Главная // Актуальные документы // ГОСТ (Государственный стандарт)
СПРАВКА
Источник публикации
М.: ФГБУ "РСТ", 2022
Примечание к документу
Документ введен в действие с 01.01.2023.
Название документа
"ГОСТ IEC 60050-702-2022. Межгосударственный стандарт. Международный электротехнический словарь. Глава 702. Колебания, сигналы и связанные с ними устройства"
(введен в действие Приказом Росстандарта от 21.09.2022 N 961-ст)

"ГОСТ IEC 60050-702-2022. Межгосударственный стандарт. Международный электротехнический словарь. Глава 702. Колебания, сигналы и связанные с ними устройства"
(введен в действие Приказом Росстандарта от 21.09.2022 N 961-ст)


Содержание


Введен в действие
Приказом Федерального агентства
по техническому регулированию
и метрологии
от 21 сентября 2022 г. N 961-ст
МЕЖГОСУДАРСТВЕННЫЙ СТАНДАРТ
МЕЖДУНАРОДНЫЙ ЭЛЕКТРОТЕХНИЧЕСКИЙ СЛОВАРЬ
ГЛАВА 702
КОЛЕБАНИЯ, СИГНАЛЫ И СВЯЗАННЫЕ С НИМИ УСТРОЙСТВА
International electrotechnical vocabulary. Part 702.
Oscillations, signalsand related devices
[IEC 60050-702:1992 + Amd. 1 (2016), Amd. 2 (2016),
Amd. 3 (2017), Amd. 4 (2018), Amd. 5 (2019),
Amd. 6 (2021), IDT]
ГОСТ IEC 60050-702-2022
МКС 01.040.33
29.020
33.020
Дата введения
1 января 2023 года
Предисловие
Цели, основные принципы и общие правила проведения работ по межгосударственной стандартизации установлены ГОСТ 1.0 "Межгосударственная система стандартизации. Основные положения" и ГОСТ 1.2 "Межгосударственная система стандартизации. Стандарты межгосударственные, правила и рекомендации по межгосударственной стандартизации. Правила разработки, принятия, обновления и отмены"
Сведения о стандарте
1 ПОДГОТОВЛЕН Обществом с ограниченной ответственностью "Научно-методический центр "Электромагнитная совместимость" (ООО "НМЦ "ЭМС") на основе русской версии стандарта, указанного в пункте 5
2 ВНЕСЕН Федеральным агентством по техническому регулированию и метрологии
3 ПРИНЯТ Межгосударственным советом по стандартизации, метрологии и сертификации (протокол от 31 августа 2022 г. N 153-П)
За принятие проголосовали:
Краткое наименование страны по МК (ИСО 3166) 004-97
Код страны по МК (ИСО 3166) 004-97
Сокращенное наименование национального органа по стандартизации
Армения
AM
ЗАО "Национальный орган по стандартизации и метрологии" Республики Армения
Беларусь
BY
Госстандарт Республики Беларусь
Киргизия
KG
Кыргызстандарт
Россия
RU
Росстандарт
Узбекистан
UZ
Узстандарт
4 Приказом Федерального агентства по техническому регулированию и метрологии от 21 сентября 2022 г. N 961-ст межгосударственный стандарт ГОСТ IEC 60050-702-2022 введен в действие в качестве национального стандарта Российской Федерации с 1 января 2023 г.
5 Настоящий стандарт идентичен международному стандарту IEC 60050-702:1992 "Международный электротехнический словарь. Глава 702. Колебания, сигналы и связанные с ними устройства" ("International electrotechnical vocabulary; Chapter 702: Oscillations, signals and related devices", IDT), включая изменения Amd. 1:2016-03, Amd. 2:2016-12, Amd. 3:2017-08, Amd. 4:2018-10, Amd. 5:2019-10, Amd. 6:2021-04.
Международный стандарт разработан под ответственностью технического комитета TC 1 "Терминология" Международной электротехнической комиссии (IEC). Тексты Изменений 1 - 6 (Amd. 1 - 6) основаны на запросах C00011 (Amd. 1), C00025, C00026, C00028, C00029 (Amd. 2), C00019, C00020, C00032, C00033, C00034 (Amd. 3), C00035, C00037, C00038, C00039 (Amd. 4), C00041, C00045, C00046 (Amd. 5), C00059 (Amd. 6) и утверждены Техническим комитетом TC 1 "Терминология"
6 ВВЕДЕН ВПЕРВЫЕ
Информация о введении в действие (прекращении действия) настоящего стандарта и изменений к нему на территории указанных выше государств публикуется в указателях национальных стандартов, издаваемых в этих государствах, а также в сети Интернет на сайтах соответствующих национальных органов по стандартизации.
В случае пересмотра, изменения или отмены настоящего стандарта соответствующая информация будет опубликована на официальном интернет-сайте Межгосударственного совета по стандартизации, метрологии и сертификации в каталоге "Межгосударственные стандарты"
Введение
Главы Международного электротехнического словаря (МЭС), относящиеся к электросвязи (700-е главы), подготовлены объединенными группами экспертов из состава технических комитетов Международного союза электросвязи (МСЭ) - Международного консультативного комитета по радиосвязи (МККР), Международного консультативного комитета по телеграфии и телефонии (МККТТ) и Международной электротехнической комиссии (МЭК), деятельность которых координируется объединенной координационной группой (ОКГ) МККР-МККТТ-МЭК по подготовке словаря.
Термины и определения этих глав предназначены помочь правильно понять тексты, касающиеся области связи. Национальные комитеты МЭК высказались за их издание.
Они не получили официального одобрения на Пленарных ассамблеях МККР и МККТТ и не заменяют определения, содержащиеся в рекомендациях МККР и МККТ (или в Регламенте по радиосвязи, или в Регламенте Международного переключения или в Международном соглашении по связи), которые должны быть использованы в соответствующих областях.
Настоящий стандарт подготовлен группой экспертов ОКГ, под ответственностью Технического комитета TC 1 "Терминология".
Он является 702-й главой Международного электротехнического словаря (МЭС).
Текст настоящего стандарта основан на следующих документах:
Правило шести месяцев
Отчет о голосовании
Процедура двух месяцев
Отчет о голосовании
1(МЭС 702)(ЦБ)1262
1(МЭС 702)(ЦБ)1278
1(МЭС 702)(ЦБ)1279
1(МЭС 702)(ЦБ)1285
Полная информация о голосовании по данному стандарту приведена в отчетах о голосовании, указанных в таблице.
Тексты Изменений 1 - 6 (Amd. 1 - 6) основаны на запросах C00011 (Amd. 1), C00025, C00026, C00028, C00029 (Amd. 2), C00019, C00020, C00032, C00033, C00034 (Amd. 3), C00035, C00037, C00038, C00039 (Amd. 4), C00041, C00045, C00046 (Amd. 5), C00059 (Amd. 6) и утверждены Техническим комитетом TC 1 "Терминология".
Раздел 702-01 Частоты
702-01-01 спектр частот (в электросвязи) [frequency spectrum (in telecommunication)]: Диапазон частот колебаний или электромагнитных волн, которые могут быть использованы для передачи информации.
702-01-02 полоса частот (frequency band): Непрерывное множество частот, лежащее между двумя заданными граничными частотами.
Примечание - Полоса частот характеризуется двумя значениями, которые определяют ее положение в спектре частот, например, верхней и нижней граничными частотами.
702-01-03 ширина полосы (канала передачи) [bandwidth (of a transmission channel)]
См. IEV 161-06-09.
702-01-04 ширина полосы (устройства) [bandwidth (of a device)]
См. IEV 161-06-09.
702-01-05 ширина полосы (сигнала) на уровне X дБ [x dB bandwidth (of a signal)]: Ширина полосы частот, за пределами нижней и верхней границы которой любая спектральная линия или спектральная плотность мощности спектра сигнала, по крайней мере, на X дБ ниже уровня, установленного для сигнала данного типа.
702-01-06 основная полоса (baseband): Полоса частот, занимаемая одним сигналом или несколькими объединенными сигналами в определенных точках на входе или выходе передающей системы.
Примечания
1 В радиосвязи основная полоса - это полоса частот, которую занимает сигнал, модулирующий передатчик.
2 Когда передача осуществляется с многократной модуляцией, то основной полосой частот обычно называют полосу, занимаемую сигналом, поступающим на первую ступень модуляции, а не полосу частот, занимаемую промежуточным модулированным сигналом.
702-01-07 собственная частота (natural frequency): Любая частота, на которой могут существовать свободные колебания в физической системе, если на нее не подается возбуждение.
702-01-08 звуковая частота [audio frequency (AF) (abbreviation)]: Любая частота синусоидальной звуковой волны, слышимой нормальным человеческим ухом.
Примечание - Обычно полагают, что диапазон звуковых частот нормального человеческого уха находится в пределах от 16 Гц до 16 кГц.
702-01-09 видеочастота (video frequency): Частота в полосе частот, содержащей спектральные составляющие сигнала изображения в телевидении.
702-01-10 радиочастота (radio frequency; RF): Частота периодической радиоволны или соответствующего электрического колебания.
Примечание - Термины "radio frequency" и "RF" могут характеризовать электрическое устройство, предназначенное для генерации или приема излучаемых волн.
702-01-11 отклонение частоты (frequency departure): Непреднамеренное изменение частоты относительно установленного значения.
702-01-12 частотный сдвиг (frequency shift): Изменение частоты в процессе модуляции или ее непреднамеренное изменение, обусловленное природным явлением.
702-01-13 уход частоты (frequency drift): Нежелательное медленно нарастающее изменение частоты с течением времени.
702-01-14 смещение частоты (frequency offset): Небольшое преднамеренное изменение частоты, осуществляемое для целей, отличных от модуляции.
Примечание - Смещение частоты может быть применено, например, как средство устранения или ослабления помехи.
Раздел 702-02 Колебания и волны
Примечание - В этом разделе даны определения основных терминов, относящихся к распространению волн или колебаний. Главы 705, 726, 731 содержат дополнительную информацию по распространению.
702-02-01 колебание (oscillation)
См. IEV 103-05-04.
702-02-02 волна (wave): Изменение физического состояния среды, характеризуемое полем, распространяющимся со скоростью, определяемой в каждой точке и в каждом направлении свойствами этой среды.
702-02-03 излучение (как явление) [emission (phenomenon)]: Явление, при котором энергия испускается источником в виде волн или частиц.
Примечания
1 Термин "emission" также используется для радиоволн и сигналов, производимых (см. IEV 161-01-09) в радиосвязи, для процессов в радиосвязи (см. IEV 702-02-05), как синоним для программы в радиовещании и для передачи в радиовещании, а также при излучении в окружающую среду (см. IEV 904-01-11).
2 Во французском языке термин также используется для понятия, представленного английским термином "sending" для сигнала.
702-02-04 посылка (сигнала) [sending (of a signal)]: Формирование сигнала на входе линии передачи или в среде передачи.
702-02-05 излучение (процесс в радиосвязи) [emission (process in radiocommunication)]: Процесс, посредством которого радиопередатчик производит радиочастотную энергию для целей радиосвязи.
Примечания
1 В радиосвязи термин "emission" ("излучение") не следует использовать в более общем смысле радиочастотного излучения. Например, часть электромагнитной энергии и гетеродина радиоприемника, которая поступает во внешнее пространство, является радиацией, а не излучением.
2 Термин "emission" также используется для генерируемых радиоволн или сигналов (см. IEV 161-01-09), для производства любых волн или частиц (см. IEV 702-02-03), как синоним программы в радиовещании и для передачи в радиовещании, а также для излучения в окружающую среду (см. IEV 904-01-11).
3 Во французском языке термин также используется в качестве понятия, эквивалентного английскому термину "sending" (посылка) сигнала.
702-02-06 радиация (волн или частиц) [radiation (waves or particles)]: Энергия, передаваемая через пространство в виде волн или частиц.
Примечание - Термин "radiation" также используется для описания явления, производящего энергию (см. IEV 881-02-01).
702-02-07 электромагнитная радиация (как явление) [electromagnetic radiation (phenomenon)]: Явление, при котором энергия поступает из источника в пространство в виде электромагнитных волн или фотонов.
Примечания
1 Термин "electromagnetic radiation" также используется для обозначения генерируемых электромагнитных волн или фотонов (см. IEV 705-02-01).
2 Физические понятия фотонов и электромагнитных волн используются для описания одного и того же явления передачи лучистой энергии по-разному, в зависимости от природы взаимодействия энергии с физическим миром (дуализм волна-частица).
702-02-08 мощность; величина поля (по мощности) [root-power quantity; field quantity (root power)]: Некоторая величина, квадрат которой пропорционален мощности.
Примечания
1 Термин "root-power quantity" был добавлен в приложение C (нормативное) к ISO 80000-1:2009.
2 Английский термин "field quantity" обозначает другое понятие в IEV 102-05-17 (французский термин "champ").
702-02-09 уровень (изменяющейся во времени величины) [level (of a time varying quantity)]: Среднее или другое взвешенное значение изменяющейся во времени величины, например, мощности или напряженности поля, которое оценивается определенным образом в установленный интервал времени.
Примечание - Уровень величины может быть выражен в логарифмических единицах, например в децибелах, относительно некоторой установленной величины.
702-02-10 затухание; потери (attenuation; loss):
1 Уменьшение электрической, электромагнитной или акустической мощности между двумя точками.
2 Уменьшение мощности между двумя точками, выражаемое отношением значений мощности или величин, связанных определенным образом с мощностью.
Примечания
1 В более широком смысле термины "затухание" и "потери" могут обозначать отношение мощностей в данном месте и в требуемых условиях, например, "вносимые потери".
2 Хотя в английском языке термин "loss" не в каждом контексте является синонимом "attenuation", он используется для выражения отношения двух мощностей в некоторых определенных условиях, например, в выражениях "insertion loss" и "return loss", эквивалентных французским "affaiblissement d'insertion" и "facteur d'adaptation", соответственно.
3 Затухание обычно выражается в логарифмических единицах, как положительная величина.
702-02-11 усиление (gain):
1 Увеличение электрической, электромагнитной или акустической мощности между двумя точками.
2 Увеличение мощности между двумя точками, выражаемое отношением значений мощности или величин, связанных определенным образом с мощностью.
Примечания
1 В более широком смысле термин "усиление" может обозначать отношение мощностей в данном месте и в определенных условиях, например "усиление антенны".
2 Усиление обычно выражается в логарифмических единицах, как положительная или отрицательная величина. Когда усиление в логарифмических единицах имеет отрицательное значение, вместо термина "усиление" может использоваться термин "затухание".
702-02-12 поглощение (absorption): Преобразование энергии электромагнитных или акустических волн в другой вид энергии, например, в тепловую посредством взаимодействия с веществом.
702-02-13 коэффициент распространения; постоянная распространения [propagation coefficient; propagation constant (USA)]: Предел частного от деления натурального логарифма отношения значений определенной составляющей электромагнитного поля в двух точках, расположенных в направлении распространения направленной плоской или практически плоской волны заданной частоты, в ограниченной области пространства на расстояние, когда расстояние между этими точками стремится к нулю.
Примечание - Коэффициент распространения является комплексной величиной, обычно функцией частоты с размерностью, обратной длине. Его действительная часть, коэффициент затухания, обычно выражается в неп/м, а мнимая часть, коэффициент фазы, выражается в рад/м.
702-02-14 коэффициент затухания [attenuation coefficient attenuation constant (USA)]: Действительная часть коэффициента распространения.
Примечание - Коэффициент затухания линии передачи или волновода - предел отношения затухания между двумя точками на оси к расстоянию между этими точками, когда это расстояние стремится к нулю.
702-02-15 коэффициент фазы [phase-change coefficient phase constant (USA)]: Мнимая часть коэффициента распространения.
Примечание - Коэффициент фазы линии передачи или волновода предел отношения изменения фазы величины поля между двумя точками на оси к расстоянию между этими точками, когда это расстояние стремится к нулю.
702-02-16 фазовая задержка (phase delay): Длительность времени между моментами прохождения волновым фронтом синусоидальной бегущей волны, определенной заданной фазой, через две заданные точки в пространстве.
702-02-17 фазовая скорость (phase velocity): Вектор скорости в данном направлении движущейся точки, связанной с синусоидальной бегущей волной и определяемой постоянным значением фазы величины поля.
Примечание - Величина фазовой скорости имеет минимальное значение в направлении распространения; если направление не указано, считается, что фазовая скорость имеет такую же величину, как в направлении распространения.
702-02-18 длина волны (в данном направлении) [wavelength (in a given direction)]: Отношение величины вектора фазовой скорости синусоидальной волны к частоте этой волны.
Примечание - Длина волны имеет минимальную величину в направлении распространения, если направление не указано, то считается, что длина волны имеет такую же величину, как в направлении распространения.
702-02-19 коэффициент рефракции; коэффициент преломления n (refractive index; index of refraction): Отношение скорости распространения электромагнитных волн в вакууме к величине фазовой скорости синусоидальной плоской волны, в данной точке среды распространения и в данном направлении.
702-02-20 групповое время запаздывания (group delay): Время распространения сигнала между двумя точками на пути передачи, определяемая в терминах групповой скорости линейным интегралом, взятым вдоль пути передачи:
.
Примечания
1 В однородной среде распространения или в однородной линии групповое время запаздывания равно производной угловой частоты разности реальных фаз в двух точках общей предельной волны в одно и то же время.
2 На практике, если среда не излишне абсорбирующая, не излишне анизотропная или слишком диспергирующая, групповое время запаздывания равно продолжительности распространения сигнала, используемого для определения групповой скорости.
702-02-21 задержка огибающей (envelope delay): Групповое время запаздывания существенных спектральных составляющих сигнала при допущении, что это запаздывание практически одинаково для всех этих составляющих.
Примечание - Понятие задержки огибающей имеет существенное значение только в том случае, когда огибающая этих сигналов сравнительно не искажена средой распространения.
702-02-22 групповая скорость (group velocity): Вектор скорости сигнала в некоторой точке среды распространения, который может быть представлен как наложение двух синусоидальных волн с равными амплитудами и слегка отличающимися между собой частотами, стремящимися к общему предельному значению.
Примечание - В наиболее общем случае, обратная величина вектора групповой скорости равна производной обратной величины длины волны по частоте f.
,
702-02-23 скорость огибающей (envelope velocity): Отношение расстояния к задержке огибающей на этом расстоянии.
Раздел 702-03 Импульсы
702-03-01 импульс (pulse): Резкое кратковременное изменение физической величины с последующим быстрым возвращением к исходному значению.
702-03-02 односторонний импульс (unidirectional pulse): Импульс, в котором все мгновенные значения физической величины больше или меньше общего начального и конечного значения.
702-03-03 амплитуда импульса [pulse magnitude; pulse amplitude (deprecated)]: Одно из значений, например, среднее, среднеквадратичное или пиковое, характеризующее совокупность мгновенных значений одностороннего импульса по отношению к общему начальному или конечному значению.
702-03-04 длительность импульса; ширина импульса (pulse duration; pulse width): Интервал между первым и последним моментами времени, при которых мгновенное значение импульса достигает определенной доли его амплитуды или определенного порога.
702-03-05 время нарастания (импульса) [rise time (of a pulse)]: Интервал между моментами времени, в которые мгновенное значение импульса сперва достигает определенного нижнего значения, а затем определенного верхнего значения.
Примечание - Если нет других указаний, то нижний и верхний пределы фиксируются на уровне 10% и 90% амплитуды импульса.
702-03-06 время спада (импульса) [decay time (of a pulse) fall time (of a pulse)]: Интервал между моментами времени, в которые мгновенное значение импульса снова достигает определенного верхнего значения, а затем определенного нижнего значения.
Примечание - Если нет других указаний, то верхний и нижний пределы фиксируются на уровне 90% и 10% амплитуды импульса.
702-03-07 частота повторения импульсов [pulse repetition frequency; PRF (abbreviation); pulse repetition rate]: Отношение числа импульсов в последовательности импульсов к длительности этой последовательности.
702-03-08 разнос импульсов (pulse spacing): Промежуток между двумя определенными и соответствующими моментами времени в двух последовательных импульсах.
702-03-09 коэффициент заполнения импульса (pulse duty factor): Отношение средней длительности импульса к обратной величине частоты повторения импульсов в последовательности импульсов.
702-03-10 прямоугольный импульс (rectangular pulse): Односторонний импульс, временем нарастания и временем спада которого можно пренебречь по сравнению с длительностью импульса, имеющий практически постоянное мгновенное значение в пределах этой длительности.
702-03-11 серия импульсов [pulse train; impulse train (US)]
См. IEV 103-05-21.
702-03-12 серия прямоугольных импульсов (square pulse train): Последовательность прямоугольных импульсов с коэффициентом заполнения 1/2.
702-03-13 синус-квадратичный импульс (sine-squared pulse): Односторонний импульс, определяемый как функция времени следующим выражением:
при 0 <= t <= 2T,
y = 0 при t < 0 и t > 2T,
где y - мгновенное значение функции;
k - пиковое значение импульса;
2T - длительность импульса, при этом T - время, в течение которого функция больше чем k/2.
702-03-14 формирование импульса (pulse shaping): Процесс образования формы импульса, возможно более близкой к заданной форме.
