Главная // Актуальные документы // ГОСТ (Государственный стандарт)СПРАВКА
Источник публикации
М.: ИПК Издательство стандартов, 2000
Примечание к документу
Утратил силу в связи с изданием Постановления Госстандарта РФ от 18.12.2003 N 375-ст. Взамен данного документа с 1 января 2005 года введен
ГОСТ Р 52160-2003.
Ограничение срока действия снято Приказом Минприроды РФ от 16.04.1992 N 60.
Введен в действие с 1 января 1977 года.
Название документа
"ГОСТ 21393-75. Автомобили с дизелями. Дымность отработавших газов. Нормы и методы измерений. Требования безопасности"
(утв. и введен в действие Постановлением Госстандарта СССР от 18.12.1975 N 3944)
(ред. от 01.11.1998)
"ГОСТ 21393-75. Автомобили с дизелями. Дымность отработавших газов. Нормы и методы измерений. Требования безопасности"
(утв. и введен в действие Постановлением Госстандарта СССР от 18.12.1975 N 3944)
(ред. от 01.11.1998)
Утвержден и введен в действие
Постановлением Госстандарта СССР
от 18 декабря 1975 г. N 3944
МЕЖГОСУДАРСТВЕННЫЙ СТАНДАРТ
АВТОМОБИЛИ С ДИЗЕЛЯМИ. ДЫМНОСТЬ ОТРАБОТАВШИХ ГАЗОВ
НОРМЫ И МЕТОДЫ ИЗМЕРЕНИЙ.
ТРЕБОВАНИЯ БЕЗОПАСНОСТИ
Automobiles with diesel engines. Smoke emission
Norms and methods of measurements.
Safety requirements
ГОСТ 21393-75
| | Список изменяющих документов (в ред. Изменения N 1, утв. в декабре 1985 г., Изменения N 2, утв. в ноябре 1998 г.) | |
Дата введения
1 января 1977 года
1. Разработан и внесен Техническим комитетом по стандартизации ТК 315 "Эксплуатация автомобильного транспорта".
2. Утвержден и введен в действие Постановлением Государственного комитета стандартов Совета Министров СССР от 18.12.75 N 3944.
Изменение N 2 принято Межгосударственным Советом по стандартизации, метрологии и сертификации (протокол N 14 от 12.11.98).
Зарегистрировано Техническим секретариатом МГС N 3123.
За принятие изменения проголосовали:
──────────────────────────┬───────────────────────────────────────
Наименование │Наименование национального органа
государства │ по стандартизации
──────────────────────────┼───────────────────────────────────────
Азербайджанская │ Азгосстандарт
Республика │
Республика Армения │ Армгосстандарт
Республика Беларусь │ Госстандарт Беларуси
Грузия │ Грузстандарт
Киргизская Республика │ Киргизстандарт
Республика Молдова │ Молдовастандарт
Российская Федерация │ Госстандарт России
Туркменистан │ Главная государственная инспекция
│ Туркменистана
Республика Узбекистан │ Узгосстандарт
3. Введен впервые.
4. Ссылочные нормативно-технические документы
────────────────────────────────────────┬──────────────────────────
Обозначение НТД, на которую дана ссылка │ Номер пункта
────────────────────────────────────────┼──────────────────────────
5. Ограничение срока действия снято Приказом Минприроды РФ от 16.04.92 N 60.
6. Переиздание (ноябрь 1999 г.) с Изменениями N 1, 2, утвержденными в декабре 1985 г., ноябре 1988 г. (ИУС 3-86, 6-99).
Настоящий стандарт распространяется на автотранспортные средства с дизелями (далее - автомобили), вновь изготовленные и находящиеся в эксплуатации.
Стандарт устанавливает нормы и методы измерения дымности отработавших газов автомобилей (далее - дымность) на режимах свободного ускорения и максимальной частоты вращения коленчатого вала двигателя (далее - максимальная частота вращения).
Термины, применяемые в настоящем стандарте, и их пояснения приведены в
Приложении 1.
(Измененная редакция, Изм. N 1, 2.)
1.1. Основным нормируемым параметром дымности является натуральный показатель ослабления светового потока К, вспомогательным - коэффициент ослабления светового потока N. Пересчет значений К в N - в
Приложении 1а.
1.2. Дымность автомобилей во время гарантийного пробега <*> (гарантийного срока службы), а также в течение всего срока эксплуатации непосредственно после выполнения услуг по техническому обслуживанию и ремонту не должна превышать значений, указанных в таблице.
------------------------------------
<*> Для автомобилей, имеющих пробег менее 3000 км, предприятия-изготовители должны устанавливать технологические нормы дымности.
────────────────────┬──────────────────────┬──────────────────────
Режим измерения │Предельно допускаемый │Предельно допускаемый
дымности │натуральный показатель│коэффициент ослабления
│ослабления светового │светового потока N ,
│ -1 │ доп
│потока К , м , не │%, не более <*>
│ доп │
│более │
────────────────────┼──────────────────────┼──────────────────────
Свободное ускоре-│ │
ние для автомобилей │ │
с дизелями: │ │
без наддува │1,2 │40
с наддувом │1,6 │50
Максимальная час-│0,4 │15
тота вращения │ │
1.3. Дымность автомобилей, официально утвержденных в процессе сертификации по ГОСТ Р 41.24, проверяется только на режиме свободного ускорения и не должна превышать предельных значений, указанных предприятием-изготовителем в знаке или документе (сертификате, техническом паспорте) официального утверждения типа транспортного средства.
1.4. При контрольных проверках дымности автомобилей в условиях эксплуатации (на дороге) допускается превышение установленных таблицей
п. 1.2 норм для режима свободного ускорения

