Главная // Актуальные документы // ГОСТ (Государственный стандарт)СПРАВКА
Источник публикации
М.: Стандартинформ, 2020
Примечание к документу
Документ включен в
Перечень документов в области стандартизации, в результате применения которых на добровольной основе обеспечивается соблюдение требований Федерального
закона от 30.12.2009 N 384-ФЗ "Технический регламент о безопасности зданий и сооружений" (
Приказ Росстандарта от 02.04.2020 N 687).
Текст данного документа приведен с учетом
поправки, опубликованной в "ИУС", N 7, 2023.
Документ
введен в действие с 01.06.2021.
Название документа
"ГОСТ 12248.10-2020. Межгосударственный стандарт. Грунты. Определение характеристик деформируемости мерзлых грунтов методом компрессионного сжатия"
(введен в действие Приказом Росстандарта от 14.10.2020 N 830-ст)
"ГОСТ 12248.10-2020. Межгосударственный стандарт. Грунты. Определение характеристик деформируемости мерзлых грунтов методом компрессионного сжатия"
(введен в действие Приказом Росстандарта от 14.10.2020 N 830-ст)
агентства по техническому
регулированию и метрологии
от 14 октября 2020 г. N 830-ст
МЕЖГОСУДАРСТВЕННЫЙ СТАНДАРТ
ГРУНТЫ
ОПРЕДЕЛЕНИЕ ХАРАКТЕРИСТИК ДЕФОРМИРУЕМОСТИ
МЕРЗЛЫХ ГРУНТОВ МЕТОДОМ КОМПРЕССИОННОГО СЖАТИЯ
Soils. Determination of strain deformation parameters
of frozen soils by compression testing
ГОСТ 12248.10-2020
Дата введения
1 июня 2021 года
Цели, основные принципы и общие правила проведения работ по межгосударственной стандартизации установлены
ГОСТ 1.0 "Межгосударственная система стандартизации. Основные положения" и
ГОСТ 1.2 "Межгосударственная система стандартизации. Стандарты межгосударственные, правила и рекомендации по межгосударственной стандартизации. Правила разработки, принятия, обновления и отмены"
1 РАЗРАБОТАН Открытым акционерным обществом "Научно-исследовательский центр "Строительство" (АО "НИЦ "Строительство") - Научно-исследовательским проектно-изыскательским и конструкторско-технологическим институтом оснований и подземных сооружений (НИИОСП) им. Н.М. Герсеванова
2 ВНЕСЕН Техническим комитетом по стандартизации ТК 465 "Строительство"
3 ПРИНЯТ Межгосударственным советом по стандартизации, метрологии и сертификации (протокол от 31 августа 2020 г. N 132-П)
За принятие проголосовали:
Краткое наименование страны по МК (ИСО 3166) 004-97 | Код страны по МК (ИСО 3166) 004-97 | Сокращенное наименование национального органа по стандартизации |
Азербайджан | AZ | Азстандарт |
Армения | AM | ЗАО "Национальный орган по стандартизации и метрологии" Республики Армения |
Беларусь | BY | Госстандарт Республики Беларусь |
Казахстан | KZ | Госстандарт Республики Казахстан |
Киргизия | KG | Кыргызстандарт |
Россия | RU | Росстандарт |
Узбекистан | UZ | Узстандарт |
4
Приказом Федерального агентства по техническому регулированию и метрологии от 14 октября 2020 г. N 830-ст межгосударственный стандарт ГОСТ 12248.10-2020 введен в действие в качестве национального стандарта Российской Федерации с 1 июня 2021 г.
Информация о введении в действие (прекращении действия) настоящего стандарта и изменений к нему на территории указанных выше государств публикуется в указателях национальных стандартов, издаваемых в этих государствах, а также в сети Интернет на сайтах соответствующих национальных органов по стандартизации.
В случае пересмотра, изменения или отмены настоящего стандарта соответствующая информация будет опубликована на официальном интернет-сайте Межгосударственного совета по стандартизации, метрологии и сертификации в каталоге "Межгосударственные стандарты"
Настоящий стандарт устанавливает лабораторный метод компрессионного сжатия для определения коэффициента сжимаемости пластично-мерзлых грунтов mi, коэффициента оттаивания Ath и сжимаемости при оттаивании m для песков (кроме гравелистых и сыпучемерзлых), глинистых грунтов, а также заторфованных разностей указанных видов грунтов при температурах ниже температуры начала замерзания более чем на 0,3 °C - для незасоленных и более чем на 1 °C - для засоленных.
В настоящем стандарте использованы нормативные ссылки на следующие межгосударственные стандарты:
ГОСТ 5180 Грунты. Методы лабораторного определения физических характеристик
ГОСТ 12071 Грунты. Отбор, упаковка, транспортирование и хранение образцов
ГОСТ 12248 Грунты. Методы лабораторного определения характеристик прочности и деформируемости
ГОСТ 30416 Грунты. Лабораторные испытания. Общие положения
ГОСТ ISO/IEC 17025 Общие требования к компетентности испытательных и калибровочных лабораторий