702-03-15 регенерация импульсов (pulse regeneration): Процесс, при котором входные импульсы, которые могут быть искажены, используются для образования новых импульсов, имеющих требуемое временное распределение, форму и амплитуду, близкие к исходным импульсам.
Раздел 702-04 Сигналы. Основные термины
702-04-01 сигнал (signal): Физическое явление, одна или несколько характеристических величин которого могут изменяться для отображения информации.
Примечание - Таким физическим явлением может быть, например, электромагнитная волна или акустическая волна, а характеристической величиной - электрическое поле, напряжение или звуковое давление.
702-04-02 аналоговый сигнал (analogue signal): Сигнал, в котором характеристическая величина, отображающая информацию, может в любой момент времени принимать любое значение в пределах непрерывного интервала.
Примечание - Аналоговый сигнал может непрерывно воспроизводить значения другой физической величины, отображающей информацию.
702-04-03 сигнал, дискретный во времени (discretely timed signal): Сигнал, состоящий из временной последовательности элементов, каждый из которых содержит одну или несколько характеристических величин, которые могут передавать информацию, например, длительность элементов, их взаимное расположение, форму их волны, их амплитуду.
702-04-04 дискретно-временной сигнал; дискретный сигнал (discretely timed signal; discrete signal): Сигнал, состоящий из последовательных во времени элементов, каждый из которых имеет одну или несколько характеристических величин, которые могут передавать информацию, например, длительность, временное положение, форма волны, амплитуда.
702-04-05 цифровой сигнал (digital signal): Сигнал, дискретный во времени, в котором информация представлена некоторым количеством точно определенных дискретных значений; причем одна из характеристических величин может зависеть от времени.
702-04-06 выборка (из сигнала) [sample (of a signal)]: Характерное значение сигнала в данный момент времени, полученное из значений этого сигнала вблизи этого момента.
702-04-07 квантование (quantization; quantizing): Процесс, в котором непрерывный диапазон значений, которые может принимать величина, делится на ряд заданных смежных интервалов и в котором любое значение в данном интервале представляется одним заранее заданным значением в пределах интервала.
702-04-08 временная основа (time base): Колебание, используемое как эталонное, с помощью которого могут быть определены интервалы по моментам возникновения определенных частей циклов колебания.
Примечание - Термин "база времени" ("time base") может также применяться к аппаратуре, используемой для генерации этого эталонного колебания.
702-04-09 сигнал синхронизации (timing signal): Сигнал, используемый для установления моментов начала работы.
702-04-10 циклический сигнал синхронизации (cyclic timing signal): Периодический сигнал, используемый для установления моментов начала работы.
702-04-11 шкала времени (time-scale): Последовательность смежных предопределенных интервалов времени.
Примечание - Интервалы времени на шкале времени не обязательно должны иметь одинаковую длительность.
702-04-12 циклическая шкала времени (cyclic timescale): Шкала времени, состоящая из периодического повторения циклов, каждый из которых представляет собой последовательность интервалов времени.
Примечание - Отдельные интервалы времени, составляющие единичный цикл, могут не иметь одинаковой длительности, но в идеальном случае все циклы идентичны, любые вариации ограничиваются заданными пределами.
702-04-13 изохронный; синхронный (устаревший) [isochronous; synchronous (устаревший)]: Определяющий изменяющееся во времени явление, шкалу времени или сигнал, характеризуемые последовательными значащими моментами времени, разделенными интервалами, которые имеют одинаковую номинальную длительность, или их номинальные длительности кратны единице длительности.
Примечание - На практике изменения временных интервалов ограничены заданными пределами.
702-04-14 изохронизм (isochronism): Положение, в котором изменяющееся во времени явление, шкала времени или сигнал являются изохронными.
Примечание - Использование термина "синхронизм" в значении "изохронизм" недопустимо.
702-04-15 анизохронный; асинхронный (устаревший) [anisochronous, asynchronous (устаревший)]: Определяющий изменяющееся во времени явление, шкалу времени или сигнал, характеризуемые последовательными значащими моментами времени, разделенными интервалами, которые не все имеют одинаковую номинальную длительность или номинальные длительности, кратные единице длительности.
Примечание - Термин "асинхронный" в другом значении используется в технике электрических машин (см., например, IEV 411-31-09 "асинхронная машина").
702-04-16 анизохронизм (anisochronism): Положение, в котором изменяющееся во времени явление, шкала времени или сигнал являются анизохронными.
702-04-17 синхронный (synchronous): Определяющий два изменяющихся во времени явления, две шкалы времени или два сигнала, характеризуемые соответствующими значащими моментами, которые разделены интервалами времени номинальной постоянной длительности.
Примечание - Два явления, две шкалы времени или два сигнала могут быть синхронными, не будучи изохронными.
702-04-18 синхронизм (synchronism): Положение, в котором два изменяющихся во времени явления, шкалы времени или сигналы являются синхронными.
702-04-19 несинхронный (non-synchronous): Определяющий два изменяющихся во времени явления, две шкалы времени или два сигнала, характеризуемые соответствующими значащими моментами времени, которые разделены интервалами времени, не имеющими постоянной длительности.
702-04-20 количество информации (decision content): Число решений, необходимых для выбора определенного события среди конечного числа взаимоисключающих событий, равное логарифму числа событий, где основание логарифма равно числу выборов при каждом решении.
702-04-21 двоичная единица количества информации (Sh) (shannon): Выраженная в виде логарифма по основанию два единица логарифмической меры информации, равная количеству информации, содержащейся в совокупности из двух взаимоисключающих и равновероятных событий.
Пример - Количество информации совокупности из восьми знаков равно 3 двоичным единицам (логарифм 8 по основанию 2 равен 3).
702-04-22 десятичная единица количества информации (hartley): Выраженная в виде логарифма по основанию 10 единица логарифмической меры информации, равная количеству информации, содержащейся в совокупности из десяти взаимоисключающих событий.
Пример - Количество информации совокупности из восьми знаков равно приблизительно 0,9 десятичной единицы (логарифм 8 по основанию 10 равен 0,903).
702-04-23 динамический диапазон (сигнала) [dynamic range (of a signal)]: Разность между максимальным и минимальным уровнями сигнала в течение данного периода времени, выраженными в децибелах.
Примечание - Минимальный уровень сигнала должен превышать определенный используемый уровень.
702-04-24 компрессия (compression): Автоматическое уменьшение по определенному закону изменений среднего уровня сигнала; при этом усреднение осуществляется за период времени, определяемый в каждом отдельном случае.
702-04-25 компрессировать (to compress): Подвергать сигнал компрессии.
702-04-26 экспандирование (expansion): Автоматическое увеличение по определенному закону изменений среднего уровня сигнала, обычно, для восстановления скомпрессированного сигнала до его первоначальной формы.
702-04-27 экспандировать (to expand): Подвергать сигнал экспандированию.
702-04-28 компандирование (companding): Сочетание компрессии и экспандирования одного и того же сигнала, выполняемое последовательно в двух точках канала передачи.
702-04-29 слоговое компандирование (syllabic companding): Компандирование речевого сигнала, при котором средний уровень сигналов при компрессировании и экспандировании определяется в интервале времени, сравнимом с длительностью слоговых интервалов речи.
702-04-30 преэмфазис (pre-emphasis): Процесс преднамеренного увеличения некоторых спектральных составляющих сигнала, относительно других составляющих, для облегчения их передачи или записи.
702-04-31 деэмфазис (de-emphasis): Процесс преднамеренного уменьшения некоторых спектральных составляющих сигнала относительно других составляющих для восстановления величины составляющих, увеличенных посредством преэмфазиса.
702-04-32 ограничение (limiting): Действие, при котором все мгновенные значения сигнала, превосходящие заданное пороговое значение или находящиеся за пределами двух заданных пороговых значений, снижаются, а все другие мгновенные значения сигнала сохраняются.
Примечание - Примеры ограничений: "одностороннее ограничение", "двустороннее ограничение", "ограничение по основанию".
702-04-33 одностороннее ограничение (clipping): Вид ограничения, при котором все мгновенные значения сигнала, превосходящие заданное пороговое значение, снижаются до значений, близких к пороговому, и сохраняют все другие мгновенные значения сигнала.
702-04-34 двустороннее ограничение (slicing): Вид ограничения, при котором все мгновенные значения сигнала, лежащие за пределами двух заданных пороговых уровней, снижаются до значений, близких к ближайшему пороговому, причем мгновенные значения сигнала, находящиеся между двух пороговых значений, не изменяются.
702-04-35 ограничение по основанию (base limiting): Вид ограничения, при котором все мгновенные значения сигнала ниже заданного порогового значения заменяются значениями, близкими к этому порогу, а другие мгновенные значения сигнала остаются без изменения.
702-04-36 ограничение по центру [centre clipping (inappropriate term)]: Действие, при котором все мгновенные значения сигнала, находящиеся между двумя заданными пороговыми значениями противоположных знаков, заменяются значениями, близкими к нулю, а другие мгновенные значения сигнала остаются без изменения.
702-04-37 фиксация уровня (clamping): Процесс, при котором некоторые элементы периодического сигнала, например, его составляющие постоянного тока, сохраняют заданное значение.
Примечания
1 Это значение может быть фиксированным или регулируемым.
2 Французский термин "clampage" относится к конкретному процессу фиксации уровня, используемому, например, в телевидении.
702-04-38 автоматическая регулировка усиления; АРУ (automatic gain control; AGC): Процесс или устройство, посредством которого коэффициент усиления усилителя регулируется автоматически, обычно с целью получения минимального изменения уровня выходного сигнала при изменении уровня входного сигнала.
Примечание - Часто используется для поддержания выходного сигнала на примерно постоянном уровне.
702-04-39 стробирование (gating): Процесс соединения и разъединения двух цепей или каналов передачи в определенные моменты времени или при определенных значениях сигнала.
702-04-40 спектр (сигнала или шума) [(signal or noise) spectrum]: Совокупность синусоидальных колебаний, представляющих в полосе частот изменяющийся во времени сигнал или шум, причем каждое из этих колебаний характеризуется частотой, амплитудой и начальной фазой.
702-04-41 спектральная составляющая (spectral component): Каждое из синусоидальных колебаний, входящих в состав спектра сигнала или шума.
702-04-42 спектр амплитуд (amplitude spectrum): Распределение как функция частоты или амплитуды спектральных составляющих сигнала или шума.
702-04-43 спектр фаз (phase spectrum): Распределение как функция частоты или начальных фаз спектральных составляющих сигнала или шума.
702-04-44 спектральное представление (spectral representation; complex spectrum): Представление сигнала как функции частоты либо посредством преобразования Фурье, либо с помощью последовательности комплексных коэффициентов ряда Фурье.
702-04-45 непрерывный спектр (continuous spectrum): Спектр, имеющий отличные от нуля значения, занимающие один или несколько непрерывных частотных интервалов.
Пример непрерывного спектра - непрерывный ряд значений преобразования Фурье, представляющего непериодический сигнал.
702-04-46 линейчатый спектр (line spectrum): Спектр, имеющий отличные от нуля значения только при определенных дискретных значениях частоты или, в более широком смысле, вблизи этих значений.
Пример - Последовательность коэффициента ряда Фурье, представляющая периодический сигнал или нуль.
702-04-47 спектральная линия (spectral line):
1 Каждая дискретная составляющая линейчатого спектра.
2 Узкая полоса частот или длин волн, характеризуемая единичным значением, занятая монохроматическим электромагнитным излучением, испускаемым или поглощаемым во время передачи между двумя энергетическими уровнями в квантованных системах.
702-04-48 спектр мощности (power spectrum): Распределение как функция частоты квадратов амплитуд спектральных составляющих сигнала или шума.
Примечание - Спектр электромагнитного излучения, определенный в главе 845, может рассматриваться как спектр мощности.
702-04-49 спектральная плотность энергии (energy spectral density): Распределение, как функция частоты, энергии сигнала или шума, имеющих непрерывный спектр и конечную полную энергию.
Примечания
1 Полная энергия сигнала или шума по условию пропорциональна интегралу по времени от квадрата его мгновенного значения. Этот интеграл пропорционален физической энергии, если характеристической величиной является величина поля.
2 Спектральная плотность энергии детерминированного сигнала существует, если представляющая его функция времени интегрируема в квадрате. Она равна квадрату модуля преобразования Фурье сигнала и также равна преобразованию Фурье функции автокорреляции сигнала.
702-04-50 спектральная плотность мощности (power spectral density power spectrum density): Распределение мощности как функция частоты на единицу ширины полосы спектральных составляющих сигнала или шума, имеющих непрерывный спектр и конечную среднюю мощность.
Примечания
1 Мгновенная мощность сигнала или шума по условию равна квадрату его мгновенного значения. Этот квадрат пропорционален физической мощности, если характеристической величиной является величина поля.
2 Спектральная плотность мощности представляет собой преобразование Фурье функции автокорреляции сигнала или шумов. Функция автокорреляции детерминированного сигнала существует, если сигнал имеет конечную среднюю мощность. Функция автокорреляции случайного сигнала или шумов существует, если они представлены стационарной случайной функцией второго порядка.
702-04-51 (полный) коэффициент гармоник [(total) harmonic factor)]: Отношение среднеквадратичного значения суммы гармонических составляющих переменной величины к среднеквадратичному значению этой величины.
702-04-52 аналитический сигнал (analytic signal): Комплексная функция, действительная часть которой является действительной функцией f(t), представляющей сигнал, а мнимая часть - преобразованием Гильберта g(t) этой функции f(t):
.
Примечания
1 Действительная часть f(t) аналитического сигнала является мнимой частью преобразования Гильберта с обратным знаком.
2 Если комплексное преобразование Фурье аналитического сигнала равно нулю для всех отрицательных частот, то, например, аналитический сигнал может быть использован для представления однополосного модулированного сигнала.
702-04-53 квадратурный сигнал (quadrature signal harmonic conjugate signal): Мнимая часть g(t) аналитического сигнала.
Примечание - Название "квадратурный сигнал" объясняется тем, что кроме перемены знаков и каждая из этих функций представляет собой преобразование Гильберта друг в друга, и тогда аналитический сигнал, соответствующий реальному сигналы , выражается как:
,
702-04-54 амплитуда (сигнала); огибающая (сигнала) [amplitude (of a signal) envelope (of a signal)]: Модуль A(t) аналитического сигнала, представляющего реальный сигнал f(t), записанный в форме:
.
Примечание - Когда модулированный сигнал представлен как , где f существенно больше высшей частоты любой значительной спектральной составляющей модулирующего сигнала, огибающая приблизительно выражается кривой y = +/- E(t).
702-04-55 фаза (сигнала) [phase (of a signal)]: Аргумент аналитического сигнала, представляющий реальный сигнал f(t), записанный в виде:
,
702-04-56 мгновенная частота (сигнала) [instantaneous frequency (of a signal)]: Производная фазы сигнала по времени, деленная на .
Раздел 702-05 Дискретные сигналы и цифровые сигналы. Кодирование
Примечание - Некоторые коды определены в главах 704 "Передача" и 721 "Телеграфия и передача данных"
702-05-01 элемент сигнала (signal element): Каждая из частей сигнала дискретного во времени, отличающаяся от остальных одной или несколькими характеристиками, такими как длительность, относительное положение, форма волны, амплитуда.
702-05-02 цифровой элемент (digit): Элемент конечной совокупности целых чисел, используемой для представления информации.
Примечания
1 Цифровой элемент может быть представлен, как элемент сигнала.
2 В устройстве, используемом для цифровой передачи, цифра может быть представлена определенным физическим состоянием, например двоичным магнитным состоянием ферритового сердечника.
3 Английский термин "digit" переводится на французский как "chiffre", когда он используется в десятичной системе счисления для обозначения 1, 2,..., 9, 0 (см. IEV 714-07-06).
702-05-03 двоичная единица; бит [binary digit, bit, unit element (устаревший)]: Член совокупности двух элементов, обычно используемой для представления информации.
Примечание - Термин "единичный элемент" определен в IEV 721-02-33.
702-05-04 двоичная цифра (binary figure): Любая из двух цифр 0 или 1, используемых в двоичной числовой системе.
702-05-05 n-ичная цифра (n-ary digit): Элемент, отобранный из n-ичной совокупности.
702-05-06 n-битовый байт (n-bit byte): Упорядоченная совокупность определенного числа двоичных единиц, используемых как единое целое.
702-05-07 дублет [doublet; 2-bit byte (US); doublet byte; dibit (устаревший)]: Упорядоченная совокупность из двух двоичных единиц.
Примечание - Дублет - это пример n-битового байта.
702-05-08 триплет (triplet; 3-bit byte (US); triplet byte; tribit (устаревш.)): Упорядоченная совокупность из трех двоичных единиц.
702-05-09 байт (byte; octet; 8-bit byte): Упорядоченная совокупность из восьми двоичных единиц, действующая как единое целое.
702-05-10 знак (character): Член совокупности элементов, который используется по соглашению для организации и представления информации или для управления информацией.
Примечание - Знаки могут быть в виде букв, цифр, знаков препинания и других символов, а в более широком смысле также в виде функциональных обозначений, таких как пространственный сдвиг, возврат каретки или смена строки, содержащихся в сообщении.
702-05-11 код (code): Система правил, определяющих точное соответствие между информацией и ее представлением, посредством знаков, символов или элементов сигнала.
702-05-12 кодировать (to encode; to code): Представлять информацию с использованием кода.
702-05-13 кодирование (encoding; coding): Процесс представления информации с использованием кода.
702-05-14 декодировать (to decode): Восстанавливать кодированную информацию в исходной форме.
702-05-15 декодирование (decoding): Процесс восстановления кодированной информации в исходной форме.
702-05-16 кодовое преобразование (code conversion; transcoding): Изменение представления информации с использованием данного кода в представление этой информации согласно другому коду.
Пример - Преобразование кодовой комбинации или групп кодовых комбинаций из одного телеграфного кода в соответствующие сигналы или группу сигналов в другом коде.
702-05-17 кодовая комбинация; кодовое слово (code word; code combination): Упорядоченная совокупность элементов, например, n-битовый байт, определенных посредством кода для представления такого элемента данных, как символ.
702-05-18 избыточный код (redundant code): Код, в соответствии с которым для представления информации используется большее число знаков, символов или элементов сигнала, чем это строго необходимо для передачи информации.
Пример - Код с обнаружением ошибок, корректирующий код.
Примечание - В телеграфии пятизначный код, использующий все символы Международного телеграфного алфавита N 2, не является избыточным. Код из семи единиц, такой как Международный телеграфный алфавит N 3, который использует только сигналы, состоящие из четырех элементов условия A и трех элементов условия Z, является избыточным.
702-05-19 код с обнаружением ошибок (error detecting code): Избыточный код, в котором правила его построения обеспечивают возможность автоматического обнаружения определенных ошибок, возникающих при записи, обработке и передаче информации, если эти ошибки вызывают отклонения от правил.
702-05-20 корректирующий код (error correcting code): Избыточный код, который обеспечивает автоматическую коррекцию некоторых обнаруженных ошибок.
Примечание - Код исправления ошибок позволяет исправлять ошибки без канала обратной связи.
702-05-21 значащее положение (significant condition): Положение элемента сигнала, определяющее значение этого элемента сигнала в соответствии с кодом.
702-05-22 количество значащих положений (number of significant conditions): Количество различных значащих положений, которые может принимать элемент сигнала в соответствии с кодом.
Примечание - Квалификаторы, такие как "два положения", "три положения", используются в соответствии с количеством значащих положений.
702-05-23 скорость цифровой передачи (digit rate): Отношение количества цифр, переданных за некоторый интервал времени, к этому интервалу времени.
Примечания
1 Термин "скорость цифровой передачи" может быть уточнен, например, как "скорость передачи двоичных цифр", "скорость троичных цифр", "скорость передачи n-ичных цифр", если число значащих положений соответственно равно два, три, n.
2 Термин "скорость цифровой передачи" не должен использоваться для выражения скорости передачи линейного сигнала, для которой подходящим термином является "линейная цифровая скорость".
702-05-24 бод (Bd, baud): Единица скорости модуляции в телеграфии и передаче данных или единица скорости в линии цифровой передачи, равная обратной величине длительности в секундах.
1 Bd = 1 s-1.
Примечания
1 Например, если длительность единичного интервала составляет 20 мс, то скорость модуляции составляет 50 Бод.
2 Термин " de modulation" используется во французском языке во всех случаях с синонимом " en ligne" в случае цифровой передачи; в английском языке термины "modulation rate" и "line digit rate" используются в разных областях.
Раздел 702-06 Модуляция и демодуляция
702-06-01 модуляция (modulation)
См. IEV 701-03-08.
702-06-02 модулировать (to modulate): Изменять одну или несколько характеристик колебания или волны в соответствии с изменениями сигнала или другого колебания или волны.
702-06-03 несущая (carrier): Колебание или волна, обычно периодические, некоторые характеристики которых следуют изменениям сигнала или другого колебания или волны.
Примечание - Процесс, описанный в определении, является модуляцией.
702-06-04 модулирующий сигнал (modulating signal; modulating wave): Сигнал, колебание или волна, изменениям которых следует несущая при модуляции.
702-06-05 модулированный сигнал (modulated signal; modulated wave; modulated oscillation): Колебание или волна, полученные посредством модуляции.
702-06-06 несущая (составляющая) [carrier (component)]: Спектральная составляющая в модулированном сигнале с частотой периодической несущей перед модуляцией.
