сопротивления, включая трансформатор
ZhuLFj = |RuLFj + jh(Xb + XuLFj)| =
= |0,049 + j5(0,05 + 0,0244)| = 0,375 отн. ед.
(iii) известные низковольтные установки и исследуемая установка:
- для фидера

;
RkLFj = 2·XkLFj = 0,081 отн. ед.;
- для полного сопротивления, включая трансформатор
ZhkLFj = |RkLFj + jh(Xb + XkLFj)| =
= |0,081 + j5(0,05 + 0,0407)| = 0,460 отн. ед.
F.6 Этап 5. Определение Ah для низковольтных установок (см.
E.4.3 приложения E)
Для того чтобы произвести распределение на основе значений гармоник, ВА, распределенную эмиссию тока
EIhk для большой установки с согласованной мощностью
Sk рассчитывают по
формуле (E.5)

.
Для вычисления значений следует принять начальное значение за 1. Следующее значение определяет гармоническое напряжение, вызываемое на конце каждого фидера. Сравнивая это напряжение с допустимым общим напряжением фидера, можно определить максимальное допустимое значение AhFj для данного фидера. Значения, которые могут быть использованы для исследуемой низковольтной системы, вычисляют, принимая минимальные из этих различных значений AhFj:
- для неизвестных нагрузок

;
- для известных установок и исследуемой установки
Для того чтобы определить напряжение на конце конкретного фидера, необходимо определить два различных типа вкладов:
- напряжение от установок, подключенных к фидеру, равное силе тока, умноженной на полное сопротивление до точки подключения;
- напряжение от установок, подключенных к другим фидерам, равное силе тока, умноженной на гармоническое полное сопротивление питающего трансформатора.
Основные параметры и гармонические напряжения (i) в точке подключения и (ii) на трансформаторе для каждой установки приведены в
таблице F.3.
Таблица F.3
Гармонические напряжения для больших установок (все значения
приведены в относительных единицах, h равно 5 и значение Ah
предварительно принято равным 1)
Нагрузка | Согласованная мощность | Zh | EIh | Uh(i) | Uh(ii) |
Si, SkLFi | 0,143 | 0,460 | 0,368 | 0,169 | 0,092 |
SuLFi | 0,057 | 0,375 | 0,211 | 0,079 | 0,053 |
Для фидера 1 напряжение на конце фидера, вызванное низковольтными установками, состоит из вклада (i) от установок согласованной мощности Si и SkLF1 и вклада (ii) от всех других больших установок. Они должны быть объединены с применением закона суммирования
Так как допустимая эмиссия большой установки GhF1(SLt) составляет 0,01 отн. ед., максимально допустимым значением для AhF1 является
AhF1 = 0,01/0,445 = 0,0225.
Аналогично можно определить гармоническое напряжение 0,409 отн. ед. для фидеров 2 - 4. При расчете, как указано выше, это дает максимально допустимые значения для постоянных распределения фидера
AhF2 = AhF3 = AhF4 = 0,01/0,409 = 0,024.
Для того чтобы гарантировать, что допустимые нормы эмиссии гармоник не будут превышены ни на одном из фидеров, значение Ah выбрано в качестве минимума этих значений
Ah = 0,0225.
F.7 Этап 6. Определение распределения гармоник для исследуемой установки (см.
E.5 приложения E)
Это значение может быть также выражено в процентах относительно основного тока установки
| | ИС МЕГАНОРМ: примечание. Формула приведена в соответствии с официальным текстом документа. | |

.
(справочное)
СПИСОК УСЛОВНЫХ ОБОЗНАЧЕНИЙ И ИНДЕКСОВ
G.1 Общепринятые буквенные обозначения
A - постоянная распределения в зависимости от гармонического напряжения данной системы.
a - векторный оперант

, используемый для вычисления симметричных компонентов трехфазных величин.

- показатель закона суммирования (общий случай).

- показатель закона суммирования для небольших установок.
D - уровень помех
E - норма эмиссии.
G - допустимый общий вклад эмиссии в определенной части системы.
h - порядок гармоник.
I - ток.
K, k - коэффициент или соотношение между двумя значениями (общее значение).
L - планируемый уровень.
m - число узлов между шиной низковольтной подстанции и дальним концом фидера.
N - узел на фидере.
n - число фидеров.
PCC - точка общего присоединения.
POC - точка присоединения.
POE - точка оценки.
R - сопротивление.
S - полная мощность.

