Главная // Актуальные документы // ГОСТ (Государственный стандарт)СПРАВКА
Источник публикации
М.: Стандартинформ, 2020
Примечание к документу
Текст данного документа приведен с учетом поправок, опубликованных в "ИУС",
N 8, 2020;
N 1, 2021.
Документ
введен в действие с 01.09.2020.
Название документа
"ГОСТ 34628-2019. Межгосударственный стандарт. Пружины и комплекты пружинные рессорного подвешивания железнодорожного подвижного состава. Методы расчета на прочность при действии продольных и комбинированных нагрузок"
(введен в действие Приказом Росстандарта от 25.12.2019 N 1502-ст)
"ГОСТ 34628-2019. Межгосударственный стандарт. Пружины и комплекты пружинные рессорного подвешивания железнодорожного подвижного состава. Методы расчета на прочность при действии продольных и комбинированных нагрузок"
(введен в действие Приказом Росстандарта от 25.12.2019 N 1502-ст)
Приказом Федерального агентства
по техническому регулированию
и метрологии
от 25 декабря 2019 г. N 1502-ст
МЕЖГОСУДАРСТВЕННЫЙ СТАНДАРТ
ПРУЖИНЫ И КОМПЛЕКТЫ ПРУЖИННЫЕ РЕССОРНОГО ПОДВЕШИВАНИЯ
ЖЕЛЕЗНОДОРОЖНОГО ПОДВИЖНОГО СОСТАВА
МЕТОДЫ РАСЧЕТА НА ПРОЧНОСТЬ ПРИ ДЕЙСТВИИ
ПРОДОЛЬНЫХ И КОМБИНИРОВАННЫХ НАГРУЗОК
Springs and spring assemblages of spring suspension
of railway rolling stock. Methods of strength analysis
at longitudinal and combined loading
ГОСТ 34628-2019
Дата введения
1 сентября 2020 года
Цели, основные принципы и общие правила проведения работ по межгосударственной стандартизации установлены
ГОСТ 1.0 "Межгосударственная система стандартизации. Основные положения" и
ГОСТ 1.2 "Межгосударственная система стандартизации. Стандарты межгосударственные, правила и рекомендации по межгосударственной стандартизации. Правила разработки, принятия, обновления и отмены"
1 РАЗРАБОТАН Открытым акционерным обществом "Научно-исследовательский и конструкторско-технологический институт подвижного состава" (АО "ВНИКТИ")
2 ВНЕСЕН Межгосударственным техническим комитетом по стандартизации МТК 524 "Железнодорожный транспорт"
3 ПРИНЯТ Межгосударственным советом по стандартизации, метрологии и сертификации (протокол от 20 декабря 2019 г. N 125-П)
За принятие проголосовали:
Краткое наименование страны по МК (ИСО 3166) 004-97 | Код страны по МК (ИСО 3166) 004-97 | Сокращенное наименование национального органа по стандартизации |
Армения | AM | ЗАО "Национальный орган по стандартизации и метрологии" Республики Армения |
Беларусь | BY | Госстандарт Республики Беларусь |
Казахстан | KZ | Госстандарт Республики Казахстан |
Киргизия | KG | Кыргызстандарт |
Россия | RU | Росстандарт |
Узбекистан | UZ | Узстандарт |
Украина | UA | Минэкономразвития Украины |
4 Приказом Федерального агентства по техническому регулированию и метрологии от 25 декабря 2019 г. N 1502-ст межгосударственный стандарт ГОСТ 34628-2019 введен в действие в качестве национального стандарта Российской Федерации с 1 сентября 2020 г.
5 ВВЕДЕН ВПЕРВЫЕ
Информация о введении в действие (прекращении действия) настоящего стандарта и изменений к нему на территории указанных выше государств публикуется в указателях национальных стандартов, издаваемых в этих государствах, а также в сети Интернет на сайтах соответствующих национальных органов по стандартизации.
В случае пересмотра, изменения или отмены настоящего стандарта соответствующая информация будет опубликована на официальном интернет-сайте Межгосударственного совета по стандартизации, метрологии и сертификации в каталоге "Межгосударственные стандарты"
Настоящий стандарт устанавливает методы расчета на прочность цилиндрических винтовых пружин, применяемых в рессорном подвешивании железнодорожного подвижного состава и работающих при действии продольных или комбинированных (продольных и поперечных) нагрузок.
Настоящий стандарт не распространяется на пружины и пружинные комплекты грузовых вагонов.
В настоящем стандарте использованы нормативные ссылки на следующие межгосударственные стандарты:
ГОСТ 1452-2011 Пружины цилиндрические винтовые тележек и ударно-тяговых приборов подвижного состава железных дорог. Технические условия
ГОСТ 14959 Металлопродукция из рессорно-пружинной нелегированной и легированной стали. Технические условия
ГОСТ 32216 Специальный железнодорожный подвижной состав. Общие технические требования
ГОСТ 34093-2017 Вагоны пассажирские локомотивной тяги. Требования к прочности и динамическим качествам
Примечание - При пользовании настоящим стандартом целесообразно проверить действие ссылочных стандартов и классификаторов на официальном интернет-сайте Межгосударственного совета по стандартизации, метрологии и сертификации (www.easc.by) или по указателям национальных стандартов, издаваемым в государствах, указанных в
предисловии, или на официальных сайтах соответствующих национальных органов по стандартизации. Если на документ дана недатированная ссылка, то следует использовать документ, действующий на текущий момент, с учетом всех внесенных в него изменений. Если заменен ссылочный документ, на который дана датированная ссылка, то следует использовать указанную версию этого документа. Если после принятия настоящего стандарта в ссылочный документ, на который дана датированная ссылка, внесено изменение, затрагивающее положение, на которое дана ссылка, то это положение применяется без учета данного изменения. Если ссылочный документ отменен без замены, то положение, в котором дана ссылка на него, применяется в части, не затрагивающей эту ссылку.
3 Термины, определения и сокращения
3.1 Термины и определения
В настоящем стандарте применены следующие термины с соответствующими определениями:
