Главная // Актуальные документы // ГОСТ (Государственный стандарт)СПРАВКА
Источник публикации
М.: Издательство стандартов, 1987
Примечание к документу
Документ утратил силу с 01.03.2021 в связи с изданием
Приказа Росстандарта от 18.06.2020 N 263-ст. Взамен введен в действие
ГОСТ 23672-2020.
С 1 июля 2003 года до вступления в силу технических регламентов акты федеральных органов исполнительной власти в сфере технического регулирования носят рекомендательный характер и подлежат обязательному исполнению только в части, соответствующей целям, указанным в
пункте 1 статьи 46 Федерального закона от 27.12.2002 N 184-ФЗ.
Введен в действие с 1 января 1981 года.
Название документа
"ГОСТ 23672-79. Доломит для стекольной промышленности. Технические условия"
(утв. Постановлением Госстандарта СССР от 29.05.1979 N 1945)
(ред. от 06.02.1987)
"ГОСТ 23672-79. Доломит для стекольной промышленности. Технические условия"
(утв. Постановлением Госстандарта СССР от 29.05.1979 N 1945)
(ред. от 06.02.1987)
Утвержден и введен в действие
Постановлением Госстандарта СССР
от 29 мая 1979 г. N 1945
ГОСУДАРСТВЕННЫЙ СТАНДАРТ СОЮЗА ССР
ДОЛОМИТ ДЛЯ СТЕКОЛЬНОЙ ПРОМЫШЛЕННОСТИ
ТЕХНИЧЕСКИЕ УСЛОВИЯ
Dolomite for glass industry. Specifications
ГОСТ 23672-79
| | Список изменяющих документов (в ред. Изменения N 1, утв. Постановлением Госстандарта СССР от 06.02.1987 N 192) | |
Дата введения
с 1 января 1981 года
1. Разработан и внесен Министерством промышленности строительных материалов СССР.
Исполнители: Ю.П. Лежнев, Л.А. Зайонц, И.И. Попова, И.Н. Андрианова.
2. Утвержден и введен в действие Постановлением Государственного комитета СССР по стандартам от 29.05.1979 N 1945.
3. Введен впервые.
4. Ссылочные нормативно-технические документы
───────────────────────────────────┬──────────────────────────────
Обозначение НТД, на который │ Номер пункта, подпункта,
дана ссылка │ перечисления, приложения
───────────────────────────────────┼──────────────────────────────
ИС МЕГАНОРМ: примечание.
Взамен ГОСТ 2226-75 Постановлением Госстандарта СССР от
29.06.1988 N 2501 с 1 января 1990 года введен в действие
ИС МЕГАНОРМ: примечание.
Взамен ГОСТ 3584-73 Постановлением Госстандарта СССР
от 21.09.1986 N 2466 с 1 января 1988 года введен в действие
ИС МЕГАНОРМ: примечание.
Взамен ГОСТ 7328-82 Постановлением Госстандарта РФ от
26.10.2001 N 438-ст с 1 июля 2002 года введен в действие
ИС МЕГАНОРМ: примечание.
Взамен ГОСТ 8478-66 Постановлением Госстандарта СССР от
18.05.1981 N 2426 с 1 января 1983 года введен в действие
ИС МЕГАНОРМ: примечание.
Взамен ГОСТ 22552.7-77 Приказом Росстандарта от 09.10.2019
ГОСТ 23673.1-79 - ГОСТ 23673.5-79 │
2.1,
2.1а
ИС МЕГАНОРМ: примечание.
С 1 июля 2002 года Постановлением Госстандарта РФ от
5. Переиздание (февраль 1987 г.) с Изменением N 1, утвержденным в феврале 1987 г. Пост. N 192 от 06.02.1987 (ИУС 5-87).
6. Срок действия продлен до 01.01.1992 Постановлением Госстандарта от 06.02.1987 N 192.
Настоящий стандарт распространяется на кусковой и молотый доломит, предназначенный для производства стекла.
(Измененная редакция, Изм. N 1).
1.1. Доломит выпускают марок: ДК-19-0,05; ДК-19-0,10; ДК-18-0,25; ДК-18-0,40 и ДМ-20-0,10.
Примечание. В обозначении марок буквы означают: Д - доломит, К - кусковой; М - молотый для производства электровакуумного стекла; цифры - массовые доли окиси магния и окиси железа соответственно, в процентах.
(Измененная редакция, Изм. N 1).
