Главная // Актуальные документы // ГОСТ (Государственный стандарт)СПРАВКА
Источник публикации
М.: Стандартинформ, 2020
Примечание к документу
Текст данного документа приведен с учетом
поправки, опубликованной в "ИУС", N 8, 2023.
Документ
введен в действие с 01.03.2021.
Название документа
"ГОСТ IEC 60050-731-2017. Межгосударственный стандарт. Международный электротехнический словарь. Глава 731. Волоконно-оптическая связь"
(введен в действие Приказом Росстандарта от 28.10.2020 N 967-ст)
"ГОСТ IEC 60050-731-2017. Межгосударственный стандарт. Международный электротехнический словарь. Глава 731. Волоконно-оптическая связь"
(введен в действие Приказом Росстандарта от 28.10.2020 N 967-ст)
Приказом Федерального агентства
по техническому регулированию
и метрологии
от 28 октября 2020 г. N 967-ст
МЕЖГОСУДАРСТВЕННЫЙ СТАНДАРТ
МЕЖДУНАРОДНЫЙ ЭЛЕКТРОТЕХНИЧЕСКИЙ СЛОВАРЬ
ГЛАВА 731
ВОЛОКОННО-ОПТИЧЕСКАЯ СВЯЗЬ
International electrotechnical vocabulary. Chapter 731.
Optical fibre communication
(IEC 60050-731:1991 + Cor.1(1992), IDT)
ГОСТ IEC 60050-731-2017
Дата введения
1 марта 2021 года
Цели, основные принципы и общие правила проведения работ по межгосударственной стандартизации установлены
ГОСТ 1.0 "Межгосударственная система стандартизации. Основные положения" и
ГОСТ 1.2 "Межгосударственная система стандартизации. Стандарты межгосударственные, правила и рекомендации по межгосударственной стандартизации. Правила разработки, принятия, обновления и отмены".
1 ПОДГОТОВЛЕН Акционерным обществом "Всероссийский научно-исследовательский институт сертификации" (АО "ВНИИС") на основе собственного перевода на русский язык англоязычной версии стандарта, указанного в
пункте 5
2 ВНЕСЕН Федеральным агентством по техническому регулированию и метрологии
3 ПРИНЯТ Межгосударственным советом по стандартизации, метрологии и сертификации (протокол от 30 ноября 2017 г. N 52)
За принятие проголосовали:
Краткое наименование страны по МК (ИСО 3166) 004-97 | Код страны по МК (ИСО 3166) 004-97 | Сокращенное наименование национального органа по стандартизации |
Азербайджан | AZ | Азстандарт |
Беларусь | BY | Госстандарт Республики Беларусь |
Киргизия | KG | Кыргызстандарт |
Россия | RU | Росстандарт |
Узбекистан | UZ | Узстандарт |
4 Приказом Федерального агентства по техническому регулированию и метрологии от 28 октября 2020 г. N 967-ст межгосударственный стандарт ГОСТ IEC 60050-731-2017 введен в действие в качестве национального стандарта Российской Федерации с 1 марта 2021 г.
5 Настоящий стандарт идентичен международному стандарту IEC 60050-731:1991 "Международный электротехнический словарь. Глава 731. Волоконно-оптическая связь" ("International Electrotechnical Vocabulary - Chapter 731: Optical fibre communication", IDT), включая техническую поправку Cor.1 (1992)
6 ВВЕДЕН ВПЕРВЫЕ
Информация о введении в действие (прекращении действия) настоящего стандарта и изменений к нему на территории указанных выше государств публикуется в указателях национальных стандартов, издаваемых в этих государствах, а также в сети Интернет на сайтах соответствующих национальных органов по стандартизации.
В случае пересмотра, изменений или отмены настоящего стандарта соответствующая информация также будет опубликована на официальном интернет-сайте Межгосударственного совета по стандартизации, метрологии и сертификации в каталоге "Межгосударственные стандарты"
D - способность к обнаружению;
D' - нормированная способность к обнаружению;
g - параметр профиля;
L - энергетическая яркость;
M - параметр дисперсии в материале;
n - показатель преломления (среды);
N - групповой показатель преломления;
P - параметр дисперсии профиля;
S - плотность мощности;
V - нормализованная частота;

- коэффициент затухания;

- коэффициент фазы;

- коэффициент распространения;

- контраст показателей преломления.
РАЗДЕЛ 731-01 ОБЩИЕ ПОНЯТИЯ
731-01-01
электромагнитное излучение/электромагнитная радиация (electromagnetic radiation):
1 Явление, при котором энергия поступает из источника в пространство в форме электромагнитных волн.
2 Энергия, передаваемая в пространстве в виде электромагнитных волн.
731-01-02
фотон (photon): Квант электромагнитной энергии
hv с некоторыми характеристиками частиц, где
h - постоянная Планка и
v - частота излучения.
731-01-03
оптическое излучение (optical radiation): Электромагнитное излучение в вакууме с длинами волн между диапазонами рентгеновского излучения и радиоволн, т.е. приближенно между 1 нм и 1 мм.
731-01-04
свет/видимое излучение (light/visible radiation): Любое оптическое излучение, которое может восприниматься непосредственно зрением человека.
Примечания
1 - Номинально включает диапазон длин волн от 380 нм до 800 нм.
2 - В области лазерной и оптической связи в английском языке традиционно используется расширенное значение термина "light", включающее более широкую часть электромагнитного спектра так, чтобы можно было применить основную оптическую технологию, используемую для видимого спектра.
731-01-05
инфракрасное (излучение)/ИК (сокращение) (infrared/IR (abbreviation)):
Оптическое излучение в вакууме, длины волн которого в вакууме больше длин волн
видимого излучения, что приближенно составляет от 780 нм до 1 мм.
731-01-06
ультрафиолетовое (излучение)/УФ (сокращение) (ultraviolet/UV (abbreviation)):
Оптическое излучение, длины волн которого короче длин волн видимого излучения, что приближенно составляет от 1 нм до 400 нм.
731-01-07
оптический спектр (optical spectrum): Диапазон длин волн
оптического излучения в вакууме.
731-01-08
монохроматическое излучение (monochromatic radiation):
1. Теоретически излучение, состоящее из единичной длины волны или частоты.
2. Практически излучение очень малого диапазона длин волн или частот, которое может быть описано единичной длиной волны или частотой.
731-01-09
когерентность (coherence): Явление, связанное с наличием корреляции между фазами соответствующих составляющих двух волн или между значениями фаз данной составляющей в течение двух моментов времени или в двух точках пространства.
731-01-10
когерентный (coherent): Определяющий одну или более волн или излучений, характеризующихся явлением
когерентности.
731-01-11
пространственная когерентность (spatial coherence space coherence): Когерентность, при которой электромагнитные поля коррелированы в пространстве.
731-01-12
временная когерентность (time coherence/temporal coherence): Когерентность, при которой электромагнитные поля коррелированы в данное время.
731-01-13
неполная когерентность (partial coherence): Когерентность, при которой электромагнитные поля в двух точках или в течение двух моментов времени имеют низкую статистическую корреляцию.
731-01-14
степень когерентности (degree of coherence): Величина степени, при которой излучение может считаться когерентным.
Примечания
1 - Значение степени когерентности равно видимости V полос в 2-лучевом интерференционном эксперименте, где:

,
где Smax - максимальная интенсивность в интерференционной картине; Smin - минимальная интенсивность.
2 - оптическое излучение считается высококогерентным, когда степень когерентности превышает 0,88; не полно когерентным для величин менее 0,88 и некогерентным для величин значительно меньших 0,88.
731-01-15
когерентное излучение (coherent radiation): Излучение, характеризующееся явлением когерентности.
731-01-16
когерентная область (coherent area): Область в плоскости, перпендикулярной направлению распространения, при прохождении через которую распространяющийся свет может считаться высококогерентным излучением.
731-01-17
длина когерентности (coherence length): Расстояние распространения оптического излучения, на котором оно может считаться когерентным излучением.
Примечание - Если ширина спектральной линии источника -

и длина центральной волны -

, то длина когерентности в среде с показателем преломления
n приближенно составляет

.
731-01-18
время когерентности (coherence time): Время, в течение которого распространяющееся оптическое излучение может считаться когерентным излучением.
Примечания
1 - Оно равно длине когерентности, деленной на фазовую скорость в среде.
2 - Время когерентности выражается приближенно