3.1.1 пружинный комплект: Минимальный набор пружин, обусловленный единым местом расположения и условиями нагружения в рессорном подвешивании подвижного состава.
3.1.2
тара вагона: Собственная масса вагона в порожнем состоянии. Примечание - Для пассажирских вагонов в тару включают массу воды, топлива и других предметов экипировки. |
3.1.3
брутто вагона: Собственная масса вагона, включая полезную нагрузку. Примечание - Для пассажирского вагона полезная нагрузка включает в себя массу пассажиров с багажом, которая определяется населенностью вагона и условной массой одного пассажира. |
3.1.4 максимальная статическая осевая нагрузка: Статическая нагрузка, действующая от колесной пары подвижного состава (нагрузка под брутто вагона или силы тяжести экипированного локомотива) на рельсы.
3.1.5
рамная сила: Поперечная горизонтальная сила взаимодействия колесной пары с рамой тележки. |
3.1.6
необрессоренные части тележки: Составные части тележки, расположенные ниже рессорного подвешивания. Примечание - Не несущие механические узлы не относятся к необрессоренным частям, но элементы их крепления считаются частью необрессоренных узлов. |
3.1.7
обрессоренные части тележки (вагона): Составные части несущей конструкции вагонной тележки, расположенные выше рессорного подвешивания или между ступенями рессорного подвешивания и кузова. Примечание - Не несущие механические узлы оборудования не относятся к обрессоренным частям, но элементы их крепления считаются частью обрессоренных частей. |
3.1.8 билинейная силовая характеристика пружинного комплекта: Зависимость вертикальной нагрузки на пружинный комплект от его прогиба, состоящая из двух линейных участков пропорциональной зависимости с различными коэффициентами пропорциональности (жесткости) и общей точкой перехода с начального участка на последующий участок с увеличенной жесткостью в зоне эксплуатационных нагрузок.
3.1.9 полный статический прогиб пружинного комплекта: Статический прогиб пружинного комплекта, соответствующий его деформации от свободного состояния до состояния под расчетной статической нагрузкой на пружинный комплект.
3.2 Сокращения
В настоящем стандарте использованы следующие сокращения:
ПС - подвижной состав;
РП - рессорное подвешивание.
В настоящем стандарте применены обозначения параметров пружин и пружинных комплектов, приведенные в
таблице 1.
Обозначение | Единица измерения | Наименование параметра |
d | мм | Диаметр прутка пружины |
D | мм | Средний диаметр пружины |
h0 | мм | Высота пружины в свободном состоянии |
hсж | мм | Высота пружины в сжатом состоянии |
h1 | мм | Высота пружины под расчетной статической нагрузкой F1 |
hр | мм | Расчетная высота пружины в нагруженном состоянии |
F | Н | Продольная нагрузка |
F1 | Н | Расчетная статическая нагрузка на пружину |
F1К | Н | Расчетная статическая нагрузка на пружинный комплект ступени РП |
F2 | Н | Рабочая нагрузка на пружину |
F3 | Н | Максимальная продольная нагрузка на пружину |
F3К | Н | Максимальная продольная нагрузка на пружинный комплект |
FТК | Н | Нагрузка на пружинный комплект под тарой вагона |
FИК | Н | Нагрузка на пружинный комплект в точке излома билинейной силовой характеристики |
KД | - | Коэффициент вертикальной динамики |
KДТ | - | Коэффициент вертикальной динамики под нагрузкой тары вагона |
KКЗ | - | Коэффициент конструктивного запаса пружинного комплекта |
s | мм | Продольный прогиб пружины |
sТ | мм | Статический прогиб пружинного комплекта под тарой вагона |
sИ | мм | Прогиб пружинного комплекта в точке излома силовой характеристики |
s1 | мм | Расчетный статический прогиб пружин под нагрузкой F1 |
s1К | мм | Расчетный статический прогиб пружинного комплекта под нагрузкой F1К |
s3 | мм | Максимальный прогиб пружины под нагрузкой F3 |
s3К | мм | Максимальный прогиб пружинного комплекта под нагрузкой F3К |
s3Н | мм | Максимальный прогиб наружной пружины комплекта |
s3В | мм | Максимальный прогиб внутренней пружины комплекта |
sп | мм | Полный статический прогиб пружинного комплекта под расчетной статической нагрузкой F1К при билинейной силовой характеристике |
smax | мм | Максимальный прогиб пружины до сжатого состояния |
C1 | Н/мм | Продольная жесткость пружины |
C2 | Н/мм | Продольная жесткость второй пружины комплекта |
C1, 2 | Н/мм | Жесткость двух последовательно соединенных пружин комплекта |
CК | Н/мм | Продольная жесткость пружинного комплекта |
CН | Н/мм | Жесткость наружной пружины комплекта |
CВ | Н/мм | Жесткость внутренней пружины комплекта |
Cу | Н/мм | Жесткость упругого упора |
G | Н/мм2 | Модуль упругости при сдвиге кручением |
E | Н/мм2 | Модуль нормальной упругости |
| - | Коэффициент поперечной деформации |
k | - | Коэффициент учета кривизны и изгиба витка пружины |
i | - | Индекс пружины |
n | - | Число рабочих витков |
n1 | - | Полное число витков |
| Н/мм2 | Касательные напряжения в пружине под нагрузкой F1 |
| Н/мм2 | Касательные напряжения в пружине под нагрузкой F3 |
| Н/мм2 | Допускаемый предел текучести материала пружины при кручении |
Q | Н | Поперечная нагрузка |
Qm | Н | Максимальная поперечная нагрузка |
sQ | мм | Поперечное смещение опорных витков пружины |
CQ | Н/мм | Поперечная жесткость пружины |
A | - | Поправочный коэффициент к расчету поперечной жесткости CQ |
lпр | мм | Длина приведенного маятника подвешивания |
vк | км/ч | Конструкционная скорость движения ПС |
| Н/мм2 | Касательные напряжения в пружине от поперечной нагрузки Q |
| - | Поправочный коэффициент поперечного изгиба |
| 1/мм | Коэффициент кручения поперечного изгиба |
