Главная // Актуальные документы // ГОСТ (Государственный стандарт)СПРАВКА
Источник публикации
М.: ФГБУ "РСТ", 2021
Примечание к документу
Документ включен в Перечень международных и региональных (межгосударственных) стандартов (
п.п. 822,
908), а в случае их отсутствия - национальных (государственных) стандартов, в результате применения которых на добровольной основе обеспечивается соблюдение требований технического
регламента Таможенного союза "О безопасности машин и оборудования" (ТР ТС 010/2011), и в Перечень международных и региональных (межгосударственных) стандартов (
п.п. 768,
817), а в случае их отсутствия - национальных (государственных) стандартов, содержащих правила и методы исследований (испытаний) и измерений, в том числе правила отбора образцов, необходимые для применения и исполнения требований технического
регламента Таможенного союза "О безопасности машин и оборудования" (ТР ТС 010/2011) и осуществления оценки соответствия объектов технического регулирования (
Решение Коллегии Евразийской экономической комиссии от 09.03.2021 N 28).
Текст данного документа приведен с учетом
поправки, введенной в действие с 12.10.2021, опубликованной в "ИУС", N 3, 2022;
поправки, опубликованной в "ИУС", N 8, 2023.
Документ
введен в действие с 01.12.2021.
Название документа
"ГОСТ ISO 3471-2015. Межгосударственный стандарт. Машины землеройные. Устройства защиты при опрокидывании. Технические требования и лабораторные испытания"
(введен в действие Приказом Росстандарта от 20.08.2021 N 739-ст)
"ГОСТ ISO 3471-2015. Межгосударственный стандарт. Машины землеройные. Устройства защиты при опрокидывании. Технические требования и лабораторные испытания"
(введен в действие Приказом Росстандарта от 20.08.2021 N 739-ст)
агентства по техническому
регулированию и метрологии
от 20 августа 2021 г. N 739-ст
МЕЖГОСУДАРСТВЕННЫЙ СТАНДАРТ
МАШИНЫ ЗЕМЛЕРОЙНЫЕ
УСТРОЙСТВА ЗАЩИТЫ ПРИ ОПРОКИДЫВАНИИ
ТЕХНИЧЕСКИЕ ТРЕБОВАНИЯ И ЛАБОРАТОРНЫЕ ИСПЫТАНИЯ
Earth-moving machinery. Roll-over protective structures.
Laboratory tests and performance requirements
(ISO 3471:2008, IDT)
ГОСТ ISO 3471-2015
Дата введения
1 декабря 2021 года
Цели, основные принципы и общие правила проведения работ по межгосударственной стандартизации установлены
ГОСТ 1.0 "Межгосударственная система стандартизации. Основные положения" и
ГОСТ 1.2 "Межгосударственная система стандартизации. Стандарты межгосударственные, правила и рекомендации по межгосударственной стандартизации. Правила разработки, принятия, обновления и отмены"
1 ПОДГОТОВЛЕН Научно-производственным республиканским унитарным предприятием "Белорусский государственный институт стандартизации и сертификации" (БелГИСС) на основе собственного перевода на русский язык англоязычной версии стандарта, указанного в
пункте 5
2 ВНЕСЕН Государственным комитетом по стандартизации Республики Беларусь
3 ПРИНЯТ Межгосударственным советом по стандартизации, метрологии и сертификации (протокол от 30 января 2015 г. N 74-П)
За принятие проголосовали:
Краткое наименование страны по МК (ИСО 3166) 004-97 | Код страны по МК (ИСО 3166) 004-97 | Сокращенное наименование национального органа по стандартизации |
Азербайджан | AZ | Азстандарт |
Армения | AM | ЗАО "Национальный орган по стандартизации и метрологии" Республики Армения |
Беларусь | BY | Госстандарт Республики Беларусь |
Казахстан | KZ | Госстандарт Республики Казахстан |
Киргизия | KG | Кыргызстандарт |
Россия | RU | Росстандарт |
Молдова | MD | Институт стандартизации Молдовы |
Таджикистан | TJ | Таджикстандарт |
Узбекистан | UZ | Узстандарт |
Украина | UA | Минэкономразвития Украины |
4
Приказом Федерального агентства по техническому регулированию и метрологии от 20 августа 2021 г. N 739-ст межгосударственный стандарт ГОСТ ISO 3471-2015 введен в действие в качестве национального стандарта Российской Федерации с 1 декабря 2021 г.
5 Настоящий стандарт идентичен международному стандарту ISO 3471:2008 "Машины землеройные. Устройства защиты при опрокидывании. Лабораторные испытания и эксплуатационные требования" ("Earth-moving machinery - Roll-over protective structures - Laboratory tests and performance requirements", IDT).
Международный стандарт разработан подкомитетом SC 2 "Требования техники безопасности и эргономики" Технического комитета по стандартизации ISO/TC 127 "Машины землеройные" Международной организации по стандартизации (ISO).
При применении настоящего стандарта рекомендуется использовать вместо ссылочных международных стандартов соответствующие им межгосударственные стандарты, сведения о которых приведены в дополнительном
приложении ДА
6 ВВЕДЕН ВПЕРВЫЕ
Информация о введении в действие (прекращении действия) настоящего стандарта и изменений к нему на территории указанных выше государств публикуется в указателях национальных стандартов, издаваемых в этих государствах, а также в сети Интернет на сайтах соответствующих национальных органов по стандартизации.
В случае пересмотра, изменения или отмены настоящего стандарта соответствующая информация будет опубликована на официальном интернет-сайте Межгосударственного совета по стандартизации, метрологии и сертификации в каталоге "Межгосударственные стандарты"
При разработке настоящего стандарта первоначально был выполнен анализ требований, предъявляемых к устройствам защиты при опрокидывании (ROPS) для машин средней массы. После того как критерии ROPS были определены, машины малой и большой массы вошли в общий типоразмерный ряд землеройных машин.
Эти критерии носят линейный и экспоненциальный характер в зависимости от массы. Для машин малой массы экспоненциальный характер изменяется на линейный в зависимости от массы машины. Для машин большой массы экспоненциальный характер применим только к машинам очень большой массы и превращается в линейную функцию по мере уменьшения массы.
В качестве нового критерия была внесена продольная сила. Ситуация складывается таким образом, что к конструкции ROPS предъявляются требования к боковой и вертикальной нагрузкам, но должны быть определены приемлемые требования к продольной нагрузке. В этой связи критерий продольной силы устанавливает ее значение, равное 80% боковой нагрузки.
Подобный подход не дает полную информацию о деформации конструкции, подобную той, какая будет иметь место при реальном опрокидывании. Однако данные, получаемые при исследовании ROPS по такой методике, могут быть представлены в виде функции параметров опрокидывания, так же, как и при аналитических расчетах, в основе которых лежит вариант совместимости ROPS с рамой машины.
