Главная // Актуальные документы // ГОСТ (Государственный стандарт)СПРАВКА
Источник публикации
В данном виде документ опубликован не был.
Первоначальный текст документа опубликован в издании
М: ИПК Издательство стандартов, 2002.
Информацию о публикации документов, создающих данную редакцию, см. в справке к этим документам.
Примечание к документу
Документ утратил силу с 1 апреля 2018 года в связи с изданием
Приказа Росстандарта от 15.08.2017 N 894-ст. Взамен введен в действие
ГОСТ 20022.0-2016.
С 1 июля 2003 года до вступления в силу технических регламентов акты федеральных органов исполнительной власти в сфере технического регулирования носят рекомендательный характер и подлежат обязательному исполнению только в части, соответствующей целям, указанным в
пункте 1 статьи 46 Федерального закона от 27.12.2002 N 184-ФЗ.
Изменение N 2 введено в действие с 1 января 2013 года Приказом Росстандарта от 29.05.2012 N 93-ст.
Взамен ГОСТ 20022.0-82.
Название документа
"ГОСТ 20022.0-93. Межгосударственный стандарт. Защита древесины. Параметры защищенности"
(принят Межгосударственным Советом по стандартизации, метрологии и сертификации 21.10.1993)
(ред. от 29.05.2012)
"ГОСТ 20022.0-93. Межгосударственный стандарт. Защита древесины. Параметры защищенности"
(принят Межгосударственным Советом по стандартизации, метрологии и сертификации 21.10.1993)
(ред. от 29.05.2012)
Межгосударственным советом
по стандартизации, метрологии
и сертификации
21 октября 1993 года
МЕЖГОСУДАРСТВЕННЫЙ СТАНДАРТ
ЗАЩИТА ДРЕВЕСИНЫ
ПАРАМЕТРЫ ЗАЩИЩЕННОСТИ
Wood preservation. Protection parameters
ГОСТ 20022.0-93
| | Список изменяющих документов (в ред. Изменения N 1, утв. в ноябре 2001 г., Приказом Росстандарта от 29.05.2012 N 93-ст) | |
Дата введения
1 января 1995 года
1. Разработан Российской Федерацией, Техническим комитетом по стандартизации ТК 82 "Защита древесины и древесных материалов".
Внесен Техническим секретариатом Межгосударственного совета по стандартизации, метрологии и сертификации.
2. Принят Межгосударственным советом по стандартизации, метрологии и сертификации 21.10.1993.
За принятие изменения проголосовали:
┌────────────────────────┬───────────────────────────────────────┐
│Наименование государства│ Наименование национального органа │
│ │ по стандартизации │
├────────────────────────┼───────────────────────────────────────┤
│Республика Беларусь │Госстандарт Республики Беларусь │
│Республика Казахстан │Госстандарт Республики Казахстан │
│Российская Федерация │Госстандарт России │
│Украина │Госстандарт Украины │
└────────────────────────┴───────────────────────────────────────┘
Изменение N 1 принято Межгосударственным советом по стандартизации, метрологии и сертификации (Протокол N 19 от 24.05.2001).
Зарегистрировано Бюро по стандартам МГС N 3827.
За принятие изменения проголосовали:
┌──────────────────────────┬─────────────────────────────────────┐
│ Наименование государства │ Наименование национального органа │
│ │ по стандартизации │
├──────────────────────────┼─────────────────────────────────────┤
│Азербайджанская Республика│Азгосстандарт │
│Республика Беларусь │Госстандарт Республики Беларусь │
│Республика Казахстан │Госстандарт Республики Казахстан │
│Кыргызская Республика │Кыргызстандарт │
│Республика Молдова │Молдовастандарт │
│Российская Федерация │Госстандарт России │
│Республика Таджикистан │Таджикстандарт │
│Туркменистан │Главгосслужба "Туркменстандартлары" │
│Республика Узбекистан │Узгосстандарт │
│Украина │Госстандарт Украины │
└──────────────────────────┴─────────────────────────────────────┘
3. Взамен ГОСТ 20022.0-82.
4. Издание (август 2002 г.) с Изменением N 1, принятым в ноябре 2001 г. (ИУС 2-2002).
Настоящий стандарт распространяется на древесину и устанавливает параметры защищенности объектов защиты от биологического разрушения.
В настоящем стандарте использованы ссылки на следующие стандарты:
ГОСТ 2770-74. Масло каменноугольное для пропитки древесины. Технические условия
ГОСТ 9549-80. Нафтенат меди для противогнилостных составов. Технические условия
ГОСТ 10835-78. Масло сланцевое для пропитки древесины. Технические условия
ГОСТ 23787.1-84. Растворы антисептического препарата ХМК. Технические требования, требования безопасности и методы анализа
ГОСТ 23787.8-80. Растворы антисептического препарата ХМ-11. Технические требования, требования безопасности и методы анализа
ГОСТ 23787.9-84. Растворы антисептического препарата ХМФ. Технические требования, требования безопасности и методы анализа
| | ИС МЕГАНОРМ: примечание. Взамен ГОСТ 28815-90 Постановлением Госстандарта РФ от 30.07.1996 N 493 с 1 января 1997 года введен в действие ГОСТ 28815-96. | |
ГОСТ 28815-90. Растворы водные защитных средств для древесины. Технические условия
ТУ 6-15-1423-84. Средство для защиты древесины от гниения и возгорания "Сенеж"
ТУ 65.14-21-84. Паста антисептическая на каменноугольном лаке
ТУ 65.14-05-48-84. Паста антисептическая на лигносульфонатах технических
ТУ 113-08-582-85. Аммоний кремнефтористый
ТУ 113-08-586-86. Натрий фтористый
ТУ 113-08-587-86. Натрий кремнефтористый
ТУ 201-03-119-92. Аквабор.
3. Обозначения и сокращения
3.1. В настоящем стандарте приняты следующие условные обозначения способов пропитки древесины по
ГОСТ 20022.6:
ВДВ - вакуум - давление - вакуум;
ВАДВ - вакуум - атмосферное давление - вакуум;
ППВ - прогрев паром - холодная ванна;
ПВ - прогрев (раствором) - холодная ванна;

- вымачивание, индекс п - продолжительность выдержки в часах;

- погружение в раствор, индекс п - продолжительность погружения в секундах или минутах;
НОб - диффузионная пропитка нанесением защитных средств на поверхность;
НОб-ДВ - диффузионная пропитка нанесением защитных средств на поверхность с последующей диффузионной выдержкой;

- панельная пропитка, индекс п - продолжительность выдержки в сутках;
ДДВ-Н - давление - давление - вакуум с предпропиточным накалыванием древесины;
ВДВ-Н - вакуум - давление - вакуум с предпропиточным накалыванием древесины;
ДВ - давление - вакуум;
ДВ-Н - давление - вакуум с предпропиточным накалыванием древесины;

- опрыскивание, индекс к - кратность обработки;

- нанесение кистью, индекс к - кратность обработки.
3.2. В настоящем стандарте приняты условные обозначения защитных средств в соответствии с нормативными документами:
| | ИС МЕГАНОРМ: примечание. Взамен ГОСТ 28815-90 Постановлением Госстандарта РФ от 30.07.1996 N 493 с 1 января 1997 года введен в действие ГОСТ 28815-96. | |
ХМФ-БФ - ГОСТ 28815;
ХМФС - ГОСТ 28815;
Сенеж - ТУ 6-15-1423;
ФБС-211 - ГОСТ 28815;
БС-13 - ГОСТ 28815;
Аквабор - ТУ 201-03-119;
КФА - ТУ 113-08-582;
КФН - ТУ 113-08-587;
ФН - ТУ 113-08-586;
ХМББ-1128 - ГОСТ 28815;
ХМББ-3324 - ГОСТ 28815;
ББ - ГОСТ 28815;
ПАФ - ТУ 65.14-21 или ТУ 65.14-05-48;
ФБС-225 - ГОСТ 28815;
ФБС-2515 - ГОСТ 28815.
4.1. Параметры защищенности объектов защиты должны соответствовать указанным в
таблицах 1 -
4.
(Измененная редакция, Изм. N 1).
4.1.1. Общее поглощение защитного средства на 1 м3 в
таблицах 1 -
3 указано:
- для масел - в килограммах пропиточного масла;
- для растворов защитных средств - в килограммах сухой соли.
Для антисептических паст в графе "Общее поглощение" дано удержание в килограммах сухой соли;
- для препаратов нафтената меди - в килограммах нафтената меди, содержащего 9% меди.
4.1.2. Глубина пропитки в
таблицах 1 -
3 приведена по легкопропитываемой и труднопропитываемой зонам. К легкопропитываемой зоне (ЛПЗ) относят древесину 1-й группы пропитываемости по
ГОСТ 20022.2, а также 2-й и 3-й групп пропитываемости, наколотую в соответствии с требованиями
ГОСТ 20022.3 или пораженную деревоокрашивающими и дереворазрушающими грибами. К труднопропитываемой зоне (ТПЗ) относят древесину 2-й и 3-й групп пропитываемости по
ГОСТ 20022.2.
Если ширина ЛПЗ меньше указанной в
таблицах 1 -
3 глубины пропитки, то глубина пропитки должна соответствовать ширине ЛПЗ.
4.1.3. Буква Н при обозначении способа пропитки указывает на предпропиточную подготовку накалыванием по
ГОСТ 20022.3.
4.1.4. При обозначении нафтената меди буква М указывает его растворы в маслах или тяжелых нефтепродуктах, буква Л - растворы в легких органических растворителях.
4.2. Кроме способов пропитки, приведенных в
таблицах 1 -
4, допускается применять другие способы пропитки, обеспечивающие указанные в
таблицах 1 -
4 параметры защищенности.
4.3. В случае применения смесей каменноугольного и сланцевого масел общее поглощение и сроки службы древесины рассчитывают как средневзвешенные, исходя из соотношения компонентов.
4.4. Допускается применять незащищенную древесину стойких к гниению пород (лиственница, дуб), обеспечивающих указанные в
таблицах 1 -
4 средние сроки службы древесины.
4.5. В
таблицах 1 -
4 приведены диапазоны поглощений и удержаний защитных средств с учетом разнообразия объектов защиты в пределах каждого класса условий службы по
ГОСТ 20022.2.
Параметры защищенности применительно к конкретному объекту защиты устанавливают в нормативных документах на пропитываемую продукцию в пределах диапазонов, приведенных в
таблицах 1 -
4, с учетом пропитываемости материала и особенностей условий службы. Допустимые отклонения от норм, устанавливаемых для конкретной продукции, не должны превышать по поглощению +/- 5 кг/м3 для масел и +/- 0,5 кг/м3 для сухих солей; по удержанию +/- 0,5 г/м2 для сухих солей.
5. Параметры защищенности круглых лесоматериалов
при консервировании
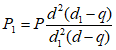
5.1. Общее поглощение защитного средства в
таблице 1 указано для круглых лесоматериалов средним диаметром 20 см и шириной заболони 30 мм.
Для лесоматериалов других диаметров общее поглощение защитного средства

в килограммах на кубический метр вычисляют по формуле

,
где P - общее поглощение, указанное в
таблице 1, кг/м3;
d - диаметр пропитываемых лесоматериалов, равный 20 см;