B | Н/мм2 | Расчетный параметр поперечного изгиба |
J | мм4 | Осевой момент инерции |
| - | Коэффициент приведения поперечного изгиба |
S | Н | Силовой параметр поперечного изгиба |
| градус | Угол подъема винтовой линии пружины высотой hр |
| Н/мм2 | Максимальные касательные напряжения в пружине |
| Н/мм2 | Допускаемый предел текучести при кручении материала в локальных зонах пружины |
u | - | Коэффициент повышения предела текучести при кручении материала в локальных зонах пружины |
NБ | - | Число пружин в буксовых комплектах на колесную пару |
CQКП | Н/мм | Жесткость поперечной связи колесной пары с рамой тележки |
Yр | Н | Рамная сила |
sQКП | мм | Поперечное смещение колесной пары относительно рамы тележки |
nТ | - | Коэффициент запаса прочности пружины по текучести при продольной нагрузке |
nТQ | - | Коэффициент запаса прочности пружины по текучести при комбинированной нагрузке |
| градус | Угол поворота тележки относительно кузова ПС в кривой малого радиуса RМ |
| градус | Угол поворота тележки относительно кузова ПС в кривой R = 600 м |
| радиан |
LПС | мм | База подвижного состава по геометрическим центрам кузовных пружин тележек при прохождении кривых участков пути |
l | мм | База тележки ПС |
lБ | мм | Расстояние от направляющей колесной пары задней тележки до центра поворота тележки под кузовом ПС |
RМ | мм | Малый радиус кривой вписывания ПС |
tm | мм | Максимальный зазор по гребням колесной пары в рельсовой колее малого радиуса |
RС | мм | Средний радиус кривой R = 600 м вписывания ПС |
tс | мм | Средний зазор по колесной паре в рельсовой колее кривой R = 600 м |
a | мм | Продольное расстояние от крайней кузовной пружины в тележке до центра поворота тележки |
b | мм | Поперечное расстояние от крайней кузовной пружины в тележке до центра поворота тележки |
e | мм | Расстояние от крайней кузовной пружины в тележке до центра поворота тележки |
u | градус | Угловая координата расположения крайней кузовной пружины в тележке |
| мм | Поперечная деформация пружины от поворота тележки |
| мм | Поперечная деформация пружины от поворота тележки в кривой R = 600 м |
sсв | мм | Свободный зазор в шкворневом узле тележки до шкворневой пружины |
sуп | мм | Максимальный прогиб шкворневой пружины до упора |
| мм | Максимальная поперечная деформация пружины |
sQР | мм | Предельная поперечная деформация пружины |
sаК | мм | Амплитуда колебаний пружинного комплекта |
| Н/мм2 | Максимальные касательные напряжения при комбинированной нагрузке |
Kd | - | Коэффициент влияния диаметра прутка |
| - | Коэффициент влияния качества поверхности прутка |
Kv | - | Коэффициент влияния упрочнения пружины наклепом |
KДС | - | Средний коэффициент вертикальной динамики |
KДСВ | - | Средний коэффициент вертикальной динамики внутренней пружины комплекта |
KДСН | - | Средний коэффициент вертикальной динамики наружной пружины комплекта |
| Н/мм2 | Амплитуда динамической составляющей напряжений |
| Н/мм2 | Предел выносливости пружины при продольной нагрузке |
na | - | Коэффициент запаса прочности пружины по сопротивлению усталости от продольных нагрузок |
q | - | Доля непогашенного ускорения подрессоренной массы от возвышения наружного рельса |
Qq | Н | Центробежная сила от непогашенного ускорения подрессоренной массы кузова ПС |
QaR | Н | Амплитуда динамической поперечной нагрузки |
CШ1 | Н/мм | Доля жесткости шкворневой пружины, приходящаяся на одну кузовную пружину |
QR | Н | Поперечная нагрузка на пружину при движении ПС в кривой R = 600 м |
| мм | Поперечная деформация пружины при движении ПС в кривой R = 600 м |
sqm | мм | Максимальное поперечное смещение кузова относительно рамы тележки |
saq | мм | Амплитуда поперечных колебаний кузова |
| мм | Амплитуда поперечных колебаний от виляния тележки |
saR | мм | Амплитуда поперечной деформации отдаленной пружины кузова в кривой |
KДQ | - | Коэффициент поперечной динамики кузовной пружины |
| Н/мм2 | Квазистатические напряжения в пружине от поперечной нагрузки в кривой R = 600 м |
| Н/мм2 | Амплитуда динамической составляющей касательных напряжений в пружине в кривой |
| Н/мм2 | Суммарные касательные напряжения от продольной и поперечной нагрузок |
| Н/мм2 | Суммарная амплитуда касательных напряжений от продольной и поперечной нагрузок |
| Н/мм2 | Предел выносливости пружины при комбинированной нагрузке |
| - | Коэффициент запаса прочности пружин по сопротивлению усталости от комбинированных нагрузок |
5.1 Рессорное подвешивание (РП) подвижного состава (ПС) образуют цилиндрические винтовые пружины, изготовляемые по
ГОСТ 1452, объединенные, как правило, в пружинные комплекты по ступеням РП.
5.2 Расчетную статическую нагрузку на пружинный комплект первой ступени РП F1К определяют по максимальной статической осевой нагрузке ПС за вычетом силы веса необрессоренных частей тележки с учетом числа пружинных комплектов на одну колесную пару. Расчетную статическую нагрузку на пружинный комплект второй ступени РП определяют с учетом обрессоренных частей тележки и пружинных комплектов между тележкой и кузовом ПС.
5.3 Расчет пружинного комплекта на прочность проводят по максимальной продольной нагрузке
F3К по заданному для типа ПС нормативному коэффициенту конструктивного запаса ступени рессорного подвешивания
KКЗ (см.
таблицу 2) относительно расчетной статической нагрузки на пружинный комплект РП
F1К по формуле
По максимальной продольной нагрузке
F3К, действующей на пружинный комплект (или одиночную пружину
F3), определяют распределение нагрузок по составляющим пружинам комплекта и соответствующие этим нагрузкам касательные напряжения

