Главная // Актуальные документы // ГОСТ (Государственный стандарт)СПРАВКА
Источник публикации
М.: ФГБУ "РСТ", 2021
Примечание к документу
Документ включен в
Перечень международных и региональных (межгосударственных) стандартов, а в случае их отсутствия - национальных (государственных) стандартов, в результате применения которых на добровольной основе обеспечивается соблюдение требований технического
регламента Таможенного союза "О безопасности машин и оборудования" (ТР ТС 010/2011), и в
Перечень международных и региональных (межгосударственных) стандартов, а в случае их отсутствия - национальных (государственных) стандартов, содержащих правила и методы исследований (испытаний) и измерений, в том числе правила отбора образцов, необходимые для применения и исполнения требований технического
регламента Таможенного союза "О безопасности машин и оборудования" (ТР ТС 010/2011) и осуществления оценки соответствия объектов технического регулирования (
Решение Коллегии Евразийской экономической комиссии от 09.03.2021 N 28).
Документ
введен в действие с 01.01.2022.
Название документа
"ГОСТ EN 1093-11-2018. Межгосударственный стандарт. Безопасность машин. Оценка выбросов загрязняющих веществ. Часть 11. Индекс очистки"
(введен в действие Приказом Росстандарта от 25.08.2021 N 813-ст)
"ГОСТ EN 1093-11-2018. Межгосударственный стандарт. Безопасность машин. Оценка выбросов загрязняющих веществ. Часть 11. Индекс очистки"
(введен в действие Приказом Росстандарта от 25.08.2021 N 813-ст)
агентства по техническому
регулированию и метрологии
от 25 августа 2021 г. N 813-ст
МЕЖГОСУДАРСТВЕННЫЙ СТАНДАРТ
БЕЗОПАСНОСТЬ МАШИН
ОЦЕНКА ВЫБРОСОВ ЗАГРЯЗНЯЮЩИХ ВЕЩЕСТВ
ЧАСТЬ 11
ИНДЕКС ОЧИСТКИ
Safety of machinery. Evaluation of the emission of airborne
hazardous substances. Part 11. Decontamination index
(EN 1093-11:2001+A1:2008, IDT)
ГОСТ EN 1093-11-2018
Дата введения
1 января 2022 года
Цели, основные принципы и общие правила проведения работ по межгосударственной стандартизации установлены
ГОСТ 1.0 "Межгосударственная система стандартизации. Основные положения" и
ГОСТ 1.2 "Межгосударственная система стандартизации. Стандарты межгосударственные, правила и рекомендации по межгосударственной стандартизации. Правила разработки, принятия, обновления и отмены"
1 ПОДГОТОВЛЕН Научно-производственным республиканским унитарным предприятием "Белорусский государственный институт стандартизации и сертификации" (БелГИСС) на основе собственного перевода на русский язык англоязычной версии стандарта, указанного в
пункте 4
2 ВНЕСЕН Государственным комитетом по стандартизации Республики Беларусь
3 ПРИНЯТ Межгосударственным советом по стандартизации, метрологии и сертификации по результатам голосования в АИС МГС (протокол от 27 июля 2018 г. N 110-П)
За принятие проголосовали:
Краткое наименование страны по МК (ИСО 3166) 004-97 | Код страны по МК (ИСО 3166) 004-97 | Сокращенное наименование национального органа по стандартизации |
Армения | AM | ЗАО "Национальный орган по стандартизации и метрологии" Республики Армения |
Беларусь | BY | Госстандарт Республики Беларусь |
Казахстан | KZ | Госстандарт Республики Казахстан |
Киргизия | KG | Кыргызстандарт |
Таджикистан | TJ | Таджикстандарт |
Узбекистан | UZ | Узстандарт |
4 Настоящий стандарт идентичен европейскому стандарту EN 1093-11:2001+A1:2008 "Безопасность машин. Оценка выбросов загрязняющих веществ. Часть 11. Индекс очистки" ("Safety of machinery - Evaluation of the emission of airborne hazardous substances - Part 11: Decontamination index", IDT)
5
Приказом Федерального агентства по техническому регулированию и метрологии от 25 августа 2021 г. N 813-ст межгосударственный стандарт ГОСТ EN 1093-11-2018 введен в действие в качестве национального стандарта Российской Федерации с 1 января 2022 г.
