Главная // Актуальные документы // ГОСТ Р (Государственный стандарт)СПРАВКА
Источник публикации
М.: ФГБУ "РСТ", 2021
Примечание к документу
Документ
введен в действие с 01.01.2022.
Название документа
"ГОСТ Р 59115.6-2021. Национальный стандарт Российской Федерации. Обоснование прочности оборудования и трубопроводов атомных энергетических установок. Методы определения характеристик трещиностойкости конструкционных материалов"
(утв. и введен в действие Приказом Росстандарта от 20.10.2021 N 1170-ст)
"ГОСТ Р 59115.6-2021. Национальный стандарт Российской Федерации. Обоснование прочности оборудования и трубопроводов атомных энергетических установок. Методы определения характеристик трещиностойкости конструкционных материалов"
(утв. и введен в действие Приказом Росстандарта от 20.10.2021 N 1170-ст)
Утвержден и введен в действие
Приказом Федерального
агентства по техническому
регулированию и метрологии
от 20 октября 2021 г. N 1170-ст
НАЦИОНАЛЬНЫЙ СТАНДАРТ РОССИЙСКОЙ ФЕДЕРАЦИИ
ОБОСНОВАНИЕ ПРОЧНОСТИ ОБОРУДОВАНИЯ И ТРУБОПРОВОДОВ
АТОМНЫХ ЭНЕРГЕТИЧЕСКИХ УСТАНОВОК
МЕТОДЫ ОПРЕДЕЛЕНИЯ ХАРАКТЕРИСТИК ТРЕЩИНОСТОЙКОСТИ
КОНСТРУКЦИОННЫХ МАТЕРИАЛОВ
Rules for strength assessment of equipment
and pipelines of nuclear power installations.
Methods for determination of fracture toughness
characteristics of structural materials
ГОСТ Р 59115.6-2021
Дата введения
1 января 2022 года
1 РАЗРАБОТАН Федеральным государственным унитарным предприятием "Центральный научно-исследовательский институт конструкционных материалов "Прометей" им. И.В. Горынина Национального исследовательского центра "Курчатовский институт" (НИЦ "Курчатовский институт" - ЦНИИ КМ "Прометей")
2 ВНЕСЕН Техническим комитетом по стандартизации ТК 322 "Атомная техника"
3 УТВЕРЖДЕН И ВВЕДЕН В ДЕЙСТВИЕ Приказом Федерального агентства по техническому регулированию и метрологии от 20 октября 2021 г. N 1170-ст
4 ВВЕДЕН ВПЕРВЫЕ
5 Федеральное агентство по техническому регулированию и метрологии не несет ответственности за патентную чистоту настоящего стандарта. Патентообладатель может заявить о своих правах и направить в Федеральное агентство по техническому регулированию и метрологии аргументированное предложение о внесении в настоящий стандарт поправки для указания информации о наличии в стандарте объектов патентного права и патентообладателе
Правила применения настоящего стандарта установлены в статье 26 Федерального закона от 29 июня 2015 г. N 162-ФЗ "О стандартизации в Российской Федерации". Информация об изменениях к настоящему стандарту публикуется в ежегодном (по состоянию на 1 января текущего года) информационном указателе "Национальные стандарты", а официальный текст изменений и поправок - в ежемесячном информационном указателе "Национальные стандарты". В случае пересмотра (замены) или отмены настоящего стандарта соответствующее уведомление будет опубликовано в ближайшем выпуске ежемесячного информационного указателя "Национальные стандарты". Соответствующая информация, уведомление и тексты размещаются также в информационной системе общего пользования - на официальном сайте Федерального агентства по техническому регулированию и метрологии в сети Интернет (www.rst.gov.ru)
Настоящий стандарт взаимосвязан с другими стандартами, входящими в комплекс стандартов, регламентирующих обоснование прочности оборудования и трубопроводов атомных энергетических установок.
1.1 Настоящий стандарт устанавливает методы проведения испытаний в целях экспериментального определения и процедуры расчетного определения характеристик трещиностойкости конструкционных материалов оборудования и трубопроводов атомных энергетических установок в условиях стабильного и нестабильного развития трещины при кратковременном нагружении, а также при циклическом и длительном статическом нагружении.
1.2 Настоящий стандарт предназначен для применения при проведении расчетов по обоснованию прочности оборудования и трубопроводов атомных энергетических установок, на которые распространяется действие федеральных
норм и правил в области использования атомной энергии
[1].
1.3 Применимость материалов для изготовления указанных в
1.2 оборудования и трубопроводов атомных энергетических установок регламентируется федеральными
нормами и правилами в области использования атомной энергии
[1].
В настоящем стандарте использованы нормативные ссылки на следующие стандарты:
ГОСТ Р 8.568 Государственная система обеспечения единства измерений. Аттестация испытательного оборудования. Основные положения
ГОСТ Р 59115.1 Обоснование прочности оборудования и трубопроводов атомных энергетических установок. Термины и определения
ГОСТ Р 59115.2 Обоснование прочности оборудования и трубопроводов атомных энергетических установок. Модуль упругости, температурный коэффициент линейного расширения, коэффициент Пуассона, модуль сдвига
ГОСТ Р 59115.3 Обоснование прочности оборудования и трубопроводов атомных энергетических установок. Кратковременные механические свойства конструкционных материалов
ГОСТ Р 59115.14 Обоснование прочности оборудования и трубопроводов атомных энергетических установок. Расчет на сопротивление хрупкому разрушению корпуса водо-водяного энергетического реактора