Настоящий стандарт устанавливает технические требования к металлическим устройствам защиты при опрокидывании (ROPS), а также единообразный и воспроизводимый метод оценки соответствия этим требованиям в лабораториях, проводящих испытания с использованием статического нагружения представительного образца.
Примечание 1 - Устройства могут также обеспечивать защиту от падающих предметов (FOPS).
Стандарт распространяется на ROPS, устанавливаемые на следующие мобильные машины по ISO 6165, управляемые оператором в положении сидя, и имеющие массу 700 кг и более:
- бульдозер;
- погрузчик;
- экскаватор-погрузчик;
- землевоз;
- трубоукладчик;
- тяговый блок (одноосный тягач) комбинированной машины (например, скрепер, землевоз с шарнирно-сочлененной рамой);
- автогрейдер;
- уплотняющая машина;
- каток;
- траншеекопатель.
Требования стандарта не распространяются на сиденья инструкторов и сиденья, дополнительно устанавливаемые на машине для работы сменного оборудования.
Примечание 2 - Ожидается, что для сидящего оператора с ремнем безопасности защита при опрокидывании будет обеспечена при условии движения вперед с начальной скоростью от 0 до 16 км/ч по твердой глинистой поверхности с углом наклона 30° в направлении опрокидывания и при опрокидывании на 360° относительно продольной оси машины и без потери контакта с опорной поверхностью.
Примечание 3 - Настоящий стандарт может быть использован как руководство при производстве устройств защиты при опрокидывании, если будет решено обеспечить такую защиту для тех или иных машин конкретного назначения.
В настоящем стандарте использованы нормативные ссылки на следующие стандарты. Для датированных ссылок применяют только указанное издание ссылочного стандарта для недатированных - последнее издание (включая все изменения).
ISO 148-1:2009, Metallic materials - Charpy pendulum impact test - Part 1: Test method (Материалы металлические. Испытания на удар на маятниковом копре по Шарпи. Часть 1. Метод испытания) <1>
--------------------------------
<1> В Российской Федерации действует ГОСТ Р ИСО 148-1-2013 "Материалы металлические. Испытание на ударный изгиб на маятниковом копре по Шарпи. Часть 1. Метод испытания".
ISO 898-1:2013, Mechanical properties of fasteners made of carbon steel and alloy steel - Part 1: Bolts, screws and studs with specified property classes - Coarse thread and fine pitch thread (Механические свойства крепежных изделий из углеродистых и легированных сталей. Часть 1. Болты, винты и шпильки с установленными классами прочности. Крупная резьба и резьба малого шага)
ISO 898-2:2012, Mechanical properties of fasteners made of carbon steel and alloy steel - Part 2: Nuts with specified property classes - Coarse thread and fine pitch thread (Механические свойства крепежных изделий из углеродистых и легированных сталей. Часть 2. Гайки с установленными классами прочности. Крупная резьба и резьба малого шага)
ISO 3164:2013, Earth-moving machinery - Laboratory evaluations of protective structures - Specifications for deflection-limiting volume (Машины землеройные. Лабораторные испытания по оценке защитных устройств. Характеристика объема ограничения деформации)
ISO 3164:1995, Earth-moving machinery - Laboratory evaluations of protective structures - Specifications for deflection-limiting volume (Машины землеройные. Защитные устройства. Характеристика объема ограничения деформации при лабораторных испытаниях)
ISO 5353:1995, Earth-moving machinery, and tractors and machinery for agriculture and forestry - Seat index point (Машины землеройные, тракторы и машины для сельскохозяйственных работ и лесоводства. Контрольная точка сиденья) <2>
--------------------------------
<2> В Российской Федерации действует
ГОСТ Р ИСО 5353-2012 "Машины землеройные, тракторы и машины для сельского и лесного хозяйства. Контрольная точка сиденья".
ISO 6165:2012 Earth-moving machinery - Basic types - Identification and terms and definitions (Машины землеройные. Основные типы. Идентификация, термины и определения)
ISO 9248:1992, Earth-moving machinery - Units for dimensions, performance and capacities, and their measurement accuracies (Машины землеройные. Единицы измерения размеров, эксплуатационных показателей и точность их измерения)
В настоящем стандарте применены следующие термины с соответствующими определениями:
3.1 платформа стенда (bedplate): Жесткая составная часть стенда, к которой крепят раму машины с целью проведения испытаний.
3.2 граничная плоскость; BP (boundary plane; BP): Плоскость, определяющая вертикальную проекцию спины, бока, колен оператора, объема ограничения деформации (DLV).
Примечание - Граничные плоскости используются при определении точки приложения нагрузки.
3.3 объем ограничения деформации; DLV (deflection-limiting volume; DLV): Фигура с прямоугольными очертаниями, по размерам приблизительно соответствующая антропометрическим данным оператора (мужчина высокого роста в положении сидя в обычной одежде и защитном шлеме) и определяющая предельно допустимую деформацию.
Примечание - См. ISO 3164:1995.
3.4 деформация ROPS (deflection of ROPS): Перемещение ROPS, монтажной системы и секции рамы, измеренное в точке приложения нагрузки (LAP) и исключающее эффект любого перемещения стенда.
3.5 устройство защиты от падающих предметов; FOPS (falling-object protective structure; FOPS): Система конструктивных элементов, расположенных таким образом, чтобы обеспечить защиту оператора от падающих предметов (например, деревьев, кусков скальной породы, небольших бетонных блоков, инструмента).
3.6 верхняя часть DLV (head portion of DLV): Верхняя часть прямоугольной секции DLV, в пределах от 270 до 330 мм, размеры которой определяются в соответствии с ISO 3164.
3.7 боковая имитируемая плоскость грунта; LSGP (lateral simulated ground plane; LSGP): Плоскость, повернутая на угол 15° в сторону удаления от DLV, на которую ложится бок машины.
Примечание - Образуется при повороте вертикальной плоскости, параллельной продольной осевой линии машины, относительно горизонтальной линии, проходящей через наиболее удаленную точку верхнего элемента ROPS, к которому приложена боковая нагрузка (см.
рисунок 6). LSGP определяется для ненагруженного ROPS и перемещается вместе с элементом, к которому приложена нагрузка, до угла 15° относительно вертикали.
3.8 устройство распределения нагрузки; LDD (load distribution device; LDD): Устройство, используемое для предотвращения местного проникновения элементов ROPS в точке приложения нагрузки (LAP).
3.9 точка приложения нагрузки; LAP (load application point; LAP): Точка (или точка в определенном диапазоне) на устройстве ROPS, к которой прикладывается сила F испытательной нагрузки.
3.10 рама машины (machine frame): Основное металлическое шасси или главные несущие нагрузку элементы машины, расположенные над основной частью машины, к которым непосредственно крепится ROPS.
3.11 система крепления (mounting system): Все кронштейны, сварные узлы, крепежные детали или другие устройства, которые обеспечивают крепление ROPS к раме машины.