- средний диаметр пропитываемых лесоматериалов, см;
q - заданная глубина пропитки, мм.
Пример пересчета общего поглощения защитного средства приведен в Приложении А (
пример 1).
5.2. Для свай общее поглощение защитного средства следует увеличивать на 15 - 20%.
Таблица 1
Параметры защищенности круглых лесоматериалов
при консервировании
┌───────┬───────┬───────┬─────────┬─────────┬────────────┬───────┐
│ Класс │Группа │Способ │Обозна- │Общее │ Глубина │Средний│
│условий│пропи- │пропит-│чение │погло- │ пропитки, │ срок │
│службы │тывае- │ки по │защитного│щение, │ не менее, │службы,│
│по ГОСТ│мости │ГОСТ │средства │кг/м3 │ по │ лет │
├───────┼───────┼───────┼─────────┼─────────┼──────┼─────┼───────┤
│IV - V │ 1 │ВДВ │ХМФ-БФ │ 1,5 - 2 │ 70% │ - │45 - 50│
│ │ │ВДВ │ХМФС │ 3 - 4 │ 70% │ │45 - 50│
│ │ │ВДВ │Сенеж │ 8 - 10 │ 70% │ │45 - 50│
│ │ │ВДВ │ФБС-211 │ 3 - 4 │ 70% │ │40 - 45│
│ │ │ВДВ │БС-13 │ 16 - 20 │ 70% │ │40 - 45│
│ │ │ВДВ │Аквабор │ 4 - 5 │ 70% │ │40 - 45│
│ │ │ВДВ │КФА │ 1,5 - 2 │ 70% │ │40 - 45│
│ │ │ВДВ │КФН │ 1,5 - 2 │ 70% │ │35 - 40│
│ │ │ВДВ │ФН │ 3 - 4 │ 70% │ │30 - 35│
│ │ │ВДВ │ХМББ-1128│ 4 - 5 │ 70% │ │45 - 50│
│ │ │ВДВ │ХМББ-3324│ 4 - 5 │ 70% │ │45 - 50│
│ │ │ВАДВ │ХМФ-БФ │ 1,5 - 2 │ 5 мм │ │40 - 45│
│ │ │ВАДВ │ХМФС │ 3 - 4 │ 5 мм │ │40 - 45│
│ │ │ВАДВ │Сенеж │ 8 - 10 │ 5 мм │ │40 - 45│
│ │ │ВАДВ │ФБС-211 │ 3 - 4 │ 5 мм │ │35 - 40│
│ │ │ВАДВ │БС-13 │ 16 - 20 │ 5 мм │ │30 - 35│
│ │ │ВАДВ │Аквабор │ 4 - 5 │ 5 мм │ │35 - 40│
│ │ │ВАДВ │КФА │ 1,5 - 2 │ 5 мм │ │30 - 35│
│ │ │ВАДВ │ФН │ 3 - 4 │ 5 мм │ │25 - 30│
│ │ │ВАДВ │НМ-Л │ 3 - 4 │ 5 мм │ │45 - 50│
│ │ │ВАДВ │ХМББ-1128│ 4 - 5 │ 5 мм │ │40 - 45│
│ │ │ВАДВ │ХМББ-3324│ 4 - 5 │ 5 мм │ │40 - 45│
│ │ │ППВ │ХМФ-БФ │ 1,5 - 2 │ 5 мм │ │40 - 45│
│ │ │ППВ │ХМФС │ 3 - 4 │ 5 мм │ │40 - 45│
│ │ │ППВ │Сенеж │ 8 - 10 │ 5 мм │ │40 - 45│
│ │ │ПВ │ФБС-211 │ 3 - 4 │ 5 мм │ │35 - 40│
│ │ │ПВ │БС-13 │ 16 - 20 │ 5 мм │ │30 - 35│
│ │ │ПВ │Аквабор │ 4 - 5 │ 5 мм │ │35 - 40│
│ │ │ПВ │КФА │ 1,5 - 2 │ 5 мм │ │30 - 35│
│ │ │ППВ │ХМББ-1128│ 4 - 5 │ 5 мм │ │40 - 45│
│ │ │ППВ │ХМББ-3324│ 4 - 5 │ 5 мм │ │40 - 45│
│ │ │В │ХМФ-БФ │ 1 - 2 │ 4 мм │ │30 - 35│
│ │ │ п │ │ │ │ │ │
│ │ │В │ХМФС │ 2 - 3 │ 4 мм │ │30 - 35│
│ │ │ п │ │ │ │ │ │
│ │ │В │Сенеж │ 6 - 8 │ 4 мм │ │30 - 35│
│ │ │ п │ │ │ │ │ │
│ │ │В │ФБС-211 │ 2 - 3 │ 4 мм │ │25 - 30│
│ │ │ п │ │ │ │ │ │
│ │ │В │БС-13 │ 12 - 16 │ 4 мм │ │20 - 25│
│ │ │ п │ │ │ │ │ │
│ │ │В │Аквабор │ 3 - 4 │ 4 мм │ │25 - 30│
│ │ │ п │ │ │ │ │ │
│ │ │В │ХМББ-1128│ 3 - 4 │ 4 мм │ │30 - 35│
│ │ │ п │ │ │ │ │ │
│ │ │В │ХМББ-3324│ 3 - 4 │ 4 мм │ │30 - 35│
│ │ │ п │ │ │ │ │ │
│ │ │В │КФА │ 1 - 2 │ 4 мм │ │20 - 25│
│ │ │ п │ │ │ │ │ │
│ │ │НП │ФБС-211 │ 1 - 2 │ 2 мм │ │15 - 20│
│ │ │ п │ │ │ │ │ │
│ │ │НП │Аквабор │ 2 - 3 │ 2 мм │ │15 - 20│
│ │ │ п │ │ │ │ │ │
│ │ │НП │КФА │ 0,5 - 1 │ 2 мм │ │15 - 20│
│ │ │ п │ │ │ │ │ │
│ │ │НП │НМ-Л │ 3 - 4 │ 2 мм │ │35 - 40│
│ │ │ п │ │ │ │ │ │
│ │ │НОб-ДВ │ББ │ 8 - 10 │Сквоз-│ │40 - 45│
│ │ │ │ │ │ная │ │ │
│ ├───────┼───────┼─────────┼─────────┼──────┼─────┼───────┤
│ │ 2 - 3 │ВДВ │ХМФ-БФ │ 1 - 2 │ - │2 мм │35 - 40│
│ │ │ВДВ │ХМФС │ 2 - 3 │ │2 мм │35 - 40│
│ │ │ВДВ │Сенеж │ 6 - 8 │ │2 мм │35 - 40│
│ │ │ВДВ │ФБС │ 2 - 3 │ │2 мм │30 - 35│
│ │ │ВДВ │БС-13 │ 12 - 14 │ │2 мм │25 - 30│
│ │ │ВДВ │Аквабор │ 3 - 4 │ │2 мм │30 - 35│
│ │ │ВДВ │ХМББ-1128│ 3 - 4 │ │2 мм │35 - 40│
│ │ │ВДВ │ХМББ-3324│ 3 - 4 │ │2 мм │35 - 40│
│ │ │ВДВ │КФН │ 1,5 - 2 │ │2 мм │25 - 30│
│ │ │ВДВ │ФН │ 3 - 4 │ │2 мм │25 - 30│
│ │ │ВДВ │КФА │ 1 - 2 │ │2 мм │25 - 30│
│ │ │ВАДВ │ХМФ-БФ │ 1 - 2 │ │2 мм │30 - 35│
│ │ │ВАДВ │ХМФС │ 2 - 3 │ │2 мм │30 - 35│
│ │ │ВАДВ │Сенеж │ 6 - 8 │ │2 мм │30 - 35│
│ │ │ВАДВ │ФБС-211 │ 2 - 3 │ │2 мм │25 - 30│
│ │ │ВАДВ │БС-13 │ 12 - 14 │ │2 мм │20 - 25│
│ │ │ВАДВ │Аквабор │ 3 - 4 │ │2 мм │25 - 30│
│ │ │ВАДВ │ХМББ-1128│ 3 - 4 │ │2 мм │35 - 40│
│ │ │ВАДВ │ХМББ-3324│ 3 - 4 │ │2 мм │35 - 40│
│ │ │ВАДВ │НМ-Л │ 3 - 4 │ │2 мм │40 - 45│
│ │ │ВАДВ │ФН │ 3 - 4 │ │2 мм │25 - 30│
│ │ │ВАДВ │КФА │ 1 - 2 │ │2 мм │25 - 30│
│ │ │ППВ │ХМФ-БФ │ 1 - 2 │ │2 мм │30 - 35│
│ │ │ППВ │ХМФС │ 2 - 3 │ │2 мм │30 - 35│
│ │ │ППВ │Сенеж │ 6 - 8 │ │2 мм │30 - 35│
│ │ │ППВ │ХМББ-1128│ 3 - 4 │ │2 мм │35 - 40│
│ │ │ППВ │ХМББ-3324│ 3 - 4 │ │2 мм │35 - 40│
│ │ │ПВ │ФБС-211 │ 2 - 3 │ │2 мм │25 - 30│
│ │ │ПВ │БС-13 │ 12 - 14 │ │2 мм │20 - 25│
│ │ │ПВ │Аквабор │ 3 - 4 │ │2 мм │25 - 30│
│ │ │ПВ │КФА │ 1 - 2 │ │2 мм │20 - 25│
│ │ │В │ХМФ-БФ │ 0,5 - 1 │ │2 мм │25 - 30│
│ │ │ п │ │ │ │ │ │
│ │ │В │ХМФС │ 1,5 - 2 │ │2 мм │25 - 30│
│ │ │ п │ │ │ │ │ │
│ │ │В │Сенеж │ 4 - 6 │ │2 мм │25 - 30│
│ │ │ п │ │ │ │ │ │
│ │ │В │ХМББ-1128│ 2 - 3 │ │2 мм │25 - 30│
│ │ │ п │ │ │ │ │ │
│ │ │В │ХМББ-3324│ 2 - 3 │ │2 мм │25 - 30│
│ │ │ п │ │ │ │ │ │
│ │ │В │ФБС-211 │ 1,5 - 2 │ │2 мм │20 - 25│
│ │ │ п │ │ │ │ │ │
│ │ │В │БС-13 │ 8 - 12 │ │2 мм │20 - 25│
│ │ │ п │ │ │ │ │ │
│ │ │В │Аквабор │ 2 - 3 │ │2 мм │25 - 30│
│ │ │ п │ │ │ │ │ │
│ │ │В │НМ-Л │ 4 - 5 │ │2 мм │40 - 45│
│ │ │ п │ │ │ │ │ │
│ │ │В │КФА │ 0,5 - 1 │ │2 мм │20 - 25│
│ │ │ п │ │ │ │ │ │
│ │ │НП │НМ-Л │ 3 - 4 │ │1 мм │30 - 35│
│ │ │ п │ │ │ │ │ │
│ │ │НОб-ДВ │ББ │ 8 - 10 │ │20 мм│40 - 45│
├───────┼───────┼───────┼─────────┼─────────┼──────┼─────┼───────┤
│ VII │ 1 │ВДВ │ХМФ-БФ │ 2 - 3 │ 70% │ - │45 - 50│
│ │ │ВДВ │ХМФС │ 4 - 5 │ 70% │ │45 - 50│
│ │ │ВДВ │Сенеж │ 10 - 12 │ 70% │ │40 - 45│
│ │ │ВДВ │ХМББ-3324│ 5 - 6 │ 70% │ │40 - 45│
│ │ │ВДВ │ФБС-211 │ 4 - 5 │ 70% │ │35 - 40│
│ │ │ВДВ │БС-13 │ 20 - 24 │ 70% │ │35 - 40│
│ │ │ВДВ │Аквабор │ 5 - 6 │ 70% │ │40 - 45│
│ │ │ВДВ │КФА │ 2 - 3 │ 70% │ │35 - 40│
│ │ │ВАДВ │ХМФ-БФ │ 1,5 - 2 │ 5 мм │ │35 - 40│
│ │ │ВАДВ │ХМФС │ 3 - 4 │ 5 мм │ │35 - 40│
│ │ │ВАДВ │Сенеж │ 01 - 8 │ 5 мм │ │35 - 40│
│ │ │ВАДВ │ХМББ-3324│ 4 - 5 │ 5 мм │ │35 - 40│
│ │ │ВАДВ │НМ-Л │ 4 - 5 │ 5 мм │ │45 - 50│
│ │ │ВАДВ │ФБС-211 │ 3 - 4 │ 5 мм │ │30 - 35│
│ │ │ВАДВ │БС-13 │ 16 - 20 │ 5 мм │ │25 - 30│
│ │ │ВАДВ │Аквабор │ 4 - 5 │ 5 мм │ │30 - 35│
│ │ │ВАДВ │КФА │ 1,5 - 2 │ 5 мм │ │25 - 30│
│ │ │ППВ │ХМФ-БФ │ 1,5 - 2 │ 5 мм │ │35 - 40│
│ │ │ППВ │ХМФС │ 3 - 4 │ 5 мм │ │35 - 40│
│ │ │ППВ │Сенеж │ 8 - 10 │ 5 мм │ │35 - 40│
│ │ │ППВ │ХМББ-3324│ 4 - 5 │ 5 мм │ │35 - 40│
│ │ │ПВ │ФБС-211 │ 3 - 4 │ 5 мм │ │30 - 35│
│ │ │ПВ │БС-13 │ 16 - 20 │ 5 мм │ │25 - 30│
│ │ │ПВ │Аквабор │ 4 - 5 │ 5 мм │ │30 - 35│
│ │ │ПВ │КФА │ 1,5 - 2 │ 5 мм │ │25 - 30│
│ │ │В │ХМФ-БФ │ 1 - 2 │ 4 мм │ │25 - 30│
│ │ │ п │ │ │ │ │ │
│ │ │В │ХМФС │ 2 - 3 │ 4 мм │ │25 - 30│
│ │ │ п │ │ │ │ │ │
│ │ │В │Сенеж │ 6 - 8 │ 4 мм │ │25 - 30│
│ │ │ п │ │ │ │ │ │
│ │ │В │ХМББ-3324│ 3 - 4 │ 4 мм │ │25 - 30│
│ │ │ п │ │ │ │ │ │
│ │ │В │ФБС-211 │ 2 - 3 │ 4 мм │ │20 - 25│
│ │ │ п │ │ │ │ │ │
│ │ │В │БС-13 │ 12 - 16 │ 4 мм │ │20 - 25│
│ │ │ п │ │ │ │ │ │
│ │ │В │Аквабор │ 3 - 4 │ 4 мм │ │20 - 25│
│ │ │ п │ │ │ │ │ │
│ │ │В │КФА │ 1 - 2 │ 4 мм │ │20 - 25│
│ │ │ п │ │ │ │ │ │
│ ├───────┼───────┼─────────┼─────────┼──────┼─────┼───────┤
│ │ 2 - 3 │ВДВ │ХМФ-БФ │ 1,5 - 2 │ - │2 мм │35 - 40│
│ │ │ВДВ │ХМФС │ 3 - 4 │ │2 мм │35 - 40│
│ │ │ВДВ │Сенеж │ 8 - 10 │ │2 мм │35 - 40│
│ │ │ВДВ │ХМББ-3324│ 4 - 5 │ │2 мм │35 - 40│
│ │ │ВДВ │ФБС-211 │ 3 - 4 │ │2 мм │30 - 35│
│ │ │ВДВ │БС-13 │ 16 - 20 │ │2 мм │30 - 35│
│ │ │ВДВ │Аквабор │ 4 - 5 │ │2 мм │30 - 35│
│ │ │ВДВ │КФА │ 1 - 2 │ │2 мм │30 - 35│
│ │ │ВАДВ │ХМФ-БФ │ 1 - 2 │ │2 мм │30 - 35│
│ │ │ВАДВ │ХМФС │ 2 - 3 │ │2 мм │30 - 35│
│ │ │ВАДВ │Сенеж │ 6 - 8 │ │2 мм │30 - 35│
│ │ │ВАДВ │ХМББ-3324│ 3 - 4 │ │2 мм │30 - 35│
│ │ │ВАДВ │НМ-Л │ 3 - 4 │ │2 мм │35 - 40│
│ │ │ВАДВ │ФБС-211 │ 2 - 3 │ │2 мм │25 - 30│
│ │ │ВАДВ │БС-13 │ 12 - 16 │ │2 мм │25 - 30│
│ │ │ВАДВ │Аквабор │ 4 - 5 │ │2 мм │25 - 30│
│ │ │ВАДВ │КФА │ 1 - 2 │ │2 мм │25 - 30│
│ │ │ППВ │ХМФ-БФ │ 1 - 2 │ │2 мм │30 - 35│
│ │ │ППВ │ХМФС │ 2 - 3 │ │2 мм │30 - 35│
│ │ │ППВ │Сенеж │ 6 - 8 │ │2 мм │30 - 35│
│ │ │ППВ │ХМББ-3324│ 3 - 4 │ │2 мм │30 - 35│
│ │ │ПВ │ФБС-211 │ 2 - 3 │ │2 мм │25 - 30│
│ │ │ПВ │БС-13 │ 12 - 16 │ │2 мм │25 - 30│
│ │ │ПВ │Аквабор │ 4 - 5 │ │2 мм │25 - 30│
│ │ │ПВ │КФА │ 1 - 2 │ │2 мм │25 - 30│
│ │ │В │ХМФ-БФ │ 1 - 1,5 │ │2 мм │25 - 30│
│ │ │ п │ │ │ │ │ │
│ │ │В │ХМФС │ 2 - 3 │ │2 мм │25 - 30│
│ │ │ п │ │ │ │ │ │
│ │ │В │Сенеж │ 5 - 7 │ │2 мм │25 - 30│
│ │ │ п │ │ │ │ │ │
│ │ │В │ХМББ-3324│2,5 - 3,5│ │2 мм │25 - 30│
│ │ │ п │ │ │ │ │ │
│ │ │В │ФБС-211 │ 2 - 3 │ │2 мм │20 - 25│
│ │ │ п │ │ │ │ │ │
│ │ │В │БС-13 │ 10 - 14 │ │2 мм │20 - 25│
│ │ │ п │ │ │ │ │ │
│ │ │В │Аквабор │2,5 - 3,5│ │2 мм │20 - 25│
│ │ │ п │ │ │ │ │ │
│ │ │В │НМ-Л │ 3 - 4 │ │2 мм │35 - 40│
│ │ │ п │ │ │ │ │ │
│ │ │В │КФА │ 1 - 1,5 │ │2 мм │20 - 25│
│ │ │ п │ │ │ │ │ │
├───────┼───────┼───────┼─────────┼─────────┼──────┼─────┼───────┤
│ VIII │ 1 │ВДВ │ХМФ-БФ │ 2 - 3 │ 70% │ - │45 - 50│
│ │ │ВДВ │ХМФС │ 5 - 6 │ 70% │ │45 - 50│
│ │ │ВДВ │Сенеж │ 12 - 14 │ 70% │ │45 - 50│
│ │ │ВДВ │ХМББ-3324│ 6 - 7 │ 70% │ │40 - 45│
│ │ │ВДВ │ФБС-211 │ 5 - 6 │ 70% │ │40 - 45│
│ │ │ВАДВ │ХМФ-БФ │ 2 - 3 │ 5 мм │ │35 - 40│
│ │ │ВАДВ │ХМФС │ 4 - 5 │ 5 мм │ │35 - 40│
│ │ │ВАДВ │Сенеж │ 10 - 12 │ 5 мм │ │35 - 40│
│ │ │ВАДВ │ХМББ-3324│ 5 - 6 │ 5 мм │ │30 - 35│
│ │ │ВАДВ │ФБС-211 │ 4 - 5 │ 5 мм │ │30 - 35│
│ │ │ВАДВ │НМ-Л │ 4 - 5 │ 5 мм │ │40 - 45│
│ │ │ППВ │ХМФ-БФ │ 2 - 3 │ 5 мм │ │35 - 40│
│ │ │ППВ │ХМФС │ 4 - 5 │ 5 мм │ │35 - 40│
│ │ │ППВ │Сенеж │ 10 - 12 │ 5 мм │ │35 - 40│
│ │ │ППВ │ХМББ-3324│ 5 - 6 │ 5 мм │ │30 - 35│
│ │ │ПВ │ФБС-211 │ 4 - 5 │ 5 мм │ │30 - 35│
│ │ │В │ХМФ-БФ │ 1,5 - 2 │ 4 мм │ │25 - 30│
│ │ │ п │ │ │ │ │ │
│ │ │В │ХМФС │ 3 - 4 │ 4 мм │ │25 - 30│
│ │ │ п │ │ │ │ │ │
│ │ │В │Сенеж │ 8 - 10 │ 4 мм │ │25 - 30│
│ │ │ п │ │ │ │ │ │
│ │ │В │ФБС-211 │ 3 - 4 │ 4 мм │ │20 - 25│
│ │ │ п │ │ │ │ │ │
│ │ │В │ХМББ-3324│ 4 - 5 │ 4 мм │ │25 - 30│
│ │ │ п │ │ │ │ │ │
│ │ │В │НМ-Л │ 4 - 5 │ 4 мм │ │35 - 40│
│ │ │ п │ │ │ │ │ │
│ │ │НП │НМ-Л │ 3 - 4 │ 2 мм │ │25 - 30│
│ │ │ п │ │ │ │ │ │
│ │ │НП │ФБС-211 │ 2 - 3 │ 1 мм │ │15 - 20│
│ │ │ п │ │ │ │ │ │
│ ├───────┼───────┼─────────┼─────────┼──────┼─────┼───────┤
│ │ 2 - 3 │ВДВ │ХМФ-БФ │ 2 - 3 │ - │2 мм │30 - 35│
│ │ │ВДВ │ХМФС │ 4 - 5 │ │2 мм │30 - 35│
│ │ │ВДВ │Сенеж │ 10 - 12 │ │2 мм │30 - 35│
│ │ │ВДВ │ХМББ-3324│ 5 - 6 │ │2 мм │30 - 35│
│ │ │ВДВ │ФБС-211 │ 4 - 5 │ │2 мм │25 - 30│
│ │ │ВАДВ │ХМФ-БФ │ 1,5 - 2 │ │2 мм │25 - 30│
│ │ │ВАДВ │ХМФС │ 3 - 4 │ │2 мм │25 - 30│
│ │ │ВАДВ │Сенеж │ 8 - 10 │ │2 мм │25 - 30│
│ │ │ВАДВ │ХМББ-3324│ 4 - 5 │ │2 мм │25 - 30│
│ │ │ВАДВ │ФБС-211 │ 3 - 4 │ │2 мм │20 - 25│
│ │ │ППВ │ХМФ-БФ │ 1,5 - 2 │ │2 мм │25 - 30│
│ │ │ППВ │ХМФС │ 3 - 4 │ │2 мм │25 - 30│
│ │ │ППВ │Сенеж │ 8 - 10 │ │2 мм │25 - 30│
│ │ │ППВ │ХМББ-3324│ 4 - 5 │ │2 мм │25 - 30│
│ │ │ПВ │ФБС-211 │ 3 - 4 │ │2 мм │25 - 30│
│ │ │В │ХМФ-БФ │ 1 - 1,5 │ │2 мм │20 - 25│
│ │ │ п │ │ │ │ │ │
│ │ │В │ХМФС │ 2 - 3 │ │2 мм │20 - 25│
│ │ │ п │ │ │ │ │ │
│ │ │В │Сенеж │ 6 - 8 │ │2 мм │20 - 25│
│ │ │ п │ │ │ │ │ │
│ │ │В │ХМББ-3324│ 3 - 4 │ │2 мм │20 - 25│
│ │ │ п │ │ │ │ │ │
│ │ │В │ФБС-211 │ 2 - 3 │ │2 мм │20 - 25│
│ │ │ п │ │ │ │ │ │
│ │ │НП │НМ-Л │ 3 - 4 │ │1 мм │30 - 35│
│ │ │ п │ │ │ │ │ │
├───────┼───────┼───────┼─────────┼─────────┼──────┼─────┼───────┤
│ IX │ 1 │ВДВ │ХМФ-БФ │ 3 - 4 │ 70% │ - │40 - 45│
│ │ │ВДВ │ХМФС │ 6 - 7 │ 70% │ │40 - 45│
│ │ │ВДВ │Сенеж │ 16 - 18 │ 70% │ │40 - 45│
│ │ │ВДВ │ХМББ-3324│ 8 - 9 │ 70% │ │40 - 45│
│ │ │ДДВ │КМ │ 50 - 90 │ 70% │ │45 - 50│
│ │ │ДДВ │СМ │ 70 - 110│ 70% │ │45 - 50│
│ │ │П │ХМФ-БФ │ 3 - 4 │15 мм │ │35 - 40│
│ │ │ п │ │ │ │ │ │
│ │ │П │ХМФС │ 6 - 7 │15 мм │ │35 - 40│
│ │ │ п │ │ │ │ │ │
│ │ │П │Сенеж │ 16 - 18 │15 мм │ │35 - 40│
│ │ │ п │ │ │ │ │ │
│ │ │П │ХМББ-3324│ 8 - 9 │15 мм │ │35 - 40│
│ │ │ п │ │ │ │ │ │
│ ├───────┼───────┼─────────┼─────────┼──────┼─────┼───────┤
│ │ 2 - 3 │ДДВ-Н │КМ │ 50 - 90 │Глу- │ - │40 - 45│
│ │ │ │ │ │бины │ │ │
│ │ │ │ │ │накола│ │ │
│ │ │ДДВ-Н │СМ │ 70 - 110│То же │ - │40 - 45│
│ │ │ДДВ │КМ │ 40 - 60 │10 мм │ - │25 - 30│
│ │ │ДДВ │СМ │ 50 - 70 │10 мм │ - │25 - 30│
│ │ │ВДВ │ХМФ-БФ │ 3 - 4 │ - │2 мм │30 - 35│
│ │ │ВДВ │ХМФС │ 5 - 6 │ - │2 мм │30 - 35│
│ │ │ВДВ │Сенеж │ 14 - 16 │ │2 мм │30 - 35│
│ │ │ВДВ │ХМББ-3324│ 7 - 8 │ │2 мм │30 - 35│
│ │ │П │ХМФ-БФ │ 2 - 3 │ │10 мм│30 - 35│
│ │ │ п │ │ │ │ │ │
│ │ │П │ХМФС │ 5 - 6 │ - │10 мм│30 - 35│
│ │ │ п │ │ │ │ │ │
│ │ │П │Сенеж │ 12 - 14 │ │10 мм│30 - 35│
│ │ │ п │ │ │ │ │ │
│ │ │П │ХМББ-3324│ 6 - 7 │ │10 мм│30 - 35│
│ │ │ п │ │ │ │ │ │
├───────┼───────┼───────┼─────────┼─────────┼──────┼─────┼───────┤
│ X │ 1 │ДДВ │КМ │ 60 - 100│ 75% │ - │45 - 50│
│ │ │ДДВ │СМ │ 80 - 120│ 75% │ │45 - 50│
│ │ │ВДВ │ХМФ-БФ │ 3,5 - 4 │ 70% │ │35 - 40│
│ │ │ВДВ │ХМФС │ 7 - 8 │ 70% │ │35 - 40│
│ │ │ВДВ │Сенеж │ 18 - 20 │ 70% │ │35 - 40│
│ │ │ВДВ │ХМББ-3324│ 8 - 9 │ 70% │ │35 - 40│
│ │ │П │ХМФ-БФ │ 3,5 - 4 │15 мм │ │35 - 40│
│ │ │ п │ │ │ │ │ │
│ │ │П │ХМФС │ 7 - 8 │15 мм │ │35 - 40│
│ │ │ п │ │ │ │ │ │
│ │ │П │Сенеж │ 18 - 20 │15 мм │ │35 - 40│
│ │ │ п │ │ │ │ │ │
│ │ │П │ХМББ-3324│ 9 - 10 │15 мм │ │35 - 40│
│ │ │ п │ │ │ │ │ │
│ ├───────┼───────┼─────────┼─────────┼──────┼─────┼───────┤
│ │ 2 - 3 │ДДВ-Н │КМ │ 60 - 100│Глу- │ - │40 - 45│
│ │ │ │ │ │бины │ │ │
│ │ │ │ │ │накола│ │ │
│ │ │ДДВ-Н │СМ │ 80 - 120│То же │ - │40 - 45│
│ │ │ВДВ │ХМФ-БФ │ 3 - 3,5 │ - │2 мм │25 - 30│
│ │ │ВДВ │ХМФС │ 6 - 7 │ - │2 мм │25 - 30│
│ │ │ВДВ │Сенеж │ 16 - 18 │ - │2 мм │25 - 30│
│ │ │ВДВ │ХМББ-3324│ 8 - 9 │ - │2 мм │25 - 30│
│ │ │П │ХМФ-БФ │ 3 - 3,5 │ - │10 мм│25 - 30│
│ │ │ п │ │ │ │ │ │
│ │ │П │ХМФС │ 6 - 7 │ - │10 мм│25 - 30│
│ │ │ п │ │ │ │ │ │
│ │ │П │Сенеж │ 16 - 18 │ - │10 мм│25 - 30│
│ │ │ п │ │ │ │ │ │
│ │ │П │ХМББ-3324│ 8 - 9 │ - │10 мм│25 - 30│
│ │ │ п │ │ │ │ │ │
│ ├───────┼───────┼─────────┼─────────┼──────┼─────┼───────┤
│ │ 1 │ДДВ │КМ │ 60 - 100│ 75% │ - │45 - 50│
│ │ │ДДВ │СМ │ 80 - 120│ 75% │ │45 - 50│
│ │ │ВДВ │ХМФ-БФ │ 3,5 - 4 │ 70% │ │35 - 40│
│ │ │ВДВ │ХМФС │ 7 - 8 │ 70% │ │35 - 40│
│ │ │ВДВ │Сенеж │ 18 - 20 │ 70% │ │35 - 40│
│ │ │ВДВ │ХМББ-3324│ 8 - 9 │ 70% │ │35 - 40│
│ │ │П │ХМФ-БФ │ 3,5 - 4 │15 мм │ │35 - 40│
│ │ │ п │ │ │ │ │ │
│ │ │П │ХМФС │ 7 - 8 │15 мм │ │35 - 40│
│ │ │ п │ │ │ │ │ │
│ │ │П │Сенеж │ 18 - 20 │15 мм │ │35 - 40│
│ │ │ п │ │ │ │ │ │
│ │ │П │ХМББ-3324│ 9 - 10 │15 мм │ │35 - 40│
│ │ │ п │ │ │ │ │ │
│ ├───────┼───────┼─────────┼─────────┼──────┼─────┼───────┤
│ │ 2 - 3 │ДДВ-Н │КМ │ 60 - 100│Глу- │ - │40 - 45│
│ │ │ │ │ │бины │ │ │
│ │ │ │ │ │накола│ │ │
│ │ │ДДВ-Н │СМ │ 80 - 120│То же │ - │40 - 45│
│ │ │ВДВ │ХМФ-БФ │ 3 - 3,5 │ - │2 мм │25 - 30│
│ │ │ВДВ │ХМФС │ 6 - 7 │ - │2 мм │25 - 30│
│ │ │ВДВ │Сенеж │ 16 - 18 │ - │2 мм │25 - 30│
│ │ │ВДВ │ХМББ-3324│ 8 - 9 │ - │2 мм │25 - 30│
│ │ │П │ХМФ-БФ │ 3 - 3,5 │ - │10 мм│25 - 30│
│ │ │ п │ │ │ │ │ │
│ │ │П │ХМФС │ 6 - 7 │ - │10 мм│25 - 30│
│ │ │ п │ │ │ │ │ │
│ │ │П │Сенеж │ 16 - 18 │ - │10 мм│25 - 30│
│ │ │ п │ │ │ │ │ │
│ │ │П │ХМББ-3324│ 8 - 9 │ - │10 мм│25 - 30│
│ │ │ п │ │ │ │ │ │
├───────┼───────┼───────┼─────────┼─────────┼──────┼─────┼───────┤
│ XI │ 1 │ВДВ │ХМФ-БФ │ 2 - 3 │ 80% │ - │10 - 12│
│ │ │ВДВ │ХМФС │ 4 - 5 │ 80% │ │10 - 12│
│ │ │ВДВ │Сенеж │ 8 - 9 │ 80% │ │10 - 12│
│ │ │ВДВ │ХМ-11 │ 7 - 9 │ 80% │ │10 - 12│
│ │ │ППВ │ХМФ-БФ │ 1 - 2 │ 5 мм │ │ 7 - 9 │
│ │ │ППВ │ХМФС │ 3 - 4 │ 5 мм │ │ 7 - 9 │
│ │ │ППВ │Сенеж │ 7 - 8 │ 5 мм │ │ 7 - 9 │
│ │ │ППВ │ХМ-11 │ 6 - 7 │ 5 мм │ │ 7 - 8 │
│ │ │ВДВ │ХМ-32 │ 8 - 10 │80% │ - │15 - 20│
│Росстандарта от 29.05.2012 N 93-ст) │
│ │ │ППВ │ХМ-32 │ 6 - 7 │5 мм │ - │ 8 - 10│
│Росстандарта от 29.05.2012 N 93-ст) │
│ ├───────┼───────┼─────────┼─────────┼──────┼─────┼───────┤
│ │ 2 - 3 │ВДВ-Н │ХМФ-БФ │ 1 - 2 │Глу- │ - │8 - 10 │
│ │ │ │ │ │бины │ │ │
│ │ │ │ │ │накола│ │ │
│ │ │ВДВ-Н │ХМФС │ 3 - 4 │То же │ │8 - 10 │
│ │ │ВДВ-Н │Сенеж │ 7 - 8 │ " │ │8 - 10 │
│ │ │ВДВ-Н │ХМ-11 │ 6 - 8 │ " │ │8 - 10 │
│ │ │ВДВ-Н │ХМ-32 │ 6 - 8 │Глу- │ - │8 - 10 │
│ │ │ │ │ │бины │ │ │
│ │ │ │ │ │накола│ │ │
│Росстандарта от 29.05.2012 N 93-ст) │
├───────┼───────┼───────┼─────────┼─────────┼──────┼─────┼───────┤
│ XII │ 1 │ДДВ │КМ │ 90 - 120│ 85% │ - │40 - 45│
│ │ │ДДВ │СМ │ 95 - 125│ 85% │ │40 - 45│
│ │ │ДДВ │НМ-М │ 11 - 15 │ 85% │ │35 - 40│
│ │ │ВДВ │ХМ-11 │ 13 - 15 │ 85% │ │40 - 45│
│ │ │ВДВ │ХМК-661 │ 10 - 11 │ 85% │ │30 - 35│
│ │ │ВДВ │ХМФ-221 │ 9 - 10 │ 85% │ │25 - 30│
│ │ │ВДВ │ХМФ-БФ │ 4 - 5 │ 85% │ │30 - 35│
│ │ │ВДВ │ХМФС │ 8 - 10 │ 85% │ │30 - 35│
│ │ │ВДВ │Сенеж │ 18 - 20 │ 85% │ │30 - 35│
│введенное в действие Приказом Росстандарта от 29.05.2012 N 93-ст│
│ │ │П │ХМ-11 │ 12 - 14 │15 мм │ │25 - 30│
│ │ │ п │ │ │ │ │ │
│ │ │П │ХМК-661 │ 10 - 11 │15 мм │ │30 - 35│
│ │ │ п │ │ │ │ │ │
│ │ │П │ХМФ-221 │ 9 - 10 │15 мм │ │25 - 30│
│ │ │ п │ │ │ │ │ │
│ │ │П │ХМФ-БФ │ 4 - 5 │15 мм │ │30 - 35│
│ │ │ п │ │ │ │ │ │
│ │ │П │ХМФС │ 8 - 10 │15 мм │ │30 - 35│
│ │ │ п │ │ │ │ │ │
│ │ │П │Сенеж │ 18 - 20 │15 мм │ │30 - 35│
│ │ │ п │ │ │ │ │ │
│ │ │ВДВ │ХМ-32 │ 13 - 15 │85% │ - │40 - 45│
│Росстандарта от 29.05.2012 N 93-ст) │
│ │ │ВДВ │Элемсепт │ 10 - 11 │85% │ - │30 - 35│
│Росстандарта от 29.05.2012 N 93-ст) │
│ ├───────┼───────┼─────────┼─────────┼──────┼─────┼───────┤
│ │ 2 │ДДВ-Н │НМ-М │ 11 - 15 │Глу- │ - │30 - 35│
│ │ │ │ │ │бины │ │ │
│ │ │ │ │ │накола│ │ │
│ │ │ДДВ │КМ │ 70 - 90 │ - │10 мм│20 - 25│
│ │ │ДДВ │СМ │ 75 - 95 │ - │10 мм│20 - 25│
│ │ │ВДВ-Н │КМ │ 90 - 130│Глу- │ - │40 - 45│
│ │ │ │ │ │бины │ │ │
│ │ │ │ │ │накола│ │ │
│ │ │ВДВ-Н │СМ │110 - 150│То же │ - │40 - 45│
│ │ │ВДВ-Н │ХМ-11 │ 13 - 15 │ " │ - │35 - 40│
│ │ │ВДВ-Н │ХМФ-БФ │ 4 - 5 │ " │ - │30 - 35│
│ │ │ВДВ-Н │ХМФС │ 8 - 10 │ " │ - │30 - 35│
│ │ │ВДВ-Н │Сенеж │ 18 - 20 │ " │ - │30 - 35│
│введенное в действие Приказом Росстандарта от 29.05.2012 N 93-ст│
│ │ │ВДВ │ХМК-661 │ 10 - 11 │ - │10 мм│25 - 30│
│ │ │ВДВ │ХМФ-221 │ 9 - 10 │ - │10 мм│25 - 30│
│ │ │ВДВ │ХМФ-БФ │ 4 - 5 │ - │10 мм│25 - 30│
│ │ │ВДВ │ХМФС │ 8 - 10 │ - │10 мм│25 - 30│
│ │ │ВДВ │Сенеж │ 16 - 18 │ - │10 мм│25 - 30│
│введенное в действие Приказом Росстандарта от 29.05.2012 N 93-ст│
│ │ │П │ХМ-11 │ 10 - 12 │ - │10 мм│20 - 25│
│ │ │ п │ │ │ │ │ │
│ │ │П │ХМК-661 │ 10 - 11 │ - │10 мм│25 - 30│
│ │ │ п │ │ │ │ │ │
│ │ │П │ХМФ-221 │ 9 - 10 │ - │10 мм│20 - 25│
│ │ │ п │ │ │ │ │ │
│ │ │П │ХМФ-БФ │ 4 - 5 │ - │10 мм│25 - 30│
│ │ │ п │ │ │ │ │ │
│ │ │П │ХМФС │ 8 - 10 │ - │10 мм│25 - 30│
│ │ │ п │ │ │ │ │ │
│ │ │П │Сенеж │ 16 - 18 │ - │10 мм│25 - 30│
│ │ │ п │ │ │ │ │ │
│ │ │ВДВ-Н │ХМ-32 │ 13 - 15 │Глуби-│ - │40 - 45│
│ │ │ │ │ │ны │ │ │
│ │ │ │ │ │накола│ │ │
│Росстандарта от 29.05.2012 N 93-ст) │
│ │ │Пп │ХМ-32 │ 10 - 12 │ - │10 мм│25 - 30│
│Росстандарта от 29.05.2012 N 93-ст) │
│ │ │ВДВ-Н │Элемсепт │ 8 - 10 │Глуби-│ - │30 - 35│
│ │ │ │ │ │ны │ │ │
│ │ │ │ │ │накола│ │ │
│Росстандарта от 29.05.2012 N 93-ст) │
│ │ │ВДВ │Элемсепт │ 8 - 10 │ - │10 мм│25 - 30│
│Росстандарта от 29.05.2012 N 93-ст) │
│ ├───────┼───────┼─────────┼─────────┼──────┼─────┼───────┤
│ │ 3 │ДДВ-Н │НМ-М │ 11 - 15 │Глу- │ - │25 - 30│
│ │ │ │ │ │бины │ │ │
│ │ │ │ │ │накола│ │ │
│ │ │ДДВ │КМ │ 60 - 90 │ - │10 мм│15 - 20│
│ │ │ДДВ │СМ │ 65 - 95 │ - │10 мм│15 - 20│
│ │ │ДВ-Н │КМ │ 80 - 120│Глу- │ - │35 - 40│
│ │ │ │ │ │бины │ │ │
│ │ │ │ │ │накола│ │ │
│ │ │ВДВ-Н │СМ │100 - 140│То же │ - │35 - 40│
│ │ │ВДВ-Н │ХМ-11 │ 12 - 14 │ " │ - │30 - 35│
│ │ │ВДВ-Н │ХМФ-БФ │ 4 - 5 │ " │ - │25 - 30│
│ │ │ВДВ-Н │ХМФС │ 8 - 10 │ " │ - │25 - 30│
│ │ │ВДВ-Н │Сенеж │ 18 - 20 │ " │ - │25 - 30│
│введенное в действие Приказом Росстандарта от 29.05.2012 N 93-ст│
│ │ │ВДВ │ХМК-661 │ 9 - 10 │ - │10 мм│20 - 25│
│ │ │ВДВ │ХМФ-221 │ 9 - 10 │ - │10 мм│15 - 20│
│ │ │ВДВ │ХМФ-БФ │ 3 - 4 │ - │10 мм│20 - 25│
│ │ │ВДВ │ХМФС │ 7 - 9 │ - │10 мм│20 - 25│
│ │ │ВДВ │Сенеж │ 16 - 18 │ - │10 мм│20 - 25│
│введенное в действие Приказом Росстандарта от 29.05.2012 N 93-ст│
│ │ │П │ХМК-661 │ 9 - 10 │ - │10 мм│20 - 25│
│ │ │ п │ │ │ │ │ │
│ │ │П │ХМФ-221 │ 9 - 10 │ - │10 мм│15 - 20│
│ │ │ п │ │ │ │ │ │
│ │ │П │ХМФ-БФ │ 3 - 4 │ - │10 мм│20 - 25│
│ │ │ п │ │ │ │ │ │
│ │ │П │ХМФС │ 7 - 9 │ - │10 мм│20 - 25│
│ │ │ п │ │ │ │ │ │
│ │ │П │Сенеж │ 16 - 18 │ - │10 мм│20 - 25│
│ │ │ п │ │ │ │ │ │
│ │ │ВДВ-Н │ХМ-32 │ 11 - 13 │Глуби-│ - │30 - 35│
│ │ │ │ │ │ны │ │ │
│ │ │ │ │ │накола│ │ │
│Росстандарта от 29.05.2012 N 93-ст) │
│ │ │ВДВ-Н │Элемсепт │ 6 - 7 │Глуби-│ - │25 - 30│
│ │ │ │ │ │ны │ │ │
│ │ │ │ │ │накола│ │ │
│Росстандарта от 29.05.2012 N 93-ст) │
│ │ │ВДВ │Элемсепт │ 5 - 6 │ - │10 мм│25 - 30│
│Росстандарта от 29.05.2012 N 93-ст) │
├───────┼───────┼───────┼─────────┼─────────┼──────┼─────┼───────┤
│ XIII │ 1 │ДДВ │КМ │ 90 - 120│ 85% │ - │35 - 40│
│ │ │ДДВ │СМ │ 95 - 125│ 85% │ │35 - 40│
│ │ │ДВ │КМ │110 - 140│ 85% │ │45 - 50│
│ │ │ДВ │СМ │120 - 150│ 85% │ │45 - 50│
│ │ │ДВ │НМ-М │ 12 - 16 │ 85% │ │35 - 40│
│ │ │ВДВ │ХМ-11 │ 13 - 15 │ 85% │ │35 - 40│
│ │ │ВДВ │ХМК-661 │ 11 - 13 │ 85% │ │30 - 35│
│ │ │ВДВ │ХМФ-221 │ 9 - 11 │ 85% │ │30 - 35│
│ │ │ВДВ │ХМФ-БФ │ 5 - 6 │ 85% │ │30 - 35│
│ │ │ВДВ │ХМФС │ 9 - 11 │ 85% │ │30 - 35│
│ │ │ВДВ │Сенеж │ 20 - 22 │ 85% │ │30 - 35│
│введенное в действие Приказом Росстандарта от 29.05.2012 N 93-ст│
│ │ │ВДВ │ХМ-32 │ 13 - 15 │85% │ - │40 - 45│
│Росстандарта от 29.05.2012 N 93-ст) │
│ │ │ВДВ │Элемсепт │ 10 - 11 │85% │ - │30 - 35│
│Росстандарта от 29.05.2012 N 93-ст) │
│ ├───────┼───────┼─────────┼─────────┼──────┼─────┼───────┤
│ │ 2 │ДДВ │КМ │ 70 - 90 │ - │10 мм│15 - 20│
│ │ │ДДВ │СМ │ 75 - 95 │ │10 мм│15 - 20│
│ │ │ВДВ-Н │КМ │100 - 140│Глу- │ - │40 - 45│
│ │ │ │ │ │бины │ │ │
│ │ │ │ │ │накола│ │ │
│ │ │ВДВ-Н │СМ │100 - 140│То же │ - │30 - 35│
│ │ │ВДВ-Н │НМ-М │ 12 - 16 │ " │ - │30 - 35│
│ │ │ВДВ-Н │ХМ-11 │ 13 - 15 │ " │ - │30 - 35│
│ │ │ВДВ-Н │ХМФ-БФ │ 5 - 6 │ " │ - │30 - 35│
│ │ │ВДВ-Н │ХМФС │ 9 - 11 │ " │ - │30 - 35│
│ │ │ВДВ-Н │Сенеж │ 20 - 22 │ " │ - │30 - 35│
│введенное в действие Приказом Росстандарта от 29.05.2012 N 93-ст│
│ │ │ВДВ-Н │ХМ-32 │13 - 15 │Глуби-│ - │35 - 40│
│ │ │ │ │ │ны │ │ │
│ │ │ │ │ │накола│ │ │
│Росстандарта от 29.05.2012 N 93-ст) │
│ │ │ВДВ-Н │Элемсепт │ 9 - 10 │Глуби-│ - │30 - 35│
│ │ │ │ │ │ны │ │ │
│ │ │ │ │ │накола│ │ │
│Росстандарта от 29.05.2012 N 93-ст) │
│ ├───────┼───────┼─────────┼─────────┼──────┼─────┼───────┤
│ │ 3 │ДДВ │КМ │ 70 - 90 │ - │10 мм│10 - 15│
│ │ │ДДВ │СМ │ 75 - 95 │ - │10 мм│10 - 15│
│ │ │ВДВ-Н │КМ │ 90 - 130│Глу- │ - │35 - 40│
│ │ │ │ │ │бины │ │ │
│ │ │ │ │ │накола│ │ │
│ │ │ВДВ-Н │СМ │110 - 140│То же │ - │35 - 40│
│ │ │ВДВ-Н │НМ-М │ 11 - 15 │ " │ - │25 - 30│
│ │ │ВДВ-Н │ХМ-11 │ 12 - 14 │ " │ - │25 - 30│
│ │ │ВДВ-Н │ХМФ-БФ │ 5 - 6 │ " │ - │25 - 30│
│ │ │ВДВ-Н │ХМФС │ 9 - 11 │ " │ - │25 - 30│
│ │ │ВДВ-Н │Сенеж │ 20 - 22 │ " │ - │25 - 30│
│введенное в действие Приказом Росстандарта от 29.05.2012 N 93-ст│
│ │ │ВДВ-Н │ХМ-32 │12 - 14 │Глуби-│ - │30 - 35│
│ │ │ │ │ │ны │ │ │
│ │ │ │ │ │накола│ │ │
│Росстандарта от 29.05.2012 N 93-ст) │
│ │ │ВДВ-Н │Элемсепт │ 8 - 9 │Глуби-│ - │25 - 30│
│ │ │ │ │ │ны │ │ │
│ │ │ │ │ │накола│ │ │
│Росстандарта от 29.05.2012 N 93-ст) │
├───────┼───────┼───────┼─────────┼─────────┼──────┼─────┼───────┤
│ XV │ 1 │ВДВ │КМ │130 - 170│ 90% │ - │45 - 50│
│ │ │ВДВ │СМ │140 - 180│ 90% │ - │35 - 40│
│ ├───────┼───────┼─────────┼─────────┼──────┼─────┼───────┤
│ │ 2 │ВДВ-Н │КМ │110 - 150│Глу- │ - │40 - 45│
│ │ │ │ │ │бины │ │ │
│ │ │ │ │ │накола│ │ │
│ │ │ВДВ-Н │СМ │120 - 160│То же │ - │30 - 35│
│ ├───────┼───────┼─────────┼─────────┼──────┼─────┼───────┤
│ │ 3 │ВДВ-Н │КМ │100 - 140│Глу- │ - │35 - 40│
│ │ │ │ │ │бины │ │ │
│ │ │ │ │ │накола│ │ │
│ │ │ВДВ-Н │СМ │110 - 150│То же │ - │25 - 30│
├───────┼───────┼───────┼─────────┼─────────┼──────┼─────┼───────┤
│ XVI │ 1 │ВДВ │КМ │140 - 180│ 90% │ - │45 - 50│
│ │ │ВДВ │СМ │150 - 190│ 90% │ - │30 - 35│
│ ├───────┼───────┼─────────┼─────────┼──────┼─────┼───────┤
│ │ 2 │ВДВ-Н │КМ │110 - 150│Глу- │ - │35 - 40│
│ │ │ │ │ │бины │ │ │
│ │ │ │ │ │накола│ │ │
│ │ │ВДВ-Н │СМ │120 - 160│То же │ - │25 - 30│
│ ├───────┼───────┼─────────┼─────────┼──────┼─────┼───────┤
│ │ 3 │ВДВ-Н │КМ │100 - 140│Глу- │ - │30 - 35│
│ │ │ │ │ │бины │ │ │
│ │ │ │ │ │накола│ │ │
│ │ │ВДВ-Н │СМ │110 - 150│То же │ - │20 - 25│
├───────┼───────┼───────┼─────────┼─────────┼──────┼─────┼───────┤
│ XVII │ 1 │ВДВ │КМ │140 - 180│Сквоз-│ - │40 - 45│
│ │ │ │ │ │ная │ │ │
│ ├───────┼───────┼─────────┼─────────┼──────┼─────┼───────┤
│ │ 2 │ВДВ-Н │КМ │110 - 150│Глу- │ - │30 - 35│
│ │ │ │ │ │бины │ │ │
│ │ │ │ │ │накола│ │ │
│ ├───────┼───────┼─────────┼─────────┼──────┼─────┼───────┤
│ │ 3 │ВДВ-Н │КМ │100 - 140│То же │ - │25 - 30│
├───────┼───────┼───────┼─────────┼─────────┼──────┼─────┼───────┤
│ XVIII │ 1 │ВДВ │КМ │140 - 180│Сквоз-│ - │35 - 40│
│ │ │ │ │ │ная │ │ │
│ ├───────┼───────┼─────────┼─────────┼──────┼─────┼───────┤
│ │ 2 │ВДВ-Н │КМ │110 - 150│Глу- │ - │25 - 30│
│ │ │ │ │ │бины │ │ │
│ │ │ │ │ │накола│ │ │
│ ├───────┼───────┼─────────┼─────────┼──────┼─────┼───────┤
│ │ 3 │ВДВ-Н │КМ │100 - 140│То же │ - │20 - 25│
└───────┴───────┴───────┴─────────┴─────────┴──────┴─────┴───────┘
6. Параметры защищенности пилопродукции
толщиной 40 мм и более при консервировании
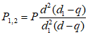
6.1. Общее поглощение защитного средства указано в
таблице 2 для брусьев сечением 180 x 220 мм. Для пилопродукции другого сечения общее поглощение