Примечание - При пользовании настоящим стандартом целесообразно проверить действие ссылочных стандартов в информационной системе общего пользования - на официальном сайте Федерального агентства по техническому регулированию и метрологии в сети Интернет или по ежегодному информационному указателю "Национальные стандарты", который опубликован по состоянию на 1 января текущего года, и по выпускам ежемесячного информационного указателя "Национальные стандарты" за текущий год. Если заменен ссылочный стандарт, на который дана недатированная ссылка, то рекомендуется использовать действующую версию этого стандарта с учетом всех внесенных в данную версию изменений. Если заменен ссылочный стандарт, на который дана датированная ссылка, то рекомендуется использовать версию этого стандарта с указанным выше годом утверждения (принятия). Если после утверждения настоящего стандарта в ссылочный стандарт, на который дана датированная ссылка, внесено изменение, затрагивающее положение, на которое дана ссылка, то это положение рекомендуется применять без учета данного изменения. Если ссылочный стандарт отменен без замены, то положение, в котором дана ссылка на него, рекомендуется применять в части, не затрагивающей эту ссылку.
В настоящем стандарте применены термины по
ГОСТ Р 59115.1, а также следующие термины с соответствующими определениями:
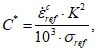
3.1 C*-интеграл: Параметр механики разрушения, контролирующий напряжения и скорость деформации ползучести вблизи вершины трещины при деформировании материала в области установившейся ползучести.
3.2 J-интеграл: Параметр механики разрушения, контролирующий напряженно-деформированное состояние вблизи вершины трещины при упругопластическом деформировании материала.
3.3 JR-кривая: Графическая зависимость трещиностойкости (в терминах J-интеграла) от величины стабильного подроста трещины при статическом нагружении.
3.4 боковые канавки: Симметричные надрезы на боковых гранях образца, имеющие V-образный профиль и вершины в плоскости инициирующего надреза.
3.5 верхний шельф: Область температурной зависимости статической трещиностойкости материалов ферритного класса, в которой разрушение материалов происходит по вязкому механизму, а значения статической трещиностойкости при увеличении температуры остаются неизменными или незначительно снижаются.
3.6 время инициирования трещины при ползучести: Время, за которое исходная трещина подрастает по механизму ползучести на 0,2 мм после приложения нагрузки к образцу.
3.7 диапазон нагрузки: Разность между максимальной и минимальной нагрузкой в цикле нагружения.
3.8 длина трещины: Размер трещины в плоскости инициирующего надреза в сечении, параллельном боковой грани образца, равный, в зависимости от типа образца, расстоянию от фронта трещины до линии действия силы или до грани образца с инициирующим надрезом.
3.9 Единая кривая (Advanced Unified Curve): Метод прогнозирования температурной зависимости статической трещиностойкости в области хрупкого разрушения конструкционных материалов ферритного класса с любой степенью охрупчивания, применимый как в случае, когда форма этой зависимости не изменяется, так и когда форма этой зависимости изменяется с увеличением степени охрупчивания.
3.10 инициирующий надрез: Надрез в образце, определяющий плоскость зарождения трещины и направление ее дальнейшего развития при испытаниях.
3.11 исходная трещина: Трещина в образце до начала испытаний.
3.12 конечная трещина: Трещина в образце после проведения испытаний.
3.13 коэффициент асимметрии цикла нагружения: Отношение минимальной нагрузки к максимальной нагрузке в цикле.
3.14 коэффициент интенсивности напряжений: Параметр, определяющий напряженно-деформированное состояние вблизи вершины трещины при упругом деформировании и деформировании в области маломасштабной текучести.
3.15 критическая температура хрупкости: Характеристика склонности материала к хрупкому разрушению, определяемая по результатам испытаний образцов на ударный изгиб.
3.16 линия притупления трещины: При испытаниях на статическую трещиностойкость линия, аппроксимирующая подрост трещины за счет притупления ее вершины.
3.17 максимальная нагрузка: Наибольшее (по модулю) значение прилагаемой нагрузки (при циклическом нагружении растягивающая нагрузка считается положительной, сжимающая нагрузка - отрицательной).
3.18 максимальный коэффициент интенсивности напряжений: Максимальное значение коэффициента интенсивности напряжений, при циклическом нагружении соответствующее максимальной нагрузке в цикле нагружения.
3.19 Мастер кривая (Master Curve): Метод прогнозирования температурной зависимости статической трещиностойкости в области хрупкого разрушения конструкционных материалов ферритного класса в исходном состоянии и с невысокой степенью охрупчивания, применимый в случае, когда форма этой зависимости не изменяется с увеличением степени охрупчивания.
3.20
материалы аустенитного класса: Высоколегированные стали с кубической гранецентрированной кристаллической решеткой, имеющие преимущественно однофазную аустенитную структуру