- изменение полной мощности флуктуирующей установки.
T - коэффициент передачи.
U - напряжение.
X - реактивное сопротивление.
Z - модуль полного сопротивления.

- комплексное сопротивление.
G.2 Список индексов
a, b, c - идентификатор фазы в трехфазной системе.
B - шина низковольтной подстанции.
h - порядок гармоники.
i - одиночная установка пользователя.
j - одиночный фидер.
k - одиночный узел.
LV - низкое напряжение.
ML - расположение между системами среднего и низкого напряжения.
MV - среднее напряжение.
Plt - длительная доза фликера.
Pst - кратковременная доза фликера.
u - коэффициент несимметрии напряжений (по обратной последовательности).
1,2,0 - составляющая прямой, обратной и нулевой последовательности (трехфазных напряжений или токов).
2 - несимметрия (по отрицательной последовательности).
G.3 Основные условные обозначения
EIhi - норма эмиссии гармонического тока порядка h для установки пользователя i.
EI2i - норма эмиссии несимметрии токов для установки пользователя i.
EPlti - норма эмиссии длительной дозы фликера для установки пользователя i.
EPsti - норма эмиссии кратковременной дозы фликера для установки пользователя i.
GhB - приемлемый общий вклад в гармоническое напряжение порядка h на шине низкого напряжения подстанции за счет воздействия всех низковольтных установок, получающих питание от рассматриваемой системы (в процентах напряжения основной частоты).
GhLV - наибольший приемлемый общий вклад в гармоническое напряжение порядка h в любой точке низковольтной системы за счет всех низковольтных установок, получающих питание от рассматриваемой системы (в процентах напряжения основной частоты).
GPstLV (GPltLV) - наибольший приемлемый общий вклад в уровень фликера в любой точке низковольтной системы за счет всех низковольтных установок, получающих питание от рассматриваемой системы (в единицах Pst или Plt).
GuB - приемлемый общий вклад в несимметрию напряжений на шине низкого напряжения подстанции за счет всех низковольтных установок, получающих питание от рассматриваемой системы (в единицах коэффициента несимметрии напряжений u).
GuLV - наибольший общий вклад в несимметрию напряжений в любой точке низковольтной системы из-за всех низковольтных установок, подключенных к данной системе (в единицах коэффициента несимметрии напряжений u).
Ih - гармонический ток порядка h (общий).
IhFjk - гармонический ток порядка h, протекающий через фидер j вышестоящего узла Njk.
Ihi - уровень эмиссии гармонического тока порядка h установки пользователя i.
Ihjk - эмиссия гармонического тока от установки пользователя, подключенной к узлу Njk.
IhT - гармонический ток порядка h, протекающий через трансформатор среднего/низкого напряжения.
i
2 - коэффициент несимметрии тока (см. определение
3.29.6).
KhB - коэффициент уменьшения для гармонического порядка h, который соответствует отношению уровня гармонического напряжения на шине низкого напряжения подстанции за счет всех подключенных к рассматриваемой низковольтной системе установок к максимальному значению уровня гармонического напряжения в низковольтной системе из-за этих установок.
KuB - коэффициент уменьшения для несимметрии напряжений, который соответствует отношению уровня несимметрии напряжений на шине низкого напряжения подстанции за счет всех установок, подключенных к рассматриваемой низковольтной системе, к максимальному уровню несимметрии напряжений в низковольтной системе из-за этих установок.
k
hvs - коэффициент умножения кратковременного уровня совместимости для гармонического напряжения порядка
h для получения соответствующего кратковременного уровня совместимости [в соответствии с определением, приведенным в