2. ТЕХНИЧЕСКИЕ ТРЕБОВАНИЯ
2.1. Кусковой доломит должен соответствовать требованиям настоящего стандарта и нормам, указанным в табл. 1.
Таблица 1
────────────────────┬───────────────────────────────────────────┬──────────
Наименование │ Норма для марки │ Метод
показателя ├──────────┬──────────┬──────────┬──────────┤испытания
│ДК-19-0,05│ДК-19-0,10│ДК-18-0,25│ДК-18-0,40│
────────────────────┼──────────┼──────────┼──────────┼──────────┼──────────
1. Массовая доля │ 19,0 │ 19,0 │ 18,0 │ 18,0 │ По ГОСТ
окиси магния (MgO), │ │ │ │ │23673.1-79
%, не менее │ │ │ │ │
2. Массовая доля │ 0,05 │ 0,10 │ 0,25 │ 0,40 │ По ГОСТ
окислов железа в │ │ │ │ │23673.2-79
пересчете на Fe O , │ │ │ │ │
2 3 │ │ │ │ │
%, не более │ │ │ │ │
3. Массовая доля │ 32 │ 32 │ 34 │ 34 │ По ГОСТ
окиси кальция (CaO),│ │ │ │ │23673.1-79
%, не более │ │ │ │ │
4. Массовая доля │ 1,5 │ 2,0 │ 2,5 │ 5,0 │ По ГОСТ
двуокиси кремния │ │ │ │ │23673.4-79
(SiO ), %, не более │ │ │ │ │
2 │ │ │ │ │
5. Массовая доля │ 1,0 │ 1,5 │ 2,0 │ 2,5 │ По ГОСТ
окиси алюминия │ │ │ │ │23673.3-79
(Al O ), %, не более│ │ │ │ │
2 3 │ │ │ │ │
6. Массовая доля │ 7 │ 7 │ 7 │ 7 │ По ГОСТ
влаги, %, не более │ │ │ │ │23673.5-79
7. Массовая доля │ │ │ │ │ По
более 300 мм │ Отсутствие │настоящего
менее 20 мм, │ 10 │ 10 │ 10 10 │стандарта
не более │ │ │ │
Примечание. Допускается по согласованию изготовителя с потребителем массовая доля влаги в кусковом доломите всех марок с 1 апреля по 1 июня и с 1 сентября по 1 ноября не более 9%.
(Измененная редакция, Изм. N 1).
2.1а. Молотый доломит марки ДМ-20-0,10 должен соответствовать нормам, указанным в табл. 2.
Таблица 2
──────────────────────────────────────┬─────────────┬──────────────────────
Наименование показателя │ Норма │ Метод испытания
──────────────────────────────────────┼─────────────┼──────────────────────
1. Массовая доля окиси магния (MgO), │ 20 +/- 1,0 │ По ГОСТ 23673.1-79
% │ │
2. Массовая доля окислов железа в │ 0,1 │ По ГОСТ 23673.2-79
пересчете на Fe O , %, не более │ │и ГОСТ 23673.7-79
2 3 │ │
3. Массовая доля окиси кальция │ 31 +/- 1,0 │ По ГОСТ 23673.1-79
(CaO), % │ │
4. Массовая доля двуокиси кремния │ 2,0 │ По ГОСТ 23673.4-79
(SiO ), %, не более │ │
2 │ │
5. Массовая доля окиси алюминия │ 1,5 │ По ГОСТ 23673.3-79
(Al O ), %, не более │ │и ГОСТ 23673.7-79
2 3 │ │
6. Массовая доля влаги, %, не более │ 0,5 │ По ГОСТ 23673.5-79
7. Массовая доля окиси хрома │ 0,001 │ По
п. 5.3 настоящего
(Cr O ), %, не более │ │стандарта
2 3 │ │
8. Массовая доля серы в пересчете │ 0,2 │ По
п. 5.4 настоящего
на SO , %, не более │ │стандарта
3 │ │
9. Массовая доля магнитных включений │ Отсутствие │ По
п. 5.5 настоящего
размером более 0,25 мм │ │стандарта
(Введен дополнительно, Изм. N 1).
2.2. Колебания массовых долей окиси кальция и окиси магния между партиями, предназначенными для одного потребителя, должны быть не более 0,75%.
2.3. В доломите всех марок не допускается наличие посторонних примесей, видимых невооруженным глазом.
2.4. В молотом доломите остаток на сетке N 1К отсутствует, остаток на сетке N 08К должен быть не более 5%. Проход через сетку N 01К должен быть не более 10%.
(Введен дополнительно, Изм. N 1).
3.1. Предельно допустимая концентрация доломита в воздухе рабочей зоны производственных помещений - 6 мг/м3.
4.1. Доломит принимают партиями. Партией считают количество доломита одного месторождения, одной марки, оформленное одним документом о качестве, в котором указывают:
наименование предприятия-поставщика или его товарный знак;
наименование и марку продукции;
номер и дату выдачи документа;
результаты испытаний;
дату отгрузки;
массу и номер партии;
номера вагонов;
обозначение настоящего стандарта.
4.2. Для контроля качества доломита требованиям настоящего стандарта от партии отбирают объединенную пробу массой не менее 15 кг.
4.3. При получении неудовлетворительных результатов испытаний хотя бы по одному из показателей проводят повторные испытания по этим показателям на удвоенном количестве проб, отобранных от той же партии.
Результаты повторных испытаний распространяют на всю партию.
5.1. Отбор и подготовка проб
5.1.1. Отбор проб кускового доломита производят от штабелей до погрузки или после выгрузки его из транспортных средств не менее чем из 30 равномерно удаленных друг от друга участков штабеля.
Точечную пробу на каждом участке отбирают от 10 соприкасающихся друг с другом кусков доломита откалыванием молотком кусочков массой не менее 50 г.
Масса точечной пробы должна быть не менее 0,5 кг.
(Измененная редакция, Изм. N 1).
5.1.1а. Отбор проб молотого доломита - по ГОСТ 22871-77.
(Введен дополнительно, Изм. N 1).
5.1.2. Все отобранные точечные пробы соединяют в объединенную пробу, тщательно перемешивают и методом квартования сокращают до массы не менее 4 кг.
Полученную пробу измельчают на лабораторных бегунах или валковой дробилке до крупности не более 1 мм, сокращают методом квартования до массы 1 кг и тем же методом делят на две равные части, которые помещают в полиэтиленовые пакеты или стеклянные банки и снабжают этикетками с указанием:
наименования предприятия-поставщика;
наименования и марки продукции;
номера партии, даты и места отбора проб;
фамилий лиц, производивших отбор и подготовку проб.
Один пакет или банку передают в лабораторию для проведения испытаний, другой - хранят в течение 2 месяцев на случай разногласия в оценке качества.
5.1.3. Отбор проб кускового доломита для определения гранулометрического состава производят ковшом экскаватора или грейферным краном не менее чем из 10 точек, равномерно расположенных по длине и высоте штабеля.
Массу пробы для определения гранулометрического состава (m) в килограммах вычисляют по формуле
m = Kd,
где K - коэффициент, зависящий от степени однородности опробуемого материала, принимаемый для кускового доломита равным 0,05;
d - размер максимального куска доломита в партии, мм.
Размер максимального куска определяют визуально или с помощью измерительной линейки.
(Измененная редакция, Изм. N 1).
| | ИС МЕГАНОРМ: примечание. Взамен ГОСТ 8478-66 Постановлением Госстандарта СССР от 18.05.1981 N 2426 с 1 января 1983 года введен в действие ГОСТ 8478-81. | |
5.2.1. Массовые доли кусков размерами более 300 мм и менее 20 мм определяют путем рассева на грохоте с размером отверстий N 300 и сите с сеткой N 20 по ГОСТ 3306-70 и ГОСТ 8478-66.
Пробу материала во избежание перегрузки сита подают порциями таким образом, чтобы толщина слоя материала на сите не превышала двухкратного размера максимального куска.
Рассев проводят механическим способом или вручную перемещением кусков по поверхности сита.
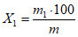
Материал, оставшийся на сетке N 300 и прошедший через сетку N 20, взвешивают с погрешностью не более 0,5% от массы взвешиваемого материала.
Массовую долю материала на сетке N 300 (