не более, чем на 0,5

.
1.5. Контроль дымности автомобилей проводят на соответствие нормам по
пп. 1.2,
1.3 и
1.4:
а) на предприятиях, эксплуатирующих автомобили:
| | ИС МЕГАНОРМ: примечание. В официальном тексте документа, вероятно, допущена опечатка: пункт 1.3.4 отсутствует. Видимо, речь идет о пункте 1.3. | |
при выборочных проверках автомобилей, выезжающих на линию по пп. 1.3.4 и
1.4;
после технического обслуживания и ремонта или регулировки агрегатов, узлов и систем, влияющих на изменение дымности по
пп. 1.2 и
1.3;
б) на предприятиях, осуществляющих услуги и работы по техническому обслуживанию и ремонту автомобилей по
пп. 1.2,
1.3, после осуществления услуг и работ;
в) на предприятиях, изготовляющих двигатели и автомобили по
пп. 1.2 и
1.3, при приемочных, периодических и контрольных испытаниях;
г) при сертификационных испытаниях по
п. 1.3;
д) при государственных технических осмотрах автомобилей и выборочных проверках на дорогах:
автомобили во время их гарантийного пробега (срока службы) по
п. 1.2;
автомобили, официально утвержденные в процессе сертификации по ГОСТ Р 41.24 в период всего срока эксплуатации по
п. 1.3;
автомобили после гарантийного пробега срока службы по
п. 1.4.
1.6. Агрегаты, узлы и детали автомобиля, влияющие на дымность, должны быть сконструированы, изготовлены и установлены таким образом, чтобы дымность автомобиля не превышала установленных норм в период всего срока эксплуатации при условии соблюдения правил эксплуатации и обслуживания, указанных в прилагаемых к автомобилю инструкциях (руководствах).
Разд. 1. (Измененная редакция, Изм. N 2.)
2.1. Условия измерений
2.1.1. Выпускная система автомобиля не должна иметь неплотностей, вызывающих утечку отработавших газов и подсос воздуха.
(Измененная редакция, Изм. N 1.)
2.1.2. Перед испытаниями двигатель должен быть прогрет не ниже рабочей температуры моторного масла или охлаждающей жидкости, указанной в руководстве по эксплуатации автомобиля.
(Измененная редакция, Изм. N 2.)
2.1.3. На автомобилях с механической коробкой передач измерение проводят при нейтральном положении рычага переключения передач. На автомобилях с автоматической коробкой передач измерение проводят при установке избирателя скорости на нейтральное положение.
(Измененная редакция, Изм. N 1.)
2.1.4. Устройство для пуска холодного двигателя должно быть отключено.
(Введен дополнительно, Изм. N 2.)
2.2. Требования к измерительной аппаратуре и пробоотборной системе
(Измененная редакция, Изм. N 2.)
2.2.1. Дымность должна измеряться приборами, работающими на принципе просвечивания отработавших газов и отвечающими требованиям, изложенным в Приложении 2.
2.2.2. Подготовку, обслуживание и использование дымомера следует проводить в соответствии с требованиями инструкции по эксплуатации на дымомер. Дымомер должен быть поверен.
(Измененная редакция, Изм. N 1.)
2.2.3. Конструкция пробоотборной системы должна обеспечивать отсутствие утечек газов и подсоса воздуха, влияющих на состав отработавших газов. Рекомендуемые требования к пробоотборной системе изложены в
Приложении 4.
(Введен дополнительно, Изм. N 2.)
2.3. Проведение измерений
2.3.1. Испытания автомобилей на режиме свободного ускорения должны проводиться по следующей процедуре:
- при работе двигателя в режиме холостого хода на минимальной частоте вращения быстрым, но не резким, нажатием до упора на педаль управления подачей топлива топливным насосом высокого давления (далее - педаль) устанавливают максимальный расход топлива и его поддерживают до достижения максимальной частоты вращения и включения регулятора. Затем отпускают педаль до установления минимальной частоты вращения. Этот процесс повторяют не менее шести раз;
- при каждом последующем свободном ускорении фиксируют максимальную дымность до получения устойчивых значений. Измеренные величины считаются устойчивыми, если четыре последовательных значения располагаются в зоне шириной 0,25