3.12 образец для испытаний (representative specimen): ROPS, система крепления и рама машины (полностью или частично), используемые для испытаний, материалы для которых соответствуют спецификации изготовителя продукции.
Примечание - Предполагается, что все ROPS, изготовленные в соответствии с этими спецификациями, будут соответствовать или превышать установленные уровни технических требований.
3.13 устройство защиты при опрокидывании; ROPS (roll over protective structure; ROPS): Система конструктивных элементов, предназначенная для уменьшения риска нанесения повреждений оператору в случае опрокидывания управляемой им машины при условии применения ремней безопасности.
Примечание 2 - ROPS может включать такие элементы, как подрамник, кронштейн, опора, болт, шпилька, подвеска или амортизатор.
Примечание 3 - Ненагруженные элементы (стойки) во внимание не принимают.
3.13.1 трубчатый каркас ROPS (rollbar ROPS): ROPS, имеющее одну или две стойки штампованной или сварной конструкции и не имеющее консольных конструктивных элементов.
3.13.2 одностоечное (двухстоечное) ROPS [one-post (two-post) ROPS]: ROPS, имеющее одну или две стойки штампованной или сварной конструкции и один или более консольных воспринимающих нагрузку конструктивных элемента.
3.13.3 многостоечное ROPS (multiple-post ROPS): ROPS, имеющее более двух стоек штампованной или сварной конструкции или которые соединены конструктивными элементами, воспринимающими нагрузку.
Примечание - Оно может содержать нагруженные консольные конструктивные элементы.
3.14 конструктивный элемент ROPS (ROPS structural member): Элемент, выполненный из металла, воспринимающий нагрузку или поглощающий энергию.
3.15 имитируемая плоскость грунта; SGP (simulated ground plane; SGP): Плоскость, имитирующая плоскую поверхность грунта, на которую ложится машина после опрокидывания.
3.16 втулка; S (socket; S): Элемент, передающий сосредоточенную нагрузку устройству распределения нагрузки (LDD).
3.17 вертикальная проекция DLV (vertical projection of DLV): Вид сверху на контур DLV с размерами в соответствии с ISO 3164, за исключением секции для ног.
3.18 вертикальная имитируемая плоскость грунта; VSGR (vertical simulated ground plane; VSGR): Плоскость, определяемая контактом с верхней частью поперечного элемента ROPS и той передней или задней частью машины, которая обеспечивает опору для перевернутой машины.
Примечание - VSGR применяется для трубчатого каркаса ROPS как с одной, так и с двумя стойками ROPS. VSGR может изменяться при деформации ROPS.
В настоящем стандарте применены следующие условные обозначения:
U - энергия, поглощаемая конструкцией, зависящая от рекомендуемой изготовителем максимальной массы m и выраженная в джоулях;
F - усилие нагружения, выраженное в ньютонах;
m - рекомендуемая изготовителем максимальная масса машины, выраженная в килограммах.
Максимальная масса, рекомендуемая изготовителем, включает в себя массу машины в рабочем состоянии, с заправкой всех емкостей, с учетом массы рабочего оборудования, инструмента и ROPS. Прицепное оборудование, например катки и прицепные скреперы, не учитывается.
Для самоходного скрепера и землевоза с шарнирно-сочлененной рамой рекомендуется учитывать только максимальную массу тягового блока (одноосный тягач). В большинстве случаев это тяговый блок, но рекомендуется, чтобы он был оснащен ROPS-несущим элементом или ROPS-несущей конструкцией машины. Поворотные шкворни, сцепные приспособления и элементы шарнирно-сочлененного управления, которые крепятся к сцепным приспособлениям или прицепным устройствам, не входят в массу указанных машин.
Для землевозов с жесткой рамой из максимальной массы машины исключается масса кузова и масса полезной нагрузки, если выбран критерий "исключая массу кузова". Когда выбран критерий "включая массу кузова", максимальная масса машины включает массу кузова, но исключает массу полезной нагрузки.
Для катков и уплотняющих машин масса прилипшего материала в процессе уплотнения исключается из максимальной массы машины.
Примечание - Грунт, ветки, строительный мусор и т.д., которые часто прилипают или лежат на машине, не являются частью массы машины. Этот материал должен быть найден, вывезен, вынесен любым способом, поскольку в соответствии с техническими требованиями он не может быть включен в массу машины.
L - длина ROPS, мм.
L не применяется к трубчатому каркасу.
Для одно- или двухстоечных ROPS с консольно-нагружаемыми конструктивными элементами
L является продольным расстоянием от наружной поверхности стойки ROPS до наружной поверхности самого удаленного консольного нагруженного элемента верхней части ROPS (см.
рисунки 1,
4 и
5). Это не относится к конструктивным элементам ROPS, закрывающим полностью вертикальную проекцию DLV.
Для многостоечной конструкции ROPS
L - наибольшее продольное расстояние между наружными сторонами передней и задней стоек (см.
рисунок 2).
Для конструктивных элементов специальной формы
L - проекция линий на вертикальную плоскость, образующуюся при пересечении внешней поверхности конструктивных элементов горизонтальную плоскость на расстоянии
H (см.
рисунок 3).
Для конструктивных элементов изогнутой формы
L определяется при пересечении плоскости A с внешней поверхностью вертикального элемента. Плоскость A определяется биссектрисой угла, образованного при пересечении плоскостей B и C. Плоскость B является касательной к внешней поверхности, параллельной плоскости D. Плоскость D является плоскостью, разрезающей пересекающиеся изогнутые элементы ROPS со смежными элементами. Плоскость C является плоскостью, на которую проецируется поверхность верхнего конструктивного элемента ROPS (см.
рисунок 3).
W - ширина ROPS, мм.
Для трубчатого каркаса ROPS W является шириной между наружными сторонами конструктивных элементов.
Для одно- или двухстоечных ROPS с консольными нагруженными конструктивными элементами ширина
W является той их частью (см.
рисунки 1,
4 и
5), которая накрывает по меньшей мере вертикально проецируемую ширину DLV и измеряется в верхней части ROPS поверхности наружных конструктивных элементов.
Для других ROPS ширина
W является наибольшей общей шириной между наружными сторонами левой и правой стоек, измеренной в верхней части ROPS от наружных сторон нагруженных конструктивных элементов (см.
рисунок 3).
Для ROPS с конструктивными элементами специальной формы
W определяется проекцией
H на вертикальную плоскость поверхности наружных конструктивных элементов (см.
рисунок 3).
Для ROPS с изогнутыми конструктивными элементами
W определяется пересечением плоскости A с наружной поверхностью вертикального элемента. Поверхность плоскости A определяется биссектрисой угла, образованного пересечением плоскостей B и C. Плоскость B образует касательную линию на наружной поверхности, параллельную плоскости D. Плоскость D является плоскостью, рассекающей изогнутые элементы ROPS в месте их стыковки со смежными элементами. Плоскость С является касательной плоскостью к поверхности верхнего конструктивного элемента ROPS (см.