) в процентах вычисляют по формуле

,
где

- масса материала, оставшегося на сетке N 300, кг;
m - масса материала, взятого для рассева, кг.
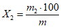
Массовую долю материала, прошедшего через сетку N 20 (

), в процентах вычисляют по формуле

,
где

- масса материала, прошедшего через сетку N 20, кг;
m - масса материала, взятого для рассева, кг.
| | ИС МЕГАНОРМ: примечание. Взамен ГОСТ 3584-73 Постановлением Госстандарта СССР от 21.09.1986 N 2466 с 1 января 1988 года введен в действие ГОСТ 6613-86. | |
5.2.2. Гранулометрический состав молотого доломита определяют по ГОСТ 22552.7-77 путем просева на ситах из полутомпаковой сетки N 1К, N 08К и N 01К, по ГОСТ 3584-73, взвешивания фракции на технических весах типа ВЛТК-500 или любых других с погрешностью не более 0,1 г.
5.3. Химико-спектральный метод определения массовой доли окиси хрома в молотом доломите
5.3.1. Метод основан на испарении анализируемой пробы из кратера угольного электрода в дуге переменного тока и на измерении почернения спектральных аналитических линий хрома, регистрируемых на фотопластинке.
5.3.2. Анализ выполняют по методу трех эталонов. Интервал определяемых содержаний 0,0002 - 0,01% окиси хрома.
5.3.3. Определение массовой доли окиси хрома проводят в трех навесках.
5.3.4. Контроль правильности результатов анализа осуществляют с помощью государственного стандартного образца (ГСО) состава доломита не реже одного раза в квартал, а также после длительных перерывов в работе и при других изменениях, влияющих на результат анализа. Среднее арифметическое значение результатов трех параллельных определений в стандартном образце принимают за воспроизведенное содержание окиси хрома в стандартном образце.
5.3.5. Аппаратура, материалы и реактивы
Спектрограф дифракционный типа ДФС-452.
Источник возбуждения спектров ИВС-28.
Микрофотометр типа ИФО-460 или другой аналогичный.
Спектропроектор типа СПП-2.
Весы аналитические лабораторные 2-го класса точности с диапазоном взвешивания от 0,2 до 200 г типа АДВ-200 по ГОСТ 24104-80.
Комплект разновесов 2-го класса точности набора Г-2-210 по ГОСТ 7328-82.
Станок для заточки угольных электродов типа СЗУ-2.
Ступка агатовая или халцедоновая диаметром 90 мм.
Секундомер по ГОСТ 5072-79.
Банки полиэтиленовые для хранения проб и образцов сравнения вместимостью 50 - 100 дм3 или стеклянные бюксы по
ГОСТ 25336-82.
Бумага масштабно-координатная (монологарифмическая) марки ПНП по
ГОСТ 334-73.
Угли графитированные марки ОСЧ-7-3 или угли спектрально-чистые марок С-1 и С-2.
Фотопластинки спектрографические типа II.
Фиксаж быстродействующий и проявитель по ГОСТ 10691.1-84.
Магний углекислый.
5.3.6. Подготовка к анализу
5.3.6.1. Анализируемые пробы измельчают в ступке до крупности 74 мк в присутствии спирта. Проба после измельчения должна представлять мелкий порошок, при растирании которого пальцем на поверхности ногтя не должны ощущаться отдельные частицы.
5.3.6.2. Приготовление основного образца
Основной образец с содержанием 10% массовой доли хрома готовится из окиси хрома и искусственной основы, имитирующей доломит, смеси 55% углекислого кальция и 45% углекислого магния. Образец готовится смешиванием 1,46 г окиси хрома с 8,54 г искусственной основы.
5.3.6.3. Приготовление образцов сравнения
Образцы сравнения готовятся методом последовательного разбавления спиртом из основного образца, содержащего 10% хрома, с массовой долей: 0,1; 0,03; 0,01; 0,003; 0,001; 0,0003% хрома. Полученные образцы сравнения хранят в полиэтиленовых банках или стеклянных бюксах.
5.3.7. Проведение анализа
5.3.7.1. Условия съемки спектрограмм
Источник возбуждения спектров ИВС-28
Сила тока 13 А
(фаза 60°
100 имп/с)
Глубина отверстия нижнего электрода 4 мм
Диаметр отверстия нижнего электрода 4 мм
Форма верхнего электрода - усеченный конус 2 мм
с площадкой
Экспозиция 40 с
Ширина щели спектрографа ДФС-452 0,01 мм
Дифракционная решетка 600 штрих/см
порядок 1
Высота диафрагмы на средней линзе трехлинзовой 3,2 мм.
конденсорной системы
5.3.7.2. Фотографирование спектров и обработка фотопластинки
Перед съемкой анализируемые навески вводят в углубление нижнего электрода (навеска массой 40 мг), зажигают дугу и фотографируют спектры. Также поступают и с образцами сравнения.
На одну фотопластинку снимают по три раза спектры анализируемой навески и образцов сравнения (в количестве не менее трех).
Фотопластинку со снятыми спектрами проявляют в свежей порции проявителя при (20 +/- 1) °C, фиксируют, промывают в проточной воде и высушивают.
5.3.8. Обработка результатов
5.3.8.1. Определение концентрации хрома производят путем фотометрирования почернения спектральной линии Cr 425,4 нм (