, где

- длина центральной волны,

- ширина спектральной линии и c - скорость света в вакууме.
731-01-19
некогерентность (incoherence): Свойство излучения, которое характеризуется очень малой степенью когерентности.
731-01-20
некогерентное излучение (incoherent radiation): Излучение, характеризующееся очень малой степенью когерентности.
731-01-21
энергия излучения (radiant energy): Энергия, которая излучается, передается или принимается посредством электромагнитных волн.
731-01-22
мощность излучения/оптическая мощность/поток излучения (radiant power/optical power/optical flux/radiant flux): Скорость потока энергии излучений за определенный интервал времени.
731-01-23
сила излучения (radiant intensity): Отношение мощности излучения, генерируемой источником в данном направлении и распространяющейся внутри малого телесного угла, к этому телесному углу.
731-01-24
энергетическая яркость L (radiance brightness (deprecated),
L): Отношение мощности излучения в данном направлении и в данной точке реальной или гипотетической поверхности, передаваемой элементарным пучком лучей, проходящим через данную точку и распространяющимся в телесном угле в данном направлении, к произведению этого телесного угла и площади поперечного сечения пучка, включающего данную точку, и косинуса угла между перпендикуляром к этому поперечному сечению и направлением пучка.
Примечание - Поверхность может быть поверхностью источника или поверхностью, излучающей, принимающей или пересекающей световой луч.
731-01-25
облученность/энергетическая освещенность (irradiance/intensity (deprecated)): Отношение оптической мощности, падающей на элемент поверхности, к площади этого элемента.
731-01-26
плотность мощности S (power flux density radiant flux density,
S): Отношение оптической мощности, проходящей через элемент поверхности перпендикулярно направлению распространения энергии электромагнитной волны, к площади элемента.
731-01-27
интенсивность (излучения) (intensity): Квадрат величины электрического поля электромагнитной волны.
Примечание - Интенсивность пропорциональна облученности или плотности мощности и иногда используется вместо этих терминов, когда важны только относительные величины.
731-01-28
излучательность (radiant emittance/radiant exitance): Отношение мощности, излучаемой элементом поверхности источника, к площади этого элемента.
731-01-29
спектральная яркость (spectral radiance): Отношение энергетической яркости, содержащейся в элементарном диапазоне длин волн на данной длине волны, к этому диапазону.
731-01-30
спектральная облученность (spectral irradiance): Отношение облученности, содержащейся в элементарном диапазоне длин волн на данной длине волны, к этому диапазону.
731-01-31
сохранение яркости/теорема яркости (conservation of radiance/conservation of brightness (deprecated)/brightness theorem (deprecated)): Основной принцип, согласно которому ни одна пассивная оптическая система не может увеличить величину
L·
n-2, где
L - яркость луча и
n - локальный показатель преломления.
Примечание - Величина L·n-2 должна быть постоянной, если потери на поглощение, рассеяние и т.д. равны нулю.
731-01-32
геометрическая оптика (geometric optics/ray optics): Геометрическая трактовка распространения оптического излучения как лучей.
Примечание - При применении геометрической оптики можно заменить уравнения Максвелла более простыми уравнениями.
731-01-33
физическая оптика/волновая оптика (physical optics/wave optics): Трактовка распространения оптического излучения как явления волнового, а не лучевого, имеющего место в геометрической оптике.
731-01-34
пучок Гаусса (gaussian beam): Пучок оптического излучения с гауссовым распределением амплитуды электрического поля при измерении в поперечном сечении.
Примечание - Когда такой пучок кольцевой в поперечном сечении, то амплитуда:
E(r) = E(0)ехр[-(n'w)2],
где r - расстояние от центра пучка, w - радиус, при котором амплитуда составляет 1/e от его величины на оси.
731-01-35
диаметр пучка/ширина пучка (beam diameter/beam width): Расстояние между двумя диаметрально противоположными точками, на котором облученность является определенной частью пиковой интенсивности падающего пучка.
Примечание - В основном применимо к пучкам, которые являются кольцевыми или почти кольцевыми в поперечном сечении.
731-01-36
расходимость пучка (beam divergence):
1 - Увеличение поперечного сечения пучка в зависимости от увеличения расстояния от источника.
2 - Угол дальнего поля, противолежащий двум диаметрально противоположным точкам в плоскости, перпендикулярной оптической оси, в которых облученность является определенной частью пиковой интенсивности падающего пучка.
Примечание - Обычно следует определять только максимальную и минимальную расходимости (соответствующие большому и малому диаметрам облученности дальнего поля).
731-01-37
закон Ламберта (Lambert's cosine law/cosine emission law): Энергетическая яркость некоторых идеальных поверхностей не зависит от угла, под которым наблюдается эта поверхность.
Примечание - Сила излучения такой поверхности максимально перпендикулярна поверхности и уменьшается пропорционально косинусу угла от перпендикуляра.
731-01-38
излучатель Ламберта (Lambertian radiator/Lambertian source): Излучатель или поверхность, излучение которых распределяется под углом в соответствии с законом Ламберта.
731-01-39
рефлектор Ламберта (Lambertian reflector): Рефлектор, излучение от которого отражается под углом в соответствии с законом Ламберта.
731-01-40
коллимация (collimation): Процесс, при котором расходящийся или сходящийся пучок оптического излучения преобразуется в пучок параллельных лучей.
731-01-41
акустооптический эффект (acousto-optic effect): Изменение показателя преломления, вызванное акустической волной.
Примечание - Акустооптический эффект используется в устройствах, которые модулируют и отклоняют излучение.
731-01-42
электрооптический эффект (electro-optic effect): Изменение оптических характеристик материала под влиянием электрического поля.
Примечания
1 - Эффекты Поккельса и Керра являются примерами электрооптических эффектов.
2 - Термин "электрооптический" часто ошибочно используется как синоним термина "оптоэлектронный".
3 - Наиболее часто эффект ведет к изменению показателя преломления.
731-01-43
магнитооптический эффект (magneto-optic effect): Изменение оптических характеристик материала под влиянием магнитного поля.
Примечания
1 - Магнитооптические материалы обычно используются для вращения поляризации линейно-поляризованной волны.
2 - Наиболее часто эффект ведет к изменению показателя преломления.
731-01-44
волоконная оптика (fibre optics): Раздел оптики, связанный с передачей оптического излучения через волокно, изготовленное из прозрачных материалов, таких как стекло, кварцевое стекло или пластик.
731-01-45
оптический волновод (optical waveguide): Линия для направленной передачи оптической мощности.
731-01-46
тонкопленочный волновод (thin film optica) waveguide): Оптический волновод, включающий тонкую пленку, которая может быть диэлектриком или полупроводником, связанную материалами с более низкими показателями преломления.
731-01-47
искажение (сигнала) (distortion (of a signal)): Любое непреднамеренное и обычно нежелательное изменение формы сигнала, происходящее в двухточечной сети связи или передающей среде.
Примечание - В оптических волокнах существует несколько механизмов затухания и дисперсии, которые могут вызывать искажение принятого сигнала.
731-01-48
затухание/потери (attenuation/loss):
1 Уменьшение электромагнитной мощности при передаче между двумя точками.
2 Количественное выражение уменьшения мощности, которое может быть выражено отношением значений мощности в двух точках.
Примечание - Затухание обычно выражается в логарифмических единицах, таких как децибелы (дБ).
731-01-49
потери при передаче (через оптический канал) (transmission loss (of an optical path)): Потери в оптическом передающем канале, связывающем два соседних оптоэлектронных устройства, на определенной длине волны.
731-01-50
вносимые потери (оптического компонента) (insertion loss (of an optical component)): Оптическое затухание, вызванное вводом оптического компонента в оптическую систему.
731-01-51
спектральное окно (оптического волновода) (spectral window (of an optical waveguide)): Диапазон длин волн в оптическом волноводе, в котором потери при передаче достаточно малы, что обеспечивает нормальную работу системы.
731-01-52
ширина полосы (оптического волокна) (bandwidth (of an optical fibre)): Величина, численно равная самой низкой частоте модуляции, на которой величина передаточной функции полосы модулирующих частот оптического волокна уменьшается до определенного уровня, обычно равного половине величины нулевой частоты.
Примечание - Ширина полосы в основном ограничена несколькими факторами:
а) в многомодовых волокнах - модовым искажением и дисперсией материала;
б) в одномодовых волокнах - дисперсией материала и волновода.
731-01-53
передаточная функция/частотная характеристика (transfer function/frequency response): Отношение двух комплексных величин, характеризующих сигнал как функцию частоты на выходе и соответствующем ему входе устройства.
Примечания
1 - Передаточная функция может быть определена как отношение преобразований Фурье или Лапласа выходного и входного параметров, выраженных как функции времени. Термин "частотная характеристика" определяет отношение преобразований Фурье.
2 - Передаточная функция - преобразование импульсной характеристики Лапласа или Фурье.
731-01-54
передаточная функция полосы модулирующих частот (baseband transfer function baseband response function): Передаточная функция оптического волокна, определяемая как отношение комплексных величин, соответствующих входной и выходной модулированной оптической мощности.
731-01-55
импульсная характеристика (impulse response): Временная характеристика устройства, получаемая в результате применения дельта-функции Дирака к входному каналу устройства.
Примечание - Импульсная характеристика - обратное преобразование Лапласа или Фурье передаточной функции. Ее свертывание с входной функцией дает выходную функцию.
731-01-56
импульс Гаусса (Gaussian pulse): Импульс, который имеет форму волны распределения Гаусса.
Примечание - Во временной области форма волны представляет собой:
f(t) = A exp[-(t/a)2],
где A - постоянная, a - половина длительности импульса в 1/e точках.
731-01-57
полная ширина полосы по уровню 0,5 (full width half maximum/FWHM (abbreviation)): Диапазон переменной, в котором данная характеристика больше 50% ее максимального значения.
Примечание - Полная ширина полосы по уровню 0,5 может быть применима к таким характеристикам, как диаграмма направленности излучения, ширина спектральной линии и т.д. Переменная может быть длиной волны, пространственной или угловой характеристикой и т.д.
731-01-58
полная длительность импульса по уровню 0,5 (full duration half maximum (of a pulse) FDHM (abbreviation)): Период времени, в течение которого импульс имеет уровень больше 50% его максимального значения.
731-01-59
оптоэлектронный (opto-electronic): Относится к устройству, которое содержит по крайней мере один основной электрический рабочий полюс и срабатывает под воздействием оптической мощности, генерирует или преобразует оптическое излучение или использует оптическое излучение для самостоятельной работы; также используется для определения соответствующей области техники.
Примечания
1 - Оптоэлектронное устройство - это любое устройство, которое способно функционировать как преобразователь электрического сигнала в оптический или оптического в электрический. Фотодиоды, СИД и инжекционные лазеры являются примерами оптоэлектронных устройств.
2 - В качестве синонима термина "оптоэлектронный" часто ошибочно используется термин "электрооптический".
731-01-60
электролюминесценция (electroluminescence): Избыток оптического излучения, вызываемого обычной термоэлектронной эмиссией в результате воздействия электрической энергии.
Примечание - Примером является фотонная эмиссия в результате рекомбинации электрон-дырка д p-n переходе так, как в светодиоде.
731-01-61
фотоэлектрический эффект (photo-electric effect): Явление взаимодействия оптического излучения и материи (т.е. поглощение фотонов), которое дает в результате последовательное появление свободных носителей зарядов.
731-01-62
фотопроводимость/внутренний фотоэлектрический эффект (photo-conductivity internal photo-electric effect): Фотоэлектрический эффект, характеризующийся изменением электропроводности.
731-01-63
внешний фотоэлектрический эффект (photo-emissive effect external photo-electric effect): Фотоэлектрический эффект, характеризующийся электронной эмиссией с поверхности, облученной оптическим излучением.
731-01-64
фотогальванический эффект (photo-voltaic effect): Фотоэлектрический эффект, характеризующийся созданием электродвижущей силы.
731-01-65
квантовый шум фотонный шум (quantum noise photon noise): Шум, связанный с дискретной природой электромагнитного излучения, и в частности оптического излучения.
731-01-66
оптически активный материал (optically active material): Материал, который может вращать поляризацию линейно-поляризованного оптического излучения, проходящего через него.
Примечание - Оптически активный материал проявляет различные показатели преломления для левой и правой кольцевой поляризации.
731-01-67
плавленый кварц (fused quartz): Стекло, изготовленное в результате плавки кристаллов кварца.
Примечание - Плавленый кварц не такой чистый, как стекловидный кремний.
731-01-68
кварцевое стекло (fused silica/vitreous silica): Стекло, состоящее из почти чистой двуокиси кремния (SiO
2).
РАЗДЕЛ 731-02 КОНСТРУКЦИЯ ВОЛОКНА И ОПТИЧЕСКИЕ ХАРАКТЕРИСТИКИ
731-02-01
(оптическое) волокно (optical fibre): Нить, образующая оптический волновод, изготовленная из диэлектрических материалов.
731-02-02
одномодовое волокно (singlemode fibre): Оптическое волокно, в котором на данной длине волны может распространяться излучение только одной предельной моды.
Примечание - Предельная мода может состоять из пары ортогонально-поляризованных полей.
731-02-03
многомодовое волокно (multimode fibre): Оптическое волокно, в сердцевине которого излучение двух или более предельных мод может распространяться на данной длине волны.
731-02-04
сердцевина (оптического волокна) (core): Центральная часть оптического волокна, через которую передается наибольшая величина оптической мощности.
731-02-05
оболочка (оптического волокна) (cladding): Диэлектрический материал оптического волокна, окружающий сердцевину.
731-02-06
профиль показателя преломления (refractive index profile): Распределение показателя преломления вдоль диаметра поперечного сечения оптического волокна.
731-02-07
ступенчатый профиль (step index profile): Профиль показателя преломления, характеризующийся постоянным показателем преломления в сердцевине и резким уменьшением показателя преломления на границе сердцевины и оболочки.
731-02-08
ступенчатое волокно (step index fibre): Оптическое волокно, имеющее ступенчатый профиль.
731-02-09
эквивалентный ступенчатый профиль (equivalent step index profile ESI-profile): Профиль показателя преломления гипотетического ступенчатого волокна, оболочка которого имеет постоянный показатель преломления и которое имеет такие же характеристики распространения, что и одномодовое волокно.
731-02-10
разность показателей преломления в эквивалентном ступенчатом профиле (ESI refractive index difference): Разность между показателем преломления сердцевины и показателем преломления оболочки в эквивалентном ступенчатом профиле.
731-02-11
градиентный профиль (graded index profile): Профиль, в котором показатель преломления постоянно изменяется в сердцевине как функция расстояния от оси.
731-02-12
экспоненциальный профиль/альфа-профиль (power-law index profile/alpha profile (deprecated)): Градиентный профиль, в котором квадрат показателя преломления в сердцевине уменьшается в соответствии с законом, определяющим зависимость мощности от расстояния до оси.

,
где n(r) - показатель преломления как функция радиуса r <= a;
n1 - показатель преломления на оси;
a - радиус сердцевины;
g - параметр, определяющий форму профиля;

- параметр, аналогичный контрасту показателей преломления, когда показатель преломления оболочки - постоянный.
731-02-13
параметр профиля g (profile parameter): Параметр, определяющий форму экспоненциального профиля показателя преломления.
Примечание -

часто используется вместо
g, но это нежелательно.
731-02-14
параболический профиль, квадратичный профиль (parabolic profile): Экспоненциальный профиль с параметром профиля
g, равным двум.
731-02-15
градиентное волокно (graded index fibre): Оптическое волокно, имеющее градиентный профиль показателя преломления.
731-02-16
провал в профиле показателя преломления (index dip): Резкое снижение показателя преломления в центре сердцевины.
Примечание - Провал в профиле показателя преломления - недостаток, который может иметь место при использовании некоторых методов производства.
731-02-17
однородная оболочка (homogeneous cladding): Часть оболочки, в которой показатель преломления постоянный в пределах определенного допуска, что в какой-то мере влияет на распространение волн.
Примечание - В волокне может быть более одной однородной оболочки.
731-02-18
оболочка с провалом в профиле показателя преломления (depressed cladding): Часть оболочки, непосредственно граничащая с сердцевиной, имеющая значение показателя преломления меньше значения показателя преломления внешних частей оболочки.
731-02-19
согласованная оболочка (matched cladding): Оболочка, представляющая собой единую однородную оболочку.
731-02-20
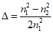
контраст показателей преломления, 
(refractive index contrast,

): Величина относительной разности показателей преломления сердцевины и оболочки оптического волокна, которая выражается формулой:

,
где n1 и n2 соответственно максимальные показатели преломления сердцевины и внутренней однородной оболочки.
731-02-21
волокно с большим затуханием (weakly guiding fibre): Оптическое волокно, у которого относительная разность между максимальным показателем преломления сердцевины и показателем преломления внутренней однородной оболочки мала.
Примечание - Обычно эта относительная разность составляет менее 1%.
731-02-22
площадь сердцевины (core area): Площадь в поперечном сечении оптического волокна, в пределах которой относительный показатель преломления везде (за исключением любого провала в профиле показателя преломления) превышает показатель преломления внутренней однородной оболочки на величину разности максимальных показателей преломления сердцевины и внутренней однородной оболочки.
Примечание - Площадь сердцевины - наименьшая площадь поперечного сечения волокна, за исключением любого провала в профиле показателя преломления, которая находится в пределах геометрического места точек, где показатель преломления n выражается:
n3 = n2 + k(n1 - n2)
где n1 - максимальный показатель преломления сердцевины;
n2 - показатель преломления прилегающей внутренней однородной оболочки;
k - постоянная (обычно в диапазоне 0 - 0,05).
731-02-23
опорная поверхность (оптического волокна) (reference surface (of an optical fibre)): Цилиндрическая поверхность оптического волокна, являющаяся исходной для юстировки при выполнении операции соединения.
Примечание - Опорная поверхность является обычно поверхностью оболочки или первичного покрытия. В редких случаях она может быть поверхностью сердцевины.
731-02-24
центр сердцевины (core centre): Центр круга на поперечном сечении оптического волокна, который соответствует внешней границе площади сердцевины.
Примечания
1 - Центр сердцевины может не соответствовать центру оболочки и центру опорной поверхности.
2 - Должен быть определен метод большего соответствия.
731-02-25
центр оболочки (cladding centre): Центр круга на поперечном сечении оптического волокна, который соответствует внешней границе оболочки.
Примечания
1 - Центр оболочки может не соответствовать центру сердцевины и опорной поверхности.
2 - Должен быть определен метод большего соответствия.
731-02-26
центр опорной поверхности (reference surface centre): Центр круга на поперечном сечении оптического волокна, который соответствует опорной поверхности.
Примечания
1 - Центр опорной поверхности может не соответствовать центрам сердцевины и центру оболочки.
2 - Должен быть определен метод большего соответствия.
731-02-27
ось волокна (fibre axis/optical axis): Геометрическое место центров сердцевины вдоль длины оптического волокна.
731-02-28
диаметр сердцевины (core diameter): Диаметр круга, определяющего центр сердцевины.
731-02-29
диаметр оболочки (cladding diameter): Диаметр круга, определяющего центр оболочки.
731-02-30
диаметр опорной поверхности (reference surface diameter): Диаметр круга, определяющего центр опорной поверхности.
731-02-31
средний диаметр сердцевины (average core diameter): Среднее значение диаметров сердцевины вдоль оптического волокна.
731-02-32
средний диаметр оболочки (average cladding diameter): Среднее значение диаметров оболочки вдоль оптического волокна.
731-02-33
средний диаметр опорной поверхности (average reference surface diameter): Среднее значение диаметров опорной поверхности вдоль оптического волокна.
731-02-34
допустимое отклонение диаметра сердцевины (core diameter tolerance): Максимально допустимое отклонение от номинальных значений диаметра сердцевины.
731-02-35
допустимое отклонение диаметра оболочки (cladding diameter tolerance): Максимально допустимое отклонение от номинальных значений диаметра оболочки.
731-02-36
допустимое отклонение диаметра опорной поверхности (reference surface diameter tolerance): Максимально допустимое отклонение от номинальных значений диаметра опорной поверхности.
731-02-37
поле допуска сердцевины (core tolerance field): Область в поперечном сечении оптического волокна между кругом, концентричным с центром сердцевины, ограничивающим площадь сердцевины, и наибольшим кругом, концентричным с первым, который соответствует площади сердцевины.
731-02-38
поле допуска оболочки (cladding tolerance field): Область в поперечном сечении оптического волокна между кругом, концентричным с центром оболочки, ограничивающим оболочку, и наибольшим кругом, концентричным с первым, который соответствует оболочке.
731-02-39
поле допуска опорной поверхности (reference surface tolerance field): Область в поперечном сечении оптического волокна между кругом, концентричным с центром опорной поверхности, ограничивающим опорную поверхность, и наибольшим кругом, концентричным с первым, который соответствует опорной поверхности.
731-02-40
некруглость сердцевины (non-circularity of core): Отношение разности между диаметрами двух кругов, определяемых полем допуска сердцевины, к диаметру сердцевины.
731-02-41
некруглость оболочки (non-circularity of cladding): Отношение разности между диаметрами двух кругов, определяемых полем допуска оболочки, к диаметру оболочки.
731-02-42
некруглость опорной поверхности (non-circularity of reference surface): Отношение разности между диаметрами двух кругов, определяемых полем допуска опорной поверхности, к диаметру опорной поверхности.
731-02-43
отклонение от концентричности сердцевины/оболочки (core/cladding concentricity error):
1 - В многомодовых волокнах - это отношение расстояния между центром сердцевины и центром оболочки к диаметру сердцевины.
2 - В одномодовых волокнах - это расстояние между центром сердцевины и центром оболочки.
731-02-44
отклонение от концентричности сердцевины/опорной поверхности (core/reference surface concentricity error):
1 - В многомодовых волокнах - это отношение расстояния между центром сердцевины и центром опорной поверхности к диаметру сердцевины.
2 - В одномодовых волокнах - это расстояние между центром сердцевины и центром опорной поверхности.
731-02-45
стеклянное волокно (all-glass fibre): Оптическое волокно, имеющее сердцевину и оболочку полностью из многокомпонентного стекла.
731-02-46
кварцевое волокно (all-silica fibre): Оптическое волокно, имеющее сердцевину и оболочку полностью из кварца.
731-02-47
пластиковое волокно (all-plastic fibre): Оптическое волокно, имеющее сердцевину и оболочку полностью из многокомпонентного пластика.
731-02-48
кварцевое волокно с пластиковой оболочкой (plastic clad silica fibre/PCS-fibre): Оптическое волокно, имеющее кварцевую сердцевину и пластиковую оболочку.
731-02-49
заготовка (preform): Структура, из которой может быть протянуто оптическое волокно.
731-02-50
метод использования стержня в трубке (rod-in-tube technique stav-rorteknik): Производственный процесс, при котором в качестве заготовки используется стержень, помещенный в трубку.
731-02-51
метод двух тиглей (double crucible technique): Производственный процесс, при котором материалы для изготовления сердцевины и оболочки плавятся в двух концентричных тиглях и протягиваются, образуя оптическое волокно.
731-02-52
метод ионного обмена (ion exchange technique): Производственный процесс, при котором градиентное волокно изготавливается с использованием ионного обмена.
731-02-53
метод химического парофазного осаждения (chemical vapour deposition technique, CVD): Процесс изготовления заготовок, при котором пары и газы вступают в химическую реакцию, образуя осадки на поверхности субстрата.
731-02-54
метод осевого парофазного осаждения (vapour phase axial deposition technique, VAD): Процесс изготовления заготовок по методу химического парофазного осаждения, при котором пары осаждаются аксиально, образуя заготовку.
731-02-55
запирающий слой (barrier layer): Слой, который препятствует диффузии OH-ионов в сердцевине.
731-02-56
амортизирующее покрытие (fibre buffer): Материал или композиция материалов, используемые для защиты оптического волокна от физического повреждения.
731-02-57
первичное покрытие (primary coating): Тонкое покрытие, наносимое непосредственно на оболочку для сохранения целостности поверхности оболочки.
731-02-58
вторичное покрытие/защитное покрытие волокна (secondary coating/fibre jacket): Покрытие, наносимое непосредственно на первичное покрытие для улучшения защиты оптического волокна при укладке его в кабель.
РАЗДЕЛ 731-03 ХАРАКТЕРИСТИКИ РАСПРОСТРАНЕНИЯ
731-03-01
луч света (light ray): Путь, который является тангенциальным в каждой точке к направлению распространения энергии излучения в этой точке.
Примечания
1 - Понятие луча является основой геометрической оптики.
2 - Несколько лучей могут существовать между двумя точками.
3 - В изотропной среде луч перпендикулярен фронту волны.
731-03-02
фронт волны (wavefront): Геометрическое место точек, где все компоненты векторов электромагнитной волны имеют одинаковую фазу в одинаковое время.
731-03-03
плоская волна (plane wave): Волна, все фронты волн которой являются параллельными плоскостями.
731-03-04
мода (mode): Одно из решений уравнений Максвелла, представляющее электромагнитное поле в определенном пространственном домене и принадлежащее к семейству независимых решений, определенных особыми граничными условиями.
731-03-05
интерференция (interference): Явление, возникающее при наложении двух или более когерентных колебаний или волн равной или почти равной частоты и существующее как изменение результирующей амплитуды в пространстве в виде интерференционных картин и во времени в форме биений.
731-03-06
направленная волна (guided wave): Электромагнитная волна, энергия которой остается ограниченной между поверхностями или вблизи от поверхностей по причине резкого или прогрессивного изменения электромагнитных свойств среды в направлениях, перпендикулярных этим поверхностям.
Примечание - Направленная волна может включать несколько электромагнитных мод.
731-03-07
поверхностная волна (surface wave): Электромагнитная волна, которая распространяется вдоль поверхности, разделяющей две среды, что определяется геометрической формой поверхности и свойствами среды около этой поверхности.
731-03-08
изотропный (для электромагнитных волн) (isotropic (for electromagnetic waves)): Относится к среде, электромагнитные свойства которой в каждой точке не зависят от направления распространения и поляризации волны, распространяющейся в среде.
731-03-09
анизотропный (для электромагнитных волн) (anisotropic (for electromagnetic waves)): Относится к среде, электромагнитные свойства которой в каждой точке отличаются в различных направлениях распространения или различаются поляризациями волны, распространяющейся в среде.
731-03-10
оптическая ось (optic axis): Направление распространения волн в анизотропной среде, при котором две волны с ортогональными поляризациями имеют одинаковую фазовую скорость.
Примечание - В английском языке термин отличать от термина "optical axis".
731-03-11
показатель преломления (среды) n (refractive index (of a medium) index of refraction
n): В точке среды и в данном направлении - это отношение скорости света в вакууме к фазовой скорости синусоидальной плоской волны, распространяющейся в этом данном направлении.
731-03-12
длина оптического канала (optical path length): Произведение геометрического расстояния и показателя преломления в среде с постоянным показателем преломления
n.
731-03-13
оптическая толщина (optical thickness): Произведение физической толщины однородного изотропного оптического элемента и его показателя преломления
n.
731-03-14
поглощение (absorption): Преобразование в среде распространения электромагнитной волновой энергии в другую форму энергии, например в тепловую.
Примечание - В оптических волокнах внутренние компоненты поглощения состоят из "хвостов" ультрафиолетовой и инфракрасной полос поглощения.
Внешние компоненты могут включать: а) примеси, OH-ионы и ионы металлов переходной группы; б) дефекты, являющиеся результатом воздействия термического и ядерного излучений.
731-03-15
микроизгиб (microbending): Резкая кривизна оптического волокна, включающая локальное осевое смещение порядка нескольких микрометров и пространственных длин волн порядка нескольких миллиметров.
Примечание - Такие изгибы могут являться результатом покрытия волокна, укладки в кабель, упаковывания, установки и т.д.
731-03-16
потери при микроизгибе (microbend loss): Потери в оптическом волокне, связанные с микроизгибом.
731-03-17
макроизгиб (macrobending): В оптическом волокне все макроскопические отклонения оси от прямой линии, радиусы которых больше диаметра волокна, отличаются от микроизгиба.
731-03-18
потери при макроизгибе (macrobend loss): Потери в оптическом волокне, связанные с макроизгибом.
731-03-19
отражение (reflection): Изменение направления падающей волны на границе между двумя различными средами, при котором волна возвращается частично или полностью в среду, где она возникает.
731-03-20
отражение Френеля (Fresnel reflection): Отражение части оптического излучения, падающего на плоскую границу раздела двух однородных сред, имеющих различные показатели преломления.
731-03-21
угол падения (angle of incidence): Угол между падающим лучом и перпендикуляром к отражающей или преломляющей поверхности.
731-03-22
полное отражение/полное внутреннее отражение (total reflection): Полное отражение, которое имеет место при попадании света на границу раздела сред под углами падения большими относительно перпендикуляра, чем критический угол.
731-03-23
критический угол (critical angle): Наибольший угол падения, при котором волна, распространяющаяся в однородной среде с относительно высоким показателем преломления, падает на границу раздела со средой, имеющей более низкий показатель преломления и обеспечивающей минимальное преломление.
Примечание - При распространении света в однородной среде с относительно высоким показателем преломления (n высокий) и попадании на плоскую границу раздела с однородным материалом, имеющим более низкий показатель преломления (n низкий), критический угол определяется как arcsin (n низкий/n высокий).
731-03-24
угол Брюстера (Brewster's angle): Для оптического излучения, падающего на плоскость, разделяющую две области, имеющие различные показатели преломления, - это угол падения, при котором коэффициент отражения равен нулю; в этом случае оптическое излучение имеет вектор электрического поля в плоскости, определенной направлением распространения и перпендикуляром к поверхности.
Примечание - При распространении из среды 1 в среду 2 угол Брюстера представляет собой arctan (n2/n1)
731-03-25
коэффициент отражения (мощности) (power reflection coefficient (reflectance)): Отношение плотностей мощности отраженной и падающей волн в одной и той же точке и в соответствующих направлениях распространения энергии до и после отражения.
Примечание - В оптике коэффициент отражения часто выражается как плотность отражения ниц в процентах; при применении в связи обычно выражается в дБ.
731-03-26
преломление (refraction): Изгиб пучка излучения при передаче через границу раздела между двумя различными средами или в среде, показатель преломления которой является постоянной функцией положения, например в среде с градиентным показателем преломления.
731-03-27
двойное лучепреломление (birefringence): Наличие различных скоростей распространения для различных ортогональных поляризаций в анизотропной среде, характеризующейся двумя показателями преломления в одинаковом направлении.
731-03-28
среда с двойным лучепреломлением (birefringent medium): Среда, имеющая свойство двойного лучепреломления.
731-03-29
групповая скорость (group velocity): Вектор скорости в точке среды распространения сигнала, который может быть идеально представлен двумя совмещенными синусоидальными волнами с равной амплитудой и слегка отличающимися частотами, достигающими общей предельной величины.
Примечания
1 - Величина групповой скорости равна производной частоты по обратной величине длины волны.
2 - В изотропной среде групповая скорость равна фазовой скорости, если фазовая постоянная является линейной функцией угловой частоты.
3 - Каждая волноводная мода имеет свою собственную особую групповую скорость.
731-03-30
групповой показатель преломления N (group index
N): Отношение скорости света в вакууме к групповой скорости моды.
Примечания
1 - Для плоской волны длиной

групповой показатель преломления связан с показателем преломления
n следующим образом:

.
2 - Каждая мода имеет свой собственный групповой показатель преломления.
731-03-31
коэффициент пропускания (transmittance): Отношение переданной мощности к мощности падающего излучения для данных условий спектрального состава, поляризации и геометрического распределения.
Примечание - В оптике коэффициент пропускания часто выражается как плотность коэффициента пропускания или в процентах; при применении в связи обычно выражается в дБ.
731-03-32
плотность коэффициента пропускания (transmittance density): Десятичный логарифм обратной величины коэффициента пропускания.
731-03-33
плотность коэффициента отражения (reflectance density): Десятичный логарифм обратной величины коэффициента отражения.
731-03-34
дифракция (diffraction): Явление, при котором распространение волны отличается от распространения, прогнозируемого геометрической оптикой, вследствие влияния пропускания, непропускания или неоднородности среды для этой волны.
731-03-35
рассеяние (scattering): Распределение во многих направлениях энергии падающей волны после столкновения со случайно распределенными частицами или шероховатой поверхностью.
731-03-36
обратное рассеяние (backscattering): Рассеяние пучка излучения в направлениях, обратных направлению падающего пучка.
731-03-37
рэлеевское рассеяние (Rayleigh scattering): Рассеяние излучения в среде, обусловленное неоднородностями в плотности материала или составе среды, которые малы по сравнению с длиной волны.
Примечание - Рассеянная мощность обратно пропорциональна четвертой части мощности длины волны.
731-03-38
нелинейное рассеяние (nonlinear scattering): Рассеяние, сопровождаемое изменением оптического излучения с одной длины волны на другую или несколько других длин волн.
Примечание - Примерами являются рассеяния Рамана и Бриллюэна.
731-03-39
рассеяние в материале (material scattering): В оптическом волокне - часть полного рассеяния, связанная со свойствами материалов, использующихся для изготовления волокна.
731-03-40
рассеяние в волокне (fibre scattering): В оптическом волокне - часть полного рассеяния, связанная с изменениями геометрии и профиля показателя преломления волокна.
731-03-41
коэффициент распространения/постоянная распространения 
(propagation coefficient/propagation constant (term deprecated) (USA)

): Предел натурального логарифма отношения значений на данной частоте определенной составляющей электромагнитного поля в двух точках, выравненных в направлении распространения направленной или плоской волны или волны, практически плоской в ограниченной области пространства, к расстоянию между двумя точками, когда это расстояние стремится к нулю.
Примечание - Коэффициент распространения - комплексная величина, обычно функция частоты, и имеет размер обратной величины расстояния.
731-03-42
коэффициент затухания 
(attenuation coefficient/attenuation constant (term deprecated)

): Действительная часть коэффициента распространения.
Примечание - Коэффициент затухания оптического волновода - это предел отношения затухания между двумя точками на оси волновода к расстоянию между точками, когда это расстояние стремится к нулю.
731-03-43
коэффициент фазы, фазовая постоянная, 
(phase coefficient/phase constant (term deprecated) (USA)

): Мнимая часть коэффициента распространения.
Примечание - Коэффициент фазы оптического волновода - это предел отношения величины изменения фазы между двумя точками на оси волновода к расстоянию между точками, когда это расстояние стремится к нулю.
731-03-44
коэффициент осевого распространения (axial propagation coefficient): Коэффициент распространения, определенный вдоль оси оптического волокна в направлении передачи.
731-03-45
дифференциальное затухание мод (differential mode attenuation): Разность затухания распространяющихся мод в оптическом волокне.
731-03-46
дифференциальная задержка мод, многомодовая групповая задержка (differential mode delay multimode group delay): Разность задержки при распространении из-за наличия групповых скоростей предельных мод в оптическом волокне.
731-03-47
равномерное распределение мод/условие стационарного режима (equilibrium mode distribution/steady state condition): Условие распространения излучения в многомодовом оптическом волокне, при котором относительное распределение мощности между предельными модами не зависит от длины.
731-03-48
длина равновесия/длина равномерного распределения мод (equilibrium length/equilibrium mode distribution length): При особых условиях возбуждения - длина многомодового оптического волокна, необходимая для достижения равномерного распределения мод.
Примечание - Если условие возбуждения не указано, то ее следует определить как наибольшую длину для наихудшего варианта.
731-03-49
неравномерное распределение мод (non-equilibrium mode distribution): Распределение мод, существующее по длине многомодового оптического волокна, которое короче, чем длина равновесия.
731-03-50
связь мод (mode coupling): В оптическом волокне - обмен мощностью между модами.
731-03-51
связанные моды (coupled modes): Моды, которые характеризуются обменом энергии.
731-03-52
затухающее поле (evanescent field): Изменяющееся во времени электромагнитное поле в оптическом волноводе, амплитуда которого уменьшается быстро и монотонно, но без соответствующего фазового сдвига в определенном направлении, причем это не связано с поглощением.
731-03-53
предельная мода (bound mode): В оптическом волокне мода, поле которой монотонно затухает в поперечном направлении как в сердцевине, так и за ее пределами и которая не теряет мощности на излучение.
Примечания
1 Если показатель преломления уменьшается при увеличении расстояния от оси и не существует центрального провала в профиле показателя преломления, то предельная мода - та, для которой:

,
где

- мнимая часть (фазовая постоянная) постоянной осевого распространения,
n(a) - показатель преломления при r = a, радиус.
n(0) - показатель преломления при r = 0.
k - волновое число углового свободного пространства