Европейский стандарт разработан Техническим комитетом по стандартизации CEN/TC 114 "Безопасность машин" Европейского комитета по стандартизации (CEN).
При применении настоящего стандарта рекомендуется использовать вместо ссылочных международных и европейского стандартов соответствующие им межгосударственные стандарты, сведения о которых приведены в дополнительном
приложении ДА
6 ВВЕДЕН ВПЕРВЫЕ
Информация о введении в действие (прекращении действия) настоящего стандарта и изменений к нему на территории указанных выше государств публикуется в указателях национальных стандартов, издаваемых в этих государствах, а также в сети Интернет на сайтах соответствующих национальных органов по стандартизации.
В случае пересмотра, изменения или отмены настоящего стандарта соответствующая информация будет опубликована на официальном интернет-сайте Межгосударственного совета по стандартизации, метрологии и сертификации в каталоге "Межгосударственные стандарты"
Европейский стандарт разработан Техническим комитетом по стандартизации CEN/TC 114 "Безопасность машин" Европейского комитета по стандартизации (CEN).
Европейский стандарт, на основе которого подготовлен настоящий стандарт, реализует существенные требования безопасности Директивы 98/37/ЕС и
Директивы 2006/42/ЕС, приведенные в
приложениях ZA и
ZB соответственно.
Европейский стандарт EN 1093 под общим заголовком "Безопасность машин. Оценка выбросов загрязняющих веществ" содержит следующие части:
- часть 1. Выбор методов испытаний;
- часть 2. Метод индикаторного газа для измерения уровня выбросов заданного загрязняющего вещества;
- часть 3. Стендовый метод измерения уровня выбросов заданного загрязняющего вещества;
- часть 4. Эффективность улавливания системы выпуска отработавших газов. Метод изотопных индикаторов;
- часть 6. Эффективность очистки по массе без выходного канала;
- часть 7. Эффективность очистки по массе с выходным каналом;
- часть 8. Стендовый метод измерения параметра концентрации;
- часть 9. Лабораторный метод измерения параметра концентрации;
- часть 11. Индекс очистки.
Настоящий стандарт устанавливает метод измерения индекса очистки систем очистки воздуха, например улавливающих устройств, включая локальную систему вентиляции, систему увлажнения воздуха и, если выполнимо, очистительного оборудования, установленного в системе очистки воздуха. Метод измерения индекса очистки подразумевает использование реального загрязняющего вещества (см. EN 1093-1:1998 "Безопасность машин. Оценка выброса в атмосферу вредных веществ. Часть 1. Выбор методов испытаний", пункт 4.2) и может применяться как в лабораторных условиях, так и в условиях подконтрольной эксплуатации.
Следует отметить, что во время проведения испытания, особенно при отключении или удалении системы контроля загрязняющего вещества, концентрация опасных веществ, если таковые присутствуют, может достигать уровня, при котором возрастает риск причинения вреда здоровью операторов или других пользователей, присутствующих в лаборатории.
Внимание! В настоящем стандарте не рассматриваются защитные меры, необходимые для контроля таких рисков.
Измерение индекса очистки систем очистки воздуха может служить для:
- оценки эксплуатационной характеристики системы очистки воздуха;
- оценки изменений, внесенных в конструкцию системы очистки воздуха;
- сравнения систем очистки воздуха по группам с одинаковым назначением (их функциями и очищаемыми веществами);
- ранжирования систем очистки воздуха в зависимости от их индекса очистки;
- классификации уровня развития науки и техники в отношении систем очистки воздуха с аналогичным применением по назначению с точки зрения индекса очистки.
В настоящем стандарте использованы нормативные ссылки на следующие ссылочные стандарты. Для датированных ссылок применяют только указанное издание ссылочного стандарта, для недатированных - последнее издание (включая все изменения).
EN 1070 <*>, Safety of machinery - Terminology (Безопасность оборудования. Термины и определения)
--------------------------------
<*> Отменен.