702-06-07 многократная модуляция (multiple modulation): Последовательность процессов модуляции, в которой модулирующий сигнал одной ступени представляет собой модулированный сигнал предыдущей ступени модуляции или его часть, например, одну боковую полосу.
702-06-08 главная несущая (main carrier): Последняя модулированная несущая при многократной модуляции.
702-06-09 промежуточная несущая (intermediate carrier): Одна из несущих, используемых при многократной модуляции, отличная от главной несущей.
702-06-10 поднесущая (sub-carrier): Несущая, модулированная в процессе промежуточной модуляции, представляющая собой модулированный сигнал, который подается вместе с другими сигналами для модуляции другой несущей.
702-06-11 боковая полоса (частот) (sideband):
1 Спектральные составляющие, возникающие при модуляции синусоидальной несущей и лежащие по одну сторону от несущей частоты.
2 Полоса частот, лежащая выше или ниже частоты синусоидальной несущей и содержащая спектральные составляющие, создаваемые в процессе модуляции, имеющие существенное значение.
702-06-12 верхняя боковая полоса (upper sideband): Боковая полоса, содержащая спектральные составляющие на более высоких частотах, чем частота несущей.
702-06-13 нижняя боковая полоса (lower sideband): Боковая полоса, содержащая спектральные составляющие на более низких частотах, чем частота несущей.
702-06-14 модуляция с фиксированной опорной точкой (modulation with a fixed reference): Модуляция, при которой каждое значащее положение цифрового модулирующего сигнала представлено определенным значением характеристической величины модулированного сигнала независимо от значения, присвоенного предыдущему элементу сигнала.
702-06-15 относительная модуляция (differential modulation): Модуляция, при которой каждое значащее положение цифрового модулирующего сигнала представлено определенным изменением значения характеристической величины модулированного сигнала относительно значения, присвоенного предыдущему элементу сигнала.
702-06-16 линейная модуляция (linear modulation): Модуляция, при которой характеристическая величина несущей является линейной функцией мгновенных значений модулирующего сигнала.
702-06-17 амплитудная модуляция (amplitude modulation, AM): Модуляция, при которой амплитуда периодической несущей является заданной функцией, обычно линейной, мгновенных значений модулирующего сигнала.
702-06-18 амплитудная манипуляция (amplitude shift keying, ASK, amplitude shift modulation): Модуляция, при которой каждое значащее положение цифрового модулирующего сигнала представлено определенным значением амплитуды синусоидального колебания.
702-06-19 коэффициент модуляции (modulation factor): Обычно выражаемое в процентах отношение разности максимальной и минимальной амплитуд модулированного сигнала к их сумме при линейной амплитудной модуляции.
Примечания
1 Для симметричного модулирующего сигнала существует только одно значение коэффициента модуляции. Если модулирующий сигнал несимметричен, значение коэффициента модуляции должно быть определено для каждой его спектральной составляющей.
2 При угловой модуляции: это отношение, обычно выраженное в процентах, пиковой девиации частоты или пиковой девиации фазы, создаваемой определенным модулирующим сигналом, к максимальной девиации, определенной для данной передающей системы.
702-06-20 перемодуляция (overmodulation): Условия, при которых некоторые пиковые значения модулирующего сигнала превосходят максимальное значение, определенное для рассматриваемой системы или оборудования.
Примечание - При амплитудной модуляции полной несущей максимальное значение соответствует коэффициенту модуляции 100%, то есть 1.
702-06-21 недомодуляция (under-modulation): Условия, при которых пиковые значения модулирующего сигнала остаются в течение длительного периода времени ниже максимального значения, допускаемого рассматриваемой системой передачи или оборудованием.
702-06-22 полная несущая (full carrier): Термин относится к передаче или излучению с амплитудной модуляцией, когда мощность синусоидальной составляющей несущей ниже пиковой мощности, огибающей не более чем на 6 дБ.
702-06-23 ослабленная несущая (reduced carrier): Относится к передаче или излучению с амплитудной модуляцией, когда мощность синусоидальной составляющей несущей понижена более чем на 6 дБ относительно пиковой мощности огибающей, но остается на таком уровне, при котором она может быть восстановлена и использована для демодуляции.
702-06-24 подавленная несущая (suppressed carrier): Термин относится к передаче или излучению с амплитудной модуляцией, если мощность синусоидальной составляющей несущей понижена до уровня, при котором она обычно не может быть восстановлена и использована для демодуляции.
702-06-25 две боковые полосы; ДБП [double sideband; DSB (abbreviation)]: Термин относится к передаче или излучению, если обе боковые полосы при амплитудной модуляции сохраняются равными.
702-06-26 одна боковая полоса; ОБП [single sideband; SSB (abbreviation)]: Термин относится к передаче или излучению, если при амплитудной модуляции сохраняется только нижняя или верхняя боковая полоса.
702-06-27 независимая боковая полоса [independent sideband; ISB (abbreviation)]: Термин относится к передаче или излучению, если при амплитудной модуляции нижняя и верхняя боковые полосы соответствуют независимым модулирующим сигналам.
702-06-28 остаточная боковая полоса [vestigial sideband; VSB (abbreviation)]: Боковая полоса, в которой сохраняются только спектральные составляющие, соответствующие высшим частотам модулирующих сигналов, а остальные составляющие значительно ослаблены.
702-06-29 остаточная боковая полоса [vestigial sideband (qualifying term)]: Термин относится к передаче или излучению, если используется одна полная боковая полоса и дополнительная остаточная боковая полоса.
702-06-30 угловая модуляция (angle modulation): Модуляция, при которой фаза синусоидальной несущей является заданной функцией мгновенных значений модулирующего сигнала.
702-06-31 (мгновенная) девиация фазы [(instantaneous) phase deviation]: Разность между фазой модулированного сигнала при угловой модуляции и фазой несущей при отсутствии модуляции, в данный момент времени и в определенных условиях.
702-06-32 пиковая девиация (фазы) [peak (phase) deviation]: Максимальное значение мгновенной девиации фазы для данного модулирующего сигнала, при угловой модуляции.
702-06-33 (мгновенная) девиация частоты [(instantaneous) frequency deviation)]: Разность между мгновенным значением частоты модулированного сигнала при угловой модуляции и частотой несущей до модуляции.
702-06-34 пиковая девиация (частоты) [peak (frequency) deviation]: Максимальное значение мгновенной девиации частоты для данного модулирующего сигнала при угловой модуляции.
702-06-35 пик-пик (частота); размах отклонения частоты [peak-to-peak (frequency); deviation frequency swing]: Разность между максимальным и минимальным значениями мгновенной частоты модулированного сигнала для данного модулирующего сигнала при угловой модуляции в определенных условиях.
702-06-36 фазовая модуляция [phase modulation; PM (abbreviation)]: Угловая модуляция, при которой мгновенная девиация фазы изменяется в соответствии с данной функцией, обычно линейной, мгновенного значения модулирующего сигнала.
702-06-37 частотная модуляция [frequency modulation; FM (abbreviation)]: Угловая модуляция, при которой мгновенная девиация частоты изменяется в соответствии с данной функцией, обычно линейной, мгновенного значения модулирующего сигнала.
702-06-38 индекс частотной модуляции [frequency deviation ratio]: Отношение пиковой девиации частоты к максимальной частоте модулирующего сигнала при частотной модуляции и в определенных условиях.
702-06-39 фазовый сдвиг (phase shift): Разность между фазами двух элементов модулированного сигнала в установившихся условиях при угловой модуляции посредством сигнала дискретного во времени.
702-06-40 фазовая манипуляция (phase shift keying; PSK; phase shift modulation; phase shift signalling): Угловая модуляция, при которой каждое мгновенное значащее положение в модулирующем сигнале, дискретном во времени, представляется посредством определенной разности фаз модулированного сигнала и несущей при отсутствии модуляции.
702-06-41 относительная фазовая манипуляция (differential phase shift keying; DPSK): Угловая модуляция, при которой каждое изменение значащего положения в модулирующем сигнале, дискретном во времени, представляется определенным изменением фазы модулированного сигнала относительно фазы во время предшествующего элемента сигнала.
702-06-42 многопозиционная фазовая манипуляция [multiple phase shift keying; MPSK (abbreviation)]: Фазовая манипуляция, при которой фазовый сдвиг принимает n различных значений, обычно кратных радиан.
702-06-43 квадратурная фазовая манипуляция (quadrature phase shift keying; QPSK; quadrature phase modulation): Фазовая манипуляция, при которой фазовый сдвиг принимает значения, кратные 90°.
702-06-44 обратная фазовая манипуляция (phase inversion modulation): Двухпозиционная фазовая манипуляция, при которой фазовый сдвиг принимает два значения, отличающихся на радиан.
702-06-45 когерентная модуляция (coherent modulation): Модуляция посредством сигнала дискретного во времени, при которой существует определенное соотношение между моментами времени, характеризующими фазу несущей до модуляции и значимыми моментами времени модулированного сигнала.
Пример - Модуляция, при которой значимые моменты модулированного сигнала совпадают с переходами несущей через ноль.
702-06-46 сдвиг частоты (при манипуляции) [frequency shift (in keying)]: Разность между частотами, соответствующими двум элементам модулированного сигнала, в установившихся условиях при угловой модуляции посредством сигнала дискретного во времени.
702-06-47 частотная манипуляция (frequency shift keying; FSK; frequency shift modulation frequency shift signalling): Угловая модуляция, при которой каждое значащее положение модулирующего сигнала дискретного во времени представлено одним значением из определенного ряда дискретных значений частоты модулированного сигнала.
702-06-48 n-позиционная частотная манипуляция [n-condition frequency shift keying; n-FSK (abbreviation)]: Частотная манипуляция, при которой частотный сдвиг принимает n различных значений, которые обычно равномерно расположены.
702-06-49 минимально-фазовая частотная манипуляция [minimum (phase frequency); shift keying MSK (abbreviation)]: Вид двухпозиционной частотной манипуляции без разрыва фазы, с индексом модуляции, равным 0,5.
702-06-50 индекс модуляции (при угловой модуляции) [modulation index (in angle modulation)]: Пиковая девиация фазы в радианах.
Примечание - При модуляции синусоидальным сигналом индекс модуляции равен отношению пиковой девиации частоты к частоте синусоидального модулирующего сигнала.
702-06-51 модуляция импульсами [modulation by pulses; pulse modulation (deprecated in this sense)]: Модуляция, при которой модулирующий сигнал представляет собой последовательность импульсов.
702-06-52 импульсная несущая (pulsed carrier): Периодическая последовательность одинаковых импульсов, предназначенных для модуляции.
702-06-53 импульсная модуляция (modulation of pulses; pulsed carrier modulation): Модуляция, при которой одна или несколько характерных величин импульсной несущей изменяются в соответствии с модулирующим сигналом.
702-06-54 амплитудно-импульсная модуляция; АИМ [pulse amplitude modulation; PAM (abbreviation)]: Импульсная модуляция, при которой амплитуда импульса изменяется в соответствии с данной функцией, обычно линейной, значений модулирующего сигнала.
702-06-55 импульсно-временная модуляция [pulse time modulation; PTM (abbreviation)]: Импульсная модуляция, при которой зависящая от времени характеристика импульсной несущей изменяется в соответствии с заданной функцией значений модулирующего сигнала.
Пример - Фазоимпульсная модуляция; модуляции импульса по длительности; частотно-импульсная модуляция.
702-06-56 фазоимпульсная модуляция [pulse position modulation; PPM (abbreviation)]: Импульсно-временная модуляция, при которой положение импульсов во времени изменяется от их начального положения в соответствии с заданной функцией значений модулирующего сигнала.
702-06-57 модуляция импульса по длительности; широтно-импульсная модуляция [pulse duration modulation; PDM (abbreviation) pulse width modulation (deprecated)]: Импульсно-временная модуляция, при которой длительность импульса изменяется в соответствии с заданной функцией значений, модулирующего сигнала.
702-06-58 частотно-импульсная модуляция; ЧИМ [pulse frequency modulation; PFM (abbreviation); pulse repetition rate modulation]: Импульсно-временная модуляция, при которой частота повторения импульсов изменяется в соответствии с данной функцией значений модулирующего сигнала.
702-06-59 импульсно-кодовая модуляция; ИКМ [pulse code modulation; PCM (abbreviation)]: Процесс, при котором сигнал дискретизируется и каждый его отсчет квантуется независимо от других значений, а результирующая последовательность квантованных значений преобразуется путем кодирования в цифровой сигнал.
702-06-60 дифференциальная импульсно-кодовая модуляция; ДИКМ (differential pulse code modulation; DPCM): Процесс, при котором сигнал дискретизируется и разность между каждым отсчетом и его предсказанным значением, полученным из последовательности предыдущих отсчетов или квантованных значений, квантуется, и результирующая последовательность квантованных значений преобразуется путем кодирования в цифровой сигнал.
Примечание - Дифференциальная импульсная кодовая модуляция является примером дифференциального кодирования.
702-06-61 дельта-модуляция [(delta modulation; (abbreviation); DM (abbreviation)]: Вид дифференциальной импульсно-кодовой модуляции, при которой только знак разности между каждым дискретным значением сигнала и его предсказанным значением сохраняется и кодируется одной двоичной цифрой.
702-06-62 чередование импульсов (pulse interlacing; pulse interleaving): Процесс объединения импульсных сигналов с временным разделением, при котором импульсы или группы импульсов от нескольких источников передаются последовательно и периодически в общем канале передачи.
702-06-63 квадратурная (амплитудная) модуляция [quadrature (amplitude) modulation; QAM (abbreviation)]: Амплитудная модуляция двумя отдельными сигналами при двух синусоидальных несущих, имеющих одинаковые амплитуды и частоты, но находящихся в квадратуре по фазе, причем эти модулированные сигналы складываются и передаются в одном канале.
702-06-64 частотное преобразование (frequency translation; frequency changing; frequency conversion): Перенос всех спектральных составляющих сигнала из одной части спектра частот в другую таким образом, что сохраняется разность частот для каждой пары составляющих, а также их относительная амплитуда и фаза.
Примечание - Частотное преобразование может сопровождаться частотной инверсией.
702-06-65 частотная инверсия (frequency inversion): Изменение знака разности частот между любой парой спектральных составляющих сигнала; в результирующем сигнале частотные составляющие с более высокими частотами представляют частотные составляющие исходного сигнала с самыми низкими частотами и наоборот - исходные составляющие с более высокими частотами представлены результирующими компонентами с более низкими частотами.
702-06-66 детектирование (detection): Действие по обнаружению наличия колебаний, сигналов или волн, или их изменений обычно для выделения передаваемой информации.
702-06-67 демодуляция (demodulation): Процесс восстановления исходного модулирующего сигнала из модулированного сигнала.
702-06-68 выделение несущей (carrier recovery): Процесс извлечения исходной несущей из модулированного сигнала.
702-06-69 амплитудная демодуляция (amplitude demodulation): Демодуляция модулированного сигнала, полученного в результате амплитудной модуляции.
702-06-70 линейная демодуляция [linear demodulation; envelope demodulation; linear detection (deprecated)]: Амплитудная демодуляция, которая создает выходной сигнал пропорциональный мгновенному значению огибающей модулированного сигнала.
702-06-71 когерентная демодуляция (coherent demodulation; synchronous demodulation): Амплитудная демодуляция, выполняемая посредством сочетания модулированного сигнала и синусоидального колебания с частотой и фазой несущей составляющей.
702-06-72 квадратурное детектирование (square law detection): Нелинейная операция, выполняемая посредством устройства с характеристикой, при которой выходной сигнал приблизительно пропорционален квадрату мгновенного значения огибающей входного колебания.
702-06-73 частотная демодуляция (frequency demodulation): Демодуляция, предназначенная для модулированного сигнала, полученного в результате частотной модуляции.
702-06-74 фазовая демодуляция (phase demodulation): Демодуляция сигнала, предназначенная для модулированного сигнала, полученного в результате фазовой модуляции.
Раздел 702-07 Характеристики и качество передачи. Искажения
702-07-01 бел (B) (bel): Единица, выражающая десятичный логарифм отношения двух мощностей.
Примечания
1 Бел может также использоваться для выражения отношения двух величин поля. Для получения такой же числовой величины, как и для соответствующего отношения мощностей, логарифм отношения величины поля умножается на коэффициент 2, предполагая, что импедансы равны.
2 Эта единица используется не часто, обычно используется децибел.
702-07-02 децибел (dB) (decibel): Единица, используемая для выражения логарифмов отношения двух мощностей.
Примечания
1 Децибел может также использоваться для выражения отношения двух величин поля. Для получения такого же числового значения, как и для соответствующего отношения мощностей, логарифм отношения величин поля умножается на коэффициент 20, предполагая, что импедансы равны. Если P1, и P2 - значения двух мощностей, то их отношение в децибелах равно:
.
Зависимость между отношением величин поля и соответствующим отношением мощностей не зависит от импедансов. Если P1 и P2 представляют собой мощности, создаваемые токами I1 и I2 в сопротивлениях R1 и R2, то:
.
2 Руководство по использованию децибел и соответствующих обозначений для представления отношений различных величин, дано в Рекомендации 574 МККР, в Рекомендации В.12 МККТТ и в Публикации МЭК 27-3.
702-07-03 непер (Np) (neper): Единица, используемая для выражения натурального логарифма, отношения двух величин поля.
Примечания
1 Отношение мощностей в неперах равно половине натурального логарифма отношения мощностей. Значение в неперах отношения двух величин поля и двух соответствующих мощностей равны только в том случае, если равны импедансы.
2 Используется также единица децинепер с обозначением dNp.
3 Один непер равен 8,686 децибел.
4 В некоторых областях непер может быть использован для выражения логарифма отношением мощностей без коэффициента 1/2. Примером может служить ослабление, обозначаемое так же, как "оптическая глубина" в радиометрии. Такое использование в электросвязи не рекомендуется, чтобы избежать двусмысленности. В этом случае один непер был бы равен 4,343 дБ.
702-07-04 абсолютный уровень мощности (absolute power level): Отношение мощности сигнала или шума в точке канала передачи к определенной стандартной мощности; это отношение обычно выражается в децибелах и представляется в краткой форме, например, как дБм для стандартной мощности в один милливатт.
702-07-05 относительный уровень мощности (relative power level): Отношение, обычно выражаемое в децибелах, мощности сигнала или шума в точке канала передачи, к соответствующей мощности в выбранной точке отсчета, обычно в начале канала.
702-07-06 абсолютный уровень напряжения (absolute voltage level): Отношение, обычно выражаемое в децибелах, среднеквадратичного значения напряжения сигнала в точке канала передачи к определенному стандартному среднеквадратичному значению напряжения.
702-07-07 потери передачи (transmission loss): Затухание сигнала между двумя концами линии.
Примечание - Более точные определения, применимые к определенным случаям, даны в главах 705 и 731.
702-07-08 вносимые потери (четырехполюсника) [insertion loss (of a two-port device)]: Обычно выражаемое в децибелах отношение кажущейся мощности в точке канала передачи к мощности в этой точке, после внесения в него данного четырехполюсника непосредственно перед этой точкой.
Примечание - Если отношение, определяющее вносимые потери, меньше единицы, его значение в децибелах будет отрицательно, и в этом случае может быть использована его обратная величина в децибелах, которая носит название "вносимое усиление".
702-07-09 вносимое усиление (четырехполюсника) [insertion gain (of a two-port device)]: Обычно выражаемое в децибелах отношение кажущейся мощности в точке канала передачи после включения в него данного четырехполюсника непосредственно перед этой точкой к мощности в этой точке до включения этого четырехполюсника.
Примечание - Если отношение, определяющее вносимое усиление, меньше единицы, его значение в децибелах будет отрицательно, и в этом случае может быть использована его обратная величина, которая носит название "вносимые потери".
702-07-10 мощность в согласованной нагрузке (available power): Максимальная активная мощность, которая теоретически может быть отдана на данной частоте источником, имеющим импеданс, равный положительной действительной части, непосредственно соединенным с нагрузкой, когда импеданс этой нагрузки изменяется в широких пределах.
Примечания
1 Мощность в согласованной нагрузке получают в том случае, когда активные сопротивления источника и нагрузки равны между собой, а их реактивные сопротивления одинаковы по величине, но противоположны по знаку.
2 В некоторых случаях такие условия, как перегрев или перенапряжение, могут ограничить эту мощность.
702-07-11 передаваемая мощность (exchangeable power): Экстремальное значение активной мощности, которая может быть отдана на данной частоте источником, непосредственно соединенным с нагрузкой, когда комплексный коэффициент отражения на границе раздела изменяется в широких пределах.
Примечания
1 Экстремальное значение мощности получается при согласовании нагрузки с источником.
2 По условию обменная мощность принимает знак действительной части импеданса источника. Если действительная часть положительна, то экстремальное значение максимально и обменная мощность равна мощности при согласованной нагрузке.
702-07-12 усиление мощности при согласованной нагрузки (четырехполюсника) [available power gain (of a two-port device)]: Отношение мощности при согласованной нагрузке, получаемой от источника, соединенного последовательно с четырехполюсником к мощности при согласованной нагрузке самого источника.
702-07-13 усиление передаваемой мощности (четырехполюсника) [exchangeable power gain (of a two-port device)]: Отношение переданной мощности источника, соединенного последовательно с данным четырехполюсником, к передаваемой мощности самого источника.