Примечание - При пользовании настоящим стандартом целесообразно проверить действие ссылочных стандартов и классификаторов на официальном интернет-сайте Межгосударственного совета по стандартизации, метрологии и сертификации (www.easc.by) или по указателям национальных стандартов, издаваемым в государствах, указанных в предисловии, или на официальных сайтах соответствующих национальных органов по стандартизации. Если на документ дана недатированная ссылка, то следует использовать документ, действующий на текущий момент, с учетом всех внесенных в него изменений. Если заменен ссылочный документ, на который дана датированная ссылка, то следует использовать указанную версию этого документа. Если после принятия настоящего стандарта в ссылочный документ, на который дана датированная ссылка, внесено изменение, затрагивающее положение, на которое дана ссылка, то это положение применяется без учета данного изменения. Если ссылочный документ отменен без замены, то положение, в котором дана ссылка на него, применяется в части, не затрагивающей эту ссылку.
В настоящем стандарте применены термины по
ГОСТ 25100,
ГОСТ 30416, а также следующие термины с соответствующими определениями:
3.1 пластично-мерзлый грунт: Дисперсный грунт, сцементированный льдом, обладающий вязкопластичными свойствами и сжимаемостью под внешней нагрузкой.
3.2 твердомерзлый грунт: Дисперсный грунт, прочно сцементированный льдом, характеризуемый относительно хрупким разрушением, практически несжимаемый под внешней нагрузкой.
3.3 природное давление: Давление, равное напряжению от собственного веса грунта на глубине отбора образца.
4.1 Испытание мерзлого грунта методом компрессионного сжатия проводят для определения коэффициента сжимаемости пластично-мерзлых грунтов mi, коэффициента оттаивания Ath и сжимаемости при оттаивании m.
4.2 Для испытуемых образцов грунта должны быть определены основные классификационные показатели и тип криогенной текстуры по
ГОСТ 25100, суммарная влажность, суммарная льдистость, льдистость за счет видимых ледяных включений по
ГОСТ 5180, степень засоленности и содержание органического вещества.
4.3 Для испытаний используют образцы мерзлого грунта ненарушенного сложения с природной влажностью и льдистостью. Отбор, хранение и транспортировка образцов грунтов осуществляются в соответствии с
ГОСТ 12071.
Толщина прослоек льда в образце должна быть не более 0,1 д. е. от высоты образца, а льдистость за счет видимых ледяных включений - менее 0,4.
4.4 Образцы должны иметь форму цилиндра диаметром не менее 70 мм и высотой 1/2 - 1/3,5 диаметра.
4.5 В процессе испытаний грунтов ведут журнал по форме, приведенной в
приложении А, а при автоматизации процесса испытаний выводятся на компьютер.
4.6 Протокол испытания составляется в соответствии с требованиями
ГОСТ ISO/IEC 17025 и включает в себя:
- идентификацию образца (номер испытания, номер буровой скважины, номер пробы, глубина отбора и т.п.);
- метод подготовки образца (ненарушенного или нарушенного сложения);
- размеры образца;
- физические характеристики грунта;
- режим нагружения;
- числовое значение полученных результатов.
В протоколе при необходимости отмечают характерные особенности (текстура, слоистость, наличие включений и т.п.).
5.1 Характеристики деформируемости определяют по результатам испытаний образцов грунта в компрессионных приборах (одометрах), исключающих возможность бокового расширения образца при его нагружении вертикальной нагрузкой в мерзлом или оттаянном состоянии.
5.2 Диапазон давлений устанавливают в зависимости от напряженного состояния грунта в массиве с учетом нагрузок на основание и глубины залегания образца, а также температуры и влажности, льдистости образца, исходя из условия, что число ступеней должно быть не менее пяти.
Примечание - При отсутствии данных значение
R допускается принимать в соответствии с
приложением В.
6.1 В состав установки для испытаний грунта методом компрессионного сжатия входят:
- компрессионный прибор (одометр);
- механизм вертикального нагружения образца грунта;
- устройства измерения вертикальных деформаций образца грунта.
6.2 Принципиальные схемы приборов для испытаний на компрессию в мерзлом состоянии и при оттаивании приведены в
приложении Б.
6.3 Погрешности измерений (усилий, давлений, перемещений, температуры) для всех измерительных устройств принимаются в соответствии с требованиями
ГОСТ 30416.
6.4 В комплект оборудования для подготовки образцов мерзлого грунта к лабораторным испытаниям методом компрессионного сжатия должны входить:
- винтовой пресс-станок или любое другое вспомогательное оборудование для вдавливания рабочего кольца;
- рабочие кольца из металла с режущим краем;