ISO 3966:1977 <**>, Measurement of fluid flow in closed conduits - Velocity area method using Pitot static tubes (Измерение потока жидкости в закрытых каналах. Метод исследования поля скоростей с применением трубок Пито)
--------------------------------
<**> Действует ISO 3966:2008. Однако для однозначного соблюдения требований настоящего стандарта, выраженного в датированной ссылке, рекомендуется использовать только указанное в этой ссылке издание.
ISO 4006:1991, Measurement of fluid flow in closed conduits - Vocabulary and symbols (Измерение потока жидкости в закрытых каналах. Словарь и условные обозначения)
ISO 4053-1:1977
<*>, Measurement of gas flow in conduits - Tracer methods - Part 1: General (Измерение потока газа в закрытых каналах. Индикаторные методы. Часть 1. Общие положения)
ISO 5167-1:1991 <*>, Measurement of fluid flow by means of pressure differential devices - Part 1: Orifice plates, nozzles and Venturi tubes inserted in circular cross-section conduits running full (Измерение потока жидкости с помощью устройств с различным дифференциалом давления. Часть 1. Измерительные диафрагмы, штуцера и трубки Venturi размещенные в круглых поперечных сечениях заполненных трубопроводах)
--------------------------------
<*> Заменен на ISO 5167-1:2003, ISO 5167-2:2003, ISO 5167-3:2003, ISO 5167-4:2003. Однако для однозначного соблюдения требований настоящего стандарта, выраженного в датированной ссылке, рекомендуется использовать только указанное в этой ссылке издание.
ISO/TR 5168:1998 <**>, Measurement of fluid flow - Evaluation of uncertainties (Измерение потока жидкости. Оценка недостоверностей)
--------------------------------
<**> Заменен на ISO 5168:2005. Однако для однозначного соблюдения требований настоящего стандарта, выраженного в датированной ссылке, рекомендуется использовать только указанное в этой ссылке издание.
ISO 7145:1982 <***>, Determination of flowrate of fluids in closed conduits of circular cross-section - Method of velocity measurement at one point of the cross-section (Измерение потока жидкости в закрытых каналах круглого сечения. Метод измерения скорости в одной точке поперечного сечения)
--------------------------------
<***> Отменен. Однако для однозначного соблюдения требований настоящего стандарта, выраженного в датированной ссылке, рекомендуется использовать только указанное в этой ссылке издание.
В настоящем стандарте применены термины по EN 1070, а также следующий термин с соответствующим определением:
3.1 индекс очистки IA (decontamination index): Среднее значение концентраций загрязняющего вещества, полученных в установленных положениях в окружающем объеме, предназначенном для улучшения качества атмосферного воздуха <1>, отнесенное к среднему значению концентрации реального загрязняющего вещества, полученного во время отключения системы контроля загрязнения.
--------------------------------
<1> Выражается как разница между реальными концентрациями загрязняющих веществ, измеренными при этих условиях, с системой управления загрязнением и без нее.
Для учета загрязнения атмосферного воздуха, вызванного другими операциями (фоновый уровень), может требоваться корректировка.
При одновременном определении распределения частиц по размерам и концентрации загрязняющего вещества также может быть определен индекс очистки для каждой размерной фракции (см., например, EN 481 "Атмосфера рабочей зоны. Спецификации по условиям отбора фракций частиц для измерения их концентрации в воздухе на рабочем месте").
В соответствии с
разделом 3 принцип метода измерения индекса очистки заключается в определении значений концентраций, измеряемых в заранее определенных измерительных точках вокруг контролируемой системы очистки воздуха, и толковании полученных значений с учетом диапазона их изменения и влияющих факторов.
5 Расположение измерительных точек
Измерительные точки определяются с помощью предварительного испытания, чтобы убедиться, что они находятся в зонах измеряемых выбросов вредных веществ. Количество и место расположения измерительных точек должны быть установлены в стандартах типа C.
Измерение будет более точным, а толкование более достоверным в том случае, если концентрация загрязняющего фонового уровня будет низкой. Измерения концентрации следует проводить с отключением окружающих механизмов и прочих процессов, если выполнимо.