702-07-14 согласование (между нагрузкой и источником) [matching (between a load and a source)]:
1 Если нагрузка присоединена к данному источнику непосредственно, создаются условия, при которых может быть получена или обменная мощность, или мощность при согласованной нагрузке от источника, или максимальный ток, или напряжение в нагрузке, или минимальный коэффициент отражения на границе раздела между источником и нагрузкой.
2 Действие, посредством которого при данных источнике и нагрузке получаются максимальные мощность, ток или напряжение в нагрузке, или минимальная мощность, отражаемая источником или в результате включения четырехполюсника с соответствующими характеристиками между источником и нагрузкой, или при изменении характеристик нагрузки или источника.
Примечание - Во французском языке используются термины "adaptation en courant", "adaptation en puissance", "adaptation en ", "adaptation en tension".
702-07-15 потери отражения (reflection loss): Обычно выражаемое в децибелах отношение кажущейся мощности, которую определенный источник может передать в нагрузку с нулевым коэффициентом отражения на границе раздела с этим источником, к кажущейся мощности, передаваемой тем же источником в определенную, непосредственно к нему присоединенную нагрузку.
702-07-16 потери преобразования (четырехполюсника) [transducer loss (of a two-port device)]: Обычно выражаемое в децибелах отношение мощности при согласованной нагрузке от определенного источника к активной мощности, поступающей в нагрузку с данным импедансом, после включения данного четырехполюсника между источником и нагрузкой.
Примечание - Если отношение, определяющее потери преобразования, меньше единицы, то его значение в децибелах отрицательно и может использоваться его обратная величина в децибелах, которая называется "усиление преобразования".
702-07-17 усиление преобразования (четырехполюсного устройства) [transducer gain (of a two-port device)]: Обычно выражаемое в децибелах отношение активной мощности, подаваемой в определенную нагрузку, после включения данного четырехполюсника между источником и нагрузкой, к мощности при согласованной нагрузке.
Примечание - Если отношение, определяющее усиление преобразования, меньше единицы, то его значение в децибелах отрицательно, и может использоваться его обратная величина в децибелах, которая называется "потери преобразования".
702-07-18 составные потери (четырехполюсника) [composite loss (of a two-port device)]: Обычно выражаемое в децибелах отношение кажущейся мощности, которую определенный источник может передать в нагрузку с нулевым коэффициентом отражения от ее границы раздела с источником, к кажущейся мощности, подаваемой в определенную нагрузку после внесения данного четырехполюсника между источником и нагрузкой.
Примечание - Если отношение, определяющее составные потери меньше единицы, то его значение в децибелах отрицательно, и может использоваться его обратная величина в децибелах, называемая "составным усилением".
702-07-19 составное усиление (четырехполюсника) [composite gain (of a two-port device)]: Обычно выражаемое в децибелах, отношение кажущейся мощности, подаваемой в нагрузку после включения данного электрического четырехполюсника между источником и нагрузкой, к кажущейся мощности, которую тот же источник мог бы отдать в нагрузку с нулевым коэффициентом отражения на ее границе раздела с источником.
Примечание - Если отношение, определяющее составное усиление, меньше единицы, то его значение в децибелах отрицательно, и может быть использована его обратная величина в децибелах, которая называется "составные потери".
702-07-20 падающий ток (incident current): Ток, который движется в направлении неоднородности или входа линии передачи.
702-07-21 падающая волна (incident wave): Волна, которая движется в направлении поверхности, разделяющей две среды или неоднородности в линии передачи, или ко входу электрической цепи.
702-07-22 отраженный ток (reflected current): Ток, обусловленный влиянием неоднородности в линии передачи на падающий ток и движущийся в обратном направлении.
702-07-23 отраженная волна (reflected wave):
1 Волна, возникающая при попадании волны на поверхность раздела и распространяющаяся от поверхности в той же среде, что и падающая волна.
2 Волна, связанная с падающей волной на входе электрической цепи или на неоднородности и распространяющаяся от этой точки в направлении противоположном направлению падающей волны.
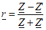
702-07-24 (комплексный) коэффициент отражения [(complex) reflection factor; (complex) reflection coefficient]: Комплексное отношение синусоидальной величины поля, такой как отраженный ток или составляющая отраженной волны, к соответствующей величине поля падающего тока или падающей волны, в точке, находящейся вблизи поверхности раздела двух сред распространения или вблизи входа электрической цепи, или неоднородности в линии передачи.
Примечания
1 Когда величина поля является составляющей плоской электромагнитной волны, коэффициент отражения для составляющей электрического поля и соответствующей составляющей магнитного поля имеют противоположные знаки.
2 Когда величина поля относится ко входу электрического четырехполюсника или к неоднородности в линии передачи, коэффициент отражения напряжения может быть определен со знаком, противоположным знаку коэффициента отражения тока.
3 Когда может быть определен импеданс, комплексный коэффициент отражения равен:
,
где характеристический импеданс линии перед неоднородностью или импеданс источника и импеданс за неоднородностью или импеданс нагрузки, наблюдаемый от места перехода между источником и нагрузкой.
4 В случае волноводов, коэффициент отражения зависит от рассматриваемой электромагнитной моды.
702-07-25 обратные потери (return loss): Модуль обратной величины коэффициента отражения, обычно выражается в децибелах.
Примечание - Если импеданс может быть определен, то обратные потери выражаются формулой:
,
где - характеристический импеданс линии перед неоднородностью или импеданс источника и - импеданс за неоднородностью или импеданс нагрузки, наблюдаемый от места перехода между источником и нагрузкой.
702-07-26 переходная характеристика (unit pulse response; unit impulse; response weighting function): Временная характеристика четырехполюсника, получаемая при подаче на его вход единичного импульса, представленного дельта-функцией Дирака.
Примечания
1 Дельта-функция, представляющая единичный импульс, может рассматриваться, как предел функции, значение которой равно нулю, за исключением небольшого интервала времени около ее начала, в котором она положительна, и интеграл которой постоянно равен единице, когда ширина этого интервала стремится к нулю.
2 Единичный импульс может рассматриваться как производная по времени единичной ступени.
3 Переходная характеристика может рассматриваться как производная по времени одноступенчатой характеристики линейного и не изменяющегося со временем четырехполюсника.
702-07-27 функция передачи (1) [transfer function (1)]: Отношение комплексной величины, характеризующей изменяющийся во времени сигнал, как функцию частоты на выходе линейного и не изменяющегося во времени, четырехполюсника, к комплексной величине, характеризующей соответствующий входной сигнал, причем обе эти величины определяются одним и тем же способом.
702-07-28 функция передачи (2) [transfer function (2) transmittance response function]: Функция, равная отношению преобразований Лапласа соответствующих входного и выходного сигналов линейного и не изменяющегося со временем четырехполюсника.
Примечание - Передаточная функция четырехполюсника является преобразованием Лапласа его переходной характеристики.
702-07-29 частотная характеристика (frequency response; frequency response characteristic): Функция, равная отношению преобразований Фурье соответствующих сигналов на выходе и входе линейного и не изменяющегося со временем четырехполюсника.
Примечание - Частотная характеристика четырехполюсника равна отношению преобразований Лапласа выходного и входного сигналов для чисто мнимых значений комплексной частоты, являющейся переменной преобразования Лапласа. В этом случае, оно является преобразованием Фурье переходной характеристики четырехполюсника.
702-07-30 импеданс передачи (transfer impedance): Функция передачи, в которой выходной величиной является напряжение, а входной величиной - ток.
702-07-31 адмиттанс передачи (transfer admittance): Функция передачи, в которой выходной величиной является ток, а входной величиной - напряжение.
702-07-32 иммитанс передачи (transfer immittance): Иммитанс передачи или адмиттанс передачи.
702-07-33 коэффициент передачи (transfer ratio): Функция передачи, в которой оба сигнала имеют одинаковую размерность.
Примечание - Существуют такие понятия, как коэффициент передачи по напряжению и коэффициент передачи по току.
702-07-34 амплитудно-амплитудная характеристика (amplitude/amplitude characteristic): Амплитуда основной составляющей выходного сигнала четырехполюсного устройства, которая соответствует синусоидальному входному сигналу определенной частоты, как функция амплитуды этого входного сигнала.
Примечание - Частота этой основной составляющей выходного сигнала может отличаться от частоты входного сигнала.
702-07-35 амплитудно-частотная характеристика (amplitude/frequency characteristic): Амплитуда основной составляющей выходного сигнала четырехполюсного устройства как функция частоты входного синусоидального сигнала с определенной амплитудой.
Примечания
1 В случае линейного и не изменяющегося во времени, четырехполюсного устройства амплитудно-частотная характеристика представляется модулем частотной характеристики.
2 Частота основной составляющей выходного сигнала может отличаться от частоты входного сигнала.
702-07-36 фазочастотная характеристика (phase/frequency characteristic): Разность фаз как функция частоты между основной составляющей выходного сигнала четырехполюсника и соответствующего входного синусоидального сигнала с определенной амплитудой.
Примечание - В случае линейного и не изменяющегося во времени, электрического четырехполюсника фазочастотная характеристика представляется аргументом частотной характеристики.
702-07-37 частотная характеристика группового времени запаздывания (delay/frequency characteristic): Групповое время запаздывания между входом и выходом линейного и не изменяющегося во времени четырехполюсника как функция частоты.
702-07-38 качество передачи (transmission performance): Способность системы электросвязи или канала передачи воспроизводить сигнал в данных условиях.
702-07-39 вероятность ошибки [error ratio; error rate (устаревший)]: Отношение числа ошибочно принятых элементов сообщения к общему числу элементов, переданных в течение данного периода времени.
Пример - вероятность ошибки по битам, вероятность ошибки по цифрам, вероятность ошибки по блокам.
Примечание - Элементами могут быть, например, цифры, кодовые слова или блоки.
702-07-40 контроль ошибок; защита от ошибок (error control; error protection): Метод, используемый для уменьшения количества ошибок при записи, обработке или передаче информации.
Примечание - Контроль ошибок может заключаться в обнаружении ошибок, исправлении ошибок и маскировании ошибок по отдельности или в их комбинации.
702-07-41 обнаружение ошибки (error detection): Контроль ошибок с целью определения наличия ошибочных элементов в принимаемом сообщении.
Примечание - При обнаружении ошибок обычно используется соответствующий код обнаружения ошибок.
702-07-42 коррекция ошибки (error correction): Контроль ошибок с целью исправления некоторых элементов сообщения, признанные ошибочными.
Примечание - Для исправления ошибок используется либо корректирующий код, либо код обнаружения ошибок, либо, в последних двух случаях, проверка цикла с автоматическим повторением сигналов, признанных ошибочными.
702-07-43 искажение (сигнала) [distortion (of a signal)]: Непреднамеренное и обычно нежелательное изменение формы сигнала.
702-07-44 линейный (linear): Относится к рабочей характеристике, устройству, к электрической цепи или к среде передачи, удовлетворяющих принципу суперпозиции, в соответствии с которым в определенном рабочем диапазоне:
- сигнал, получаемый на определенном выходе из произвольного сигнала на данном входе при увеличении входного сигнала умножением на некоторый числовой коэффициент, также увеличивается в соответствии с этим коэффициентом,
- общий сигнал, получаемый на определенном выходе в результате одновременного действия нескольких произвольных входных сигналов или раздельно на данных независимых входах, или совместно на одном данном входе, является суммой отдельных выходных сигналов, которые создавались бы в результате независимого действия этих сигналов на тех же входах.
Примечание - Устройство с несколькими входами может быть линейным только для определенной группы входов.
702-07-45 линейные искажения (linear distortion): Искажения, которые создаются линейным четырехполюсником или линейной средой передачи, когда в полезной полосе частот амплитудно-частотная характеристика непостоянна или фазочастотная не представляется прямой линией, которая пересекает ось фаз при значении фазы, равном нулю или кратном радиан.
702-07-46 выравнивание (в аналоговой передаче) [equalization (in analogue transmission)]: Процесс компенсации отклонения функции передачи канала передачи или четырехполюсника от его идеальной формы с целью снижения линейных искажений передаваемого сигнала.
702-07-47 выравнивание (в цифровой передаче) [equalization (in digital transmission)]: Действие по снижению межзнаковой помехи, обусловленной искажением цифрового сигнала в канале передачи.
702-07-48 предвыравнивание (pre-equalization): Преднамеренное изменение сигнала, осуществляемое в канале передачи, для компенсации искажений, возникающих после этой точки.
702-07-49 амплитудно-частотные искажения (amplitude/frequency distortion; attenuation/frequency distortion): Вид линейных искажений, встречающихся при отклонении амплитудно-частотной характеристики канала передачи или четырехполюсника от идеальной формы в полезной полосе частот.
Примечания
1 Идеальной формой амплитудно-частотной характеристики является прямая линия с постоянной ординатой.
2 В некоторых областях, таких как линия передачи, предпочтительными терминами являются: "distorsion d'affaiblissement" во французском языке и "attenuation/frequency distortion" в английском языке.
702-07-50 выравнивание затухания (attenuation equalization): Действие, направленное на компенсацию амплитудно-частотных искажений в полезной полосе частот.
702-07-51 фазочастотные искажения (phase/frequency distortion): Вид линейных искажений, которые встречаются при отклонении фазочастотных характеристик линии передачи или четырехполюсника от идеальной формы в полезной полосе частот.
Примечания
1 Идеальной формой фазочастотной характеристики является прямая линия, которая пересекает ось фаз при значении фазы, равном нулю или целом кратном радиан.
2 Фазочастотное искажение отличается от частотного искажения, обусловленного групповым временем запаздывания добавлением постоянного фазового угла ко всем значительным спектральным составляющим сигнала. Если значение фазы при нулевой частоте является целым кратным радиан, это добавление не изменяет сигнал, а изменяет его знак.
702-07-52 выравнивание фазы (phase equalization): Действие, направленное на компенсацию фазочастотных искажений, в полезной полосе частот.
702-07-53 частотные искажения, обусловленные групповым временем запаздывания (group delay/frequency distortion; envelope delay distortion): Вид линейных искажений, которые встречаются при изменениях группового времени запаздывания в полезной полосе частот.
Примечание - Частотные искажения, обусловленные групповым временем запаздывания, представляют собой фазочастотные искажения, характеризующиеся тем, что фазочастотная характеристика не является прямой линией для частот значительных спектральных составляющих сигнала.
702-07-54 выравнивание группового времени запаздывания (group delay equalization): Действие, направленное на компенсацию частотных искажений, обусловленных групповым временем запаздывания, в полезной полосе частот.
702-07-55 нелинейный (non-linear): Термин, относящийся к рабочей характеристике, устройству электрической цели или к среде передачи, для которых:
- сигнал, получаемый на определенном выходе из произвольного сигнала, поступающего на данный выход, при увеличении последнего умножением на некоторый числовой коэффициент не увеличивается в соответствии с этим коэффициентом во всем определенном рабочем диапазоне;
- общий сигнал, получаемый на определенном выходе в результате одновременной подачи нескольких произвольных входных сигналов или раздельно на данные независимые входы, или совместно на один данный вход, не равен на всем протяжении определенного рабочего диапазона сумме отдельных выходных сигналов, которые создавались бы при раздельном действии этих сигналов на тех же входах.
Примечания
1 Устройство, нелинейное в определенном рабочем диапазоне, может проявлять линейные свойства для сигналов в ограниченном рабочем диапазоне.
2 Устройство с несколькими входами может быть нелинейным для некоторой группы входов и линейным для других групп входов.
702-07-56 нелинейное искажение (non-linearity distortion; non-linear distortion): Искажение сигнала, происходящее между входом и выходом линии передачи или четырехполюсника.
702-07-57 амплитудное искажение (amplitude/amplitude distortion; amplitude distortion): Вид нелинейного искажения, характеризующийся нежелательным изменением отношения амплитуды основной составляющей выходного колебания к амплитуде соответствующего синусоидального входного колебания, как функция входной амплитуды.
702-07-58 фазоамплитудное искажение (phase/amplitude distortion): Вид нелинейного искажения, характеризующийся нежелательным изменением разности фаз между основной составляющей выходного колебания и соответствующим синусоидальным входным колебанием, как функции входной амплитуды.
702-07-59 разностное фазовое искажение (differential phase distortion): Вид нелинейного искажения сигнала, включающего синусоидальное колебание малой амплитуды, совмещенное с составляющей постоянного тока, характеризуемый нежелательным изменением разности фаз между синусоидальным входным колебанием и основной составляющей соответствующего выходного колебания, как функции величины составляющей постоянного тока на входе.
702-07-60 дифференциальное амплитудное искажение (differential amplitude distortion differential gain distortion): Вид нелинейного искажения сигнала, включающего синусоидальное колебание с малой амплитудой, совмещенное с составляющей постоянного тока, характеризуемый нежелательным изменением отношения амплитуды основной составляющей выходного колебания к амплитуде входного колебания, как функции величины составляющей постоянного тока.
702-07-61 гармоническое искажение (harmonic distortion): Вид нелинейного искажения, характеризуемый появлением нежелательных выходных составляющих, с частотами, кратными частоте синусоидального входного сигнала.
702-07-62 общее гармоническое искажение (total harmonic distortion): Общий коэффициент гармоник на выходе канала передачи или четырехполюсника, создающих гармонические искажения, когда входной сигнал является синусоидальным колебанием с определенной частотой и амплитудой.
702-07-63 нелинейная коррекция (non-linearity correction): Действие, направленное на снижение нелинейных искажений, создаваемых четырехполюсником или каналов передачи.
702-07-64 интермодуляция (intermodulation)
См. IEV 161-06-20.
702-07-65 составляющая интермодуляции (intermodulation product; intermodulation component): Каждая спектральная составляющая, создаваемая в результате интермодуляции.
702-07-66 комбинационная частота (combination frequency; combination tone): Частота составляющей интермодуляции.
Примечание - Комбинационные частоты определяются по формуле: f = pf1 - qf2 + ...., где p, q... положительные и отрицательные целые числа или нуль, f1, f2... частоты спектральных составляющих входного сигнала или сигналов.
702-07-67 порядок комбинационной частоты (intermodulation product order): Сумма |p| + |q +... абсолютных значений целых коэффициентов p, q... в формуле: f = pf1, + qf2 + ..., определяющей комбинационную частоту составляющей интермодуляции по частотам f1, f2... спектральных составляющих на входе нелинейного устройства или среды передачи.
702-07-68 интермодуляционные искажения (intermodulation distortion): Вид нелинейных искажений, характеризующийся присутствием составляющих интермодуляции в сигнале, на выходе нелинейного устройства или среды передачи.
Примечание - Интермодуляционные искажения могут быть выражены количественно, как отношение амплитуд составляющих интермодуляции различных порядков к амплитуде двух или нескольких синусоидальных входных колебаний определенной амплитуды и частоты.
702-07-69 искажение квантования; шум квантования (quantizing distortion; quantizing noise): Искажение сигнала в процессе квантования отсчетов исходного сигнала.
Примечания
1 Термины "искажение квантования" и "шум квантования" обычно ограничиваются эффектом, возникающим в пределах рабочего диапазона квантователя.
2 Термин "шум квантования" может быть использован, когда квантованный сигнал передает информацию с наложенным случайным шумом.
702-07-70 обратная связь (feedback): Возвращение части сигнала с выхода ко входу четырехполюсника или от одной точки тракта передачи к предшествующей ей точке вдоль этого тракта.
702-07-71 положительная обратная связь (positive feedback): Обратная связь, при которой обратный сигнал увеличивает выходной сигнал.
702-07-72 отрицательная обратная связь (negative feedback): Обратная связь, при которой обратный сигнал уменьшает выходной сигнал.
702-07-73 прямая связь (feedforward): Передача части сигнала со входа к выходу четырехполюсника или от одной точки тракта передачи к последующей точке вдоль этого тракта.
702-07-74 дрожание (jitter): Внезапное, небольшое и нерегулярное отклонение от идеального значения характеристики сигнала, такой как фаза, длительность импульса или его величина.
Примечания
1 Более точное определение дрожания в цифровой передаче дано в IEV 704-16-13.
2 В английском языке термин "jitter" имеет разные значения в области телевидения (см. IEV 723-06-09) и видеотехники (см. IEV 806-17-23).
3 Во французском языке термин "gigue" в телевидении имеет другое значение (см. IEV 723-06-11).
702-07-75 временное искажение (time distortion): Нежелательный эффект в сигнале дискретного времени, когда значимые моменты не совпадают с соответствующими идеальными моментами.
702-07-76 расширение переднего фронта (leading-edge broadening; rise-time broadening): Нежелательное возрастание времени нарастания импульса или элемента сигнала относительно максимально допустимой длительности.
702-07-77 расширение заднего фронта (trailing-edge broadening; decay-time broadening): Нежелательное возрастание времени спада импульса или элемента сигнала относительно максимально допустимой длительности.
702-07-78 переходной (определение или объект) [transient (adjective and noun)]
Как определение см. IEV 103-05-02, как объект см. IEV 702-07-781.
702-07-79 переходный (как объект) (transient, noun): Явление или количественная величина, которые изменяются между двумя последовательными установившимися состояниями в течение короткого временного интервала по сравнению с рассматриваемой шкалой времени.
702-07-80 выброс (overshoot; transient overshoot): Переходное явление, обусловленное внезапным изменением сигнала на входе четырехполюсника, и характеризующееся временным превышением стационарного значения выходного сигнала, которое обычно достигается после затухания колебания около этого постоянного значения.