рисунок 3).

- деформация ROPS, мм.
H - высота зоны приложения нагрузки, мм.
Для прямого элемента H - расстояние от верха до низа элемента (см. рисунок 1).
BP - граничные плоскости DLV; E - осевая линия верхнего
конструктивного элемента ROPS; F - усилие нагружения;
H - толщина верхнего конструктивного элемента ROPS;
L - длина ROPS; LAP - точка приложения нагрузки;
LDD - устройство распределения нагрузки; S - втулка;
W - ширина ROPS
Примечание - LDD может выходить за пределы H.
Рисунок 1 - Пример точки бокового приложения нагрузки (LAP)
двухстоечного ROPS
Для изогнутого элемента
H - расстояние по вертикали от верха элемента на вертикальной плоскости до точки Y, где этот элемент пересекается с внутренней поверхностью изогнутого элемента (см.
рисунок 3).
Для конструктивного элемента специальной формы
H - три толщины верхнего элемента (см.
рисунок 3).
BP - граничные плоскости DLV; E - горизонтальная осевая
линия верхнего конструктивного элемента; F - усилие
нагружения; L[W] - длина [ширина] ROPS; LDD - устройство
распределения нагрузки; S - втулка
Примечание - Примеры LAP и LDD представлены на
рисунке 1. Две втулки на этом рисунке показывают, что для одновременного приложения силы может быть использовано более одной точки.
Рисунок 2 - Пример точек приложения нагрузки (LAP)
для четырехстоечного ROPS
A - биссектриса угла, образованного двумя касательными
плоскостями B и C; B - касательная плоскость к наружной
поверхности изогнутого элемента ROPS, параллельная плоскости
D; C - касательная плоскость к поверхности верхнего
конструктивного элемента ROPS; D - плоскость, соединяющая
концы изогнутого элемента с сопряженными элементами;
F - усилие нагружения; H - высота зоны нагрузки;
I - пересечение изогнутой поверхности с плоской
поверхностью; LDD - устройство распределения нагрузки;
L[W] - длина (ширина) ROPS для определения LAP; LAP - точка
приложения нагрузки; S - втулка; Y - пересечение
вертикальной линии от LAP с внутренней поверхностью
вертикального элемента
Примечание 1 - Угол между A и B равен углу между A и C.
Примечание 2 - Примеры LAP и LDD приведены на
рисунке 1.
Примечание 3 - Высота
H для изогнутых элементов определена в
6.4.3.
Рисунок 3 - Примеры ROPS с изогнутыми элементами
и элементами специальной формы
BP - граничные плоскости DLV; E - осевая линия
в горизонтальной плоскости верхнего конструктивного элемента
ROPS; F - усилие нагружения; L - длина ROPS;
LDD - устройство распределения нагрузки; S - втулка;
W - ширина ROPS
Примечание - Примеры LAP и LDD приведены на
рисунке 1.
Рисунок 4 - Пример одностоечного ROPS
BP - граничные плоскости DLV; E - осевая линия
в горизонтальной плоскости верхнего конструктивного элемента
ROPS; F - усилие нагружения; LDD - устройство распределения
нагрузки; PLC - линия, параллельная продольной оси симметрии
машины; S - втулка; W - ширина ROPS
Примечание 1 - Устройство распределения нагрузки (LDD) предотвращает местное проникновение элементов ROPS в точке приложения нагрузки (LAP). Втулка (S) обеспечивает приложение нагрузки в заданной точке. Примеры LAP и LDD приведены на
рисунке 1.
Примечание 2 - Типовая, но не обязательная схема, применимая к любому ROPS.
Рисунок 5 - Усилие продольного нагружения
a - верхний элемент ROPS, к которому прикладывают боковую
нагрузку; b - наиболее удаленная точка элемента
a от вертикальной продольной плоскости; c - вертикальная
линия, проходящая через точку b; d - вертикальная плоскость,
параллельная продольной оси симметрии машины, проходящая
через линию c; LSGP - боковая имитируемая плоскость грунта
Рисунок 6 - Определение боковой имитируемой
плоскости грунта (LSGP)
5 Оборудование и методы испытаний
Требования определяют устойчивость к воздействию силы в боковом, вертикальном и продольном направлениях и энергию, поглощаемую в боковом направлении. Требования ограничивают величину деформации при боковом, вертикальном и продольном нагружениях.
Системы, используемые для измерения массы, усилия и деформации должны соответствовать ISO 9248, за исключением того, что погрешность измерения усилия и деформации должна быть в пределах +/- 5% их максимальных значений.
5.3 Испытательное оборудование
Приспособления должны обеспечивать надежное крепление образца для испытаний к платформе стенда и реализовать требуемые усилия при боковом, вертикальном и продольном нагружении в соответствии с требованиями таблицы 1.
Таблица 1
Зависимости для усилия и энергии
Масса машины m, кг | Усилие при боковом нагружении F, Н | Энергия при боковом нагружении U, Дж | Усилие при вертикальном нагружении F, Н | Усилие при продольном нагружении F, Н |
1) Гусеничные землеройные машины: бульдозер, погрузчик, трубоукладчик и траншеекопатель |
700 < m <= 4630 | 6m | 13000(m/10000)1,25 | 19,61m | 4,8m |
4630 < m <= 59500 | 70000(m/10000)1,2 | 13000(m/10000)1,25 | 56000(m/10000)1,2 |
m > 59500 | 10m | 2,03m | 8m |
2) Автогрейдер |
700 < m <= 2140 | 6m | 15000(m/10000)1,25 | 19,61m | 4,8m |
2140 < m <= 38010 | 70000(m/10000)1,1 | 15000(m/10000)1,25 | 56000(m/10000)1,1 |
m > 38010 | 8m | 2,09m | 6,4m |
3) Колесные землеройные машины: погрузчик, бульдозер, трубоукладчик, уплотняющая машина, погрузчик с бортовым поворотом, экскаватор-погрузчик и траншеекопатель |
700 < m <= 10000 | 6m | 12500(m/10000)1,25 | 19,61m | 4,8m |
10000 < m <= 128600 | 60000(m/10000)1,2 | 12500(m/10000)1,25 | 48000(m/10000)1,2 |
m > 128600 | 10m | 2,37m | 8m |
4) Одноосные тягачи: скрепер, землевоз с шарнирно-сочлененной рамой |
700 < m <= 1010 | 6m | 20000(m/10000)1,25 | 19,61m | 4,8m |
1010 < m <= 32160 | 95000(m/10000)1,2 | 20000(m/10000)1,25 | 76000(m/10000)1,2 |
m > 32160 | 12m | 2,68m | 9,6m |
|
700 < m <= 10000 | 5m | 9500(m/10000)1,25 | 19,61m | 4m |
10000 < m <= 53780 | 50000(m/10000)1,2 | 9500(m/10000)1,25 | 40000(m/10000)1,2 |
m > 53780 | 7m | 1,45m | 5,6m |
6) Землевозы с жесткой рамой, исключая кузов <b> |
700 < m <= 1750 | 6m | 15000(m/10000)1,25 | 19,61m | 4,8m |
1750 < m <= 22540 | 85000(m/10000)1,2 | 15000(m/10000)1,25 | 68000(m/10000)1,2 |
22540 < m <= 58960 | 10m | 1,84m | 8m |
