Главная // Актуальные документы // ГОСТ (Государственный стандарт)СПРАВКА
Источник публикации
М.: ФГБУ "РСТ", 2022
Примечание к документу
Текст данного документа приведен с учетом
поправки, введенной в действие с 01.09.2023, опубликованной в "ИУС", N 12, 2023.
Документ
введен в действие с 01.02.2023.
Название документа
"ГОСТ 5481-2022. Межгосударственный стандарт. Масла растительные. Методы определения нежировых примесей и отстоя"
(введен в действие Приказом Росстандарта от 10.10.2022 N 1087-ст)
"ГОСТ 5481-2022. Межгосударственный стандарт. Масла растительные. Методы определения нежировых примесей и отстоя"
(введен в действие Приказом Росстандарта от 10.10.2022 N 1087-ст)
по техническому регулированию
и метрологии
от 10 октября 2022 г. N 1087-ст
МЕЖГОСУДАРСТВЕННЫЙ СТАНДАРТ
МАСЛА РАСТИТЕЛЬНЫЕ
МЕТОДЫ ОПРЕДЕЛЕНИЯ НЕЖИРОВЫХ ПРИМЕСЕЙ И ОТСТОЯ
Vegetable oils. Methods for determination
of insoluble impurities and sediment
(ISO 663:2017, NEQ)
(ISO 15301:2001, NEQ)
ГОСТ 5481-2022
Дата введения
1 февраля 2023 года
Цели, основные принципы и общие правила проведения работ по межгосударственной стандартизации установлены
ГОСТ 1.0 "Межгосударственная система стандартизации. Основные положения" и
ГОСТ 1.2 "Межгосударственная система стандартизации. Стандарты межгосударственные, правила и рекомендации по межгосударственной стандартизации. Правила разработки, принятия, обновления и отмены"
1 РАЗРАБОТАН Федеральным государственным бюджетным научным учреждением "Всероссийский научно-исследовательский институт жиров" (ВНИИЖиров)
2 ВНЕСЕН Межгосударственным техническим комитетом по стандартизации МТК 238 "Масла растительные и продукты их переработки"
3 ПРИНЯТ Межгосударственным советом по стандартизации, метрологии и сертификации (протокол от 30 сентября 2022 г. N 154-П)
За принятие проголосовали:
Краткое наименование страны по МК (ИСО 3166) 004-97 | Код страны по МК (ИСО 3166) 004-97 | Сокращенное наименование национального органа по стандартизации |
Армения | AM | ЗАО "Национальный орган по стандартизации и метрологии" Республики Армения |
Беларусь | BY | Госстандарт Республики Беларусь |
Казахстан | KZ | Госстандарт Республики Казахстан |
Киргизия | KG | Кыргызстандарт |
Россия | RU | Росстандарт |
Узбекистан | UZ | Узстандарт |
4
Приказом Федерального агентства по техническому регулированию и метрологии от 10 октября 2022 г. N 1087-ст межгосударственный стандарт ГОСТ 5481-2022 введен в действие в качестве национального стандарта Российской Федерации с 1 февраля 2023 г.
5 В настоящем стандарте учтены основные нормативные положения международных стандартов ISO 663:2017 "Жиры и масла животные и растительные. Определение содержания нерастворимых примесей" ("Animal and vegetable fats and oils - Determination of insoluble impurities content", NEQ) и ISO 15301:2001 "Жиры и масла животные и растительные. Определение осадка в необработанных жирах и маслах. Метод центрифугирования" ("Animal and vegetable fats and oils - Determination of sediment in crude fats and oils - Centrifuge method", NEQ)
Информация о введении в действие (прекращении действия) настоящего стандарта и изменений к нему на территории указанных выше государств публикуется в указателях национальных стандартов, издаваемых в этих государствах, а также в сети Интернет на сайтах соответствующих национальных органов по стандартизации.
В случае пересмотра, изменения или отмены настоящего стандарта соответствующая информация будет опубликована на официальном интернет-сайте Межгосударственного совета по стандартизации, метрологии и сертификации в каталоге "Межгосударственные стандарты"
Настоящий стандарт распространяется на растительные масла и устанавливает методы определения массовой доли нежировых примесей, не растворимых в гексане, петролейном эфире или бензине (нефрасе), и объемной доли отстоя, формирующегося при отстаивании масла.