и не образуют убывающей последовательности;
- за результат измерения принимают среднее арифметическое результатов четырех измерений.
2.3.2. Дымность на режиме максимальной частоты вращения проверяют не позднее, чем через 60 с после проверки на режиме свободного ускорения. Для этого необходимо нажать до упора педаль и зафиксировать ее в этом положении, установив максимальную частоту вращения. Дымность измеряют не ранее, чем через 10 с после впуска отработавших газов в прибор. Измерение считают достоверным, если значения дымности расположены в зоне шириной не более 6% по шкале N. За результат измерения следует принимать среднее арифметическое значение, определенное по крайним показаниям дымности.
2.3.3. Измерение дымности у автомобилей с раздельной выпускной системой следует проводить в каждой из выпускных труб отдельно. Оценку дымности проводят по максимальному значению.
2.3.4. Результаты измерений рекомендуется занести в карточку, указанную в Приложении 3.
2.3.1-2.3.4 (Измененная редакция, Изм. N 2.)
2.3.5. Колебание стрелки прибора не должно превышать +/- 3% от всей шкалы прибора. За результат измерения следует принимать среднее арифметическое значение, определенное по крайним показаниям.
2.3.6. Результаты измерений следует занести в карточку, указанную в Приложении 3.
(Измененная редакция, Изм. N 1.)
3. ТРЕБОВАНИЯ БЕЗОПАСНОСТИ
3.1. Места, предназначенные для измерения содержания дымности, должны быть оборудованы принудительной или естественной вентиляцией, обеспечивающей санитарно-гигиенические требования к воздуху в зоне измерений по
ГОСТ 12.1.005.
3.2. Уровень шума в зоне проведения измерений - по
ГОСТ 12.1.003.
3.3. Уровень вибрации в зоне проведения измерений - по
ГОСТ 12.1.012.
3.4. При проведении измерений должны быть приняты необходимые меры, исключающие самопроизвольное движение автомобиля.
Разд. 3. (Введен дополнительно, Изм. N 1.)
Справочное
ПОЯСНЕНИЯ ТЕРМИНОВ, ПРИМЕНЯЕМЫХ В НАСТОЯЩЕМ СТАНДАРТЕ
Свободное ускорение - разгон двигателя от минимальной до максимальной частоты вращения на холостом ходу.
Максимальная частота вращения - частота вращения вала двигателя на холостом ходу при полностью нажатой педали подачи топлива, ограниченная регулятором.
Дымность отработавших газов - по ГОСТ 17.2.1.02.
Эффективная база дымомера L, м - толщина оптически однородного слоя эталонных газов, эквивалентного по ослаблению светового потока столбу тех же отработавших газов, заполняющих рабочую трубу дымомера в условиях измерения.
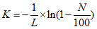
Натуральный показатель ослабления светового потока К,