согласно методам расчета в соответствии с
6.1.2,
6.1.3,
6.1.5. Для назначенной марки стали определяют допускаемый предел текучести материала пружин при кручении

, приведенный в
приложении А, и рассчитывают коэффициент запаса прочности
nTi по текучести при максимальной продольной нагрузке
F3К, который должен удовлетворять условию

. (2)
5.4 При использовании в первой ступени РП по одной пружине, например над буксой колесной пары, расчетная статическая нагрузка F1 действует на эту пружину и в силу линейной зависимости силовой характеристики цилиндрических винтовых пружин от прогиба коэффициент конструктивного запаса пружинного комплекта KКЗ по нагрузке соответствует коэффициенту конструктивного запаса пружинного комплекта по прогибу. При наличии в пружинном комплекте двух и более пружин такое соответствие проявляется только при одновременной загрузке пружин, составляющих комплект.
5.5 Нормативные значения коэффициентов конструктивного запаса пружинных комплектов
KКЗ и требования к динамическим качествам РП соответствующего ПС приведены в
таблице 2.
Показатель динамических качеств комплектов пружин РП | Тип ПС |
Моторвагонный | Пассажирские вагоны | Локомотивы |
KКЗ по ступеням РП, не менее: | | | |
- второй ступени | 1,4 | | 1,4 |
- первой ступени | | 1,6 | |
KД по ступеням РП при максимальной статической осевой нагрузке ПС, не более: | | | |
- второй (кузовной) ступени | 0,20 | 0,25 | 0,20 - пассажирские и грузопассажирские; 0,25 - прочие |
- первой (буксовой) ступени | 0,30 | 0,40 | 0,30 - пассажирские и грузопассажирские с vк > 160 км/ч; 0,35 - пассажирские и грузопассажирские с vк <= 160 км/ч; 0,35 - грузовые и маневровые; |
Рамная сила YР в доле от максимальной осевой нагрузки, не более <***> | 0,40 | 0,40 | 0,40 |
<*> В знаменателе - до включения в схему нагружения упругих упоров (в соответствии с рисунком 3). <***> С учетом требований 6.2.2. Примечание - Показатели динамических качеств комплектов пружин РП специального подвижного состава - по ГОСТ 32216. |
5.6 На
рисунках 1 -
3 приведены силовые характеристики пружинных комплектов ступени РП, обеспечивающей
KКЗ > 1,6: без упругого упора (см.
рисунок 1), с наличием упругого упора (см.
рисунок 2) и с работающим упругим упором (см.
рисунок 3).
Рисунок 1 - Силовые характеристики пружинных комплектов
ступени РП без упругого упора (KКЗ > 1,6)
Рисунок 2 - Силовые характеристики пружинных комплектов
ступени РП с наличием упругого упора (KКЗ > 1,6)
Рисунок 3 - Силовые характеристики пружинных комплектов
ступени РП с работающим упругим упором (KКЗ > 1,6)
Возможное использование упругого упора-ограничителя по типам подвижного состава указано в
таблице 2.
Упругий упор-ограничитель по
рисунку 3 при включении в РП после достижения нагрузки 1,4
F1 (или прогиба 1,4
s1) обеспечивает уменьшение максимального прогиба ступени РП при обеспечении регламентированного коэффициента конструктивного запаса пружинного комплекта
KКЗ по нагрузке в билинейной силовой характеристике ступени РП.
6.1 Расчет коэффициента запаса прочности пружин по текучести при продольных нагрузках
6.1.1 Выбор характеристик РП и оценку динамических качеств ПС по показателям
таблицы 2 проводят при проектировании ПС с учетом установленных рекомендаций по величине статического прогиба РП, его распределения по ступеням РП и проведением математического моделирования движения ПС с использованием программных комплексов.
Продольную жесткость пружинного комплекта соответствующей ступени РП распределяют по выбранному конструктивному исполнению пружин с параллельной или последовательной схемой нагружения.
6.1.2 При параллельной схеме распределения нагрузки между пружинами комплекта с их одновременной загрузкой суммарную продольную жесткость комплекта,
CК, Н/мм, вычисляют по формуле

, (3)
где CКi - продольная жесткость i-го пружинного комплекта.
Распределение общей нагрузки по пружинам комплекта происходит пропорционально продольным жесткостям составляющих пружин через расчетный статический прогиб комплекта пружин s1К, мм, под нагрузкой F1К, который вычисляют по формуле

. (4)
6.1.3 При последовательной схеме соединения пружин комплекта общую продольную жесткость комплекта
CК, Н/мм, вычисляют по формуле

. (5)
В этом случае все пружины комплекта нагружены статической нагрузкой F1К и расчетный статический прогиб s1К, мм, состоит из прогибов каждой пружины комплекта sКi и вычисляется по формуле

. (6)
6.1.4 Продольную жесткость
C1, Н/мм, и касательные напряжения

, Н/мм
2, отдельной пружины вычисляют по формулам:

, (7)
где

;

, (8)
где

, (9)
где

. (10)
6.1.5 Значения предела текучести материала пружины при кручении

в зависимости от диаметра горячекатаного прутка рессорно-пружинных сталей при изготовлении пружин по
ГОСТ 1452 приведены в
приложении А.
По
формуле (8) вычисляют касательное напряжение в пружине