в килограммах на кубический метр вычисляют по формуле

, (2)
где P - общее поглощение, указанное в
таблице 2, кг/м3;

- соответственно толщина и ширина сортиментов, подлежащих пропитке, мм;
a, b - соответственно толщина и ширина сортимента, на который в таблице 2 приведено поглощение, мм;
q - заданная глубина пропитки, мм.
Пример пересчета общего поглощения защитного средства приведен в Приложении А (
пример 2).
Таблица 2
Параметры защищенности пилопродукции
толщиной 40 мм и более при консервировании
┌───────┬────────┬─────────┬───────────┬─────────────────┬───────┐
│ Класс │ Способ │Обозна- │ Общее │Глубина пропитки,│Средний│
│условий│пропитки│чение │поглощение,│ не менее, по │ срок │
│службы │по ГОСТ │защитного│ кг/м3 ├────────┬────────┤службы,│
│по ГОСТ│
20022.6 │средства │ │ ЛПЗ │ ТПЗ │ лет │
├───────┼────────┼─────────┼───────────┼────────┼────────┼───────┤
│I - III│ВДВ │ХМФ-БФ │ 1 - 2 │ 5 мм │ 2 мм │45 - 50│
│ │ВДВ │ХМФС │ 1 - 2 │ 5 мм │ 2 мм │45 - 50│
│ │ВДВ │Сенеж │ 5 - 6 │ 5 мм │ 2 мм │45 - 50│
│ │ВДВ │ФБС-255 │ 2 - 2,5 │ 5 мм │ 2 мм │45 - 50│
│ │ВДВ │БС-13 │ 5 - 6 │ 5 мм │ 2 мм │45 - 50│
│ │ВДВ │Аквабор │ 2 - 2,5 │ 5 мм │ 2 мм │45 - 50│
│ │ВДВ │КФА │ 3 - 4 │ 5 мм │ 2 мм │45 - 50│
│ │ВДВ │КФН │ 1,5 - 2 │ 5 мм │ 2 мм │35 - 40│
│ │ВДВ │ФН │ 2 - 3 │ 5 мм │ 2 мм │30 - 35│
│ │ВАДВ │НМ-Л │ 4 - 5 │ 3 мм │ 1 мм │45 - 50│
│ │ВАДВ │ХМББ-1128│ 1,5 - 2 │ 4 мм │ 2 мм │40 - 45│
│ │ВАДВ │ХМФ-БФ │ 1 - 2 │ 4 мм │ 2 мм │40 - 45│
│ │ВАДВ │ХМФС │ 1 - 2 │ 4 мм │ 2 мм │40 - 45│
│ │ВАДВ │Сенеж │ 3 - 4 │ 4 мм │ 2 мм │40 - 45│
│ │ВАДВ │ФБС-255 │ 2 - 2,5 │ 5 мм │ 2 мм │40 - 45│
│ │ВАДВ │БС-13 │ 5 - 6 │ 5 мм │ 2 мм │40 - 45│
│ │ВАДВ │Аквабор │ 2 - 2,5 │ 5 мм │ 2 мм │40 - 45│
│ │ВАДВ │ФН │ 2 - 3 │ 5 мм │ 2 мм │45 - 50│
│ │ВАДВ │КФА │ 3 - 4 │ 5 мм │ 2 мм │45 - 50│
│ │ППВ │ХМББ-1128│ 1,5 - 2 │ 4 мм │ 2 мм │40 - 45│
│ │ППВ │ХМФ-БФ │ 1 - 2 │ 4 мм │ 2 мм │40 - 45│
│ │ППВ │ХМФС │ 1 - 2 │ 4 мм │ 2 мм │40 - 45│
│ │ППВ │Сенеж │ 3 - 4 │ 4 мм │ 2 мм │40 - 45│
│ │ПВ │ФБС-255 │ 2 - 2,5 │ 5 мм │ 2 мм │40 - 45│
│ │ПВ │БС-13 │ 5 - 6 │ 5 мм │ 2 мм │40 - 45│
│ │ПВ │Аквабор │ 2 - 2,5 │ 5 мм │ 2 мм │40 - 45│
│ │ПВ │ФН │ 2 - 3 │ 5 мм │ 2 мм │45 - 50│
│ │ПВ │КФА │ 3 - 4 │ 5 мм │ 2 мм │45 - 50│
│ │В │ХМФ-БФ │ 1 - 2 │ 3 мм │ 1 мм │35 - 40│
│ │ п │ │ │ │ │ │
│ │В │ХМФС │ 1 - 2 │ 3 мм │ 1 мм │35 - 40│
│ │ п │ │ │ │ │ │
│ │В │Сенеж │ 2 - 3 │ 3 мм │ 1 мм │35 - 40│
│ │ п │ │ │ │ │ │
│ │В │ХМББ-1128│ 1 - 2 │ 3 мм │ 1 мм │35 - 40│
│ │ п │ │ │ │ │ │
│ │В │ФБС-255 │ 2 - 2,5 │ 3 мм │ 1 мм │35 - 40│
│ │ п │ │ │ │ │ │
│ │В │БС-13 │ 5 - 6 │ 3 мм │ 1 мм │35 - 40│
│ │ п │ │ │ │ │ │
│ │В │Аквабор │ 2 - 2,5 │ 3 мм │ 1 мм │35 - 40│
│ │ п │ │ │ │ │ │
│ │В │ФН │ 2 - 3 │ 3 мм │ 1 мм │40 - 45│
│ │ п │ │ │ │ │ │
│ │В │КФА │ 3 - 4 │ 3 мм │ 1 мм │40 - 45│
│ │ п │ │ │ │ │ │
│ │В │НМ-Л │ 4 - 5 │ 3 мм │ 1 мм │45 - 50│
│ │ п │ │ │ │ │ │
│ │НП │НМ-Л │ 4 - 5 │ 2 мм │ 1 мм │40 - 45│
│ │ п │ │ │ │ │ │
│ │НОб-ДВ │ББ │ 6 - 8 │Сквозная│ 20 мм │45 - 50│
│ │НП │КФА │ 6 - 8 │ То же │ 20 мм │45 - 50│
│ │ п │ │ │ │ │ │
│ │НП │ФБС-255 │ 1 - 2 │ 3 мм │ 1 мм │25 - 30│
│ │ п │ │ │ │ │ │
│ │НОб │ПАФ │ 3 - 4 │Сквозная│ │25 - 30│
├───────┼────────┼─────────┼───────────┼────────┼────────┼───────┤
│IV - V │ВДВ │ХМББ-1128│ 3 - 4 │ 4 мм │ 2 мм │40 - 45│
│ │ВДВ │ХМФ-БФ │ 1,5 - 2 │ 4 мм │ 2 мм │40 - 45│
│ │ВДВ │ХМФС │ 2 - 3 │ 4 мм │ 2 мм │40 - 45│
│ │ВДВ │Сенеж │ 6 - 8 │ 4 мм │ 2 мм │40 - 45│
│ │ВДВ │ФБС-255 │ 2 - 3 │ 4 мм │ 2 мм │40 - 45│
│ │ВДВ │БС-13 │ 12 - 14 │ 4 мм │ 2 мм │40 - 45│
│ │ВДВ │Аквабор │ 3 - 4 │ 4 мм │ 2 мм │40 - 45│
│ │ВДВ │КФН │ 1,5 - 2,5 │ 4 мм │ 2 мм │25 - 30│
│ │ВДВ │ФН │ 3 - 4 │ 4 мм │ 2 мм │25 - 30│
│ │ВАДВ │ХМББ-1128│ 2 - 3 │ 3 мм │ 2 мм │35 - 40│
│ │ВАДВ │ХМФ-БФ │ 1 - 2 │ 3 мм │ 2 мм │35 - 40│
│ │ВАДВ │ХМФС │ 1,5 - 2,5 │ 3 мм │ 2 мм │35 - 40│
│ │ВАДВ │Сенеж │ 4 - 6 │ 3 мм │ 2 мм │35 - 40│
│ │ВАДВ │ФБС-255 │ 1,5 - 2,5 │ 3 мм │ 2 мм │35 - 40│
│ │ВАДВ │БС-13 │ 8 - 10 │ 3 мм │ 2 мм │35 - 40│
│ │ВАДВ │Аквабор │ 2 - 3 │ 3 мм │ 2 мм │35 - 40│
│ │ВАДВ │НМ-Л │ 3 - 4 │ 4 мм │ 2 мм │35 - 40│
│ │ВАДВ │ФН │ 3 - 4 │ 4 мм │ 2 мм │25 - 30│
│ │ППВ │ХМФ-БФ │ 1 - 2 │ 3 мм │ 2 мм │35 - 40│
│ │ППВ │ХМФС │ 1,5 - 2,5 │ 3 мм │ 2 мм │35 - 40│
│ │ППВ │Сенеж │ 4 - 6 │ 3 мм │ 2 мм │35 - 40│
│ │ППВ │ХМББ-1128│ 2 - 3 │ 3 мм │ 2 мм │35 - 40│
│ │ПВ │ФБС-255 │ 4 - 6 │ 3 мм │ 2 мм │35 - 40│
│ │ПВ │БС-13 │ 8 - 10 │ 3 мм │ 2 мм │35 - 40│
│ │ПВ │Аквабор │ 2 - 3 │ 3 мм │ 2 мм │35 - 40│
│ │В │НМ-Л │ 3 - 4 │ 4 мм │ 2 мм │35 - 40│
│ │ п │ │ │ │ │ │
│ │В │ХМФ-БФ │ 1 - 2 │ 3 мм │ 2 мм │35 - 40│
│ │ п │ │ │ │ │ │
│ │В │ХМФС │ 1 - 2 │ 3 мм │ 1 мм │30 - 35│
│ │ п │ │ │ │ │ │
│ │В │Сенеж │ 3 - 4 │ 3 мм │ 1 мм │30 - 35│
│ │ п │ │ │ │ │ │
│ │В │ХМББ-1128│ 1,5 - 2,5 │ 3 мм │ 1 мм │30 - 35│
│ │ п │ │ │ │ │ │
│ │В │ФБС-255 │ 1 - 2 │ 3 мм │ 1 мм │25 - 30│
│ │ п │ │ │ │ │ │
│ │В │БС-13 │ 6 - 8 │ 3 мм │ 1 мм │25 - 30│
│ │ п │ │ │ │ │ │
│ │В │Аквабор │ 1,5 - 2 │ 3 мм │ 1 мм │25 - 30│
│ │ п │ │ │ │ │ │
│ │НП │НМ-Л │ 4 - 5 │ 2 мм │ 1 мм │35 - 40│
│ │ п │ │ │ │ │ │
│ │НОб-ДВ │ББ │ 8 - 10 │Сквозная│ 20 мм │35 - 40│
│ │НП │КФА │ 8 - 10 │Сквозная│ 20 мм │35 - 40│
│ │ п │ │ │ │ │ │
│ │НП │ФБС-2515 │ 1 - 2 │ 2 мм │ 1 мм │20 - 25│
│ │ п │ │ │ │ │ │
├───────┼────────┼─────────┼───────────┼────────┼────────┼───────┤
│ VII │ВДВ-Н │ХМФ-БФ │ 2 - 3 │Глубины │ - │45 - 50│
│ │ │ │ │ накола │ │ │
│ │ВДВ-Н │ХМФС │ 3 - 4 │ То же │ - │45 - 50│
│ │ВДВ-Н │Сенеж │ 8 - 10 │ " │ - │45 - 50│
│ │ВДВ │ХМФ-БФ │ 1,5 - 2 │ 8 мм │ 2 мм │35 - 40│
│ │ВДВ │ХМФС │ 2 - 3 │ 8 мм │ 2 мм │35 - 40│
│ │ВДВ │Сенеж │ 6 - 8 │ 8 мм │ 2 мм │35 - 40│
│ │ВДВ │ХМББ-3324│ 3 - 4 │ 8 мм │ 2 мм │35 - 40│
│ │ВДВ │ФБС-211 │ 2 - 3 │ 8 мм │ 2 мм │35 - 40│
│ │ВДВ │БС-13 │ 12 - 14 │ 8 мм │ 2 мм │35 - 40│
│ │ВДВ │Аквабор │ 3 - 4 │ 8 мм │ 2 мм │35 - 40│
│ │ВАДВ │ХМФ-БФ │ 1 - 2 │ 4 мм │ 2 мм │30 - 35│
│ │ВАДВ │ХМФС │ 1,5 - 2,5 │ 4 мм │ 2 мм │30 - 35│
│ │ВАДВ │Сенеж │ 4 - 6 │ 4 мм │ 2 мм │30 - 35│
│ │ВАДВ │ХМББ-3324│ 2 - 3 │ 4 мм │ 2 мм │30 - 35│
│ │ВАДВ │ХМББ-1128│ 2 - 3 │ 4 мм │ 2 мм │30 - 35│
│ │ВАДВ │ФБС-211 │ 1,5 - 2,5 │ 4 мм │ 2 мм │30 - 35│
│ │ВАДВ │БС-13 │ 8 - 10 │ 4 мм │ 2 мм │30 - 35│
│ │ВАДВ │Аквабор │ 2 - 3 │ 4 мм │ 2 мм │30 - 35│
│ │ППВ │ХМФ-БФ │ 1 - 2 │ 4 мм │ 2 мм │30 - 35│
│ │ППВ │ХМФС │ 1,5 - 2,5 │ 4 мм │ 2 мм │30 - 35│
│ │ППВ │Сенеж │ 4 - 6 │ 4 мм │ 2 мм │30 - 35│
│ │ППВ │ХМББ-3324│ 2 - 3 │ 4 мм │ 2 мм │30 - 35│
│ │ПВ │ФБС-211 │ 1,5 - 2,5 │ 4 мм │ 2 мм │30 - 35│
│ │ПВ │БС-13 │ 8 - 10 │ 4 мм │ 2 мм │30 - 35│
│ │ПВ │Аквабор │ 2 - 3 │ 4 мм │ 2 мм │30 - 35│
│ │В │НМ-Л │ 3 - 4 │ 4 мм │ 2 мм │30 - 35│
│ │ п │ │ │ │ │ │
│ │В │ХМББ-3324│ 2 - 3 │ 3 мм │ 2 мм │25 - 30│
│ │ п │ │ │ │ │ │
│ │В │ХМФ-БФ │ 1 - 2 │ 3 мм │ 2 мм │25 - 30│
│ │ п │ │ │ │ │ │
│ │В │ХМФС │ 1,5 - 2,5 │ 3 мм │ 2 мм │25 - 30│
│ │ п │ │ │ │ │ │
│ │В │Сенеж │ 4 - 6 │ 3 мм │ 2 мм │25 - 30│
│ │ п │ │ │ │ │ │
│ │В │ФБС-211 │ 1,5 - 2,5 │ 3 мм │ 2 мм │25 - 30│
│ │ п │ │ │ │ │ │
│ │В │БС-13 │ 8 - 10 │ 3 мм │ 2 мм │25 - 30│
│ │ п │ │ │ │ │ │
│ │В │Аквабор │ 2 - 3 │ 3 мм │ 2 мм │25 - 30│
│ │ п │ │ │ │ │ │
│ │НП │НМ-Л │ 3 - 4 │ 2 мм │ 1 мм │25 - 30│
│ │ п │ │ │ │ │ │
├───────┼────────┼─────────┼───────────┼────────┼────────┼───────┤
│ VIII │ВДВ-Н │ХМФ-БФ │ 2 - 3 │Глубины │ - │40 - 45│
│ │ │ │ │ накола │ │ │
│ │ВДВ-Н │ХМФС │ 3 - 4 │ То же │ - │40 - 45│
│ │ВДВ-Н │Сенеж │ 8 - 10 │ " │ - │40 - 45│
│ │ВДВ │ХМФ-БФ │ 2 - 3 │ 8 мм │ 2 мм │30 - 35│
│ │ВДВ │ХМФС │ 3 - 4 │ 8 мм │ 2 мм │30 - 35│
│ │ВДВ │Сенеж │ 8 - 10 │ 8 мм │ 2 мм │30 - 35│
│ │ВДВ │ХМББ-3324│ 4 - 5 │ 8 мм │ 2 мм │30 - 35│
│ │ВДВ │ФБС-211 │ 3 - 4 │ 8 мм │ 2 мм │30 - 35│
│ │ВДВ │БС-13 │ 16 - 18 │ 8 мм │ 2 мм │30 - 35│
│ │ВДВ │Аквабор │ 4 - 5 │ 8 мм │ 2 мм │30 - 35│
│ │ВАДВ │НМ-Л │ 3 - 4 │ 4 мм │ 2 мм │25 - 30│
│ │ВАДВ │ХМФ-БФ │ 1 - 2 │ 5 мм │ 2 мм │25 - 30│
│ │ВАДВ │ХМФС │ 2 - 3 │ 5 мм │ 2 мм │25 - 30│
│ │ВАДВ │Сенеж │ 6 - 8 │ 5 мм │ 2 мм │25 - 30│
│ │ВАДВ │ХМББ-3324│ 2,5 - 3,5 │ 5 мм │ 2 мм │25 - 30│
│ │ВАДВ │ХМББ-1212│ 2,5 - 3,5 │ 5 мм │ 2 мм │25 - 30│
│ │ВАДВ │ФБС-211 │ 2 - 3 │ 5 мм │ 2 мм │25 - 30│
│ │ВАДВ │БС-13 │ 12 - 14 │ 5 мм │ 2 мм │25 - 30│
│ │ВАДВ │Аквабор │ 4 - 5 │ 5 мм │ 2 мм │25 - 30│
│ │ППВ │ХМФ-БФ │ 1 - 2 │ 5 мм │ 2 мм │25 - 30│
│ │ППВ │ХМФС │ 2 - 3 │ 5 мм │ 2 мм │25 - 30│
│ │ППВ │Сенеж │ 6 - 8 │ 5 мм │ 2 мм │25 - 30│
│ │ППВ │ХМББ-3324│ 2,5 - 3,5 │ 5 мм │ 2 мм │25 - 30│
│ │ПВ │ФБС-211 │ 2 - 3 │ 5 мм │ 2 мм │25 - 30│
│ │ПВ │БС-13 │ 12 - 14 │ 5 мм │ 2 мм │25 - 30│
│ │ПВ │Аквабор │ 2,5 - 3,5 │ 5 мм │ 2 мм │25 - 30│
│ │В │ХМФ-БФ │ 1 - 2 │ 3 мм │ 1 мм │20 - 25│
│ │ п │ │ │ │ │ │
│ │В │ХМФС │ 1,5 - 2,5 │ 3 мм │ 1 мм │20 - 25│
│ │ п │ │ │ │ │ │
│ │В │Сенеж │ 5 - 6 │ 3 мм │ 1 мм │20 - 25│
│ │ п │ │ │ │ │ │
│ │В │ХМББ-3324│ 2 - 3 │ 3 мм │ 1 мм │20 - 25│
│ │ п │ │ │ │ │ │
│ │В │ФБС-211 │ 1,5 - 2,5 │ 3 мм │ 1 мм │20 - 25│
│ │ п │ │ │ │ │ │
│ │В │БС-13 │ 10 - 12 │ 3 мм │ 1 мм │20 - 25│
│ │ п │ │ │ │ │ │
│ │В │Аквабор │ 2 - 3 │ 3 мм │ 1 мм │20 - 25│
│ │ п │ │ │ │ │ │
│ │В │НМ-Л │ 3 - 4 │ 4 мм │ 2 мм │25 - 30│
│ │ п │ │ │ │ │ │
│ │НП │НМ-Л │ 3 - 4 │ 2 мм │ 1 мм │20 - 25│
│ │ п │ │ │ │ │ │
├───────┼────────┼─────────┼───────────┼────────┼────────┼───────┤
│ IX │ДДВ-Н │КМ │ 70 - 110 │Глубины │ - │45 - 50│
│ │ │ │ │ накола │ │ │
│ │ДДВ-Н │СМ │ 90 - 130 │ То же │ - │45 - 50│
│ │ДДВ-Н │НМ-М │ 11 - 15 │ " │ - │45 - 50│
│ │ДДВ
<2> │КМ │ 60 - 100 │ 10 мм │ 2 мм │25 - 30│
│ │ДДВ
<2> │СМ │ 65 - 105 │ 10 мм │ 2 мм │25 - 30│
│ │ВДВ-Н │ХМФ-БФ │ 3 - 4 │Глубины │ - │40 - 45│
│ │ │ │ │ накола │ │ │
│ │ВДВ-Н │ХМФС │ 6 - 7 │ То же │ - │40 - 45│
│ │ВДВ-Н │Сенеж │ 15 - 17 │ " │ - │40 - 45│
│ │ВДВ
<2> │ХМФ-БФ │ 2 - 3 │ 8 мм │ 2 мм │35 - 40│
│ │ВДВ │ХМФС │ 4 - 5 │ 8 мм │ 2 мм │35 - 40│
│ │ВДВ │Сенеж │ 10 - 12 │ 8 мм │ 2 мм │35 - 40│
│ │ВДВ │ХМББ-3324│ 5 - 6 │ 8 мм │ 2 мм │35 - 40│
│ │ВАДВ │ХМФ-БФ │ 2 - 3 │ 5 мм │ 2 мм │30 - 35│
│ │ВАДВ │ХМФС │ 4 - 5 │ 5 мм │ 2 мм │30 - 35│
│ │ВАДВ │Сенеж │ 10 - 12 │ 5 мм │ 2 мм │30 - 35│
│ │ВАДВ │ХМББ-3324│ 4 - 5 │ 5 мм │ 2 мм │30 - 35│
│ │ВАДВ │ХМББ-1212│ 4 - 5 │ 5 мм │ 2 мм │30 - 35│
│ │ППВ │ХМФ-БФ │ 2 - 3 │ 5 мм │ 2 мм │30 - 35│
│ │ППВ │ХМФС │ 4 - 5 │ 5 мм │ 2 мм │30 - 35│
│ │ППВ │Сенеж │ 10 - 12 │ 5 мм │ 2 мм │30 - 35│
│ │ППВ │ХМББ-3324│ 4 - 5 │ 5 мм │ 2 мм │30 - 35│
│ │ПВ │НМ-М │ 5 - 6 │ 10 мм │ 2 мм │25 - 30│
│ │П │ХМФ-БФ │ 2 - 3 │ 10 мм │ 5 мм │35 - 40│
│ │ п │ │ │ │ │ │
│ │П │ХМФС │ 4 - 5 │ 10 мм │ 5 мм │35 - 40│
│ │ п │ │ │ │ │ │
│ │П │Сенеж │ 10 - 12 │ 10 мм │ 5 мм │35 - 40│
│ │ п │ │ │ │ │ │
│ │П │ХМББ-3324│ 4 - 6 │ 10 мм │ 5 мм │35 - 40│
│ │ п │ │ │ │ │ │
├───────┼────────┼─────────┼───────────┼────────┼────────┼───────┤
│ X │ДДВ-Н │КМ │ 80 - 120 │Глубины │ - │45 - 50│
│ │ │ │ │ накола │ │ │
│ │ДДВ-Н │НМ-М │ 12 - 16 │ То же │ - │45 - 50│
│ │ДВ-Н │СМ │ 100 - 140 │ " │ - │45 - 50│
│ │ДВ
<2> │КМ │ 70 - 110 │ 10 мм │ 2 мм │20 - 25│
│ │ВДВ-Н │ХМФ-БФ │ 4 - 5 │Глубины │ - │45 - 50│
│ │ │ │ │ накола │ │ │
│ │ВДВ-Н │ХМФС │ 7 - 8 │ То же │ - │45 - 50│
│ │ВДВ-Н │Сенеж │ 18 - 20 │ " │ - │45 - 50│
│ │ВДВ │ХМФ-БФ │ 2 - 3 │ 8 мм │ 2 мм │25 - 30│
│ │ВДВ │ХМФС │ 4 - 5 │ 8 мм │ 2 мм │25 - 30│
│ │ВДВ │Сенеж │ 10 - 12 │ 8 мм │ 2 мм │25 - 30│
│ │ВДВ │ХМББ-3324│ 5 - 6 │ 8 мм │ 2 мм │25 - 30│
│ │ВАДВ │ХМФ-БФ │ 2 - 3 │ 5 мм │ 2 мм │20 - 25│
│ │ВАДВ │ХМФС │ 4 - 5 │ 5 мм │ 2 мм │20 - 25│
│ │ВАДВ │Сенеж │ 10 - 12 │ 5 мм │ 2 мм │20 - 25│
│ │ВАДВ │ХМББ-3324│ 3 - 4 │ 5 мм │ 2 мм │20 - 25│
│ │ВАДВ │ХМББ-1212│ 3 - 4 │ 5 мм │ 2 мм │20 - 25│
│ │ППВ │ХМФ-БФ │ 2 - 3 │ 5 мм │ 2 мм │20 - 25│
│ │ППВ │ХМФС │ 4 - 5 │ 5 мм │ 2 мм │20 - 25│
│ │ППВ │Сенеж │ 10 - 12 │ 5 мм │ 2 мм │20 - 25│
│ │ППВ │ХМББ-3324│ 3 - 4 │ 5 мм │ 2 мм │20 - 25│
│ │ПВ │НМ-М │ 5 - 6 │ 10 мм │ 2 мм │20 - 25│
│ │П │ХМФ-БФ │ 2 - 3 │ 10 мм │ 5 мм │30 - 35│
│ │ п │ │ │ │ │ │
│ │П │ХМФС │ 4 - 5 │ 10 мм │ 5 мм │30 - 35│
│ │ п │ │ │ │ │ │
│ │П │Сенеж │ 10 - 12 │ 10 мм │ 5 мм │30 - 35│
│ │ п │ │ │ │ │ │
│ │П │ХМББ-3324│ 5 - 6 │ 10 мм │ 5 мм │30 - 35│
│ │ п │ │ │ │ │ │
├───────┼────────┼─────────┼───────────┼────────┼────────┼───────┤
│ XIIа │ДДВ-Н │КМ │ 80 - 120 │Глубины │ - │20 - 25│
│
<1> │ │ │ │ накола │ │ │
│ │ДДВ
<3> │КМ │ 70 - 100 │ 85% │ 5 мм │15 - 20│
│ │ДДВ
<3> │СМ │ 75 - 105 │ 85% │ 5 мм │15 - 20│
│ │ДДВ
<4> │КМ │ 50 - 80 │ 85% │ 2 мм │15 - 20│
│ │ДДВ
<4> │СМ │ 55 - 85 │ 85% │ 2 мм │15 - 20│
│ │ДДВ-Н │НМ-М │ 11 - 15 │Глубины │ - │20 - 25│
│ │ │ │ │ накола │ │ │
│ │ДВ-Н │СМ │ 90 - 130 │ То же │ - │20 - 25│
│ │ВДВ-Н │ХМ-11 │ 8 - 10 │ То же │ - │20 - 25│
│ │ВДВ │НМ-М │ 5 - 6 │ 10 мм │ 2 мм │10 - 15│
├───────┼────────┼─────────┼───────────┼────────┼────────┼───────┤
│ XIIб │ВДВ-Н │КМ │ 110 - 115 │Глубины │ - │45 - 50│
│
<1> │ │ │ │ накола │ │ │
│ │ВДВ-Н │СМ │ 120 - 160 │ То же │ - │45 - 50│
│ │ВДВ-Н │НМ-М │ 12 - 16 │ " │ - │40 - 45│
│ │ВДВ-Н │ХМ-11 │ 14 - 16 │ " │ - │40 - 45│
│ │ВДВ-Н │ХМФ-БФ │ 3 - 4 │ " │ - │40 - 45│
│ │ВДВ-Н │ХМФС │ 7 - 8 │ " │ - │40 - 45│
│ │ВДВ-Н │Сенеж │ 16 - 18 │ " │ - │40 - 45│
│введенное в действие Приказом Росстандарта от 29.05.2012 N 93-ст│
│ │ВДВ-Н │ХМ-11 │ 8 - 10 │ " │ - │25 - 30│
│ │ВДВ │ХМФ-БФ │ 3 - 4 │ 8 мм │ 2 мм │20 - 25│
│ │ВДВ │ХМФС │ 5 - 6 │ 8 мм │ 2 мм │20 - 25│
│ │ВДВ │Сенеж │ 14 - 16 │ 8 мм │ 2 мм │20 - 25│
│введенное в действие Приказом Росстандарта от 29.05.2012 N 93-ст│
│ │ВАДВ │ХМ-11 │ 6 - 7 │ 5 мм │ 2 мм │15 - 20│
│ │ВАДВ │ХМК-661 │ 3 - 4 │ 5 мм │ 2 мм │15 - 20│
│ │ВАДВ │ХМФ-221 │ 4 - 6 │ 5 мм │ 2 мм │15 - 20│
│ │ВАДВ │ХМФ-БФ │ 2 - 3 │ 5 мм │ 2 мм │15 - 20│
│ │ВАДВ │ХМФС │ 4 - 5 │ 5 мм │ 2 мм │15 - 20│
│ │ВАДВ │Сенеж │ 12 - 14 │ 5 мм │ 2 мм │15 - 20│
│введенное в действие Приказом Росстандарта от 29.05.2012 N 93-ст│
│ │ППВ │ХМ-11 │ 6 - 7 │ 5 мм │ 2 мм │15 - 20│
│ │ППВ │ХМК-661 │ 3 - 4 │ 5 мм │ 2 мм │15 - 20│
│ │ППВ │ХМФ-221 │ 4 - 6 │ 5 мм │ 2 мм │15 - 20│
│ │ППВ │ХМФ-БФ │ 2 - 3 │ 5 мм │ 2 мм │15 - 20│
│ │ППВ │ХМФС │ 4 - 5 │ 5 мм │ 2 мм │15 - 20│
│ │ППВ │Сенеж │ 12 - 14 │ 5 мм │ 2 мм │15 - 20│
│ │ПВ │НМ-М │ 6 - 7 │ 10 мм │ 2 мм │15 - 20│
│ │П │ХМ-11 │ 7 - 9 │ 10 мм │ 5 мм │20 - 25│
│ │ п │ │ │ │ │ │
│ │П │ХМК-661 │ 4 - 5 │ 10 мм │ 5 мм │20 - 25│
│ │ п │ │ │ │ │ │
│ │П │ХМФ-221 │ 5 - 6 │ 10 мм │ 5 мм │20 - 25│
│ │ п │ │ │ │ │ │
│ │П │ХМФ-БФ │ 2 - 3 │ 10 мм │ 5 мм │20 - 25│
│ │ п │ │ │ │ │ │
│ │П │ХМФС │ 4 - 5 │ 10 мм │ 5 мм │20 - 25│
│ │ п │ │ │ │ │ │
│ │П │Сенеж │ 12 - 14 │ 10 мм │ 5 мм │20 - 25│
│ │ п │ │ │ │ │ │
│ │НОб │ПАФ │ 6 - 7 │Сквозная│Сквозная│10 - 15│
│ │ВДВ-Н │Элемсепт │ 3 - 5 │Глубины │ - │35 - 40│
│ │ │ │ │накола │ │ │
│Росстандарта от 29.05.2012 N 93-ст) │
│ │ВДВ-Н │ХМ-32 │ 8 - 10 │Глубины │ - │30 - 35│
│ │ │ │ │накола │ │ │
│Росстандарта от 29.05.2012 N 93-ст) │
│ │ВДВ │Элемсепт │ 3 - 5 │8 мм │2 мм │20 - 25│
│Росстандарта от 29.05.2012 N 93-ст) │
│ │ВАДВ │ХМ-32 │ 6 - 7 │5 мм │2 мм │20 - 25│
│Росстандарта от 29.05.2012 N 93-ст) │
│ │ВАДВ │Элемсепт │ 2 - 4 │5 мм │2 мм │15 - 20│
│Росстандарта от 29.05.2012 N 93-ст) │
│ │ППВ │ХМ-32 │ 6 - 7 │5 мм │2 мм │20 - 25│
│Росстандарта от 29.05.2012 N 93-ст) │
│ │Пп │ХМ-32 │ 7 - 9 │10 мм │5 мм │20 - 25│
│Росстандарта от 29.05.2012 N 93-ст) │
├───────┼────────┼─────────┼───────────┼────────┼────────┼───────┤
│ XIIIа │ДДВ
<3> │КМ │ 70 - 100 │ 85% │ 5 мм │10 - 15│
│ │ДДВ
<3> │СМ │ 75 - 105 │ 85% │ 5 мм │10 - 15│
│ │ДДВ
<4> │КМ │ 50 - 80 │ - │ 2 мм │10 - 15│
│ │ДДВ
<4> │СМ │ 55 - 85 │ - │ 2 мм │10 - 15│
│ │ДВ-Н │КМ │ 100 - 140 │Глубины │ - │20 - 25│
│ │ │ │ │ накола │ │ │
│ │ДВ-Н │НМ-М │ 6 - 7 │ То же │ - │25 - 30│
│ │ВДВ-Н │СМ │ 110 - 150 │ " │ - │20 - 25│
│ │ВДВ-Н │ХМ-11 │ 10 - 12 │ " │ - │20 - 25│
│введенное в действие Приказом Росстандарта от 29.05.2012 N 93-ст│
│ │ВДВ-Н │Элемсепт │ 8 - 10 │Глубины │ - │20 - 25│
│ │ │ │ │накола │ │ │
│Росстандарта от 29.05.2012 N 93-ст) │