В настоящем стандарте использованы нормативные ссылки на следующие межгосударственные стандарты:
ГОСТ 12.1.007 Система стандартов безопасности труда. Вредные вещества. Классификация и общие требования безопасности
ГОСТ 1770 (ИСО 1042-83, ИСО 4788-80) Посуда мерная лабораторная стеклянная. Цилиндры, мензурки, колбы, пробирки. Общие технические условия
ГОСТ 2603 Реактивы. Ацетон. Технические условия
ГОСТ 3118 Реактивы. Кислота соляная. Технические условия
ГОСТ 6709 Вода дистиллированная. Технические условия <*>
--------------------------------
<*> На территории Российской Федерации действует
ГОСТ Р 58144 "Вода дистиллированная. Технические условия".
ГОСТ 9147 Посуда и оборудование лабораторные фарфоровые. Технические условия
ГОСТ 12026 Бумага фильтровальная лабораторная. Технические условия
ГОСТ 25336 Посуда и оборудование лабораторные стеклянные. Типы, основные параметры и размеры
ГОСТ 29251 (ИСО 385-1-84) Посуда лабораторная стеклянная. Бюретки. Часть 1. Общие требования
ГОСТ 32190 Масла растительные. Правила приемки и методы отбора проб
ГОСТ OIML R 76-1 Государственная система обеспечения единства измерений. Весы неавтоматического действия. Часть 1. Метрологические и технические требования. Испытания
Примечание - При пользовании настоящим стандартом целесообразно проверить действие ссылочных стандартов и классификаторов на официальном интернет-сайте Межгосударственного совета по стандартизации, метрологии и сертификации (www.easc.by) или по указателям национальных стандартов, издаваемым в государствах, указанных в
предисловии, или на официальных сайтах соответствующих национальных органов по стандартизации. Если на документ дана недатированная ссылка, то следует использовать документ, действующий на текущий момент, с учетом всех внесенных в него изменений. Если заменен ссылочный документ, на который дана датированная ссылка, то следует использовать указанную версию этого документа. Если после принятия настоящего стандарта в ссылочный документ, на который дана датированная ссылка, внесено изменение, затрагивающее положение, на которое дана ссылка, то это положение применяется без учета данного изменения. Если ссылочный документ отменен без замены, то положение, в котором дана ссылка на него, применяется в части, не затрагивающей эту ссылку.
В настоящем стандарте применены следующие термины с соответствующими определениями:
3.1
массовая доля нежировых примесей в растительном масле (Нрк. весовой отстой растительного масла): Количественное содержание в растительном масле веществ, не растворимых в гексане, петролейном эфире или бензине (нефрасе). |
3.2
отстой растительного масла по объему (Нрк. объемный отстой растительного масла): Отношение объема, занимаемого осадком, выделенным в стандартных условиях, к общему объему растительного масла. Примечание - К стандартным условиям относится перечень конкретных параметров, установленных в методе определения показателя. |
4 Условия проведения измерения
При подготовке и проведении измерений в помещении лаборатории должны быть соблюдены следующие условия:
- температура окружающей среды . . . . . . . . . . . . . . . . . . | от 15 °C до 30 °C; |
- относительная влажность воздуха . . . . . . . . . . . . . . . . . | от 20% до 90%. |
5 Метод определения нежировых примесей
Границы абсолютной погрешности результатов измерений при доверительной вероятности P = 0,95 для значений массовой доли нежировых примесей составляют:
- до 0,5% вкл. - 0,03%;
- свыше 0,5% - 0,07%.
Нижний предел определяемой величины - 0,03%.
5.1 Сущность метода
Метод основан на обработке пробы избыточным количеством гексана, петролейного эфира или бензина (нефраса) с последующим фильтрованием полученного раствора, промыванием фильтра с осадком, высушиванием осадка до постоянной массы и его взвешиванием.