- пила для распиливания монолита мерзлого грунта на блоки;
- режущий инструмент для вырезки образцов в кольцо (например, ножи с прямым лезвием, ножовки, сабельные пилы - как механические, так и электрические);
- весы с точностью взвешивания +/- 0,01 г;
- стретч-пленка или полиэтиленовая пленка толщиной 12 - 35 мкм.
7.1 Все операции по изготовлению, подготовке и испытанию образцов мерзлого грунта следует выполнять в помещениях с постоянной отрицательной температурой (морозильных камерах или подземных лабораториях, расположенных в толще многолетнемерзлых грунтов), которая должна обеспечивать сохранность мерзлого состояния грунта, недопущение сколов и других нарушений поверхности в процессе обработки монолитов мерзлого грунта. Температура воздуха в помещении для подготовки образцов ненарушенного сложения не должна превышать температуру испытания. Рекомендуется вырезку образцов проводить в отдельном помещении при температуре ниже температуры испытания на 1 °C - 2 °C.
7.2 Оборудование для вырезки образцов грунта, а также подготовленные блоки из монолитов мерзлого грунта выдерживаются в помещении для подготовки образцов не менее 6 ч.
Образцы мерзлого грунта ненарушенного сложения с природной влажностью, плотностью и льдистостью вырезают из монолита так, чтобы при последующем испытании образец имел по отношению к нагрузке ориентировку, соответствующую природному залеганию.
7.3 Перед изготовлением образцов мерзлого грунта рабочие кольца нумеруют, взвешивают, измеряют их высоту и внутренний диаметр. Рабочее кольцо устанавливают режущим краем на зачищенную поверхность основания призмы (или керна).
7.4 При помощи пресса рабочее кольцо слегка вдавливают в мерзлый грунт и острым ножом начинают срезать грунт. Постепенно надвигают кольцо на образующийся грунтовый цилиндр до полного его заполнения. Проверяют взаимную параллельность оснований образца с погрешностью 0,1 мм. Рабочее кольцо с образцом грунта взвешивают.
7.5 Образец грунта в рабочем кольце помещают в направляющий цилиндр одометра и проводят следующие действия:
- на образец ставят штамп и центрируют его;
- подготавливают устройства для измерения вертикальных деформаций образца симметрично оси штампа;
- одометр устанавливают на станину под пресс и центрируют.
7.6 Перед началом испытания образец выдерживают в помещении при температуре испытания не менее 1 сут для образца диаметром 70 мм и более 2 сут для образца диаметром 110 мм и более.
8.1 К образцу плавно, не допуская ударов, прикладывают нагрузку первой ступени нагружения. Первую ступень давления при испытании глинистых грунтов принимают равной 0,05 МПа, для песков - 0,1 МПа. Если природное давление меньше указанных величин, величину первой ступени нагружения следует принять равной природному давлению.
8.2 После стабилизации деформации увеличивают нагрузку на образец ступенями. Число ступеней должно быть не менее пяти. Давление на последней ступени задается программой испытаний с учетом природного давления и передаваемых на основание нагрузок от сооружения. При отсутствии данных давление на последней ступени может приниматься равным 0,6 МПа или равным расчетному сопротивлению мерзлого грунта под подошвой фундамента (может устанавливаться по
приложению В). Во всех случаях давление на последней ступени должно быть больше природного давления. На каждой ступени нагружения записывают показания приборов для измерения вертикальной деформации образца через 1, 5, 10, 20, 30 и 60 мин; 2, 4, 6, 8 ч после приложения нагрузки, затем не реже двух раз в сутки (в начале и конце рабочего дня) до условной стабилизации деформации или применяют автоматическую запись с интервалами не реже чем перечисленные. За критерий условной стабилизации деформации принимают приращение вертикальной деформации, не превышающее 0,01 мм за 12 ч.
8.3 Каждую ступень нагружения прикладывают после условной стабилизации вертикальной деформации образца на предшествующей ступени, принимаемой по
8.2.
8.4 При испытании для определения значений Ath и m после условной стабилизации деформации на первой ступени нагружения мерзлого образца проводят оттаивание образца, повышая температуру воздуха в помещении для испытания, и фиксируют при этом деформации образца также до достижения условной стабилизации деформации. Далее продолжают испытание грунта в оттаявшем состоянии. Давление на последней ступени не должно превышать 0,3 МПа - для глинистых грунтов и 0,5 МПа - для песков.
9.1 По результатам испытания для каждой ступени нагружения вычисляют:
- абсолютную стабилизированную вертикальную деформацию образца грунта