│ │ВДВ-Н │ХМ-32 │10 - 12 │Глубины │ - │25 - 30│
│ │ │ │ │накола │ │ │
│Росстандарта от 29.05.2012 N 93-ст) │
├───────┼────────┼─────────┼───────────┼────────┼────────┼───────┤
│ XIIIб │ВДВ-Н │КМ │ 120 - 160 │Глубины │ - │45 - 50│
│
<1> │ │ │ │ накола │ │ │
│ │ВДВ-Н │СМ │ 130 - 170 │ То же │ - │40 - 45│
│ │ВДВ-Н │НМ-М │ 12 - 16 │ " │ - │35 - 40│
│ │ВДВ-Н │ХМ-11 │ 14 - 16 │ " │ - │35 - 40│
│ │ВДВ-Н │ХМФ-БФ │ 4 - 5 │ " │ - │35 - 40│
│ │ВДВ-Н │ХМФС │ 7 - 8 │ " │ - │35 - 40│
│ │ВДВ-Н │Сенеж │ 16 - 18 │ " │ - │35 - 40│
│введенное в действие Приказом Росстандарта от 29.05.2012 N 93-ст│
│ │П │ХМФ-БФ │ 2 - 3 │ 10 мм │ 5 мм │15 - 20│
│ │ п │ │ │ │ │ │
│ │П │ХМФС │ 4 - 5 │ 10 мм │ 5 мм │15 - 20│
│ │ п │ │ │ │ │ │
│ │П │Сенеж │ 12 - 14 │ 10 мм │ 5 мм │15 - 20│
│ │ п │ │ │ │ │ │
│ │П │ХМК-661 │ 4 - 5 │ 10 мм │ 5 мм │15 - 20│
│ │ п │ │ │ │ │ │
│ │П │ХМФ-221 │ 5 - 6 │ 10 мм │ 5 мм │15 - 20│
│ │ п │ │ │ │ │ │
│ │ВДВ-Н │Элемсепт │ 4 - 5 │Глубины │ - │35 - 40│
│ │ │ │ │накола │ │ │
│Росстандарта от 29.05.2012 N 93-ст) │
│ │ВДВ-Н │ХМ-32 │13 - 15 │Глубины │ - │40 - 45│
│ │ │ │ │накола │ │ │
│Росстандарта от 29.05.2012 N 93-ст) │
├───────┼────────┼─────────┼───────────┼────────┼────────┼───────┤
│ XV │ВДВ-Н │КМ │ 120 - 150 │Глубины │ - │40 - 45│
│ │ │ │ │ накола │ │ │
│ │ВДВ-Н │СМ │ 130 - 170 │ То же │ - │30 - 35│
├───────┼────────┼─────────┼───────────┼────────┼────────┼───────┤
│ XVI │ВДВ-Н │КМ │ 120 - 160 │Глубины │ - │35 - 40│
│ │ │ │ │ накола │ │ │
│ │ВДВ-Н │СМ │ 130 - 170 │ То же │ - │25 - 30│
├───────┼────────┼─────────┼───────────┼────────┼────────┼───────┤
│ XVII │ВДВ-Н │КМ │ 120 - 160 │Глубины │ - │30 - 35│
│ │ │ │ │ накола │ │ │
├───────┼────────┼─────────┼───────────┼────────┼────────┼───────┤
│ XVIII │ВДВ-Н │КМ │ 120 - 160 │Глубины │ - │25 - 30│
│ │ │ │ │ накола │ │ │
├───────┴────────┴─────────┴───────────┴────────┴────────┴───────┤
│ <1> Условные обозначения классов условий службы по ГОСТ│
│
XIIа,
XIIIа - пилопродукция с механическим разрушением в│
│службе; │
│
XIIб,
XIIIб - то же, без механического разрушения в службе.│
│ <3> Для пилопродукции из древесины сосны, кедра, березы и│
│бука. │
│ <4> Для пилопродукции из древесины остальных пород по ГОСТ│
└────────────────────────────────────────────────────────────────┘
6.2. Для
XII -
XIII классов службы допускается применение древесины 2-й - 3-й групп пропитываемости. Для получения указанных параметров пропитки пилопродукцию необходимо накалывать в соответствии с требованиями
ГОСТ 20022.3.
7. Параметры защищенности пилопродукции
толщиной до 40 мм при консервировании
7.1. Общее поглощение защитных средств в
таблице 3 указано для пилопродукции сечением 22 x 110 мм. Для пилопродукции с другим сечением общее поглощение следует рассчитывать по
формуле, указанной в 6.1.
Пример пересчета общего поглощения защитного средства приведен в Приложении А (
пример 3).
7.2. Среднетоннажные контейнеры, деревянные полы которых пропитаны препаратом ХМББ-1212 с общим поглощением не более 3 кг/м3, допускается использовать для перевозки пищевых продуктов в первичной упаковке.
Таблица 3
Параметры защищенности пилопродукции
толщиной до 40 мм при консервировании
┌───────┬───────┬──────┬───────┬─────────┬───────┬─────────────┬───────┐
│Класс │Группа │Детали│Способ │Обозначе-│Общее │ Глубина │Средний│
│условий│пропи- │и кон-│пропит-│ние │погло- │ пропитки, │ срок │
│службы │тывае- │струк-│ки по │защитного│щение, │ не менее, │службы,│
│по ГОСТ│мости │ции по│ГОСТ │средства │кг/м3 │ по │ лет │
│ │
20022.2│теру │ │ │ │ ЛПЗ │ ТПЗ │ │
│ │ │работы│ │ │ │ │ │ │
├───────┼───────┼──────┼───────┼─────────┼───────┼──────┼──────┼───────┤
│I - II │ 1 │Несу- │ВДВ │КФН │1,5 - 2│ 5 мм │ - │30 - 35│
│ │ │щие и │ВДВ │ФН │ 2 - 3 │ 5 мм │ │40 - 45│
│ │ │нене- │ВДВ │КФА │ 3 - 4 │ 5 мм │ │40 - 45│
│ │ │сущие │ВДВ │ХМФ-БФ │ 1 - 2 │ 5 мм │ │45 - 50│
│ │ │ │ВДВ │ХМФС │1,5 - │ 5 мм │ │45 - 50│
│ │ │ │ │ │ 2,5│ │ │ │
│ │ │ │ВДВ │Сенеж │ 4 - 6 │ 5 мм │ │45 - 50│
│ │ │ │ВДВ │ФБС-2115 │1,5 - │ 5 мм │ │40 - 45│
│ │ │ │ │ │ 2,5│ │ │ │
│ │ │ │ВДВ │БС-13 │ 8 - 10│ 5 мм │ │40 - 45│
│ │ │ │ВДВ │Аквабор │ 2 - 3 │ 5 мм │ │40 - 45│
│ │ │ │ВАДВ │ФН │ 2 - 3 │ 5 мм │ │40 - 45│
│ │ │ │ВАДВ │КФА │ 3 - 4 │ 5 мм │ │40 - 45│
│ │ │ │ВАДВ │НМ-Л │ 4 - 5 │ 5 мм │ │45 - 50│
│ │ │ │ВАДВ │ХМББ-1128│ 2 - 3 │ 4 мм │ │40 - 45│
│ │ │ │ВАДВ │ХМФ-БФ │ 1 - 2 │ 4 мм │ │40 - 45│
│ │ │ │ВАДВ │ХМФС │1,5 - │ 4 мм │ │40 - 45│
│ │ │ │ │ │ 2,5│ │ │ │
│ │ │ │ВАДВ │Сенеж │ 4 - 6 │ 4 мм │ │40 - 45│
│ │ │ │ВАДВ │ФБС-2115 │ 1 - 2 │ 5 мм │ │40 - 45│
│ │ │ │ВАДВ │БС-13 │ 8 - 10│ 5 мм │ │40 - 45│
│ │ │ │ВАДВ │Аквабор │ 2 - 3 │ 5 мм │ │40 - 45│
│ │ │ │ППВ │ФН │ 2 - 3 │ 5 мм │ │40 - 45│
│ │ │ │ППВ │КФА │ 3 - 4 │ 5 мм │ │40 - 45│
│ │ │ │ППВ │ХМББ-1128│ 2 - 3 │ 4 мм │ │40 - 45│
│ │ │ │ППВ │ХМФ-БФ │ 1 - 2 │ 4 мм │ │40 - 45│
│ │ │ │ППВ │ХМФС │1,5 - │ 4 мм │ │40 - 45│
│ │ │ │ │ │ 2,5│ │ │ │
│ │ │ │ППВ │Сенеж │ 4 - 6 │ 4 мм │ │40 - 45│
│ │ │ │ПВ │ФБС-2115 │1,5 - │ 4 мм │ │40 - 45│
│ │ │ │ │ │ 2,5│ │ │ │
│ │ │ │ПВ │БС-13 │ 8 - 10│ 4 мм │ │40 - 45│
│ │ │ │ПВ │Аквабор │ 2 - 3 │ 4 мм │ │40 - 45│
│ │ │ │В │ФН │ 2 - 3 │ 3 мм │ │35 - 40│
│ │ │ │ п │ │ │ │ │ │
│ │ │ │В │КФА │ 2 - 3 │ 3 мм │ │35 - 40│
│ │ │ │ п │ │ │ │ │ │
│ │ │ │В │ХМББ-1128│ 1 - 2 │ 2 мм │ │30 - 35│
│ │ │ │ п │ │ │ │ │ │
│ │ │ │В │ХМФ-БФ │0,5 - 1│ 2 мм │ │35 - 40│
│ │ │ │ п │ │ │ │ │ │
│ │ │ │В │ХМФС │ 1 - 2 │ 2 мм │ │35 - 40│
│ │ │ │ п │ │ │ │ │ │
│ │ │ │В │Сенеж │ 2 - 4 │ 2 мм │ │35 - 40│
│ │ │ │ п │ │ │ │ │ │
│ │ │ │В │ФБС-2115 │ 1 - 2 │ 3 мм │ │35 - 40│
│ │ │ │ п │ │ │ │ │ │
│ │ │ │В │БС-13 │ 6 - 8 │ 3 мм │ │35 - 40│
│ │ │ │ п │ │ │ │ │ │
│ │ │ │В │Аквабор │ 1 - 2 │ 3 мм │ │35 - 40│
│ │ │ │ п │ │ │ │ │ │
│ │ │ │НП │НМ-Л │ 3 - 4 │ 2 мм │ │40 - 45│
│ │ │ │ п │ │ │ │ │ │
│ │ │ │НОб-ДВ │ББ │ 7 - 9 │Сквоз-│ │45 - 50│
│ │ │ │ │ │ │ная │ │ │
│ │ │ │НОб │ПАФ │ 3 - 4 │То же │ │20 - 25│
│ │ │ │НП │КФА │ 6 - 8 │ " │ │45 - 50│
│ │ │ │ п │ │ │ │ │ │
│ ├───────┼──────┼───────┼─────────┼───────┼──────┼──────┼───────┤
│ │ 2 - 3 │Несу- │ВДВ │КФН │1,5 - │ - │ 2 мм │30 - 35│
│ │ │щие и │ │ │ 2,0│ │ │ │
│ │ │нене- │ВДВ │ФН │ 2 - 3 │ │ 2 мм │35 - 40│
│ │ │сущие │ВДВ │КФА │2,5 - │ │ 2 мм │35 - 40│
│ │ │ │ │ │ 3,5│ │ │ │
│ │ │ │ВДВ │ХМФ-БФ │ 1 - 2 │ │ 2 мм │40 - 45│
│ │ │ │ВДВ │ХМФС │1,5 - │ │ 2 мм │40 - 45│
│ │ │ │ │ │ 2,5│ │ │ │
│ │ │ │ВДВ │Сенеж │ 4 - 6 │ │ 2 мм │40 - 45│
│ │ │ │ВДВ │ФБС-2115 │1,5 - │ │ 2 мм │35 - 40│
│ │ │ │ │ │ 2,5│ │ │ │
│ │ │ │ВДВ │БС-13 │ 8 - 10│ │ 2 мм │35 - 40│
│ │ │ │ВДВ │Аквабор │ 2 - 3 │ │ 2 мм │35 - 40│
│ │ │ │ВАДВ │ФН │ 2 - 3 │ │ 2 мм │35 - 40│
│ │ │ │ВАДВ │КФА │2,5 - │ │ 2 мм │35 - 40│
│ │ │ │ │ │ 3,5│ │ │ │
│ │ │ │ВАДВ │НМ-Л │ 3 - 4 │ │ 2 мм │40 - 45│
│ │ │ │ВАДВ │ХМББ-1128│2 - 2,5│ │ 2 мм │35 - 40│
│ │ │ │ВАДВ │ХМФ-БФ │ 1 - 2 │ │ 2 мм │40 - 45│
│ │ │ │ВАДВ │ХМФС │ 1 - 2 │ │ 2 мм │35 - 40│
│ │ │ │ВАДВ │Сенеж │ 4 - 6 │ │ 2 мм │40 - 45│
│ │ │ │ВАДВ │ФБС-2115 │1,5 - │ │ 2 мм │35 - 40│
│ │ │ │ │ │ 2,5│ │ │ │
│ │ │ │ВАДВ │БС-13 │ 8 - 10│ │ 2 мм │35 - 40│
│ │ │ │ВАДВ │Аквабор │ 2 - 3 │ │ 2 мм │35 - 40│
│ │ │ │ППВ │ХМББ-1128│2 - 2,5│ │ 2 мм │35 - 40│
│ │ │ │ППВ │ХМФ-БФ │ 1 - 2 │ │ 2 мм │40 - 45│
│ │ │ │ППВ │ХМФС │ 1 - 2 │ │ 2 мм │35 - 40│
│ │ │ │ППВ │Сенеж │ 4 - 6 │ │ 2 мм │40 - 45│
│ │ │ │ПВ │ФБС-2115 │1,5 - │ │ 2 мм │35 - 40│
│ │ │ │ │ │ 2,5│ │ │ │
│ │ │ │ПВ │БС-13 │ 8 - 10│ │ 2 мм │35 - 40│
│ │ │ │ПВ │Аквабор │ 2 - 3 │ │ 2 мм │35 - 40│
│ │ │ │ПВ │ФН │ 2 - 3 │ │ 2 мм │35 - 40│
│ │ │ │ПВ │КФА │2,5 - │ │ 2 мм │35 - 40│
│ │ │ │ │ │ 3,5│ │ │ │
│ │ │ │В │ХМББ-1128│ 1 - 2 │ │ 2 мм │30 - 35│
│ │ │ │ п │ │ │ │ │ │
│ │ │ │В │ХМФ-БФ │0,5 - 1│ │ 1 мм │35 - 40│
│ │ │ │ п │ │ │ │ │ │
│ │ │ │В │ХМФС │ 1 - 2 │ │ 1 мм │30 - 35│
│ │ │ │ п │ │ │ │ │ │
│ │ │ │В │Сенеж │ 2 - 4 │ │ 1 мм │30 - 35│
│ │ │ │ п │ │ │ │ │ │
│ │ │ │В │ФБС-2115 │ 1 - 2 │ │ 1 мм │30 - 35│
│ │ │ │ п │ │ │ │ │ │
│ │ │ │В │БС-13 │ 4 - 6 │ │ 1 мм │30 - 35│
│ │ │ │ п │ │ │ │ │ │
│ │ │ │В │Аквабор │ 1 - 2 │ │ 1 мм │30 - 35│
│ │ │ │ п │ │ │ │ │ │
│ │ │ │НП │НМ-Л │2,5 - │ │ 2 мм │35 - 40│
│ │ │ │ п │ │ 3,5│ │ │ │
│ │ │ │НОб-ДВ │ББ │ 7 - 8 │ │Сквоз-│45 - 50│
│ │ │ │ │ │ │ │ная │ │
│ │ │ │НП │КФА │ 6 - 8 │ │То же │45 - 50│
│ │ │ │ п │ │ │ │ │ │
│ │ │ │НОб │ПАФ │ 3 - 4 │ │ " │20 - 25│
├───────┼───────┼──────┼───────┼─────────┼───────┼──────┼──────┼───────┤
│ III │ 1 │Несу- │ВДВ │КФН │1,5 - │ 8 мм │ - │30 - 35│
│ │ │щие │ │ │ 2,5│ │ │ │
│ │ │ │ВДВ │ФН │ 4 - 5 │ 8 мм │ │35 - 40│
│ │ │ │ВДВ │ХМФ-БФ │ 1 - 2 │ 6 мм │ │45 - 50│
│ │ │ │ВДВ │ХМФС │ 2 - 3 │ 6 мм │ │45 - 50│
│ │ │ │ВДВ │Сенеж │ 5 - 7 │ 6 мм │ │45 - 50│
│ │ │ │ВДВ │ФБС-255 │ 2 - 3 │ 8 мм │ │40 - 45│
│ │ │ │ВДВ │БС-13 │10 - 12│ 8 мм │ │40 - 45│
│ │ │ │ВДВ │Аквабор │2,5 - │ 8 мм │ │40 - 45│
│ │ │ │ │ │ 3,5│ │ │ │
│ │ │ │ВАДВ │ФН │ 3 - 4 │ 5 мм │ │25 - 30│
│ │ │ │ВАДВ │КФА │ 4 - 5 │ 5 мм │ │25 - 30│
│ │ │ │ВАДВ │НМ-Л │ 4 - 5 │ 5 мм │ │40 - 45│
│ │ │ │ВАДВ │ХМББ-1128│2,5 - │ 5 мм │ │40 - 45│
│ │ │ │ │ │ 3,5│ │ │ │
│ │ │ │ВАДВ │ХМФ-БФ │ 1 - 2 │ 5 мм │ │40 - 45│
│ │ │ │ВАДВ │ХМФС │ 2 - 3 │ 5 мм │ │40 - 45│
│ │ │ │ВАДВ │Сенеж │ 5 - 7 │ 5 мм │ │40 - 45│
│ │ │ │ВАДВ │ФБС-255 │ 2 - 3 │ 5 мм │ │40 - 45│
│ │ │ │ВАДВ │БС-13 │10 - 12│ 5 мм │ │35 - 40│
│ │ │ │ВАДВ │Аквабор │2,5 - │ 5 мм │ │35 - 40│
│ │ │ │ │ │ 3,5│ │ │ │
│ │ │ │ППВ │ХМББ-1128│ 2 - 3 │ 5 мм │ │35 - 40│
│ │ │ │ППВ │ХМФ-БФ │ 1 - 2 │ 5 мм │ │40 - 45│
│ │ │ │ППВ │ХМФС │ 2 - 3 │ 5 мм │ │40 - 45│
│ │ │ │ППВ │Сенеж │ 5 - 7 │ 5 мм │ │40 - 45│
│ │ │ │ПВ │ФБС-255 │ 2 - 3 │ 5 мм │ │40 - 45│
│ │ │ │ПВ │БС-13 │10 - 12│ 5 мм │ │35 - 40│
│ │ │ │ПВ │Аквабор │2,5 - │ 5 мм │ │35 - 40│
│ │ │ │ │ │ 3,5│ │ │ │
│ │ │ │ПВ │ФН │ 3 - 4 │ 5 мм │ │25 - 30│
│ │ │ │ПВ │КФА │ 4 - 5 │ 5 мм │ │25 - 30│
│ │ │ │В │ФН │ 2 - 3 │ 3 мм │ │20 - 25│
│ │ │ │ п │ │ │ │ │ │
│ │ │ │В │КФА │ 2 - 3 │ 3 мм │ │20 - 25│
│ │ │ │ п │ │ │ │ │ │
│ │ │ │В │НМ-Л │ 4 - 5 │ 3 мм │ │40 - 45│
│ │ │ │ п │ │ │ │ │ │
│ │ │ │В │ХМББ-1128│ 2 - 3 │ 3 мм │ │35 - 40│
│ │ │ │ п │ │ │ │ │ │
│ │ │ │В │ХМФ-БФ │0,5 - 1│ 3 мм │ │35 - 40│
│ │ │ │ п │ │ │ │ │ │
│ │ │ │В │ХМФС │ 1 - 2 │ 3 мм │ │35 - 40│
│ │ │ │ п │ │ │ │ │ │
│ │ │ │В │Сенеж │ 4 - 6 │ 3 мм │ │35 - 40│
│ │ │ │ п │ │ │ │ │ │
│ │ │ │В │ФБС-255 │ 1 - 2 │ 3 мм │ │30 - 35│
│ │ │ │ п │ │ │ │ │ │
│ │ │ │В │БС-13 │ 8 - 10│ 3 мм │ │30 - 35│
│ │ │ │ п │ │ │ │ │ │
│ │ │ │В │Аквабор │ 1 - 2 │ 3 мм │ │30 - 35│
│ │ │ │ п │ │ │ │ │ │
│ │ │ │НП │НМ-Л │ 4 - 5 │ 2 мм │ │35 - 40│
│ │ │ │ п │ │ │ │ │ │
│ │ │ │НОб-ДВ │ББ │ 9 - 11│Сквоз-│ │45 - 50│
│ │ │ │ │ │ │ная │ │ │
│ │ │ │ВДВ │КФН │1,5 - 2│ 5 мм │ │35 - 40│
│ │ │ │ВДВ │ФН │ 2 - 3 │ 5 мм │ │35 - 40│
│ │ │ │ВДВ │КФА │ 3 - 4 │ 5 мм │ │35 - 40│
│ │ │ │ВДВ │ХМФ-БФ │ 1 - 2 │ 5 мм │ │45 - 50│
│ │ │ │ВДВ │ХМФС │1,5 - 2│ 5 мм │ │45 - 50│
├───────┼───────┼──────┼───────┼─────────┼───────┼──────┼──────┼───────┤
│ III │ 1 │Нене- │ВДВ │Сенеж │ 4 - 6 │ 5 мм │ - │45 - 40│
│ │ │сущие │ВДВ │ФБС-255 │1,5 - 2│ 5 мм │ │40 - 45│
│ │ │ │ВДВ │БС-13 │ 8 - 10│ 5 мм │ │40 - 45│
│ │ │ │ВДВ │Аквабор │ 2 - 3 │ 5 мм │ │40 - 45│
│ │ │ │ВАДВ │ФН │ 2 - 3 │ 5 мм │ │35 - 40│
│ │ │ │ВАДВ │КФА │ 3 - 4 │ 5 мм │ │35 - 40│
│ │ │ │ВАДВ │НМ-Л │ 4 - 5 │ 5 мм │ │45 - 50│
│ │ │ │ВАДВ │ХМББ-1128│ 2 - 3 │ 4 мм │ │40 - 45│
│ │ │ │ВАДВ │ХМФ-БФ │ 1 - 2 │ 4 мм │ │40 - 45│
│ │ │ │ВАДВ │ХМФС │1 - 1,5│ 4 мм │ │40 - 45│
│ │ │ │ВАДВ │Сенеж │ 3 - 5 │ 4 мм │ │40 - 45│
│ │ │ │ВАДВ │ФБС-255 │1 - 1,5│ 5 мм │ │40 - 45│
│ │ │ │ВАДВ │БС-13 │ 6 - 8 │ 5 мм │ │35 - 40│
│ │ │ │ВАДВ │Аквабор │1,5 - 2│ 5 мм │ │35 - 40│
│ │ │ │ППВ │ХМББ-1128│ 2 - 3 │ 4 мм │ │35 - 40│
│ │ │ │ППВ │ХМФ-БФ │ 1 - 2 │ 4 мм │ │40 - 45│
│ │ │ │ППВ │ХМФС │1 - 1,5│ 4 мм │ │40 - 45│
│ │ │ │ППВ │Сенеж │ 4 - 6 │ 4 мм │ │40 - 45│
│ │ │ │ПВ │ФБС-255 │1 - 1,5│ 5 мм │ │40 - 45│
│ │ │ │ПВ │БС-13 │ 6 - 8 │ 5 мм │ │35 - 40│
│ │ │ │ПВ │Аквабор │1,5 - 2│ 5 мм │ │35 - 40│
│ │ │ │ПВ │ФН │ 2 - 3 │ 5 мм │ │35 - 40│
│ │ │ │ПВ │КФА │ 3 - 4 │ 5 мм │ │35 - 40│
│ │ │ │В │ФН │ 2 - 3 │ 3 мм │ │35 - 40│
│ │ │ │ п │ │ │ │ │ │
│ │ │ │В │КФА │ 2 - 3 │ 3 мм │ │30 - 35│
│ │ │ │ п │ │ │ │ │ │
│ │ │ │В │НМ-Л │ 3 - 4 │ 5 мм │ │30 - 35│
│ │ │ │ п │ │ │ │ │ │
│ │ │ │В │ХМББ-1128│ 2 - 3 │ 2 мм │ │35 - 40│
│ │ │ │ п │ │ │ │ │ │
│ ├───────┼──────┼───────┼─────────┼───────┼──────┼──────┼───────┤
│ │ 2 - 3 │Несу- │ВДВ │КФН │1,5 - 2│ - │ 2 мм │30 - 35│
│ │ │щие │ВДВ │ФН │ 3 - 4 │ │ 2 мм │30 - 35│
│ │ │ │ВДВ │ХМФ-БФ │ 1 - 2 │ │ 2 мм │40 - 45│
│ │ │ │ВДВ │ХМФС │2 - 2,5│ │ 2 мм │40 - 45│
│ │ │ │ВДВ │Сенеж │ 6 - 8 │ │ 2 мм │40 - 45│
│ │ │ │ВДВ │ФБС-255 │2 - 2,5│ │ 2 мм │35 - 40│
│ │ │ │ВДВ │БС-13 │9 - 11 │ │ 2 мм │35 - 40│
│ │ │ │ВДВ │Аквабор │ 2 - 3 │ │ 2 мм │35 - 40│
│ │ │ │ВАДВ │ФН │2,5 - │ │ 2 мм │20 - 25│
│ │ │ │ │ │ 3,5│ │ │ │
│ │ │ │ВАДВ │КФА │ 4 - 5 │ │ 2 мм │20 - 25│
│ │ │ │ВАДВ │НМ-Л │ 3 - 4 │ │ 2 мм │35 - 40│
│ │ │ │ВАДВ │ХМББ-1128│ 2 - 3 │ │ 2 мм │35 - 40│
│ │ │ │ВАДВ │ХМФ-БФ │ 1 - 2 │ │ 2 мм │35 - 40│
│ │ │ │ВАДВ │ХМФС │1,5 - 2│ │ 2 мм │35 - 40│
│ │ │ │ВАДВ │Сенеж │ 5 - 7 │ │ 2 мм │35 - 40│
│ │ │ │ВАДВ │ФБС-255 │1,5 - 2│ │ 2 мм │30 - 35│
│ │ │ │ВАДВ │БС-13 │ 8 - 10│ │ 2 мм │30 - 35│
│ │ │ │ВАДВ │Аквабор │1,5 - │ │ 2 мм │30 - 35│
│ │ │ │ │ │ 2,5│ │ │ │
│ │ │ │ППВ │ХМББ-1128│ 2 - 3 │ │ 2 мм │35 - 40│
│ │ │ │ППВ │ХМФ-БФ │ 1 - 2 │ │ 2 мм │35 - 40│
│ │ │ │ППВ │Сенеж │ 5 - 7 │ │ 2 мм │35 - 40│
│ │ │ │ППВ │ФБС-255 │1,5 - │ │ 2 мм │35 - 40│
│ │ │ │ │ │ 2,5│ │ │ │
│ │ │ │ППВ │БС-13 │ 8 - 10│ │ 2 мм │30 - 35│
│ │ │ │ППВ │Аквабор │1,5 - 2│ │ 2 мм │30 - 35│
│ │ │ │ПВ │ФН │2,5 - │ │ 2 мм │20 - 25│
│ │ │ │ │ │ 3,5│ │ │ │
│ │ │ │ПВ │КФА │ 4 - 5 │ │ 2 мм │20 - 25│
│ │ │ │В │ФН │ 2 - 3 │ │ 2 мм │20 - 25│
│ │ │ │ п │ │ │ │ │ │
│ │ │ │В │КФА │ 2 - 3 │ │ 2 мм │20 - 25│
│ │ │ │ п │ │ │ │ │ │
│ │ │ │В │НМ-Л │ 3 - 4 │ │ 1 мм │30 - 35│
│ │ │ │ п │ │ │ │ │ │
│ │ │ │В │ХМФ-БФ │0,5 - 1│ │ 1 мм │30 - 35│
│ │ │ │ п │ │ │ │ │ │
│ │ │ │В │ХМФС │1,5 - 2│ │ 1 мм │30 - 35│
│ │ │ │ п │ │ │ │ │ │
│ │ │ │В │Сенеж │ 4 - 6 │ │ 1 мм │30 - 35│
│ │ │ │ п │ │ │ │ │ │
│ │ │ │В │ФБС-255 │1 - 1,5│ │ 2 мм │25 - 30│
│ │ │ │ п │ │ │ │ │ │
│ │ │ │В │БС-13 │ 6 - 8 │ │ 2 мм │25 - 30│
│ │ │ │ п │ │ │ │ │ │
│ │ │ │В │Аквабор │ 1 - 2 │ │ 2 мм │25 - 30│
│ │ │ │ п │ │ │ │ │ │
│ │ │ │НП │НМ-Л │ 3 - 4 │ │ 1 мм │30 - 35│
│ │ │ │ п │ │ │ │ │ │
│ │ │ │НОб-ДВ │ББ │ 8 - 10│ │Сквоз-│45 - 50│
│ │ │ │ │ │ │ │ная │ │
│ │ │ │НП │КФА │ 8 - 10│ │То же │45 - 50│
│ │ │ │ п │ │ │ │ │ │
│ │ │ │НОб │ПАФ │ 5 - 6 │ │ " │20 - 25│
│ │ ├──────┼───────┼─────────┼───────┼──────┼──────┼───────┤
│ │ │Нене- │ВДВ │КФН │1,5 - 2│ - │ 2 мм │35 - 40│
│ │ │сущие │ВДВ │ФН │ 2 - 3 │ │ 2 мм │35 - 40│
│ │ │ │ВДВ │КФА │ 3 - 4 │ │ 2 мм │35 - 40│
│ │ │ │ВДВ │ХМФ-БФ │0,5 - 1│ │ 2 мм │40 - 45│
│ │ │ │ВДВ │ХМФС │ 1 - 2 │ │ 2 мм │40 - 45│
│ │ │ │ВДВ │Сенеж │ 4 - 6 │ │ 2 мм │40 - 45│
│ │ │ │ВДВ │ФБС-255 │ 1 - 2 │ │ 2 мм │35 - 40│
│ │ │ │ВДВ │БС-13 │ 6 - 8 │ │ 2 мм │35 - 40│
│ │ │ │ВДВ │Аквабор │1,5 - 2│ │ 2 мм │35 - 40│
│ │ │ │ВАДВ │ФН │ 2 - 3 │ │ 2 мм │30 - 35│
│ │ │ │ВАДВ │КФА │ 3 - 4 │ │ 2 мм │30 - 35│
│ │ │ │ВАДВ │НМ-Л │ 3 - 4 │ │ 2 мм │40 - 45│
│ │ │ │ВАДВ │ХМББ-1128│ 2 - 3 │ │ 2 мм │35 - 40│
│ │ │ │ВАДВ │ХМФ-БФ │0,5 - 1│ │ 2 мм │35 - 40│
│ │ │ │ВАДВ │ХМФС │1 - 1,5│ │ 2 мм │35 - 40│
│ │ │ │ВАДВ │Сенеж │ 3 - 5 │ │ 2 мм │35 - 40│
│ │ │ │ВАДВ │ФБС-255 │1 - 1,5│ │ 2 мм │30 - 35│
│ │ │ │ВАДВ │БС-13 │ 6 - 8 │ │ 2 мм │30 - 35│
│ │ │ │ВАДВ │Аквабор │ 1 - 2 │ │ 2 мм │30 - 35│
│ │ │ │ППВ │ХМББ-1128│ 2 - 3 │ │ 2 мм │40 - 45│
│ │ │ │ППВ │ХМФС │1 - 1,5│ │ 2 мм │35 - 40│
│ │ │ │ППВ │ХМФ-БФ │0,5 - 1│ │ 2 мм │35 - 40│
│ │ │ │ППВ │Сенеж │ 3 - 5 │ │ 2 мм │35 - 40│
│ │ │ │ППВ │ФБС-255 │1 - 1,5│ │ 2 мм │30 - 35│
│ │ │ │ПВ │БС-13 │ 6 - 8 │ │ 2 мм │30 - 35│
│ │ │ │ПВ │Аквабор │ 1 - 2 │ │ 2 мм │30 - 35│
│ │ │ │ПВ │ФН │ 2 - 3 │ │ 2 мм │30 - 35│
