Главная // Актуальные документы // ГОСТ (Государственный стандарт)СПРАВКА
Источник публикации
В данном виде документ опубликован не был.
Первоначальный текст документа опубликован в издании
М.: Стандартинформ, 2014.
Информацию о публикации документов, создающих данную редакцию, см. в справке к этим документам.
Примечание к документу
Документ включен в Перечень международных и региональных (межгосударственных) стандартов (
п. п. 15,
190,
200), а в случае их отсутствия - национальных (государственных) стандартов, содержащих правила и методы исследований (испытаний) и измерений, в том числе правила отбора образцов, необходимые для применения и исполнения требований технического
регламента Евразийского экономического союза "О безопасности алкогольной продукции" (ТР ЕАЭС 047/2018) и осуществления оценки соответствия объектов технического регулирования (
Решение Коллегии Евразийской экономической комиссии от 17.05.2022 N 80).
Документ включен в
Перечень международных и региональных (межгосударственных) стандартов, а в случае их отсутствия - национальных (государственных) стандартов, содержащих правила и методы исследований (испытаний) и измерений, в том числе правила отбора образцов, необходимые для применения и исполнения требований технического
регламента Таможенного союза "О безопасности пищевой продукции" (ТР ТС 021/2011) и осуществления оценки соответствия объектов технического регулирования (
Решение Коллегии Евразийской экономической комиссии от 24.12.2019 N 236).
Текст данного документа приведен с учетом
поправки, опубликованной в "ИУС", N 3, 2015.
Название документа
"ГОСТ 30536-2013. Межгосударственный стандарт. Водка и спирт этиловый из пищевого сырья. Газохроматографический экспресс-метод определения содержания токсичных микропримесей"
(введен в действие Приказом Росстандарта от 28.06.2013 N 338-ст)
(ред. от 14.09.2021)
"ГОСТ 30536-2013. Межгосударственный стандарт. Водка и спирт этиловый из пищевого сырья. Газохроматографический экспресс-метод определения содержания токсичных микропримесей"
(введен в действие Приказом Росстандарта от 28.06.2013 N 338-ст)
(ред. от 14.09.2021)
агентства по техническому
регулированию и метрологии
от 28 июня 2013 г. N 338-ст
МЕЖГОСУДАРСТВЕННЫЙ СТАНДАРТ
ВОДКА И СПИРТ ЭТИЛОВЫЙ ИЗ ПИЩЕВОГО СЫРЬЯ
ГАЗОХРОМАТОГРАФИЧЕСКИЙ ЭКСПРЕСС-МЕТОД ОПРЕДЕЛЕНИЯ
СОДЕРЖАНИЯ ТОКСИЧНЫХ МИКРОПРИМЕСЕЙ
Vodka and ethanol from food raw material.
Gas-chromatographic express-method for determination
of toxic microadmixtures content
ГОСТ 30536-2013
| | Список изменяющих документов Росстандарта от 14.09.2021 N 957-ст) | |
Дата введения
1 июля 2014 года
Цели, основные принципы и основной порядок проведения работ по межгосударственной стандартизации установлены
ГОСТ 1.0-92 "Межгосударственная система стандартизации. Основные положения" и
ГОСТ 1.2-2009 "Межгосударственная система стандартизации. Стандарты межгосударственные, правила и рекомендации по межгосударственной стандартизации. Правила разработки, принятия, применения, обновления и отмены"
1 РАЗРАБОТАН Государственным научным учреждением Всероссийским научно-исследовательским институтом пищевой биотехнологии Российской академии сельскохозяйственных наук (ГНУ ВНИИПБТ Россельхозакадемии)
2 ВНЕСЕН Федеральным агентством по техническому регулированию и метрологии (Росстандарт)
3 ПРИНЯТ Межгосударственным советом по стандартизации, метрологии и сертификации (Протокол от 7 июня 2013 г. N 43)
За принятие проголосовали:
Краткое наименование страны по МК (ИСО 3166) 004-97 | Код страны по МК (ИСО 3166) 004-97 | Сокращенное наименование национального органа по стандартизации |
Армения | AM | Минэкономики Республики Армения |
Казахстан | KZ | Госстандарт Республики Казахстан |
Киргизия | KG | Кыргызстандарт |
Молдова | MD | Молдова-Стандарт |
Россия | RU | Росстандарт |
Таджикистан | TJ | Таджикстандарт |
Узбекистан | UZ | Узстандарт |
4
Приказом Федерального агентства по техническому регулированию и метрологии от 28 июня 2013 г. N 338-ст межгосударственный стандарт ГОСТ 30536-2013 введен в действие в качестве национального стандарта Российской Федерации с 1 июля 2014 г.
6 ВВЕДЕН ВПЕРВЫЕ
Информация об изменениях к настоящему стандарту публикуется в ежегодном информационном указателе "Национальные стандарты", а текст изменений и поправок - в ежемесячном информационном указателе "Национальные стандарты". В случае пересмотра (замены) или отмены настоящего стандарта соответствующее уведомление будет опубликовано в ежемесячном информационном указателе "Национальные стандарты". Соответствующая информация, уведомление и тексты размещаются также в информационной системе общего пользования - на официальном сайте Федерального агентства по техническому регулированию и метрологии в сети Интернет
Настоящий стандарт распространяется на водки и водки особые (далее - водки), этиловый ректификованный спирт из пищевого сырья (далее - спирт) и устанавливает газохроматографический экспресс-метод определения содержания токсичных микропримесей с использованием капиллярных колонок (для определения метилового спирта, компонентов сивушного масла, уксусного альдегида, сложных эфиров), присутствие которых характерно для водки и этилового ректификованного спирта из пищевого сырья.
Диапазон измеряемых объемных долей метилового спирта составляет от 0,0001% до 0,0500%, массовых концентраций остальных токсичных микропримесей - от 0,5 до 10,0 мг/дм3.
В настоящем стандарте использованы нормативные ссылки на следующие межгосударственные стандарты:
ГОСТ 12.1.005-88 Система стандартов безопасности труда. Общие санитарно-гигиенические требования к воздуху рабочей зоны
ГОСТ 12.1.007-76 Система стандартов безопасности труда. Вредные вещества. Классификация и общие требования безопасности
ГОСТ 12.1.010-76 Система стандартов безопасности труда. Взрывобезопасность. Общие требования