под действием нагрузки
F3Кi, вычисленной по
формуле (1) для пружин комплекта. По
формуле (2) вычисляют коэффициент запаса прочности пружины по текучести
nТ и соответствие пружины требованиям
таблицы 2.
6.1.6 Высоту цилиндрических винтовых пружин в сжатом состоянии
hсж, мм, с поджатием опорных витков на 0,75 дуги окружности с учетом плюсового допуска на полное количество витков
n1 при числе рабочих витков
n в соответствии с требованиями ГОСТ 1452-2011
(пункт 4.13.5) вычисляют по формуле

(11)
6.1.7 Максимальный прогиб s3, мм, пружины под нагрузкой F3 и ее высоту в свободном состоянии h0, мм, вычисляют по формулам:

; (12)
Знак >= в
формуле (13) означает, что высота пружины в свободном состоянии может быть больше рассчитанного по предельному значению размера
h0, например при действии на пружину комбинированных нагрузок с целью обеспечения требуемых значений поперечной жесткости пружины по длине приведенного маятника подвешивания.
6.1.8 При наличии в пружинном комплекте двух пружин возможна как линейная силовая характеристика F(s), так и билинейная силовая характеристика.
Билинейная силовая характеристика пружинного комплекта может быть использована, например, в моторвагонном ПС со значительной загрузкой под брутто вагона, когда под тарой вагона (вследствие ограниченного статического прогиба в первой ступени РП) проявляются повышенный показатель горизонтальной динамики и пониженный коэффициент запаса устойчивости против схода колеса с рельса, требующие ограничения скорости движения порожнего вагона.
6.1.9 Билинейную силовую характеристику пружинного комплекта получают за счет разности высот составляющих пружин при параллельной схеме нагружения. Пружинный комплект, как правило, состоит из двухрядных пружин (наружной пружины и внутренней пружины с пониженной высотой в свободном состоянии), число которых в комплекте также может быть различным.
По расчетной нагрузке на пружинный комплект под тарой вагона
FТК в первой ступени РП и требуемым значениям статического прогиба
sТ определяют начальную линию силовой характеристики
F(s) с жесткостью
CН, Н/мм, наружной пружины комплекта (см.
рисунок 4), вычисляемой по формуле

. (14)
Рисунок 4 - Билинейная силовая характеристика
пружинного комплекта
Прогиб наружной пружины РП по начальной линии силовой характеристики до точки излома И
sИ, мм, и соответствующую нагрузку
FИК, Н, вычисляют с использованием коэффициента вертикальной динамики
KДТ под нагрузкой тары вагона с рекомендуемым значением
KДТ = 0,3 по условию невозникновения параметрических резонансов в РП согласно положениям ГОСТ 34093-2017
(пункт 15.1.4) при движении порожнего вагона
sИ = (1 + KДТ)sТ; (15)
FИК = CНsИ. (16)
Построение последующей линии силовой характеристики пружинного комплекта начинают из точки излома И с параметрами
sИ и
FИК (см.
рисунок 4) с учетом назначенного распределения расчетного статического прогиба РП
s1К под расчетной статической нагрузкой
F1К. В этом случае жесткость пружинного комплекта вычисляют по формуле

. (17)
Дополнительный статический прогиб пружинного комплекта от точки излома И до точки П sП - sИ, мм, вычисляют по формуле

. (18)
Продлевая последующую линию силовой характеристики ПИ до пересечения с осью s, получаем точку А и отрезок АsП, соответствующий назначенному значению статического прогиба пружинного комплекта s1К первой ступени РП под расчетной статической нагрузкой F1К.
Жесткость внутренней пружины CВ, Н/мм, вычисляют по формуле
CВ = CК - CН. (19)
Полный статический прогиб пружинного комплекта первой ступени РП sП, мм, под расчетной статической нагрузкой F1К вычисляют по формуле

. (20)
Максимальный прогиб пружинного комплекта s3К, мм, под максимальной нагрузкой F3К вычисляют по формуле
s3К = sП + s1К(KКЗ - 1). (21)
Максимальный прогиб наружной пружины s3Н соответствует максимальному прогибу пружинного комплекта s3К.
Максимальный прогиб внутренней пружины комплекта s3В, мм, вычисляют по формуле
s3В = s3К - sИ. (22)
Максимальную продольную нагрузку на пружинный комплект
F3К, Н, вычисляют по
формуле (1).
6.1.10 Для расчета пружин комплекта с билинейной силовой характеристикой по коэффициенту запаса прочности по пределу текучести используют
формулы (8) и
(2). Для определения высоты пружин комплекта в свободном состоянии используют
формулы (12) и
(13).
6.1.11 Билинейная силовая характеристика пружинного комплекта может быть обеспечена также при последовательной схеме нагружения пружин. Пружинный комплект в этом случае состоит из двух пружин (нижней и верхней) с соответствующими значениями их жесткости C1 и C2. Жесткость комплекта из двух пружин C1,2, Н/мм, на начальной линии силовой характеристики в данном случае вычисляют по формуле

. (23)
Если верхняя пружина жесткостью C
2 после совместного прогиба с нижней пружиной жесткостью
C1 на начальной ветви силовой характеристики до точки И (точки излома силовой характеристики комплекта пружин по
рисунку 4) получает прогиб
s2И, мм, до сжатия витков пружины, вычисляемый по формуле

, (24)
тогда последующую ветвь силовой характеристики образует только нижняя пружина жесткостью C1. Жесткость верхней пружины C2 будет значительной, характерной жесткости одного рабочего витка. После загрузки вагона более нагрузки FИК на пружинный комплект верхняя пружина становится жесткой опорой.
По аналогии с
6.1.9 определяют остальные точки билинейной силовой характеристики комплекта пружин с жесткостью
C1 выше точки И, полученной по жесткости
C1,2 комплекта пружин. Расчетный статический прогиб пружинного комплекта под нагрузкой
F1К (отрезок
А -
sП на оси
s, см.
рисунок 4) вычисляют по формуле