, а также сварные швы этих сталей.
3.21 материалы ферритного класса: Углеродистые и легированные стали с кубической объемно-центрированной кристаллической решеткой (перлитные, бейнитые, мартенситные), а также сварные швы этих сталей.
3.22 металл антикоррозионной наплавки: Металл наплавки аустенитного класса, защищающей металл детали (изделия) от воздействия коррозионной среды в процессе эксплуатации.
3.23 металл зоны термического влияния: Зона основного металла, подверженная при сварке термическому воздействию, при котором изменяется микроструктура и свойства этого металла.
3.24 металл сварного шва: Металл, температура которого при сварке превышала температуру плавления.
3.25 минимальная нагрузка: Наименьшее (по модулю) значение прилагаемой нагрузки в цикле нагружения (растягивающая нагрузка считается положительной, сжимающая нагрузка - отрицательной).
3.26 минимальный коэффициент интенсивности напряжений: Минимальное значение коэффициента интенсивности напряжений при циклическом нагружении, соответствующее минимальной нагрузке в цикле при положительном значении коэффициента асимметрии цикла нагружения и равное нулю при иных его значениях.
3.27 напряжение течения: Напряжение, характеризующее влияние пластического течения на трещиностойкость, определяемое как среднее арифметическое условного предела текучести и предела прочности материала при растяжении.
3.28 нестабильное развитие трещины: Развитие (подрост) трещины, происходящее без увеличения приложенной нагрузки.
3.29 нетто-толщина образца: Расстояние между вершинами надрезов боковых канавок в образце с боковыми канавками.
3.30 нижний шельф: Область температурной зависимости статической трещиностойкости материалов ферритного класса, в которой разрушение материалов происходит по хрупкому механизму, а значения статической трещиностойкости при понижении температуры снижаются незначительно.
3.31 основной металл: Металл элементов оборудования и трубопроводов атомных энергетических установок, за исключением металла зон термического влияния и металла сварных швов.
3.32 перемещение на торце образца: Перемещение при испытаниях образца краев инициирующего надреза (призматических выступов на краях надреза) в направлении, перпендикулярном плоскости инициирующего надреза.
3.33 перемещение по линии действия силы: Перемещение в точке приложения силы, направление которого совпадает с направлением действия силы.
3.34 повреждающая доза: Интегральная характеристика, отражающая степень радиационного повреждения металла, определяемая как накопленное за определенное время число смещений одного атома из узла кристаллической решетки под действием нейтронного и гамма-излучения.
3.35 податливость: Отношение приращений перемещения к приращению нагрузки.
3.36 подрост трещины: Увеличение длины трещины.
3.37 прогиб образца: Перемещение по линии действия силы при испытаниях на трехточечный изгиб плоского прямоугольного образца с краевой трещиной.
3.38 пролет образца: Расстояние между роликовыми опорами при испытаниях на трехточечный изгиб плоского прямоугольного образца с краевой трещиной.
3.39 размах коэффициента интенсивности напряжений: Диапазон изменения коэффициента интенсивности в цикле нагружения, определяемый как разница между максимальным и минимальным коэффициентами интенсивности напряжений.
3.40 разрушение образца: Разделение образца на части при развитии в нем трещины в процессе испытаний.
3.41 раскрытие трещины: Перемещение при испытаниях образца берегов трещины в направлении, перпендикулярном плоскости инициирующего надреза.
3.42 расстояние между отверстиями под пальцы: Расстояние между центрами отверстий под нагружающие пальцы на образце с отверстиями.
3.43 скачок: Перегиб на диаграмме "нагрузка-перемещение" с локальным максимумом (увеличением перемещения и резким снижением нагрузки), после которого при увеличении перемещения нагрузка увеличивается.
3.44 стабильное развитие трещины: Развитие (подрост) трещины, происходящее только при увеличении приложенной нагрузки.
3.45 трещиностойкость: Характеристика материала в терминах коэффициента интенсивности напряжений, J-интеграла или C*-интеграла, описывающая сопротивление старту или развитию трещины в материале.
3.46 флюенс нейтронов: Количество нейтронов с энергией, превышающей заданную, которое проходит через единицу площади в течение времени облучения.
3.47 фронт трещины: Граница разрыва сплошности в материале.
3.48 цикл (цикл нагружения): Изменение нагрузки от минимального значения до максимального и обратно до минимального значения при нагружении с постоянной амплитудой.
3.49 эффективная толщина образца: Геометрический параметр образца с боковыми канавками.
4 Обозначения и сокращения
В настоящем стандарте применены следующие обозначения и сокращения:

- подрост трещины, мм;

- подрост усталостной трещины, мм;

- предельный стабильный подрост трещины, мм;

- максимальное значение стабильного подроста трещины для
JR-кривой, мм;

- конечный подрост трещины, мм;

- скорость роста усталостной трещины, м/цикл;

- пороговый размах коэффициента интенсивности напряжений,

;

- сдвиг критической температуры хрупкости материала, обусловленный нейтронным облучением, °C;

- сдвиг критической температуры хрупкости материала, обусловленный термическим старением, °C;

- разность между температурами
Tк и
T100, °C;

- запас на тип образца, °C;

- скорость деформации ползучести, час
-1;

- коэффициент Пуассона;

- нормирующий коэффициент,

;

- предел текучести материала, МПа;

- напряжение течения, МПа;

- референсное напряжение, МПа;

- предел прочности материала, МПа;

- динамический предел текучести материала, МПа;

- коэффициент увеличения скорости роста усталостной трещины под влиянием среды;

- коэффициент увеличения скорости роста усталостной трещины за счет старения материала;

- параметр, определяющий вид температурной зависимости
KJc(
T) в соответствии с методом Advanced Unified Curve,

;
a - длина трещины, мм;
a0 - длина исходной трещины, мм;
a0q - длина исходной трещины, оцененная по методу упругой податливости, мм;
aa - длина остановленной трещины, мм;
ac - параметр уравнения установившейся ползучести, час-1;
ap - длина конечной трещины, мм;

- скорость роста трещины при ползучести, мм/час;

- параметр материала, МПа;
Ar - коэффициент уравнения установившейся ползучести;
B - толщина образца, мм;
Be - эффективная толщина образца, мм;
BN - нетто-толщина образца, мм;
C - податливость, мм/Н;
C* - C*-интеграл, Н/(мм·час);
Cf - коэффициент уравнения Пэриса;
CJ - параметр материала, мм;
D - повреждающая доза нейтронного облучения, сна;
D0 - диаметр отверстия в образце для испытаний расклиниванием, мм;
D1 - диаметр отверстия в опорной плите, мм;
DDT - диаметр дискового компактного образца, мм;
E - модуль упругости, МПа;
F - флюенс быстрых нейтронов, 1/м2;
Gz - номер (балл) зерна;
H - 1/2 высоты прямоугольного компактного или двуконсольного образца, мм;
hn - длина инициирующего надреза;
J - J-интеграл, Н/мм;
Jc - критическое значение J-интеграла, Н/мм;
JIc - критическое значение J-интеграла в условиях плоской деформации, Н/мм;