ГОСТ 12.1.019-79 Система стандартов безопасности труда. Электробезопасность. Общие требования и номенклатура видов защиты
ГОСТ ИСО 5725-1-2003 Точность (правильность и прецизионность) методов и результатов измерений. Часть 1. Основные положения и определения <*>
--------------------------------
<*> На территории Российской Федерации действует
ГОСТ Р ИСО 5725-1-2002 "Точность (правильность и прецизионность) методов и результатов измерений. Часть 1. Основные положения и определения".
ГОСТ ИСО 5725-2-2003 Точность (правильность и прецизионность) методов и результатов измерений. Часть 2. Основной метод определения повторяемости и воспроизводимости стандартного метода измерений <**>
--------------------------------
<**> На территории Российской Федерации действует
ГОСТ Р ИСО 5725-2-2002 "Точность (правильность и прецизионность) методов и результатов измерений. Часть 2. Основной метод определения повторяемости и воспроизводимости стандартного метода измерений".
ГОСТ ИСО 5725-6-2003 Точность (правильность и прецизионность) методов и результатов измерений. Часть 6. Использование значений точности на практике <***>
--------------------------------
<***> На территории Российской Федерации действует
ГОСТ Р ИСО 5725-6-2002 "Точность (правильность и прецизионность) методов и результатов измерений. Часть 6. Использование значений точности на практике".
ГОСТ 5962-2013 Спирт этиловый ректификованный из пищевого сырья. Технические условия
ГОСТ 9293-74 (ИСО 2435-73) Азот газообразный и жидкий. Технические условия
ГОСТ ISO/IEC 17025 Общие требования к компетентности испытательных и калибровочных лабораторий
(в ред.
Изменения N 1, введенного в действие Приказом Росстандарта от 14.09.2021 N 957-ст)
ГОСТ 17433-80 Промышленная чистота. Сжатый воздух. Классы загрязненности
ГОСТ 29169-91 (ИСО 648-77) Посуда лабораторная стеклянная. Пипетки с одной отметкой
ГОСТ 32036-2013 Спирт этиловый из пищевого сырья. Правила приемки и методы анализа.
Примечание - При пользовании настоящим стандартом целесообразно проверить действие ссылочных стандартов в информационной системе общего пользования - на официальном сайте Федерального агентства по техническому регулированию и метрологии в сети Интернет или по ежегодному информационному указателю "Национальные стандарты", который опубликован по состоянию на 1 января текущего года, и по выпускам ежемесячного информационного указателя "Национальные стандарты" за текущий год. Если ссылочный стандарт заменен (изменен), то при пользовании настоящим стандартом следует руководствоваться заменяющим (измененным) стандартом. Если ссылочный стандарт отменен без замены, то положение, в котором дана ссылка на него, применяется в части, не затрагивающей эту ссылку.
3 Отбор проб и подготовка образцов
3.2 Подготавливают образец водки или спирта. Для этого из пробы водки или спирта, отобранной по
3.1, в микровиалу вместимостью 2 см
3, предварительно ополоснутую испытуемым образцом, пипеткой вместимостью 1 см
3 вносят 1 см
3 продукта.
3.3 Для проведения проверки приемлемости результатов измерений в условиях воспроизводимости объем отобранной пробы делят на две части и из каждой части готовят образец водки или спирта по
3.2.
3.4 Анализ образца водки или спирта проводят по
9.3.
Метод основан на хроматографическом разделении микропримесей в образце спирта или водки и последующем их детектировании пламенно-ионизационным детектором.
Продолжительность анализа - 15 - 25 мин.
5 Требования безопасности
При работе на газовом хроматографе следует соблюдать:
- требования электробезопасности в соответствии с
ГОСТ 12.1.019 и инструкцией по эксплуатации прибора.
При работе с чистыми веществами следует соблюдать требования безопасности, установленные для работ с токсичными, едкими и легковоспламеняющимися веществами по
ГОСТ 12.1.007. Контроль за содержанием вредных веществ в воздухе рабочей зоны должен проводиться в соответствии с требованиями
ГОСТ 12.1.005.
К работе на газовом хроматографе допускаются лица, имеющие квалификацию не ниже техника, владеющие техникой газохроматографического анализа и изучившие инструкцию по эксплуатации используемой аппаратуры.
6 Требования к условиям измерений
Подготовку проб и измерения проводят в лабораторных условиях при температуре окружающего воздуха (20 +/- 5) °C, атмосферном давлении от 84 до 106 кПа, относительной влажности воздуха от 30% до 80%, частоте переменного тока (50 +/- 1) Гц, напряжении в сети (220 +/- 5) В.
7 Требования к средствам измерений, аппаратуре, материалам, реактивам и вспомогательным устройствам
Газовый хроматограф с пламенно-ионизационным детектором, пределом детектирования не более 5·10-12 гС/с.
Межгосударственные стандартные образцы (МСО 1748:2011) состава растворов токсичных микропримесей в этиловом спирте (комплект РС). Компонентный состав и нормированные метрологические характеристики СО - в соответствии с
приложением А.
Межгосударственные стандартные образцы (МСО 1749:2011) состава растворов токсичных микропримесей в водно-спиртовой смеси (комплект РВ). Компонентный состав и нормированные метрологические характеристики СО - в соответствии с
приложением Б.
Микрошприц вместимостью 1, 5 и 10 мм3.
Микровиалы вместимостью 2 см3 с завинчивающимися крышками и тефлонированной уплотнительной мембраной.
Компьютер, имеющий программное обеспечение.
Колонка газохроматографическая капиллярная с нанесенной жидкой фазой - полиэтиленгликоль, модифицированный нитротерефталевой кислотой, длиной 50 м, внутренним диаметром 0,32 мм, толщиной нанесения жидкой фазы 0,52 мкм. Допускается применение других капиллярных колонок с техническими характеристиками, обеспечивающими разделение, аналогичное приведенному на рисунке 1.
1 - уксусный альдегид; 2 - метилацетат; 3 - этилацетат;
4 - метанол; 5 - 2-пропанол; 6 - этиловый спирт;
7 - 1-пропанол; 8 - изобутиловый спирт; 9 - 1-бутанол;
10 - изоамиловый спирт
Рисунок 1 - Хроматограмма анализа градуировочной смеси,