5.2 Средства измерений, вспомогательное оборудование, реактивы и материалы
Весы неавтоматического действия специального (I) или высокого (II) класса точности по
ГОСТ OIML R 76-1 с действительной ценой деления не более 0,001 г.
Шкаф сушильный лабораторный, обеспечивающий поддержание температуры в рабочей камере (103 +/- 2) °C.
Баня водяная.
Насос вакуумный лабораторный или насос водоструйный.
Воронки металлические для фильтрования под вакуумом, представленные на
рисунках А.1 и
А.2 (приложение А).
Аппарат Сокслета, состоящий:
Стаканы 8-1-250(400), Н-1-250(400) ТХС по
ГОСТ 25336.
Стаканчики для взвешивания СВ-24/10, СВ-34/12, СН-45/13, СН-60/14, СН-85/15 по
ГОСТ 25336.
Бюксы металлические.
Эксикатор 2-140 (190, 250) по
ГОСТ 25336 с эффективным осушителем (например, прокаленным хлористым кальцием).
Палочки стеклянные оплавленные, длина которых соответствует высоте стаканов.
Стекло часовое.
Пинцет.
Фильтры бумажные беззольные.
н-Гексан по нормативному документу, действующему на территории государства, принявшего стандарт.
Эфир петролейный по нормативному документу, действующему на территории государства, принявшего стандарт.
Бензин (нефрас) по нормативному документу, действующему на территории государства, принявшего стандарт.
Допускается применение других средств измерений, вспомогательного оборудования и материалов с метрологическими и техническими характеристиками не ниже и реактивов по качеству не хуже указанных.
5.3 Подготовка к определению
5.3.2 Подготовка пробы
Пробу испытуемого масла перемешивают.
В холодное время года пробу масла, подвергшегося охлаждению, предварительно нагревают на водяной бане при температуре 50 °C в течение 30 мин, затем медленно охлаждают до 20 °C и перемешивают.
5.3.3 Подготовка фильтров для металлических воронок и воронок Бюхнера
Для фильтрования используют готовые беззольные фильтры.
В случае использования фильтровальной бумаги из нее вырезают фильтры по размеру воронки и обезжиривают их в аппарате Сокслета в течение 3 ч с применением того же растворителя, что и для анализа. По истечении указанного времени фильтры раскладывают под вытяжным устройством и оставляют до удаления запаха растворителя.
Используемые фильтры помещают в стаканчики для взвешивания. Открытые стаканчики с фильтром сушат в сушильном шкафу в течение 1 ч при температуре (103 +/- 2) °C, после чего стаканчики закрывают крышками, охлаждают в эксикаторе в течение 40 мин и взвешивают, записывая результат до третьего десятичного знака. Последующие взвешивания проводят через каждые 30 мин высушивания.
Массу считают постоянной, если разница между последующими взвешиваниями не будет превышать 0,002 г.
5.3.4 Подготовка металлических воронок с плоской фильтрующей поверхностью для фильтрования под вакуумом
Подготовленные фильтры диаметром на 1 - 1,5 мм меньше диаметра сетки воронки прижимают к сетке воронки при помощи шайбы и зажимной гайки. Воронку вставляют в колбу для фильтрования под вакуумом.
5.3.5 Подготовка конусообразных воронок для фильтрования под вакуумом
Воронку вставляют в колбу для фильтрования. Подготовленные фильтры складывают обычным способом и смачивают растворителем. Фильтры помещают в воронку и, включив вакуумный насос, по возможности плотнее прижимают их к внутренней стенке воронки.
Допускается использование воронки Бюхнера или стеклянного тигля с пористым стеклянным фильтром.
5.4 Выполнение определения
5.4.1 В стакане взвешивают (100 +/- 5) г испытуемого рафинированного или (50 +/- 5) г нерафинированного масла, записывая результат до второго десятичного знака. К пробе масла добавляют растворитель в количестве 100 см3 или 50 см3 соответственно и полученный раствор фильтруют с помощью подготовленной воронки или предварительно высушенного до постоянной массы стеклянного тигля с пористым стеклянным фильтром.