После выбора измерительных точек измерения следует проводить в три этапа. Эти три этапа следует повторить два раза. Пример методики измерения с двумя измерительными точками приведен на рисунке 1.
a) подача воздуха = 0 м3/ч; b) подача воздуха = Q м3/ч; c) устройство улавливания; d) система очистки воздуха; e) выброс загрязняющего вещества.
1 и 2 - измерительные точки.
Рисунок 1 - Пример методики измерения
Методики измерения концентрации загрязняющего вещества должны соответствовать действующим стандартам. Методики измерения расхода воздуха - в соответствии с ISO 3966:1977, ISO 4006:1991, ISO 4053-1:1977, ISO 5167-1:1991, ISO/TR 5168:1998 и ISO 7145:1982.
Этап 1 Измерение [Cfi]
При определении уровня концентрации [Cfi] в результате выброса загрязняющих веществ окружающим оборудованием и прочими процессами (фоновый уровень) контролируемая система очистки воздуха, а также система контроля загрязняющего вещества, при наличии, отключаются. Рабочие условия окружающего оборудования и прочих процессов фиксируются.
При достижении стабильных рабочих условий в выбранных измерительных точках проводят измерение концентрации. Длительность отбора проб в каждой измерительной точке должна соответствовать длительности выброса типичного образца загрязняющего вещества окружающим оборудованием и прочими процессами.
В каждой измерительной точке должно быть проведено не менее трех измерений.
Этап 2 Измерение [Cmi]
На этом этапе контролируемая система очистки воздуха должна работать. Система контроля загрязнения системы очистки воздуха должна быть установлена и включена. Должны быть зафиксированы рабочие условия системы очистки воздуха и связанных с ней систем контроля загрязнения.
Измерения концентрации проводят по той же методике, что и на этапе 1: стабильные условия, расположение измерительных точек, длительность отбора проб, рабочие условия окружающего оборудования и прочих процессов.
Для подтверждения того, что на этапе 2, насколько выполнимо, действуют те же условия, что и на этапе 1, должен быть проведен контроль.
Длительность отбора проб в каждой измерительной точке должна соответствовать длительности выброса типичного образца загрязняющего вещества, контролируемого системой очистки воздуха.
В каждой измерительной точке должно быть проведено не менее трех измерений.
Этап 3 Измерение [Cai]
Контролируемая система очистки воздуха находится в процессе работы в тех же условиях, что и на этапе 2, но с отключенной или демонтированной системой контроля загрязнения. Испытание не может быть проведено, если существует вероятность блокирования системы контроля загрязнения при демонтаже.
Внимание! Отключение или демонтаж системы контроля загрязнения в некоторых случаях может приводить к воздействию опасных уровней загрязнения на оператора или пользователей, находящихся в лаборатории. В таких случаях необходимо принимать соответствующие предупредительные меры, направленные на снижение риска, которому подвергаются пользователи.
Измерения концентрации проводят аналогично двум другим этапам. Однако для обеспечения стабильных условий в лаборатории может потребоваться длительный период стабилизации. В каждой измерительной точке должно быть проведено не менее трех измерений.
7 Специальные группы систем очистки воздуха
С учетом разнообразия возникающих ситуаций (например, типов лабораторий, оборудования, методик работы, типов продукта, типа активности, основных характеристик загрязняющего вещества) не представляется возможным установить абсолютно фиксированную методику, не зависящую от различных упомянутых факторов.
Если в стандартах типа C приводится дополнительная информация о специфических условиях, то следует указать места расположения точек отбора проб воздуха, длительность испытания и отбора проб воздуха, а также условия работы системы очистки воздуха.