полученная на хроматографе, оснащенном капиллярной колонкой
Газ-носитель - азот о.ч. по
ГОСТ 9293. Допускается использовать генераторы азота.
Водород технический марки А по
ГОСТ 3022. Допускается использовать генераторы водорода.
Воздух сжатый по
ГОСТ 17433. Допускается использовать воздушный компрессор любого типа, обеспечивающий необходимое давление и чистоту воздуха в соответствии с инструкцией по эксплуатации газового хроматографа.
Допускается применение других средств измерений, аппаратуры, вспомогательных устройств, материалов и реактивов с метрологическими, техническими характеристиками и по качеству не ниже указанных.
8 Подготовка к выполнению измерений
8.1 Монтаж, наладку и вывод хроматографа на рабочий режим проводят в соответствии с инструкцией по его эксплуатации.
8.2 Кондиционирование капиллярной колонки
8.2.1 Новую капиллярную колонку помещают в термостат хроматографа и, не подсоединяя к детектору, продувают газом-носителем со скоростью 0,048 - 0,072 дм3/ч при температуре термостата колонок 180 °C в течение 4 ч. Затем колонку подсоединяют к детектору и проверяют стабильность базовой линии при рабочей температуре термостата колонок.
8.2.2 В процессе работы при нестабильности базовой линии кондиционирование колонки проводят при температуре термостата колонок 220 °C до стабилизации базовой линии (30 - 40 мин), не отсоединяя колонку от детектора.
9.1 Измерения выполняют при следующих режимных параметрах хроматографа:
температура термостата колонок, °C . . . . . . . . . . . . . . . | 70 - 75; |
температура испарителя (инжектора), °C . . . . . . . . . . . . | 120 - 200; |
коэффициент деления потока . . . . . . . . . . . . . . . . . . . . . . | 20:1; |
температура детектора, °C . . . . . . . . . . . . . . . . . . . . . . . . | 220 - 250; |
скорость потока воздуха, дм3/ч . . . . . . . . . . . . . . . . . . . | 18; |
скорость потока водорода, дм3/ч . . . . . . . . . . . . . . . . . . | 1,8; |
скорость потока газа-носителя (азот), дм3/ч . . . . . . . . | 0,048 - 0,084; |
объем пробы, мм3 . . . . . . . . . . . . . . . . . . . . . . . . . . . . . . . | 0,5 - 1. |
Допускается проведение анализа в других условиях хроматографирования, в том числе с программированием температуры и потока газа-носителя, обеспечивающих разделение и последовательность выхода веществ, аналогичное приведенному на
рисунке 1.
9.2 Градуировка хроматографа
Прибор градуируют по градуировочным смесям методом абсолютной градуировки.
Градуировку хроматографа выполняют, используя не менее трех градуировочных смесей. В качестве градуировочных смесей используют СО состава растворов токсичных микропримесей в этиловом спирте (комплект РС) - для анализа спирта и СО состава растворов токсичных микропримесей в водно-спиртовой смеси (комплект РВ) - для анализа водки.
Записывают хроматограммы анализа каждой градуировочной смеси. Регистрируют время удерживания и площади пиков определяемых веществ.
Измерения выполняют не менее двух раз. Типовая хроматограмма анализа градуировочной смеси представлена на
рисунке 1.
Градуировочную характеристику получают, обрабатывая полученные экспериментальные данные методом наименьших квадратов при помощи программного обеспечения.
Градуировку хроматографа выполняют не реже одного раза в две недели. Значение градуировочного коэффициента заносят в память компьютера.
В испаритель (инжектор) микрошприцем вместимостью 10, 5 или 1 мм
3 вводят 1 мм
3 образца водки или спирта и выполняют хроматографическое разделение в условиях, указанных в
9.1. Регистрируют пики в области времени удерживания соответствующего каждому веществу градуировочной смеси. Образец анализируют два раза в условиях повторяемости в соответствии с требованиями
ГОСТ ИСО 5725-1.
Если измеренная концентрация анализируемых веществ в пробах спирта или водки превышает верхнюю границу диапазона измерений (см.
таблицу 1), пробу разбавляют не более чем в 10 раз спиртом или водно-спиртовым раствором. Коэффициент разбавления учитывают при расчете объемной доли метанола и массовой концентрации анализируемых веществ. При разбавлении учитывают содержание встречных примесей в разбавителе.
Определяемое токсичное вещество | Диапазон измеряемых массовых концентраций или объемных долей | Показатель повторяемости (ОСКО <*> повторяемости)  ,  , % | Предел повторяемости ri, r, % (P = 0,95, n = 2) | Показатель воспроизводимости (ОСКО <*> воспроизводимости)  ,  ,% | Границы относительной погрешности  ,  , % ( P = 0,95) |
Сивушное масло: изопропиловый спирт (2-пропанол), мг/дм3 пропиловый спирт (1-пропанол), мг/дм3 изобутиловый спирт (2-метил-1-пропанол), мг/дм3 бутиловый спирт (1-бутанол), мг/дм3 изоамиловый спирт (3-метил-1-бутанол), мг/дм3 Сложные эфиры: метиловый эфир уксусной кислоты (метилацетат), мг/дм3 этиловый эфир уксусной кислоты (этилацетат), мг/дм3 Уксусный альдегид, (ацетальдегид), мг/дм3 | От 0,5 до 10 включ. | 5 | 15 | 7 | 15 |
Метиловый спирт (метанол), объемная доля, % | От 0,0001 до 0,001 включ. | 7 | 20 | 10 | 20 |
Св. 0,001 " 0,01 " | 5 | 15 | 6 | 15 |
" 0,01 " 0,05 " | 4 | 10 | 5 | 10 |
<*> ОСКО - относительное среднеквадратическое отклонение. |
10 Обработка результатов измерений
10.1 Обработку результатов измерений выполняют, используя программное обеспечение входящего в комплект хроматографа персонального компьютера в соответствии с инструкцией по его эксплуатации.
Диапазоны измеряемых массовых концентраций определяемых токсичных веществ и объемных долей метилового спирта, показатели повторяемости и воспроизводимости, предел повторяемости, границы относительной погрешности метода приведены в
таблице 1.
10.2 За результат измерений принимают среднеарифметическое значение двух параллельных определений массовой концентрации
i-го вещества или объемной доли метилового спирта, полученных в условиях повторяемости, если выполняется условие приемлемости