58960 < m <= 111660 | 413500(m/10000)0,2 | 61450(m/10000)0,32 | 330800(m/10000)0,2 |
m > 111660 | 6m | 1,19m | 4,8m |
7) Землевозы с жесткой рамой, включая кузов <c> |
700 < m <= 10000 | 6m | 6000(m/10000)1,25 | 19,61m | 4,8m |
10000 < m <= 21610 | 60000(m/10000)1,2 | 6000(m/10000)1,25 | 48000(m/10000)1,2 |
21610 < m <= 93900 | 7m | 0,73m | 5,6m |
93900 < m <= 113860 | 420000(m/10000)0,2 | 16720(m/10000)0,63 | 336000(m/10000)0,2 |
m > 113860 | 6m | 0,68m | 4,8m |
8) Землевозы с жесткой рамой - комбинация ROPS и кузова <d> |
700 < m <= 10000 | 3,6m | 3600(m/10000)1,25 | 11,77m | 2,9m |
10000 < m <= 21610 | 36000(m/10000)1,2 | 3600(m/10000)1,25 | 28800(m/10000)1,2 |
21610 < m <= 93900 | 4,2m | 0,44m | 3,4m |
93900 < m <= 113860 | 252000(m/10000)0,2 | 10000(m/10000)0,63 | 202000(m/10000)0,2 |
m > 113860 | 3,6m | 0,41m | 2,9m |
<a> В массу m не входит незакрепленный груз, который может отделиться от машины во время опрокидывания. <b> Масса m включает массу машины, но без массы кузова и массы полезной нагрузки. <c> Масса m включает массу машины и массу кузова, но без массы полезной нагрузки. Те части кузова, на которые приходится нагрузка, должны полностью закрывать вертикальную проекцию DLV. Боковая и вертикальная LAP должны находиться на козырьке кузова, который определяется очертаниями ROPS. Продольная нагрузка должна быть приложена к поверхности, которая получит наибольшую деформацию в направлении оператора. <d> Масса m включает массу машины и массу кузова, но без массы полезной нагрузки. Боковая, продольная или вертикальная нагрузки не должны быть приложены одновременно к ROPS и/или кузову. Единственным ограничением по порядку приложения к структурным элементам шести нагрузок является: вертикальная после боковой и продольная после вертикальной. См. рисунки 12 и 13. |
5.4 Крепление образца для испытаний к платформе стенда
5.4.1 ROPS должно быть закреплено на раме машины как на реальной машине. Вся машина в сборе для испытаний не требуется. Тем не менее, рама машины и установленная ROPS образца для испытаний должны воспроизводить конфигурацию конструкции реальной установки, включающую в себя те узлы рамы, которые поглощают энергию при опрокидывании машины. Все съемные окна, панели, двери и другие ненесущие элементы должны быть демонтированы для исключения их влияния на оценку конструкции ROPS. Кабина, которая не образует единую конструкцию с ROPS, не нужна при оценке устройства ROPS.
Если отсутствует полноценная рама машины для испытаний FOPS и ROPS, возможно использование производной рамы. Эта производная рама может быть изготовлена с условием, что она полностью, насколько это возможно, соответствует раме-оригиналу по прочности и жесткости.
При оценке рамы машины поверхность производной рамы машины или точной копии должна быть проверена на жесткость и прочность, чтобы убедиться, что она способна поглощать при испытаниях энергию, передаваемую конструкцией ROPS, без разрушения.
Образец для испытаний должен быть смонтирован на платформе стенда таким образом, чтобы жесткость конструкции была эквивалентна жесткости полноценной рамы машины.
Оценка жесткости и прочности рамы машины должна выполняться при каждом испытании, когда используется производная рама или копия рамы машины. Копия результатов этой оценки должна храниться у изготовителя.
5.4.2 Образец для испытаний закрепляется на платформе стенда таким образом, чтобы элементы крепления системы к платформе подверглись минимальной деформации при испытании. Образец для испытаний не должен иметь дополнительной опоры на платформе стенда, кроме предусмотренной первоначальным креплением. Зажимные приспособления не должны препятствовать деформации рамы машины в зоне, где установлено ROPS. Это для того, чтобы энергия поглощалась только образцом для испытаний, а не зажимными приспособлениями.
5.4.3 Испытания должны быть проведены с принудительно заблокированными элементами подвески системы "машина-грунт", чтобы они не влияли на поведение деформации при нагружении образца для испытаний. Элементы подвески, используемые для присоединения ROPS к раме машины и воспринимающие нагрузку, должны быть установлены и действовать с начала испытаний.
5.4.4 Крепление рамы машины к платформе стенда должно быть непосредственно вблизи опор переднего и заднего мостов.
Для шарнирно-сочлененных машин шарнир должен быть заблокирован, если при испытаниях используют обе полурамы. Если при испытаниях используют только ту полураму, к которой крепится ROPS, то крепления должны быть вблизи шарнирного сочленения и опоры моста или у крайнего конца рамы.
Для одноосных тягачей опора должна быть на ведущем мосту.
Гусеничные машины должны быть соединены с платформой стенда через корпуса бортовых передач и/или раму движителя.
Примеры приведены на рисунках 7 -
13.
a - не имеет контакта с платформой стенда
Примечание - Типовое, но необязательное расположение.
Рисунок 7 - Пример крепления тягового блока
(одноосного тягача) к платформе стенда
a - не имеет контакта с платформой стенда
Примечание - Типовое, но необязательное расположение.
Рисунок 8 - Пример крепления гусеничного бульдозера
к платформе стенда
A - любое сочленение заблокировано; AC - ось;
a - не имеет контакта с платформой стенда
Примечание - Типовое, но необязательное расположение.
Рисунок 9 - Пример крепления автогрейдера
с шарнирно-сочлененной рамой (рама в сборе)
AC - ось
Примечание - Типовое, но необязательное расположение.
Рисунок 10 - Пример крепления на платформе стенда
шарнирно-сочлененной полурамы
LA - стрела погрузчика;
a - не имеет контакта с платформой стенда
Примечание - Типовое, но необязательное расположение.
Рисунок 11 - Пример крепления погрузчика
с бортовым поворотом
a - не имеет контакта с платформой стенда
Примечание - Типовое, но необязательное расположение.
Рисунок 12 - Пример крепления рамы землевоза, исключая кузов
BP - граничные плоскости DLV; F - усилие нагружения;
Fv - вертикальное усилие нагружения, равномерно
распределенное по LDD; LAP - точка приложения нагрузки;
W - ширина ROPS
Примечание - Типовое, но необязательное расположение.