Если раствор масла плохо фильтруется, в него нужно добавить растворитель.
Для ускорения фильтрования рекомендуется применять фильтрование под вакуумом, создаваемым вакуумным или водоструйным насосом.
Со стенок стакана смывают несколькими порциями растворителя по 15 - 20 см3 остатки пробы на тот же фильтр.
5.4.2 При использовании металлической воронки или воронки Бюхнера с бумажным фильтром фильтр с осадком тщательно сворачивают, помещают в заранее приготовленный пакетик из фильтровальной бумаги и экстрагируют растворителем в аппарате Сокслета до полного удаления масла.
Конец экстракции устанавливают по отсутствию жира при пробе на полноту экстракции. Для этого, отсоединив от колбы экстрактор, наносят одну каплю экстракта на часовое стекло. После испарения растворителя на стекле не должно оставаться жирное пятно.
По окончании экстракции пакетик разворачивают, фильтр помещают в стаканчик для взвешивания и оставляют под вытяжным устройством до удаления запаха растворителя.
5.4.3 При использовании тигля со стеклянной пористой пластинкой промывание остатка небольшими порциями растворителя продолжают до полного обезжиривания.
Для проверки полноты обезжиривания отсоединяют тигель от колбы, наносят одну каплю экстракта на часовое стекло. После испарения растворителя на стекле не должно оставаться жирное пятно.
5.4.4 Открытый стаканчик с фильтром или тигель помещают в сушильный шкаф и сушат в течение 1 ч при температуре (103 +/- 2) °C, после чего стаканчик закрывают крышкой, охлаждают в эксикаторе в течение 40 мин и взвешивают, записывая результат до третьего десятичного знака. Последующие взвешивания проводят через каждые 30 мин высушивания.
Массу считают постоянной, если разница между последующими взвешиваниями не будет превышать 0,002 г. При увеличении массы берут данные предыдущего взвешивания.
5.5 Обработка результатов
5.5.1 Массовую долю нежировых примесей (X), %, вычисляют по формуле

, (1)
где m2 - масса стаканчика с фильтром и остатком или тигля с остатком, г;
m1 - масса стаканчика с чистым фильтром или чистого тигля, г;
m - масса пробы масла, г.
5.5.2 За окончательный результат принимают среднее арифметическое результатов двух параллельных определений. Вычисления производят до третьего десятичного знака и округляют до второго десятичного знака.
Для рафинированных масел результат измерения менее 0,03% принимают за отсутствие нежировых примесей.
5.6 Метрологические характеристики метода
5.6.1 Приемлемость результатов измерений, полученных в условиях повторяемости
Расхождение между результатами двух определений, выполненных одним методом на одном и том же анализируемом образце в одной лаборатории одним оператором с использованием одного оборудования за короткий промежуток времени, не должно превышать предел повторяемости
r при доверительной вероятности
P = 0,95. Значение предела повторяемости приведено в
таблице 1.
В процентах
Массовая доля нежировых примесей | r | R |
До 0,5 вкл. | 0,02 | 0,04 |
Св. 0,5 | 0,05 | 0,10 |
5.6.2 Приемлемость результатов измерений, полученных в условиях воспроизводимости
Расхождение между результатами определений, полученных в двух различных лабораториях, выполненных одним методом на одном и том же анализируемом образце разными операторами с использованием различного оборудования, не должно превышать предел воспроизводимости
R при доверительной вероятности
P = 0,95. Значение предела воспроизводимости приведено в
таблице 1.
6 Метод определения отстоя
Границы абсолютной погрешности измерений объемной доли отстоя +/- 0,6% при доверительной вероятности P = 0,95.
6.1 Сущность метода
Метод основан на получении плотного осадка нежировых примесей масла, образующегося после обработки масла раствором хлористого кальция и ацетоном, отстаивании его в течение определенного промежутка времени и последующем определении объемной доли отстоя.
Метод определения осадка центрифугированием приведен в
приложении Б.
6.2 Средства измерений, вспомогательное оборудование, реактивы и материалы
Штативы.
Секундомер или часы песочные на 1 мин.
Кальций хлористый по нормативному документу.