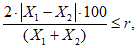
(1)

(1а)
где 2 - число параллельных определений;
Ci1, Ci2 - результаты параллельных определений массовой концентрации i-го вещества (кроме метилового спирта) в анализируемой пробе, мг/дм3;
X1, X2 - результаты параллельных определений объемной доли метилового спирта в анализируемой пробе, %;
100 - множитель для пересчета в проценты;
ri,
r - значение предела повторяемости
(таблица 1) i-го вещества и метилового спирта, %.
Если условие приемлемости не выполняется, выясняют причины превышения предела повторяемости, устраняют их и повторяют выполнение измерений в соответствии с
9.3.
10.3 Результаты измерений содержания токсичных микропримесей представляют в виде

мг/дм
3,

объемная доля, %,
где Ciср - среднеарифметическое значение результатов измерений массовой концентрации i-го вещества (кроме метанола), признанных приемлемыми, мг/дм3;
Xср - среднеарифметическое значение результатов измерений объемной доли метанола, признанных приемлемыми, %;

- границы абсолютной погрешности результата измерений массовой концентрации
i-го вещества (кроме метанола), мг/дм
3;

- границы абсолютной погрешности результата измерений объемной доли метанола, %.
10.4 Значение абсолютной погрешности результата измерений массовой концентрации
i-го вещества (кроме метанола)

, мг/дм
3, и значение абсолютной погрешности результата измерений объемной доли метанола

, %, рассчитывают по формулам:

(2)

(2а)
где 0,01 - множитель для пересчета процентов в доли единицы;

,

- границы относительной погрешности результатов измерений массовой концентрации
i-го вещества и объемной доли метилового спирта, %
(таблица 1).
10.5 Значения абсолютной погрешности должны содержать не более двух значащих цифр, при этом числовое значение результата измерений (Ciср и Xср) после округления должно оканчиваться цифрой того же разряда, что и значение абсолютной погрешности.
Результаты измерений массовой концентрации сложных эфиров представляют как сумму измеренных массовых концентраций сложных эфиров, мг/дм
3, в соответствии с
ГОСТ 5962 - для спирта и
ГОСТ 12712 - для водки.
Результаты измерений массовой концентрации компонентов сивушного масла представляют как сумму измеренных массовых концентраций компонентов сивушного масла, мг/дм
3, в соответствии с
ГОСТ 5962 - для спирта и
ГОСТ 12712 - для водки.
В случае, если содержание компонента ниже или выше границ диапазона измерений массовых концентраций или объемных долей, установленных в
таблице 1, результаты представляют в виде:
- Ciср < 0,5 мг/дм3 или Ciср > 10 мг/дм3 - для массовой концентрации i-го компонента;
- Xср < 0,0001% или Xср > 0,05% - для объемной доли метилового спирта.
При вычислении суммы сложных эфиров и компонентов сивушного масла результаты Ciср < 0,5 мг/дм3 не учитывают.
Результаты измерений содержания токсичных микропримесей, признанных приемлемыми в соответствии с
10.2, в документах, предусматривающих их использование, представляют в пересчете на безводный спирт в соответствии с
ГОСТ 5962 - для спирта и
ГОСТ 12712 - для водки.
Для пересчета на безводный спирт результаты измерений умножают на коэффициент пересчета П по формулам:
Ciб.с. = Ciср·П (3)
и
Xб.с. = Xср·П, (3а)
где Ciб.с. - массовая концентрация i-го вещества (кроме метанола), мг/дм3, в пересчете на безводный спирт;
Xб.с. - объемная доля метанола, %, в пересчете на безводный спирт;
П - коэффициент пересчета, определяемый по формуле
П = 100 : P, (4)
где 100 - объемная доля безводного спирта, %;
P - объемная доля этилового спирта в анализируемой пробе, %, определяемая по
ГОСТ 32036 - для спирта и
ГОСТ 32035 - для водки.
10.6. Результаты измерений содержания токсичных микропримесей в пересчете на безводный спирт представляют в виде:

(5)
и

(5а)
11 Проверка приемлемости результатов измерений, полученных в условиях воспроизводимости
11.1 Проверку приемлемости результатов измерений в условиях воспроизводимости проводят:
а) при возникновении спорных ситуаций между двумя лабораториями;
б) при проверке совместимости результатов измерений, полученных при сличительных испытаниях (при проведении аккредитации лабораторий и инспекционного контроля).
11.2 Для проведения проверки приемлемости результатов измерений в условиях воспроизводимости каждая лаборатория использует пробы по
3.1, оставленные на хранение.
11.3 Приемлемость результатов измерений, полученных в двух лабораториях в соответствии с
9.3 и
разделом 10, оценивают сравнением разности этих результатов с критической разностью
CDi0,95 или
CD0,95 по формулам:
| | ИС МЕГАНОРМ: примечание. Нумерация формул дана в соответствии с официальным текстом документа. | |

(4)

(4а)
где
Ciср1,
Ciср2 - среднеарифметические значения массовой концентрации
i-го вещества, полученные в первой и второй лабораториях в соответствии с
9.3 и
разделом 10, мг/дм
3;
Xср1,
Xср2 - среднеарифметические значения объемной доли метилового спирта, полученные в первой и второй лабораториях в соответствии с
9.3 и
разделом 10, %;
CDi0,95, CD0,95 - значения критической разности для массовой концентрации i-го вещества, мг/дм3, и объемной доли метилового спирта, %, которые вычисляют по формулам

(5)

(5а)
где 2,77 - коэффициент критического диапазона для двух параллельных определений по ГОСТ ИСО 5725-6-2003 (пункт 4.1.2);
(в ред.
Изменения N 1, введенного в действие Приказом Росстандарта от 14.09.2021 N 957-ст)
0,01 - множитель для перехода от процентов к абсолютным значениям или объемной доле;

,

- показатели воспроизводимости
(таблица 1) i-го вещества и метилового спирта, %;

,

- показатели повторяемости
(таблица 1) i-го вещества и метилового спирта, %;
Ciср1,2 - среднеарифметическое значение результатов определения массовой концентрации i-го вещества, полученных в первой и второй лабораториях, мг/дм3;
Xср1,2 - среднеарифметическое значение результатов определения объемной доли метилового спирта, полученных в первой и второй лабораториях, %, вычисляют по формулам:

(6)