│ │ │ │ПВ │КФА │ 3 - 4 │ │ 2 мм │30 - 35│
│ │ │ │В │ФН │ 2 - 3 │ │ 1 мм │25 - 30│
│ │ │ │ п │ │ │ │ │ │
│ │ │ │В │КФА │ 2 - 3 │ │ 1 мм │25 - 30│
│ │ │ │ п │ │ │ │ │ │
│ │ │ │В │НМ-Л │ 3 - 4 │ │ 2 мм │40 - 45│
│ │ │ │ п │ │ │ │ │ │
│ │ │ │В │ХМФ-БФ │0,5 - 1│ │ 1 мм │30 - 35│
│ │ │ │ п │ │ │ │ │ │
│ │ │ │В │ХМФС │1 - 1,5│ │ 1 мм │30 - 35│
│ │ │ │ п │ │ │ │ │ │
│ │ │ │В │Сенеж │ 3 - 4 │ │ 1 мм │30 - 35│
│ │ │ │ п │ │ │ │ │ │
│ │ │ │В │ФБС-255 │1 - 1,5│ │ 1 мм │25 - 30│
│ │ │ │ п │ │ │ │ │ │
│ │ │ │В │БС-13 │ 5 - 6 │ │ 1 мм │25 - 30│
│ │ │ │ п │ │ │ │ │ │
│ │ │ │В │Аквабор │1 - 1,5│ │ 1 мм │25 - 30│
│ │ │ │ п │ │ │ │ │ │
│ │ │ │НП │НМ-Л │2,5 - │ │ 2 мм │35 - 40│
│ │ │ │ п │ │ 3,5│ │ │ │
│ │ │ │НОб-ДВ │ББ │ 7 - 9 │ │Сквоз-│45 - 50│
│ │ │ │ │ │ │ │ная │ │
│ │ │ │НП │КФА │ 6 - 8 │ │То же │45 - 50│
│ │ │ │ п │ │ │ │ │ │
│ │ │ │НОб │ПАФ │ 5 - 6 │ │ " │25 - 30│
├───────┼───────┼──────┼───────┼─────────┼───────┼──────┼──────┼───────┤
│ IV │ 1 │Несу- │ВДВ │КФН │1,5 - 2│ 8 мм │ - │30 - 35│
│ │ │щие │ВДВ │ФН │ 4 - 5 │ 8 мм │ │30 - 35│
│ │ │ │ВДВ │ХМББ-1128│ 4 - 5 │ 6 мм │ │40 - 45│
│ │ │ │ВДВ │ХМФ-БФ │1,5 - 2│ 6 мм │ │40 - 45│
│ │ │ │ВДВ │ХМФС │ 3 - 4 │ 6 мм │ │40 - 45│
│ │ │ │ВДВ │Сенеж │ 8 - 10│ 6 мм │ │40 - 45│
│ │ │ │ВДВ │ФБС-255 │ 3 - 4 │ 8 мм │ │40 - 45│
│ │ │ │ВДВ │БС-13 │16 - 20│ 8 мм │ │40 - 45│
│ │ │ │ВДВ │Аквабор │ 4 - 5 │ 8 мм │ │40 - 45│
│ │ │ │ВАДВ │ФН │ 3 - 4 │ 5 мм │ │20 - 25│
│ │ │ │ВАДВ │НМ-Л │ 4 - 5 │ 5 мм │ │40 - 45│
│ │ │ │ВАДВ │ХМББ-1128│ 3 - 4 │ 5 мм │ │35 - 40│
│ │ │ │ВАДВ │ХМФ-БФ │ 1 - 2 │ 5 мм │ │35 - 40│
│ │ │ │ВАДВ │ХМФС │ 2 - 3 │ 5 мм │ │35 - 40│
│ │ │ │ВАДВ │Сенеж │ 8 - 10│ 5 мм │ │35 - 40│
│ │ │ │ВАДВ │ФБС-255 │ 2 - 3 │ 5 мм │ │35 - 40│
│ │ │ │ВАДВ │БС-13 │12 - 14│ 5 мм │ │35 - 40│
│ │ │ │ВАДВ │Аквабор │ 3 - 4 │ 5 мм │ │35 - 40│
│ │ │ │ППВ │ХМББ-1128│ 3 - 4 │ 5 мм │ │35 - 40│
│ │ │ │ППВ │ХМФ-БФ │ 1 - 2 │ 5 мм │ │35 - 40│
│ │ │ │ППВ │ХМФС │ 2 - 3 │ 5 мм │ │35 - 40│
│ │ │ │ППВ │Сенеж │ 6 - 8 │ 5 мм │ │35 - 40│
│ │ │ │ПВ │ФБС-255 │ 2 - 3 │ 5 мм │ │35 - 40│
│ │ │ │ПВ │БС-13 │12 - 16│ 5 мм │ │35 - 40│
│ │ │ │ПВ │Аквабор │ 3 - 4 │ 5 мм │ │35 - 40│
│ │ │ │ПВ │ФН │ 3 - 4 │ 5 мм │ │20 - 25│
│ │ │ │В │ФН │ 2 - 3 │ 3 мм │ │15 - 20│
│ │ │ │ п │ │ │ │ │ │
│ │ │ │В │НМ-Л │ 4 - 5 │ 5 мм │ │40 - 45│
│ │ │ │ п │ │ │ │ │ │
│ │ │ │В │ХМББ-1128│2,5 - │ 3 мм │ │30 - 35│
│ │ │ │ п │ │ 3,5│ │ │ │
│ │ │ │В │ХМФ-БФ │0,5 - 1│ 3 мм │ │30 - 35│
│ │ │ │ п │ │ │ │ │ │
│ │ │ │В │ХМФС │1,5 - 2│ 3 мм │ │30 - 35│
│ │ │ │ п │ │ │ │ │ │
│ │ │ │В │Сенеж │ 4 - 6 │ 3 мм │ │30 - 35│
│ │ │ │ п │ │ │ │ │ │
│ │ │ │В │ФБ-255 │1,5 - 2│ 3 мм │ │30 - 35│
│ │ │ │ п │ │ │ │ │ │
│ │ │ │В │БС-13 │10 - 12│ 3 мм │ │30 - 35│
│ │ │ │ п │ │ │ │ │ │
│ │ │ │В │Аквабор │ 2 - 3 │ 3 мм │ │30 - 35│
│ │ │ │ п │ │ │ │ │ │
│ │ │ │НП │НМ-Л │ 4 - 5 │ 2 мм │ │30 - 35│
│ │ │ │ п │ │ │ │ │ │
│ │ │ │НОб-ДВ │ББ │ 9 - 11│Сквоз-│ │40 - 45│
│ │ │ │ │ │ │ная │ │ │
│ │ │ │НОб │ПАФ │ 5 - 6 │То же │ │15 - 20│
│ │ ├──────┼───────┼─────────┼───────┼──────┼──────┼───────┤
│ │ │Нене- │ВДВ │КФН │1,5 - │ 5 мм │ - │35 - 40│
│ │ │сущие │ │ │ 2,5│ │ │ │
│ │ │ │ВДВ │ФН │ 2 - 3 │ 5 мм │ │30 - 35│
│ │ │ │ВДВ │ХМББ-1128│ 3 - 4 │ 5 мм │ │40 - 45│
│ │ │ │ВДВ │ХМФС │2,5 - 3│ 5 мм │ │40 - 45│
│ │ │ │ВДВ │ХМФ-БФ │ 1 - 2 │ 5 мм │ │40 - 45│
│ │ │ │ВДВ │Сенеж │ 6 - 8 │ 5 мм │ │40 - 45│
│ │ │ │ВДВ │ФБС-255 │2,5 - 3│ 5 мм │ │40 - 45│
│ │ │ │ВДВ │БС-13 │12 - 16│ 5 мм │ │40 - 45│
│ │ │ │ВДВ │Аквабор │ 3 - 4 │ 5 мм │ │40 - 45│
│ │ │ │ВАДВ │ФН │ 3 - 4 │ 5 мм │ │25 - 30│
│ │ │ │ВАДВ │НМ-Л │ 4 - 5 │ 5 мм │ │40 - 45│
│ │ │ │ВАДВ │ХМББ-1128│2,5 - │ 5 мм │ │35 - 40│
│ │ │ │ │ │ 3,5│ │ │ │
│ │ │ │ВАДВ │ХМФ-БФ │0,5 - 1│ 5 мм │ │35 - 40│
│ │ │ │ВАДВ │ХМФС │1,5 - 2│ 5 мм │ │35 - 40│
│ │ │ │ВАДВ │Сенеж │ 5 - 6 │ 5 мм │ │35 - 40│
│ │ │ │ВАДВ │ФБС-255 │1,5 - 2│ 5 мм │ │35 - 40│
│ │ │ │ВАДВ │БС-13 │10 - 14│ 5 мм │ │35 - 40│
│ │ │ │ВАДВ │Аквабор │ 2 - 3 │ 5 мм │ │35 - 40│
│ │ │ │ППВ │ХМББ-1128│2,5 - │ 5 мм │ │35 - 40│
│ │ │ │ │ │ 3,5│ │ │ │
│ │ │ │ППВ │ХМФ-БФ │0,5 - 1│ 5 мм │ │35 - 40│
│ │ │ │ППВ │ХМФС │1,5 - 2│ 5 мм │ │35 - 40│
│ │ │ │ППВ │Сенеж │ 5 - 6 │ 5 мм │ │35 - 40│
│ │ │ │ПВ │ФБС-255 │1,5 - 2│ 5 мм │ │35 - 40│
│ │ │ │ПВ │БС-13 │10 - 14│ 5 мм │ │35 - 40│
│ │ │ │ПВ │Аквабор │ 2 - 3 │ 5 мм │ │35 - 40│
│ │ │ │ПВ │ФН │ 3 - 4 │ 5 мм │ │30 - 35│
│ │ │ │В │ФН │ 2 - 3 │ 3 мм │ │20 - 25│
│ │ │ │ п │ │ │ │ │ │
│ │ │ │В │НМ-Л │ 4 - 5 │ 5 мм │ │40 - 45│
│ │ │ │ п │ │ │ │ │ │
│ │ │ │В │ХМББ-1128│2,5 - │ 3 мм │ │30 - 35│
│ │ │ │ п │ │ 3,5│ │ │ │
│ │ │ │В │ХМФ-БФ │0,5 - 1│ 3 мм │ │30 - 35│
│ │ │ │ п │ │ │ │ │ │
│ │ │ │В │ХМФС │1,5 - 2│ 3 мм │ │30 - 35│
│ │ │ │ п │ │ │ │ │ │
│ │ │ │В │Сенеж │ 5 - 6 │ 3 мм │ │30 - 35│
│ │ │ │ п │ │ │ │ │ │
│ │ │ │В │ФБС-255 │1,5 - 2│ 3 мм │ │30 - 35│
│ │ │ │ п │ │ │ │ │ │
│ │ │ │В │БС-13 │ 8 - 10│ 3 мм │ │30 - 35│
│ │ │ │ п │ │ │ │ │ │
│ │ │ │В │Аквабор │ 2 - 3 │ 3 мм │ │30 - 35│
│ │ │ │ п │ │ │ │ │ │
│ │ │ │НП │НМ-Л │ 4 - 5 │ 2 мм │ │40 - 45│
│ │ │ │ п │ │ │ │ │ │
│ │ │ │НОб-ДВ │ББ │ 7 - 9 │Сквоз-│ │40 - 45│
│ │ │ │ │ │ │ная │ │ │
│ │ │ │НОб │ПАФ │ 5 - 6 │То же │ │40 - 45│
│ ├───────┼──────┼───────┼─────────┼───────┼──────┼──────┼───────┤
│ │ 2 - 3 │Несу- │ВДВ │КФН │1,5 - 2│ - │ 2 мм │25 - 30│
│ │ │щие │ВДВ │ФН │ 3 - 4 │ │ 2 мм │25 - 30│
│ │ │ │ВДВ │ХМББ-1128│ 3 - 4 │ │ 2 мм │35 - 40│
│ │ │ │ВДВ │ХМФ-БФ │1,5 - 2│ │ 2 мм │35 - 40│
│ │ │ │ВДВ │ХМФС │2,5 - 3│ │ 2 мм │35 - 40│
│ │ │ │ВДВ │Сенеж │ 6 - 8 │ │ 2 мм │35 - 40│
│ │ │ │ВДВ │ФБС-255 │2,5 - 3│ │ 2 мм │35 - 40│
│ │ │ │ВДВ │БС-13 │12 - 16│ │ 2 мм │35 - 40│
│ │ │ │ВДВ │Аквабор │ 3 - 4 │ │ 2 мм │35 - 40│
│ │ │ │ВАДВ │ФН │2,5 - │ │ 2 мм │15 - 20│
│ │ │ │ │ │ 3,5│ │ │ │
│ │ │ │ВАДВ │НМ-Л │ 4 - 5 │ │ 2 мм │35 - 40│
│ │ │ │ВАДВ │ХМББ-1128│2,5 - │ │ 2 мм │30 - 35│
│ │ │ │ │ │ 3,5│ │ │ │
│ │ │ │ВАДВ │ХМФ-БФ │1 - 1,5│ │ 2 мм │30 - 35│
│ │ │ │ВАДВ │ХМФС │2 - 2,5│ │ 2 мм │30 - 35│
│ │ │ │ВАДВ │Сенеж │ 6 - 8 │ │ 2 мм │30 - 35│
│ │ │ │ВАДВ │ФБС-255 │2 - 2,5│ │ 2 мм │30 - 35│
│ │ │ │ВАДВ │БС-13 │10 - 14│ │ 2 мм │30 - 35│
│ │ │ │ВАДВ │Аквабор │2,5 - │ │ 2 мм │30 - 35│
│ │ │ │ │ │ 3,5│ │ │ │
│ │ │ │ППВ │ХМББ-1128│2,5 - │ │ 2 мм │30 - 35│
│ │ │ │ │ │ 3,5│ │ │ │
│ │ │ │ППВ │ХМФ-БФ │1 - 1,5│ │ 2 мм │30 - 35│
│ │ │ │ППВ │ХМФС │2 - 2,5│ │ 2 мм │30 - 35│
│ │ │ │ППВ │Сенеж │ 5 - 7 │ │ 2 мм │30 - 35│
│ │ │ │ПВ │ФБС-255 │2 - 2,5│ │ 2 мм │30 - 35│
│ │ │ │ПВ │БС-13 │10 - 14│ │ 2 мм │30 - 35│
│ │ │ │ПВ │Аквабор │2,5 - │ │ 2 мм │30 - 35│
│ │ │ │ │ │ 3,5│ │ │ │
│ │ │ │ПВ │ФН │2,5 - │ │ 2 мм │15 - 20│
│ │ │ │ │ │ 3,5│ │ │ │
│ │ │ │В │ФН │ 2 - 3 │ │ 2 мм │15 - 20│
│ │ │ │ п │ │ │ │ │ │
│ │ │ │В │НМ-Л │ 3 - 4 │ │ 2 мм │30 - 35│
│ │ │ │ п │ │ │ │ │ │
│ │ │ │В │ХМББ-1128│ 2 - 3 │ │ 1 мм │20 - 25│
│ │ │ │ п │ │ │ │ │ │
│ │ │ │В │ХМБ-БФ │0,5 - 1│ │ 1 мм │20 - 25│
│ │ │ │ п │ │ │ │ │ │
│ │ │ │В │ХМФС │ 1 - 2 │ │ 1 мм │20 - 25│
│ │ │ │ п │ │ │ │ │ │
│ │ │ │В │Сенеж │ 4 - 6 │ │ 1 мм │20 - 25│
│ │ │ │ п │ │ │ │ │ │
│ │ │ │В │ФБС-255 │ 1 - 2 │ │ 1 мм │20 - 25│
│ │ │ │ п │ │ │ │ │ │
│ │ │ │В │БС-13 │ 8 - 12│ │ 1 мм │20 - 25│
│ │ │ │ п │ │ │ │ │ │
│ │ │ │В │Аквабор │ 2 - 3 │ │ 1 мм │20 - 25│
│ │ │ │ п │ │ │ │ │ │
│ │ │ │НП │НМ-Л │ 3 - 4 │ │ 2 мм │25 - 30│
│ │ │ │ п │ │ │ │ │ │
│ │ │ │НОб-ДВ │ББ │ 9 - 11│ │Сквоз-│40 - 45│
│ │ │ │ │ │ │ │ная │ │
│ │ │ │НОб │ПАФ │ 5 - 6 │ │То же │15 - 20│
│ │ ├──────┼───────┼─────────┼───────┼──────┼──────┼───────┤
│ │ │Нене- │ВДВ │КФН │1,5 - 2│ - │ 2 мм │25 - 30│
│ │ │сущие │ВДВ │ФН │ 2 - 3 │ │ 2 мм │25 - 30│
│ │ │ │ВДВ │ХМББ-1128│2,5 - │ │ 2 мм │35 - 40│
│ │ │ │ │ │ 3,5│ │ │ │
│ │ │ │ВДВ │ХМФ-БФ │1 - 1,5│ │ 2 мм │35 - 40│
│ │ │ │ВДВ │ХМФС │2 - 2,5│ │ 2 мм │35 - 40│
│ │ │ │ВДВ │Сенеж │ 4 - 6 │ │ 2 мм │35 - 40│
│ │ │ │ВДВ │ФБС-255 │2 - 2,5│ │ 2 мм │35 - 40│
│ │ │ │ВДВ │БС-13 │10 - 12│ │ 2 мм │35 - 40│
│ │ │ │ВДВ │Аквабор │2,5 - │ │ 2 мм │35 - 40│
│ │ │ │ │ │ 3,5│ │ │ │
│ │ │ │ВАДВ │ФН │2,5 - │ │ 2 мм │20 - 25│
│ │ │ │ │ │ 3,5│ │ │ │
│ │ │ │ВАДВ │НМ-Л │ 3 - 4 │ │ 2 мм │40 - 45│
│ │ │ │ВАДВ │ХМББ-1128│ 2 - 3 │ │ 2 мм │30 - 35│
│ │ │ │ВАДВ │ХМФ-БФ │0,5 - 1│ │ 2 мм │30 - 35│
│ │ │ │ВАДВ │ХМФС │1,5 - 2│ │ 2 мм │30 - 35│
│ │ │ │ВАДВ │Сенеж │ 3 - 5 │ │ 2 мм │30 - 35│
│ │ │ │ВАДВ │ФБС-255 │1,5 - 2│ │ 2 мм │30 - 35│
│ │ │ │ВАДВ │БС-13 │ 8 - 10│ │ 2 мм │30 - 35│
│ │ │ │ВАДВ │Аквабор │ 2 - 3 │ │ 2 мм │30 - 35│
│ │ │ │ППВ │ХМББ-1128│ 2 - 3 │ │ 2 мм │30 - 35│
│ │ │ │ППВ │ХМФ-БФ │0,5 - 1│ │ 2 мм │30 - 35│
│ │ │ │ППВ │ХМФС │1,5 - 2│ │ 2 мм │30 - 35│
│ │ │ │ППВ │Сенеж │ 3 - 5 │ │ 2 мм │30 - 35│
│ │ │ │ПВ │ФБС-255 │1,5 - 2│ │ 2 мм │30 - 35│
│ │ │ │ПВ │БС-13 │ 8 - 10│ │ 2 мм │30 - 35│
│ │ │ │ПВ │Аквабор │ 2 - 3 │ │ 2 мм │30 - 35│
│ │ │ │ПВ │ФН │2,5 - │ │ 2 мм │20 - 25│
│ │ │ │ │ │ 3,5│ │ │ │
│ │ │ │В │НМ-Л │ 3 - 4 │ │ 2 мм │40 - 45│
│ │ │ │ п │ │ │ │ │ │
│ │ │ │В │ФН │2,5 - │ │ 2 мм │20 - 25│
│ │ │ │ п │ │ 3,5│ │ │ │
│ │ │ │В │ХМББ-1128│ 2 - 3 │ │ 1 мм │25 - 30│
│ │ │ │ п │ │ │ │ │ │
│ │ │ │В │ХМФ-БФ │0,5 - 1│ │ 1 мм │25 - 30│
│ │ │ │ п │ │ │ │ │ │
│ │ │ │В │ХМФС │1 - 1,5│ │ 1 мм │25 - 30│
│ │ │ │ п │ │ │ │ │ │
│ │ │ │В │Сенеж │ 2 - 4 │ │ 1 мм │25 - 30│
│ │ │ │ п │ │ │ │ │ │
│ │ │ │В │ФБС-255 │1 - 1,5│ │ 2 мм │25 - 30│
│ │ │ │ п │ │ │ │ │ │
│ │ │ │В │БС-13 │ 6 - 8 │ │ 2 мм │25 - 30│
│ │ │ │ п │ │ │ │ │ │
│ │ │ │В │Аквабор │ 2 - 3 │ │ 2 мм │25 - 30│
│ │ │ │ п │ │ │ │ │ │
│ │ │ │НП │НМ-Л │ 3 - 4 │ │ 2 мм │35 - 40│
│ │ │ │ п │ │ │ │ │ │
│ │ │ │НОб-ДВ │ББ │ 7 - 9 │ │Сквоз-│40 - 45│
│ │ │ │ │ │ │ │ная │ │
│ │ │ │НОб │ПАФ │ 5 - 6 │ │То же │20 - 25│
├───────┼───────┼──────┼───────┼─────────┼───────┼──────┼──────┼───────┤
│ V │ 1 │Несу- │ВДВ │КФН │1,5 - 2│ 8 мм │ - │25 - 30│
│ │ │щие │ВДВ │ХМББ-3324│ 4 - 5 │ 8 мм │ │40 - 45│
│ │ │ │ВДВ │ХМФ-БФ │1,5 - 2│ 8 мм │ │40 - 45│
│ │ │ │ВДВ │ХМФС │ 3 - 4 │ 8 мм │ │40 - 45│
│ │ │ │ВДВ │Сенеж │ 8 - 10│ 8 мм │ │40 - 45│
│ │ │ │ВДВ │ФБС-255 │ 3 - 4 │ 8 мм │ │40 - 45│
│ │ │ │ВДВ │БС-13 │16 - 20│ 8 мм │ │40 - 45│
│ │ │ │ВДВ │Аквабор │ 4 - 5 │ 8 мм │ │40 - 45│
│ │ │ │ВАДВ │НМ-Л │ 5 - 6 │ 5 мм │ │40 - 45│
│ │ │ │ВАДВ │ХМББ-3324│ 4 - 5 │ 5 мм │ │35 - 40│
│ │ │ │ВАДВ │ХМББ-1212│ 4 - 5 │ 5 мм │ │35 - 40│
│ │ │ │ВАДВ │ХМФ-БФ │1,5 - 2│ 5 мм │ │35 - 40│
│ │ │ │ВАДВ │ХМФС │ 3 - 4 │ 5 мм │ │35 - 40│
│ │ │ │ВАДВ │ФБС-255 │ 3 - 4 │ 5 мм │ │35 - 40│
│ │ │ │ВАДВ │БС-13 │16 - 20│ 5 мм │ │35 - 40│
│ │ │ │ВАДВ │Аквабор │ 4 - 5 │ 5 мм │ │35 - 40│
│ │ │ │ППВ │ХМББ-3324│ 4 - 5 │ 5 мм │ │35 - 40│
│ │ │ │ППВ │ХМББ-1212│ 4 - 5 │ 5 мм │ │35 - 40│
│ │ │ │ППВ │ХМФ-БФ │1,5 - 2│ 5 мм │ │35 - 40│
│ │ │ │ППВ │ХМФС │ 3 - 4 │ 5 мм │ │35 - 40│
│ │ │ │ППВ │Сенеж │ 8 - 10│ 5 мм │ │35 - 40│
│ │ │ │ПВ │ФБС-255 │ 3 - 4 │ 5 мм │ │35 - 40│
│ │ │ │ПВ │БС-13 │16 - 20│ 5 мм │ │35 - 40│
│ │ │ │ПВ │Аквабор │ 4 - 5 │ 5 мм │ │35 - 40│
│ │ │ │В │НМ-Л │ 5 - 6 │ 5 мм │ │40 - 45│
│ │ │ │ п │ │ │ │ │ │
│ │ │ │В │ХМББ-324 │ 3 - 4 │ 3 мм │ │30 - 35│
│ │ │ │ п │ │ │ │ │ │
│ │ │ │В │ХМФ-БФ │1 - 1,5│ 3 мм │ │30 - 35│
│ │ │ │ п │ │ │ │ │ │
│ │ │ │В │ХМФС │2,5 - 3│ 3 мм │ │30 - 35│
│ │ │ │ п │ │ │ │ │ │
│ │ │ │В │Сенеж │ 6 - 8 │ 3 мм │ │30 - 35│
│ │ │ │ п │ │ │ │ │ │
│ │ │ │В │ФБС-255 │ 2 - 3 │ 3 мм │ │30 - 35│
│ │ │ │ п │ │ │ │ │ │
│ │ │ │В │БС-13 │12 - 14│ 3 мм │ │30 - 35│
│ │ │ │ п │ │ │ │ │ │
│ │ │ │В │Аквабор │ 3 - 4 │ 3 мм │ │30 - 35│
│ │ │ │ п │ │ │ │ │ │
│ │ │ │НП │НМ-Л │ 4 - 5 │ 2 мм │ │25 - 30│
│ │ │ │ п │ │ │ │ │ │
│ │ │ │НОб-ДВ │ББ │10 - 12│Сквоз-│ │35 - 40│
│ │ │ │ │ │ │ная │ │ │
│ │ ├──────┼───────┼─────────┼───────┼──────┼──────┼───────┤
│ │ │Нене- │ВДВ │КФН │1,5 - │ 6 мм │ - │30 - 35│
│ │ │сущие │ │ │ 2,5│ │ │ │
│ │ │ │ВДВ │ХМББ-3324│ 3 - 4 │ 8 мм │ │40 - 45│
│ │ │ │ВДВ │ХМФ-БФ │1 - 1,5│ 8 мм │ │40 - 45│
│ │ │ │ВДВ │ХМФС │2,5 - 3│ 8 мм │ │40 - 45│
│ │ │ │ВДВ │Сенеж │ 6 - 8 │ 8 мм │ │40 - 45│
│ │ │ │ВДВ │ФБС-255 │ 2 - 3 │ 8 мм │ │40 - 45│
│ │ │ │ВДВ │БС-13 │12 - 14│ 8 мм │ │40 - 45│
│ │ │ │ВДВ │Аквабор │ 3 - 4 │ 8 мм │ │40 - 45│
│ │ │ │ВАДВ │НМ-Л │ 5 - 6 │ 5 мм │ │40 - 45│
│ │ │ │ВАДВ │ХМББ-3324│ 4 - 5 │ 5 мм │ │35 - 40│
│ │ │ │ВАДВ │ХМББ-1212│ 4 - 5 │ 5 мм │ │35 - 40│
│ │ │ │ВАДВ │ХМФ-БФ │1 - 1,5│ 5 мм │ │35 - 40│
│ │ │ │ВАДВ │ХМФС │2 - 2,5│ 5 мм │ │35 - 40│
│ │ │ │ВАДВ │Сенеж │ 5 - 7 │ 5 мм │ │35 - 40│
│ │ │ │ВАДВ │ФБС-255 │2 - 2,5│ 5 мм │ │35 - 40│
│ │ │ │ВАДВ │БС-13 │10 - 12│ 5 мм │ │30 - 35│
│ │ │ │ВАДВ │Аквабор │2,5 - │ 5 мм │ │30 - 35│
│ │ │ │ │ │ 3,5│ │ │ │
│ │ │ │ППВ │ХМББ-3324│ 4 - 5 │ 5 мм │ │35 - 40│
│ │ │ │ППВ │ХМФ-БФ │1 - 1,5│ 5 мм │ │35 - 40│
│ │ │ │ППВ │ХМФС │2 - 2,5│ 5 мм │ │35 - 40│
│ │ │ │ППВ │Сенеж │ 5 - 7 │ 5 мм │ │35 - 40│
│ │ │ │ПВ │ФБС-255 │2 - 2,5│ 5 мм │ │35 - 40│
│ │ │ │ПВ │БС-13 │10 - 12│ 5 мм │ │35 - 40│
│ │ │ │ПВ │Аквабор │2,5 - │ 5 мм │ │35 - 40│
│ │ │ │ │ │ 3,5│ │ │ │
│ │ │ │В │НМ-Л │ 5 - 6 │ 5 мм │ │45 - 50│
│ │ │ │ п │ │ │ │ │ │
│ │ │ │В │ХМББ-3324│ 2 - 3 │ 3 мм │ │30 - 35│
│ │ │ │ п │ │ │ │ │ │
│ │ │ │В │ХМФ-БФ │0,5 - 1│ 3 мм │ │30 - 35│
│ │ │ │ п │ │ │ │ │ │
│ │ │ │В │ХМФС │1,5 - 2│ 3 мм │ │30 - 35│
│ │ │ │ п │ │ │ │ │ │
│ │ │ │В │Сенеж │ 4 - 6 │ 3 мм │ │30 - 35│
│ │ │ │ п │ │ │ │ │ │
│ │ │ │В │ФБС-255 │1,5 - 2│ 3 мм │ │25 - 30│
│ │ │ │ п │ │ │ │ │ │
│ │ │ │В │БС-13 │ 8 - 10│ 3 мм │ │25 - 30│
│ │ │ │ п │ │ │ │ │ │
│ │ │ │В │Аквабор │ 2 - 3 │ 3 мм │ │25 - 30│
│ │ │ │ п │ │ │ │ │ │
│ │ │ │НП │НМ-Л │ 4 - 5 │ 2 мм │ │35 - 40│
│ │ │ │ п │ │ │ │ │ │
│ │ │ │НОб-ДВ │ББ │ 7 - 9 │Сквоз-│ │35 - 40│
│ │ │ │ │ │ │ная │ │ │
│ ├───────┼──────┼───────┼─────────┼───────┼──────┼──────┼───────┤
│ │ 2 - 3 │Несу- │ВДВ │КФН │1,5 - │ - │ 2 мм │20 - 25│
│ │ │щие │ │ │ 2,5│ │ │ │
│ │ │ │ВДВ │ХМББ-3324│ 3 - 4 │ │ 2 мм │35 - 40│
│ │ │ │ВДВ │ХМФ-БФ │1,5 - 2│ │ 2 мм │35 - 40│
│ │ │ │ВДВ │ХМФС │2,5 - 3│ │ 2 мм │35 - 40│
│ │ │ │ВДВ │Сенеж │ 6 - 8 │ │ 2 мм │35 - 40│
│ │ │ │ВДВ │ФБС-255 │2,5 - 3│ │ 2 мм │35 - 40│
│ │ │ │ВДВ │БС-13 │12 - 14│ │ 2 мм │35 - 40│
│ │ │ │ВДВ │Аквабор │ 3 - 4 │ │ 2 мм │35 - 40│
│ │ │ │ВАДВ │НМ-Л │ 5 - 6 │ │ 2 мм │35 - 40│
│ │ │ │ВАДВ │ХМББ-3324│2,5 - │ │ 2 мм │30 - 35│
│ │ │ │ │ │ 3,5│ │ │ │
│ │ │ │ВАДВ │ХМФ-БФ │1 - 1,5│ │ 2 мм │30 - 35│
│ │ │ │ВАДВ │ХМФС │2 - 2,5│ │ 2 мм │30 - 35│
│ │ │ │ВАДВ │Сенеж │ 5 - 7 │ │ 2 мм │30 - 35│
│ │ │ │ВАДВ │ФБС-255 │2 - 2,5│ │ 2 мм │30 - 35│
│ │ │ │ВАДВ │БС-13 │10 - 12│ │ 2 мм │30 - 35│
│ │ │ │ВАДВ │Аквабор │2,5 - │ │ 2 мм │30 - 35│
│ │ │ │ │ │ 3,5│ │ │ │
│ │ │ │ППВ │ХМББ-3324│2,5 - │ │ 2 мм │30 - 35│
│ │ │ │ │ │ 3,5│ │ │ │
│ │ │ │ППВ │ХМФ-БФ │1 - 1,5│ │ 2 мм │30 - 35│
│ │ │ │ППВ │ХМФС │2 - 2,5│ │ 2 мм │30 - 35│
│ │ │ │ППВ │Сенеж │ 5 - 7 │ │ 2 мм │30 - 35│
│ │ │ │ПВ │ФБС-255 │2 - 2,5│ │ 2 мм │30 - 35│
│ │ │ │ПВ │БС-13 │10 - 12│ │ 2 мм │30 - 35│
│ │ │ │ПВ │Аквабор │2,5 - │ │ 2 мм │30 - 35│
│ │ │ │ │ │ 3,5│ │ │ │
│ │ │ │В │НМ-Л │ 4 - 5 │ │ 2 мм │30 - 35│
│ │ │ │ п │ │ │ │ │ │
│ │ │ │В │ХМББ-3324│ 2 - 3 │ │ 2 мм │25 - 30│
│ │ │ │ п │ │ │ │ │ │
│ │ │ │В │ХМФ-БФ │0,5 - 1│ │ 2 мм │25 - 30│
│ │ │ │ п │ │ │ │ │ │
│ │ │ │В │ХМФС │1,5 - 2│ │ 2 мм │25 - 30│
│ │ │ │ п │ │ │ │ │ │
│ │ │ │В │Сенеж │ 4 - 6 │ │ 2 мм │25 - 30│
│ │ │ │ п │ │ │ │ │ │
│ │ │ │В │ФБС-255 │1,5 - 2│ │ 2 мм │25 - 30│
│ │ │ │ п │ │ │ │ │ │
│ │ │ │В │БС-13 │ 8 - 10│ │ 2 мм │25 - 30│
│ │ │ │ п │ │ │ │ │ │
│ │ │ │В │Аквабор │ 2 - 3 │ │ 2 мм │25 - 30│
│ │ │ │ п │ │ │ │ │ │
│ │ │ │НП │НМ-Л │ 4 - 5 │ │ 2 мм │25 - 30│
│ │ │ │ п │ │ │ │ │ │
│ │ │ │НОб-ДВ │ББ │ 8 - 10│ │Сквоз-│30 - 35│
│ │ │ │ │ │ │ │ная │ │
│ │ ├──────┼───────┼─────────┼───────┼──────┼──────┼───────┤
│ │ │Нене- │ВДВ │КФН │1,5 - │ - │ 2 мм │30 - 35│
│ │ │сущие │ │ │ 2,5│ │ │ │
│ │ │ │ВДВ │ХМББ-3324│2,5 - │ │ 2 мм │35 - 40│
│ │ │ │ │ │ 3,5│ │ │ │
│ │ │ │ВДВ │ХМФ-БФ │1 - 1,5│ │ 2 мм │35 - 40│
│ │ │ │ВДВ │ХМФС │2 - 2,5│ │ 2 мм │35 - 40│
│ │ │ │ВДВ │Сенеж │ 5 - 7 │ │ 2 мм │35 - 40│
│ │ │ │ВДВ │ФБС-255 │2 - 2,5│ │ 2 мм │35 - 40│
│ │ │ │ВДВ │БС-13 │10 - 12│ │ 2 мм │35 - 40│