. (25)
Полный статический прогиб пружинного комплекта sП, мм, под расчетной статической нагрузкой F1К вычисляют по формуле

. (26)
6.2 Расчет коэффициента запаса прочности пружин по текучести при комбинированных нагрузках
6.2.1 В соответствии с положениями
ГОСТ 1452 пружины рессорного подвешивания ПС классифицированы на категории А и Б по величине поперечных нагрузок (прогибов) относительно продольных нагрузок (прогибов) в эксплуатации:
- более 15% - для пружин категории А;
- менее 15% - для пружин категории Б.
Для пружин с повышенным качеством изготовления по категории А необходимо учитывать поперечные нагрузки в расчете их общего напряженного состояния.
6.2.2 При параллельном поперечном смещении опорных витков цилиндрических винтовых пружин поперечную жесткость пружины
CQ, Н/мм, вычисляют по формуле

. (27)
Для первой ступени РП с поперечной податливостью, обеспечивающей функцию поперечной связи колесной пары с рамой тележки, требуемую поперечную жесткость связи CQКП, Н/мм, вычисляют по формуле

, (28)
где
Yр - рамная сила, определяемая исходя из типа ПС по
таблице 2.
Для пассажирских вагонов и электропоездов рамную силу от колесной пары на раму тележки определяют в соответствии с ГОСТ 34093-2017
(пункт 6.3.6).
Допускается преобразовывать
формулу (28) для нахождения
sQКП при известном/заданном
CQКП.
В зависимости от конструктивного исполнения буксовой связи колесной пары с рамой тележки следует в общей жесткости поперечной связи CQКП определить составляющую поперечной жесткости, которая обеспечивается за счет поперечной жесткости CQ буксовых пружин при числе пружин NБ в буксовом комплекте.
В проектной пружине с продольной рабочей нагрузкой
F2, учитывающей допускаемый коэффициент вертикальной динамики
KД первой ступени РП по
таблице 2 по типу ПС, проверку коэффициента запаса прочности по текучести следует проводить с учетом допускаемой поперечной нагрузки. Максимальную поперечную нагрузку на буксовую пружину
Qm, Н, вычисляют с учетом допускаемой поперечной деформации
sQКП по формуле
Qm = sQКПCQ. (29)
6.2.3 Касательные напряжения

, Н/мм
2, от поперечной нагрузки
Q для пружины, находящейся под продольной нагрузкой
F, вычисляют по формуле

, (30)
где

; (31)

, (32)
где

, (33)
где

, (34)

; (35)

, (36)
где

. (37)
Максимальные касательные напряжения в пружине

, Н/мм
2, при совместном действии напряжения

от расчетной статической нагрузки
F1 с допускаемым коэффициентом вертикальной динамики
KД и напряжения

от максимальной поперечной нагрузки
Qm вычисляют по формуле

. (38)
Значение допустимого предела текучести при кручении материала пружины

, Н/мм
2, в локальной зоне возникновения суммарных касательных напряжений на внутренней поверхности прутка по диаметру навивки в плоскости направления действия поперечной нагрузки
Q при расчетах учитывают введением повышающего коэффициента
u, значение которого принимают равным от 1,1 до 1,2 по диапазону индекса пружины
i от 8 до 4, и вычисляют по формуле

. (39)
Коэффициент запаса прочности буксовой пружины при комбинированной нагрузке должен удовлетворять условию

. (40)
6.2.4 Качество поперечной связи тележки с кузовом ПС характеризуется длиной приведенного маятника подвешивания lПР, мм, определяемой для цилиндрических винтовых пружин по формуле

. (41)
6.2.5 Во второй ступени РП вагонов с длинной базой применяют тележки с надрессорным брусом, имеющим люлечное подвешивание на раме тележки различных схем, приведенных в ГОСТ 34093-2017
(пункт 15.2). Поперечная податливость пружин второй ступени РП под надрессорной балкой осуществляется только вдоль продольной оси балки от поперечного относа кузова вагона относительно рамы тележки в кривых участках пути.
На локомотивах пружинные опоры кузова разнесены от центра тележек и поперечные смещения опорных витков пружин слагаются не только из поперечного относа кузова относительно рамы тележки, но и из угла поворота тележки относительно кузова при движении локомотива в кривых участках пути (подвешивание типа флексикойл). Аналогичное подвешивание имеют отдельные модели вагонов с опорой кузовных пружин на раму тележки.
6.2.6 Для расчета поперечной жесткости пружин подвешивания типа флексикойл CQ, Н/мм, имеющих значительную высоту в свободном состоянии от 3 до 5 D и продольную жесткость C, рекомендуется использовать формулу

(42)
где hр = h0 - s1 - d;
A - поправочный коэффициент, определяемый по номограмме, приведенной в
приложении Б.
Коэффициент запаса прочности по текучести кузовных пружин определяют с учетом поперечных нагрузок, создаваемых ПС при проезде кривых малого радиуса с ограниченной скоростью, когда проявляются наибольшие поперечные смещения опорных витков пружин. Тележки ПС занимают при этом в рельсовой колее положение наибольшего перекоса с углом поворота задней по ходу тележки