(6а)
Если критическая разность не превышена, то приемлемы оба результата измерений, приводимые двумя лабораториями, и в качестве окончательного результата используют их общее среднее значение. Если критическая разность превышена, выполняют процедуры, изложенные ГОСТ ИСО 5725-6-2003 (пункт 5.3.3). При разногласиях руководствуются ГОСТ ИСО 5725-6-2003 (пункт 5.3.4).
(в ред.
Изменения N 1, введенного в действие Приказом Росстандарта от 14.09.2021 N 957-ст)
12 Контроль стабильности результатов измерений при реализации методики в лаборатории
Контроль стабильности результатов измерений при реализации методики в лаборатории осуществляют, используя метод контроля стабильности стандартного отклонения промежуточной прецизионности по ГОСТ ИСО 5725-6-2003 (пункт 6.2.3) и контроля стабильности показателя правильности по ГОСТ ИСО 5725-6-2003 (пункты 6.2.4 или 6.2.5) с применением контрольных карт Шухарта.
(в ред.
Изменения N 1, введенного в действие Приказом Росстандарта от 14.09.2021 N 957-ст)
Периодичность контроля и процедуры контроля стабильности результатов измерений должны быть предусмотрены в Руководстве по качеству лаборатории в соответствии с
ГОСТ ISO/IEC 17025.
(в ред.
Изменения N 1, введенного в действие Приказом Росстандарта от 14.09.2021 N 957-ст)
При неудовлетворительных результатах контроля, например, при превышении предела действия или регулярном превышении предела предупреждения, выясняют и устраняют причины этих отклонений.
Примеры построения карты Шухарта для контроля стабильности стандартного отклонения промежуточной прецизионности - по
приложению В.
Рекомендуется проводить проверку стабильности по результатам анализа образцов водки или спирта на содержание метилового спирта или 2-пропанола. При одновременном контроле лабораторией водок и этилового спирта построение карты Шухарта проводят только для одного из этих продуктов.
Контроль стабильности показателя правильности результатов измерений проводят, используя в качестве образца для контроля один из трех образцов комплекта РС [межгосударственный стандартный образец (МСО 1748:2011) состава растворов токсичных микропримесей в этиловом спирте] или один из трех образцов комплекта РВ [межгосударственный стандартный образец (МСО 1749:2011) состава растворов токсичных микропримесей в водно-спиртовой смеси], не используемых при градуировке хроматографа в соответствии с
9.2.
Примеры построения карты Шухарта для контроля стабильности показателя правильности - по ГОСТ ИСО 5725-6-2003 (пункты 6.2.4.3 и 6.2.5.3).
(в ред.
Изменения N 1, введенного в действие Приказом Росстандарта от 14.09.2021 N 957-ст)
(обязательное)
КОМПОНЕНТНЫЙ СОСТАВ И НОРМИРОВАННЫЕ МЕТРОЛОГИЧЕСКИЕ
ХАРАКТЕРИСТИКИ МЕЖГОСУДАРСТВЕННОГО СТАНДАРТНОГО ОБРАЗЦА
СОСТАВА РАСТВОРОВ ТОКСИЧНЫХ МИКРОПРИМЕСЕЙ В ЭТИЛОВОМ
СПИРТЕ МСО 1748:2011 (КОМПЛЕКТ РС)
А.1 Компонентный состав и нормированные метрологические характеристики межгосударственного стандартного образца состава растворов токсичных микропримесей в этиловом спирте МСО 1748:2011 (комплект РС) приведены в таблице А.1.
Таблица А.1
Аттестуемая характеристика СО, обозначение единицы физической величины | Допускаемые границы аттестованного значения |
РС-1 | РС-2 | РС-3 |
Массовая концентрация уксусного альдегида (ацетальдегида), мг/дм3 | 7,0 - 10,0 | 3,5 - 5,5 | 0,70 - 1,80 |
(в ред. Изменения N 1, введенного в действие Приказом Росстандарта от 14.09.2021 N 957-ст) |
Массовая концентрация этилового эфира уксусной кислоты (этилацетата), мг/дм3 | 8,0 - 10,0 | 4,0 - 5,0 | 0,80 - 1,00 |
Массовая концентрация метилового эфира уксусной кислоты (метилацетата), мг/дм3 | 8,0 - 10,0 | 4,0 - 5,0 | 0,80 - 1,00 |
Объемная доля метилового спирта (метанола), % | 0,0090 - 0,0150 | 0,0045 - 0,0110 | 0,0009 - 0,0060 |
(в ред. Изменения N 1, введенного в действие Приказом Росстандарта от 14.09.2021 N 957-ст) |
Массовая концентрация изопропилового спирта (2-пропанола), мг/дм3 | 7,5 - 10,5 | 3,5 - 6,5 | 0,75 - 3,5 |
Массовая концентрация пропилового спирта (1-пропанола), мг/дм3 | 7,5 - 8,5 | 3,5 - 4,5 | 0,75 - 0,90 |
Массовая концентрация изобутилового спирта (2-метил-1-пропанола), мг/дм3 | 7,5 - 8,5 | 3,5 - 4,5 | 0,75 - 0,85 |
Массовая концентрация бутилового спирта (1-бутанола), мг/дм3 | 7,5 - 8,5 | 3,5 - 4,5 | 0,75 - 0,85 |
Массовая концентрация изоамилового спирта (3-метил-1-бутанола), мг/дм3 | 7,5 - 8,5 | 3,5 - 4,5 | 0,75 - 0,85 |
Допускаемое значение относительной погрешности аттестованных значений СО равно +/- 5,0% при доверительной вероятности P = 0,95.
(обязательное)
КОМПОНЕНТНЫЙ СОСТАВ И НОРМИРОВАННЫЕ МЕТРОЛОГИЧЕСКИЕ
ХАРАКТЕРИСТИКИ МЕЖГОСУДАРСТВЕННОГО СТАНДАРТНОГО ОБРАЗЦА
СОСТАВА РАСТВОРОВ ТОКСИЧНЫХ МИКРОПРИМЕСЕЙ В ВОДНО-СПИРТОВОЙ
СМЕСИ МСО 1749:2011 (КОМПЛЕКТ РВ)
Б.1 Компонентный состав и нормированные метрологические характеристики межгосударственного стандартного образца состава растворов токсичных микропримесей в водно-спиртовой смеси МСО 1749:2011 (комплект РВ) приведены в таблице Б.1.
Таблица Б.1
Аттестуемая характеристика СО, обозначение единицы физической величины | Допускаемые границы аттестованного значения |
РВ-1 | РВ-2 | РВ-3 |
Массовая концентрация уксусного альдегида (ацетальдегида), мг/дм3 | 7,0 - 10,0 | 3,5 - 5,5 | 0,70 - 2,8 |
(в ред. Изменения N 1, введенного в действие Приказом Росстандарта от 14.09.2021 N 957-ст) |
Массовая концентрация метилового эфира уксусной кислоты (метилацетата), мг/дм3 | 8,0 - 10,0 | 4,0 - 5,0 | 0,80 - 1,0 |
Массовая концентрация этилового эфира уксусной кислоты (этилацетата), мг/дм3 | 8,5 - 10,0 | 4,0 - 5,0 | 0,80 - 1,0 |
Объемная доля метилового спирта (метанола), % | 0,0090 - 0,0150 | 0,0045 - 0,0100 | 0,0009 - 0,0030 |
(в ред. Изменения N 1, введенного в действие Приказом Росстандарта от 14.09.2021 N 957-ст) |
Массовая концентрация изопропилового спирта (2-пропанола), мг/дм3 | 7,5 - 10,5 | 3,5 - 6,5 | 0,75 - 3,5 |
Массовая концентрация пропилового спирта (1-пропанола), мг/дм3 | 7,5 - 8,5 | 3,5 - 4,5 | 0,75 - 0,90 |
Массовая концентрация изобутилового спирта (2-метил-1-пропанола), мг/дм3 | 7,5 - 8,5 | 3,5 - 4,5 | 0,75 - 0,85 |
Массовая концентрация бутилового спирта (1-бутанола), мг/дм3 | 7,5 - 8,5 | 3,5 - 4,5 | 0,75 - 0,85 |
Массовая концентрация изоамилового спирта (3-метил-1-бутанола), мг/дм3 | 7,5 - 8,5 | 3,5 - 4,5 | 0,75 - 0,85 |
Допускаемое значение относительной погрешности аттестованных значений СО равно +/- 5,0% при доверительной вероятности P = 0,95.
(справочное)
ПРИМЕРЫ ОБРАБОТКИ ЭКСПЕРИМЕНТАЛЬНЫХ ДАННЫХ И ПОСТРОЕНИЯ
КОНТРОЛЬНОЙ КАРТЫ ШУХАРТА (КАРТЫ ПРЕДЕЛОВ) ПРИ КОНТРОЛЕ
СТАБИЛЬНОСТИ ПРОМЕЖУТОЧНОЙ ПРЕЦИЗИОННОСТИ РЕЗУЛЬТАТОВ
ИЗМЕРЕНИЙ ОБЪЕМНОЙ ДОЛИ МЕТИЛОВОГО СПИРТА В ОБРАЗЦЕ ВОДКИ
(ПРИМЕР 1) И МАССОВОЙ КОНЦЕНТРАЦИИ 2-ПРОПАНОЛА В ОБРАЗЦЕ
ЭТИЛОВОГО СПИРТА (ПРИМЕР 2) С ИЗМЕНЯЮЩИМИСЯ ФАКТОРАМИ
"ВРЕМЯ" И "ОПЕРАТОР"
В.1 Для расчета параметров контрольной карты используют стандартное отклонение промежуточной прецизионности с изменяющимися факторами "время" и "оператор"