Множество факторов может оказывать влияние на результаты измерений. Рекомендуется попытаться определить и, если выполнимо, оценить их. В частности, рекомендуется зафиксировать следующую информацию:
- информацию о контролируемой системе очистки воздуха, типе рабочего процесса, типе обрабатываемой продукции, типе работы (непрерывная, периодическая, циклическая), длительности работы;
- информацию об окружающем оборудовании и прочих процессах;
- информацию о системе контроля загрязнения, в частности о подаче отработавшего воздуха в случае наличия устройства улавливания;
- информацию о системе очистки воздуха, в частности подаче;
- информацию о размерах лаборатории;
- информацию о геометрической форме лаборатории (например, расположение системы очистки воздуха);
- информацию о системе общей вентиляции, в частности характеристики воздуха на входе и выходе из оборудования, включая распределение скоростей поперечной тяги. Также рекомендуется зафиксировать температуру и влажность окружающего воздуха.
Область применения настоящей методики измерения может быть сужена из-за некоторых методологических сложностей, например:
- может потребоваться большое количество измерений для учета неоднородности загрязняющего вещества в пространстве и/или времени;
- особое внимание рекомендуется уделять минимизации колебаний подачи отработавшего воздуха или конфигурации воздушного потока, особенно внутри лаборатории в течение периодов, в которые включается или отключается система очистки воздуха или соответствующая система вентиляции.
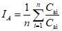
Индекс очистки рассчитывается по следующей формуле:

. (1)
где Cai, Cmi и Cfi - реальные концентрации загрязняющего вещества в заранее определенных измерительных точках вокруг контролируемой системы очистки воздуха при условиях, приведенных ниже;
Cai - система очистки воздуха находится в процессе работы, система контроля загрязнения отключена;
Cmi - система очистки воздуха и система контроля загрязнения находятся в процессе работы;
Cfi - система очистки воздуха и система контроля загрязнения отключены (фоновый уровень) <1>;
--------------------------------
<1> Если значение фонового уровня незначительно, то индекс очистки допускается рассчитывать по следующей формуле:

.
n - количество определенных точек отбора проб воздуха.
Индекс очистки рассчитывают для каждой измерительной точки и для каждого из трех измерений. Затем для каждой измерительной точки рассчитывают среднее значение индекса очистки. Результатом измерения является каждое среднее значение индекса очистки в одной измерительной точке.
При прочих равных условиях чем выше индекс очистки, тем эффективнее система контроля загрязнения.
Например,
если IA = 0, т.е. Ca = Cm, то система очистки воздуха не оказывает никакого воздействия на качество воздуха;
если IA = 1, т.е. Cm = Cf, то система очистки воздуха оказывает эффективное воздействие на качество воздуха, т.к. снижает уровень загрязнения воздуха вне помещения до фонового уровня.
Протокол испытания должен содержать следующую минимальную информацию:
a) ссылку на настоящий стандарт и соответствующие стандарты типа C;
b) описание испытуемой системы очистки воздуха и системы контроля загрязнения (например, наименование изготовителя, модель, тип, версия, конструкция, размеры, год изготовления, серийный номер) и каждой дополнительной части системы очистки воздуха;
c) информацию о функционировании в процессе испытаний, включая информацию о рабочих органах, используемых системой очистки воздуха, информацию об очищаемых веществах;
d) описание системы общей вентиляции;
e) описание методики измерения, в частности:
- методы;
- расположение измерительных точек и точек отбора проб воздуха;
- длительность измерения;
f) применяемый измерительный инструмент и дата его последней калибровки;
g) данные окружающей среды (температура, влажность, атмосферное давление);
h) описание используемых методик испытания (например, перечень стандартов) при измерении концентрации и расхода воздуха;
| | ИС МЕГАНОРМ: примечание. Нумерация пунктов дана в соответствии с официальным текстом документа. | |
j) количество проведенных испытаний;
k) измеренные концентрации загрязняющего вещества во всех измерительных точках;
i) среднее значение индекса очистки в различных измерительных точках, 95%-ный доверительный интервал;
j) информацию об отступлениях от соответствующих стандартов;
k) наименование испытательной лаборатории (центра);
l) информацию об ответственном за испытания;
m) дату проведения испытаний;
n) дополнительную информацию в случае необходимости.