, градусы, относительно кузова, определяемым по формуле

, (43)
где tm = 60 мм - максимальный зазор по колесным парам в кривых малого радиуса с R = (60 - 150) м по типу ПС с учетом уширения колеи в кривых и износа гребней колес колесных пар.
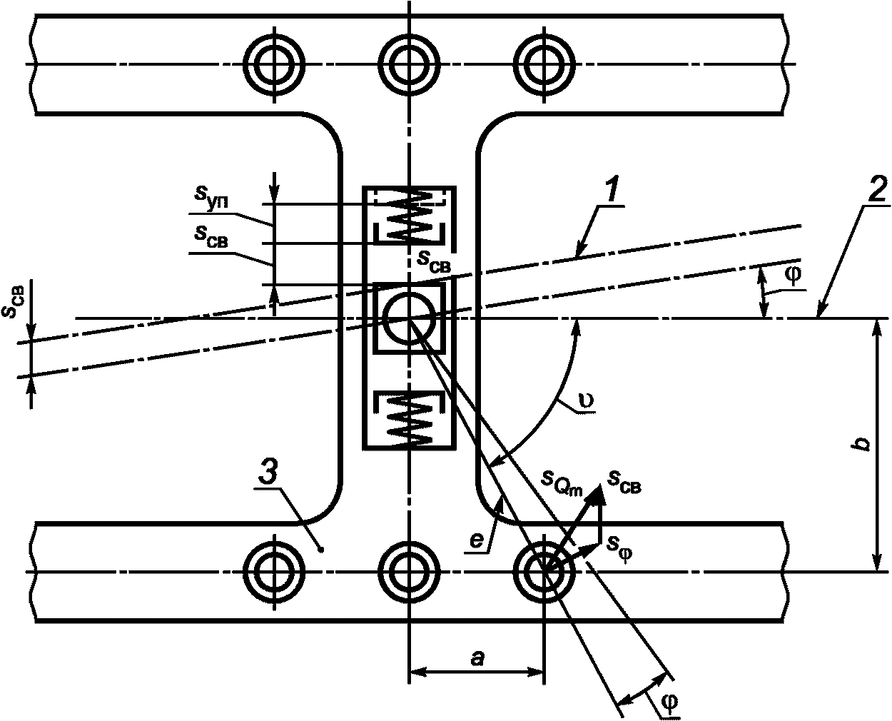
По схеме расположения кузовных пружин на тележке, представленной на
рисунке 5, определяют расстояние
e, мм, от центра поворота тележки до наиболее отдаленной пружины с координатами
a и
b по формуле

. (44)
При наличии поперечного смещения кузова относительно тележки на кузовных пружинах на величину
sсв до упругого упора с деформацией
sуп (см.
рисунок 5) максимальную поперечную деформацию опорных торцов отдаленной пружины
sQm, мм, определяют как наибольшую сумму векторов смещения

от поворота тележки и поперечного смещения на
sсв по формуле

, (45)
где

- величина смещения опорных витков пружины от поворота тележки, мм;

. (46)
1 - ось кузова при повороте и относе;
2 - продольная ось кузова; 3 - рама тележки
Рисунок 5 - Схема поперечных деформаций пружин
второй ступени при движении локомотива в кривой
В тележках ПС с надрессорным брусом поперечное смещение опорных витков пружин второй ступени РП по
6.2.5 слагается из заданного свободного поперечного смещения надрессорного бруса
sсв и упругой деформации упора
sуп.
Значение поперечного смещения сравнивают с предельной поперечной деформацией пружины sQР, мм, при которой начнут замыкаться рабочие витки на опорные под нагрузкой F1 (при высоте пружины h1), вычисляемой по формуле

. (47)
Поперечную жесткость пружины под расчетной продольной нагрузкой
F1 определяют по
формуле (42), максимальную поперечную нагрузку на пружину
Qm, Н, вычисляют по формуле

, (48)
где жесткость C
Q определяют по конструктивному исполнению пружины по
формулам (27) или
(42).
Соответствующие касательные напряжения

от максимальной поперечной нагрузки
Qm определяют по
формуле (30). Максимальные касательные напряжения в отдаленных кузовных пружинах тележки при совместном действии продольной и поперечной нагрузок в крутых кривых вычисляют по формуле

. (49)
Примечание - Полученное значение

рекомендуется уточнить расчетом винтового бруса малой кривизны.
Запас прочности по текучести кузовной пружины с учетом действия квазистатических поперечных нагрузок в кривой малого радиуса должен удовлетворять
условию (40).
6.3 Расчет коэффициента запаса прочности пружин по сопротивлению усталости
6.3.1 Сопротивление усталости пружин от продольной нагрузки
6.3.1.1 Значения предельных амплитуд динамических напряжений

, Н/мм
2, рассчитывают по формуле

, (50)
где Kd - коэффициент влияния действительных размеров диаметра прутка пружин, определяемый по формуле

; (51)

- коэффициент, учитывающий состояние качества поверхности прутка после изготовления пружин рессорного подвешивания ПС:
- при снятии поверхностного слоя прутка глубиной до 1,0 мм на сторону и наличии обезуглероженного слоя, допускаемого по
ГОСТ 1452,

;
- при снятии поверхностного слоя не менее 1,5 мм на сторону и наличии обезуглероженного слоя глубиной не более половины, допускаемой по
ГОСТ 1452,

;
- при снятии поверхностного слоя не менее 1,5 мм на сторону и полном отсутствии обезуглероженного слоя

;
Kv - коэффициент эффективности упрочнения пружины наклепом дробью:
- при отсутствии упрочнения наклепом дробью Kv = 1;
- при упрочнении пружины наклепом дробью Kv = 1,15.
Примечание - В расчете предельных амплитуд динамических напряжений

пружин пассажирских вагонов используют
формулу (13.16) по ГОСТ 34093-2017.
6.3.1.2 Для оценки предела выносливости буксовых пружин от продольных нагрузок рекомендуется принимать среднее значение коэффициента вертикальной динамики в доле от допускаемых значений
KД по
таблице 2:
- для первой ступени РП с двухступенчатым рессорным подвешиванием KДС = 0,7 KД;
- для второй ступени РП KДС = 0,6 KД;
- при исполнении ПС с одноступенчатым РП принимают KДС = 0,3.
Амплитуду динамической составляющей касательных напряжений в пружине

, Н/мм
2, вычисляют по формуле

. (52)
Коэффициент запаса прочности пружины по сопротивлению усталости от продольных нагрузок na должен удовлетворять условию