- критическое значение
J-интеграла на верхнем шельфе, Н/мм;
Jlim - предельное значение J-интеграла для JR-кривой, Н/мм;
Jmax - максимальное значение J-интеграла для JR-кривой, Н/мм;
kSG - коэффициент поправки на глубину боковых канавок;
K - коэффициент интенсивности напряжений,

;
K0 - параметр масштаба,

;
KI - КИН I рода (для модели трещины нормального отрыва),

;
Ka - трещиностойкость при остановке нестабильно развивающейся трещины,

;

- статическая трещиностойкость, соответствующая величине
JIc, 
;
KJc - статическая трещиностойкость, соответствующая величине
Jc,

;

- температурно-независимая составляющая статической трещиностойкости при вероятности хрупкого разрушения 0,5 и длине фронта трещины 25 мм (уровень нижнего шельфа),

;
KJc(lim) - предельное значение трещиностойкости,

;
KJc(med) - медианная статическая трещиностойкость (при вероятности хрупкого разрушения 0,5),

;

- статическая трещиностойкость при вероятности хрупкого разрушения 0,05,

;

- статическая трещиностойкость материала на верхнем шельфе,

;

- максимальный КИН в цикле нагружения,

;

- минимальный КИН в цикле нагружения,

;
Kmin - минимально возможная статическая трещиностойкость,

;
nc - параметр уравнения установившейся ползучести;
nf - коэффициент уравнения Пэриса;
nr - коэффициент уравнения установившейся ползучести;
N - количество циклов нагружения, шт.;
Nn - ширина инициирующего надреза, мм;
Ns - общее число испытанных образцов, шт.;
Pc - нагрузка при разрушении образца с трещиной, Н;
Pf - вероятность хрупкого разрушения образца с трещиной;
Plim - предельная нагрузка, Н;
PHoll - параметр Холломона;
Pm - предельно допустимая нагрузка на образец, Н;
Pmax - максимальная нагрузка в цикле нагружения, Н;
Pmin - минимальная нагрузка в цикле нагружения, Н;
R - коэффициент асимметрии цикла нагружения, отн. ед.;
rs - число корректно испытанных образцов, шт.;
S - пролет образца, мм;
t - время, час;
tct - временная база (длительность) испытаний в условиях ползучести, час;
t0,2 - время подроста трещины при ползучести на величину 0,2 мм, час;
ttr - время перехода к установившейся ползучести для расчета C*-интеграла, час;
T - температура, °C;
T0 - референсная температура, при которой значение
KJc(med)(
T), построенное по методу Master Curve, равно

, °C;
T100 - температура, при которой значение
KJc(med)(
T), построенное по методу Advanced Unified Curve, равно

, °C;
Tисп - температура испытаний, °C;

- максимальная температура испытаний, °C;

- минимальная температура испытаний, °C;
Tстар - температура, при которой происходит старение материала, °C;
Tк - критическая температура хрупкости материала, °C;
Tк0 - критическая температура хрупкости материала в исходном состоянии, °C;
Tнут - температура наведения предварительной усталостной трещины, °C;
v - перемещение по линии действия силы, мм;

- скорость перемещений по линии действия силы, мм/час;
v0 - перемещение при инициации нестабильного развития трещины, мм;
va - перемещение через 0,1 секунды после остановки трещины, мм;