) и фона вблизи аналитической линии (

) и вычисляют разность почернений

по формуле

.
5.3.8.2. По трем значениям разности почернений определяют среднее арифметическое значение

.
5.3.8.3. По значениям

образцов сравнения строят градуировочный график в координатах

, где C - массовая доля хрома в образцах сравнения, %.
5.3.8.4. По градуировочному графику находят массовую долю хрома в процентах.
5.3.8.5. Массовую долю хрома пересчитывают на массовую долю окиси хрома по формуле

,
где C - массовая доля хрома, найденная по градуировочному графику, %;
2,923 - коэффициент пересчета Cr на

.
5.3.8.6. Допускаемое расхождение между результатами трех параллельных определений при доверительной вероятности P = 0,95 не должно превышать значений величин, указанных в табл. 3.
Таблица 3
────────────────────────────────┬─────────────────────────────────
Массовая доля окиси хрома, % │ Допускаемое расхождение, %
────────────────────────────────┼─────────────────────────────────
0,01 - 0,02 │ 14,0
0,005 - 0,01 │ 18,0
0,001 - 0,002 │ 20,0
5.3.8.7. За окончательный результат анализа принимают среднее арифметическое результатов трех параллельных определений, максимальное расхождение между которыми не превышает значений, установленных в
п. 5.3.8.6.
5.4. Гравиметрический метод определения массовой доли серного ангидрида в молотом доломите
5.4.1. Метод основан на определении серного ангидрида при осаждении его в слабокислой среде в виде сульфата бария.
5.4.2. Интервал определяемых содержаний 0,05 - 0,5% серного ангидрида.
5.4.3. Определение массовой доли серного ангидрида проводят в трех навесках массой по 2 - 3 г доломита.
5.4.4. Контроль правильности результатов анализа осуществляют с помощью государственного стандартного образца (ГСО) состава доломита не реже одного раза в квартал, а также после длительных перерывов в работе и при других изменениях, влияющих на результат анализа. Среднее арифметическое значение трех параллельных определений в стандартном образце принимают за воспроизведенное содержание серного ангидрида в стандартном образце.
5.4.5. Аппаратура, материалы, реактивы
Печь муфельная с температурой нагрева до 900 °C.
Кислота соляная по ГОСТ 2118-77, разбавленная 0,5 моль/дм3, 1:3.
Метилоранж, индикатор по ГОСТ 10816-64, 0,1%-ный раствор.
5.4.6. Проведение испытания
Навеску доломита массой 2 - 3 г помещают в платиновый тигель и сплавляют с 6 - 7 г безводного углекислого натрия и 0,1 - 0,15 г азотнокислого калия до образования прозрачного расплава. Сплав выщелачивают 50 - 70 см3 горячей воды в стакан и растворяют в 150 м3 соляной кислоты (1:3).
Кислоту приливают осторожно, по частям, стакан при растворении сплава прикрывают стеклом. После прекращения интенсивного выделения пузырьков газа стекло снимают, обмывают его водой. Фильтрат нейтрализуют аммиаком по метилоранжу и добавляют 5 см3 0,5 моль/дм3 соляной кислоты. Прозрачный раствор нагревают до кипения и к нему по каплям при перемешивании приливают 30 см3 0,1 моль/дм3 раствора хлористого бария, также нагретого до кипения.