Примечание - Выброс может влиять на ступенчатые переходы, такие как передний или задний фронт импульса.
Раздел 702-08 Шум и помехи
702-08-01 полезный сигнал (wanted signal; desired signal): Сигнал, несущий информацию, предназначенную для одного или нескольких приемников.
702-08-02 нежелательный сигнал (unwanted signal; undesired signal): Сигнал, который может ухудшить прием полезного сигнала.
702-08-03 шум (в электросвязи) [noise (in telecommunication)]: Любое переменное физическое явление, которое предположительно не несет информации и может быть наложено на полезный сигнал или с ним объединено.
Примечания
1 В некоторых случаях шум может передавать информацию о некоторых характеристиках источника, например, о его природе и расположении шума.
2 Совокупность сигналов может выглядеть как шум, когда они раздельно неразличимы.
702-08-04 электромагнитное возмущение (electromagnetic disturbance)
См. IEV 161-01-05.
702-08-05 радиочастотный шум (radio noise; radio-frequency noise; RF noise)
См. IEV 161-01-12.
702-08-06 радиочастотное возмущение (radio-frequency disturbance; radio disturbance; RF disturbance)
См. IEV 161-01-13.
702-08-07 импульсный шум (impulsive noise)
См. IEV 161-02-08.
702-08-08 периодический шум [recurrent (impulsive) noise; recurrent disturbance]: Шум, создаваемый импульсами или нестационарными процессами, которые повторяются через равные или почти равные интервалы времени.
702-08-09 непрерывный шум (continuous noise): Шум, воздействие которого на конкретное оборудование не может быть представлено, как последовательность отдельных воздействий.
702-08-10 квазиимпульсный шум (quasi-impulsive noise)
См. IEV 161-02-12.
702-08-11 естественный шум (natural noise)
См. IEV 161-01-17.
702-08-12 индустриальный шум (man-made noise)
См. IEV 161-01-18.
702-08-13 внутренний шум (intrinsic noise intra-system noise): Шум, на выходе определенного оборудования или системы, создаваемый внутри этого оборудования или системы.
702-08-14 внешний шум (external noise): Шум, на выходе определенного оборудования или системы, создаваемый вне оборудования или системы.
702-08-15 фоновый шум; шипение (background noise; hiss): Шум, возникающий на выходе данного оборудования при наличии полезного сигнала.
Примечание - Термин "шипение" используется, в частности, в случае слышимого непрерывного шума.
702-08-16 собственный шум (basic noise): Шум, возникающий на выходе канала передачи или оборудования при отсутствии полезного сигнала и сопутствующий фоновому шуму при наличии сигнала.
702-08-17 щелчок (в электросвязи) [click (in telecommunications)]: Шум очень короткой длительности.
702-08-18 жужжание (в электросвязи) [buzz (in telecommunications)]: Шум, возникающий как более или менее регулярная и быстрая последовательность щелчков.
702-08-19 потрескивание (в электросвязи) [crackle (in telecommunications)]: Шум, проявляющийся как прерывистая последовательность щелчков.
702-08-20 фон переменного тока [hum (in telecommunications); supply noise]: Шум, на низкой частоте, обусловленный обычно непосредственно или косвенно системой электропитания.
702-08-21 телеграфный шум; щелчки манипуляции (telegraph noise; key clicks): Шум, создаваемый телеграфной аппаратурой или линиями.
702-08-22 коммутационный шум (switching noise): Шум, создаваемый коммутациями.
702-08-23 микрофонный эффект (microphonics; microphony): Шум, возникающий в результате механического удара или вибрации.
702-08-24 паразитное колебание (parasitic oscillation)
См. IEV 161-06-08.
702-08-25 зуммирование (singing): Нежелательное незатухающее колебание, обусловленное чрезмерной положительной обратной связью.
702-08-26 точка зуммирования (singing point): Пороговая точка рабочих характеристик оборудования или канала передачи, в которой небольшое изменение положительной обратной связи может вызвать зуммирование.
702-08-27 свист (в электросвязи) [birdies (in telecommunications); whistling]: Слышимый шум, создаваемый в оборудовании или канале передачи паразитными колебаниями или фазовой интерференцией между внутренними колебаниями полезного сигнала и мешающих сигналов.
702-08-28 интермодуляционный шум (intermodulation noise): Шум, обусловленный наличием составляющих интермодуляции.
702-08-29 электромагнитная помеха (electromagnetic interference; EMI)
См. IEV 161-01-06.
702-08-30 мешающий сигнал (interfering signal)
См. IEV 161-01-04.
702-08-31 помеха (полезному сигналу) [interference (to a wanted signal)]: Воздействие мешающего сигнала, шума или электромагнитного возмущения, ухудшающее прием полезного сигнала.
702-08-32 интерференция (phase interference wave interference)
См. IEV 103-10-27.
702-08-33 межзнаковая помеха (intersymbol interference): Воздействие, вызванное переполнением в элементе сигнала, представляющем полезную цифру элементов сигнала, представляющих предшествующие или последующие цифры.
702-08-34 межканальная помеха (interchannel interference): Помеха, создаваемая в данном канале передачи сигналами в одном или нескольких других каналах.
Примеры межканальной помехи: "переходной разговор" в телефонии; "цветность-яркость" - в телевидении.
702-08-35 перекрестная модуляция (crossmodulation)
См. IEV 161-06-19.
702-08-36 помеха боковой полосы (sideband interference): Помеха, создаваемая в боковой полосе модулированного сигнала, занимающая близкую полосу частот канала передачи.
702-08-37 эхо (в электросвязи) [echo (in telecommunication)]: Сигнал, поступающий в данную точку путем, отличным от нормального пути, с достаточной амплитудой и с запаздыванием, чтобы он отчетливо воспринимался в этой точке, как отличный от сигнала, проходящего по нормальному пути.
702-08-38 случайный шум (random noise)
См. IEV 161-02-14.
702-08-39 белый шум (white noise; flat random noise): Случайный шум с непрерывным спектром и постоянной спектральной плотностью мощности в рассматриваемой полосе частот.
702-08-40 окрашенный шум (coloured noise): Случайный шум с непрерывным спектром и спектральной плотностью мощности, изменяющейся в рассматриваемой полосе частот.
702-08-41 взвешенный шум (weighted noise): Шум, спектральная мощность которого изменяется с помощью фильтра с определенной частотной характеристикой.
702-08-42 псофометрически взвешенный шум (psophometrically weighted noise): Шум, взвешенный фильтром, амплитудно-частотная характеристика которого соответствует чувствительности человеческого уха на различных частотах.
Примечание - Закон взвешивания сформулирован в определении псофометра приведенном в Рекомендации 0.41 ITU-T и Рекомендации 468 CCIR для каналов звуковых программ.
702-08-43 треугольный шум (triangular noise): Случайный шум, обладающий непрерывным спектром, квадратный корень из спектральной плотности мощности которого пропорционален частоте в рассматриваемой полосе частот.
702-08-44 розовый шум (pink noise): Случайный шум, обладающий непрерывным спектром, спектральная плотность мощности которого обратно пропорциональна частоте в рассматриваемой полосе частот.
702-08-45 тепловой шум (thermal noise Johnson noise): Случайный шум, обусловленный тепловым движением носителей заряда в проводнике.
Примечание - Тепловой шум обладает непрерывным спектром и может рассматриваться как белый шум на частотах ниже тех, на которых приходится учитывать квантование.
702-08-46 дробовой шум (shot noise): Случайный шум, вызванный электрическим током дискретных зарядов.
Примечания
1 Дробовой шум появляется исключительно в полупроводниковых устройствах или в электронных лампах.
2 Дробовой шум имеет непрерывный спектр и может рассматриваться, как белый шум в полосе частот между очень низкими частотами и высокими частотами, на которых эффекты, такие как время прохождения становятся преобладающими.
702-08-47 мерцающий шум (flicker noise): Случайный шум, обусловленный неровностями поверхности или зернистой структурой среды, через которую протекает электрический ток.
Примечания
1 Примерами неровной или зернистой поверхности являются соединение между полупроводниками, катод с оксидным покрытием, гранулированное сопротивление.
2 Мерцающий шум имеет непрерывный спектр, плотность мощности важна только на очень низких частотах, где он приближается к 1/f шуму.
702-08-48 1/f шум (1/f noise): Случайный шум, имеющий непрерывный спектр, такой, что спектральная плотность мощности приблизительно обратно пропорциональна частоте ниже данной частоты.
702-08-49 квантовый шум; фотонный шум (quantum noise; photon noise): Электромагнитный шум, относящийся к дискретной природе электромагнитного излучения.
Примечание - При нормальной температуре квантовый шум важен только на очень высоких частотах, таких как у оптического излучения.
702-08-50 гауссов шум (gaussian noise): Случайный шум, значения которого при любом числе n произвольных моментов времени распределены в соответствии с переменным n гауссова закона вероятности.
Примечания
1 Гауссов шум определяется полностью его изменяющимся во времени средним значением ковариационной функции двух моментов. Если шум стационарный, среднее значение не зависит от времени, ковариация становится функцией корреляции, зависящей только от разности между двумя рассматриваемыми моментами, и знание этой функции корреляции равносильно знанию спектральной плотности мощности.
2 Гауссов шум может быть создан большим числом независимых импульсов, таких, что в любом конечном интервале времени каждый имеет ничтожную величину по сравнению с их суммой.
3 Практически тепловой шум, дробовой шум и квантовый шум представляют собой гауссов шум.
702-08-51 эквивалентное напряжение шума (двухполюсника) En [equivalent noise voltage (of a one-port device) noise electromotive force (of a one-port device)]: Среднеквадратичное напряжение холостого хода на выходе двухполюсника, обусловленное исключительно его источниками шума.
Примечание - Приемная антенна может рассматриваться как электрический двухполюсник, если учитывать только шум на ее выходе.
702-08-52 (эквивалентное) шумовое сопротивление (двухполюсника) Req [(equivalent) noise resistance (of a one-port device)]: Для выражения эквивалентного напряжения шума En двухполюсника используется величина Req, имеющая размерность сопротивления, которая определяется отношением:
,
где T0 - термодинамическая температура, установленная условно около 290 °К,
- рассматриваемая ширина полосы частот и
k - постоянная Больцмана.
Примечание - Приемная антенна может рассматриваться как двухполюсник, если учитывать только шум на ее выходе.
702-08-53 (передаваемая) мощность шума (двухполюсника) [(exchangeable) noise power (of a one-port device)]: Передаваемая мощность на зажимах двухполюсника, обусловленная исключительно ее источниками шума.
Примечания
1 Приемная антенна может рассматриваться как двухполюсник, если принимать во внимание только шум на ее выходе.
2 Если импеданс устройства имеет постоянную действительную часть при термодинамической температуре T и квантовыми эффектами можно пренебречь, то обменная спектральная плотность мощности, обусловленная исключительно тепловым шумом устройства, не зависит от частоты и равна kT, где k - постоянная Больцмана.
702-08-54 шумовая температура (двухполюсника) [spot noise temperature (of a one-port)]: Отношение спектральной плотности передаваемой мощности шума двухполюсника на данной частоте к постоянной Больцмана.
Примечания
1 Настоящее определение предполагает, что квантовыми эффектами можно пренебречь.
2 Шумовая температура имеет знак действительной части импеданса устройства. Когда действительная часть положительна, обмениваемая мощность становится располагаемой мощностью.
3 Если импеданс двухполюсника имеет положительную действительную часть, его шумовая температура на данной частоте равна термодинамической температуре, которая должна иметь активное сопротивление, равное действительной части импеданса, для получения мощности в согласованной нагрузке теплового шума, равной мощности в согласованной нагрузке шума устройства, на той же частоте.
4 Приемная антенна может рассматриваться как электрический двухполюсник, если учитывать только шум на ее выходе.
702-08-55 средняя шумовая температура (двухполюсника) [mean noise temperature (of a one-port device)]: Средняя шумовая температура двухполюсника в определенной полосе частот.
702-08-56 эквивалентная шумовая температура (линейного четырехполюсника) T(f), [equivalent spot noise temperature (of a linear two-port device)]: Величина, на которую следует увеличить на данной частоте шумовую температуру двухполюсника, присоединенного ко входу данного линейного четырехполюсника, если шум, обусловленный этим четырехполюсником, был временно подавлен, для того, чтобы создать спектральную плотность мощности этого шума, на выходной частоте, одинаковой с таковой общего шума с одного выхода данного четырехполюсного устройства.
Примечания
1 Настоящее определение предполагает, что квантовыми явлениями можно пренебречь.
2 Эквивалентная шумовая температура четырехполюсника зависит от импеданса двухполюсника, присоединенного к его входу.
702-08-57 коэффициент шума (линейного четырехполюсника) F(f); [spot noise factor (of a linear two-port device); spot noise figure (of a linear two-port device)]: Отношение доступной спектральной плотности мощности шума, возникающего на данной частоте на выходе данного линейного четырехполюсника, к спектральной плотности, которая была бы на этом выходе, если бы единственным источником шума являлся тепловой шум электрического двухполюсника, включенного на входе, который, как предполагается, имеет шумовую температуру, равную на всех частотах термодинамической температуре, около 290 °К.
Примечания
1 Коэффициент шума F(f) линейного четырехполюсника связан с эквивалентной шумовой температурой соотношением:
,
где T0 - термодинамическая эталонная температура.
2 В английском языке термин "noise factor" используется обычно, когда отношение выражено арифметически, и термин "noise figure", если отношение выражено в децибелах.
702-08-58 средняя (эквивалентная) шумовая температура (линейного четырехполюсника) T [mean (equivalent) noise temperature (of a linear two-port device)]: Для данного линейного четырехполюсника - средняя эквивалентная шумовая температура в определенной полосе частот.
702-08-59 (средний) коэффициент шума (линейного четырехполюсника) [(mean) noise factor (of a linear two-port device); (mean) noise figure (of a linear two-port device)]: Отношение полной мощности шума, возникающего на выходе данного линейного четырехполюсника в пределах заданной полосы частот к части этой мощности, создаваемой тепловым шумом двухполюсника, присоединенного ко входу этого четырехполюсника при шумовой температуре двухполюсника, предполагаемо и равно на всех частотах стандартной термодинамической температуре, установленной около 290 °К.
Примечания
1 Средний коэффициент шума связан со средней шумовой температурой T соотношением:
,
где T0 - стандартная термодинамическая температура.
2 Значение среднего коэффициента шума может быть выражено в децибелах. В английском языке обычно используется термин "noise factor", когда отношение выражено арифметически, и термин "noise figure", если отношение выражено в децибелах.
702-08-60 эффективная ширина полосы шума (линейного четырехполюсника) [effective noise bandwidth (of a linear two-port device)]: Ширина прямоугольной полосы пропускания идеального линейного четырехполюсника с постоянным коэффициентом усиления в этой полосе, равным максимальному коэффициенту усиления реального линейного четырехполюсника, такая, что если один и тот же источник белого шума присоединен ко входам двух устройств, предположительно не имеющих внутреннего шума, то на двух выходах может быть получена одинаковая мощность шума.
Примечание - Если коэффициент усиления мощности реального четырехполюсника в согласованной нагрузке является функцией частоты G(f), имеющей максимальное значение Gm, ширина полосы шума четырехполюсника определяется соотношением:
,
702-08-61 отношение сигнал/шум; S/N (signal-to-noise ratio; signal/noise ratio): Обычно выражаемое в децибелах отношение мощности полезного сигнала к мощности сопутствующего шума в определенной точке канала передачи и в определенных условиях.
Примечание - Обычно сигнал не может быть отделен от шума и практически измеряется отношением (сигнал + шум) к шуму.
702-08-62 отношение энергии бита к спектральной плотности шума (E/N0) (bit energy to noise spectral density ratio): Отношение (обычно выражаемое в децибелах) мощности сигнала в расчете на переданный двоичный разряд к спектральной плотности мощности шума в точке канала передачи.
702-08-63 отношение сигнал/помеха (signal-to-interference ratio; signal/interference ratio): Отношение мощности полезного сигнала к общему уровню мощности мешающих сигналов и шума, измеренное в определенных условиях в определенной точке канала передачи.
Примечания
1 Отношение сигнал/помеха обычно выражается в децибелах.
2 Указанные условия включают, среди прочего:
- вид и характеристики полезного сигнала,
- вид и характеристики мешающих сигналов и шума,
- характеристики приемника, такие как полоса пропускания.
702-08-64 помехозащищенность (immunity to interference): Способность системы передачи, в особенности приемного оборудования, уменьшать действие помехи на полезный сигнал.
702-08-65 электромагнитная обстановка (electromagnetic environment)
См. IEV 161-01-01.
702-08-66 электромагнитная совместимость (electromagnetic compatibility; EMC)
См. IEV 161-01-07.
Раздел 702-09 Линейные и нелинейные схемы и устройства
702-09-01 оборудование (в электросвязи) [hardware (in telecommunications)]: Электрические, механические или другие физические устройства, которые соединяются между собой для выполнения функций электросвязи.
702-09-02 средства математического обеспечения (в электросвязи) [software (in telecommunications)]: Программы для ЭВМ, процедуры, правила и любая сопутствующая документация, относящаяся к работе аппаратуры, сети электросвязи или другого оборудования.
702-09-03 функциональный элемент (functional unit): Элемент оборудования или средства математического обеспечения (или оба вместе), выполняющий определенное назначение.
702-09-04 электрическая цепь (electric circuit)
См. IEV 151-12-01.
702-09-05 электрическая сеть (electrical network)
См. IEV 151-12-02.
702-09-06 активный (active): Относится к электрической схеме или устройству, которое не может функционировать без источника энергии иного, чем входные сигналы.
702-09-07 пассивный (passive): Относится к электрической схеме или устройству, источником энергии которого служит только входной сигнал.
702-09-08 двухполюсный (one-port)
См. IEV 131-12-64.
702-09-09 двухполюсник (two-terminal): Электрическая схема с одним входом, образованным двумя клеммами.
702-09-10 четырехполюсный (two-port): Относящийся к электрической схеме или устройству с двумя раздельными входами, через которые сигналы могут входить и выходить.
Примечание - Английский термин "two-port" и французский термин "biporte" также могут использоваться как существительные (см. IEV 131-12-65).
702-09-11 четырехполюсник (two-terminal-pair): Электрическая схема с двумя входами, образованными двумя парами клемм.
702-09-12 n-полюсный (n-port): Относится к электрической схеме или устройству с определенным числом n входов и выходов, через которые сигналы могут входить и выходить.
702-09-13 преобразователь (transducer): Устройство, которое может принимать одну или несколько входных величин и выдавать выходные величины, соответствующие входным, но имеющие другую физическую природу.
702-09-14 линия задержки (delay line): Линейный четырехполюсник, предназначенный для создания требуемой задержки в передаче сигнала без изменения других его характеристик.
702-09-15 аттенюатор (attenuator): Линейный пассивный четырехполюсник, предназначенный для получения выходного сигнала с мощностью, меньшей, чем мощность входного сигнала, без изменения других его характеристик.
Примечание - Затухание, обеспечиваемое аттенюатором может быть или фиксированным или условным.
702-09-16 фазовращатель (phase shifter; phase changer): Линейный четырехполюсник, служащий для получения на каждой частоте в данной полосе частот синусоидальных выходных сигналов с определенной разностью фаз относительно фазы синусоидальных входных сигналов, без изменения других, в частности, амплитудно-частотных, характеристик сигнала.
702-09-17 фильтр (filter): Линейный электрический четырехполюсник, предназначенный для передачи спектральных составляющих сигналов, согласно определенному закону, обычно для того, чтобы пропустить составляющие в определенных полосах частот и ослабить составляющие в других полосах.
702-09-18 распределительный щит; коммутаторный щит (distribution frame): Устройство или оборудование, обеспечивающее гибкость полупостоянных соединений односторонних и двусторонних каналов с подключением оконечного оборудования и организацией их связи в любом требуемом порядке.
Примечания
1 Распределительный щит допускает любое соединение абонентских линий и линейных оконечных устройств, мультиплексоров, коммутационного, сигнального и другого оборудования. Соединения могут быть изменены по мере необходимости время от времени.
2 Примерами технологии, используемой для межсоединений, являются провода, U-образные перемычки, вилки и розетки, которые подбираются и переставляются вручную, а также электромагнитные или электронные переключатели, которыми можно управлять локально или дистанционно.
702-09-19 усилитель (amplifier): Активный электрический четырехполюсник, предназначенный в основном для получения выходного сигнала с мощностью, большей мощности входного сигнала.
702-09-20 малошумящий усилитель (low-noise amplifier; LNA): Усилитель, специально разработанный для внесения минимально возможных внутренних шумов при заданном коэффициенте усиления и получения максимально возможного отношения сигнал/шум на выходе.
Примечание - Малошумящий усилитель обычно используется в качестве предусилителя.
702-09-21 буферный усилитель [buffer amplifier buffer (stage)]: Усилитель, специально разработанный для предотвращения изменений характеристик электрических схем, включенных на его выходе, от изменений входного сигнала.
702-09-22 генератор (oscillator)
См. IEV 151-13-51.
702-09-23 релаксационный генератор (relaxation oscillator): Генератор периодических несинусоидальных колебаний, использующий последовательность двух апериодических регулярно чередующихся явлений, обычно различной длительности, например, заряд и разряд конденсатора.