, которое устанавливают предварительно, до начала первого контрольного периода.
Стабильность стандартного отклонения промежуточной прецизионности с изменяющимися факторами "время" и "оператор"

оценивают сравнением полученных расхождений
wi отн (пример 1) и
wi % (пример 2) с рассчитанными значениями пределов действия
UCLд и предупреждения
UCLпр. Стабильность считают подтвержденной, если выполняется условие:
wi отн (
wi %) <=
UCLд и случаи превышения предела предупреждения
UCLпр[
wi отн (
wi %) >
UCLпр] носят нерегулярный, случайный характер.
Пример 1. Обработка экспериментальных данных и построение контрольной карты Шухарта (карты пределов) при контроле стабильности результатов определения объемной доли метилового спирта в образце водки с изменяющимися факторами "время" и "оператор".
Экспериментальные данные для расчета

, представленные в
таблице В.1, получены следующим образом. Один из двух результатов параллельных определений, полученных при анализе исследуемого образца водки, вносят в таблицу в качестве значения
X1 для соответствующего номера подгруппы. Второй результат (единичное определение
X2) получают при анализе этого же образца водки другим оператором на следующий день. Для следующей подгруппы аналогичным образом получают свои значения
X1 и
X2 с использованием другого анализируемого образца водки. Набирают
m (20 - 30) подгрупп. В связи с широким диапазоном содержания метанола в анализируемых образцах водки для сопоставления результатов определения объемной доли метанола при обработке данных расхождения

для пар
X1 и
X2 в
m подгруппах выражают в относительных процентах,
wi отн, к среднему значению объемной доли метилового спирта в подгруппе
где 100 - множитель для пересчета в проценты.
1 Характеристика качества: объемная доля метанола в водке. 2 Единица физической величины: % об. 3 Метод анализа: ГОСТ 30536-2013. 4 Период: 5 Лаборатория: |
Номер подгруппы | Результаты определений объемной доли метанола, % об. | wi % об, % об. |  , % об. | wi отн | |
X1 | X2 |
1 | 0,00809 | 0,00824 | 0,00015 | 0,00817 | 1,8 | 3,24 |
2 | 0,00118 | 0,00118 | 0,0 | 0,00118 | 0,0 | 0,0 |
3 | 0,00333 | 0,00334 | 0,00001 | 0,00334 | 0,3 | 0,09 |
4 | 0,00037 | 0,00035 | 0,00002 | 0,00036 | 5,6 | 31,36 |
5 | 0,00213 | 0,00210 | 0,00003 | 0,00212 | 1,4 | 1,96 |
6 | 0,00220 | 0,00210 | 0,00010 | 0,00215 | 4,7 | 22,09 |
7 | 0,00443 | 0,00463 | 0,00020 | 0,00453 | 4,4 | 19,36 |
8 | 0,00340 | 0,00298 | 0,00042 | 0,00319 | 13,2 | 174,24 |
9 | 0,00051 | 0,00049 | 0,00002 | 0,00050 | 4,0 | 16,0 |
10 | 0,00407 | 0,00365 | 0,00042 | 0,00386 | 10,9 | 118,81 |
11 | 0,00143 | 0,00151 | 0,00008 | 0,00147 | 5,4 | 29,16 |
12 | 0,00370 | 0,00318 | 0,00052 | 0,00344 | 15,1 | 228,01 |
13 | 0,00145 | 0,00127 | 0,00018 | 0,00136 | 13,2 | 174,24 |
14 | 0,00183 | 0,00188 | 0,00005 | 0,00186 | 2,7 | 7,29 |
15 | 0,01235 | 0,01035 | 0,00200 | 0,01135 | 17,6 | 309,76 |
16 | 0,00081 | 0,00077 | 0,00004 | 0,00079 | 5,1 | 26,01 |
17 | 0,00172 | 0,00163 | 0,00009 | 0,00168 | 5,4 | 29,16 |
18 | 0,00166 | 0,00174 | 0,00008 | 0,00170 | 4,7 | 22,09 |
19 | 0,00243 | 0,00252 | 0,00009 | 0,00248 | 3,6 | 12,96 |
20 | 0,00234 | 0,00255 | 0,00021 | 0,00245 | 8,6 | 73,96 |
Сумма | | | | | 127,7 | 1299,79 |
Проверяют однородность дисперсий по критерию Кохрена
wi отн для уровня значимости