, мм, как среднеарифметическое показание устройств для измерения вертикальной деформации образца;
- относительную стабилизированную вертикальную деформацию образца грунта

(
h - начальная высота образца) при испытании для определения mf;
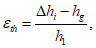
- относительную стабилизированную вертикальную деформацию образца

при испытании для определения
Ath и
m, определяемую по формуле

(9.1)
где

- абсолютная стабилизированная деформация образца грунта после оттаивания, мм;

- абсолютная стабилизированная деформация образца грунта на первой ступени нагружения (до его оттаивания), мм;
h1 - высота образца мерзлого грунта после стабилизации деформации на первой ступени (до его оттаивания), мм.
9.2 По вычисленным значениям строят графики зависимости

и

(см.
приложение Г), где
p - давление на образец на каждой ступени нагружения, МПа.
9.3 Коэффициенты сжимаемости пластично-мерзлого грунта mf,i, МПа-1, определяют на каждой ступени нагрузки от pi до pi+1 с точностью 0,001 МПа-1 по формуле

(9.2)
Примечание - По значениям коэффициента сжимаемости
mf,i может быть вычислен модуль деформации

, где

- коэффициент, равный 0,8.
9.4 Коэффициенты оттаивания
Ath и сжимаемости
m при оттаивании мерзлого грунта определяют по прямой наилучшего приближения к экспериментальным точкам, построенной графически или методом наименьших квадратов, так же как отрезок, отсекаемый этой прямой на оси