702-09-24 мультивибратор (multivibrator): Релаксационный генератор, содержащий, например, два транзистора или две электронные лампы, связанные между собой посредством резисторно-емкостных цепей, соединяющих вход одного с выходом другого транзистора или лампы, для получения колебаний с большим содержанием гармоник.
702-09-25 триггер (trigger circuit): Схема, имеющая несколько устойчивых и неустойчивых состояний (по крайней мере одно устойчивое) и спроектированная так, что желательный переход может начаться при подаче соответствующего импульса.
702-09-26 двухстабильный триггер [bistable trigger circuit; bistable latch; bistable circuit; bistable trigger (deprecated) flip-flop (strongly deprecated)]: Триггер, обладающий двумя стабильными состояниями.
Примечание - Термин "flip-flop" используется в США в значении "bistable circuit" и в Соединенном Королевстве в значении "monostable circuit". Во избежание путаницы он не одобряется в этих значениях.
702-09-27 одностабильный триггер [monostable trigger circuit; monostable circuit; flip-flop (strongly deprecated)]: Триггер, обладающий одним стабильным и одним нестабильным состоянием.
Примечание - Термин "flip-flop" используется в США в значении "bistable circuit" и в Соединенном Королевстве в значении "monostable circuit". Во избежание путаницы он не одобряется в этих значениях.
702-09-28 сигнал-генератор (signal generator): Аппаратура или устройство для получения сигналов с определенными и обычно регулируемыми характеристиками.
702-09-29 задающий генератор (master oscillator): Генератор, используемый для получения обычно синусоидального колебания с частотой высокой стабильности и точности.
702-09-30 часы; тактовый генератор (clock): Устройство, которое создает периодические сигналы синхронизации.
Примечание - Если для целей надежности используются вторичные источники, вся совокупность рассматривается как единые часы.
702-09-31 синтезатор частоты (frequency synthesizer): Аппаратура, базирующаяся на задающем генераторе фиксированной частоты, для получения колебаний регулируемой частоты, высокой стабильности и точности путем преобразования, фильтрации и интерполяции с использованием умножителей частоты и делителей частоты.
702-09-32 умножитель частоты (frequency multiplier): Нелинейное устройство для получения колебаний с частотами, кратными целым значениям входной частоты.
702-09-33 делитель частоты (frequency divider): Нелинейное устройство для получения колебаний с частотами, целыми субкратными входной частоте.
702-09-34 интегрирующее устройство (integrator; integrating circuit): Устройство, служащее для получения на его выходе величины, пропорциональной интегралу по времени от входной величины.
702-09-35 дифференцирующее устройство (differentiator; differentiating circuit): Устройство, служащее для получения на выходе величины, пропорциональной производной по времени от входной величины.
702-09-36 частотный смеситель [(frequency) mixer]
См. IEV 151-13-69.
702-09-37 частотный преобразователь (frequency changer; frequency converter): Устройство, состоящее из генератора и смесителя, за которым обычно следует полосовой фильтр, и создающее частотное преобразование сигнала.
702-09-38 модулятор (modulator modulating stage)
См. IEV 151-13-67.
702-09-39 детектор (detector): Устройство для обнаружения наличия или изменений волн, колебаний или сигналов, обычно для выделения передаваемой информации.
Пример детекторов - линейный детектор, квадратичный детектор.
702-09-40 демодулятор (demodulator): Устройство для выделения исходного модулирующего сигнала из колебания или волны, полученных посредством модуляции.
Примеры демодуляторов - амплитудный демодулятор, линейный демодулятор или демодулятор огибающей, частотный демодулятор, фазовый демодулятор, импульсный демодулятор когерентный демодулятор или синхронный демодулятор.
702-09-41 частотный дискриминатор (frequency discriminator): Частотный демодулятор, построенный по электрической схеме с линейной амплитудно-частотной характеристикой в используемой полосе частот.
702-09-42 фазовый детектор (phase detector): Устройство, сигнал на выходе которого является функцией разности фаз между входным синусоидальным сигналом и опорным колебанием.
702-09-43 кодирующее устройство (encoder): Устройство, служащее для представления информации в соответствии с данным кодом.
702-09-44 декодирующее устройство (decoder): Устройство, служащее для восстановления кодированной информации в исходной форме.
702-09-45 кодовый преобразователь (code converter; transcoder)
См. IEV 314-02-12.
702-09-46 последовательно-параллельный преобразователь [serial-to-parallel converter; deserializer; staticizer (deprecated)]: Устройство, служащее для преобразования последовательности элементов сигнала в соответствующую группу элементов сигнала, которые все представлены одновременно и представляют ту же информацию.
702-09-47 параллельно-последовательный преобразователь [parallel-to-serial converter; serializer; dynamicizer (deprecated)]: Устройство, служащее для преобразования группы элементов сигнала, которые все представлены одновременно, в соответствующую последовательность элементов сигнала и представляющие ту же информацию.
702-09-48 логический элемент [(logic) gate; logic element]: Устройство для выполнения элементарной логической операции, в которой одна и только одна выходная величина соответствует каждой возможной комбинации одновременных входных величин.
Примечание - Каждый логический элемент квалифицируется в соответствии с логической операцией, которую он выполняет.
702-09-49 комбинаторная схема (combinatorial circuit): Устройство для выполнения логических операций, для каждой выходной величины, из которых одна и только одна величина соответствует каждой возможной комбинации одновременно поступающих входных величин.
702-09-50 схема последовательного включения (sequential circuit): Устройство для выполнения последовательности логических операций, выходные величины которого в любой данный момент времени зависят от его входных величин и внутреннего состояния в этап момент, которое зависит от непосредственно предшествующих входных значений и предшествующего внутреннего состояния.
702-09-51 логическая схема (logic circuit): Схема, входной и выходной сигналы которой представляют логические состояния, т.е. величины, которые могут принимать одно значение из конечного множества дискретных значений.
Примечание - Логическая схема может включать логические блоки и элементы схем последовательного включения, такие как элементы задержки и элементы памяти.
702-09-52 амплитудный дискриминатор (amplitude discriminator): Устройство, которое выдает выходной сигнал только для входных сигналов, мгновенные величины которых находятся между двумя пороговыми значениями.
702-09-53 квантизатор (quantizer): Устройство, предназначенное для квантования некоторой величины.
702-09-54 ограничитель (limiter): Нелинейное устройство, применяемое для ограничения сигнала.
Примеры ограничителей - односторонний ограничитель, двусторонний ограничитель, ограничитель по основанию.
702-09-55 односторонний ограничитель (clipper): Ограничитель, применяемый для одностороннего ограничения.
702-09-56 двусторонний ограничитель (slicer): Ограничитель, применяемый для двустороннего ограничения.
702-09-57 ограничитель по основанию (base limiter): Ограничитель, применяемый для ограничения по основанию.
702-09-58 фиксирующее устройство (clamp): Нелинейное устройство, применяемое для фиксации уровня.
702-09-59 импульсный регенератор (pulse regenerator): Устройство для регенерации импульсов.
702-09-60 компрессор (compressor): Нелинейное устройство, применяемое для компрессии.
702-09-61 экспандер (expander): Нелинейное устройство, применяемое для экспандирования.
702-09-62 компандер (compandor): Комбинация компрессора в одной точке канала передачи и экспандера в другой точке этого канала.
702-09-63 выравниватель (equalizer): Устройство, применяемое для выравнивания.
Примеры выравнивателей - частотный выравниватель затухания, фазо-частотный выравниватель, выравниватель группового времени запаздывания.
702-09-64 корректор (corrector): Устройство, предназначенное для уменьшения помех сигнала или улучшения характеристик аппаратуры, оборудования или канала передачи.
Пример - корректор нелинейных искажений.
702-09-65 дифференциальный ответвитель (differential coupler; hybrid coupler): Устройство с четырьмя входами, предназначенное для распределения мощности, поступающей на любой вход, поровну между двумя другими входами, причем на четвертый вход передается минимальная мощность, предел которой стремится к нулю.
Примечания
1 Идеальное распределение мощности требует, чтобы все входы были нагружены на согласованные импедансы; при этом считается, что дифференциальный ответвитель согласован.
2 Дифференциальный ответвитель может использоваться для объединения двух сигналов, приходящих на два входа и подающихся на один выход.
702-09-66 гибридный трансформатор (hybrid transformer; hybrid coil; induction coil): Дифференциальный ответвитель, выполненный как трансформатор с несколькими обмотками.
702-09-67 балансирующий двухполюсник (balancing network artificial balancing line): Двухполюсник, имитирующий импеданс двухпроводной линии, для обеспечения балансировки дифференциального ответвителя.
702-09-68 диапазон частот (оборудования) [frequency range (of an equipment)]: Совокупность частот, на которые оборудование может быть настроено для работы.
Примечание - Диапазон частот оборудования может быть разделен на переключаемые поддиапазоны, которые могут быть или могут не быть смежными.
702-09-69 динамический рабочий диапазон (оборудования) [dynamic operating range (of an equipment); working range (of an equipment)]: Диапазон значения данной характеристики входного сигнала, в котором оборудование предназначается для работы с определенным качеством.
Примечание - Английский термин "working range" и французский термин "dynamique d'un appareil" обычно используются для определения качества оборудования по отношению к динамическому диапазону сигнала.
Алфавитный указатель терминов на русском языке
А
адмиттанс передачи ..............................................................................
активный ................................................................................................
амплитуда импульса .............................................................................
амплитуда сигнала ................................................................................
анизохронизм ..........................................................................................
анизохронный .........................................................................................
аттенюатор ..............................................................................................
Б
байт ...........................................................................................................
байт n-битовый ......................................................................................
бел .............................................................................................................
бит .............................................................................................................
бод .............................................................................................................
В
величина поля (по мощности) .............................................................
вероятность ошибки ..............................................................................
видеочастота ...........................................................................................
вносимое усиление (четырехполюсника) .........................................
вносимые потери (четырехполюсника) ............................................
возмущение радио (частотное) ............................................................
возмущение электромагнитное ..........................................................
волна ........................................................................................................
волна отраженная .................................................................................
волна падающая .....................................................................................
время запаздывания групповое ..........................................................
время нарастания (импульса) ..............................................................
время спада (импульса) .........................................................................
выборка (из сигнала) ..............................................................................
выброс .......................................................................................................
выделение несущей ................................................................................
выравнивание (в аналоговой передаче) ............................................
выравнивание (в цифровой передаче) ..............................................
выравнивание группового времени запаздывания ........................
выравнивание затухания .....................................................................
выравнивание фазы ..............................................................................
выравниватель .......................................................................................
Г
генератор .................................................................................................
генератор задающий ..............................................................................
генератор релаксационный .................................................................
генератор тактовый ..............................................................................
Д
двухполюсник ........................................................................................
двухполюсник балансирующий .........................................................
двухполюсный ......................................................................................
девиация (фазы) пиковая ...................................................................
девиация (частоты) пиковая ..............................................................
девиация фазы (мгновенная) ............................................................
девиация частоты (мгновенная) .......................................................
декодирование .......................................................................................
декодировать .........................................................................................
делитель частоты .................................................................................
дельта-модуляция ................................................................................
демодулятор ..........................................................................................
демодуляция .........................................................................................
демодуляция амплитудная ................................................................
демодуляция когерентная ..................................................................
демодуляция фазовая ..........................................................................
демодуляция частотная .......................................................................
детектирование .....................................................................................
детектирование квадратурное ...........................................................
детектор ..................................................................................................
детектор фазовый .................................................................................
децибел ....................................................................................................
деэмфазис ................................................................................................
диапазон (сигнала) динамический ......................................................
диапазон рабочий динамический ........................................................
диапазон частот (оборудования) .........................................................
дискриминатор амплитудный .............................................................
дискриминатор частотный ...................................................................
дифференциальный ответвитель ......................................................
дифференцирующее устройство .........................................................
длина волны ...........................................................................................
длительность импульса ........................................................................
дрожание ..................................................................................................
дублет .......................................................................................................
Е
единица двоичная ..................................................................................
единица количества информации двоичная ....................................
единица количества информации десятичная ................................
Ж
жужжание (в электросвязи) .................................................................
З
задержка огибающей .............................................................................
задержка фазовая ..................................................................................
затухание .................................................................................................
защита от ошибок ...................................................................................
знак ...........................................................................................................
зуммирование .........................................................................................
И
избыточный код .....................................................................................
излучение (как явление) ......................................................................
излучение (процесс в радиосвязи) ......................................................
изохронизм ..............................................................................................
изохронный .............................................................................................
иммитанс передачи ...............................................................................
импеданс передачи ................................................................................
импульс ...................................................................................................
импульс односторонний ........................................................................
импульс прямоугольный ......................................................................
импульс синус-квадратичный .............................................................
инверсия частотная ...............................................................................
индекс модуляции ..................................................................................
индекс частотной модуляции ..............................................................
интермодуляция ....................................................................................
интерференция ......................................................................................
искажение (сигнала) .............................................................................
искажение амплитудное ......................................................................
искажение временное ..........................................................................
искажение гармоническое ...................................................................
искажение гармоническое общее .......................................................
искажение дифференциальное амплитудное ..................................
искажение нелинейное .........................................................................
искажение фазоамплитудное ..............................................................
искажение фазовое разностное ............................................................
искажения амплитудно-частотные .....................................................
искажения интермодуляционные .......................................................
искажения квантования .......................................................................
искажения линейные ............................................................................
искажения фазочастотные ..................................................................
искажения частотные, обусловленные групповым временем запаздывания ..........................................................................................
К
качество передачи .................................................................................
квантизатор .............................................................................................
квантование ............................................................................................
когерентная ............................................................................................
код .............................................................................................................
код избыточный .....................................................................................
код корректирующий .............................................................................
код с обнаружением ошибок ................................................................
кодирование ............................................................................................
кодировать ..............................................................................................
колебание ................................................................................................
колебание паразитное ...........................................................................
количество значащих положений ......................................................
количество информации ......................................................................
комбинация кодовая .............................................................................
компандер ...............................................................................................
компандирование ..................................................................................
компандирование слоговое .................................................................
компрессировать ...................................................................................
компрессия .............................................................................................
компрессор ..............................................................................................
контроль ошибок ....................................................................................
корректор ................................................................................................
коррекция нелинейная ........................................................................
коррекция ошибки ................................................................................
коэффициент гармоник (полный) ......................................................
коэффициент заполнения импульса ..................................................
коэффициент затухания .......................................................................
коэффициент модуляции .....................................................................
коэффициент отражения (комплексный) .........................................
коэффициент передачи ........................................................................
коэффициент преломления .................................................................
коэффициент распространения ..........................................................
коэффициент фазы ...............................................................................
коэффициент шума (линейного четырехполюсника) ....................
коэффициент шума (линейного четырехполюсника) средний .....
Л
линейная .................................................................................................
линейный ................................................................................................
линия задержки ......................................................................................
линия спектральная ..............................................................................
М
манипуляция амплитудная ..................................................................
манипуляция квадратурная фазовая .................................................
манипуляция фазовая многопозиционная ........................................
ИС МЕГАНОРМ: примечание.
В официальном тексте документа, видимо, допущена опечатка: имеется в виду п. 702-06-40, а не 702-05-40.
манипуляция фазовая ...........................................................................
манипуляция частотная n-позиционная ...........................................
манипуляция частотная минимально-фазовая ...............................
манипуляция частотная .......................................................................
модулировать ..........................................................................................
модулятор ................................................................................................
модуляция ...............................................................................................
модуляция амплитудная .......................................................................
модуляция амплитудно-импульсная ..................................................
модуляция демодуляция линейная ....................................................
модуляция дифференциальная импульсно-кодовая ......................
модуляция импульса по длительности ..............................................
модуляция импульса по положению ..................................................
модуляция импульсами ........................................................................
модуляция импульсная .........................................................................
модуляция квадратурная (амплитудная) .........................................
модуляция многократная .....................................................................
модуляция относительная ...................................................................
модуляция перекрестная .....................................................................
модуляция с фиксированной опорной точкой .................................
модуляция угловая ...............................................................................
модуляция фазовая относительная ...................................................
модуляция фазовая ...............................................................................
ИС МЕГАНОРМ: примечание.
В официальном тексте документа, видимо, допущена опечатка: имеется в виду п. 702-06-37, а не 703-06-37.
модуляция частотная ...........................................................................
модуляция частотно-импульсная .......................................................
мощность в согласованной нагрузке ..................................................
мощность передаваемая .......................................................................
мощность шума (двухполюсника) (обменная) ..................................
мощность ..................................................................................................
мультивибратор ......................................................................................
Н
недомодуляция .......................................................................................
нелинейный ............................................................................................
непер .........................................................................................................
непрерывный ..........................................................................................
несинхронный .........................................................................................
несущая ....................................................................................................
несущая (составляющая) ......................................................................
несущая главная ....................................................................................
несущая импульсная .............................................................................
несущая ослабленная ............................................................................
несущая подавленная ............................................................................
несущая полная ......................................................................................
несущая промежуточная ......................................................................
n-полюсный .............................................................................................
О
обнаружение ошибки .............................................................................
оборудование (в электросвязи) ............................................................
обратная фазовая манипуляция .........................................................
обратные потери ....................................................................................
обстановка электромагнитная ............................................................
огибающая (сигнала) .............................................................................
ограничение ............................................................................................
ограничение двустороннее ...................................................................
ограничение одностороннее ................................................................
ограничение по основанию ..................................................................
ограничение по центру ..........................................................................
ограничитель ..........................................................................................
ограничитель двусторонний ................................................................
ограничитель односторонний ..............................................................
ограничитель по основанию ................................................................
ослабление ..............................................................................................
основа временная .................................................................................
отклонение частоты .............................................................................
отношение энергии бита к спектральной плотности шума ...........
отношение сигнал/помеха ....................................................................
отношение сигнал/шум .........................................................................
П
пассивный ..............................................................................................
перемодуляция ......................................................................................
переходной ..............................................................................................
пик-пик (частоты) .................................................................................
плотность мощности спектральная ...................................................
плотность энергии спектральная .......................................................
поглощение .............................................................................................
поднесущая .............................................................................................
положение значащее .............................................................................
полоса боковая .......................................................................................
полоса боковая независимая ...............................................................
полоса боковая нижняя ........................................................................
полоса боковая одна ..............................................................................
полоса боковая остаточная ..................................................................
полоса боковая остаточная ..................................................................
полоса верхняя боковая .......................................................................
полоса основная .....................................................................................
полоса частот ..........................................................................................
полосы боковые две ..............................................................................
помеха (полезному сигналу) .................................................................
помеха боковой полосы .........................................................................
помеха межзнаковая ..............................................................................
помеха межканальная ...........................................................................
помеха электромагнитная ....................................................................
помехозащищенность .............................................................................
порядок комбинационной частоты .....................................................
постоянная распространения ...............................................................
посылка (сигнала) ..................................................................................
потери .......................................................................................................
потери (четырехполюсника) вносимые ............................................
потери (четырехполюсника) составные ............................................
потери отражения ..................................................................................
потери передачи .....................................................................................
потери преобразования (четырехполюсника) ..................................
потрескивание (в электросвязи) ............................................................
предвыравнивание .................................................................................
представление спектральная ...............................................................
преобразование кодовое ........................................................................
преобразование частотное ....................................................................
преобразователь .....................................................................................
преобразователь кодовый ....................................................................
преобразователь параллельно-последовательный .........................
преобразователь последовательно-параллельный .........................
преобразователь частотный ................................................................
преэмфазис ..............................................................................................
процесс переходный ...............................................................................
Р
радиация (волн или частиц) ................................................................
радиация электромагнитная ...............................................................
радиочастота ...........................................................................................
разнос импульсов ...................................................................................
разнос частот ..........................................................................................
расширение заднего фронта ................................................................
расширение переднего фронта ...........................................................
регенератор импульсный ....................................................................
регенерация импульсов ........................................................................
регулировка усиления автоматическая ...........................................
С
свист (в электросвязи) ............................................................................
связь обратная ........................................................................................
связь обратная отрицательная ............................................................
связь обратная положительная ...........................................................
связь прямая ...........................................................................................
сдвиг фазовый .......................................................................................
сдвиг частотный ....................................................................................
сдвиг частоты (при манипуляции) .....................................................
серия импульсов .....................................................................................
серия прямоугольных импульсов .......................................................
сеть электрическая ...............................................................................
сигнал ......................................................................................................
сигнал аналитический ..........................................................................
сигнал аналоговый ................................................................................
сигнал, дискретный во времени .........................................................
сигнал дискретно-временной ..............................................................
сигнал дискретный ...............................................................................
ИС МЕГАНОРМ: примечание.
В официальном тексте документа, видимо, допущена опечатка: имеется в виду п. 702-08-01, а не 702-06-08.
сигнал желательный ............................................................................
сигнал квадратурный ...........................................................................
сигнал мешающий .................................................................................
сигнал модулированный ......................................................................
сигнал модулирующий .........................................................................
сигнал нежелательный .......................................................................
сигнал полезный ...................................................................................
сигнал синхронизации ..........................................................................
сигнал синхронизации циклический .................................................
сигнал цифровой ...................................................................................
сигнал-генератор ...................................................................................
синтезатор частоты ..............................................................................
синхронизм .............................................................................................