и

- длина волны.
2 Предельные моды соответствуют направленным лучам с точки зрения геометрической оптики.
3 В многомодовом волокне мощность в предельных модах в основном заключена в сердцевине волокна.
731-03-54
поперечная электрическая мода, TE мода (transverse electric mode, TE mode): Мода, вектор электрического поля которой перпендикулярен, а вектор магнитного поля не перпендикулярен направлению распространения.
Примечание - В оптическом волокне TE моды наряду с TM модами соответствуют меридиональным лучам.
731-03-55
поперечная магнитная мода, TM мода (transverse magnetic mode, TM mode): Мода, вектор магнитного поля которой перпендикулярен, а вектор электрического поля не перпендикулярен направлению распространения.
Примечание - В оптическом волокне TM моды наряду с TE модами соответствуют меридиональным лучам.
731-03-56
поперечная электромагнитная мода (transverse electromagnetic mode, TEM mode): Мода, векторы электрического и магнитного полей которой перпендикулярны направлению распространения.
731-03-57
гибридная мода (hybrid mode): Мода, имеющая составляющие векторов электрического и магнитного полей в направлении распространения.
Примечание - Также моды соответствуют немеридиональным лучам.
731-03-58
линейно поляризованная мода (linearly polarised mode, LP mode): Мода оптического волокна с большим затуханием, которая имеет линейную поляризацию и для которой составляющие поля в направлении распространения малы по сравнению с составляющими, перпендикулярными этому направлению.
731-03-59
непредельная мода (unbound mode): Любая мода, не являющаяся предельной модой, обычно мода утечки или излучения волокна.
731-03-60
оболочечная мода (cladding mode): Мода, в которой электромагнитное поле заключается в оболочке и сердцевине в силу того, что над оболочкой имеется среда с более низким показателем преломления.
731-03-61
мода излучения (radiation mode): В оптическом волокне - мода, которая передает энергию в поперечном направлении вне сердцевины и которая находится даже в пределах нулевой длины волны.
Примечание - Моды излучения соответствуют преломленным лучам.
731-03-62
мода утечки (leaky mode/tunnelling mode): В оптическом волокне - мода, имеющая затухающее поле в поперечном направлении вне сердцевины на ограниченном расстоянии, но которая передает энергию в поперечном направлении везде за пределами этого расстояния.
Примечание - Моды утечки соответствуют лучам утечки.
731-03-63
нормализованная частота V (normalised frequency/
V number,
V): В оптическом волокне - безразмерная величина, обозначаемая
V и вычисляемая по формуле

,
где a - радиус сердцевины волокна,

- длина волны в вакууме,
n1 и n2 - максимальные показатели преломления сердцевины и внутренней однородной оболочки соответственно.
731-03-64
объем мод (mode volume): Максимальное количество предельных мод, распространяющихся в оптическом волокне.
Примечания
1 - При V < 2,405 в ступенчатом волокне может распространяться только одна мода, как и в одномодовом волокне.
2 - При V > 5 объем мод приближенно выражается: V2/2 и (V2/2)[g/(g + 2)], для волокон со ступенчатым и экспоненциальным профилем, соответственно, где g - параметр профиля и V - нормализованная частота.
731-03-65
диаметр модового поля (mode field diameter): При распределениях Гаусса в одномодовых волокнах - это диаметр в 1/e точках распределения амплитуды оптического поля, который также эквивалентен 1/e
2 точкам распределения оптической мощности.
731-03-66
критическая длина волны (моды) (cut-off wavelength (of a mode)): Длина волны в вакууме, больше которой предельная мода не может существовать в волноводе.
731-03-67
критическая длина волны (одномодового оптического волокна) (cut-off wavelength (of a singlemode optical fibre)): В одномодовом волокне - это длина волны в вакууме больше той, на которой мода
LP11 второго порядка перестает распространяться.
Примечание - Измеренное значение обычно зависит от условий измерения, и в частности от длины образца.
731-03-68
осевой луч (axial ray): Луч, который совпадает с осью волокна.
731-03-69
приосевой луч (paraxial ray): Луч, который близок и почти параллелен оси волокна.
Примечание - При расчете угол

в между лучом и оптической осью достаточно мал, чтобы

или

были заменены на

(радиан).
731-03-70
меридиональный луч (meridional ray): Луч, который проходит через ось оптического волокна.
731-03-71
косой луч (skew ray): Луч, который не пересекает ось оптического волокна.
731-03-72
преломленный луч (в оптическом волокне) (refracted ray (in an optical fibre)): Луч в оптическом волокне, который преломляется из сердцевины в оболочку.
Примечание - Преломленные лучи соответствуют модам излучения.
731-03-73
луч утечки/туннелирующий луч (leaky ray/tunnelling ray): Луч в оптическом волокне, который согласно геометрической оптике должен иметь полное внутреннее отражение на границе сердцевины, но который имеет необъяснимые данной теорией потери из-за кривизны этой границы.
Примечание - Лучи утечки соответствуют модам утечки.
731-03-74
дисперсия/хроматическая дисперсия (dispersion/chromatic dispersion (redundant term)): Зависимость параметра распространения от длины волны.
Примечания
1 - В результате дисперсии происходит искажение переданного сигнала.
2 - В одномодовом режиме дисперсия оптических волокон может возникать в результате дисперсии материала, дисперсии волновода, дисперсии профиля.
731-03-75
дисперсия в материале (material dispersion): Дисперсия, связанная с зависимостью длины волны от показателя преломления материала, использованного для изготовления волокна.
731-03-76
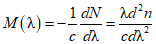
параметр дисперсии в материале M (material dispersion parameter
M): Величина, характеризующая дисперсию в материале, определяемая как:

,
где n - показатель преломления,
N - групповой показатель,

- длина волны в вакууме,
c - скорость света в вакууме.
Примечания
1 - Для многих волоконно-оптических материалов
M равен нулю на определенной длине волны

, обычно около 1300 нм.
M - положительный на длинах волн короче

и отрицательный на длинах волн больше

.
2 - Уширение импульсов, вызванное дисперсией в материале на единицу длины оптического волокна, представлено
M.

- ширина спектральной линии, за исключением

, где важны выражения, пропорциональные

.
731-03-77 дисперсия профиля (profile dispersion): В оптическом волокне - это дисперсия, связанная с изменением профиля показателя преломления в зависимости от длины волны.
Примечание - Изменение профиля имеет две составляющие:
изменение контраста показателей преломления;
изменение параметра профиля.
731-03-78
параметр дисперсии профиля P (profile dispersion parameter
P): Величина, характеризующая часть дисперсии профиля, связанную с изменением контраста показателей преломления в зависимости от длины волны, которая выражается формулой:

,
где n1 - максимальный показатель преломления сердцевины,
N1 - групповой показатель, соответствующий n1, где:

,

- контраст показателей преломления,

- длина волны в вакууме.
731-03-79
дисперсия в волноводе (waveguide dispersion): Дисперсия сигнала в результате зависимости фазовой и групповой скоростей от длины волны, обусловленная геометрическими характеристиками волокна.
Примечание - В оптических волокнах эта зависимость представляет собой отношение

, где
a - радиус сердцевины и

- длина волны.
731-03-80
уширение импульса, дисперсия импульса (pulse broadening pulse, dispersion pulse spreading): Искажение импульса, характеризующееся увеличением длительности импульса.
Примечания
1 - Уширение импульса является результатом дисперсии или других процессов.
2 - Уширение импульса можно определить посредством импульсной характеристики или уширения импульса на половине его максимума.
731-03-81
модовое искажение/модовая дисперсия (modal distortion/modal dispersion (deprecated)): В многомодовом оптическом волокне - это искажение в результате распространения различных мод, имеющих различные характеристики.
Примечание - Модовое искажение возникает как результат дифференциальной задержки мод и дифференциального затухания мод при определенных условиях возбуждения.
731-03-82
внутримодовое искажение, хроматическое искажение (intramodal distortion, chromatic distortion): В оптическом волокне - это искажение, связанное с дисперсией для данной моды.
731-03-83
угол излучения/выходной угол (radiation angle/output angle): Половинный угол при вершине конуса, включающий определенную часть расходящегося пучка света, излучаемого концом волокна.
Примечание - Конус обычно определяется углом, в котором облученность дальнего поля уменьшается до определенной части ее максимальной величины, или как конус, в котором имеется определенная часть полной излучаемой мощности в любой точке дальнего поля.
731-03-84
угол приема (acceptance angle): Половинный угол при вершине такого конуса, в котором оптическая мощность может быть введена в границах предельных мод оптического волокна.
Примечания
1 Угол приема является функцией положения входной торцевой поверхности сердцевины, когда показатель преломления является функцией радиуса сердцевины.
В этом случае он составляет:

,
где n(r) - показатель преломления и n2 - минимальный показатель преломления оболочки.
2 - Мощность может быть введена в пределах мод утечки под углами, превышающими угол приема.
731-03-85
числовая апертура NA (numerical aperture/NA (abbreviation)): Произведение синуса угла при вершине наибольшего конуса меридиональных лучей, которые могут входить или выходить из оптической системы или элемента, и показателя преломления среды, в которой размещена вершина этого конуса.
731-03-86
максимальная теоретическая числовая апертура (maximum theoretical numerical aperture): Теоретическое значение числовой апертуры, вычисленное с помощью значений показателя преломления сердцевины и оболочки, которое выражается как:

,
где n1 - максимальный показатель преломления сердцевины;
n2 - показатель преломления внутренней однородной оболочки.
731-03-87
числовая апертура возбуждения (launch numerical aperture, LNA): Числовая апертура оптической системы, используемая для ввода мощности излучения в оптическое волокно.
731-03-88
диаграмма направленности излучения (оптического волокна) (radiation pattern (of an optical fibre)): Относительное распределение мощности как функция положения или угла выходного конца излучающего оптического волокна.
731-03-89
область ближнего поля (near-field region): Область, близкая к источнику, или апертура, в которой диаграмма направленности излучения изменяется в зависимости от расстояния до источника.
731-03-90
диаграмма направленности излучения ближнего поля (near-field radiation pattern/near-field pattern): Диаграмма направленности излучения, которая описывает относительное распределение излучательности как функцию положения в плоскости выходной торцевой поверхности оптического волокна.
731-03-91
дифракционная картина ближнего поля/дифракционная картина Френеля (near-field diffraction pattern Fresnel diffraction pattern): Дифракционная картина, наблюдаемая в области ближнего поля.
731-03-92
область дальнего поля (far-field region): Область, далекая от источника, или апертура, в которой диаграмма направленности излучения не изменяется в зависимости от расстояния до источника.
731-03-93
диаграмма направленности излучения дальнего поля (far-field radiation pattern/far-field pattern): Диаграмма направленности излучения, которая описывает относительное распределение облученности как функцию угла в области дальнего поля выходной торцевой поверхности оптического волокна.
731-03-94
дифракционная картина дальнего поля/дифракционная картина Фраунгофера (far-field diffraction pattern Fraunhofer diffraction pattern): Дифракционная картина источника, наблюдаемая в области дальнего поля.
731-03-95
диаграмма направленности равномерного излучения (equilibrium radiation pattern): Диаграмма направленности выходного излучения оптического волокна, имеющего равномерное распределение мод.
731-03-96
эффективный объем мод (effective mode volume): Квадрат произведения диаметра диаграммы направленности излучения ближнего поля (при полной ширине полумаксимума) и синуса угла излучения диаграммы направленности излучения дальнего поля при полумаксимальной интенсивности.
Примечание - Эффективный объем мод пропорционален ширине относительного распределения мощности, выраженного как число мод в многомодовом волокне.
РАЗДЕЛ 731-04 ОПТИЧЕСКИЕ КАБЕЛИ
731-04-01
оптический кабель/волоконно-оптический кабель (optical cable/optical fibre cable): Сборка из одного или более оптических волокон или пучков волокон внутри общей оболочки, предназначенной для защиты их от механических воздействий и других внешних воздействующих факторов при сохранении качества передачи в волокнах.
Примечание - В конструкцию оптического кабеля могут входить металлические проводники.
731-04-02
многоволоконный кабель (multifibre cable flerfiberkabel): Оптический кабель, который содержит два или более оптических волокон, каждое из которых может передавать независимые сигналы.
731-04-03
оптический кабельный комплект (optical cable assembly/cable assembly): Оптический кабель, оканчивающийся оптическими соединителями.
731-04-04
кабель с плотно прилегающей оболочкой (tight jacketed cable): Оптический кабель, в котором оптические волокна со вторичным покрытием располагаются не свободно, а плотно уложены.
731-04-05
кабель со свободной укладкой (loose cable structure): Оптический кабель, в котором каждое оптическое волокно, имеющее только первичное покрытие, укладывается свободно в ячейку или трубку.
731-04-06
ленточный кабель (ribbon cable): Оптический кабель, в котором оптические волокна заключены в плоскую ленту.
Примечания
1 - Большие кабели могут изготавливаться путем укладывания в стопку двух или более ленточных кабелей; весь комплект покрывается оболочкой.
2 - Ленточный кабель может представлять собой кабель с плотно прилегающей оболочкой или кабель со свободной укладкой.
731-04-07
кабель со свободной укладкой волокон в трубку (loose tube cable): Кабель со свободной укладкой, в которой волокна укладываются в одну или более трубок.
731-04-08
кабель с укладкой волокон в канавки (grooved cable slotted core cable): Кабель со свободной укладкой, в которой оптические волокна уложены в канавки, сделанные в цилиндрическом элементе.
Примечание - Большие кабели могут изготавливаться путем скручивания двух или более цилиндрических элементов, причем вся сборка покрывается оболочкой.
731-04-09
жгут волокон/жгут (fibre bundle/bundle): Сборка оптических волокон без наполнителей.
731-04-10
упаковочный коэффициент (жгута волокон) (packing fraction (of a fibre bundle)): Отношение площади поперечного сечения сердцевины волокна к полной площади поперечного сечения жгута волокон (обычно во втулке), включая оболочку и промежуточные области.
РАЗДЕЛ 731-05 ОПТИЧЕСКИЕ СОЕДИНИТЕЛИ, РАЗВЕТВИТЕЛИ И ДРУГИЕ ПАССИВНЫЕ КОМПОНЕНТЫ
731-05-01
оптический (разъемный) соединитель (optical fibre connector): Волоконно-оптический компонент, обычно соединенный с кабелем или прибором для обеспечения операций соединения/разъединения оптических кабелей.
731-05-02
втулка (ferrule): Механическое фиксирующее приспособление, обычно жесткая труба, используемая для вставления в нее очищенных концов оптического волокна или жгута волокон.
731-05-03
соединение (joint): Сборка, позволяющая соединять два или более оптических волокон.
731-05-04
многоволоконное соединение (multifibre joint): Сборка, позволяющая соединять два или более многоволоконных кабелей.
731-05-05
оптический неразъемный соединитель/оптическое неразъемное соединение (optical fibre splice/splice/optical splice): Постоянное соединение, назначение которого - передавать оптическую мощность между двумя оптическими волокнами.
Примечание - В английском языке соответствующими связанными терминами являются "to slice" (сращивать) и "slicing" (сращение).
731-05-06
оптическое неразъемное соединение, выполненное методом сварки (fusion splice): Неразъемное соединение, выполненное путем применения локализованного тепла, достаточного для сварки или расплавления концов двух отрезков оптического волокна, образующих непрерывное единичное оптическое волокно.
731-05-07
механическое неразъемное соединение (mechanical splice): Оптическое неразъемное соединение, выполненное с помощью зажимных приспособлений или материалов, а не термической сваркой.
731-05-08
вывод в виде отрезка оптического волокна "пигтейл"/волокно ввода излучения (optical fibre pigtail/launching fibre): Короткий отрезок оптического волокна, постоянно прикрепленный к компоненту и предназначенный для облегчения соединения между этим компонентом и другим оптическим волокном или компонентом.
Примечание - Термин "волокно ввода излучения" - синоним термина "пигтейл" только в том случае, когда "пигтейл" соединен с оптическим источником.
731-05-09
фокон (tapered fibre): Оптическое волокно, размеры поперечного сечения которого изменяются прогрессивно в зависимости от расстояния вдоль оптического волокна.
731-05-10
оптический разветвитель/разветвитель (optical fibre coupler/(optical) coupler/branching device): Пассивное устройство, предназначенное для передачи оптической мощности между двумя или более полюсами в определенном режиме.
Примечание - Полюсы могут быть соединены с волноводами, источниками, детекторами и т.д.
731-05-11
направленный оптический разветвитель (directional coupler): Оптический разветвитель, передающий оптическую мощность от определенных входных полюсов только к одному или более определенным выходным полюсам.
731-05-12
звездообразный оптический разветвитель (star coupler): Оптический разветвитель, в котором оптическая мощность может распределяться либо от одного или нескольких входных полюсов к большему количеству выходных полюсов, либо от нескольких входных полюсов к меньшему количеству выходных полюсов.
731-05-13
Т-образный разветвитель (tee coupler): Оптический разветвитель, который соединяет три полюса.
731-05-14
У-образный разветвитель (Y-coupler): Направленный оптический разветвитель с тремя полюсами.
731-05-15
оптический комбинированный разветвитель (optical combiner): Направленный оптический разветвитель, в котором мощность от нескольких входных полюсов распределяется между меньшим количеством выходных полюсов.
731-05-16
расщепитель пучка (beamsplitter): Пассивное устройство разделения оптического пучка на два или более отдельных пучков.
731-05-17
изолятор (isolator): Устройство с двумя полюсами, имеющее намного большее затухание в одном направлении распространения, чем в противоположном направлении.
Примечание - Изолятор часто используется для предотвращения обратных отражений вдоль передающего канала.
731-05-18
оптический фильтр (optical filter): Устройство для модификации передаваемого через него оптического излучения, обычно путем изменения спектрального распределения.
731-05-19
дифракционная решетка (diffraction grating): Решетка из тонких параллельных, размещенных с равными интервалами отражающих или передающих линий, которые усиливают эффекты дифракции в целях концентрации дифрагированного излучения в нескольких направлениях, определенных размещением линий и длиной волны излучения.
731-05-20
дихроичный фильтр (dichroic filter): Оптический фильтр, сконструированный для разделения оптического излучения на две спектральные полосы.
Примечание - Примерами являются фильтры пропускания высоких и низких частот.
731-05-21
дихроичное зеркало (dichroic mirror): Зеркало, сконструированное для избирательного отражения излучения в соответствии с длиной волны.
731-05-22
интерференционный фильтр (interference filter): Оптический фильтр, состоящий из одного или более тонких слоев диэлектрика или металла и функционирующий в результате интерференционных эффектов.
731-05-23
модовый фильтр (mode filter): Устройство, сконструированное для приема или отклонения определенной моды или мод.
731-05-24
смеситель мод (mode scrambler/mode mixer): Устройство для передачи мощности между модами в оптическом волокне при эффективном смешивании мод.
Примечание - Смеситель мод часто используется для обеспечения распределения мод, которое не зависит от характеристик источника.
731-05-25
фильтр оболочечных мод (cladding mode stripper mode stripper): Устройство, которое делает возможным преобразование оболочечных мод в моды излучения.
Примечания
1 - Фильтр оболочечных мод обычно включает материал, имеющий показатель преломления равный или больше показателя преломления оболочки волокна.
2 - В английском языке термин "mode stripper" ("фильтр мод") часто не точно используют для обозначения "cladding mode stripper" ("фильтр оболочечных мод").
731-05-26
неотражающее покрытие (antireflection coating): Тонкая диэлектрическая или металлическая пленка (или несколько таких пленок), покрывающая оптическую поверхность для уменьшения коэффициента отражения и тем самым увеличения коэффициента пропускания.
Примечание - Идеальным значением показателя преломления единичного слоя пленки является квадратный корень произведения показателей преломления на любой стороне пленки; идеальная оптическая толщина составляет одну четверть длины волны.
731-05-27
иммерсионный материал (index matching material): Материал, часто жидкость или клей, показатель преломления которого почти равен показателю преломления сердцевины и который используется для уменьшения отражений Френеля от торцевой поверхности волокна.
731-05-28
потери ввода-вывода (coupling loss): Потери оптической мощности, возникающие при передаче излучения от одного оптического устройства к другому, которые выражаются как абсолютная или относительная величины
731-05-29
потери в разветвителе (coupler loss): Вносимые потери между выбранными входным и выходным полюсами при условии, что остальные полюсы правильно заделаны.
731-05-30
эффективность ввода-вывода (coupling efficiency): Отношение оптической мощности на вводе к оптической мощности на выводе канала связи.
731-05-31
потери в неразъемном соединителе (splice loss): Вносимые потери, обусловленные оптическим неразъемным соединителем.
731-05-32
внутренние потери при соединении (intrinsic joint loss): Потери оптической мощности на стыке волокон, вызванные несогласованностью их параметров при соединении двух неидентичных волокон.
Примечание - Типичными параметрами волокон, вызывающими внутренние потери при соединении, являются геометрические характеристики, разность профилей показателя преломления и т.д.
731-05-33
внешние потери при соединении (extrinsic joint loss misalignment loss): Потери оптической мощности на стыке волокон, связанные с несовершенством соединения.
731-05-34
потери при продольном смещении (longitudinal offset loss/gap loss): Внешние потери при соединении, вызванные наличием пространства между центрированными волокнами в точке соединения или отклонением от оптимального расстояния между оптическим волокном и источником или детектором.
731-05-35
потери при угловом смещении осей (angular misalignment loss): Внешние потери при соединении, вызванные угловым отклонением от оптимальной центровки источника с оптическим волокном, волокна с волокном или волокна с детектором.
731-05-36
потери при боковом смещении потери при поперечном смещении (lateral offset loss/transverse offset loss): Внешние потери при соединении, вызванные отклонением от оптимальной центровки источника с оптическим волокном, волокна с волокном или волокна с детектором.
РАЗДЕЛ 731-06 ОПТИЧЕСКИЕ ИСТОЧНИКИ И ДЕТЕКТОРЫ
731-06-01
спонтанное излучение (spontaneous emission): Электромагнитное излучение, генерируемое в том случае, когда внутренняя энергия квантовой механической системы падает от уровня возбуждения до более низкого уровня безотносительно к одновременному наличию подобного излучения.
Примечание - Примеры спонтанного излучения включают:
излучение СИД;
излучение инжекционного лазера ниже порога генерации.
731-06-02
сверхизлучение (superluminescence superradiance): Усиление спонтанного излучения, характеризующееся умеренной линейной направленностью.
Примечание - Этот процесс обычно отличается от генерации когерентного излучения в оптическом диапазоне из-за отсутствия положительной обратной связи и четко выраженных генерируемых мод.
731-06-03
вынужденное излучение (stimulated emission): Излучение, генерируемое за счет падения внутренней энергии квантовой механической системы от уровня возбуждения до более низкого уровня, обусловленное энергией излучения на той же частоте.
Примечание - Примером является излучение инжекционного лазера выше порога генерации.
731-06-04
светодиод, СИД (сокращение) (light emitting diode, LED): Полупроводниковое устройство с p-n переходом, которое в результате спонтанного излучения генерирует некогерентное оптическое излучение путем инжекции электронов и/или дырок через p-n переход.
731-06-05
светодиод с поверхностным излучением/диод Барраса (surface emitting light emitting diode/Burrus diode): Светодиод, который генерирует оптическое излучение перпендикулярно плоскости перехода.
731-06-06
светодиод с торцевым излучением (edge-emitting light emitting diode, ELED): Светодиод, который генерирует оптическое излучение параллельно плоскости перехода.
731-06-07
суперлюминесцентный светодиод, СИД (superluminescent LED superradiant diode, SRD): Переходное полупроводниковое устройство, которое генерирует оптическое излучение благодаря эффекту суперлюминесценции.
731-06-08
лазер (laser): Устройство, которое генерирует когерентное оптическое излучение посредством вынужденного излучения и усиления в оптическом резонаторе, обеспечивая положительную обратную связь, когда используется внешняя энергия для установления инверсии заселенности.
Примечание - Английский термин "Laser" является акронимом "Light Amplification by Stimulated Emission of Radiation".
731-06-09
инжекционный лазер/полупроводниковый лазер (injection laser diode, ILD/semiconductor laser/diode laser): Лазер, изготовленный из полупроводниковых материалов с p-n переходом.
731-06-10
многоходовый лазер (multimode laser): Лазер, который генерирует излучение в двух или более модах.
731-06-11
лазер с внешней синхронизацией (injection locked laser): Лазер, у которого длина волны пиковой интенсивности излучения контролируется инжекцией отдельного оптического сигнала от другого источника или отраженного оптического сигнала от внешнего зеркала.
731-06-12
гомогенный переход, гомопереход (homojunction): p-n переход, в котором две области отличаются типом проводимости, определяемым уровнями легирования, а не атомным составом.
731-06-13
гетерогенный переход, гетеропереход (heterojunction): p-n переход, в котором две области отличаются типом проводимости, определяемым уровнями легирования, а также атомным составом.
731-06-14
активная лазерная среда, лазерная среда (active laser medium, laser medium): Материал, заключенный в лазере, который генерирует когерентное оптическое излучение.
731-06-15
оптический резонатор (optical cavity, resonant cavity): Область, ограниченная двумя или более отражающими поверхностями, элементы которой центрированы для обеспечения многократных отражений и в которой может существовать стоячая волна на определенных длинах волн.
731-06-16
излучательная способность (emissivity): Отношение излучательности вещества к излучательности черного тела при одинаковой температуре.
Примечание - Излучательная способность является функцией длины волны и температуры.
731-06-17
эффективность источника (source power efficiency emissionsverkningsgrad): Отношение излучаемой оптической мощности оптического источника к входной мощности (обычно электрической мощности).
731-06-18
порог генерации лазера (lasing threshold): Самый низкий уровень входной мощности возбуждения, на котором вынужденное излучение на выходе лазера начинает доминировать над спонтанным излучением.
731-06-19
пороговый ток (лазера) (threshold current (of a laser diode)): Ток возбуждения, соответствующий порогу генерации лазера.
731-06-20
длина волны пиковой интенсивности (peak intensity wavelength): Длина волны, на которой сила спектрального излучения источника в данном направлении - максимальная.
731-06-21
спектральная линия (spectral line): Узкий диапазон излучаемых или поглощенных длин волн, соответствующий монохроматическому излучению, генерируемому или поглощенному в переходе между уровнями квантовой механической системы.
731-06-22
ширина спектральной линии (spectral linewidth linjebredd): Величина длины волны спектральной линии.
731-06-23
спектр линии (line spectrum): Спектр, состоящий из одной или более спектральных линий.
731-06-24
спектральная ширина (spectral width): Величина длины волны спектра или спектральная характеристика.
731-06-25
скачок моды (mode hopping/mode jumping): В лазерах - переход мощности из одной моды в другую.
731-06-26
флуктуация длины волны (chirping): Быстрое изменение длин волн спектральных линий, излучаемых оптическим источником.
Примечание - Флуктуация наиболее часто наблюдается в импульсном режиме работы источника излучения.
731-06-27
оптический детектор (optical detector): Преобразователь, который генерирует электрический выходной сигнал при воздействии оптической мощности.
731-06-28
фотодиод/диодный фотодетектор (photodiode/diode photodetector): Оптический детектор, в котором генерируется фототок в результате поглощения излучения вблизи p-n перехода между двумя полупроводниками или перехода между полупроводником и металлом.
731-06-29
PIN-фотодиод (PIN photodiode): Фотодиод с большой внутренней областью, расположенной между P- и N-легированными полупроводниковыми областями, необходимыми для детектирования оптического излучения.
Примечание - Фотоны, поглощенные в этой области, создают пары электрон-дырка, которые затем разделяются электрическим полем, таким образом генерируя фототок.
731-06-30
лавинный фотодиод/ЛФД (avalanche photodiode, APD): Фотодиод, работающий с напряжением смещения, так что первичный фототок усиливается в результате лавинного умножения носителей зарядов.
Примечание - Когда напряжения обратного смещения достигает напряжения пробоя, пары электрон-дырка, создаваемые поглощенными фотонами, приобретают энергию, достаточную для создания дополнительных пар электрон-дырка при столкновении с ионами.
731-06-31
PIN-FET интегральный приемник (PIN-FET integrated receiver): Оптический приемник, образованный сочетанием PIN-фотодиода и полевого транзистора, заключенных в едином корпусе.
Примечание - Эти компоненты часто комплектуются таким образом, чтобы улучшить рабочие характеристики их сочетания по сравнению с отдельными компонентами, применяемыми как дискретные компоненты.
731-06-32
фототок, световой ток (photocurrent, light current): Составляющая электрического тока, возникающего на выходе оптического детектора под влиянием падающего излучения.
731-06-33
темновой ток (dark current): Электрический ток на выходе оптического детектора в отсутствие падающего излучения.
731-06-34
квантовая эффективность (quantum efficiency): Отношение количества элементарных событий на входе и выходе квантового устройства.
Примечания
1 - Для оптического полупроводникового источника - это отношение количества излученных фотонов к количеству приложенных электронов.
2 - Для оптического детектора - это отношение количества электронов, генерируемых в фототоке, к количеству приложенных фотонов.
731-06-35
дифференциальная квантовая эффективность (differential quantum efficiency): Угол наклона характеристики, определяемой количеством элементарных событий на входе и выходе квантового устройства.
731-06-36
чувствительность (responsivity): Отношение выходного электрического сигнала оптического детектора к входному оптическому сигналу.
Примечания
1 - Обычно выражается в A/Вт или B/Вт падающей излучаемой мощности.
2 - В английском языке термин "sensitivity" иногда неточно используется в качестве синонима "responsivity".
731-06-37
спектральная чувствительность (spectral responsivity): Чувствительность на единицу интервала длин волн на данной длине волны.
731-06-38
порог детектирования (detection threshold sensitivity): Минимальная оптическая мощность, необходимая для достижения рабочих характеристик определенного качества.
Примечания
1 - Отношение выходной сигнал - шум, частота повторения ошибок являются типичными рабочими характеристиками.
2 - В английском языке термин "sensitivity" иногда неточно используется в качестве синонима "responsivity".
731-06-39
дробовой шум (shot noise hagelbrus): Случайный шум, обусловленный тем, что электрический ток образуется в результате движения дискретных зарядов.
731-06-40
эквивалентная мощность шума (noise equivalent power, NEP): Значение мощности излучения на входе оптического детектора, которая создает на выходе отношение сигнал/шум, равное единице, при данной длине волны, частоте модуляции и эквивалентной шумовой ширине полосы.
731-06-41
способность к обнаружению D (detectivity,
D): Величина, обратная эквивалентной мощности шума.
731-06-42
нормированная способность к обнаружению D' (normalised detectivity/specific detectivity/
D-star,
D'): Величина, часто используемая для характеристики работы оптического детектора и определяемая формулой:

,
где D - способность к обнаружению излучения;
A - площадь фоточувствительной площадки детектора;

- эффективная шумовая ширина полосы.
731-06-43
интегральная оптическая схема (integrated optical circuit, IOC): Схема, монолитная или гибридная, состоящая из активных и пассивных электрических, оптических и/или оптоэлектронных элементов, используемых для обработки сигналов.
731-06-44
оптоэлектронный модуль (fibre optic terminal device): Комплект, включающий одно или более оптоэлектронных устройств, которые преобразуют электрический сигнал в оптический сигнал и наоборот, и предназначенный для соединения по крайней мере с одним оптическим волокном.
Примечание - Оптоэлектронный модуль всегда имеет один или более оптических соединителей или выводов в виде отрезков оптического волокна ("пигтейлов").
731-06-45
передающий оптоэлектронный модуль (transmit fibre optic terminal device): Оптоэлектронный модуль, состоящий из одного или более оптических источников и имеющий один или более оптических выходов.
731-06-46
приемный оптоэлектронный модуль (receive fibre optic terminal device): Оптоэлектронный модуль, состоящий из одного или более оптических детекторов и имеющий один или более оптических входов.
РАЗДЕЛ 731-07 МЕТОДЫ ИЗМЕРЕНИЙ
731-07-01
стандартный метод испытаний (для оптических волокон) (reference test method (for optical fibres), RTM): Метод испытаний, при котором данная характеристика оптических волокон или оптических кабелей определенного класса (и связанных с ними компонентов) измеряется строго в соответствии с ее определением и который дает точные, воспроизводимые и связанные с практическим использованием результаты.
731-07-02
альтернативный метод испытаний (alternative test method (for optical fibres), ATM/practical test method): Практический метод испытаний (для оптических волокон), при котором данная характеристика оптических волокон или оптических кабелей определенного класса (и связанных с ними компонентов) измеряется способом, согласующимся с определением этой характеристики, и который дает результаты, воспроизводимые и связанные со стандартным методом испытаний и практическим использованием.
731-07-03
метод отражения Френеля (Fresnel reflection method): Метод измерения профиля показателя преломления оптического волокна путем измерения коэффициента отражения как функции положения на торцевой поверхности волокна.
731-07-04
метод сканирования ближнего поля (near-field scanning technique): Метод измерения профиля показателя преломления оптического волокна путем освещения входной поверхности с помощью источника с широким спектром излучения и измерения точечной энергетической светности выходной поверхности.
731-07-05
модель четырех концентрических кругов ближнего поля (four concentric circle near-field template): Модель, включающая четыре концентрических круга, применимых к диаграмме направленности излучения ближнего поля волокна.
Примечание - Модель обычно используется для всесторонней проверки приемлемости различных геометрических характеристик оптического волокна в одном простом процессе.
731-07-06
модель четырех концентрических кругов показателя преломления (four concentric circle refractive index template): Модель, включающая четыре концентрических круга, применимых к полному профилю показателя преломления волокна.
Примечание - Модель обычно используется для всесторонней проверки приемлемости различных геометрических характеристик волокна в одном простом процессе.
731-07-07
метод обрыва (cutback technique): Метод измерения определенных передаточных характеристик оптического волокна, таких как затухание и ширина полосы, путем осуществления двух измерений: одно проводится на выходе полного отрезка волокна, а другое - на входе короткого отрезка этого же волокна, что осуществляется путем "разрезания" измеряемого волокна без изменений условий возбуждения.
731-07-08
рефлектометрия оптической временной области/метод обратного рассеяния (optical time domain reflectometry, OTDR/backscattering technique): Метод определения характеристик оптического волокна, при котором оптический импульс передается через оптическое волокно и оптическая мощность результирующего излучения (рассеянного и обратно отраженного ко входу) измеряется как функция времени.
Примечание - Данный метод используется при оценке коэффициента затухания однородных волокон и определении локализованных дефектов и локализованных потерь.
731-07-09
интерферометр (interferometer): Прибор, в котором для измерения применяется интерференция световых волн.
731-07-10
интерферометрия среза/интерферометрия осевого среза (slab interferometry/axial slab interferometry/axial interference microscopy): Метод, при котором профиль показателя преломления оптического волокна измеряется путем использования интерферометра, который сканирует торцевую поверхность тонкого среза оптического волокна, перпендикулярную оптической оси.
731-07-11
поперечная интерферометрия (transverse interferometry): Метод, используемый для измерения профиля показателя преломления оптического волокна в результате помещения его в интерферометр и освещения волокна поперек его оси.
731-07-12
монохроматор (monochromator): Прибор для выбора узких областей оптического спектра.
731-07-13
метод преломленного ближнего поля/метод преломленных лучей (refracted near-field method/refracted ray method): Метод измерения профиля показателя преломления оптического волокна путем сканирования входной поверхности при вершине конуса монохроматического излучения с высокой числовой апертурой и измерения изменения мощности преломленных лучей.
РАЗДЕЛ 731-08 ВОЛОКОННО-ОПТИЧЕСКИЕ СИСТЕМЫ ПЕРЕДАЧИ
731-08-01
волоконно-оптическая линия передачи (optical fibre link): Любая передающая линия, состоящая из светоизлучающего элемента, оптического волокна, приемного элемента, соединительных элементов и, при необходимости, оптических ретрансляторов.
731-08-02
шина оптических данных (optical data bus): Шина данных, в которой в качестве среды передачи используются оптические волокна.
731-08-03
спектральное разделение каналов (wavelength division multiplexing, WDM): Разделение каналов, при котором несколько независимых сигналов передаются на отдельной для каждого канала длине волны через общую оптическую передающую среду.
Примечание - Спектральное разделение каналов является формой частотного разделения каналов (ЧРК). Использование специального термина позволяет избежать путаницы с возможным использованием ЧРК при генерировании сигнала в полосе модулирующих частот, который следует передавать через оптическую линию передачи на одной длине волны.
731-08-04
оптический ретранслятор (optical repeater): Аппаратура, в основном включающая один или несколько усилителей и соответствующих устройств, входные и выходные сигналы которых являются оптическими, которая подключена к передающей среде.
731-08-05
оптический регенерационный ретранслятор (optical regenerative repeater): Оптический ретранслятор для приема цифрового сигнала и его восстановления, в результате которого синхронизация, формы волн и амплитуды сигналов находятся в указанных пределах.
731-08-06
работа с ограниченным затуханием (attenuation-limited operation): Условие работы волоконно-оптической линии передачи, когда величина принятой оптической мощности является доминирующим механизмом, ограничивающим работу системы.
731-08-07
работа с ограниченной шириной полосы (bandwidth-limited operation): Условие работы волоконно-оптической линии передачи, когда ширина полосы системы является доминирующим механизмом искажения, ограничивающим работу системы.
731-08-08
работа с ограниченным искажением (distortion limited operation): Условие работы волоконно-оптической линии передачи, когда любого рода искажение принятого сигнала является доминирующим механизмом, ограничивающим работу системы.
731-08-09
работа с ограниченным квантовым шумом (quantum-noise-limited operation/quantum limited operation): Условие работы волоконно-оптической линии передачи, когда квантовый шум является доминирующим механизмом, ограничивающим работу системы.
731-08-10
модовый шум (modal noise/speckle noise): Шум, генерируемый в оптическом приемнике в результате сочетания флуктуации в распределении энергии между различными модами в оптическом волокне, их фазовыми флуктуациями и дифференциальным затуханием мод.
Алфавитный указатель терминов на русском языке
А |
альфа-профиль .............................................................................. | |
анизотропный (для электромагнитных волн) ......................... | |
апертура возбуждения числовая ............................................... | |
апертура числовая ........................................................................ | |
апертура числовая теоретическая максимальная ................. | |
В |
волоконная оптика ....................................................................... | |
волна направленная ..................................................................... | |
волна плоская ................................................................................ | |
волна поверхностная .................................................................... | |
волновод оптический ................................................................... | |
волновод тонкопленочный ......................................................... | |
волокно ввода излучения ............................................................ | |
волокно градиентное .................................................................... | |
волокно кварцевое ........................................................................ | |
волокно кварцевое с пластиковой оболочкой ......................... | |
волокно многомодовое ................................................................. | |
волокно одномодовое ................................................................... | |
волокно (оптическое) ................................................................... | |
волокно пластиковое ................................................................... | |
волокно с большим затуханием ................................................. | |
волокно стеклянное ..................................................................... | |
волокно ступенчатое .................................................................... | |
время когерентности ................................................................... | |
втулка ............................................................................................. | |
вывод в виде отрезка оптического волокна ........................... | |
гетеропереход ................................................................................ | |
гомопереход ................................................................................... | |
Д |
детектор оптический .................................................................... | |
диаграмма направленности излучения ближнего поля ........ | |
диаграмма направленности излучения дальнего поля ......... | |
диаграмма направленности излучения (оптического волокна) | |
диаграмма направленности равномерного излучения .......... | |
диаметр модового поля ............................................................... | |
диаметр оболочки ......................................................................... | |
диаметр оболочки средний ......................................................... | |
диаметр опорной поверхности ................................................... | |
диаметр опорной поверхности средний .................................... | |
диаметр пучка ............................................................................... | |
диаметр сердцевины .................................................................... | |
диаметр сердцевины средний ..................................................... | |
диод Барраса .................................................................................. | |
дисперсия ....................................................................................... | |
дисперсия в волноводе ................................................................ | |
дисперсия в материале ................................................................ | |
дисперсия импульса ..................................................................... | |
дисперсия модовая (распределенная) ....................................... | |
дисперсия профиля ....................................................................... | |
дисперсия хроматическая ........................................................... | |
дифракция ...................................................................................... | |
длина волны (моды) критическая ............................................. | |
длина волны (оптического волокна) критическая ................ | |
длина волны пиковой интенсивности ...................................... | |
длина когерентности .................................................................... | |
длина оптического канала .......................................................... | |
длина равновесия ......................................................................... | |
длина равномерного распределения мод ................................. | |
длительность импульса по уровню 0,5 полная ....................... | |
Ж |
жгут ................................................................................................. | |
жгут волокон ................................................................................. | |
заготовка ........................................................................................ | |
задержка групповая многомодовая .......................................... | |
задержка мод дифференциальная ............................................. | |
закон Ламберта ............................................................................. | |
затухание ........................................................................................ | |
затухание мод дифференциальное ............................................ | |
зеркало дихроичное ...................................................................... | |
И |
излучатель Ламберта ................................................................... | |
излучательность ............................................................................ | |
излучение видимое ....................................................................... | |
излучение вынужденное ............................................................. | |
(излучение) инфракрасное .......................................................... | |
излучение когерентное ................................................................ | |
излучение монохроматическое .................................................. | |
излучение некогерентное ............................................................ | |
излучение оптическое .................................................................. | |
излучение спонтанное .................................................................. | |
(излучение) ультрафиолетовое .................................................. | |
излучение электромагнитное ..................................................... | |
| | ИС МЕГАНОРМ: примечание. В официальном тексте документа, видимо, допущена опечатка: имеется в виду п. 731-05-17, а не 731-05-15. | |
|
изолятор .......................................................................................... | |
изотропный (для электромагнитных волн) ............................. | |
ИК .................................................................................................... | |
импульс Гаусса .............................................................................. | |
интенсивность излучения ........................................................... | |
интерференция .............................................................................. | |
интерферометр .............................................................................. | |
интерферометрия поперечная ................................................... | |
интерферометрия среза ............................................................... | |
искажение внутримодовое .......................................................... | |
искажение модовое ...................................................................... | |
искажение (сигнала) .................................................................... | |
искажение хроматическое .......................................................... | |
К |
кабель волоконно-оптический ................................................... | |
кабель ленточный ........................................................................ | |
кабель многоволоконный ........................................................... | |
кабель оптический ........................................................................ | |
кабель со свободной укладкой .................................................... | |
кабель со свободной укладкой волокон в трубку ................... | |
кабель с плотно прилегающей оболочкой ................................ | |
кабель с укладкой волокон в канавки ...................................... | |
картина ближнего поля дифракционная .................................. | |
картина дальнего поля дифракционная ................................... | |
картина Фраунгофера дифракционная .................................... | |
картина Френеля дифракционная ............................................ | |
кварц плавленый .......................................................................... | |
когерентность ................................................................................ | |
когерентность временная ........................................................... | |
когерентность неполная .............................................................. | |
когерентность пространственная .............................................. | |
когерентный .................................................................................. | |
коллимация .................................................................................... | |
комплект кабельный оптический ............................................. | |
контраст показателей преломления ......................................... | |
коэффициент затухания .............................................................. | |
коэффициент осевого распространения ................................... | |
коэффициент отражения (мощности) ....................................... | |
коэффициент пропускания ......................................................... | |
коэффициент распространения ................................................. | |
коэффициент упаковочный (жгута волокон) ......................... | |
коэффициент фазы ...................................................................... | |
Л |
лазер ................................................................................................ | |
лазер инжекционный ................................................................... | |
лазер многомодовый .................................................................... | |
лазер полупроводниковый .......................................................... | |
лазер с внешней синхронизацией ............................................... | |
линия передачи волоконно-оптическая ................................... | |
линия спектральная ..................................................................... | |
лучепреломление двойное .......................................................... | |
луч косой ......................................................................................... | |
луч меридиональный ................................................................... | |
луч осевой ....................................................................................... | |
луч преломленный (в оптическом волокне) ........................... | |
луч приосевой ................................................................................ | |
луч света ........................................................................................ | |
луч туннелирующий ..................................................................... | |
луч утечки ...................................................................................... | |
ЛФД ................................................................................................. | |
М |
макроизгиб ..................................................................................... | |
материал иммерсионный ............................................................ | |
материал оптически активный .................................................. | |
метод двух тиглей ......................................................................... | |
метод ионного обмена .................................................................. | |
метод использования стержня в трубке ................................... | |
метод испытаний альтернативный .......................................... | |
метод испытаний практический (для оптических волокон) . | |
метод испытаний стандартный (для оптических волокон) .. | |
метод обратного рассеяния .......................................................... | |
метод обрыва ................................................................................. | |
метод осевого парофазного осаждения ..................................... | |
метод отражения Френеля .......................................................... | |
метод преломленного ближнего поля ....................................... | |
метод преломленных лучей ........................................................ | |
метод сканирования ближнего поля ......................................... | |
метод химического парофазного осаждения ........................... | |
микроизгиб ..................................................................................... | |
мода ................................................................................................. | |
мода гибридная .............................................................................. | |
мода излучения .............................................................................. | |
мода линейно поляризованная ................................................... | |
мода магнитная поперечная ....................................................... | |
мода непредельная ........................................................................ | |
мода оболочечная ......................................................................... | |
мода предельная ............................................................................ | |
мода утечки .................................................................................... | |
мода электрическая поперечная ............................................... | |
мода электромагнитная поперечная ......................................... | |
модель четырех концентрических кругов ближнего поля .. | |
модель четырех концентрических кругов показателя преломления .................................................................................. | |
модуль оптоэлектронный ............................................................ | |
модуль оптоэлектронный передающий .................................... | |
модуль оптоэлектронный приемный ........................................ | |
моды связанные ............................................................................ | |
монохроматор ................................................................................. | |
мощность излучения ..................................................................... | |
мощность оптическая ................................................................... | |
мощность шума эквивалентная ................................................. | |
Н |
некогерентность ............................................................................ | |
некруглость оболочки .................................................................. | |
некруглость опорной поверхности ............................................ | |
некруглость сердцевины ............................................................. | |
О |
область ближнего поля ................................................................ | |
область дальнего поля .................................................................. | |
область когерентная ..................................................................... | |
облученность .................................................................................. | |
облученность спектральная ........................................................ | |
оболочка (оптического волокна) ................................................ | |
оболочка однородная .................................................................... | |
оболочка согласованная .............................................................. | |
оболочка с провалом в профиле показателя преломления .. | |
объем мод ........................................................................................ | |
объем мод эффективный ............................................................ | |
окно (оптического волновода) спектральное .......................... | |
оптика волновая ........................................................................... | |
оптика волоконная ....................................................................... | |
оптика геометрическая ................................................................ | |
оптика физическая ....................................................................... | |
оптоэлектронный .......................................................................... | |
освещенность энергетическая ................................................... | |
ось волокна .................................................................................... | |
ось оптическая .............................................................................. | |
отклонение диаметра оболочки допустимое ........................... | |
отклонение диаметра опорной поверхности допустимое ...... | |
отклонение диаметра сердцевины допустимое ...................... | |
отклонение от концентричности сердцевины/оболочки ...... | |
отклонение от концентричности сердцевины/опорной поверхности ................................................................................... | |
отражение ....................................................................................... | |
отражение полное ......................................................................... | |
отражение полное внутреннее ................................................... | |
отражение Френеля ..................................................................... | |
П |
параметр дисперсии в материале .............................................. | |
параметр дисперсии профиля ..................................................... | |
параметр профиля ........................................................................ | |
переход гетерогенный .................................................................. | |
переход гомогенный ..................................................................... | |
"пигтейл" ....................................................................................... | |
PIN-фотодиод ................................................................................. | |
плотность коэффициента отражения ....................................... | |
плотность коэффициента пропускания ................................... | |
плотность мощности ..................................................................... | |
площадь сердцевины .................................................................... | |
поверхность оптического волокна опорная ............................ | |
поглощение .................................................................................... | |
показатель преломления групповой ......................................... | |
показатель преломления (среды) .............................................. | |
покрытие амортизирующее ........................................................ | |
покрытие оптического волокна защитное ............................... | |
покрытие вторичное .................................................................... | |
покрытие неотражающее ............................................................ | |
покрытие первичное .................................................................... | |
поле допуска оболочки ................................................................. | |
поле допуска опорной поверхности ........................................... | |
поле допуска сердцевины ............................................................ | |
поле затухающее ........................................................................... | |
порог генерации лазера ................................................................ | |
порог детектирования .................................................................. | |
постоянная распространения ...................................................... | |
постоянная фазовая ..................................................................... | |
потери .............................................................................................. | |
потери ввода-вывода ................................................................... | |
потери в неразъемном соединителе .......................................... | |
потери (оптического компонента) вносимые .......................... | |
потери в разветвителе ................................................................. | |
потери при боковом смещении ................................................... | |
потери при макроизгибе ............................................................... | |
потери при микроизгибе .............................................................. | |
потери при передаче (через оптический канал) ...................... | |
потери при поперечном смещении ............................................. | |
потери при продольном смещении ............................................. | |
потери при соединении внешние ............................................... | |