- скорость перемещений по линии действия силы при ползучести, мм/час;
vpl - пластическая часть перемещения по линии действия силы, мм;
vz - перемещение, измеряемое на опорных призмах, мм;
vт - перемещение траверсы испытательной машины, мм;
W - ширина образца, мм;
z - расстояние от линии действия силы до плоскости измерения перемещений, мм;
ВВЭР - водо-водяной энергетический реактор;
КИН - коэффициент интенсивности напряжений;
РУ БН - реакторная установка на быстрых нейтронах.
5.1 Определение значений характеристик трещиностойкости следует выполнять экспериментальными методами путем проведения механических испытаний материала в состоянии, соответствующем интересующему (в состоянии поставки, после отжига, термического охрупчивания, нейтронного облучения и т.д.). Допускается определять консервативные значения характеристики трещиностойкости расчетными методами в соответствии с
разделами 13 -
15.
5.2 Выбор метода проведения механических испытаний зависит от определяемых характеристик трещиностойкости материала. Выбор процедуры для обработки результатов испытаний зависит от определяемых характеристик трещиностойкости материала и, в случае определения трещиностойкости по критерию старта нестабильно развивающейся трещины, от характера разрушения испытанного образца. Схема выбора методов для определения значений характеристик трещиностойкости материала приведена на
рисунке 5.1.
Рисунок 5.1 - Схема выбора методов и определение значений
характеристик трещиностойкости материала
5.3 Трещиностойкость материала в условиях кратковременного статического нагружения выражается в терминах коэффициента интенсивности напряжений K или J-интеграла.
5.3.1 При определении трещиностойкости по критерию старта нестабильно развивающейся трещины механические испытания должны проводиться в соответствии с
8.1. По результатам испытаний в соответствии с
8.2 должны определяться критическое значение
J-интеграла
Jc и статическая трещиностойкость
KJc.
5.3.2 При определении температурной зависимости трещиностойкости
KJc(
T) механические испытания должны проводиться в соответствии с
8.1 с учетом положений
12.2 и
12.3. При определении температурной зависимости трещиностойкости
KJc(
T) по методу Advanced Unified Curve обработка результатов испытаний должна проводиться в соответствии с
12.4, при определении температурной зависимости трещиностойкости
KJc(
T) по методу Master Curve - в соответствии с
12.5.
5.3.3 При определении трещиностойкости по критерию остановки нестабильно развивающейся трещины механические испытания должны проводиться в соответствии с
10.1. По результатам испытаний в соответствии с
10.2 должен определяться КИН, соответствующий остановке нестабильно развивающейся трещины
Ka.
5.3.4 При определении трещиностойкости при стабильном развитии трещины механические испытания должны проводиться в соответствии с
9.1. По результатам испытаний в соответствии с
9.2 должна быть построена
JR-кривая и определены критическое значение
J-интеграла в условиях плоской деформации
JIc и соответствующая ему статическая трещиностойкость

.
5.4 Трещиностойкость материала в условиях длительного статического нагружения выражается в терминах времени подроста трещины при ползучести на величину 0,2 мм (
t0,2) и зависимости скорости роста трещины