Содержимое стакана выдерживают на водяной бане 2 ч и оставляют на ночь при комнатной температуре. Выделившийся осадок сернокислого бария переносят на двойной фильтр "синяя лента" и промывают 8 - 10 раз теплой водой.
Фильтр с осадком помещают в прокаленный и предварительно взвешенный тигель, осторожно сжигают и прокаливают осадок при 800 °C до постоянной массы. После охлаждения в эксикаторе осадок сернокислого бария взвешивают.
5.4.7. Обработка результатов
5.4.7.1. Массовую долю серного ангидрида (X) в процентах вычисляют по формуле

,
где m - масса навески, г;

- масса осадка сернокислого бария, г;
0,3430 - множитель для пересчета

на

.
5.4.7.2. Допускаемое расхождение между результатами трех параллельных определений при доверительной вероятности P = 0,95 не должно превышать 0,005%.
5.4.7.3. За окончательный результат анализа принимают среднее арифметическое результатов трех параллельных определений, максимальное расхождение между которыми не превышает установленного значения.
5.5. Определение массовой доли магнитных включений размером более 0,25 мм в молотом доломите
5.5.1. Сущность метода состоит в отделении магнитных включений с помощью ручного магнита и электромагнитного сепаратора.
5.5.2. Общие требования к методу анализа - по ГОСТ 23673.0-79. Определение проводят в трех навесках массой по 100 г.
Сепаратор валковый электромагнитный типа 138-Т-СЭМ.
Магнит ручной.
| | ИС МЕГАНОРМ: примечание. Взамен ГОСТ 3584-73 Постановлением Госстандарта СССР от 21.09.1986 N 2466 с 1 января 1988 года введен в действие ГОСТ 6613-86. | |
Набор сит по ГОСТ 3584-73.
5.5.4. Проведение анализа
5.5.4.1. Навеску молотого доломита распределяют тонким слоем на листе кальки. По поверхности пробы перемещают ручной магнит, обернутый калькой, до тех пор, пока после очередного съема магнитных примесей магнит перестанет извлекать частицы. Отобранные магнитные частицы переносят на чистый лист кальки.
5.5.4.2. Оставшуюся часть навески засыпают в загрузочный бункер валкового электромагнитного сепаратора типа 138-Т-СЭМ и проводят выделение магнитных частиц в соответствии с инструкцией, прилагаемой к прибору, пропуская ток величиной 7,5 А. Сепарирование проводят не менее трех раз.
5.5.4.3. Магнитные включения, выделенные на электромагнитном сепараторе, объединяют с магнитными включениями, выделенными на ручном магните, переносят на сито с сеткой N 025К и просеивают вручную, протирая сетку мягкой кисточкой в течение 3 - 5 мин.
По окончании просеивания остаток на сите взвешивают.
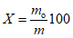
5.5.5. Обработка результатов
5.5.5.1. Массовую долю магнитных включений размером более 0,25 мм (X) в процентах вычисляют по формуле