- величина, обратная толщине слоя отработавших газов, проходя который поток излучения от источника света дымомера ослабляется в е раз. Отсчитывается по основной шкале индикатора дымомера.
Коэффициент ослабления светового потока N, % - степень ослабления светового потока вследствие поглощения и рассеивания света отработавшими газами при прохождении ими рабочей трубы дымомера. Отсчитывается по вспомогательной шкале дымомера с эффективной базой 0,43 м.
Предельно допустимый натуральный показатель ослабления светового потока

,

- натуральный показатель ослабления светового потока отработавшими газами, при превышении которого автомобиль считают не выдержавшим испытания.
Предельно допустимый коэффициент ослабления светового потока

, % - коэффициент ослабления светового потока отработавшими газами, измеренный по вспомогательной шкале дымомера с эффективной базой 0,43 м (или пересчитанный по формуле, приведенной в
п. 3 Приложения 2), при превышении которого автомобиль считают не выдержавшим испытание.
Автомобиль, находящийся в эксплуатации, - автомобиль, полученный от предприятия-изготовителя и прошедший регистрацию в установленном порядке.
Необкатанный автомобиль - автомобиль, не прошедший обкатку в объеме, установленном предприятием-изготовителем, необходимую для реализации показателей, указанных в нормативных документах.
(Измененная редакция, Изм. N 1, 2.)
Справочное
ПЕРЕСЧЕТ ЗНАЧЕНИЙ К В N (ДЛЯ N, ПРИВЕДЕННОГО
К ШКАЛЕ ДЫМОМЕРА С ЭФФЕКТИВНОЙ БАЗОЙ 0,43 м)
| 0,0 | 0,1 | 0,2 | 0,3 | | 0,5 | 0,7 | 0,9 | |
N, % | 0,0 | 4 | 8 | 11 | 15 | 20 | 25 | 31 | |
| 1,4 | | 1,9 | 2,5 | 2,8 | 3,5 | 4,0 | 4,6 | |
N, % | 45 | | 56 | 66 | 70 | 78 | 81 | 86 | 100 |
Примечание. Курсивом выделены нормы дымности, указанные в таблице
п. 1.2. Значения К, не приведенные в таблице, пересчитывают в N по формуле, указанной в
п. 3 Приложения 2.
(Введено дополнительно, Изм. N 2.)
Обязательное
ОСНОВНЫЕ ТРЕБОВАНИЯ К ДЫМОМЕРУ
1. Прибор должен работать по методу просвечивания столба отработавших газов определенной длины. Величина L должна быть указана на приборе.
2. Прибор должен быть оборудован устройствами для измерения давления и температуры отработавших газов в его рабочей камере и перепускным клапаном для отвода отработавших газов между измерениями.
3. Прибор должен иметь две измерительные шкалы: основную - в абсолютных величинах поглощения света от 0 до

(для приборов с цифровой индикацией верхний диапазон - не менее 10

), вспомогательную - линейную с диапазоном измерения 0 - 100%.
Зависимость между показаниями основной и вспомогательной шкалами вычисляют по формуле

,
где К - коэффициент поглощения света,

;
N - показание линейной шкалы дымомера с эффективной базой L, %;
L - эффективная база дымомера, м.
Шкала дымомера должна обеспечивать возможность считывать значения коэффициента поглощения К в диапазоне 0 - 2,115

с точностью до 0,025

и коэффициент ослабления N с точностью до 1%.
4. Источник света - лампа накаливания либо другой источник с цветовой температурой в диапазоне 2800 - 3250 К (2527 - 2977 °С).
5. Фотоприемник дымомера должен иметь спектральную характеристику, аналогичную кривой дневного зрения человеческого глаза (максимальный эффект срабатывания - в диапазоне волн длиной 550 - 570 нм, при этом только менее 4% могут находиться при длинах волн ниже 430 нм и более 680 нм).
6. Попадание на фотоприемник света от посторонних источников в результате внутреннего отражения или рассеивания не должно влиять на результаты измерения более чем на 1% по линейной шкале.
7. Электрическая цепь, в которую включен индикатор, должна обеспечивать линейную зависимость тока фотоприемника от силы света в диапазоне рабочих температур фотоприемника.
8. Основная приведенная погрешность прибора - не более 2% максимального значения линейной шкалы прибора.
9. Промежуточная проверка прибора должна проводиться при включенном источнике света с помощью установки перед фотоприемником нейтрального светофильтра с коэффициентом поглощения 1,6 - 1,8

, при этом показания прибора не должны отличаться от коэффициента поглощения фильтра более, чем на 0,025