│ │ │ │ВДВ │Аквабор │2,5 - │ │ 2 мм │35 - 40│
│ │ │ │ │ │ 3,5│ │ │ │
│ │ │ │ВАДВ │НМ-Л │ 4 - 5 │ │ 2 мм │35 - 40│
│ │ │ │ВАДВ │ХМББ-3324│ 2 - 3 │ │ 2 мм │35 - 40│
│ │ │ │ВАДВ │ХМФ-БФ │0,5 - 1│ │ 2 мм │35 - 40│
│ │ │ │ВАДВ │ХМФС │1,5 - 2│ │ 2 мм │35 - 40│
│ │ │ │ВАДВ │Сенеж │ 4 - 6 │ │ 2 мм │35 - 40│
│ │ │ │ВАДВ │ФБС-255 │1,5 - 2│ │ 2 мм │35 - 40│
│ │ │ │ВАДВ │БС-13 │ 8 - 10│ │ 2 мм │35 - 40│
│ │ │ │ВАДВ │Аквабор │ 2 - 3 │ │ 2 мм │35 - 40│
│ │ │ │ВАДВ │ХМББ-1212│ 2 - 3 │ │ 2 мм │35 - 40│
│ │ │ │ППВ │ХМББ-3324│ 2 - 3 │ │ 2 мм │30 - 35│
│ │ │ │ППВ │ХМФ-БФ │0,5 - 1│ │ 2 мм │30 - 35│
│ │ │ │ППВ │ХМФС │1,5 - 2│ │ 2 мм │30 - 35│
│ │ │ │ППВ │Сенеж │ 4 - 6 │ │ 2 мм │30 - 35│
│ │ │ │ПВ │ФБС-255 │1,5 - 2│ │ 2 мм │30 - 35│
│ │ │ │ПВ │БС-13 │ 8 - 10│ │ 2 мм │30 - 35│
│ │ │ │ПВ │Аквабор │ 2 - 3 │ │ 2 мм │30 - 35│
│ │ │ │В │НМ-Л │ 4 - 5 │ │ 2 мм │40 - 45│
│ │ │ │ п │ │ │ │ │ │
│ │ │ │В │ХМББ-3324│ 2 - 3 │ │ 2 мм │30 - 35│
│ │ │ │ п │ │ │ │ │ │
│ │ │ │В │ХМФ-БФ │0,5 - 1│ │ 2 мм │30 - 35│
│ │ │ │ п │ │ │ │ │ │
│ │ │ │В │ХМФС │1,5 - 2│ │ 2 мм │30 - 35│
│ │ │ │ п │ │ │ │ │ │
│ │ │ │В │Сенеж │ 4 - 6 │ │ 2 мм │30 - 35│
│ │ │ │ п │ │ │ │ │ │
│ │ │ │В │ФБС-255 │1,5 - 2│ │ 2 мм │30 - 35│
│ │ │ │ п │ │ │ │ │ │
│ │ │ │В │БС-13 │ 8 - 10│ │ 2 мм │30 - 35│
│ │ │ │ п │ │ │ │ │ │
│ │ │ │В │Аквабор │ 2 - 3 │ │ 2 мм │30 - 35│
│ │ │ │ п │ │ │ │ │ │
│ │ │ │НП │НМ-Л │ 3 - 4 │ │ 2 мм │30 - 35│
│ │ │ │ п │ │ │ │ │ │
│ │ │ │НОб-ДВ │ББ │ 7 - 9 │ │Сквоз-│35 - 40│
│ │ │ │ │ │ │ │ная │ │
├───────┼───────┼──────┼───────┼─────────┼───────┼──────┼──────┼───────┤
│ VI │ 1 │Несу- │ВДВ │КФН │1,5 - │ 7 мм │ - │ 10 │
│ │ │щие │ │ │ 2,5│ │ │ │
│ │ │ │ВДВ │ХМББ-3324│ 5 - 6 │ 8 мм │ │ 10 │
│ │ │ │ВДВ │ХМФ-БФ │2 - 2,5│ 8 мм │ │ 10 │
│ │ │ │ВДВ │ХМФС │ 4 - 5 │ 8 мм │ │ 10 │
│ │ │ │ВДВ │Сенеж │10 - 12│ 8 мм │ │ 10 │
│ │ │ │ВДВ │ФБС-211 │ 4 - 5 │ 8 мм │ │ 10 │
│ │ │ │ВДВ │БС-13 │20 - 24│ 8 мм │ │ 10 │
│ │ │ │ВДВ │Аквабор │ 5 - 6 │ 8 мм │ │ 10 │
│ │ │ │ВАДВ │НМ-Л │ 4 - 5 │ 5 мм │ │ 10 │
│ │ │ │ВАДВ │ХМББ-3324│ 4 - 5 │ 5 мм │ │ 8 │
│ │ │ │ВАДВ │ХМФ-БФ │1,5 - 2│ 5 мм │ │ 8 │
│ │ │ │ВАДВ │ХМФС │ 3 - 4 │ 5 мм │ │ 8 │
│ │ │ │ВАДВ │Сенеж │10 - 12│ 5 мм │ │ 8 │
│ │ │ │ВАДВ │ФБС-211 │ 3 - 4 │ 5 мм │ │ 8 │
│ │ │ │ВАДВ │БС-13 │16 - 20│ 5 мм │ │ 8 │
│ │ │ │ВАДВ │Аквабор │ 4 - 5 │ 5 мм │ │ 8 │
│ │ │ │ППВ │ХМББ-3324│ 4 - 5 │ 5 мм │ │ 8 │
│ │ │ │ППВ │ХМФ-БФ │1,5 - 2│ 5 мм │ │ 8 │
│ │ │ │ППВ │ХМФС │ 3 - 4 │ 5 мм │ │ 8 │
│ │ │ │ППВ │Сенеж │ 8 - 10│ 5 мм │ │ 8 │
│ │ │ │ПВ │ФБС-211 │ 3 - 4 │ 5 мм │ │ 8 │
│ │ │ │ПВ │БС-13 │16 - 20│ 5 мм │ │ 8 │
│ │ │ │ПВ │Аквабор │ 4 - 5 │ 5 мм │ │ 8 │
│ │ │ │НП │НМ-Л │ 4 - 5 │ 2 мм │ │ 8 │
│ │ │ │ п │ │ │ │ │ │
├───────┼───────┼──────┼───────┼─────────┼───────┼──────┼──────┼───────┤
│ VII │ 1 │Несу- │ВДВ │ХМББ-3324│ 7 - 8 │ 8 мм │ - │40 - 45│
│ │ │щие │ВДВ │ХМФ-БФ │2,5 - │ 8 мм │ │40 - 45│
│ │ │ │ │ │ 3,5│ │ │ │
│ │ │ │ВДВ │ХМФС │5,5 - │ 8 мм │ │40 - 45│
│ │ │ │ │ │ 6,5│ │ │ │
│ │ │ │ВДВ │Сенеж │14 - 16│ 8 мм │ │40 - 45│
│ │ │ │ВДВ │ФБС-211 │5,5 - │ 8 мм │ │40 - 45│
│ │ │ │ │ │ 6,5│ │ │ │
│ │ │ │ВДВ │БС-13 │28 - 32│ 8 мм │ │40 - 45│
│ │ │ │ВДВ │Аквабор │ 7 - 8 │ 8 мм │ │40 - 45│
│ │ │ │ВАДВ │НМ-Л │ 5 - 6 │ 5 мм │ │35 - 40│
│ │ │ │ВАДВ │ХМББ-3324│ 6 - 7 │ 5 мм │ │35 - 40│
│ │ │ │ВАДВ │ХМББ-1212│ 6 - 7 │ 5 мм │ │35 - 40│
│ │ │ │ВАДВ │ХМФ-БФ │ 2 - 3 │ 5 мм │ │35 - 40│
│ │ │ │ВАДВ │ХМФС │ 5 - 6 │ 5 мм │ │35 - 40│
│ │ │ │ВАДВ │Сенеж │12 - 14│ 5 мм │ │35 - 40│
│ │ │ │ВАДВ │ФБС-211 │ 5 - 6 │ 5 мм │ │35 - 40│
│ │ │ │ВАДВ │БС-13 │24 - 28│ 5 мм │ │35 - 40│
│ │ │ │ВАДВ │Аквабор │ 6 - 7 │ 5 мм │ │35 - 40│
│ │ │ │ППВ │ХМББ-3324│ 6 - 7 │ 5 мм │ │35 - 40│
│ │ │ │ППВ │ХМФС │ 5 - 6 │ 5 мм │ │35 - 40│
│ │ │ │ППВ │ХМФ-БФ │ 2 - 3 │ 5 мм │ │35 - 40│
│ │ │ │ППВ │Сенеж │12 - 14│ 5 мм │ │35 - 40│
│ │ │ │ПВ │ФБС-211 │ 5 - 6 │ 5 мм │ │35 - 40│
│ │ │ │ПВ │БС-13 │24 - 28│ 5 мм │ │35 - 40│
│ │ │ │ПВ │Аквабор │ 4 - 5 │ 5 мм │ │30 - 35│
│ │ │ │В │НМ-Л │ 5 - 6 │ 5 мм │ │35 - 40│
│ │ │ │ п │ │ │ │ │ │
│ │ │ │В │ХМББ-3324│ 4 - 5 │ 4 мм │ │30 - 35│
│ │ │ │ п │ │ │ │ │ │
│ │ │ │В │ХМФ-БФ │1,5 - 2│ 4 мм │ │30 - 35│
│ │ │ │ п │ │ │ │ │ │
│ │ │ │В │ХМФС │ 3 - 4 │ 4 мм │ │30 - 35│
│ │ │ │ п │ │ │ │ │ │
│ │ │ │В │Сенеж │ 8 - 10│ 4 мм │ │30 - 35│
│ │ │ │ п │ │ │ │ │ │
│ │ │ │В │ФБС-211 │ 3 - 4 │ 4 мм │ │30 - 35│
│ │ │ │ п │ │ │ │ │ │
│ │ │ │В │БС-13 │16 - 20│ 4 мм │ │30 - 35│
│ │ │ │ п │ │ │ │ │ │
│ │ │ │В │Аквабор │ 4 - 5 │ 4 мм │ │30 - 35│
│ │ │ │ п │ │ │ │ │ │
│ │ │ │НП │НМ-Л │ 5 - 6 │ 2 мм │ │30 - 35│
│ │ │ │ п │ │ │ │ │ │
│ │ ├──────┼───────┼─────────┼───────┼──────┼──────┼───────┤
│ │ │Нене- │ВДВ │ХМББ-3324│ 6 - 7 │ 5 мм │ - │40 - 45│
│ │ │сущие │ВДВ │ХМФ-БФ │2,5 - 3│ 5 мм │ │40 - 45│
│ │ │ │ВДВ │ХМФС │ 5 - 6 │ 5 мм │ │40 - 45│
│ │ │ │ВДВ │Сенеж │12 - 14│ 5 мм │ │40 - 45│
│ │ │ │ВДВ │ФБС-211 │ 5 - 6 │ 5 мм │ │40 - 45│
│ │ │ │ВДВ │БС-13 │24 - 28│ 5 мм │ │40 - 45│
│ │ │ │ВДВ │Аквабор │ 6 - 7 │ 5 мм │ │40 - 45│
│ │ │ │ВАДВ │НМ-Л │ 5 - 6 │ 5 мм │ │40 - 45│
│ │ │ │ВАДВ │ХМББ-3324│ 5 - 6 │ 4 мм │ │35 - 40│
│ │ │ │ВАДВ │ХМББ-1212│ 5 - 6 │ 4 мм │ │35 - 40│
│ │ │ │ВАДВ │ХМФ-БФ │2 - 2,5│ 4 мм │ │35 - 40│
│ │ │ │ВАДВ │ХМФС │ 4 - 5 │ 4 мм │ │35 - 40│
│ │ │ │ВАДВ │Сенеж │10 - 12│ 4 мм │ │35 - 40│
│ │ │ │ВАДВ │ФБС-211 │ 4 - 5 │ 4 мм │ │35 - 40│
│ │ │ │ВАДВ │БС-13 │20 - 24│ 4 мм │ │35 - 40│
│ │ │ │ВАДВ │Аквабор │ 5 - 6 │ 4 мм │ │35 - 40│
│ │ │ │ППВ │ХМББ-3324│ 5 - 6 │ 4 мм │ │35 - 40│
│ │ │ │ППВ │ХМФ-БФ │2 - 2,5│ 4 мм │ │35 - 40│
│ │ │ │ППВ │ХМФС │ 4 - 5 │ 4 мм │ │35 - 40│
│ │ │ │ППВ │Сенеж │10 - 12│ 4 мм │ │35 - 40│
│ │ │ │ПВ │ФБС-211 │ 4 - 5 │ 4 мм │ │35 - 40│
│ │ │ │ПВ │БС-13 │20 - 24│ 4 мм │ │30 - 35│
│ │ │ │ПВ │Аквабор │ 5 - 6 │ 4 мм │ │30 - 35│
│ │ │ │В │НМ-Л │ 5 - 6 │ 5 мм │ │40 - 45│
│ │ │ │ п │ │ │ │ │ │
│ │ │ │В │ХМББ-3324│ 4 - 5 │ 3 мм │ │30 - 35│
│ │ │ │ п │ │ │ │ │ │
│ │ │ │В │ХМФ-БФ │1,5 - 2│ 3 мм │ │30 - 35│
│ │ │ │ п │ │ │ │ │ │
│ │ │ │В │Сенеж │8 - 10 │ 3 мм │ │30 - 35│
│ │ │ │ п │ │ │ │ │ │
│ │ │ │В │БС-13 │16 - 20│ 3 мм │ │30 - 35│
│ │ │ │ п │ │ │ │ │ │
│ │ │ │В │ФБС-211 │ 3 - 4 │ 3 мм │ │30 - 35│
│ │ │ │ п │ │ │ │ │ │
│ │ │ │В │Аквабор │ 4 - 5 │ 3 мм │ │30 - 35│
│ │ │ │ п │ │ │ │ │ │
│ │ │ │НП │НМ-Л │ 4 - 5 │ 2 мм │ │30 - 35│
│ │ │ │ п │ │ │ │ │ │
│ ├───────┼──────┼───────┼─────────┼───────┼──────┼──────┼───────┤
│ │ 2 - 3 │Несу- │ВДВ │ХМББ-3324│ 6 - 7 │ - │ 2 мм │30 - 35│
│ │ │щие │ВДВ │ХМФ-БФ │2,5 - 3│ │ 2 мм │30 - 35│
│ │ │ │ВДВ │ХМФС │ 5 - 6 │ │ 2 мм │30 - 35│
│ │ │ │ВДВ │Сенеж │12 - 14│ │ 2 мм │30 - 35│
│ │ │ │ВДВ │ФБС-211 │ 5 - 6 │ │ 2 мм │30 - 35│
│ │ │ │ВДВ │БС-13 │24 - 28│ │ 2 мм │30 - 35│
│ │ │ │ВДВ │Аквабор │ 6 - 7 │ │ 2 мм │30 - 35│
│ │ │ │ВАДВ │НМ-Л │ 4 - 5 │ │ 2 мм │30 - 35│
│ │ │ │ВАДВ │ХМББ-3324│ 5 - 6 │ │ 2 мм │25 - 30│
│ │ │ │ВАДВ │ХМФ-БФ │2 - 2,5│ │ 2 мм │25 - 30│
│ │ │ │ВАДВ │ХМФС │ 4 - 5 │ │ 2 мм │25 - 30│
│ │ │ │ВАДВ │Сенеж │10 - 12│ │ 2 мм │25 - 30│
│ │ │ │ВАДВ │ФБС-211 │ 4 - 5 │ │ 2 мм │25 - 30│
│ │ │ │ВАДВ │БС-13 │20 - 24│ │ 2 мм │25 - 30│
│ │ │ │ВАДВ │Аквабор │ 5 - 6 │ │ 2 мм │25 - 30│
│ │ │ │ППВ │ХМББ-3324│ 5 - 6 │ │ 2 мм │25 - 30│
│ │ │ │ППВ │ХМФ-БФ │2 - 2,5│ │ 2 мм │25 - 30│
│ │ │ │ППВ │ХМФС │ 4 - 5 │ │ 2 мм │25 - 30│
│ │ │ │ППВ │Сенеж │10 - 12│ │ 2 мм │25 - 30│
│ │ │ │ПВ │ФБС-211 │ 4 - 5 │ │ 2 мм │25 - 30│
│ │ │ │ПВ │БС-13 │20 - 24│ │ 2 мм │25 - 30│
│ │ │ │ПВ │Аквабор │ 5 - 6 │ │ 2 мм │25 - 30│
│ │ │ │В │ХМББ-3324│ 4 - 5 │ │ 2 мм │20 - 25│
│ │ │ │ п │ │ │ │ │ │
│ │ │ │В │ХМФ-БФ │1,5 - 2│ │ 2 мм │20 - 25│
│ │ │ │ п │ │ │ │ │ │
│ │ │ │В │ХМФС │ 3 - 4 │ │ 2 мм │20 - 25│
│ │ │ │ п │ │ │ │ │ │
│ │ │ │В │Сенеж │ 8 - 10│ │ 2 мм │20 - 25│
│ │ │ │ п │ │ │ │ │ │
│ │ │ │В │ФБС-211 │ 3 - 4 │ │ 2 мм │20 - 25│
│ │ │ │ п │ │ │ │ │ │
│ │ │ │В │БС-13 │16 - 20│ │ 2 мм │20 - 25│
│ │ │ │ п │ │ │ │ │ │
│ │ │ │В │Аквабор │ 4 - 5 │ │ 2 мм │20 - 25│
│ │ │ │ п │ │ │ │ │ │
│ │ │ │НП │НМ-Л │ 4 - 5 │ │ 2 мм │25 - 30│
│ │ │ │ п │ │ │ │ │ │
│ │ ├──────┼───────┼─────────┼───────┼──────┼──────┼───────┤
│ │ │Нене- │ВДВ │ХМББ-3324│ 5 - 6 │ - │ 2 мм │30 - 35│
│ │ │сущие │ВДВ │ХМФ-БФ │2 - 2,5│ │ 2 мм │30 - 35│
│ │ │ │ВДВ │ХМФС │ 4 - 5 │ │ 2 мм │30 - 35│
│ │ │ │ВДВ │Сенеж │10 - 12│ │ 2 мм │30 - 35│
│ │ │ │ВДВ │ФБС-211 │ 4 - 5 │ │ 2 мм │30 - 35│
│ │ │ │ВДВ │БС-13 │20 - 24│ │ 2 мм │30 - 35│
│ │ │ │ВДВ │Аквабор │ 5 - 6 │ │ 2 мм │30 - 35│
│ │ │ │ВАДВ │НМ-Л │ 3 - 4 │ │ 2 мм │35 - 40│
│ │ │ │ВАДВ │ХМББ-3324│ 4 - 5 │ │ 2 мм │25 - 30│
│ │ │ │ВАДВ │ХМФ-БФ │1,5 - 2│ │ 2 мм │25 - 30│
│ │ │ │ВАДВ │ХМФС │ 3 - 4 │ │ 2 мм │25 - 30│
│ │ │ │ВАДВ │Сенеж │ 8 - 10│ │ 2 мм │25 - 30│
│ │ │ │ВАДВ │ФБС-211 │ 3 - 4 │ │ 2 мм │25 - 30│
│ │ │ │ВАДВ │БС-13 │16 - 20│ │ 2 мм │25 - 30│
│ │ │ │ВАДВ │Аквабор │ 4 - 5 │ │ 2 мм │25 - 30│
│ │ │ │ППВ │ХМББ-3324│ 4 - 5 │ │ 2 мм │25 - 30│
│ │ │ │ППВ │ХМФ-БФ │1,5 - 2│ │ 2 мм │25 - 30│
│ │ │ │ППВ │ХМФС │ 3 - 4 │ │ 2 мм │25 - 30│
│ │ │ │ППВ │Сенеж │ 8 - 10│ │ 2 мм │25 - 30│
│ │ │ │ПВ │ФБС-211 │ 3 - 4 │ │ 2 мм │25 - 30│
│ │ │ │ПВ │БС-13 │16 - 20│ │ 2 мм │25 - 30│
│ │ │ │ПВ │Аквабор │ 4 - 5 │ │ 2 мм │25 - 30│
│ │ │ │В │НМ-Л │ 4 - 5 │ │ 2 мм │35 - 40│
│ │ │ │ п │ │ │ │ │ │
│ │ │ │В │ХМББ-3324│ 3 - 4 │ │ 2 мм │20 - 25│
│ │ │ │ п │ │ │ │ │ │
│ │ │ │В │ХМФ-БФ │1 - 1,5│ │ 2 мм │20 - 25│
│ │ │ │ п │ │ │ │ │ │
│ │ │ │В │ХМФС │2,5 - 3│ │ 2 мм │20 - 25│
│ │ │ │ п │ │ │ │ │ │
│ │ │ │В │Сенеж │ 6 - 8 │ │ 2 мм │20 - 25│
│ │ │ │ п │ │ │ │ │ │
│ │ │ │В │ФБС-211 │2,5 - 3│ │ 2 мм │20 - 25│
│ │ │ │ п │ │ │ │ │ │
│ │ │ │В │БС-13 │12 - 16│ │ 2 мм │20 - 25│
│ │ │ │ п │ │ │ │ │ │
│ │ │ │В │Аквабор │ 3 - 4 │ │ 2 мм │20 - 25│
│ │ │ │ п │ │ │ │ │ │
│ │ │ │НП │НМ-Л │ 3 - 4 │ │ 2 мм │25 - 30│
│ │ │ │ п │ │ │ │ │ │
├───────┼───────┼──────┼───────┼─────────┼───────┼──────┼──────┼───────┤
│ VIII │ 1 │Несу- │ВДВ │ХМББ-3324│ 8 - 9 │ 8 мм │ - │40 - 45│
│ │ │щие │ВДВ │ХМФ-БФ │ 3 - 4 │ 8 мм │ │40 - 45│
│ │ │ │ВДВ │ХМФС │ 6 - 7 │ 8 мм │ │40 - 45│
│ │ │ │ВДВ │Сенеж │16 - 18│ 8 мм │ │40 - 45│
│ │ │ │ВДВ │ФБС-211 │ 6 - 7 │ 8 мм │ │40 - 45│
│ │ │ │ВАДВ │НМ-Л │ 5 - 6 │ 5 мм │ │30 - 35│
│ │ │ │ВАДВ │ХМББ-3324│ 7 - 8 │ 5 мм │ │35 - 40│
│ │ │ │ВАДВ │ХМББ-1212│ 7 - 8 │ 5 мм │ │35 - 40│
│ │ │ │ВАДВ │ХМФ-БФ │2,5 - │ 5 мм │ │35 - 40│
│ │ │ │ │ │ 3,5│ │ │ │
│ │ │ │ВАДВ │ХМФС │5,5 - │ 5 мм │ │35 - 40│
│ │ │ │ │ │ 6,5│ │ │ │
│ │ │ │ВАДВ │Сенеж │14 - 16│ 5 мм │ │35 - 40│
│ │ │ │ВАДВ │ФБС-211 │5,5 - │ 5 мм │ │35 - 40│
│ │ │ │ │ │ 6,5│ │ │ │
│ │ │ │ППВ │ХМББ-3324│ 7 - 8 │ 5 мм │ │35 - 40│
│ │ │ │ППВ │ХМФ-БФ │2,5 - │ 5 мм │ │35 - 40│
│ │ │ │ │ │ 3,5│ │ │ │
│ │ │ │ППВ │ХМФС │5,5 - │ 5 мм │ │35 - 40│
│ │ │ │ │ │ 6,5│ │ │ │
│ │ │ │ППВ │Сенеж │14 - 16│ 5 мм │ │35 - 40│
│ │ │ │ПВ │ФБС-211 │5,5 - │ 5 мм │ │35 - 40│
│ │ │ │ │ │ 6,5│ │ │ │
│ │ │ │В │НМ-Л │ 5 - 6 │ 5 мм │ │30 - 35│
│ │ │ │ п │ │ │ │ │ │
│ │ │ │В │ХМББ-3324│ 6 - 7 │ 3 мм │ │30 - 35│
│ │ │ │ п │ │ │ │ │ │
│ │ │ │В │ХМФ-БФ │ 2 - 3 │ 3 мм │ │30 - 35│
│ │ │ │ п │ │ │ │ │ │
│ │ │ │В │ХМФС │ 5 - 6 │ 3 мм │ │30 - 35│
│ │ │ │ п │ │ │ │ │ │
│ │ │ │В │Сенеж │12 - 14│ 3 мм │ │30 - 35│
│ │ │ │ п │ │ │ │ │ │
│ │ │ │В │ФБС-211 │ 5 - 6 │ 3 мм │ │30 - 35│
│ │ │ │ п │ │ │ │ │ │
│ │ │ │НП │НМ-Л │ 5 - 6 │ 2 мм │ │20 - 25│
│ │ │ │ п │ │ │ │ │ │
│ │ ├──────┼───────┼─────────┼───────┼──────┼──────┼───────┤
│ │ │Нене- │ВДВ │ХМББ-3324│ 7 - 8 │ 6 мм │ - │40 - 45│
│ │ │сущие │ВДВ │ХМФ-БФ │2,5 - │ 6 мм │ │40 - 45│
│ │ │ │ │ │ 3,5│ │ │ │
│ │ │ │ВДВ │ХМФС │5,5 - │ 6 мм │ │40 - 45│
│ │ │ │ │ │ 6,5│ │ │ │
│ │ │ │ВДВ │Сенеж │14 - 16│ 6 мм │ │40 - 45│
│ │ │ │ВДВ │ФБС-211 │5,5 - │ 6 мм │ │40 - 45│
│ │ │ │ │ │ 6,5│ │ │ │
│ │ │ │ВАДВ │НМ-Л │ 5 - 6 │ 5 мм │ │35 - 40│
│ │ │ │ВАДВ │ХМББ-3324│ 6 - 7 │ 4 мм │ │35 - 40│
│ │ │ │ВАДВ │ХМББ-1212│ 6 - 7 │ 4 мм │ │35 - 40│
│ │ │ │ВАДВ │ХМФ-БФ │ 2 - 3 │ 4 мм │ │35 - 40│
│ │ │ │ВАДВ │ХМФС │ 5 - 6 │ 4 мм │ │35 - 40│
│ │ │ │ВАДВ │Сенеж │12 - 14│ 4 мм │ │35 - 40│
│ │ │ │ВАДВ │ФБС-211 │ 5 - 6 │ 4 мм │ │35 - 40│
│ │ │ │ППВ │ХМББ-3324│ 6 - 7 │ 4 мм │ │35 - 40│
│ │ │ │ППВ │ХМФ-БФ │ 2 - 3 │ 4 мм │ │35 - 40│
│ │ │ │ППВ │ХМФС │ 5 - 6 │ 4 мм │ │35 - 40│
│ │ │ │ППВ │Сенеж │12 - 14│ 4 мм │ │35 - 40│
│ │ │ │ПВ │ФБС-211 │ 5 - 6 │ 4 мм │ │35 - 40│
│ │ │ │В │НМ-Л │ 4 - 5 │ 5 мм │ │35 - 40│
│ │ │ │ п │ │ │ │ │ │
│ │ │ │В │ХМББ-3324│ 5 - 6 │ 3 мм │ │30 - 35│
│ │ │ │ п │ │ │ │ │ │
│ │ │ │В │ХМФС │ 4 - 5 │ 3 мм │ │30 - 35│
│ │ │ │ п │ │ │ │ │ │
│ │ │ │В │ХМФ-БФ │2 - 2,5│ 3 мм │ │30 - 35│
│ │ │ │ п │ │ │ │ │ │
│ │ │ │В │Сенеж │10 - 12│ 3 мм │ │30 - 35│
│ │ │ │ п │ │ │ │ │ │
│ │ │ │В │ФБС-211 │ 4 - 5 │ 3 мм │ │30 - 35│
│ │ │ │ п │ │ │ │ │ │
│ │ │ │НП │НМ-Л │ 4 - 5 │ 2 мм │ │25 - 30│
│ │ │ │ п │ │ │ │ │ │
│ ├───────┼──────┼───────┼─────────┼───────┼──────┼──────┼───────┤
│ │ 2 - 3 │Несу- │ВДВ │ХМББ-3324│ 7 - 8 │ - │ 2 мм │30 - 35│
│ │ │щие │ВДВ │ХМФ-БФ │2,5 - │ │ 2 мм │30 - 35│
│ │ │ │ │ │ 3,5│ │ │ │
│ │ │ │ВДВ │ХМФС │5,5 - │ │ 2 мм │30 - 35│
│ │ │ │ │ │ 6,5│ │ │ │
│ │ │ │ВДВ │Сенеж │14 - 16│ │ 2 мм │30 - 35│
│ │ │ │ВДВ │ФБС-211 │5,5 - │ │ 2 мм │30 - 35│
│ │ │ │ │ │ 6,5│ │ │ │
│ │ │ │ВАДВ │НМ-Л │ 5 - 6 │ │ 2 мм │30 - 35│
│ │ │ │ВАДВ │ХМББ-3324│ 6 - 7 │ │ 2 мм │25 - 30│
│ │ │ │ВАДВ │ХМФ-БФ │ 2 - 3 │ │ 2 мм │25 - 30│
│ │ │ │ВАДВ │ХМФС │ 5 - 6 │ │ 2 мм │25 - 30│
│ │ │ │ВАДВ │Сенеж │12 - 14│ │ 2 мм │25 - 30│
│ │ │ │ВАДВ │ФБС-211 │ 5 - 6 │ │ 2 мм │25 - 30│
│ │ │ │ППВ │ХМББ-3324│ 6 - 7 │ │ 2 мм │25 - 30│
│ │ │ │ППВ │ХМФ-БФ │ 2 - 3 │ │ 2 мм │25 - 30│
│ │ │ │ППВ │ХМФС │ 5 - 6 │ │ 2 мм │25 - 30│
│ │ │ │ППВ │Сенеж │12 - 14│ │ 2 мм │25 - 30│
│ │ │ │ПВ │ФБС-211 │ 5 - 6 │ │ 2 мм │25 - 30│
│ │ │ │В │НМ-Л │ 5 - 6 │ │ 2 мм │25 - 30│
│ │ │ │ п │ │ │ │ │ │
│ │ │ │В │ХМББ-3324│ 5 - 6 │ │ 2 мм │20 - 25│
│ │ │ │ п │ │ │ │ │ │
│ │ │ │В │ХМФ-БФ │2 - 2,5│ │ 2 мм │20 - 25│
│ │ │ │ п │ │ │ │ │ │
│ │ │ │В │ХМФС │ 4 - 5 │ │ 2 мм │20 - 25│
│ │ │ │ п │ │ │ │ │ │
│ │ │ │В │Сенеж │10 - 12│ │ 2 мм │20 - 25│
│ │ │ │ п │ │ │ │ │ │
│ │ │ │В │ФБС-211 │ 4 - 5 │ │ 2 мм │20 - 25│
│ │ │ │ п │ │ │ │ │ │
│ │ │ │НП │НМ-Л │ 5 - 6 │ │ 2 мм │20 - 25│
│ │ │ │ п │ │ │ │ │ │
│ │ ├──────┼───────┼─────────┼───────┼──────┼──────┼───────┤
│ │ │Нене- │ВДВ │ХМББ-3324│ 6 - 7 │ - │ 2 мм │30 - 35│
│ │ │сущие │ВДВ │ХМФ-БФ │ 2 - 3 │ │ 2 мм │30 - 35│
│ │ │ │ВДВ │ХМФС │ 5 - 6 │ │ 2 мм │30 - 35│
│ │ │ │ВДВ │Сенеж │12 - 14│ │ 2 мм │30 - 35│
│ │ │ │ВДВ │ФБС-211 │ 5 - 6 │ │ 2 мм │30 - 35│
│ │ │ │ВАДВ │НМ-Л │ 5 - 6 │ │ 2 мм │35 - 40│
│ │ │ │ВАДВ │ХМББ-3324│ 5 - 6 │ │ 2 мм │25 - 30│
│ │ │ │ВАДВ │ХМФ-БФ │2 - 2,5│ │ 2 мм │25 - 30│
│ │ │ │ВАДВ │ХМФС │ 4 - 5 │ │ 2 мм │25 - 30│
│ │ │ │ВАДВ │Сенеж │10 - 12│ │ 2 мм │25 - 30│
│ │ │ │ВАДВ │ФБС-211 │ 4 - 5 │ │ 2 мм │25 - 30│
│ │ │ │ППВ │ХМББ-3324│ 5 - 6 │ │ 2 мм │25 - 30│
│ │ │ │ППВ │ХМФ-БФ │2 - 2,5│ │ 2 мм │25 - 30│
│ │ │ │ППВ │ХМФС │ 4 - 5 │ │ 2 мм │25 - 30│
│ │ │ │ППВ │Сенеж │10 - 12│ │ 2 мм │25 - 30│
│ │ │ │ПВ │ФБС-211 │ 4 - 5 │ │ 2 мм │25 - 30│
│ │ │ │В │НМ-Л │ 5 - 6 │ │ 2 мм │30 - 35│
│ │ │ │ п │ │ │ │ │ │
│ │ │ │В │ХМББ-3324│ 4 - 5 │ │ 2 мм │20 - 25│
│ │ │ │ п │ │ │ │ │ │
│ │ │ │В │ХМБ-БФ │1,5 - 2│ │ 2 мм │20 - 25│
│ │ │ │ п │ │ │ │ │ │
│ │ │ │В │ХМФС │ 3 - 4 │ │ 2 мм │20 - 25│
│ │ │ │ п │ │ │ │ │ │
│ │ │ │В │Сенеж │ 8 - 10│ │ 2 мм │20 - 25│
│ │ │ │ п │ │ │ │ │ │
│ │ │ │В │ФБС-211 │ 3 - 4 │ │ 2 мм │20 - 25│
│ │ │ │ п │ │ │ │ │ │
│ │ │ │НП │НМ-Л │ 4 - 5 │ │ 2 мм │25 - 30│
│ │ │ │ п │ │ │ │ │ │
├───────┼───────┼──────┼───────┼─────────┼───────┼──────┼──────┼───────┤
│ IX │ 1 │Несу- │ДДВ │КМ │80 - │ 8 мм │ - │45 - 50│
│ │ │щие │ │ │ 100│ │ │ │
│ │ │ │ДДВ │НМ-М │ 6 - 9 │ 8 мм │ │45 - 50│
│ │ │ │ДВ │СМ │100 - │ 8 мм │ │45 - 50│
│ │ │ │ │ │ 130│ │ │ │
│ │ │ │ВДВ │ХМББ-3324│ 9 - 10│ 8 мм │ │40 - 45│
│ │ │ │ВДВ │ХМФ-БФ │3,5 - 4│ 8 мм │ │40 - 45│
│ │ │ │ВДВ │ХМФС │ 7 - 8 │ 8 мм │ │40 - 45│
│ │ │ │ВДВ │Сенеж │18 - 20│ 8 мм │ │40 - 45│
│ │ │ │ВАДВ │ХМББ-3324│ 8 - 9 │ 5 мм │ │35 - 40│
│ │ │ │ВАДВ │ХМББ-1212│ 8 - 9 │ 5 мм │ │35 - 40│