4.2.2, формула (1).
lF - длина низковольтного фидера.
LhLV - планируемый уровень гармонического напряжения порядка h для низкого напряжения, %.
LhMV - планируемый уровень гармонического напряжения порядка h для среднего напряжения, %.
LPltLV - планируемый уровень длительной дозы фликера для низковольтных систем, отн. ед.
LPltMV - планируемый уровень длительной дозы фликера для среднего напряжения, отн. ед.
LPstLV - планируемый уровень кратковременной дозы фликера для низковольтных систем, отн. ед.
LPstMV - планируемый уровень кратковременной дозы фликера для среднего напряжения, отн. ед.
LuLV - планируемый уровень несимметрии напряжений для низковольтных систем.
LuMV - планируемый уровень несимметрии напряжений для среднего напряжения.
Njk - узел k на фидере j.
SFj - полная мощность всех установок, подключенных к фидеру j.
Si - согласованная мощность установки пользователя i.
Sjk - полная мощность всех установок, питаемых узлом Njk.
SLFj - полная мощность всех больших установок, подключенных к фидеру j.
SLt - полная мощность всех больших установок, подключенных к рассматриваемой низковольтной системе.
Smin - минимальное значение согласованной мощности низковольтной установки, к которой применяется процедура определения норм эмиссии, установленная в настоящем стандарте.
Ssc - мощность короткого замыкания.
SSFj - полная мощность всех небольших установок, подключенных к фидеру j.
SSt - полная мощность всех небольших установок, подключенных к рассматриваемой низковольтной системе.
St - общая пропускная способность рассматриваемой низковольтной системы, включая резерв для будущего роста нагрузки.
Sui - однофазный эквивалент мощности несимметричной нагрузки установки пользователя i.
THD - суммарный коэффициент гармоник - отношение среднеквадратичного значения суммы всех гармонических компонентов до указанного порядка H к среднеквадратичному значению основной составляющей.
ThML - коэффициент передачи гармонического напряжения среднего/низкого напряжения порядка h; значение зависит от характеристик системы, уровня нагрузки и порядка гармоники.
TPltML - коэффициент передачи длительной дозы фликера среднего/низкого напряжения (значение, как правило, близко к единице).
TPstML - коэффициент передачи кратковременной дозы фликера среднего/низкого напряжения (значение, как правило, близко к единице).
TuML - коэффициент передачи несимметрии напряжений в системах среднего/низкого напряжения.
Uh - гармоническое напряжение порядка h (общее).
UhB - гармоническое напряжение порядка h на низковольтной шине подстанции.
UhFj - гармоническое напряжение порядка h на конце фидера j.
UhLV - гармоническое напряжение порядка h в низковольтной системе.
UN - номинальное напряжение низковольтной системы (межфазное).
u - коэффициент несимметрии напряжений (см. определение
3.29.5).
ZB - модуль сопротивления короткого замыкания системы электроснабжения на низковольтной шине подстанции на основной частоте.
ZhB - модуль гармонического полного сопротивления системы электроснабжения на низковольтной шине подстанции на частоте гармоники порядка h.
Zhi - модуль гармонического полного сопротивления системы электроснабжения в точке оценки (POE) установки пользователя i на частоте гармоники порядка h.
Zhjk - модуль гармонического полного сопротивления системы электроснабжения на узле Njk на частоте гармоники порядка h.
Zi - модуль сопротивления короткого замыкания системы электроснабжения в точке оценки (POE) установки пользователя i на основной частоте.
Zjk - модуль сопротивления короткого замыкания системы электроснабжения в узле Njk на основной частоте.