. (53)
6.3.1.3 Средний коэффициент вертикальной динамики
KДС по пружинному комплекту первой ступени РП с билинейной силовой характеристикой по
6.1.9 (в связи с различными расчетными статическими прогибами наружной и внутренней пружин под расчетной нагрузкой
F1) должен быть пересчитан в коэффициент динамики для каждой из этих пружин РП. Расчетную среднюю амплитуду колебаний пружинного комплекта
sаК, мм, вычисляют по формуле
sаК = KДСs1К. (54)
Средний коэффициент вертикальной динамики наружной пружины комплекта KДСН вычисляют по формуле

. (55)
Средний коэффициент вертикальной динамики внутренней пружины комплекта KДСВ вычисляют по формуле

. (56)
В соответствии с полученными различными средними коэффициентами вертикальной динамики пружин комплекта определяют средние амплитуды динамических составляющих напряжений

для каждой пружины по
формуле (52) и соответствующие коэффициенты запаса сопротивления усталости каждой пружины комплекта по
формуле (53).
6.3.2 Сопротивление усталости пружин от действия комбинированных нагрузок
6.3.2.1 Значения предельных амплитуд динамических напряжений от действия комбинированных нагрузок

, Н/мм
2, вычисляют по формуле

. (57)
Примечание - В расчете предельных амплитуд динамических напряжений

при комбинированной нагрузке пружин пассажирских вагонов используют
формулу (13.16) по ГОСТ 34093-2017.
Определение значений коэффициентов
Kd,

и
Kv - по
6.3.1.1.
6.3.2.2 Расчет сопротивления усталости пружин от действия комбинированных нагрузок проводят для кривых участков пути средним радиусом
RС = 600 м. Угол поворота тележек ПС относительно рамы кузова в расчетной кривой

при установке направляющих колесных пар с контактом по наружному рельсу и движением последней колесной пары тележки при среднем зазоре
tС = 22 мм, вычисляют по формуле

. (58)
Величину поперечной деформации для наиболее отдаленной пружины от центра поворота тележки (геометрического центра расположения кузовных пружин)

, мм, относительно кузова ПС по
рисунку 5 определяют по формуле

. (59)
При упругой поперечной связи кузова относительно тележек на кузовных пружинах и наличии в шкворневом узле упругих упоров центробежную силу от непогашенного ускорения подрессоренной массы кузова на тележке Qq вычисляют по формуле

, (60)
где q = 0,07 - доля непогашенного ускорения подрессоренной массы кузова.
Соответствующее поперечное смещение опорных витков пружины sQ, мм, вычисляют по формуле

. (61)
Поперечную деформацию опорных торцов отдаленной пружины

, мм, определяют как наибольшую сумму векторов смещения

от поворота тележки и поперечного смещения на
sQ по формуле

. (62)
Поперечную квазистатическую нагрузку на эту пружину QR, Н, вычисляют по формуле

. (63)
Соответствующие квазистатические напряжения в пружине

от поперечной силы
QR определяют по
формуле (30).
6.3.2.3 В аналогичной последовательности определяют амплитуды поперечных смещений опорных торцов пружины от поперечных колебаний кузова относительно тележки и от угловых колебаний тележки по зазору колеи.
Максимальное поперечное смещение кузова относительно рамы тележки sqm, мм, определяют по формуле
sqm = sсв + sуп. (64)
Амплитуду поперечных колебаний кузова saq, мм, вычисляют по формуле
saq = sqm - sQR. (65)
Амплитуду поперечных деформаций пружины от виляния тележки

, мм, ограниченную зазором в колее, определяют по формуле

. (66)
Амплитуду поперечных деформаций отдаленной пружины кузова в кривой
sаR, мм, вычисляют по формуле, аналогичной
формуле (62)

. (67)
Амплитуду динамической поперечной нагрузки на отдаленную кузовную пружину QаR, Н, определяют по формуле
QаR = CQsаR. (68)
Коэффициент поперечной динамики кузовной отдаленной кузовной пружины KДQ вычисляют по формуле

. (69)
Используя коэффициент
KДQ, вычисляют амплитуду динамической составляющей касательных напряжений в пружине в кривой

, Н/мм
2, от поперечной нагрузки
Q по формуле

. (70)
Суммарное напряженное состояние пружины от расчетной статической нагрузки
F1 и поперечной нагрузки в кривой
QR,

, Н/мм
2, вычисляют по формуле

. (71)
Суммарную амплитуду касательных напряжений в пружине от продольной и поперечной нагрузок

, Н/мм
2, вычисляют по формуле

. (72)
Коэффициент запаса прочности пружины по сопротивлению усталости при действии комбинированных нагрузок должен удовлетворять условию

. (73)
(обязательное)
ЗАВИСИМОСТЬ ДОПУСКАЕМОГО ПРЕДЕЛА ТЕКУЧЕСТИ МАТЕРИАЛА ПРУЖИН
ПРИ КРУЧЕНИИ ОТ ДИАМЕТРА ПРУТКА
1 - для сталей марок 55С2, 60С2, 55С2А, 60С2А по
ГОСТ 14959 при HRC 41 - 44;
2 - для сталей марок 60С2ХА, 60С2ХФА и 54SiCr6 по
ГОСТ 14959 при HRC 42 - 45;
3 - для сталей марок 60С2ХФА и 65С2ВА по
ГОСТ 14959 при HRC до 48
Рисунок А.1
(обязательное)
НОМОГРАММА ДЛЯ ОПРЕДЕЛЕНИЯ ПОПРАВОЧНОГО КОЭФФИЦИЕНТА A
Рисунок Б.1
УДК 629.4.027.31:272.6:006.354 | | |
Ключевые слова: пружины, пружинные комплекты, рессорное подвешивание, железнодорожный подвижной состав, метод расчета, прочность, продольные и комбинированные нагрузки |