Допускается применение других средств измерений и вспомогательного оборудования с метрологическими и техническими характеристиками не ниже и реактивов по качеству не хуже указанных.
6.3 Подготовка к определению
6.3.1 Приготовление раствора хлористого кальция
Смесь, состоящую из 90 частей дистиллированной воды и 10 частей соляной кислоты (по объему), насыщают хлористым кальцием и хранят в закрытом сосуде при комнатной температуре.
6.3.2 Подготовка пробы масла
Пробу масла тщательно перемешивают.
6.4 Выполнение определения
В бюретку наливают 25 см3 испытуемого масла, с помощью цилиндра добавляют 25 см3 ацетона и 10 см3 раствора хлористого кальция, закрывают бюретку пробкой и перемешивают содержимое бюретки в течение 1 мин. Затем бюретку устанавливают в штативе в вертикальном положении и оставляют для формирования слоев в течение 24 ч.
По истечении указанного времени измеряют объем слоя, находящегося между нижним прозрачным слоем раствора хлористого кальция и верхним прозрачным слоем масла в ацетоне. Измерение проводят с точностью цены деления бюретки.
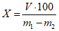
6.5 Обработка результатов
Объемную долю отстоя (X), %, вычисляют по формуле

, (2)
где h - объем слоя, находящегося между нижним прозрачным слоем раствора хлористого кальция и верхним прозрачным слоем масла в ацетоне, см3;
25 - объем испытуемой пробы масла, см3.
За окончательный результат принимают среднее арифметическое результатов двух параллельных определений. Вычисления проводят до третьего десятичного знака и округляют до второго.
6.6 Метрологические характеристики метода
6.6.1 Приемлемость результатов измерений, полученных в условиях повторяемости
Расхождение между результатами двух определений, выполненных одним методом, на идентичных анализируемых объектах, в одной лаборатории, одним оператором, с использованием одного оборудования за короткий промежуток времени, при доверительной вероятности P = 0,95 не должно превышать 0,4%.
6.6.2 Приемлемость результатов измерений, полученных в условиях воспроизводимости
Расхождение между результатами определений, полученных в двух различных лабораториях, выполненных одним методом на идентичных анализируемых объектах разными операторами, с использованием различного оборудования, при доверительной вероятности P = 0,95 не должно превышать 0,8%.
7 Требования безопасности при проведении работ
Помещение лаборатории должно быть оборудовано вытяжной вентиляцией.
Требования техники безопасности при работе с химическими реактивами - по
ГОСТ 12.1.007.
8 Требования к квалификации оператора
Анализ должен выполняться лаборантом, освоившим настоящую методику и прошедшим инструктаж по технике безопасности в химической лаборатории.
(обязательное)
ВОРОНКИ МЕТАЛЛИЧЕСКИЕ ДЛЯ ФИЛЬТРОВАНИЯ ПОД ВАКУУМОМ
1 - коническая часть воронки; 2 - цилиндрическая часть
воронки; 3 - зажимная гайка; 4 - шайба, прижимающая
фильтр к сетке; 5 - металлическая сетка
Рисунок А.1 - Воронка с плоской фильтрующей поверхностью
1 - коническая часть с двойной стенкой; 2 - отверстие
во внутренней стенке
Рисунок А.2 - Воронка конусообразная
(справочное)
ОПРЕДЕЛЕНИЕ ОСАДКА В НЕРАФИНИРОВАННЫХ МАСЛАХ
МЕТОДОМ ЦЕНТРИФУГИРОВАНИЯ
Б.1 Область применения
Метод применим для определения осадка в диапазоне значений от 0,1 до 15,0 см3 на 100 г.
Метод применим к маслам, жидким при температуре 20 °C.
Б.2 Термин и определение
Б.2.1 осадок (sediment): Часть веществ, не растворимых в нерафинированном масле, которые могут быть отделены центрифугированием, и общее количество непрозрачного слоя компонентов, осевших в нижней части центрифужной пробирки после центрифугирования в условиях, указанных в настоящей методике, выраженные в см3 на 100 г масла.
