Главная // Актуальные документы // ГОСТ (Государственный стандарт)СПРАВКА
Источник публикации
М.: Стандартинформ, 2018
Примечание к документу
Документ
введен в действие с 1 декабря 2018 года.
Название документа
"ГОСТ 34349-2017. Межгосударственный стандарт. Конструкции деревянные клееные. Методы определения длительной прочности клеевых соединений"
(введен в действие Приказом Росстандарта от 01.03.2018 N 113-ст)
"ГОСТ 34349-2017. Межгосударственный стандарт. Конструкции деревянные клееные. Методы определения длительной прочности клеевых соединений"
(введен в действие Приказом Росстандарта от 01.03.2018 N 113-ст)
Введен в действие
агентства по техническому
регулированию и метрологии
от 1 марта 2018 г. N 113-ст
МЕЖГОСУДАРСТВЕННЫЙ СТАНДАРТ
КОНСТРУКЦИИ ДЕРЕВЯННЫЕ КЛЕЕНЫЕ
МЕТОДЫ ОПРЕДЕЛЕНИЯ ДЛИТЕЛЬНОЙ ПРОЧНОСТИ
КЛЕЕВЫХ СОЕДИНЕНИЙ
Glued timber structures. Methods for determining
of glue joints long-term strength
ГОСТ 34349-2017
Дата введения
1 декабря 2018 года
Цели, основные принципы и основной порядок проведения работ по межгосударственной стандартизации установлены в
ГОСТ 1.0-2015 "Межгосударственная система стандартизации. Основные положения" и
ГОСТ 1.2-2015 "Межгосударственная система стандартизации. Стандарты межгосударственные, правила и рекомендации по межгосударственной стандартизации. Правила разработки, принятия, обновления и отмены".
1 РАЗРАБОТАН Центральным научно-исследовательским, проектно-конструкторским и технологическим институтом им. В.А. Кучеренко (ЦНИИСК им. В.А. Кучеренко), отделением Открытого акционерного общества "Научно-исследовательский центр "Строительство" (ОАО "НИЦ "Строительство")
2 ВНЕСЕН Техническим комитетом по стандартизации ТК 465 "Строительство"
3 ПРИНЯТ Межгосударственным советом по стандартизации, метрологии и сертификации (протокол от 30 ноября 2017 г. N 52)
За принятие проголосовали:
Краткое наименование страны по МК (ИСО 3166) 004-97 | Код страны по МК (ИСО 3166) 004-97 | Сокращенное наименование национального органа по стандартизации |
Беларусь | BY | Госстандарт Республики Беларусь |
Киргизия | KG | Кыргызстандарт |
Россия | RU | Росстандарт |
4
Приказом Федерального агентства по техническому регулированию и метрологии от 1 марта 2018 г. N 113-ст межгосударственный стандарт ГОСТ 34349-2017 введен в действие в качестве национального стандарта Российской Федерации с 1 декабря 2018 г.
5 ВВЕДЕН ВПЕРВЫЕ
Информация об изменениях к настоящему стандарту публикуется в ежегодном информационном указателе "Национальные стандарты", а текст изменений и поправок - в ежемесячном информационном указателе "Национальные стандарты". В случае пересмотра (замены) или отмены настоящего стандарта соответствующее уведомление будет опубликовано в ежемесячном информационном указателе "Национальные стандарты". Соответствующая информация, уведомление и тексты размещаются также в информационной системе общего пользования - на официальном сайте Федерального агентства по техническому регулированию и метрологии в сети Интернет (www.gost.ru).
Настоящий стандарт устанавливает методы испытаний по определению длительной прочности клеевых соединений деревянных клееных конструкций (далее - конструкции).
В настоящем стандарте использованы нормативные ссылки на следующие межгосударственные стандарты:
ГОСТ 166-89 (ИСО 3599-76) Штангенциркули. Технические условия
ГОСТ 15613.3-77 Древесина клееная массивная. Метод определения предела прочности при растяжении клеевого торцового соединения впритык
ГОСТ 16588-91 (ИСО 4470-81) Пилопродукция и деревянные детали. Методы определения влажности
ГОСТ 20850-2014 Конструкции деревянные клееные несущие. Общие технические условия
ГОСТ 28840-90 Машины для испытания материалов на растяжение, сжатие и изгиб. Общие технические требования
ГОСТ 33120-2014 Конструкции деревянные клееные. Методы определения прочности клеевых соединений
| | ИС МЕГАНОРМ: примечание. В официальном тексте документа, видимо, допущена опечатка: ГОСТ Р 56705-2015 имеет название "Конструкции деревянные для строительства. Термины и определения". | |
ГОСТ OIML R 76-1-2011 Государственная система обеспечения единства измерений. Весы неавтоматического действия. Часть 1. Метрологические и технические требования. Испытания
Примечание - При пользовании настоящим стандартом целесообразно проверить действие ссылочных стандартов в информационной системе общего пользования - на официальном сайте Федерального агентства по техническому регулированию и метрологии в сети Интернет или по ежегодному информационному указателю "Национальные стандарты", который опубликован по состоянию на 1 января текущего года, и по выпускам ежемесячного информационного указателя "Национальные стандарты" за текущий год. Если ссылочный стандарт заменен (изменен), то при пользовании настоящим стандартом следует руководствоваться заменяющим (измененным) стандартом. Если ссылочный стандарт отменен без замены, то положение, в котором дана ссылка на него, применяется в части, не затрагивающей эту ссылку.
3 Термины, определения и обозначения
3.1 Термины и определения
В настоящем стандарте применены термины по
ГОСТ 20850.
3.2 Обозначения
В настоящем стандарте применены следующие обозначения:
kдл.п (kmod) - коэффициент длительной прочности, учитывающий время испытания конструкции;
lg A (-) - величина, равная значению 17,1 в точке условного пересечения прямой длительной прочности древесины оси абсцисс lg t; lg A = 17,1;
n (n) - количество испытанных образцов, шт.;
p (-) - показатель точности; p = 5;
t (t) - время длительного нагружения образца;