. Светофильтр должен входить в комплект прибора.
10. Время срабатывания электрической измерительной цепи, соответствующее времени, необходимому для того, чтобы показание индикатора изменилось от 0 до 90% шкалы при установке экрана, полностью закрывающего фотоприемник, должно составлять 0,9 - 1,1 с.
11. Время между моментом входа газа в измерительный прибор и моментом полного заполнения рабочей камеры должно быть не более 0,4 с.
12. Давление в рабочей камере не должно отличаться от давления окружающего воздуха более чем на 75 мм вод. ст.
13. Колебания давления измеряемого газа и продувочного воздуха не должны приводить к изменениям коэффициента поглощения более чем на 0,05

для измеряемого газа, соответствующего коэффициенту поглощения 1,7

. Пределы изменения давления газа и продувочного воздуха в дымовой камере должны указываться в инструкции по эксплуатации прибора.
14. В любой точке рабочей камеры температура отработавшего газа в момент измерения должна быть не ниже 70 °С и не выше максимальной температуры, указанной в инструкции по эксплуатации прибора, причем показания в этом диапазоне температур не должны изменяться более чем на 0,1

, если рабочая камера заполнена отработавшим газом, коэффициент поглощения которого составляет 1,7

.
15. Допускается применять дымомеры, отличающиеся по техническим характеристикам, указанным в
пп. 1 -
14. При этом результаты сравнительных измерений дымности на режиме свободного ускорения и максимальной частоты вращения коленчатого вала двигателя не должны отличаться друг от друга более чем на 2% по линейной шкале для всех типов автомобилей.
(Измененная редакция, Изм. N 2.)
Рекомендуемое
КАРТОЧКА УЧЕТА ИЗМЕРЕНИЯ ДЫМНОСТИ
Наименование предприятия
Модель автомобиля
Государственный номер
────────┬─────────┬───────────────────────────────────────────────┬───────
Дата │ Причина │ Результаты измерения дымности │Подпись
проверки│измерения├───────────────────────┬───────────────────────┤прове-
│ │ до регулировки │ после регулировки │рявшего
│ ├───────────────┬───────┼───────────────┬───────┤
│ │режим свободно-│режим │режим свободно-│режим │
│ │го ускорения │макси- │го ускорения │макси- │
│ ├─┬─┬─┬─┬───────┤мальной├─┬─┬─┬─┬───────┤мальной│
│ │1│2│3│4│среднее│частоты│1│2│3│4│среднее│частоты│
│ ├─┼─┼─┼─┤арифме-│враще- ├─┼─┼─┼─┤арифме-│враще- │
│ │ │ │ │ │тичес- │ния │ │ │ │ │тичес- │ния │
│ │ │ │ │ │кое │вала │ │ │ │ │кое │вала │
Рекомендуемое
ТРЕБОВАНИЯ К ПРОБООТБОРНОЙ СИСТЕМЕ
1. Зонд пробоотборника должен представлять собой трубку с открытым концом, обращенную навстречу потоку отработавших газов и расположенную, по возможности, в направлении оси выпускной трубы или удлинительного патрубка, где распределение отработавших газов является наиболее равномерным. Для этого входное отверстие зонда рекомендуется располагать в прямолинейном участке постоянного диаметра D на расстоянии не менее 6 D от входного и не менее 3 D от его выходного сечения. При отсутствии такой возможности зонд рекомендуется заглублять на расстояние не менее 3 D от конца выпускной трубы или удлинительного патрубка. При длине прямолинейного участка выпускной трубы менее 3 D рекомендуется зонд заглублять до половины прямолинейного участка. Отношение площади поперечного сечения зонда к площади поперечного сечения выпускной трубы должно быть не менее 0,05. Противодавление, измеренное на выходе из зонда, не должно превышать 75 мм вод. ст. При использовании удлинительного патрубка не допускается подсос воздуха в месте соединения.
2. Соединительные патрубки между пробоотборником и дымомером должны быть длиной (2,5 +/- 0,5) м, устанавливаться, по возможности, с подъемом от места отбора пробы до дымомера, не иметь резких изгибов. Перед дымомером должен быть установлен перепускной клапан для предотвращения поступления в него отработавших газов в периоды между проведением измерений.
(Введено дополнительно, Изм. N 2.)