синхронный ............................................................................................
скорость групповая ...............................................................................
скорость огибающей .............................................................................
скорость фазовая ..................................................................................
скорость цифровой передачи .............................................................
слово кодовое ........................................................................................
смеситель частотный ..........................................................................
смещение частоты ................................................................................
совместимость электромагнитная ....................................................
согласование (между нагрузкой и источником) ..............................
сопротивление шумовое (эквивалентное) .......................................
составляющая интермодуляции ........................................................
составляющая спектральная ..............................................................
спектр (сигнала или шума) ..................................................................
спектр амплитуд ....................................................................................
спектр комплексный ............................................................................
спектр линейчатый ..............................................................................
спектр мощности ...................................................................................
спектр фаз ..............................................................................................
спектр частот (в электросвязи) ............................................................
средства математического обеспечения (в электросвязи) .............
стробирование ........................................................................................
схема комбинаторная ...........................................................................
схема логическая ..................................................................................
схема последовательного включения ...............................................
Т
температура (двухполюсника) шумовая средняя ............................
температура (линейного четырехполюсника) шумовая средняя (эквивалентная) .....................................................................................
температура шумовая эквивалентная ..............................................
ток отраженный ....................................................................................
ток падающий .........................................................................................
точка зуммирования .............................................................................
триггер .....................................................................................................
триггер двухстабильный ......................................................................
триггер одностабильный ......................................................................
триплет ....................................................................................................
У
умножитель частоты ............................................................................
уровень (изменяющейся во времени величины) ............................
уровень мощности абсолютный ..........................................................
уровень мощности относительный ....................................................
уровень напряжения абсолютный .....................................................
усиление ..................................................................................................
усиление (четырехполюсника) вносимое .........................................
усиление (четырехполюсника) составное ........................................
усиление мощности при согласованной нагрузке ...........................
усиление передаваемой мощности .....................................................
усиление преобразования (четырехполюсника) ..............................
усилитель буферный ............................................................................
усилитель малошумящий ....................................................................
усилитель ................................................................................................
устройство декодирующее ...................................................................
устройство интегрирующее .................................................................
устройство кодирующее .......................................................................
устройство фиксирующее ....................................................................
уход частоты ...........................................................................................
Ф
фаза ..........................................................................................................
фазовращатель ......................................................................................
фиксация уровня ...................................................................................
фон переменного тока .........................................................................
формирование импульса .....................................................................
функция передачи (1) ..........................................................................
функция передачи (2) ..........................................................................
Х
характеристика амплитудно-амплитудная .....................................
характеристика амплитудно-частотная ..........................................
характеристика импульсно-временная ...........................................
характеристика импульсно-кодовая ................................................
характеристика переходная ..............................................................
ИС МЕГАНОРМ: примечание.
В официальном тексте документа, видимо, допущена опечатка: одна и та же строка таблицы приведена дважды.
характеристика переходная ..............................................................
характеристика фазочастотная ........................................................
характеристика частотная группового времени запаздывания ...
Ц
цепь электрическая ..............................................................................
цифра n-ичная .......................................................................................
цифра двоичная .....................................................................................
Ч
частота (сигнала) мгновенная ............................................................
частота звуковая ...................................................................................
частота комбинационная .....................................................................
частота повторения импульсов ..........................................................
частота собственная .............................................................................
чередование импульсов .......................................................................
четырехполюсник .................................................................................
четырехполюсный ................................................................................
Ш
ширина полосы (канала передачи) ....................................................
ширина полосы (устройства) ..............................................................
ширина полосы шума эффективная .................................................
ширина полосы ......................................................................................
шум 1/f .....................................................................................................
шум белый ..............................................................................................
шум взвешенный ...................................................................................
шум взвешенный псофометрический ...............................................
шум внешний .........................................................................................
шум внутренний ....................................................................................
шум гауссов ............................................................................................
шум дробовой .........................................................................................
ИС МЕГАНОРМ: примечание.
В официальном тексте документа, видимо, допущена опечатка: имеется в виду п. 702-08-11, а не 702-09-66.
шум естественный ................................................................................
шум импульсный ...................................................................................
шум индустриальный ...........................................................................
шум интермодуляционный .................................................................
шум квазиимпульсный ........................................................................
шум квантовый .....................................................................................
шум коммутационный .........................................................................
шум мерцающий ....................................................................................
шум непрерывный ................................................................................
шум окрашенный ...................................................................................
шум периодический (импульсный) ....................................................
шум радиочастотный ............................................................................
шум розовый ...........................................................................................
шум случайный ......................................................................................
шум собственный ...................................................................................
шум телеграфный ..................................................................................
шум тепловой .........................................................................................
шум треугольный ..................................................................................
шум фотонный .......................................................................................
шум ...........................................................................................................
Щ
щелчки манипуляции ...........................................................................
щелчок (в электросвязи) ......................................................................
щит коммутаторный .............................................................................
щит распределительный ......................................................................
Э
экспандер ...............................................................................................
экспандирование ..................................................................................
экспандировать .....................................................................................
элемент логический ............................................................................
элемент сигнала ...................................................................................
элемент функциональный .................................................................
элемент цифровой ...............................................................................
эффект микрофонный ........................................................................
эхо ............................................................................................................
Алфавитный указатель терминов на английском языке
A
absorption ..................................................................................................
active .........................................................................................................
transfer admittance .....................................................................................
AF (audio frequency) .................................................................................
AGC (automatic gain control) .....................................................................
alpha; (attenuation coefficient) ................................................................
AM (amplitude modulation) ........................................................................
amplifier .....................................................................................................
buffer amplifier ......................................................................................
low-noise amplifier ................................................................................
amplitude (of a signal) ...........................................................................
amplitude/amplitude characteristic .........................................................
amplitude/amplitude distortion ...............................................................
amplitude/frequency characteristic .........................................................
amplitude/frequency distortion ...............................................................
demodulation ........................................................................................
differential amplitude distortion ..............................................................
discriminator .........................................................................................
distortion ...............................................................................................
modulation .............................................................................................
shift keying .............................................................................................
shift modulation ......................................................................................
spectrum ................................................................................................
phase/amplitude distortion ......................................................................
pulse amplitude (deprecated) ..................................................................
pulse amplitude modulation .....................................................................
quadrature (amplitude) modulation ..........................................................
analogue signal ............................................................................................
analytic signal ..............................................................................................
angle modulation .........................................................................................
anisochronism .............................................................................................
anisochronous .............................................................................................
ASK (amplitude shift keying) .......................................................................
asynchronous (deprecated in this sense) .......................................................
attenuation ..................................................................................................
coefficient ...............................................................................................
constant (USA) ......................................................................................
equalization ............................................................................................
attenuation/frequency distortion ...............................................................
attenuator ....................................................................................................
audio frequency ...........................................................................................
automatic gain control ..................................................................................
automatic volume control .............................................................................
available
power .....................................................................................................
power gain (of a two-port device) ...........................................................
B
B (bel) ........................................................................................................
background noise ........................................................................................
balancing
artificial balancing line .............................................................................
network .................................................................................................
band, frequency .....................................................................................
bandwidth (of a device) ..........................................................................
effective noise bandwidth (of a linear two-port device) ............................
bandwidth (of a transmission channel) .....................................................
x dB bandwidth (of a signal) ...................................................................
baseband ....................................................................................................
base
limiter .....................................................................................................
limiting ....................................................................................................
time ........................................................................................................
Bd (baud) ...................................................................................................
bel ..............................................................................................................
beta; (phase-change coefficient) ..............................................................
binary
digit ........................................................................................................
figure ......................................................................................................
birdies (in telecommunications) .....................................................................
bit ...............................................................................................................
bit energy to noise spectral density ratio ...................................................
8-bit-byte ...............................................................................................
n-bit byte ................................................................................................
broadening
decay-time .............................................................................................
leading-edge ..........................................................................................
rise-time ................................................................................................
trailing-edge ...........................................................................................
buffer amplifier ............................................................................................
buffer (stage) ...............................................................................................
buzz (in telecommunications) ........................................................................
byte ............................................................................................................
8-bit-byte ...............................................................................................
n-bit byte ................................................................................................
C
Carrier ........................................................................................................
component .............................................................................................
recovery .................................................................................................
full ..........................................................................................................
intermediate ............................................................................................
main .......................................................................................................
pulsed .....................................................................................................
pulsed carrier modulation ........................................................................
reduced ..................................................................................................
suppressed .............................................................................................
sub- ........................................................................................................
centre clipping (inappropriate term) ..............................................................
changer
frequency ................................................................................................
phase ......................................................................................................
frequency changing ......................................................................................
character .....................................................................................................
characteristic
amplitude/amplitude ................................................................................
amplitude/frequency ................................................................................
delay/frequency .......................................................................................
frequency response .................................................................................
phase/frequency ......................................................................................
circuit
bistable ...................................................................................................
bistable trigger ........................................................................................
combinatorial ..........................................................................................
differentiating ..........................................................................................
(electric) .................................................................................................
integrating ...............................................................................................
logic .......................................................................................................
monostable .............................................................................................
monostable trigger ..................................................................................
sequential ...............................................................................................
trigger ....................................................................................................
clamp .....................................................................................................
clamping ......................................................................................................
click (in telecommunications) ........................................................................
key .........................................................................................................
clipper .........................................................................................................
clipping ........................................................................................................
centre (inappropriate term) ......................................................................
clock ...........................................................................................................
code ............................................................................................................
combination ............................................................................................
conversion ..............................................................................................
converter ................................................................................................
differential pulse code modulation ............................................................
error correcting .......................................................................................
code (continued)
error detecting ........................................................................................
pulse code modulation .............................................................................
redundant ...............................................................................................
to ...........................................................................................................
word ......................................................................................................
coding .........................................................................................................
coefficient
attenuation ..............................................................................................
(complex) reflection ................................................................................
phase-change .........................................................................................
propagation ............................................................................................
coherent
demodulation ..........................................................................................
modulation ..............................................................................................
coil, hybrid ...................................................................................................
combination
code .......................................................................................................
frequency ................................................................................................
tone ........................................................................................................
combinatorial circuit .....................................................................................
companding .................................................................................................
syllabic ....................................................................................................
compandor ..................................................................................................
electromagnetic compatibility ........................................................................
component
carrier .....................................................................................................
intermodulation ...................................................................................
spectral ..............................................................................................
composite
loss (of a two-port device) ..................................................................
gain (of a two-port device) ..................................................................
to compress ..................................................................................................
compression .................................................................................................
compressor ..................................................................................................
condition(s)
n-frequency shift keying .......................................................................
number of significant ............................................................................
significant ............................................................................................
two- ...................................................................................................
three ...................................................................................................
constant
attenuation (USA) ...............................................................................
phase (USA) .......................................................................................
propagation (USA) ..............................................................................
content, decision ...........................................................................................
control
automatic gain .....................................................................................
automatic volume ................................................................................
error ...................................................................................................
conversion
code ...................................................................................................
frequency ............................................................................................
converter
code ...................................................................................................
frequency ............................................................................................
parallel-to-serial ..................................................................................
serial-to-parallel ..................................................................................
error correcting code ...........................................................................
correction
error ...................................................................................................
non-linearity .........................................................................................
corrector .......................................................................................................
non-linear distortion ............................................................................
differential coupler ........................................................................................
hybrid coupler ..............................................................................................
crackle (in telecommunications) ....................................................................
crossmodulation ...........................................................................................
crosstalk .............................................................................................
cross-view ..........................................................................................
cross-colour ........................................................................................
current
incident ................................................................................................
reflected ..............................................................................................
cyclic
timescale .............................................................................................
timing signal .........................................................................................
D
dB (decibel) .................................................................................................
decay time
broadening .........................................................................................
(of a pulse) .........................................................................................
decibel .........................................................................................................
decision content ...........................................................................................
to decode ....................................................................................................
decoder .......................................................................................................
decoding ......................................................................................................
delay
frequency characteristic .......................................................................
line .....................................................................................................
envelope ............................................................................................
envelope delay distortion ....................................................................
group .................................................................................................
group delay equalization .....................................................................
group delay/frequency distortion .........................................................
phase .................................................................................................
delta modulation ..........................................................................................
delta modulation (AM; DM) ........................................................................
demodulation ..............................................................................................
amplitude ...........................................................................................
coherent ............................................................................................
envelope ............................................................................................
frequency ..........................................................................................
linear .................................................................................................
phase ................................................................................................
synchronous ......................................................................................
demodulator ......................................................................................
amplitude ..........................................................................................
coherent ............................................................................................
envelope ............................................................................................
frequency ..........................................................................................
phase .................................................................................................
pulse ..................................................................................................
synchronous .......................................................................................
density
bit energy to noise spectral density ratio ..............................................
energy spectral ...................................................................................
power spectral ...................................................................................
power spectrum .................................................................................
frequency departure .....................................................................................
deserializer ...................................................................................................
error detecting code .....................................................................................
detection ......................................................................................................
error ..................................................................................................
linear (deprecated) .............................................................................
square law .........................................................................................
detector ......................................................................................................
linear .................................................................................................
square law .........................................................................................
phase .................................................................................................
deviation
(frequency) deviation ratio ..................................................................
(instantaneous) frequency ...................................................................
(instantaneous) phase ..........................................................................
peak (frequency) ................................................................................
peak (phase) ......................................................................................
peak-to-peak (frequency) ..................................................................
differential
amplitude distortion ............................................................................
coupler ...............................................................................................
gain distortion .....................................................................................
modulation ..........................................................................................
phase distortion ...................................................................................
phase shift keying ................................................................................
pulse code modulation .........................................................................
differentiating circuit ......................................................................................
differentiator .................................................................................................
digit
binary .................................................................................................
ИС МЕГАНОРМ: примечание.
В официальном тексте документа, видимо, допущена опечатка: в п. 702-05-02 термин "digit in telecommunication" отсутствует.
in telecommunication ...........................................................................
702-05-02
rate ....................................................................................................
n-ary ..................................................................................................
digital signal ..................................................................................................
discretely timed signal ...................................................................................
discriminator
amplitude ............................................................................................
frequency ............................................................................................
distortion
amplitude/amplitude ............................................................................
amplitude ............................................................................................
amplitude/frequency ............................................................................
attenuation/frequency ..........................................................................
differential amplitude ...........................................................................
differential gain ...................................................................................
differential phase .................................................................................
(of a signal) .........................................................................................
envelope delay ....................................................................................
group delay/frequency .........................................................................
Harmonic ............................................................................................
Intermodulation ....................................................................................
linear ...................................................................................................
non-linear ............................................................................................
non-linearity .........................................................................................
phase/amplitude ...................................................................................
phase/frequency ..................................................................................
quantizing ............................................................................................
time .....................................................................................................
total harmonic ......................................................................................
distribution frame ..........................................................................................
disturbance
electromagnetic ...................................................................................
impulsive .............................................................................................
radio (frequency) .................................................................................
recurrent .............................................................................................
frequency divider ..........................................................................................
DM (delta modulation) ..................................................................................
dNp (decineper) ...........................................................................................
doublet .........................................................................................................
DPCM (differential pulse code modulation) .................................................
DPSK (differential phase shift keying) ...........................................................
drift, frequency ..............................................................................................
DSB (double sideband) .................................................................................
duration
pulse ...................................................................................................
pulse duration modulation ....................................................................
pulse duty factor ...........................................................................................
dynamic
operating range (of an equipment) .......................................................
range (of a signal) ...............................................................................
dynamicizer (deprecated) .............................................................................
E
echo (in telecommunication) .........................................................................
edge
leading-edge broadening ....................................................................
trailing-edge broadening .....................................................................
(electric) circuit ...........................................................................................
electrical network .......................................................................................
Electromagnetic ..........................................................................................
compatibility .....................................................................................
disturbance .......................................................................................
environment ......................................................................................
radiation (phenomenon) ....................................................................
noise electromotive force ............................................................................
element
logic .................................................................................................
signal ................................................................................................
EMC (electromagnetic compatibility) ..........................................................
EMI (electromagnetic interference) .............................................................
emission (phenomenon) ..............................................................................
emission (process in radiocommunication) ...................................................
de-emphasis ...............................................................................................
pre-emphasis ..............................................................................................
En (equivalent noise voltage [of a one-port device]) .....................................
to encode ...................................................................................................
encoder ......................................................................................................
encoding ....................................................................................................
energy
bit energy to noise spectral density ratio .............................................
spectral density .................................................................................
E/No (bit energy to noise spectral density ratio) ...........................................
envelope
delay ................................................................................................
delay distortion .................................................................................
demodulation ....................................................................................
(of a signal) .......................................................................................
velocity .............................................................................................
environment, electromagnetic ......................................................................
equalization
Attenuation .......................................................................................
in analogue transmission ....................................................................
in digital transmission .........................................................................
group delay .......................................................................................
phase ................................................................................................
pre ....................................................................................................
equalizer .....................................................................................................
error
control ..............................................................................................
correcting code .................................................................................
correction .........................................................................................
detecting code ...................................................................................
detection ...........................................................................................
ratio ..................................................................................................
exchangeable
power ...............................................................................................
power gain (of a two-port device) ......................................................
noise power (of a one-port device) ....................................................
to expand ....................................................................................................
expander .....................................................................................................
expansion ....................................................................................................
F
F ([mean] noise factor [of a linear two-port device]) ....................................
factor
(complex) reflection ...........................................................................
(mean) noise factor (of a linear two-port device) 702-08-59 modulation ....................................................................................................................
pulse duty ..........................................................................................
spot noise factor (of a linear two-port device) .....................................
(total) harmonic .................................................................................
fall time (of a pulse) .....................................................................................
feedback ....................................................................................................
negative ............................................................................................
positive .............................................................................................
feedforward ................................................................................................
F(f) (spot noise factor [of a linear two-port device]) ....................................
field quantity (root power) ...........................................................................
figure
Binary ...............................................................................................
(mean) noise figure (of a linear two-port device) ................................
spot noise figure (of a linear two-port device) .....................................
filter ............................................................................................................
flicker noise .................................................................................................
flip-flop (strongly deprecated) ......................................................................
FM (frequency modulation) .........................................................................
ИС МЕГАНОРМ: примечание.
В официальном тексте документа, видимо, допущена опечатка: имеется в виду п. 702-08-51, а не 702-08-57.
noise electromotive force .............................................................................
distribution frame .........................................................................................
frequency
amplitude/frequency characteristic ......................................................
amplitude/frequency distortion ............................................................
attenuation/frequency distortion ..........................................................
audio frequency ..................................................................................
band .................................................................................................
bandwidth (of a transmission channel) ................................................
changer .............................................................................................
changing ............................................................................................
combination frequency .......................................................................
delay/frequency characteristic ............................................................
frequency (continued)
conversion ........................................................................................
converter ..........................................................................................
demodulation ....................................................................................
departure ..........................................................................................
deviation ratio ....................................................................................
discriminator ......................................................................................
divider ...............................................................................................
drift ...................................................................................................
Inversion ...........................................................................................
mixer ................................................................................................
modulation ........................................................................................
multiplier ...........................................................................................
offset ................................................................................................
range (of an equipment) .....................................................................
response ............................................................................................
response characteristic .......................................................................
Shift ...................................................................................................
shift (in keying) ..................................................................................
shift keying ........................................................................................
shift modulation .................................................................................
shift signaling .....................................................................................
Synthesizer ........................................................................................
swing ................................................................................................
translation ..........................................................................................
group delay/frequency distorsion ........................................................
(instantaneous), frequency deviation ....................................................
instantaneous frequency (of a signal) ....................................................
minimum phase frequency shift keying .................................................
natural ................................................................................................
n-condition frequency shift keying .......................................................
peak (frequency) deviation .................................................................
peak-to-peak (frequency) deviation ....................................................
phase/frequency characteristic .............................................................
phase/frequency distortion ...................................................................
pulse frequency modulation ..................................................................
pulse repetition frequency ....................................................................
radio ..................................................................................................
radio (frequency) disturbance ..............................................................
radio (frequency) noise ........................................................................
(in telecommunication) frequency spectrum ........................................
video ..................................................................................................
FSK (frequency shift keying) ........................................................................
function
response .....................................................................................................
transfer ..............................................................................................
transfer ..............................................................................................
weighting ...........................................................................................
functional unit ..............................................................................................
G
gain ............................................................................................................
automatic gain control .......................................................................
available power gain (of a two-port device) .......................................
composite gain (of a two-port device) ...............................................
differential gain distortion ...................................................................
exchangeable power gain (of a two-port device) ................................
insertion gain (of a two-port device) ..................................................
transducer gain (of a two-port device) ...............................................
gamma; (propagation coefficient) ............................................................
(logic) gate .................................................................................................
gating .........................................................................................................
gaussian noise .............................................................................................
generator, signal ..........................................................................................
group
delay .................................................................................................
velocity ..............................................................................................
delay equalization ...............................................................................
delay/frequency distortion ...................................................................
H
hardware (in telecommunications) .................................................................
Harmonic
conjugate signal ..................................................................................
distortion ............................................................................................
total harmonic distortion .....................................................................
(total) harmonic factor ........................................................................
hartley .........................................................................................................
hiss .............................................................................................................
hum (in telecommunications) ........................................................................
hybrid coil ..................................................................................................
hybrid coupler ............................................................................................
hybrid transformer ......................................................................................