(справочное)
ВЗАИМОСВЯЗЬ МЕЖДУ ЕВРОПЕЙСКИМ СТАНДАРТОМ
И СУЩЕСТВЕННЫМИ ТРЕБОВАНИЯМИ ДИРЕКТИВЫ 98/37/ЕС
Европейский стандарт, на основе которого подготовлен настоящий межгосударственный стандарт, разработан Европейским комитетом по стандартизации (CEN) по поручению Комиссии Европейского сообщества и Европейской ассоциации свободной торговли (EFTA) и реализует существенные требования Директивы 98/37/ЕС (с учетом изменений, внесенных Директивой 98/79/ЕС).
Европейский стандарт размещен в Официальном журнале Европейского сообщества как взаимосвязанный с этой директивой и применен как национальный стандарт не менее чем в одной стране - члене сообщества. Соответствие требованиям европейского стандарта, приведенным в таблице ZA.1, обеспечивает в пределах его области применения презумпцию соответствия существенным требованиям этой директивы и соответствующих регламентирующих документов EFTA.
Таблица ZA.1
Соответствие между EN 1093-11 и Директивой 98/37/ЕС
Разделы EN 1093-11 | Основополагающие требования Директивы 98/37/ЕС | Примечания |
Все разделы | Приложение I, 1.5.13 | Опасность, обусловленная выбросами пыли, газов и т.д. |
Внимание! К продукции, на которую распространяется европейский стандарт, могут применяться требования других стандартов и директив ЕС.
(справочное)
ВЗАИМОСВЯЗЬ МЕЖДУ ЕВРОПЕЙСКИМ СТАНДАРТОМ
И СУЩЕСТВЕННЫМИ ТРЕБОВАНИЯМИ ДИРЕКТИВЫ 2006/42/ЕС
Европейский стандарт, на основе которого подготовлен настоящий межгосударственный стандарт, разработан Европейским комитетом по стандартизации (CEN) по поручению Комиссии Европейского сообщества и Европейской ассоциации свободной торговли (EFTA) и реализует существенные требования
Директивы 2006/42/ЕС.
Европейский стандарт размещен в Официальном журнале Европейского сообщества как взаимосвязанный с этой
директивой и применен как национальный стандарт не менее чем в одной стране - члене сообщества Соответствие требованиям европейского стандарта, приведенным в таблице ZB.1, обеспечивает в пределах его области применения презумпцию соответствия существенным требованиям этой
директивы и соответствующих регламентирующих документов EFTA.
Таблица ZB.1
Соответствие между EN 1093-11 и
Директивой 2006/42/ЕС
Разделы EN 1093-11 | Основополагающие требования Директивы 2006/42/ЕС | Примечания |
Все разделы | | Опасность, обусловленная выбросами загрязняющих веществ и материалов |
Внимание! К продукции, на которую распространяется европейский стандарт, могут применяться требования других стандартов и директив ЕС.
(справочное)
СВЕДЕНИЯ О СООТВЕТСТВИИ ССЫЛОЧНЫХ МЕЖДУНАРОДНЫХ
И ЕВРОПЕЙСКОГО СТАНДАРТОВ МЕЖГОСУДАРСТВЕННЫМ СТАНДАРТАМ
Таблица ДА.1
Обозначение ссылочного международного, европейского стандарта | Степень соответствия | Обозначение и наименование соответствующего межгосударственного стандарта |
EN 1070:1998 | IDT | |
ISO 3966:1977 | - | |
ISO 4006:1991 | - | |
ISO 4053-1:1977 | - | |
ISO 5167-1:1991 | - | |
ISO/TR 5168:1998 | - | |
ISO 7145:1982 | - | |
<*> Соответствующий межгосударственный стандарт отсутствует. До его принятия рекомендуется использовать перевод на русский язык данного международного стандарта или гармонизированный с ним государственный стандарт страны, на территории которой применяется настоящий стандарт. Информация о наличии перевода международного стандарта - в национальных фондах стандартов. Примечание - В настоящей таблице использовано следующее условное обозначение степени соответствия стандарта: IDT - идентичный стандарт. |
УДК 621.43.068.6:006.354 | | IDT |
Ключевые слова: выбросы загрязняющих веществ, системы контроля загрязнения воздуха, индекс очистки |