согласно ГОСТ ИСО 5725-2
(таблица 4) при
n = 2 и
p =
m (для данного расчета) по формуле

(В.1)
где

- максимальное значение дисперсии;

- сумма дисперсий.
При подтверждении однородности дисперсий по расхождениям
wi отн рассчитывают стандартное отклонение промежуточной прецизионности с изменяющимися факторами "время" и "оператор"

, %, по формуле

(В.2)
При неоднородности дисперсий (
Gmax больше табличного значения) максимальное значение

отбрасывают и проводят оценку однородности дисперсий повторно при использовании

из оставшихся значений

. Исключение максимальных значений

продолжают до подтверждения однородности дисперсий. В случае отбрасывания

значений

рассчитывают по формуле

(В.3)
где
l - число отброшенных значений

(количество подгрупп).
В описываемом примере дисперсии однородны (Gmax = 0,238 меньше Gтабл. = 0,389).
Параметры контрольной карты пределов рассчитывают по формулам:
а) средняя линия:

;
б) пределы действия:

;
LCLд - отсутствует;
в) пределы предупреждения:

;
LCLпр - отсутствует,
где 1,128; 3,686; 2,834 - соответствующие коэффициенты для расчета параметров карты Шухарта [ГОСТ ИСО 5725-6
(пункт 6.2.2.3)].
В рассматриваемом примере рассчитанное стандартное отклонение промежуточной прецизионности с изменяющимися факторами "время" и "оператор"

для параметров контрольной карты пределов получают следующие значения:
а) средняя линия: L = 1,128·5,70 = 6,43%;
б) пределы действия:
UCLд = 3,686·5,70 = 21,0%;
LCLд - отсутствует;
в) пределы предупреждения:
UCLпр = 2,834·5,70 = 16,2%;
LCLпр - отсутствует.
Данными [
m (20 - 30) пар
X1 и
X2], полученными при контроле стабильности таким же способом, как при расчете стандартного отклонения промежуточной прецизионности с изменяющимися факторами "время" и "оператор"

, заполняют
таблицу В.2 и наносят на контрольную карту (в координатах: номер подгруппы - расхождение
wi отн) точки, соответствующие значениям
wi отн для каждого номера подгруппы. Полученная карта пределов представлена на
рисунке В.1.
1 Характеристика качества: объемная доля метанола в водке. 2 Единица физической величины, % об. 3 Метод анализа: ГОСТ 30536-2013. 4 Период: 5 Лаборатория: |
Номер подгруппы | Результаты определений объемной доли метанола, % об. | wi % об, % об. |  , % об. | wi отн | Примечание |
X1 | X2 |
1 | 0,00335 | 0,00347 | 0,00012 | 0,00341 | 3,5 | |
2 | 0,00701 | 0,00729 | 0,00028 | 0,00715 | 3,9 | |
3 | 0,00980 | 0,00962 | 0,00018 | 0,00971 | 1,9 | |
4 | 0,00160 | 0,00151 | 0,00009 | 0,00156 | 5,8 | |
5 | 0,00230 | 0,00290 | 0,00060 | 0,00260 | 23,1 | Выше предела действия <1> |
6 | 0,00490 | 0,00470 | 0,00020 | 0,00480 | 4,2 | |
7 | 0,00047 | 0,00051 | 0,00004 | 0,00049 | 8,2 | |
8 | 0,00453 | 0,00398 | 0,00055 | 0,00426 | 12,9 | |
9 | 0,00363 | 0,00371 | 0,00008 | 0,00367 | 2,2 | |
10 | 0,00303 | 0,00323 | 0,00020 | 0,00313 | 6,4 | |
11 | 0,00405 | 0,00397 | 0,00008 | 0,00401 | 2,0 | |
12 | 0,00412 | 0,00366 | 0,00046 | 0,00389 | 11,8 | |
13 | 0,00250 | 0,00230 | 0,00020 | 0,00240 | 8,3 | |
14 | 0,00870 | 0,00850 | 0,00020 | 0,00860 | 2,3 | |
15 | 0,00215 | 0,00202 | 0,00013 | 0,00209 | 6,2 | |
16 | 0,00160 | 0,00151 | 0,00009 | 0,00156 | 5,8 | |
17 | 0,00509 | 0,00481 | 0,00028 | 0,00495 | 5,7 | |
18 | 0,00490 | 0,00490 | 0,00000 | 0,00490 | 0,0 | |
19 | 0,01080 | 0,01130 | 0,00050 | 0,01110 | 4,5 | |
20 | 0,00910 | 0,01050 | 0,00140 | 0,00980 | 14,3 | |
Сумма  | | | | | 133,0 | |
Среднее значение  | | | | | 6,65 | |
<1> Результат X1 занижен из-за деформации септы. |

Рисунок В.1 - Карта пределов определения объемной доли
метилового спирта, %, в водке, полученных в условиях
промежуточной прецизионности с изменяющимися
факторами "время" и "оператор"
Оценку стандартного отклонения промежуточной прецизионности с изменяющимися факторами "время" и "оператор" SI(TO) рассчитывают по формуле