и как тангенс угла ее наклона к оси
p (см.
приложение Г).
(рекомендуемое)
ЖУРНАЛ ИСПЫТАНИЙ ДЛЯ ОПРЕДЕЛЕНИЯ
ДЕФОРМАЦИОННЫХ ХАРАКТЕРИСТИК МЕРЗЛОГО ГРУНТА
МЕТОДОМ КОМПРЕССИОННОГО СЖАТИЯ
Форма первой страницы журнала
Объект (пункт) _________________________ Данные о рабочем кольце и образце:
Сооружение _____________________________ высота, мм ____________________________
Шурф (скважина) N ______________________ диаметр, мм ___________________________
Глубина отбора образца, м ______________ площадь, см2 __________________________
Лабораторный номер образца _____________ объем, см3 ____________________________
Наименование грунта ____________________ масса кольца, г _______________________
Сложение грунта ________________________ масса кольца с мерзлым грунтом, г _____
Визуальное описание образца мерзлого масса образца мерзлого грунта, г ______
грунта в лаборатории и влажность плотность мерзлого грунта, г/см _______
мерзлого грунта, д. е. _________________
Температура в холодильной камере _______
Журнал испытания мерзлого грунта
методом компрессионного сжатия
Номер образца _______
Дата испытания | Температура испытания, °C | Время снятия отсчета, ч | Время от начала опыта, ч | Номер ступени нагружения | Давление на образец грунта, МПа | Давление, МПа | Показание индикаторов деформаций | Абсолютная деформация образца, мм | Поправка на деформацию прибора, мм | Абсолютная деформация с учетом поправки  , мм | Относительная деформация образца | Примечания |
Индикатор 1 | Индикатор 2 | Среднее |
| | | | | | | | | | | | | | |
(рекомендуемое)
ПРИНЦИПИАЛЬНЫЕ СХЕМЫ КОМПРЕССИОННЫХ ПРИБОРОВ
ДЛЯ ИСПЫТАНИЯ МЕРЗЛЫХ ГРУНТОВ
Принципиальные схемы компрессионных приборов для испытания грунта в мерзлом состоянии и при оттаивании приведены на
рисунке Б.1.
а) Для испытания грунтов в мерзлом состоянии 1 - образец грунта; 2 - поддон корпуса; 3 - рабочее кольцо; 4 - нижний штамп; 5 - верхний штамп; 6 - корпус; F - нагрузка | б) Для испытания грунтов при оттаивании 1 - образец грунта; 2 - поддон корпуса; 3 - рабочее кольцо; 4 - перфорированный нижний штамп; 5 - перфорированный верхний штамп; 6 - корпус; F - нагрузка |
(рекомендуемое)
РАСЧЕТНЫЕ СОПРОТИВЛЕНИЯ МЕРЗЛОГО ГРУНТА
ПОД ПОДОШВОЙ ФУНДАМЕНТА
Расчетные значения сопротивления мерзлого грунта под подошвой фундамента представлены в таблице В.1.
Таблица В.1
Расчетные значения сопротивления мерзлого грунта
в зависимости от льдистости грунтов и температуры испытаний
Грунты | Значения сопротивления мерзлого грунта R, МПа, при температуре испытаний T, °C |
-0,3 | -0,5 | -1 | -1,5 | -2 | -2,5 | -3 | -3,5 | -4 | -6 | -8 | -10 |
При льдистости грунтов ii < 0,2 |
1 Пески средней крупности | 0,55 | 0,95 | 1,25 | 1,45 | 1,6 | 1,8 | 1,95 | 2,0 | 2,2 | 2,6 | 2,95 | 3,3 |
2 Пески мелкие и пылеватые | 0,45 | 0,7 | 0,9 | 1,1 | 1,3 | 1,4 | 1,6 | 1,7 | 1,8 | 2,2 | 2,55 | 2,86 |
3 Супеси | 0,3 | 0,5 | 0,7 | 0,8 | 1,05 | 1,15 | 1,30 | 1,40 | 1,5 | 1,9 | 2,25 | 2,5 |
| 0,25 | 0,45 | 0,55 | 0,65 | 0,8 | 0,9 | 1,0 | 1,1 | 1,2 | 1,55 | 1,9 | 2,2 |
При льдистости грунтов ii >= 0,2 |
Все виды грунтов, указанные в 1 - 4 | 0,2 | 0,3 | 0,4 | 0,5 | 0,6 | 0,7 | 0,75 | 0,85 | 0,95 | 1,25 | 1,55 | 1,75 |
(рекомендуемое)
ОБРАЗЕЦ ГРАФИЧЕСКОГО ОФОРМЛЕНИЯ РЕЗУЛЬТАТОВ ИСПЫТАНИЯ
МЕРЗЛОГО ГРУНТА МЕТОДОМ КОМПРЕССИОННОГО СЖАТИЯ
Образец графического оформления результатов испытания мерзлого грунта методом компрессионного сжатия представлен на рисунках Г.1 и
Г.2.
Рисунок Г.1
УДК 624.131.4.001.4:006.354 | |
Ключевые слова: компрессионное сжатие мерзлых грунтов, коэффициент сжимаемости мерзлых грунтов, модуль деформации мерзлых грунтов, коэффициент оттаивания |