Рисунок 13 - Пример нагружения жесткой рамы землевоза,
включая кузов
6 Порядок проведения нагрузочных испытаний
6.1.1 Все точки приложения нагрузки должны быть определены и промаркированы на конструкции перед приложением нагрузки.
6.1.2 Нагрузки должны быть определены в соответствии с
таблицей 1 и нагружение должно быть проведено в такой последовательности: боковое, вертикальное и продольное.
6.1.3 Не допускается правка или ремонт между нагружениями.
6.1.4 Нагрузка должна прикладываться через втулку (S) и устройство распределения нагрузки (LDD). Втулка должна обеспечить свободное движение ROPS в процессе нагружения. LDD используется для предотвращения локального проникания конструктивных элементов ROPS. S и LDD не должны препятствовать вращению ROPS.
6.1.5 LDD не должно контактировать со структурными элементами ROPS на расстоянии H.
6.2.1 LDD должно охватывать
L в местах, где отсутствует задний пересекающийся элемент, что позволяет рассредоточить нагрузку без изгиба. Во всех других случаях, длина устройства распределения нагрузки не должна превышать 80% длины
L ROPS. На
рисунке 3 показана длина
L для изогнутой поверхности.
6.2.2 Для трубчатых ROPS LAP должна находиться на поверхности верхнего бокового поперечного элемента.
6.2.3 Для одно- или двустоечных ROPS LAP следует располагать по длине
L и ограничивать вертикальной проекцией ближайшей стороны или кромки DLV. LAP не должна располагаться в пределах длины
L/3, измеренной от задней наружной плоскости ROPS. Если точка располагается на расстоянии
L/3 между задней плоскостью ROPS со стороны стойки и пересечением DLV граничной плоскостью BP, ближайшей к плоскости с боковым конструктивным элементом, LAP должна быть отодвинута от стороны стойки до BP DLV (см.
рисунок 1).
6.2.4 Для ROPS, имеющего более двух стоек, LAP должна быть размещена между вертикальными проекциями передней и задней BP DLV (см.
рисунок 2).
6.2.5 Если сиденье оператора смещено относительно продольной оси машины, нагружение должно производиться с внешней стороны бокового конструктивного элемента, ближайшего к сиденью. Если сиденье оператора установлено на продольной оси и если структура ROPS смонтирована так, что при правостороннем и левостороннем нагружении получаются различные зависимости между усилием и деформацией, выбор стороны нагружения должен соответствовать наиболее тяжелым условиям нагружения объекта испытаний.
6.2.6 Исходное направление приложения нагрузки должно быть горизонтальным и перпендикулярным к вертикальной плоскости, проходящей через продольную ось машины. Допускается при продолжительном действии нагрузки деформации объекта испытаний, обуславливающие изменение направления нагрузки.
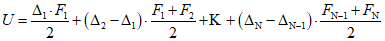
6.2.7 Нагружение может считаться статическим, если скорость деформации в LAP не превышает 5 мм/с. Значения силы и деформации в LAP должны быть зарегистрированы при увеличении деформации не более 15 мм. Нагружение продолжают до тех пор, пока значения силы и энергии не достигнут требуемых значений, определяемых по
таблице 1. Метод расчета энергии
U определяется кривой (см. рисунок 14). Для вычисления значения энергии используют значения деформации ROPS по линии действия силы. Деформация опорных элементов ROPS и рамы машины может быть включена в общую деформацию; однако деформация всех зажимных приспособлений должна быть исключена.
F - сила;

- деформация;
U - энергия:

.
Рисунок 14 - Зависимость деформации от силы
при нагрузочном испытании
6.3 Вертикальное нагружение
6.3.1 Вертикальную нагрузку прикладывают в верхней части ROPS после снятия боковой нагрузки.
6.3.2 Для всех ROPS центр вертикальной нагрузки должен располагаться в той же вертикальной плоскости, которая перпендикулярна продольной оси симметрии ROPS, определяемой для конструкции перед деформацией при боковом нагружении.
6.3.3 Нагружение ROPS производится без ограничения способа распределения нагрузки, при условии, что она прилагается симметрично относительно продольной оси симметрии деформированной конструкции ROPS. Пример вертикального нагружения показан на рисунке 15.
B1, B2 - устройства блокировки на обеих лентах гусениц
для предотвращения движения; Fv - вертикальная сила,
равномерно распределенная по LDD; LDD - устройство
распределения нагрузки
Рисунок 15 - Пример вертикального нагружения
6.3.4 Скорость деформации должна быть такой, чтобы нагружение считалось статическим в соответствии с критериями, определенными в
6.2.7. Нагружение должно продолжаться до тех пор, пока не будет достигнуто требуемое значение силы, определяемое по
таблице 1. Конструкция должна выдерживать эту нагрузку в течение 5 мин или до прекращения любой деформации, в зависимости от того, что произойдет быстрее.
6.4 Продольное нагружение
6.4.1 Продольное нагружение ROPS производится после вертикального нагружения.
6.4.2 Продольная нагрузка прикладывается к верхним конструктивным элементам ROPS вдоль продольной оси симметрии ROPS. LAP определяется местом пересечения передней и верхней плоскостей. Если поверхности изогнуты, используется место пересечения плоскостей, включающих касательные линии, которые проходят через среднюю точку дуги верхнего и фронтального конструктивных элементов (см.
рисунок 3).
6.4.3 Продольная нагрузка должна прикладываться в первоначально установленной точке в соответствии с
рисунками 1 -
5 до проведения бокового нагружения. Устройство распределения нагрузки должно перекрывать всю ширину при отсутствии задних (передних) поперечных элементов, способных передавать нагрузку без прогиба. Во всех других случаях устройство не должно распределять нагрузку на длине, превышающей 80% ширины
W ROPS (см.
рисунок 3).
6.4.4 Для всех машин направление нагрузки (спереди или сзади) должно быть выбрано в том месте на образце для испытаний, к которому предъявляются наиболее жесткие требования. Первоначальное направление нагружения должно быть горизонтальным и параллельным продольной оси машины. При определении направления приложения продольной нагрузки необходимо принимать во внимание следующее:
a) устройство ROPS, расположенное относительно DLV, должно защитить оператора от эффекта раздавливания в процессе продольной деформации;
b) свойства машины и ее конструктивных элементов должны противодействовать продольной деформации ROPS и ограничивать деформацию продольных компонентов при нагружении ROPS;
c) опыт, который мог бы определить возможность продольного опрокидывания или склонность конкретной классифицируемой машины к деформированию, когда она вращается относительно продольной оси во время реального опрокидывания.
6.4.5 Скорость деформации должна быть такой, чтобы нагружение можно было считать статическим в соответствии с критериями, которые указаны в
6.2.7. Это нагружение должно продолжаться до тех пор, пока усилие нагружения не достигнет предельного значения, указанного в
таблице 1.