(В.4)
Для данного примера SI(TO) = 5,90%.
При стабильных результатах измерений оценка SI(TO) может использоваться в качестве стандартного отклонения промежуточной прецизионности для расчета параметров контрольной карты пределов для следующего контрольного периода.
При нестабильных результатах измерений вычисляют значение SI(TO) после исключения подгруппы с расхождением, превышающим предел действия. Допускается исключать не более двух подгрупп, при большем их количестве анализируют и устраняют причины нестабильности, проводят новый набор (m >= 20) пар X1 и X2 и рассчитывают новые значения SI(TO).
На
рисунке В.1 на карте пределов, построенной по данным, приведенным в
таблице В.2, в подгруппе 5 расхождение превысило предел действия
UCLд (21,0%).
Карта, приведенная на рисунке В.1, свидетельствует, что результаты измерений не являются стабильными, так как имеется одна точка выше предела действия. Поэтому для расчета параметров контрольной карты пределов для следующего периода значение стандартного отклонения промежуточной прецизионности SI(TO) вычисляют после исключения подгруппы 5. Новое значение SI(TO) (для 19 подгрупп) составляет 5,12%. Параметры контрольной карты пределов для следующего контрольного периода соответственно составят:
а) средняя линия: L = 1,128·5,12 = 5,78%;
б) пределы действия:
UCLд = 3,686·5,12 = 18,9%;
LCLд - отсутствует;
в) пределы предупреждения:
UCLпр = 2,834·5,12 = 14,5%;
LCLпр - отсутствует.
Пример 2. Обработка экспериментальных данных и построение контрольной карты Шухарта (карты пределов) при контроле стабильности результатов определения массовой концентрации 2-пропанола в образце этилового спирта с изменяющимися факторами "время" и "оператор".
При обработке экспериментальных данных расхождения wi, мг/дм3, выражают в процентах к среднему значению массовой концентрации 2-пропанола в подгруппе
где 100 - множитель для пересчета в проценты;

для пар
C1 и
C2 в
m подгруппах.
Значение

было получено способом, аналогичным изложенному в примере 1,

, параметры контрольной карты пределов рассчитывают следующим образом:
а) средняя линия: L = 1,128·3,40 = 3,83%;
б) пределы действия:
UCLд = 3,686·3,40 = 12,5%;
LCLд - отсутствует;
в) пределы предупреждения:
UCLпр = 2,834·3,40 = 9,64%;
LCLпр - отсутствует.
Экспериментальные данные, полученные для построения контрольной карты Шухарта, заносят в таблицу В.3, их обработку и построение контрольной карты проводят так, как изложено в примере 1.
Таблица В.3
1 Характеристика качества: массовая концентрация 2-пропанола в спирте. 2 Единица физической величины, мг/дм3. 3 Метод анализа: ГОСТ 30536-2013. 4 Период: 5 Лаборатория: |
Номер подгруппы | Результаты определений массовой концентрации 2-пропанола, мг/дм3 | wi, мг/дм3 |  , мг/дм 3 | wi, % | Примечание |
C1 | C2 |
1 | 1,26 | 1,17 | 0,09 | 1,22 | 7,4 | |
2 | 2,86 | 2,92 | 0,06 | 2,89 | 2,1 | |
3 | 2,25 | 2,25 | 0,00 | 2,25 | 0,0 | |
4 | 2,43 | 2,52 | 0,09 | 2,48 | 3,6 | |
5 | 4,30 | 4,42 | 0,12 | 4,36 | 2,8 | |
6 | 1,75 | 1,82 | 0,07 | 1,79 | 3,9 | |
7 | 5,55 | 5,41 | 0,14 | 5,48 | 2,6 | |
8 | 1,93 | 2,05 | 0,12 | 1,99 | 6,0 | |
9 | 3,53 | 3,61 | 0,08 | 3,57 | 2,2 | |
10 | 5,02 | 4,86 | 0,16 | 4,94 | 3,2 | |
11 | 3,19 | 3,30 | 0,11 | 3,25 | 3,4 | |
12 | 1,58 | 1,75 | 0,17 | 1,67 | 10,2 | |
13 | 3,47 | 3,39 | 0,08 | 3,43 | 2,3 | |
14 | 7,65 | 7,53 | 0,12 | 7,59 | 1,6 | |
15 | 3,04 | 2,92 | 0,12 | 2,98 | 4,0 | |
16 | 5,43 | 5,31 | 0,12 | 5,37 | 2,2 | |
17 | 3,37 | 3,57 | 0,20 | 3,47 | 5,8 | |
18 | 6,48 | 6,40 | 0,08 | 6,44 | 1,2 | |
19 | 1,11 | 1,03 | 0,08 | 1,07 | 7,5 | |
20 | 5,98 | 6,10 | 0,12 | 6,04 | 2,0 | |
Сумма  | | | | | 74,0 | |
Среднее значение  | | | | | 3,70 | |
В данном случае превышение предела действия отсутствует, а превышение (однократное) предела предупреждения носит нерегулярный, случайный характер. Поэтому построенная карта пределов (рисунок В.2) дает основание считать результаты измерений стабильными.
Рисунок В.2 - Карта пределов определения массовой
концентрации 2-пропанола, мг/дм3, в спирте, полученных
в условиях промежуточной прецизионности с изменяющимися
факторами "время" и "оператор"
Для расчета параметров контрольной карты пределов для следующего периода вычисляют значение стандартного отклонения промежуточной прецизионности SI(TO). Значение SI(TO) составляет 3,28%. Параметры контрольной карты пределов для следующего контрольного периода соответственно составят:
а) средняя линия: L = 1,128·3,28 = 3,70%;
б) пределы действия:
UCLд = 3,686·3,28 = 12,1%;
LCLд - отсутствует;
в) пределы предупреждения:
UCLпр = 2,834·3,28 = 9,30%;
LCLпр - отсутствует.
УДК 663.5.543.06:006.354 | | |
Ключевые слова: водки, спирт этиловый ректификованный, уксусный альдегид (ацетальдегид), метиловый эфир уксусной кислоты (метилацетат), этиловый эфир уксусной кислоты (этилацетат), метиловый спирт (метанол), изопропиловый спирт (2-пропанол), пропиловый спирт (1-пропанол), изобутиловый спирт (2-метил-1-пропанол), бутиловый спирт (1-бутанол), изоамиловый спирт (3-метил-1-бутанол), хроматограмма анализа, газохроматографический метод |