- комплексное гармоническое полное сопротивление системы электроснабжения в узле
Njk для линейного проводника на частоте гармоники порядка
h.

- комплексное гармоническое полное сопротивление системы электроснабжения в узле
Njk для нейтрального проводника на частоте гармоники порядка
h.

- комплексное сопротивление низковольтного фидера на единицу длины на основной частоте.

- комплексное сопротивление низковольтного фидера на единицу длины на гармонической частоте порядка
h.

- комплексное сопротивление низковольтного фидера на единицу длины линейного проводника на основной частоте.

- комплексное сопротивление низковольтного фидера на единицу длины нейтрального проводника на основной частоте.
(справочное)
СВЕДЕНИЯ О СООТВЕТСТВИИ ССЫЛОЧНЫХ МЕЖДУНАРОДНЫХ СТАНДАРТОВ
МЕЖГОСУДАРСТВЕННЫМ СТАНДАРТАМ
Таблица ДА.1
Обозначение ссылочного международного стандарта | Степень соответствия | Обозначение и наименование соответствующего межгосударственного стандарта |
IEC 60050-161 Amd 1 (1997) Amd 2 (1998) | MOD | "Электромагнитная совместимость технических средств. Термины и определения" |
IEC/TR 60725 | - | |
IEC/TR 61000-2-1:1990 | - | |
IEC 61000-2-2:2002 | - | |
IEC 61000-3-2 | IDT | ГОСТ IEC 61000-3-2-2017 "Электромагнитная совместимость (ЭМС). Часть 3-2. Нормы. Нормы эмиссии гармонических составляющих тока (оборудование с входным током не более 16 А в одной фазе)" |
IEC 61000-3-3 | IDT | ГОСТ IEC 61000-3-3-2015 "Электромагнитная совместимость (ЭМС). Часть 3-3. Нормы. Ограничение изменений напряжения, колебаний напряжения и фликера в общественных низковольтных системах электроснабжения для оборудования с номинальным током не более 16 А (в одной фазе), подключаемого к сети электропитания без особых условий" |
IEC/TR 61000-3-6:2008 | - | |
IEC/TR 61000-3-7:2008 | - | |
IEC 61000-3-11 | IDT | ГОСТ 30804.3.11-2013 (IEC 61000-3-11:2000) "Совместимость технических средств электромагнитная. Колебания напряжения и фликер, вызываемые техническими средствами с потребляемым током не более 75 А (в одной фазе), подключаемыми к низковольтным системам электроснабжения при определенных условиях. Нормы и методы испытаний" |
IEC 61000-3-12 | IDT | ГОСТ 30804.3.12-2013 (IEC 61000-3-12:2004) "Совместимость технических средств электромагнитная. Нормы гармонических составляющих тока, создаваемых техническими средствами с потребляемым током более 16 А, но не более 75 А (в одной фазе), подключаемыми к низковольтным распределительным системам электроснабжения. Нормы и методы испытаний" |
IEC/TR 61000-3-13 | - | |
IEC 61000-4-15 | IDT | ГОСТ IEC 61000-4-15-2014 "Совместимость технических средств электромагнитная. Часть 4. Методики испытаний и измерений. Раздел 15. Фликерметр. Функциональные и конструктивные требования" |
<*> Соответствующий межгосударственный стандарт отсутствует. До его принятия рекомендуется использовать перевод на русский язык данного международного стандарта. Примечание - В настоящей таблице использованы следующие условные обозначения степени соответствия стандартов: - IDT - идентичные стандарты; - MOD - модифицированные стандарты. |
IEC 60050-101:1998, | International Electrotechnical Vocabulary - Part 101: Mathematics (Международный электротехнический словарь. Глава 101. Математика) |
(IEC/TR 61000-2-6:1995, | Electromagnetic compatibility (EMC) - Part 2-6: Environment - Assessment of the emission levels in the power supply of industrial plants as regards low frequency conducted disturbances [Электромагнитная совместимость (ЭМС). Часть 2-6. Электромагнитная обстановка. Оценка уровней эмиссии в системах энергоснабжения промышленных установок в отношении низкочастотных кондуктивных помех] |
IEC 61000-4-7, | Electromagnetic compatibility (EMC) - Part 4-7: Testing and measurement techniques - General guide on harmonics and interharmonics measurements and instrumentation, for power supply systems and equipment connected thereto [Электромагнитная совместимость (ЭМС). Часть 4-7. Методы испытаний и измерений. Общее руководство по измерениям и средствам измерений гармоник и интергармоник для систем электроснабжения и подключаемого к ним оборудования] |
IEC 61000-4-30:2008, | Electromagnetic compatibility (EMC) - Part 4-30: Testing and measurement techniques - Power quality measurement methods [Электромагнитная совместимость (ЭМС). Часть 4-7. Методы испытаний и измерений. Методы измерения качества электрической энергии] |
A. Robert, T. Deflandre, WG CC02, Guide for assessing the network harmonic impedance, Electra, August 1996 (Руководство по оценке гармонических импедансов сетей) |
P. Hessling, "Propagation and Summation of Flicker", Study Committee 36 Colloquium, Johannesburg, South Africa, October 1999 ("Распространение и суммирование фликера") |
УДК 621.396/.397.001.4:006.354 | | IDT |
Ключевые слова: электромагнитная совместимость, низковольтная система электроснабжения, сетевая организация, подключаемые электрические установки, электрическое оборудование, качество электрической энергии, эмиссия помех в электрические сети, нормы помех, методы измерений, оценка соответствия |