│ │ │ │ВАДВ │ХМФ-БФ │3 - 3,5│ 5 мм │ │35 - 40│
│ │ │ │ВАДВ │ХМФС │ 6 - 7 │ 5 мм │ │35 - 40│
│ │ │ │ВАДВ │Сенеж │14 - 16│ 5 мм │ │35 - 40│
│ │ │ │ППВ │ХМББ-3324│ 8 - 9 │ 5 мм │ │35 - 40│
│ │ │ │ППВ │ХМФ-БФ │3 - 3,5│ 5 мм │ │35 - 40│
│ │ │ │ППВ │ХМФС │5,5 - │ 5 мм │ │35 - 40│
│ │ │ │ │ │ 6,5│ │ │ │
│ │ │ │ППВ │Сенеж │14 - 16│ 5 мм │ │35 - 40│
│ │ │ │В │ХМББ-3324│ 7 - 8 │ 3 мм │ │30 - 35│
│ │ │ │ п │ │ │ │ │ │
│ │ │ │В │ХМФ-БФ │ 2 - 3 │ 3 мм │ │30 - 35│
│ │ │ │ п │ │ │ │ │ │
│ │ │ │В │ХМФС │ 5 - 6 │ 3 мм │ │30 - 35│
│ │ │ │ п │ │ │ │ │ │
│ │ │ │В │Сенеж │12 - 14│ 3 мм │ │30 - 35│
│ │ │ │ п │ │ │ │ │ │
│ │ ├──────┼───────┼─────────┼───────┼──────┼──────┼───────┤
│ │ │Нене- │ДДВ │НМ-М │ 4 - 6 │ 8 мм │ - │45 - 50│
│ │ │сущие │ВДВ │ХМББ-3324│ 8 - 9 │ 6 мм │ │40 - 45│
│ │ │ │ВДВ │ХМФ-БФ │3 - 3,5│ 6 мм │ │40 - 45│
│ │ │ │ВДВ │ХМФС │ 6 - 7 │ 6 мм │ │40 - 45│
│ │ │ │ВДВ │Сенеж │16 - 18│ 6 мм │ │40 - 45│
│ │ │ │ВАДВ │ХМББ-3324│ 7 - 8 │ 4 мм │ │35 - 40│
│ │ │ │ВАДВ │ХМФ-БФ │2,5 - 3│ 4 мм │ │35 - 40│
│ │ │ │ВАДВ │Сенеж │14 - 16│ 4 мм │ │35 - 40│
│ │ │ │ВАДВ │ХМФС │5,5 - │ 4 мм │ │35 - 40│
│ │ │ │ │ │ 6,5│ │ │ │
│ │ │ │ППВ │ХМББ-3324│ 7 - 8 │ 4 мм │ │35 - 40│
│ │ │ │ППВ │ХМФ-БФ │2,5 - 3│ 4 мм │ │35 - 40│
│ │ │ │ППВ │ХМФС │5,5 - │ 4 мм │ │35 - 40│
│ │ │ │ │ │ 6,5│ │ │ │
│ │ │ │ППВ │Сенеж │14 - 16│ 4 мм │ │35 - 40│
│ │ │ │В │ХМББ-3324│ 6 - 7 │ 3 мм │ │30 - 35│
│ │ │ │ п │ │ │ │ │ │
│ │ │ │В │ХМФ-БФ │ 2 - 3 │ 3 мм │ │30 - 35│
│ │ │ │ п │ │ │ │ │ │
│ │ │ │В │ХМФС │ 5 - 6 │ 3 мм │ │30 - 35│
│ │ │ │ п │ │ │ │ │ │
│ │ │ │В │Сенеж │12 - 14│ 3 мм │ │30 - 35│
│ │ │ │ п │ │ │ │ │ │
│ ├───────┼──────┼───────┼─────────┼───────┼──────┼──────┼───────┤
│ │ 2 - 3 │Несу- │ДДВ │КМ │60 - 90│ - │ 2 мм │40 - 45│
│ │ │щие │ДДВ │НМ-М │ 5 - 8 │ │ 2 мм │40 - 45│
│ │ │ │ДВ │СМ │80 - │ │ 2 мм │40 - 45│
│ │ │ │ │ │ 110│ │ │ │
│ │ │ │ВДВ │ХМББ-3324│ 8 - 9 │ │ 2 мм │30 - 35│
│ │ │ │ВДВ │ХМФ-БФ │3 - 3,5│ │ 2 мм │30 - 35│
│ │ │ │ВДВ │ХМФС │ 6 - 7 │ │ 2 мм │30 - 35│
│ │ │ │ВДВ │Сенеж │12 - 14│ │ 2 мм │30 - 35│
│ │ │ │ВАДВ │ХМББ-3324│ 7 - 8 │ │ 2 мм │25 - 30│
│ │ │ │ВАДВ │ХМББ-1212│ 7 - 8 │ │ 2 мм │25 - 30│
│ │ │ │ВАДВ │ХМФ-БФ │2,5 - 3│ │ 2 мм │25 - 30│
│ │ │ │ВАДВ │ХМФС │5,5 - │ │ 2 мм │25 - 30│
│ │ │ │ │ │ 6,5│ │ │ │
│ │ │ │ВАДВ │Сенеж │14 - 16│ │ 2 мм │25 - 30│
│ │ │ │ППВ │ХМББ-3324│ 7 - 8 │ │ 2 мм │25 - 30│
│ │ │ │ППВ │ХМФ-БФ │2,5 - 3│ │ 2 мм │25 - 30│
│ │ │ │ППВ │ХМФС │5,5 - │ │ 2 мм │25 - 30│
│ │ │ │ │ │ 6,5│ │ │ │
│ │ │ │ППВ │Сенеж │14 - 16│ │ 2 мм │25 - 30│
│ │ │ │В │ХМББ-3324│ 6 - 7 │ │ 2 мм │20 - 25│
│ │ │ │ п │ │ │ │ │ │
│ │ │ │В │ХМФ-БФ │ 2 - 3 │ │ 2 мм │20 - 25│
│ │ │ │ п │ │ │ │ │ │
│ │ │ │В │ХМФС │ 5 - 6 │ │ 2 мм │20 - 25│
│ │ │ │ п │ │ │ │ │ │
│ │ │ │В │Сенеж │12 - 14│ │ 2 мм │20 - 25│
│ │ │ │ п │ │ │ │ │ │
│ │ ├──────┼───────┼─────────┼───────┼──────┼──────┼───────┤
│ │ │Нене- │ДДВ │НМ-М │ 4 - 7 │ - │ 2 мм │40 - 45│
│ │ │сущие │ВДВ │ХМББ-3324│ 7 - 8 │ │ 2 мм │30 - 35│
│ │ │ │ВДВ │ХМФ-БФ │2,5 - │ │ 2 мм │30 - 35│
│ │ │ │ │ │ 3,5│ │ │ │
│ │ │ │ВДВ │ХМФС │5,5 - │ │ 2 мм │30 - 35│
│ │ │ │ │ │ 6,5│ │ │ │
│ │ │ │ВДВ │Сенеж │14 - 16│ │ 2 мм │30 - 35│
│ │ │ │ВАДВ │ХМББ-3324│ 6 - 7 │ │ 2 мм │25 - 30│
│ │ │ │ВАДВ │ХМББ-1212│ 6 - 7 │ │ 2 мм │25 - 30│
│ │ │ │ВАДВ │ХМФ-БФ │ 2 - 3 │ │ 2 мм │25 - 30│
│ │ │ │ВАДВ │ХМФС │ 5 - 6 │ │ 2 мм │25 - 30│
│ │ │ │ВАДВ │Сенеж │12 - 14│ │ 2 мм │25 - 30│
│ │ │ │ППВ │ХМББ-3324│ 6 - 7 │ │ 2 мм │25 - 30│
│ │ │ │ППВ │ХМФ-БФ │ 2 - 3 │ │ 2 мм │25 - 30│
│ │ │ │ППВ │ХМФС │ 5 - 6 │ │ 2 мм │25 - 30│
│ │ │ │ППВ │Сенеж │12 - 14│ │ 2 мм │25 - 30│
│ │ │ │ПВ │НМ-М │ 4 - 8 │ │ 2 мм │35 - 40│
│ │ │ │В │ХМББ-3324│ 5 - 6 │ │ 2 мм │20 - 25│
│ │ │ │ п │ │ │ │ │ │
│ │ │ │В │ХМФ-БФ │2 - 2,5│ │ 2 мм │20 - 25│
│ │ │ │ п │ │ │ │ │ │
│ │ │ │В │ХМФС │ 4 - 5 │ │ 2 мм │20 - 25│
│ │ │ │ п │ │ │ │ │ │
│ │ │ │В │Сенеж │10 - 12│ │ 2 мм │20 - 25│
│ │ │ │ п │ │ │ │ │ │
├───────┼───────┼──────┼───────┼─────────┼───────┼──────┼──────┼───────┤
│ X │ 1 │Несу- │ДДВ │КМ │90 - │ 8 мм │ - │45 - 50│
│ │ │щие │ │ │ 120│ │ │ │
│ │ │ │ДДВ │НМ-М │7 - 10 │ 8 мм │ │40 - 45│
│ │ │ │ДВ │СМ │110 - │ 8 мм │ │45 - 50│
│ │ │ │ │ │ 140│ │ │ │
│ │ │ │ВДВ │ХМББ-3324│9 - 10 │ 8 мм │ │35 - 40│
│ │ │ │ВДВ │ХМФ-БФ │3,5 - 4│ 8 мм │ │35 - 40│
│ │ │ │ВДВ │ХМФС │ 7 - 8 │ 8 мм │ │35 - 40│
│ │ │ │ВДВ │Сенеж │18 - 20│ 8 мм │ │35 - 40│
│ │ │ │ВАДВ │ХМББ-3324│ 8 - 9 │ 5 мм │ │30 - 35│
│ │ │ │ВАДВ │ХМББ-1212│ 8 - 9 │ 5 мм │ │30 - 35│
│ │ │ │ВАДВ │ХМФ-БФ │3 - 3,5│ 5 мм │ │30 - 35│
│ │ │ │ВАДВ │ХМФС │ 6 - 7 │ 5 мм │ │30 - 35│
│ │ │ │ВАДВ │Сенеж │16 - 18│ 5 мм │ │30 - 35│
│ │ │ │ППВ │ХМББ-3324│ 8 - 9 │ 5 мм │ │30 - 35│
│ │ │ │ППВ │ХМФ-БФ │3 - 3,5│ 5 мм │ │30 - 35│
│ │ │ │ППВ │ХМФС │ 6 - 7 │ 5 мм │ │30 - 35│
│ │ │ │ППВ │Сенеж │16 - 18│ 5 мм │ │30 - 35│
│ │ │ │В │ХМББ-3324│ 7 - 8 │ 3 мм │ │25 - 30│
│ │ │ │ п │ │ │ │ │ │
│ │ │ │В │ХМФ-БФ │2,5 - │ 3 мм │ │25 - 30│
│ │ │ │ п │ │ 3,5│ │ │ │
│ │ │ │В │ХМФС │5,5 - │ 3 мм │ │25 - 30│
│ │ │ │ п │ │ 6,5│ │ │ │
│ │ │ │В │Сенеж │14 - 16│ 3 мм │ │25 - 30│
│ │ │ │ п │ │ │ │ │ │
│ │ ├──────┼───────┼─────────┼───────┼──────┼──────┼───────┤
│ │ │Нене- │ДДВ │КМ │50 - 80│ 8 мм │ - │45 - 50│
│ │ │сущие │ДДВ │СМ │60 - 90│ 8 мм │ │45 - 50│
│ │ │ │ДДВ │НМ-М │ 6 - 9 │ 8 мм │ │45 - 50│
│ │ │ │ВДВ │ХМББ-3324│ 8 - 9 │ 6 мм │ │35 - 40│
│ │ │ │ВДВ │ХМФ-БФ │3 - 3,5│ 6 мм │ │35 - 40│
│ │ │ │ВДВ │ХМФС │ 6 - 7 │ 6 мм │ │35 - 40│
│ │ │ │ВДВ │Сенеж │16 - 18│ 6 мм │ │35 - 40│
│ │ │ │ВАДВ │ХМББ-3324│ 7 - 8 │ 4 мм │ │30 - 35│
│ │ │ │ВАДВ │ХМББ-1212│ 7 - 8 │ 4 мм │ │30 - 35│
│ │ │ │ВАДВ │ХМФ-БФ │2,5 - │ 4 мм │ │30 - 35│
│ │ │ │ │ │ 3,5│ │ │ │
│ │ │ │ВАДВ │ХМФС │5,5 - │ 4 мм │ │30 - 35│
│ │ │ │ │ │ 6,5│ │ │ │
│ │ │ │ВАДВ │Сенеж │14 - 16│ 4 мм │ │30 - 35│
│ │ │ │ППВ │ХМББ-3324│ 7 - 8 │ 4 мм │ │30 - 35│
│ │ │ │ППВ │ХМФ-БФ │2,5 - │ 4 мм │ │30 - 35│
│ │ │ │ │ │ 3,5│ │ │ │
│ │ │ │ППВ │ХМФС │5,5 - │ 4 мм │ │30 - 35│
│ │ │ │ │ │ 6,5│ │ │ │
│ │ │ │ППВ │Сенеж │14 - 16│ 4 мм │ │30 - 35│
│ │ │ │В │ХМББ-3324│ 6 - 7 │ 3 мм │ │25 - 30│
│ │ │ │ п │ │ │ │ │ │
│ │ │ │В │ХМФ-БФ │ 2 - 3 │ 3 мм │ │25 - 30│
│ │ │ │ п │ │ │ │ │ │
│ │ │ │В │ХМФС │ 5 - 6 │ 3 мм │ │25 - 30│
│ │ │ │ п │ │ │ │ │ │
│ │ │ │В │Сенеж │12 - 14│ 3 мм │ │25 - 30│
│ │ │ │ п │ │ │ │ │ │
├───────┼───────┼──────┼───────┼─────────┼───────┼──────┼──────┼───────┤
│ XII │ 1 │Несу- │ДВ │КМ │120 - │10 мм │ - │45 - 50│
│ │ │щие │ │ │ 150│ │ │ │
│ │ │ │ДВ │НМ-М │10 - 14│10 мм │ │40 - 45│
│ │ │ │ВДВ │СМ │150 - │10 мм │ │45 - 50│
│ │ │ │ │ │ 170│ │ │ │
│ │ │ │ВДВ │ХМ-11 │13 - 15│10 мм │ │45 - 50│
│ │ │ │ВДВ │ХМК-661 │10 - 11│10 мм │ │40 - 45│
│ │ │ │ВДВ │ХМФ-221 │ 9 - 10│10 мм │ │35 - 40│
│ │ │ │ВДВ │ХМФ-БФ │ 4 - 5 │10 мм │ │40 - 45│
│ │ │ │ВДВ │ХМФС │ 8 - 9 │10 мм │ │40 - 45│
│ │ │ │ВДВ │Сенеж │20 - 22│10 мм │ │40 - 45│
│введенное в действие Приказом Росстандарта от 29.05.2012 N 93-ст │
│ │ │ │ВДВ │ХМ-32 │12 - 14│10 мм │ - │45 - 50│
│ │ │ │ │ │ │ │ │ │
│Росстандарта от 29.05.2012 N 93-ст) │
│ │ ├──────┼───────┼─────────┼───────┼──────┼──────┼───────┤
│ │ │Нене- │ДДВ │КМ │80 - │ 8 мм │ - │45 - 50│
│ │ │сущие │ │ │ 110│ │ │ │
│ │ │ │ДДВ │СМ │90 - │ 8 мм │ │45 - 50│
│ │ │ │ │ │ 120│ │ │ │
│ │ │ │ДДВ │НМ-М │9 - 12 │ 8 мм │ │45 - 50│
│ │ │ │ВДВ │ХМ-11 │9 - 11 │10 мм │ │45 - 50│
│ │ │ │ВДВ │ХМК-661 │9 - 10 │ 8 мм │ │35 - 40│
│ │ │ │ВДВ │ХМФ-221 │9 - 10 │ 8 мм │ │30 - 35│
│ │ │ │ВДВ │ХМФ-БФ │3,5 - 4│ 8 мм │ │35 - 40│
│ │ │ │ВДВ │ХМФС │ 7 - 8 │ 8 мм │ │35 - 40│
│ │ │ │ВДВ │Сенеж │18 - 20│ 8 мм │ │35 - 40│
│введенное в действие Приказом Росстандарта от 29.05.2012 N 93-ст │
│ │ │ │ВАДВ │ХМ-11 │ 6 - 8 │ 5 мм │ │25 - 30│
│ │ │ │ВАДВ │ХМК-661 │ 8 - 9 │ 5 мм │ │30 - 35│
│ │ │ │ВАДВ │ХМФ-221 │ 8 - 9 │ 5 мм │ │25 - 30│
│ │ │ │ВАДВ │ХМФ-БФ │3 - 3,5│ 5 мм │ │30 - 35│
│ │ │ │ВАДВ │ХМФС │ 6 - 7 │ 5 мм │ │30 - 35│
│ │ │ │ВАДВ │Сенеж │16 - 18│ 5 мм │ │30 - 35│
│введенное в действие Приказом Росстандарта от 29.05.2012 N 93-ст │
│ │ │ │ППВ │ХМ-11 │ 6 - 8 │ 5 мм │ │25 - 30│
│ │ │ │ППВ │ХМК-661 │ 8 - 9 │ 5 мм │ │30 - 35│
│ │ │ │ППВ │ХМФ-221 │ 8 - 9 │ 5 мм │ │25 - 30│
│ │ │ │ППВ │ХМФ-БФ │3 - 3,5│ 5 мм │ │30 - 35│
│ │ │ │ППВ │ХМФС │ 6 - 7 │ 5 мм │ │30 - 35│
│ │ │ │ППВ │Сенеж │16 - 18│ 5 мм │ │30 - 35│
│ │ │ │ПВ │НМ-М │ 9 - 12│ 5 мм │ │35 - 40│
│ │ │ │В │ХМ-11 │ 6 - 8 │ 3 мм │ │15 - 20│
│ │ │ │ п │ │ │ │ │ │
│ │ │ │В │ХМК-661 │ 7 - 8 │ 3 мм │ │25 - 30│
│ │ │ │ п │ │ │ │ │ │
│ │ │ │В │ХМФ-221 │ 7 - 8 │ 3 мм │ │20 - 25│
│ │ │ │ п │ │ │ │ │ │
│ │ │ │В │ХМФ-БФ │2,5 - │ 3 мм │ │25 - 30│
│ │ │ │ п │ │ 3,5│ │ │ │
│ │ │ │В │ХМФС │5,5 - │ 3 мм │ │25 - 30│
│ │ │ │ п │ │ 6,5│ │ │ │
│ │ │ │В │Сенеж │14 - 16│ 3 мм │ │25 - 30│
│ │ │ │ п │ │ │ │ │ │
│ │ │ │ВДВ │ХМ-32 │ 9 - 11│10 мм │ - │45 - 50│
│Росстандарта от 29.05.2012 N 93-ст) │
│ │ │ │ВАДВ │ХМ-32 │ 6 - 8 │ 5 мм │ - │25 - 30│
│Росстандарта от 29.05.2012 N 93-ст) │
│ │ │ │ППВ │ХМ-32 │ 6 - 8 │ 5 мм │ - │25 - 30│
│Росстандарта от 29.05.2012 N 93-ст) │
│ │ │ │Вп │ХМ-32 │ 6 - 8 │ 3 мм │ - │20 - 25│
│Росстандарта от 29.05.2012 N 93-ст) │
│ │ │ │ВАДВ │Элемсепт │3,5 - │ 5 мм │ - │30 - 35│
│ │ │ │ │ │ 4,0│ │ │ │
│Росстандарта от 29.05.2012 N 93-ст) │
├───────┼───────┼──────┼───────┼─────────┼───────┼──────┼──────┼───────┤
│ XIII │ 1 │Несу- │ВДВ │КМ │140 - │Сквоз-│ - │45 - 50│
│ │ │щие │ │ │ 170│ная │ │ │
│ │ │ │ВДВ │СМ │160 - │То же │ │45 - 50│
│ │ │ │ │ │ 190│ │ │ │
│ │ │ │ВДВ │НМ-М │12 - 15│ " │ │40 - 45│
│ │ │ │ВДВ │ХМ-11 │13 - 15│ " │ │40 - 45│
│ │ │ │ВДВ │ХМК-661 │ 9 - 10│ " │ │30 - 35│
│ │ │ │ВДВ │ХМФ-221 │10 - 11│ " │ │35 - 40│
│ │ │ │ВДВ │ХМФ-БФ │ 4 - 5 │ " │ │35 - 40│
│ │ │ │ВДВ │ХМФС │ 8 - 9 │ " │ │35 - 40│
│ │ │ │ВДВ │Сенеж │20 - 22│ " │ │35 - 40│
│введенное в действие Приказом Росстандарта от 29.05.2012 N 93-ст │
│ │ │ │ВДВ │Элемсепт │ 4 - 5 │Скво- │ - │35 - 40│
│ │ │ │ │ │ │зная │ │ │
│Росстандарта от 29.05.2012 N 93-ст) │
│ │ │ │ВДВ │ХМ-32 │12 - 24│Скво- │ - │40 - 45│
│ │ │ │ │ │ │зная │ │ │
│Росстандарта от 29.05.2012 N 93-ст) │
│ │ ├──────┼───────┼─────────┼───────┼──────┼──────┼───────┤
│ │ │Нене- │ДДВ │КМ │90 - │10 мм │ - │45 - 50│
│ │ │сущие │ │ │ 120│ │ │ │
│ │ │ │ДДВ │НМ-М │10 - 14│10 мм │ │40 - 45│
│ │ │ │ДВ │СМ │110 - │10 мм │ │45 - 50│
│ │ │ │ │ │ 140│ │ │ │
│ │ │ │ВДВ │ХМ-11 │10 - 12│10 мм │ │45 - 50│
│ │ │ │ВДВ │ХМК-661 │ 8 - 9 │ 8 мм │ │30 - 35│
│ │ │ │ВДВ │ХМФ-221 │ 9 - 10│ 8 мм │ │35 - 40│
│ │ │ │ВДВ │ХМФ-БФ │ 4 - 5 │ 8 мм │ │35 - 40│
│ │ │ │ВДВ │ХМФС │ 8 - 9 │ 8 мм │ │35 - 40│
│ │ │ │ВДВ │Сенеж │20 - 22│ 8 мм │ │35 - 40│
│введенное в действие Приказом Росстандарта от 29.05.2012 N 93-ст │
│ │ │ │ВДВ │Элемсепт │ 4 - 5 │ 8 мм │ - │35 - 40│
│Росстандарта от 29.05.2012 N 93-ст) │
│ │ │ │ВДВ │ХМ-32 │10 - 12│10 мм │ - │45 - 50│
│Росстандарта от 29.05.2012 N 93-ст) │
├───────┼───────┼──────┼───────┼─────────┼───────┼──────┼──────┼───────┤
│ XIV │ 1 │Несу- │ДДВ │КМ │120 - │Сквоз-│ - │ 20 │
│ │ │щие │ │ │ 140│ная │ │ │
├───────┼───────┼──────┼───────┼─────────┼───────┼──────┼──────┼───────┤
│ XV │ 1 │Несу- │ВДВ │КМ │150 - │Сквоз-│ - │45 - 50│
│ │ │щие │ │ │ 180│ная │ │ │
│ │ │ │ВДВ │СМ │170 - │Сквоз-│ - │45 - 50│
│ │ │ │ │ │ 200│ная │ │ │
│ │ ├──────┼───────┼─────────┼───────┼──────┼──────┼───────┤
│ │ │Нене- │ДВ │КМ │110 - │Сквоз-│ - │45 - 50│
│ │ │сущие │ │ │ 140│ная │ │ │
│ │ │ │ДВ │СМ │120 - │То же │ │45 - 50│
│ │ │ │ │ │ 150│ │ │ │
│ │ │ │ДВ │НМ-М │12 - 15│ " │ │40 - 45│
├───────┼───────┼──────┼───────┼─────────┼───────┼──────┼──────┼───────┤
│ XVI │ 1 │Несу- │ВДВ │КМ │170 - │Сквоз-│ - │45 - 50│
│ │ │щие │ │ │ 200│ная │ │ │
│ │ │ │ВДВ │СМ │190 - │То же │ │45 - 50│
│ │ │ │ │ │ 220│ │ │ │
│ │ ├──────┼───────┼─────────┼───────┼──────┼──────┼───────┤
│ │ │Нене- │ДВ │КМ │120 - │Сквоз-│ - │45 - 50│
│ │ │сущие │ │ │ 150│ная │ │ │
│ │ │ │ВДВ │СМ │140 - │То же │ │45 - 50│
│ │ │ │ │ │ 170│ │ │ │
├───────┼───────┼──────┼───────┼─────────┼───────┼──────┼──────┼───────┤
│ XVII │ 1 │Несу- │ВДВ │КМ │180 - │Сквоз-│ - │45 - 50│
│ │ │щие │ │ │ 210│ная │ │ │
│ │ ├──────┼───────┼─────────┼───────┼──────┼──────┼───────┤
│ │ │Нене- │ВДВ │КМ │140 - │Сквоз-│ - │45 - 50│
│ │ │сущие │ │ │ 170│ная │ │ │
├───────┼───────┼──────┼───────┼─────────┼───────┼──────┼──────┼───────┤
│ XVIII │ 1 │Несу- │ВДВ │КМ │200 - │Сквоз-│ - │45 - 50│
│ │ │щие │ │ │ 230│ная │ │ │
│ │ ├──────┼───────┼─────────┼───────┼──────┼──────┼───────┤
│ │ │Нене- │ВДВ │КМ │150 - │Сквоз-│ - │45 - 50│
│ │ │сущие │ │ │ 180│ная │ │ │
└───────┴───────┴──────┴───────┴─────────┴───────┴──────┴──────┴───────┘
8. Параметры защищенности при антисептировании
Таблица 4
Параметры защищенности при антисептировании
┌─────────────┬────────────┬───────────┬────────────┬────────────┐
│Класс условий│ Способ │Обозначение│ Удержание, │Средний срок│
│ службы по │пропитки по │ защитного │ г/м2 │службы, лет │
├─────────────┼────────────┼───────────┼────────────┼────────────┤
│ I │НО │ХМББ-1128 │ 30 - 40 │ 25 │
│ │ к │ │ │ │
│ │НО │ХМФ-БФ │ 12 - 16 │ 25 │
│ │ к │ │ │ │
│ │НО │ХМФС │ 25 - 30 │ 25 │
│ │ к │ │ │ │
│ │НО │Сенеж │ 60 - 80 │ 25 │
│ │ к │ │ │ │
│ │НО │ФБС-255 │ 25 - 35 │ 25 │
│ │ к │ │ │ │
│ │НО │Аквабор │ 30 - 40 │ 25 │
│ │ к │ │ │ │
│ │НК │ББ │ 50 - 60 │ 20 │
│ │ к │ │ │ │
│ │НК │КФА │ 35 - 40 │ 15 │
│ │ к │ │ │ │
│ │НК │ФН │ 10 - 15 │ 15 │
│ │ к │ │ │ │
│ │НК │НМ-Л │ 15 - 20 │ 25 │
│ │ к │ │ │ │
│ │НК │ФБС-255 │ 25 - 35 │ 25 │
│ │ к │ │ │ │
│ │НК │ХМББ-1128 │ 30 - 40 │ 25 │
│ │ к │ │ │ │
│ │НК │ХМФ-БФ │ 12 - 16 │ 25 │
│ │ к │ │ │ │
│ │НК │ХМФС │ 25 - 30 │ 25 │
│ │ к │ │ │ │
│ │НК │Сенеж │ 60 - 80 │ 25 │
│ │ к │ │ │ │
│ │НК │Аквабор │ 30 - 40 │ 25 │
│ │ к │ │ │ │
│ │НП │ХМББ-1128 │ 25 - 35 │ 20 │
│ │ п │ │ │ │
│ │НП │ХМФ-БФ │ 10 - 15 │ 20 │
│ │ п │ │ │ │
│ │НП │ХМФС │ 20 - 30 │ 20 │
│ │ п │ │ │ │
│ │НП │Сенеж │ 50 - 70 │ 20 │
│ │ п │ │ │ │
│ │НП │ФБС-255 │ 20 - 30 │ 20 │
│ │ п │ │ │ │
│ │НП │Аквабор │ 25 - 35 │ 20 │
│ │ п │ │ │ │
├─────────────┼────────────┼───────────┼────────────┼────────────┤
│ II │НО │ХМББ-1128 │ 40 - 50 │ 25 │
│ │ к │ │ │ │
│ │НО │ХМФ-БФ │ 15 - 20 │ 25 │
│ │ к │ │ │ │
│ │НО │ХМФС │ 30 - 40 │ 25 │
│ │ к │ │ │ │
│ │НО │Сенеж │ 80 - 100 │ 25 │
│ │ к │ │ │ │
│ │НО │ФБС-255 │ 35 - 45 │ 25 │
│ │ к │ │ │ │
│ │НО │Аквабор │ 40 - 50 │ 25 │
│ │ к │ │ │ │
│ │НК │ББ │ 60 - 70 │ 20 │
│ │ к │ │ │ │
│ │НК │КФА │ 40 - 50 │ 15 │
│ │ к │ │ │ │
│ │НК │ФН │ 15 - 20 │ 15 │
│ │ к │ │ │ │
│ │НК │НМ-Л │ 15 - 20 │ 25 │
│ │ к │ │ │ │
│ │НК │ХМББ-1128 │ 40 - 50 │ 25 │
│ │ к │ │ │ │
│ │НК │ХМФ-БФ │ 15 - 20 │ 25 │
│ │ к │ │ │ │
│ │НК │ХМФС │ 30 - 40 │ 25 │
│ │ к │ │ │ │
│ │НК │Сенеж │ 80 - 100 │ 25 │
│ │ к │ │ │ │
│ │НК │ФБС-255 │ 35 - 45 │ 25 │
│ │ к │ │ │ │
│ │НК │Аквабор │ 40 - 50 │ 25 │
│ │ к │ │ │ │
│ │НП │ХМББ-1128 │ 35 - 45 │ 20 │
│ │ п │ │ │ │
│ │НП │ХМФС │ 25 - 35 │ 20 │
│ │ п │ │ │ │
│ │НП │Сенеж │ 70 - 90 │ 20 │
│ │ п │ │ │ │
│ │НП │ФБС-255 │ 30 - 40 │ 20 │
│ │ п │ │ │ │
│ │НП │Аквабор │ 35 - 45 │ 20 │
│ │ п │ │ │ │
│ │НП │ХМФ-БФ │ 14 - 18 │ 20 │
│ │ п │ │ │ │
└─────────────┴────────────┴───────────┴────────────┴────────────┘
(справочное)
ПРИМЕРЫ
ПЕРЕСЧЕТА ОБЩЕГО ПОГЛОЩЕНИЯ ЗАЩИТНЫХ СРЕДСТВ
Пример 1. Найти общее поглощение защитного средства для деревянных деталей опор линий электропередачи диаметром 22 мм, изготовляемых из древесины сосны с шириной заболони 25 мм на срок службы 40 - 45 лет в условиях
XII класса.
Согласно
таблице 1 настоящего стандарта требуемый срок службы деревянных деталей можно обеспечить, применяя пропитку:
каменноугольным пропиточным маслом способом давление - давление - вакуум;
сланцевым маслом способом давление - вакуум;
защитным средством ХМ-11 способом вакуум - давление - вакуум.
Выбрав пропитку каменноугольным маслом способом давление - давление - вакуум, определяют общее поглощение защитного средства (