7 Требования, предъявляемые к температуре и материалам
7.1 Общие требования к ROPS
Дополнительно к требованиям по нагружению необходимо выполнять требования к температуре элементов испытываемой конструкции и материалам, чтобы ROPS могло противостоять хрупкому разрушению. Для удовлетворения этих требований необходимо, чтобы все структурные элементы ROPS были изготовлены из материалов, имеющих механические свойства, указанные в 7.2 и
7.3. В этом случае испытания могут быть проведены при любой температуре. В любом случае по прочности необходимо соответствовать требованиям
7.4.
7.2 Конструктивные элементы ROPS
Конструктивные элементы, за исключением тонкостенных, должны быть изготовлены из сталей, которые соответствуют или превышают ударную вязкость по методу Шарпи для образцов с V-образным надрезом в соответствии с таблицей 2. Любой тонкостенный стальной конструктивный элемент должен отвечать требованиям
7.3. Альтернативно требования к температуре и материалам могут быть применены ко всем конструктивным элементам при температуре минус 18 °C и ниже, если по спецификации и гарантиям материалы, которые будут впоследствии изготовлены для ROPS, по прочностным характеристикам будут подобны тем, которые были применены на образце для испытаний.
Таблица 2
Минимальная ударная вязкость по методу Шарпи
для образцов с V-образным надрезом
Размер образца, мм | Поглощаемая энергия, Дж, |
при минус 30 °C | |
| 11 | 27,5 |
10 x 9 | 10 | 25 |
10 x 8 | 9,5 | 24 |
| 9,5 | 24 |
10 x 7 | 9 | 22,5 |
10 x 6,7 | 8,5 | 21 |
10 x 6 | 8 | 20 |
| 7,5 | 19 |
10 x 4 | 7 | 17,5 |
10 x 3,3 | 6 | 15 |
10 x 3 | 6 | 15 |
| 5,5 | 14 |
<a> Предпочтительный размер образца. Размер образца должен быть не менее чем наибольший предпочтительный размер образца, материал которого будет разрешен к применению. <b> Значение поглощаемой энергии при минус 20 °C в 2,5 раза больше, чем при минус 30 °C. К другим факторам, влияющим на ударную вязкость, относятся, например, направление прокатки, предел текучести, структура и сварка. Это следует учитывать при выборе стали. |
Примечание - Оценка по методу Шарпи является начальным контролем качества, и указанная температура не характеризует условия эксплуатации.
В качестве доказательства соответствия требованиям могут быть использованы сертификаты соответствия поставщика или изготовителя. Документация поставщика или изготовителя должна быть на все материалы, используемые в конструкции.
Образцы должны быть "продольными" и взяты из листовых, трубчатых или фасонных профилей до начала гибки или сварки при изготовлении ROPS. Образцы из трубчатых и фасонных профилей должны быть взяты из середины наибольшей по размеру стороны без сварных швов (см. ISO 148-1).
Необходимо принимать во внимание следующие требования по методу Шарпи:
- для стали с толщиной листа менее или равной 2,5 мм максимальное содержание углерода должно быть 0,2%;
- для спокойных мелкозернистых сталей с толщиной листа от 2,5 до 4,0 мм максимальное содержание углерода должно быть 0,2%.
Болты, используемые в конструкциях, должны быть с метрической резьбой класса прочности 8.8, 9.8 или 10.9 в соответствии с ISO 898-1 или эквивалентные. Гайки, используемые в конструкциях, должны быть с метрической резьбой класса прочности 8 или 10 в соответствии с ISO 898-2 или эквивалентные.
Примечание - Болты с метрической резьбой, превышающей класс прочности 10.9 (см. ISO 898-1) или эквивалентные им, могут потребовать строгий контроль качества во избежание хрупкого или вязкого разрушения.
Должны быть выполнены следующие требования:
a) установленное значение усилия и энергии при боковом нагружении, вертикальная несущая способность и требования к усилию при продольном нагружении должны соответствовать или превышать значения, полученные при испытании образца для испытаний. Формулы для определения этих значений приведены в
таблице 1;
b) усилие и энергия при боковом нагружении не обязательно должны достигать своих значений одновременно. Значение одного показателя может быть достигнуто раньше другого. Если усилие достигнет своего значения раньше, чем энергия, то оно может быть уменьшено, однако усилие должно достигнуть требуемого значения после того, как энергия достигнет или превысит расчетное значение;
c) во время бокового, вертикального или продольного нагружения ни один из элементов ROPS не должен проникать в DLV. Ограничения по деформациям являются обязательными;
d) боковая имитируемая плоскость грунта (LSGP), как это показано на
рисунке 6, не должна проникать в DLV (способ испытаний "стоя") в любое время при боковом нагружении, кроме ситуации, рассмотренной в
перечислении f);
e) вертикальная имитируемая плоскость грунта (VSGP) не должна проникать в DLV в любое время при вертикальном нагружении трубчатого каркаса ROPS, одно- или двухстоечного ROPS (см. рисунок 16);
Рисунок 16 - Пример неприемлемого проникновения VSGP в DLV
f) при боковом нагружении со смещенным сиденьем оператора (установленным не на продольной оси симметрии машины) или при продольном нагружении с оператором, расположенным лицом по направлению деформации ROPS под нагрузкой, допускается наклон вперед верхней части DLV на угол до 16° относительно контрольной точки сиденья (SIP), как установлено в ISO 5353, для предотвращения проникновения элементов ROPS или LSGP только при боковом нагружении. Наклон вперед DLV должен быть ограничен углом, меньшим 16°, если контакт с любым элементом машины или органом управления достигнут при меньшем угле (см. рисунок 17);
SIP - контрольная точка сиденья
Рисунок 17 - Допустимый поворот верхней части DLV
относительно SIP
g) если продольное нагружение осуществляют в направлении, противоположном указанному в
перечислении f) (т.е. с лицом оператора, расположенным навстречу деформации ROPS при приложении нагрузки), то поворот DLV не допускается;
h) ROPS не должно отделяться от рамы при опрокидывании машины вследствие разрушения ROPS, его элементов крепления или рамы машины. В случае если частичное отделение возможно, ROPS не должно полностью отделяться от машины при требуемых значениях силы и энергии.
Информация о ROPS, соответствующему требованиям настоящего стандарта, должна быть внесена в заводскую табличку в соответствии с
9.2 и
9.3.
Информация о FOPS может быть включена в маркировку.
9.2 Требования к заводской табличке
Табличка должна быть рассчитана на постоянное пользование и должна быть постоянно закреплена на устройстве.
Табличка должна быть расположена на устройстве таким образом, чтобы она была легко читаема и защищена от воздействия окружающей среды.