от величины
C*-интеграла. При определении трещиностойкости в условиях длительного статического нагружения механические испытания должны проводиться в соответствии с
11.1. Обработка результатов испытаний должна проводиться в соответствии с
11.2.
6.1 Типы и размеры образцов
6.1.1 В зависимости от определяемых характеристик трещиностойкости (см.
таблицу 6.1) должны быть использованы следующие типы образцов.
Таблица 6.1
Выбор типа образца в зависимости от определяемых
характеристик трещиностойкости
Тип нагружения | Характер развития трещины | Определяемые характеристики | Типы образцов |
Кратковременное статическое | Нестабильное развитие трещины | KJc, Jc, KJc = f( T), T0,  | CT, DT, SE(B) |
Кратковременное статическое | Нестабильное развитие трещины до ее остановки | Ka | CCA, DCA |
Кратковременное статическое | Стабильное развитие трещины | JIc,  ,  | CT, DT, SE(B) |
Длительное статическое | Развитие трещины при ползучести | t0,2,  | CT |
6.1.1.1 Прямоугольный компактный образец с краевой трещиной для испытаний на внецентренное растяжение (образец типа CT). Схема, соотношения размеров и расчетные зависимости для образца типа CT приведены в
приложении А.
6.1.1.2 Плоский прямоугольный образец с краевой трещиной для испытаний на трехточечный изгиб [образец типа SE(B)]. Схема, соотношения размеров и расчетные зависимости для образца типа SE(B) приведены в
приложении Б.
6.1.1.3 Дисковый компактный образец с краевой трещиной для испытаний на внецентренное растяжение (образец типа DT). Схема, соотношения размеров и расчетные зависимости для образца типа DT приведены в
приложении В.
6.1.1.4 Прямоугольный компактный образец с краевой трещиной для испытаний расклиниванием (образец типа CCA). Схема, соотношения размеров и расчетные зависимости для образца типа CCA приведены в
приложении Г.
6.1.1.5 Прямоугольный двуконсольный образец с краевой трещиной для испытаний расклиниванием (образец типа DCA). Схема, соотношения размеров и расчетные зависимости для образца типа DCA приведены в
приложении Д.
6.1.2 Размеры образцов рекомендуется выбирать согласно
приложению Е.
6.2 Ориентация плоскости трещины
6.2.1 Трещиностойкость материала в большинстве случаев зависит от ориентации плоскости трещины и направления ее распространения в материале, анизотропия которого зависит от направления механической обработки или ориентации зерен. Поэтому, когда это возможно, плоскость трещины следует ориентировать параллельно одному из базовых направлений заготовки.
6.2.2 Для заготовок прямоугольного сечения (из плит и листов проката и поковок с несимметричной ориентацией зерен) базовые направления показаны на
рисунке 6.1 а). Направление "
L" должно соответствовать длине (продольному направлению, направлению проката или оси ковки), направление "
T" должно соответствовать ширине (большему поперечному направлению), направление "
S" должно соответствовать толщине (меньшему поперечному направлению) заготовки.
| |
а) Заготовка прямоугольного сечения (образцы ориентированы по базовым направлениям) | б) Заготовка круглого сечения (образцы ориентированы по базовым направлениям) |
|
в) Заготовка прямоугольного сечения (образцы наклонены относительно двух базовых направлений) |
Рисунок 6.1 - Обозначение ориентации плоскости трещины
6.2.3 Для заготовок круглого сечения базовые направления показаны на
рисунке 6.1 б): направление "
L" должно соответствовать осевому направлению, направление "
R" должно соответствовать радиальному направлению, направление "
C" должно соответствовать окружному (тангенциальному) направлению заготовки.
6.2.4 Для обозначения ориентации плоскости трещины и направления роста трещины по отношению к базовым направлениям заготовок прямоугольного и круглого поперечного сечения следует использовать буквенные обозначения, которые записываются через дефис: первая буква должна обозначать направление, перпендикулярное плоскости трещины, а вторая буква должна обозначать ожидаемое направление развития трещины.
6.2.5 Ориентация плоскости трещины образцов, нормаль к которой располагается в базовом направлении заготовки прямоугольного сечения, обозначается двумя буквами [см.
рисунок 6.1 а)].
Пример - "T-L" означает, что нормаль к плоскости трещины образца располагается в направлении ширины заготовки "T", а ожидаемое направление развития трещины совпадает с продольным направлением "L".
6.2.6 Ориентация плоскости трещины образцов, нормаль к которой располагается в базовом направлении заготовки круглого сечения, обозначается двумя буквами [см.
рисунок 6.1 б)].
Пример - "L-R" означает, что нормаль к плоскости трещины образца располагается в осевом направлении заготовки "L", а ожидаемое направление развития трещины совпадает с радиальным направлением в заготовке "R".
6.2.7 Ориентация плоскости трещины образцов, наклоненной относительно двух базовых направлений заготовки, обозначается тремя буквами [см.
рисунок 6.1 в)].
Пример - "TS-L" означает, что нормаль к плоскости трещины образца располагается в направлении, промежуточном между поперечными направлениями "T" и "S", а ожидаемое направление развития трещины совпадает с продольным направлением "L".
6.3 Другие типоразмеры образцов
6.3.1 Допускается использовать образцы типов CT, DT и SE(B), соотношение основных размеров (
W/
B) которых не равно 2. Для образцов типов CT и DT рекомендуется принимать соотношение основных размеров (
W/
B) в интервале от 2 до 4. Для образцов типа SE(B) рекомендуется принимать соотношение основных размеров (
W/
B) в интервале от 1 до 4. Выбор соотношения основных размеров (
W/
B) рекомендуется осуществлять согласно
приложению Е.
6.3.2 Допускается использовать образцы других типоразмеров, для которых выполняются все требования корректности, соответствующие проводимым испытаниям, и получены расчетные зависимости для определения характеристик трещиностойкости.
6.4 Инициирующий надрез и предварительная трещина
6.4.1 Если материал, из которого изготовляются образцы, должен быть подвергнут термической и/или механической обработке, то требуемую обработку следует проводить на заготовках до изготовления образцов. Если возможность провести требуемую обработку заготовок отсутствует, то допускается провести окончательную обработку после изготовления образцов при условии соблюдения требуемых размеров и допусков на размеры и форму образцов. При вырезке и изготовлении образцов необходимо обеспечить минимальные наклеп, остаточные напряжения, изменение структуры и фазового состава в зоне разрушения образца. Окончательную механическую обработку образцов и наведение исходной усталостной трещины следует проводить после термической обработки образцов.
6.4.2 Инициирующий надрез на образцах может быть выполнен механическим, электроискровым или электроэрозионным способом. В отдельных случаях допускается комбинировать различные способы. Для уменьшения нагрузки и времени, необходимых для зарождения трещин, можно применять лазерный, электронно-лучевой и другие методы обработки вершины надреза при условии, что область влияния обработки на состояние материала у вершины надреза будет меньше длины создаваемой исходной усталостной трещины.
6.4.3 Форма инициирующего надреза для образцов типов CT, SE(B), DT показана на
рисунке 6.2.
| |
а) Шевронный надрез | б) Прямой надрез |
Рисунок 6.2 - Форма инициирующего надреза
Шевронный надрез является предпочтительным, позволяет ускорить зарождение трещины, задать направление ее распространения строго по плоскости симметрии образца и в итоге обеспечить более прямой фронт предварительной усталостной трещины.
Прямой надрез допускается выполнять при толщине образца менее 25 мм, а также в тех случаях, когда подрост усталостной трещины может контролироваться только оптическими методами по боковым граням образца.
Для того, чтобы обеспечить выход усталостной трещины из вершины надреза при низких уровнях КИН, радиус в вершине инициирующего надреза не должен превышать 0,25 мм.
6.4.4 Требования к форме и методам создания инициирующего надреза для образцов типа CCA и DCA приведены в
приложениях Г и
Д соответственно.
6.4.5 Предварительная усталостная трещина должна быть создана на образцах типов CT, SE(B), DT посредством циклического нагружения образца с инициирующим надрезом.
6.4.5.1 Количество циклов нагружения при наведении предварительной усталостной трещины должно составлять не менее 5·104. Коэффициент асимметрии R при циклическом нагружении должен находиться в пределах от 0,01 до 0,1.
6.4.5.2 Наведение предварительной усталостной трещины должно быть выполнено с постепенным (плавным или ступенчатым) снижением величины максимального коэффициента интенсивности напряжений в цикле