I
transfer immittance .....................................................................................
immunity to interference .............................................................................
impedance, transfer ....................................................................................
impulse
noise ................................................................................................
unit impulse response ........................................................................
impulsive
disturbance .......................................................................................
noise .................................................................................................
quasi-impulsive noise .........................................................................
recurrent (impulsive) noise .................................................................
incident
current ..............................................................................................
wave ................................................................................................
index
of refraction ......................................................................................
modulation ........................................................................................
refractive ...........................................................................................
insertion
gain (of a two-port device) .................................................................
loss (of a two-port device) .................................................................
integrating circuit .........................................................................................
integrator ....................................................................................................
interchannel interference ..............................................................................
interference
electromagnetic .................................................................................
immunity to .......................................................................................
interchannel .......................................................................................
(to a wanted signal) ...........................................................................
intersymbol .......................................................................................
phase ................................................................................................
sideband ...........................................................................................
signal/interference ratio ......................................................................
signal to interference ratio ..................................................................
wave .................................................................................................
interfering signal ..........................................................................................
interlacing, pulse .........................................................................................
interleaving, pulse .......................................................................................
intermodulation ...........................................................................................
component .......................................................................................
distortion ..........................................................................................
noise ................................................................................................
product ............................................................................................
product order ...................................................................................
intersymbol interference ..............................................................................
inversion
frequency ..........................................................................................
phase inversion modulation ................................................................
ISB (independent sideband) ........................................................................
isochronism .................................................................................................
isochronous .................................................................................................
J
jitter ............................................................................................................
johnson noise ..............................................................................................
K
key clicks ...................................................................................................
keying
amplitude shift ...................................................................................
keying (continued)
differential phase shift .................................................................................
frequency shift ............................................................................................
minimum phase frequency shift ....................................................................
multiple phase shift ......................................................................................
n-condition frequency shift ..........................................................................
phase shift ..................................................................................................
quadrature phase shift .................................................................................
L
lambda; wavelength (in a direction) .........................................................
latch, bistable ..............................................................................................
leading-edge broadening .............................................................................
level
absolute power ..................................................................................
absolute voltage .................................................................................
of a time varying quantity ....................................................................
relative power ....................................................................................
limiter ..........................................................................................................
base ..................................................................................................
limiting ........................................................................................................
base ..................................................................................................
line
artificial balancing ...............................................................................
delay ..................................................................................................
spectrum ............................................................................................
spectral ..............................................................................................
linear ...........................................................................................................
demodulation .....................................................................................
detection (deprecated) .......................................................................
distortion ...........................................................................................
modulation ........................................................................................
non-linear ..........................................................................................
non-linear distortion ...........................................................................
non-linearity
correction .........................................................................................
distortion ..........................................................................................
logic
circuit ...............................................................................................
element .............................................................................................
gate ..................................................................................................
loss ............................................................................................................
composite loss (of a two-port device) ................................................
insertion loss (of a two-port device) ...................................................
Reflection ..........................................................................................
Return ...............................................................................................
transducer loss (of a two-port device) ................................................
transmission .......................................................................................
M
magnitude, pulse ........................................................................................
man-made noise ........................................................................................
master oscillator ........................................................................................
matching (between a load and a source) .....................................................
mean
noise figure (of a linear two-port device) ...........................................
noise temperature (of a one-port device) ...........................................
microphonics ..............................................................................................
microphony ................................................................................................
(frequency) mixer .......................................................................................
to modulate ................................................................................................
modulated
oscillation .........................................................................................
signal ................................................................................................
wave ................................................................................................
modulating
signal ................................................................................................
stage .................................................................................................
wave .................................................................................................
modulation .................................................................................................
amplitude ..........................................................................................
amplitude shift ...................................................................................
angle ................................................................................................
by pulses ..........................................................................................
coherent ...........................................................................................
delta .................................................................................................
differential .........................................................................................
differential pulse code ........................................................................
factor ................................................................................................
frequency ..........................................................................................
frequency shift ...................................................................................
index .................................................................................................
linear .................................................................................................
multiple .............................................................................................
of pulses ...........................................................................................
phase inversion .................................................................................
phase ...............................................................................................
phase shift ........................................................................................
pulse amplitude .................................................................................
pulsed carrier ...................................................................................
pulse code ........................................................................................
pulse duration ...................................................................................
pulse frequency .................................................................................
pulse modulation (deprecated in this sense) ........................................
pulse position ....................................................................................
pulse repetition rate ...........................................................................
pulse time .........................................................................................
pulse width modulation (deprecated) ..................................................
ИС МЕГАНОРМ: примечание.
В официальном тексте документа, видимо, допущена опечатка: имеется в виду п. 702-06-63, а не 702-06-64.
quadrature (amplitude) .......................................................................
quadrature phase ...............................................................................
under- ...............................................................................................
with a fixed reference .........................................................................
modulator ...................................................................................................
amplitude ...........................................................................................
frequency ...........................................................................................
phase .................................................................................................
pulse ..................................................................................................
MPSK (multiple phase shift keying) ..............................................................
minimum phase frequency shift keying (MSK) .............................................
multiplier, frequency .....................................................................................
multivibrator .................................................................................................
N
n (refractive index) .......................................................................................
-ary digit ............................................................................................
-bit byte .............................................................................................
-condition frequency shift keying .........................................................
-FSK ................................................................................................
-port .................................................................................................
natural frequency ........................................................................................
neper .........................................................................................................
network .....................................................................................................
balancing ...........................................................................................
(electrical) .........................................................................................
noise
background .......................................................................................
basic .................................................................................................
bit energy to noise spectral density ratio .............................................
coloured ...........................................................................................
continuous .........................................................................................
effective noise bandwidth (of a linear two-port device) ......................
(equivalent) noise resistance (of a one-port device) ............................
equivalent noise voltage (of a one-port device) ..................................
equivalent (spot) noise temperature (of a linear two-port device) .....
(exchangeable) noise power (of a one-port device) ............................
external ...........................................................................................
1/f ...................................................................................................
flat random ......................................................................................
flicker ............................................................................................
gaussian .........................................................................................
impulse ...........................................................................................
impulsive .........................................................................................
intermodulation ...............................................................................
intrinsic ...........................................................................................
intra-system ...................................................................................
Johnson ......................................................................................
low-noise amplifier ........................................................................
man-made .....................................................................................
mean (equivalent) noise temperature (of a linear two-port device) ....
(mean) noise factor (of a linear two-port device) ..............................
(mean) noise figure (of a linear two-port device) ...............................
mean noise temperature (of a one-port device) ................................
natural .............................................................................................
electromotive force (of a one-port device) ......................................
pink ...............................................................................................
psophometrically weighted ...............................................................
quantizing ........................................................................................
quantum ...........................................................................................
quasi-impulsive .................................................................................
radio (frequency) ...............................................................................
random .............................................................................................
recurrent (impulsive) ..........................................................................
shot noise ..........................................................................................
signal/noise ratio ...............................................................................
signal-to-noise ratio ..........................................................................
spot noise factor (of a one-port device) ...........................................
spot noise figure (of a one-port device) ...........................................
spot noise temperature (of a one-port device) ..................................
supply ............................................................................................
switching ........................................................................................
in telecommunication ......................................................................
telegraph ........................................................................................
thermal ...........................................................................................
triangular ........................................................................................
weighted ..........................................................................................
white .............................................................................................
non-linear ....................................................................................................
non-linear distorsion ....................................................................................
non-linearity
distortion ...........................................................................................
correction ..........................................................................................
non-synchronous .........................................................................................
Np (neper) ..................................................................................................
number of significant conditions ....................................................................
O
octet ...........................................................................................................
offset, frequency .........................................................................................
one-port .....................................................................................................
order, intermodulation product .....................................................................
oscillation ....................................................................................................
modulated ..........................................................................................
parasitic .............................................................................................
oscillator ......................................................................................................
master ................................................................................................
relaxation ............................................................................................
overmodulation .............................................................................................
ИС МЕГАНОРМ: примечание.
Здесь и далее в официальном тексте документа, видимо, допущена опечатка: имеется в виду п. 702-07-80, а не 702-07-79.
overshoot .....................................................................................................
transient ..............................................................................................
P
PAM (pulse amplitude modulation) ..............................................................
parallel-to-serial converter ..........................................................................
passive .......................................................................................................
PCM (pulse code modulation) ....................................................................
PDM (pulse duration modulation) ................................................................
peak
(frequency) deviation .........................................................................
(phase) deviation ...............................................................................
-to-peak (frequency) deviation ...........................................................
transmission performance .............................................................................
PFM (pulse frequency modulation) ..............................................................
phase
differential phase distortion .................................................................
differential phase shift keying ..............................................................
(instantaneous) phase deviation ..........................................................
minimum phase frequency shift keying .................................................
multiple phase shift keying ..................................................................
peak (phase) deviation .......................................................................
phase/amplitude distortion ..................................................................
change coefficient ...............................................................................
changer .............................................................................................
constant (USA) .................................................................................
demodulation ....................................................................................
detector ............................................................................................
equalization .......................................................................................
phase/frequency characteristic ...........................................................
phase/frequency distortion .................................................................
interference .......................................................................................
inversion modulation ..........................................................................
modulation ........................................................................................
(of a signal) .......................................................................................
quadrature phase modulation .............................................................
quadrature phase shift keying .............................................................
shift ...................................................................................................
shifter ................................................................................................
shift keying ........................................................................................
shift modulation .................................................................................
shift signaling .....................................................................................
spectrum ...........................................................................................
velocity ..............................................................................................
PM (phase modulation) ...............................................................................
point, singing ...............................................................................................
port
n-port ................................................................................................
one-port ............................................................................................
two-port ............................................................................................
pulse position modulation .............................................................................
power
absolute power level ..........................................................................
available ............................................................................................
available power gain (of a two-port device) ........................................
exchangeable .....................................................................................
exchangeable power gain (of a two-port device) .................................
(exchangeable) noise power (of a one-port device) .............................
relative power level ............................................................................
spectral density ..................................................................................
spectrum ...........................................................................................
spectrum density ................................................................................
PPM (pulse position modulation) .................................................................
pre-equalization ...........................................................................................
PRF (pulse repetition frequency) ..................................................................
product
intermodulation ...................................................................................
intermodulation product order .............................................................
propagation
coefficient ...................................................................................................
constant (USA) ...........................................................................................
PSK (phase shift keying) ..............................................................................
psophometrically weighted noise ..................................................................
PTM (pulse time modulation) .......................................................................
pulse, pulsed
decay time (of a pulse) ........................................................................
fall time (of a pulse) .............................................................................
differential pulse code modulation ........................................................
modulation by pulses ...........................................................................
modulation of pulses ...........................................................................
pulse ...................................................................................................
- amplitude (deprecated) .....................................................................
- amplitude modulation ........................................................................
pulse code modulation .........................................................................
pulsed carrier ......................................................................................
pulsed carrier modulation .....................................................................
pulse duration ......................................................................................
-duration modulation ...........................................................................
-duty factor .........................................................................................
-frequency modulation .........................................................................
-interlacing ..........................................................................................
-interleaving .........................................................................................
-magnitude ...........................................................................................
modulation (deprecated in this sense) ...................................................
position modulation .............................................................................
regeneration ........................................................................................
regenerator ........................................................................................
repetition frequency ............................................................................
repetition rate .....................................................................................
repetition rate modulation ...................................................................
shaping ..............................................................................................
spacing ..............................................................................................
time modulation ..................................................................................
train ....................................................................................................
width ..................................................................................................
width modulation (deprecated) ............................................................
rectangular .........................................................................................
rise-time (of a pulse) ..........................................................................
sine-squared pulse .............................................................................
square pulse train ...............................................................................
unidirectional pulse .............................................................................
unit pulse response .............................................................................
Q
QAM (quadrature [amplitude] modulation) ..................................................
QPSK (quadrature phase shift keying) .........................................................
quadrature
(amplitude) modulation .......................................................................
quadrature phase modulation ..............................................................
quadrature phase shift keying ..............................................................
quadrature signal ................................................................................
quantizer ......................................................................................................
quantizing .....................................................................................................
distortion ............................................................................................
noise ..................................................................................................
quantum noise ..............................................................................................
R
r ([complex] reflection factor) .......................................................................
radiation (waves or particles) ........................................................................
frequency ...........................................................................................
(frequency) disturbance .......................................................................
(frequency) noise ................................................................................
random
flat random noise .................................................................................
noise ...................................................................................................
range
dynamic operating range (of an equipment) ..........................................
dynamic range (of a signal) ..................................................................
frequency range (of an equipment) .......................................................
working range (of an equipment) ..........................................................
rate
binary digit ..........................................................................................
digit ....................................................................................................
n-ary digit ...........................................................................................
pulse repetition ....................................................................................
pulse repetition rate modulation ............................................................
ternary digit .........................................................................................
ratio
bit energy to noise spectral density ......................................................
error ..................................................................................................
(frequency) deviation ..........................................................................
signal/interference ...............................................................................
signal-to-noise ....................................................................................
signal/noise .........................................................................................
signal to interference ...........................................................................
transfer ...............................................................................................
recovery, carrier ...........................................................................................
recurrent
disturbance .........................................................................................
(impulsive) noise .................................................................................
redundant code ............................................................................................
reference, modulation with a fixed .................................................................
reflected
current ...............................................................................................
wave .................................................................................................
reflection
(complex) reflection coefficient ...........................................................
(complex) reflection factor ..................................................................
loss ....................................................................................................
refraction, index of .......................................................................................
refractive index ............................................................................................
regeneration, pulse .......................................................................................
regenerator, pulse ........................................................................................
relaxation oscillator ......................................................................................
repetition
pulse repetition frequency ...................................................................
pulse repetition rate ............................................................................
pulse repetition rate modulation ..........................................................
representation, spectral ................................................................................
(equivalent) noise resistance (of a one-port device) .....................................
response
frequency ..........................................................................................
frequency response characteristic .......................................................
function .............................................................................................
unit impulse .......................................................................................
unit pulse ..........................................................................................
return loss ..................................................................................................
RF (radio frequency) ..................................................................................
rise time
broadening .......................................................................................
(of a pulse) .......................................................................................
S
sample (of a signal) ....................................................................................
sampling ....................................................................................................
to sample ...................................................................................................
scale
cyclic timescale .................................................................................
time-scale .........................................................................................
sending (of a signal) ....................................................................................
sequential circuit .........................................................................................
serializer .....................................................................................................
serial-to-parallel converter ...........................................................................
Sh (shannon) ..............................................................................................
shaping, pulse .............................................................................................
shift
amplitude shift keying .........................................................................
amplitude shift modulation ..................................................................
differential phase shift keying ...............................................................
frequency shift ....................................................................................
frequency shift (in keying) ...................................................................
frequency shift keying .........................................................................
frequency shift modulation ..................................................................
frequency shift signaling ......................................................................
minimum (phase frequency) shift keying ..............................................
multiple phase shift keying ..................................................................
n-condition frequency shift keying ......................................................
phase shift .........................................................................................
phase shift keying ...............................................................................
phase shift modulation ........................................................................
phase shift signaling ............................................................................
quadrature phase shift keying ..............................................................
shifter, phase ...............................................................................................
shot noise ....................................................................................................
sideband ......................................................................................................
double ...............................................................................................
independent .......................................................................................
lower .................................................................................................
interference ........................................................................................
single .................................................................................................
upper .................................................................................................
vestigial ..............................................................................................
vestigial sideband (qualifying term) ......................................................
signal ...........................................................................................................
amplitude (of a signal) ........................................................................
analogue ............................................................................................
analytic ..............................................................................................
cyclic timing .......................................................................................
desired ..............................................................................................
digital ................................................................................................
discretely timed .................................................................................
distortion (of a signal) ........................................................................
dynamic range (of a signal) .................................................................
element ..............................................................................................
envelope (of a signal) .........................................................................
harmonic conjugate ............................................................................
instantaneous frequency (of a signal) ...................................................
interfering ...........................................................................................
modulated ..........................................................................................
modulating ..........................................................................................
phase (of a signal) ...............................................................................
quadrature ..........................................................................................
sample (of a signal) .............................................................................
generator ............................................................................................
signal/interference ratio ........................................................................
signal/noise ratio ..................................................................................
signal-to-noise ratio .............................................................................
symmetrical (alternating) .....................................................................
timing .................................................................................................
to interference ratio ............................................................................
Undesired ..........................................................................................
unwanted ...........................................................................................
wanted ...............................................................................................
signalling
frequency shift ....................................................................................
phase shift ..........................................................................................
significant
number of significant conditions ...........................................................
significant condition .............................................................................
sine-squared pulse .......................................................................................
singing .........................................................................................................
singing point .................................................................................................
slicer ............................................................................................................
slicing ...........................................................................................................
S/N (signal-to-noise ratio) ............................................................................
software (in telecommunications) ..................................................................
pulse spacing ................................................................................................
spectral ........................................................................................................
bit energy to noise spectral density ratio ..............................................
energy spectral density ........................................................................
power spectral density ........................................................................
spectral component .............................................................................
spectral line .........................................................................................
spectral representation ........................................................................
spectrum
amplitude ....................................................................................................
complex ............................................................................................
continuous .........................................................................................
line ....................................................................................................
phase ................................................................................................
power ................................................................................................
power spectrum density ......................................................................
(signal or noise) ..................................................................................
(telecommunication) frequency ............................................................
spot
equivalent (spot) noise temperature (of a linear two port device) ..........
spot noise factor (of a linear two-port device) .....................................
spot noise figure (of a linear two-port device) .....................................
spot noise temperature (of a one-port device) .....................................
square law detection .....................................................................................
SSB (single sideband) ...................................................................................
stage
buffer (stage) .....................................................................................
modulating stage ................................................................................
staticizer (deprecated) .................................................................................
supply noise ................................................................................................
frequency swing ...........................................................................................
switching noise .............................................................................................
symmetrical (alternating) signal .....................................................................
synchronism .................................................................................................
synchronous ................................................................................................
non-synchronous ................................................................................
synchronous demodulation ..................................................................
synthesizer, frequency ..................................................................................
T
T [mean (equivalent) noise temperature (of a linear two-port device)] ............
telegraph noise .............................................................................................
temperature .................................................................................................
equivalent (spot) noise temperature (of a linear two-port device) .........
mean (equivalent) noise temperature (of a linear two-port device) ........
mean noise temperature (of a one port device) ....................................
spot noise temperature (of a one port device) ......................................
terminal
two-terminal network .........................................................................
two-terminal-pair network ..................................................................
T(f)
equivalent (spot) noise temperature (of a linear two-port device) .........
time, timed
cyclic timescale ..................................................................................
decay-time broadening .......................................................................
decay time (of a pulse) .......................................................................
discretely timed signal .........................................................................
fall time (of a pulse) ............................................................................
pulse time modulation .........................................................................
rise-time broadening ..........................................................................
rise time (of a pulse) ..........................................................................
time base ...........................................................................................
time distortion ....................................................................................
time-scale ..........................................................................................
timing
cyclic timing signal .............................................................................
timing signal ......................................................................................
tone, combination .......................................................................................
trailing-edge broadening .............................................................................
train
pulse ................................................................................................
square pulse .....................................................................................
transcoder .................................................................................................
transcoding ................................................................................................
to transcode ..............................................................................................
transducer .................................................................................................
transducer gain (of a two-port device) ........................................................
transducer loss (of a two-port device) .........................................................
transfer
admittance ........................................................................................
(1) function .......................................................................................
(2) function .......................................................................................
immittance ........................................................................................
impedance ........................................................................................
ratio .................................................................................................
transformer, hybrid .....................................................................................
transient (adj. and noun) .............................................................................
transient overshoot .....................................................................................
translation, frequency .................................................................................
transmission (deprecated in this sense) .......................................................
transmission loss ........................................................................................
transmission performance ...........................................................................
transmittance ..............................................................................................
trigger
bistable trigger (deprecated) .............................................................
bistable trigger circuit ........................................................................
monostable trigger circuit ..................................................................
trigger circuit .....................................................................................
triplet ..........................................................................................................
two-port .....................................................................................................
two-terminal ................................................................................................
two-terminal-pair .........................................................................................
U
unidirectional pulse ......................................................................................
unit
functional ...........................................................................................
impulse response ................................................................................
pulse response ....................................................................................
V
velocity
envelope ...........................................................................................
group ................................................................................................
phase ................................................................................................
vestigial sideband ........................................................................................
vestigial sideband (qualifying term) ...............................................................
Vg (group velocity) ......................................................................................
video frequency ...........................................................................................
voltage ........................................................................................................
absolute voltage level ..........................................................................
equivalent noise voltage (of a one-port device) ....................................
volume
automatic volume control ....................................................................
VSB (vestigial sideband) ..............................................................................
W
wave ...........................................................................................................
incident ..............................................................................................
interference ........................................................................................
modulated ..........................................................................................
modulating ..........................................................................................
reflected .............................................................................................
wavelength (in a given direction) ...................................................................
weighted noise .............................................................................................
psophometrically weighted noise .........................................................
weighting function .........................................................................................
whistling .......................................................................................................
width
pulse width .........................................................................................
pulse width modulation (deprecated) ...................................................
word, code ..................................................................................................
working range (of an equipment) ...................................................................
X
xdB bandwidth (of a signal) ..........................................................................
УДК 534:006.354
МКС 01.040.33
IDT
Ключевые слова: международный электротехнический словарь, электросвязь, каналы, сети