Примечание - В состав осадка входят, например, фосфолипиды, примеси, земля и т.д., распределенные в водосодержащей фазе и количественно определяемые данным методом. При наличии белых кристаллических компонентов на поверхности или внутри темного слоя нерастворимых веществ их учитывают как часть осадка.
Б.3 Сущность метода
Метод основан на центрифугировании гомогенизированной пробы масла и измерении объема полученного осадка.
Б.4 Средства измерений и вспомогательное оборудование
Центрифуга, пригодная для размещения в ней центрифужных пробирок с держателями, позволяющая контролировать скорость вращения таким образом, чтобы радиальное ускорение в области нижней части пробирок превышало ускорение свободного падения в 700 - 800 раз. Расчет скорости вращения приведен в
Б.5.3.
Пробирки центрифужные вместимостью 100 см
3 грушевидной или конусообразной формы, как показано на
рисунках Б.1,
Б.2, снабженные пробкой.
Рисунок Б.1 - Грушевидная центрифужная пробирка
Рисунок Б.2 - Коническая центрифужная пробирка
Держатели для пробирок.
Весы неавтоматического действия высокого (II) класса точности по
ГОСТ OIML R 76-1 с действительной ценой деления не более 0,01 г.
Б.5 Подготовка к определению
Б.5.1 Отбор проб
Б.5.2 Подготовка пробы
При необходимости температуру испытуемого масла доводят до 20 °C - 25 °C. Пробу масла тщательно перемешивают.
Б.5.3 Расчет скорости вращения центрифуги
Скорость вращения центрифуги (n), мин-1, вычисляют по формуле

, (Б.1)
где ay - относительное радиальное ускорение (например, ay = 700 или ay = 800);
d - численное значение диаметра максимального размаха, измеренное между концами противоположных центрифужных пробирок в момент вращения, мм.
Б.6 Выполнение определения
Две центрифужные пробирки взвешивают с записью результата до первого десятичного знака. В пробирки наливают по 100 см3 масла, взвешивают их с записью результата до первого десятичного знака, вставляют в держатели и помещают в центрифугу. Устанавливают необходимую скорость вращения и центрифугируют в течение 1 ч +/- 5 с.
Записывают объем осадка в пробирках. Если объем осадка не превышает 1,5 см3, результат записывают с точностью до 0,1 см3, в случае большего объема осадка - с точностью до 0,5 см3.
В случае неполного разделения слоев при использовании грушевидных пробирок (наличие прозрачного слоя в узкой части пробирки) результат должен быть скорректирован с учетом объема прозрачного слоя.
Б.7 Обработка результатов
Содержание осадка X, см3 на 100 г, вычисляют по формуле

, (Б.2)
где V - объем осадка, см3;
m1 - масса центрифужной пробирки с пробой масла, г;
m2 - масса центрифужной пробирки, г.
За окончательный результат принимают среднее арифметическое двух параллельных определений. Вычисления проводят до второго десятичного знака и округляют до первого.
Б.7.1 Приемлемость результатов измерений, полученных в условиях повторяемости
Расхождение между результатами двух определений, выполненных одним методом на идентичных анализируемых объектах в одной лаборатории одним оператором с использованием одного оборудования за короткий промежуток времени, не должно превышать предел повторяемости
r при доверительной вероятности
P = 0,95. Значение предела повторяемости
r приведено в
таблице Б.1.
В см3 на 100 г
Содержание осадка | Предел повторяемости r | Предел воспроизводимости R |
Менее 1 | 0,1 | 0,7 |
От 1 до 3 | 0,2 | 1,0 |
Б.7.2 Приемлемость результатов измерений, полученных в условиях воспроизводимости
Расхождение между результатами определений, полученных в двух различных лабораториях, выполненных одним методом на идентичных анализируемых объектах разными операторами с использованием различного оборудования, не должно превышать предел воспроизводимости
R при доверительной вероятности
P = 0,95. Значение предела воспроизводимости
R приведено в
таблице Б.1.
УДК 543.612 | |
Ключевые слова: растительные масла, нежировые примеси, отстой, методы определения, обработка результатов, требования безопасности |