(-) - коэффициент вариации показателей прочности;

(-) - показатель достоверности;

;

- длительная прочность;

- кратковременная прочность.
Примечание - В скобках указаны применяемые в европейских региональных стандартах эквиваленты обозначений, примененных в настоящем стандарте. Форма записи "(-)" означает отсутствие эквивалента обозначения, примененного в настоящем стандарте.
4 Общие требования к испытаниям по определению длительной прочности
4.1 Главной особенностью деревянных конструкций, в том числе клееных, являются ярко выраженные реологические свойства древесины и их клеевых соединений, а также клея как полимера, которые характеризуются изменением во времени деформаций и неоднозначным соответствием между ними и напряжениями при действии внешних сил. В силу данного обстоятельства необходимо строго учитывать изменение прочности соединений во времени в процессе восприятия статических нагрузок, которое должно быть определено в ходе испытаний на длительную прочность.
4.2 Для определения длительной прочности клеевых соединений используют метод, основанный на определении зависимости времени до разрушения под действием постоянных нагрузок (напряжений) различного уровня от значения разрушающей нагрузки (кратковременной прочности) контрольных образцов. Испытания могут быть проведены на одном из двух типов образцов: на растяжение и на скалывание при растяжении.
4.3 Уровни нагрузки (напряжений), на которых испытывают образцы, принимают равными 0,7; 0,8 и 0,9 значения разрушающей нагрузки (кратковременной прочности) контрольных образцов.
4.4 Минимальное число испытуемых образцов для каждого уровня нагрузки определяют в соответствии с требованиями
5.2.
4.5 Длительная статическая прочность определяется по времени до разрушения при заданном уровне нагрузки (напряжения). По этой величине прочности определяют коэффициент длительной прочности k
дл.п, соответствующий времени до разрушения, как отношение длительной прочности

к кратковременной

.
Результаты испытаний клеевых соединений на длительную прочность выражают в полулогарифмических координатах зависимости относительной прочности

от времени
t в координатах

.
5 Отбор и подготовка образцов
5.1 Образцы для проведения испытаний изготовляют в соответствии с требованиями
ГОСТ 20850. Технологические режимы склеивания устанавливают в соответствии с рекомендациями производителей клеевых систем.
Образцы с видимыми пороками древесины или дефектами изготовления к испытаниям не допускаются. Влажность древесины образцов должна составлять (10 +/- 2)%.
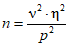
5.2 Для проведения испытаний должно быть изготовлено четыре серии образцов. Число образцов в одной серии определяют по формуле

, (1)
где

- коэффициент вариации, %, полученный по результатам испытаний контрольных образцов;