потери при соединении внутренние .......................................... | |
потери при угловом смещении осей .......................................... | |
поток излучения ............................................................................ | |
преломление .................................................................................. | |
приемник интегральный PIN-FET ............................................. | |
провал в профиле показателя преломления ........................... | |
профиль градиентный .................................................................. | |
профиль квадратичный ............................................................... | |
профиль параболический ............................................................ | |
профиль показателя преломления ............................................ | |
профиль ступенчатый .................................................................. | |
профиль ступенчатый эквивалентный .................................... | |
профиль экспоненциальный ...................................................... | |
пучок Гаусса ................................................................................... | |
Р |
работа с ограниченной шириной полосы .................................. | |
работа с ограниченным затуханием ......................................... | |
работа с ограниченным искажением ........................................ | |
работа с ограниченным квантовым шумом ............................ | |
радиация электромагнитная ...................................................... | |
разветвитель .................................................................................. | |
разветвитель оптический ........................................................... | |
разветвитель оптический звездообразный .............................. | |
разветвитель оптический комбинированный ........................ | |
разветвитель оптический направленный ................................ | |
разветвитель Т-образный ............................................................ | |
разветвитель У-образный ........................................................... | |
разделение каналов спектральное ............................................ | |
разность показателей преломления с эквивалентным ступенчатым профилем .............................................................. | |
распределение мод неравномерное ........................................... | |
распределение мод равномерное ............................................... | |
рассеяние ........................................................................................ | |
рассеяние в волокне ..................................................................... | |
рассеяние в материале ................................................................. | |
рассеяние нелинейное ................................................................. | |
рассеяние обратное ....................................................................... | |
рассеяние Рэлеевское ................................................................... | |
расходимость пучка ...................................................................... | |
расщепитель пучка ....................................................................... | |
резонатор оптический .................................................................. | |
ретранслятор оптический ............................................................ | |
ретранслятор оптический регенерационный .......................... | |
рефлектометрия оптической временной области .................. | |
рефлектор Ламберта .................................................................... | |
решетка дифракционная ............................................................. | |
С |
сверхизлучение ............................................................................. | |
свет .................................................................................................. | |
светодиод ........................................................................................ | |
светодиод с поверхностным излучением ................................. | |
светодиод суперлюминесцентный ............................................ | |
светодиод с торцевым излучением ........................................... | |
связь мод ......................................................................................... | |
сердцевина (оптического волокна) ........................................... | |
СИД .................................................................................................. | |
сила излучения .............................................................................. | |
скачок моды ................................................................................... | |
скорость групповая ....................................................................... | |
слой запирающий .......................................................................... | |
смеситель мод ................................................................................ | |
соединение ..................................................................................... | |
соединение многоволоконное .................................................... | |
соединение неразъемное механическое .................................. | |
соединение неразъемное оптическое ........................................ | |
соединение неразъемное оптическое, выполненное методом сварки .............................................................................................. | |
соединитель неразъемный оптический .................................... | |
соединитель (разъемный) оптический ..................................... | |
сохранение яркости ...................................................................... | |
спектр линии .................................................................................. | |
спектр оптический ........................................................................ | |
способность излучательная ........................................................ | |
способность к обнаружению ....................................................... | |
способность к обнаружению нормированная .......................... | |
среда (активная лазерная) ........................................................... | |
среда с двойным лучепреломлением ........................................ | |
стекло кварцевое .......................................................................... | |
степень когерентности ................................................................. | |
суперлюминесцентный СИД ...................................................... | |
схема интегральная оптическая ................................................ | |
Т |
TE мода ........................................................................................... | |
теорема яркости ............................................................................ | |
TM мода .......................................................................................... | |
ток пороговый (лазерного диода) ............................................... | |
ток световой ................................................................................... | |
ток темновой .................................................................................. | |
толщина оптическая ..................................................................... | |
У |
угол Брюстера ................................................................................ | |
угол выходной ............................................................................... | |
угол излучения .............................................................................. | |
угол критический .......................................................................... | |
угол падения .................................................................................. | |
угол приема .................................................................................... | |
условие стационарного режима ................................................. | |
УФ .................................................................................................... | |
уширение импульса ...................................................................... | |
Ф |
фильтр дихроичный ..................................................................... | |
фильтр интерференционный ..................................................... | |
фильтр модовый ........................................................................... | |
фильтр оболочечных мод ............................................................ | |
фильтр оптический ...................................................................... | |
флуктуация длины волны .......................................................... | |
фокон ............................................................................................... | |
фотодетектор диодный ................................................................ | |
фотодиод ......................................................................................... | |
фотодиод лавинный ..................................................................... | |
фотон ............................................................................................... | |
фотопроводимость ....................................................................... | |
фототок ........................................................................................... | |
фронт волны .................................................................................. | |
функция передаточная ................................................................ | |
функция полосы модулирующих частот передаточная ........ | |
характеристика импульсная ....................................................... | |
характеристика частотная .......................................................... | |
Ц |
центр оболочки .............................................................................. | |
центр опорной поверхности ........................................................ | |
центр сердцевины ......................................................................... | |
Ч |
частота нормализованная ........................................................... | |
чувствительность ......................................................................... | |
чувствительность спектральная ............................................... | |
Ш |
шина оптических данных ............................................................ | |
ширина полосы оптического волокна ..................................... | |
ширина полосы по уровню 0,5 полная ...................................... | |
ширина пучка ................................................................................. | |
ширина спектральная ................................................................... | |
ширина спектральной линии ...................................................... | |
шум дробовой ................................................................................. | |
шум квантовый ............................................................................. | |
шум модовый ................................................................................. | |
шум фотонный .............................................................................. | |
Э |
электролюминесценция ............................................................... | |
энергия излучения ........................................................................ | |
эффект акустооптический .......................................................... | |
эффект ввода-вывода .................................................................. | |
эффект магнитооптический ....................................................... | |
эффект фотогальванический ..................................................... | |
эффект фотоэлектрический ....................................................... | |
эффект фотоэлектрический внешний ...................................... | |
эффект фотоэлектрический внутренний ................................. | |
эффект электрооптический ........................................................ | |
эффективность квантовая ......................................................... | |
эффективность квантовая дифференциальная ..................... | |
эффективность источника .......................................................... | |
Я |
яркость ............................................................................................ | |
яркость спектральная .................................................................. | |
яркость энергетическая ............................................................... | |
Алфавитный указатель эквивалентов терминов
на английском языке
A |
absorption .......................................................................................... | |
acceptance angle ................................................................................. | |
acousto-optic effect ............................................................................ | |
active laser medium ............................................................................. | |
all-glass fibre ....................................................................................... | |
all-plastic fibre .................................................................................... | |
all-silica fibre ...................................................................................... | |
alpha profile (deprecated) .................................................................... | |
alternative test method ......................................................................... | |
angle of incidence ................................................................................ | |
| | ИС МЕГАНОРМ: примечание. В официальном тексте документа, видимо, допущена опечатка: имеется в виду п. 731-05-35, а не 731-05-34. | |
|
angular misalignment loss ..................................................................... | |
anisotropic (for electromagnetic waves) ............................................... | |
antireflection coating ............................................................................ | |
APD (acronym) .................................................................................. | |
ATM (abbreviation) ............................................................................ | |
attenuation .......................................................................................... | |
attenuation coefficient .......................................................................... | |
attenuation-limited operation ................................................................ | |
avalanche photodiode ......................................................................... | |
average cladding diameter ................................................................... | |
average core ....................................................................................... | |
average reference surface diameter ...................................................... | |
axial interference microscopy ............................................................... | |
axial propagation coefficient ................................................................ | |
axial ray .............................................................................................. | |
axial slab interferometry ....................................................................... | |
B |
backscattering ..................................................................................... | |
backscattering technique ..................................................................... | |
bandwidth (of an optical fibre) ............................................................. | |
bandwidth-limited operation ................................................................ | |
barrier layer ........................................................................................ | |
baseband response function ................................................................ | |
baseband transfer function ................................................................... | |
beam diameter .................................................................................... | |
beam divergence ................................................................................. | |
beamsplitter ........................................................................................ | |
beamwidth .......................................................................................... | |
birefringence ....................................................................................... | |
birefringent medium ............................................................................. | |
bound mode ....................................................................................... | |
branching device ................................................................................. | |
Brewster's angle .................................................................................. | |
brightness (deprecated) ....................................................................... | |
brightness, conservation of (deprecated) .............................................. | |
brightness theorem (deprecated) .......................................................... | |
bundle ................................................................................................ | |
Burrus diode ....................................................................................... | |
C |
cable assembly ................................................................................... | |
chemical vapour deposition technique .................................................. | |
chirping .............................................................................................. | |
chromatic dispersion (redundant term) ................................................. | |
chromatic distortion ............................................................................. | |
cladding .............................................................................................. | |
cladding centre .................................................................................... | |
cladding diameter ................................................................................ | |
cladding diameter tolerance ................................................................. | |
cladding mode .................................................................................... | |
cladding mode stripper ........................................................................ | |
cladding tolerance field ........................................................................ | |
coherence ........................................................................................... | |
coherence area ................................................................................... | |
| | ИС МЕГАНОРМ: примечание. В официальном тексте документа, видимо, допущена опечатка: имеется в виду п. 731-01-14, а не 731-02-18. | |
|
coherence, degree of ........................................................................... | |
coherence length ................................................................................. | |
coherence time .................................................................................... | |
coherent ............................................................................................. | |
coherent radiation ............................................................................... | |
collimation .......................................................................................... | |
conservation of brightness (deprecated) ............................................... | |
conservation of radiance ..................................................................... | |
core ................................................................................................... | |
core area ............................................................................................ | |
core centre ......................................................................................... | |
core diameter ...................................................................................... | |
core diameter tolerance ....................................................................... | |
core tolerance field .............................................................................. | |
core/cladding concentricity error ......................................................... | |
core/reference surface concentricity error ............................................ | |
cosine emission law ............................................................................. | |
coupled modes ................................................................................... | |
coupler ............................................................................................... | |
coupler loss ........................................................................................ | |
coupling loss ....................................................................................... | |
critical angle ........................................................................................ | |
cutback technique ............................................................................... | |
cut-off wavelength (of a mode) ............................................................ | |
cut-off wavelength (of a singlemode optical fibre) .............................. | |
CVD (abbreviation) ............................................................................ | |
D |
dark current ........................................................................................ | |
degree of coherence ............................................................................ | |
depressed cladding ............................................................................. | |
detection threshold .............................................................................. | |
detectivity ........................................................................................... | |
dichroic filter ....................................................................................... | |
dichroic mirror .................................................................................... | |
differential mode attenuation ................................................................ | |
differential mode delay ........................................................................ | |
differencial quantum efficiency ........................................................... | |
diffraction ........................................................................................... | |
diffraction grating ................................................................................ | |
diode laser .......................................................................................... | |
diode photodetector ............................................................................ | |
directional coupler ............................................................................... | |
dispersion ........................................................................................... | |
distortion (of a signal) .......................................................................... | |
distortion limited operation .................................................................. | |
double crucible technique .................................................................... | |
D-star ................................................................................................ | |
E |
edge-emitting light emitting diode ......................................................... | |
effective mode volume ......................................................................... | |
electroluminescence ............................................................................. | |
electromagnetic radiation ..................................................................... | |
electro-optic effect .............................................................................. | |
ELED (abbreviation) ........................................................................... | |
emissivity ............................................................................................ | |
equilibrium length ................................................................................. | |
equilibrium mode distribution ............................................................... | |
equilibrium mode distribution length ................................................... | |
equilibrium radiation pattern ................................................................. | |
equivalent step index profile ................................................................. | |
ESI refractive index difference ............................................................. | |
ESI-profile (abbreviation) .................................................................... | |
evanescent field ................................................................................... | |
external photo-electric effect ................................................................ | |
| | ИС МЕГАНОРМ: примечание. В официальном тексте документа, видимо, допущена опечатка: имеется в виду п. 731-05-33, а не 731-05-32. | |
|
extrinsic joint loss ................................................................................ | |
F |
far-field diffraction pattern ................................................................... | |
far-field pattern ................................................................................... | |
far-field radiation pattern ..................................................................... | |
far-field region .................................................................................... | |
FDHM (of a pulse) (abbreviation) ....................................................... | |
ferrule ................................................................................................. | |
fibre axis ............................................................................................. | |
fibre buffer .......................................................................................... | |
fibre bundle ........................................................................................ | |
fibre jacket ......................................................................................... | |
fibre optic terminal device .................................................................... | |
fibre optics .......................................................................................... | |
fibre scattering .................................................................................... | |
four concentric circle near-field template .............................................. | |
four concentric circle refractive index template ..................................... | |
Fraunhofer diffraction pattern .............................................................. | |
frequency response ............................................................................. | |
Fresnel diffraction pattern .................................................................... | |
Fresnel reflection ................................................................................. | |
Fresnel reflection method .................................................................... | |
full duration half maximum ................................................................... | |
full width half maximum ....................................................................... | |
fused quartz ........................................................................................ | |
fused silica .......................................................................................... | |
fusion splice ........................................................................................ | |
FWHM (abbreviation) ........................................................................ | |
G |
| | ИС МЕГАНОРМ: примечание. В официальном тексте документа, видимо, допущена опечатка: имеется в виду п. 731-05-34, а не 731-05-33. | |
|
gap loss .............................................................................................. | |
Gaussian beam .................................................................................... | |
Gaussian pulse .................................................................................... | |
geometric optics .................................................................................. | |
graded index fibre ............................................................................... | |
graded index profile ............................................................................. | |
grooved cable ..................................................................................... | |
group index ......................................................................................... | |
group velocity ..................................................................................... | |
guided wave ....................................................................................... | |
H |
heterojunction ..................................................................................... | |
homogeneous cladding ........................................................................ | |
homojunction ...................................................................................... | |
hybrid mode ....................................................................................... | |