,
где

- масса остатка на сите, г;
m - масса навески, г.
5.5.5.2. Допускаемое расхождение между результатами параллельных определений не должно превышать 0,1%.
5.5.5.3. За окончательный результат испытания принимают среднее арифметическое результатов трех параллельных определений, максимальное расхождение между которыми не превышает установленного значения.
5.2.2, 5.3 (5.3.1 - 5.3.8), 5.4 (5.4.1 - 5.4.7), 5.5 (5.5.1 - 5.5.5). (Введены дополнительно, Изм. N 1).
6. УПАКОВКА, МАРКИРОВКА, ТРАНСПОРТИРОВАНИЕ И ХРАНЕНИЕ
| | ИС МЕГАНОРМ: примечание. Взамен ГОСТ 2226-75 Постановлением Госстандарта СССР от 29.06.1988 N 2501 с 1 января 1990 года введен в действие ГОСТ 2226-88. | |
6.1а. Молотый доломит должен упаковываться в четырехслойные бумажные битумированные мешки БМ по ГОСТ 2226-75 или в специализированные мягкие, резинотканевые контейнеры многоразового использования для сыпучих грузов с разгрузочными устройствами и групповыми элементами для проведения разгрузочных работ массой нетто не более 1500 кг.
(Введен дополнительно, Изм. N 1).
6.1. Маркировка транспортной тары - по
ГОСТ 14192-77 с нанесением следующих дополнительных данных:
марки продукции и названия месторождения;
номера партии;
обозначения настоящего стандарта;
наименования предприятия-изготовителя;
даты изготовления.
6.2. Доломит всех марок транспортируют всеми видами транспорта в соответствии с правилами перевозки грузов, действующими на данном виде транспорта.
Кусковой доломит транспортируют навалом в открытых транспортных средствах.
Молотый доломит в мягких специализированных контейнерах по железной дороге транспортируют в полувагонах.
Молотый доломит, упакованный в мешки, транспортируют в крытых транспортных средствах.
Транспортирование упакованного в мешки доломита по железной дороге осуществляется повагонными отправками. При транспортировании железнодорожным транспортом молотый доломит, упакованный в мешки, формируют в транспортные пакеты по
ГОСТ 21929-76. Средства крепления мешков - по
ГОСТ 21650-76.
По согласованию изготовителя с потребителем допускается транспортировать молотый доломит без упаковки в цементовозах и автоцистернах.
6.3. Доломит хранят раздельно по маркам в условиях, не допускающих засорения и смешивания с другими материалами. Молотый доломит хранят в крытых складских помещениях, силосах, бункерах, предохраняя продукт от попадания влаги.
6.1 - 6.3. (Измененная редакция, Изм. N 1).
7.1. Изготовитель гарантирует соответствие доломита требованиям настоящего стандарта при соблюдении условий хранения и транспортирования.
Гарантийный срок хранения доломита - 18 месяцев со дня его изготовления.
Разд. 7. (Введен дополнительно, Изм. N 1).