- показатель достоверности, равный 1,96;
p - показатель точности, равный 5.
Коэффициент вариации v устанавливают по результатам испытаний не менее десяти образцов.
Все образцы должны быть изготовлены из одной партии древесины.
5.3 Испытания допускается проводить на одном из двух типов образцов:
5.3.1 Образцы для испытания на скалывание при растяжении следует изготовлять из древесины ясеня или клена плотностью не менее 680 кг/м3. Влажность древесины должна быть равна (12 +/- 1)%, угол между годичными кольцами и поверхностью склеивания должен быть в пределах 30° - 90°.
Форму и размеры образца следует принимать по
пункту 8.3 ГОСТ 33120.
5.3.2 Образцы для испытания на растяжение клеевого торцевого соединения впритык следует изготовлять в соответствии с
ГОСТ 15613.3:
- на скалывание при растяжении;
- растяжение клеевого торцевого соединения впритык.
Для изготовления образцов, склеенных впритык (см.
рисунок 1), следует использовать древесину сосны или ели плотностью не менее (400 +/- 50) кг/м
3.
5.4 Допускается отклонение от номинальных размеров образцов в пределах +/- 0,1 мм. Размеры образца, не входящие в расчетные формулы (например, длина образца при испытаниях на растяжение), должны быть выдержаны с точностью до 3 - 5 мм. Между смежными гранями образцов должны быть прямые углы.
5.5 Перед испытаниями образцов должны быть измерены их геометрические размеры и определены влажность и плотность древесины.
5.6 На каждый образец должна быть нанесена маркировка, указывающая номер и серию образца.
5.7 Испытания образцов проводят при температуре воздуха (20 +/- 2) °C и влажности (65 +/- 5)%. Допускается проводить кратковременные испытания в помещении с другими показателями температуры и влажности воздуха при условии их проведения сразу же после кондиционирования образцов.
6.1 Для проведения испытаний необходимы следующие оборудование и инструмент:
- машина испытательная по
ГОСТ 28840 с погрешностью измерения нагрузки не более 1%, позволяющая проводить испытания со скоростью перемещения нагружающей головки от 0,5 до 10 мм/мин;
- приспособления для зажима образцов и передачи на них нагрузки;
- влагомер по
ГОСТ 16588 для определения влажности древесины образцов с погрешностью не более +/- 1%;
- приборы для измерения температуры и влажности воздуха;
- штангенциркуль по
ГОСТ 166 с погрешностью измерения не более 0,1 мм;
- линейка измерительная с точностью измерения до 1 мм по
ГОСТ 8026;
- набор тарированных грузов;
- установки рычажные.
6.2 Все используемые оборудование и инструмент необходимо своевременно поверять в метрологических центрах.
7 Порядок проведения испытаний
7.1 Оценка длительной прочности может быть выполнена на одном из двух типов образцов, работающих на скалывание при растяжении вдоль волокон или на растяжение клеевого торцевого соединения впритык.
7.2 Схемы приложения нагрузок приведены на рисунке 1.
P - нагрузка
Рисунок 1 - Схемы приложения нагрузки при испытаниях
на скалывание при растяжении (а) и на растяжение клеевого
торцевого соединения впритык (б) соединения впритык
7.3 Образцы для проведения испытаний делят на четыре серии. Образцы 1-й серии являются контрольными.
Проведение испытаний включает в себя следующие этапы:
- определение разрушающей нагрузки (начальной прочности) при испытаниях контрольных образцов (1-я серия);
- нагружение образцов 2-й, 3-й и 4-й серии статической нагрузкой, равной 0,7; 0,8 и 0,9 значения средней разрушающей нагрузки контрольных образцов;
- фиксация времени до разрушения образцов 2-й, 3-й и 4-й серии.
При проведении испытаний фиксируют породу, плотность и влажность древесины образца, значение разрушающей нагрузки и характер разрушения образца (отношение площади разрушения образца по древесине к площади разрушения по клеевой прослойке, выраженное в процентах), время до разрушения.
7.4 Начальную прочность клеевых соединений определяют:
- растяжения клеевого торцевого соединения впритык по
ГОСТ 15613.3.
7.5 Для передачи нагрузки на образцы при длительных испытаниях могут быть использованы рычажные или блочные установки.
7.6 Продолжительность длительных испытаний необходимо фиксировать с точностью до 1 мин при нагружении нагрузкой 0,9 разрушающей, с точностью до 60 мин при нагружении нагрузки 0,8 разрушающей, с точностью до 1 дня при нагружении нагрузки 0,75 разрушающей и менее.
8.1 Результаты испытаний клеевых соединений на длительную прочность выражают в полулогарифмических координатах зависимости относительной прочности

от времени
t в координатах

(см. рисунок 2).
1 - древесина; 2 - клеевое соединение
Рисунок 2 - Пример графика временной зависимости
прочности от значения приложенной нагрузки
На оси абсцисс откладывают время до разрушения образца, выраженное через десятичный логарифм, на оси ординат уровень относительной нагрузки, где за 100% принимают результаты контрольных испытаний.
Оценку длительной прочности выполняют графически в соответствии с заданным сроком службы (см.
рисунок 2). Если график длительной прочности клеевого соединения 2 расположен выше графика длительной прочности древесины на скалывание 1, длительная прочность клеевого соединения удовлетворяет требованиям к клеям типа I.