Табличка должна содержать следующую информацию:
a) наименование (фирменное наименование) и полный адрес изготовителя ROPS и, где применимо, его уполномоченного представителя;
b) обозначение ROPS, если имеется <1>;
--------------------------------
<1> Относится к ROPS, проданному тем изготовителем ROPS, который не является основным изготовителем.
c) обязательная маркировка, если это применимо
<1>, <2>;
--------------------------------
<2> Для машин и их узлов, которые должны поставляться на рынок Европейского экономического сообщества, где Советом Европы (СЕ) предписано маркировать их в соответствии с Европейской Директивой (Директивами), например, касающейся машиностроения.
d) обозначение марки или типа/модели машины, для которой предназначено ROPS;
e) серийный номер, если имеется
<1>;
f) год изготовления, т.е. год в котором завершен процесс изготовления
<1>;
g) максимальная масса машины m, при которой конструкция ROPS отвечает всем техническим требованиям настоящего стандарта;
h) номер(а) стандарта(ов), техническим требованиям которого(ых) соответствует устройство;
i) прочая информация, которая может быть полезной (например, информация по монтажу, ремонту или замене).
10 Регистрируемые результаты
Результаты испытаний должны быть оформлены с использованием типового протокола, который приведен в
приложении A.
(обязательное)
A.1 Общая часть
Образец заполнения протокола приведен ниже. Вся содержащаяся в этом приложении информация должна быть включена в протокол.
A.2 Идентификация
A.2.1 Машина
Тип: ..................................................................
Изготовитель: .........................................................
Модель: ...............................................................
Серийный номер: .......................................................
Номер рамы машины: ....................................................
A.2.2 ROPS
Изготовитель: .........................................................
Модель: ...............................................................
Серийный номер: .......................................................
Номер ROPS: ...........................................................
A.3 Информация, представляемая изготовителем
Максимальная рекомендуемая масса: .................................. кг
Положение DLV .........................................................
A.4 Критерии
Сила при боковом нагружении: ........................................ Н
Энергия при боковом нагружении: .................................... Дж
Сила при вертикальном нагружении: ................................... Н
Сила при продольном нагружении: ..................................... Н
A.5 Результаты испытания
Следующие значения силы и энергии были достигнуты или превышены без проникновения конструктивных элементов ROPS или SGP (где применимо) в DLV.
A.5.1 Боковое нагружение
Максимальное усилие, которое было достигнуто или превышено при
выполнении требования к значению энергии: ............................... Н
Достигнутая поглощенная энергия: ................................... Дж
A.5.2 Вертикальное нагружение
Максимальное достигнутое усилие: .................................... Н
A.5.3 Продольное нагружение
Максимальное достигнутое усилие: .................................... Н
A.5.4 Температура и материал
Испытание было проведено с ROPS и элементами рамы машины, охлажденными
до температуры: ........................................................ °C
(Заполняется только в том случае, если максимальная температура была
выше минус 18 °C)
Требования к ударной вязкости по методу Шарпи для образцов с V-образным
надрезом для конструктивных металлических элементов ROPS были проверены на
образце размером мм x мм. Поглощенная энергия составила: ............... Дж
Класс прочности гайки: ................................................
Класс прочности болта: ................................................
A.5.5 Использование специальной подвески или амортизационной системы
Изготовитель: .........................................................
Модель: ...............................................................
Идентификационный номер изделия: ......................................
A.5.6 Зависимость деформации от силы при нагрузочном испытании
Кривая зависимости деформации от силы, полученная в результате реальных испытаний, должна быть включена в протокол испытаний.
A.5.7 Фотография образца
В протокол должны быть включены фотографии испытуемого образца до испытаний и после каждого испытания (при боковом, вертикальном и продольном нагружении) для приемки результатов испытаний.
A.6 Заключение о соответствии
Минимальные технические требования ГОСТ ISO 3471-2015 были выполнены
при проведении нагрузочных испытаний для максимальной массы машины .... кг.
Дата проведения испытаний: ............................................
Наименование и адрес организации, проводившей испытания: ..............
Инженер-испытатель: ...................................................
Дата подписания протокола: ............................................
(справочное)
ИЗМЕНЕНИЕ КОНСТРУКЦИИ, ФИЗИЧЕСКИЕ ИСПЫТАНИЯ И ЗАМЕНА
B.1 Изменения конструкции
Любые изменения конструкции ROPS или рамы машины должны проверяться при физических испытаниях, за исключением случаев, когда:
a) эти, даже небольшие, изменения в существующей конструкции были ранее проверены в ходе физических испытаний и
b) изменения не оказывают отрицательное воздействие на эксплуатационные свойства ROPS и рамы машины.
B.2 Замена или ремонт
Любая конструкция ROPS, которая получила заметную деформацию, не должна быть повторно использована.
Замена или ремонт защитной конструкции не допускается, за исключением случаев, когда это предусмотрено изготовителем. Конструкции, которые подверглись замене или ремонту без соответствующего разрешения, не соответствуют настоящему стандарту.
B.3 Альтернатива физическим испытаниям
Теоретический анализ основного конструкторского документа на ROPS не может являться альтернативой физическим испытаниям.
(справочное)
СВЕДЕНИЯ О СООТВЕТСТВИИ ССЫЛОЧНЫХ МЕЖДУНАРОДНЫХ СТАНДАРТОВ
МЕЖГОСУДАРСТВЕННЫМ СТАНДАРТАМ
Таблица ДА.1
Обозначение международного стандарта | Степень соответствия | Обозначение и наименование соответствующего межгосударственного стандарта |
ISO 148-1:2009 | - | |
ISO 898-1:2013 | IDT | ГОСТ ISO 898-1-2014 "Механические свойства крепежных изделий из углеродистых и легированных сталей. Часть 1. Болты, винты и шпильки установленных классов прочности с крупным и мелким шагом резьбы" |
ISO 898-2:2012 | IDT | ГОСТ ISO 898-2-2015 "Механические свойства крепежных изделий из углеродистых и легированных сталей. Часть 2. Гайки установленных классов прочности с крупным и мелким шагом резьбы" |
ISO 3164:1995 | - | |
ISO 3164:2013 | IDT | ГОСТ ISO 3164-2016 "Машины землеройные. Лабораторные испытания по оценке устройств защиты. Требования к пространству, ограничивающему деформацию" |
ISO 5353:1995 | - | |
ISO 6165:2012 | - | |
ISO 9248:1992 | - | |
<*> Соответствующий межгосударственный стандарт отсутствует. Примечание - В настоящей таблице использованы следующие условные обозначения степени соответствия стандартов: - IDT - идентичные стандарты. |
[1] | ISO 6683:2005 | Earth-moving machinery - Seat belts and seat belt anchorages - Performance requirements and tests (Машины землеройные. Ремни безопасности и места их креплений. Технические требования и методы испытаний) |
УДК 621.878/879-783.4(083.74)(476) | | IDT |
Ключевые слова: машины землеройные, устройства защиты при опрокидывании, платформа стенда, безопасность, требования, испытания |