) по формуле

;
при P = 90 и 120 кг/м3,
d = 20 см,

= 22 см,
q = 85% ЛПЗ = 21 мм.

= 80 кг/м3;

= 106,7 кг/м3.
Искомое общее поглощение защитного средства равно 80 - 107 кг/м3.
Пример 2. Найти общее поглощение защитного средства для шпал, сечением 180 x 250 мм, изготовляемых из древесины ели и лиственницы на срок службы 10 - 15 лет в условиях
XIIIа класса.
Согласно
таблице 2 настоящего стандарта требуемый срок службы шпал можно обеспечить, применяя пропитку каменноугольным пропиточным или сланцевым маслами способом давление - давление - вакуум.
Выбрав пропитку каменноугольным маслом, определяют общее поглощение защитного средства (

) по формуле

;
при P = 70 и 100 кг/м3,
a = 180 мм,
b = 220 мм,

= 180 мм,

= 250 мм,
q = 5 мм.

= 73 кг/м3;

= 105 кг/м3.
Искомое общее поглощение защитного средства при пропитке еловых шпал равно 75 - 105 кг/м3.
Шпалы из древесины лиственницы обеспечивают требуемый срок службы без пропитки.
Пример 3. Найти общее поглощение защитного средства для досок наружной обшивки (ненесущие детали) деревянных малоэтажных зданий сечением 16 x 110 мм, изготовляемых из заболони сосны на срок службы 30 - 35 лет в условиях X класса.
Согласно
таблице 3 настоящего стандарта требуемый срок службы досок можно обеспечить, применяя пропитку:
защитными средствами ХМББ-3324, ХМФ-БФ, ХМФС и Сенеж способом вакуум - атмосферное давление - вакуум или прогрев паром - холодная ванна.
Выбрав пропитку защитным средством ХМФС способом ВАДВ определяют общее поглощение защитного средства (

) по формуле

;
при P = 5,5 и 6,5 кг/м3,
a = 22 мм,
b = 110 мм,

= 16 мм,

= 110 мм,
q = 5 мм.

= 7,56 кг/м3;

= 8,94 кг/м3.
Искомое общее поглощение защитного средства равно 7,56 и 8,94 кг/м3.