I |
ILD (abbreviation) .............................................................................. | |
impulse response ................................................................................ | |
incidence, angle of ............................................................................... | |
incoherence ........................................................................................ | |
incoherent radiation ............................................................................. | |
index dip ............................................................................................. | |
index matching material ........................................................................ | |
index of refraction ............................................................................... | |
infrared ............................................................................................... | |
injection laser diode ............................................................................ | |
injection locked laser ........................................................................... | |
insertion loss (of an optical component) ................................................ | |
integrated optical circuit ...................................................................... | |
intensity .............................................................................................. | |
intensity (deprecated) .......................................................................... | |
interference ......................................................................................... | |
interference filter ................................................................................. | |
interferometer ..................................................................................... | |
internal photo-electric effect ................................................................ | |
intramodal distortion ............................................................................ | |
| | ИС МЕГАНОРМ: примечание. В официальном тексте документа, видимо, допущена опечатка: имеется в виду п. 731-05-32, а не 731-05-31. | |
|
intrinsic joint loss ................................................................................. | |
IOC (abbreviation) .............................................................................. | |
ion exchange technique ........................................................................ | |
IR (abbreviation) ................................................................................. | |
irradiance ........................................................................................... | |
isolator ............................................................................................... | |
isotropic (for electromagnetic waves) ................................................... | |
L |
laser ................................................................................................... | |
laser medium ...................................................................................... | |
lasing threshold ................................................................................... | |
| | ИС МЕГАНОРМ: примечание. В официальном тексте документа, видимо, допущена опечатка: имеется в виду п. 731-05-36, а не 731-05-35. | |
|
lateral offset loss ................................................................................. | |
launch numerical aperture .................................................................... | |
launching fibre ..................................................................................... | |
leaky mode ......................................................................................... | |
leaky ray ............................................................................................. | |
LED (abbreviation) ............................................................................. | |
light .................................................................................................... | |
light current ......................................................................................... | |
| | ИС МЕГАНОРМ: примечание. В официальном тексте документа, видимо, допущена опечатка: имеется в виду п. 731-06-04, а не 731-06-34. | |
|
light emitting diode .............................................................................. | |
light ray .............................................................................................. | |
line spectrum ...................................................................................... | |
linearly polarised ................................................................................. | |
LNA (abbreviation) ............................................................................. | |
| | ИС МЕГАНОРМ: примечание. В официальном тексте документа, видимо, допущена опечатка: имеется в виду п. 731-05-34, а не 731-05-33. | |
|
longitudinal offset loss .......................................................................... | |
loose cable structure ............................................................................ | |
loose tube cable .................................................................................. | |
loss .................................................................................................... | |
LP mode ............................................................................................ | |
M |
macrobend loss ................................................................................... | |
macrobending ................................................................................... | |
magneto-optic effect ........................................................................... | |
matched cladding ................................................................................ | |
material dispersion .............................................................................. | |
material dispersion parameter .............................................................. | |
material scattering ............................................................................... | |
maximum theoretical numerical aperture ............................................... | |
mechanical splice ................................................................................ | |
meridional ray ..................................................................................... | |
microbend loss .................................................................................... | |
microbending ...................................................................................... | |
| | ИС МЕГАНОРМ: примечание. В официальном тексте документа, видимо, допущена опечатка: имеется в виду п. 731-05-33, а не 731-05-32. | |
|
misalignment loss ................................................................................. | |
modal dispersion (deprecated) ............................................................ | |
modal distortion .................................................................................. | |
modal noise ........................................................................................ | |
mode .................................................................................................. | |
mode coupling .................................................................................... | |
mode field diameter ............................................................................. | |
mode filter .......................................................................................... | |
mode hopping ..................................................................................... | |
mode jumping ..................................................................................... | |
mode mixer ......................................................................................... | |
mode scrambler .................................................................................. | |
mode stripper ..................................................................................... | |
mode volume ...................................................................................... | |
monochromatic radiation ..................................................................... | |
monochromator .................................................................................. | |
monomode fibre (deprecated) ............................................................. | |
multifibre cable ................................................................................... | |
multifibre joint ..................................................................................... | |
multimode fibre ................................................................................... | |
multimode group delay ........................................................................ | |
multimode laser ................................................................................... | |
N |
NA (abbreviation) ............................................................................... | |
near-diffraction pattern ........................................................................ | |
near-field pattern ................................................................................. | |
near-field radiation pattern ................................................................... | |
near-field region .................................................................................. | |
near-field scanning technique ............................................................... | |
NEP (abbreviation) ............................................................................. | |
noise equivalent power ........................................................................ | |
non-circularity of cladding ................................................................... | |
non-circularity of core ......................................................................... | |
non-circularity of reference surface ...................................................... | |
non-equilibrium mode distribution ........................................................ | |
nonlinear scattering .............................................................................. | |
normalised detectivity .......................................................................... | |
normalised frequency ........................................................................... | |
numerical aperture ............................................................................... | |
O |
optic axis ............................................................................................ | |
optical axis .......................................................................................... | |
optical cable ........................................................................................ | |
optical cable assembly ......................................................................... | |
optical cavity ....................................................................................... | |
optical combiner ................................................................................. | |
optical coupler .................................................................................... | |
optical data bus ................................................................................... | |
optical detector ................................................................................... | |
optical fibre ......................................................................................... | |
optical fibre cable ................................................................................ | |
optical fibre connector ......................................................................... | |
optical fibre coupler ............................................................................. | |
optical fibre link .................................................................................. | |
optical fibre pigtail ............................................................................... | |
optical fibre splice ............................................................................... | |
optical filter ......................................................................................... | |
optical flux .......................................................................................... | |
optical path length ................................................................................ | |
optical power ...................................................................................... | |
optical radiation .................................................................................. | |
optical regenerative repeater ................................................................ | |
optical repeater ................................................................................... | |
optical spectrum .................................................................................. | |
optical splice ....................................................................................... | |
optical thickness .................................................................................. | |
optical time domain reflectometry ......................................................... | |
optical waveguide ............................................................................... | |
optically active material ....................................................................... | |
opto-electronic .................................................................................... | |
OTDR (abbreviation) .......................................................................... | |
output angle ........................................................................................ | |
P |
packing fraction (of a fibre bundle) ...................................................... | |
parabolic profile .................................................................................. | |
paraxial ray ......................................................................................... | |
partial coherence ................................................................................. | |
PCS-fibre (abbreviation) ..................................................................... | |
peak intensity wavelength .................................................................... | |
phase coefficient ................................................................................. | |
phase constant .................................................................................... | |
photo-conductivity .............................................................................. | |
photocurrent .................................................................................. | |
photodiode ......................................................................................... | |
photo-electric effect ............................................................................ | |
photo-emissive effect .......................................................................... | |
photon ................................................................................................ | |
photon noise ....................................................................................... | |
photo-voltaic effect ............................................................................. | |
physical optics .................................................................................... | |
PIN photodiode .................................................................................. | |
PIN-FET integrated receiver ............................................................... | |
plane wave ......................................................................................... | |
plastic clad silica fibre ......................................................................... | |
power flux density ............................................................................... | |
power-law index profile ...................................................................... | |
power reflection coefficient .................................................................. | |
practical test method (for optical fibres) ............................................... | |
preform .............................................................................................. | |
primary coating ................................................................................... | |
profile dispersion ................................................................................ | |
profile dispersion parameter ................................................................ | |
profile parameter ................................................................................. | |
propagation coefficient ........................................................................ | |
propagation constant ........................................................................... | |
pulse broadening ................................................................................. | |
pulse dispersion .................................................................................. | |
pulse spreading ................................................................................... | |
Q |
quadratic profile (deprecated) .............................................................. | |
quantum efficiency ............................................................................... | |
quantum limited operation .................................................................... | |
quantum noise ..................................................................................... | |
quantum-noise-limited operation .......................................................... | |
R |
radiance .............................................................................................. | |
radiance, conservation of ..................................................................... | |
radiant emittance ................................................................................. | |
radiant energy ..................................................................................... | |
radiant exitance ................................................................................... | |
radiant flux .......................................................................................... | |
radiant flux density .............................................................................. | |
radiant intensity ................................................................................... | |
radiant power ..................................................................................... | |
radiation angle ..................................................................................... | |
radiation mode .................................................................................... | |
radiation pattern (of an optical fibre) .................................................... | |
ray optics ........................................................................................... | |
Rayleigh scattering .............................................................................. | |
receive fibre optic terminal device ........................................................ | |
reference surface (of an optical fibre) ................................................... | |
reference surface centre ...................................................................... | |
reference surface diameter ................................................................... | |
reference surface diameter tolerance .................................................... | |
reference surface tolerance field ........................................................... | |
reference test method (for optical fibres) .............................................. | |
reflectance .......................................................................................... | |
reflectance density ............................................................................... | |
reflection ............................................................................................. | |
refracted ray (in an optical fibre) .......................................................... | |
refracted near-field method ................................................................. | |
refracted ray method ........................................................................... | |
refraction ............................................................................................ | |
refraction, index of .............................................................................. | |
refractive index contrast ...................................................................... | |
refractive index (of a medium) ............................................................. | |
refractive index profile ......................................................................... | |
resonant cavity .................................................................................... | |
responsivity ......................................................................................... | |
ribbon cable ........................................................................................ | |
rod-in-tube technique .......................................................................... | |
RTM (abbreviation) ............................................................................ | |
S |
scattering ............................................................................................ | |
secondary coating ............................................................................... | |
semiconductor laser ............................................................................. | |
sensitivity ............................................................................................ | |
shot noise ........................................................................................... | |
singlemode fibre .................................................................................. | |
skew ray ............................................................................................. | |
slab interferometry .............................................................................. | |
slotted core cable ................................................................................ | |
source power efficiency ....................................................................... | |
space coherence ................................................................................. | |
spatial coherence ................................................................................ | |
specific detectivity ............................................................................... | |
speckle noise ...................................................................................... | |
spectral irradiance ............................................................................... | |
spectral line ......................................................................................... | |
spectral linewidth ................................................................................ | |
spectral radiance ................................................................................. | |
spectral responsivity ............................................................................ | |
spectral width ..................................................................................... | |
spectral window (of an optical waveguide) ........................................... | |
splice .................................................................................................. | |
| | ИС МЕГАНОРМ: примечание. В официальном тексте документа, видимо, допущена опечатка: имеется в виду п. 731-05-31, а не 731-05-30. | |
|
splice loss ........................................................................................... | |
spontaneous emission .......................................................................... | |
SRD (abbreviation) ............................................................................. | |
star coupler ......................................................................................... | |
steady state condition .......................................................................... | |
step index fibre ................................................................................... | |
step index profile ................................................................................. | |
stimulated emission .............................................................................. | |
superluminescence .............................................................................. | |
superluminescent LED ......................................................................... | |
superradiance ..................................................................................... | |
superradiant diode ............................................................................... | |
surface emitting light emitting diode ...................................................... | |
surface wave ...................................................................................... | |
T |
tapered fibre ....................................................................................... | |
TE mode ............................................................................................ | |
tee coupler .......................................................................................... | |
| | ИС МЕГАНОРМ: примечание. В официальном тексте документа, видимо, допущена опечатка: имеется в виду п. 731-03-56, а не 731-05-56. | |
|
TEM mode ......................................................................................... | |
temporal coherence ............................................................................. | |
thin film optical waveguide ................................................................... | |
threshold current (of a laser diode) ...................................................... | |
tight jacketed cable ............................................................................. | |
time coherence .................................................................................... | |
TM mode ........................................................................................... | |
total internal reflection (deprecated) ..................................................... | |
total reflection ..................................................................................... | |
transfer function .................................................................................. | |
transmission loss (of an optical path) .................................................... | |
transmit fibre optic terminal device ....................................................... | |
transmittance ....................................................................................... | |
transmittance density ........................................................................... | |
transverse electric mode ...................................................................... | |
transverse electromagnetic mode ......................................................... | |
transverse interferometry ..................................................................... | |
transverse magnetic mode ................................................................... | |
| | ИС МЕГАНОРМ: примечание. В официальном тексте документа, видимо, допущена опечатка: имеется в виду п. 731-05-36, а не 731-05-35. | |
|
transverse offset loss ........................................................................... | |
tunnelling mode ................................................................................... | |
tunnelling ray ....................................................................................... | |
U |
ultraviolet ............................................................................................ | |
unbound mode .................................................................................... | |
UV (abbreviation) ............................................................................... | |
V |
V number ............................................................................................ | |
VAD (abbreviation) ............................................................................ | |
vapour phase axial deposition technique ............................................... | |
visible radiation ................................................................................... | |
vitreous silica ...................................................................................... | |
W |
wave optics ........................................................................................ | |
wavefront ........................................................................................... | |
waveguide dispersion .......................................................................... | |
wavelength division multiplexing ......................................................... | |
WDM (abbreviation) .......................................................................... | |
weakly guiding fibre ............................................................................ | |
Y |
Y-coupler ........................................................................................... | |
УДК 621.6:006.354 | |
Ключевые слова: международный электротехнический словарь, волоконно-оптическая связь |