. Рекомендуется снижать

так, чтобы на каждом шаге снижение

не превышало 20%, так как слишком быстрое снижение

может привести к замедлению темпа роста усталостной трещины вплоть до ее остановки. Если подрост усталостной трещины контролируется не в автоматическом режиме (оптическими методами по боковым граням образца, методом упругой податливости, либо иными методами), рекомендуется измерять подрост усталостной трещины до перехода к следующему шагу.
6.4.5.3 При ступенчатом снижении величины максимального коэффициента интенсивности напряжений в цикле

наведение предварительной усталостной трещины может быть проведено в две стадии. На первой стадии производят инициирование трещины, на второй стадии - ее "заострение".
6.4.5.4 Наведение предварительной усталостной трещины следует начинать так, чтобы выполнялись следующие условия:

(6.1)
Pmax <= 0,80·Pm, (6.2)
где

- максимальный КИН в цикле,

;

- ожидаемое значение статической трещиностойкости,

;
Pmax - максимальная нагрузка в цикле, Н;
Pm - предельно допустимая нагрузка на образец, Н. При отсутствии сведений об ожидаемом значении статической трещиностойкости, величина

может быть принята равной расчетному значению статической трещиностойкости в соответствии с
разделом 13. Допускается принимать в качестве

значение, равное

, но для некоторых материалов это может привести к замедлению темпа роста усталостной трещины вплоть до ее остановки.
Формулы для расчета предельно допустимой нагрузки на образец
Pm для соответствующих типов образцов приведены в
приложениях А -
В.
6.4.5.5 На последнем участке подроста предварительной усталостной трещины (на стадии "заострения") должны выполняться следующие условия:

(6.3)
Pmax <= 0,50·Pm. (6.4)
6.4.5.6 Подрост предварительной усталостной трещины

должен быть:
- не менее 0,05·B при выполнении инициирующего надреза электроэрозионным способом;
- не менее 0,05·B или 1,3 мм (следует выбирать большее из значений 0,05·B или 1,3 мм), при выполнении инициирующего надреза другими способами.
6.4.5.7 Подрост предварительной усталостной трещины

на последнем участке (на стадии "заострения") должен быть не менее 0,4 мм.
6.4.5.8 Если наведение предварительной усталостной трещины выполняется при температуре
Tнут, отличной от температуры испытаний
Tисп, то в
формулах (6.1) и
(6.3) вместо величины

должно использоваться произведение

, в котором коэффициент
kT определяется как

(6.5)
где

- предел текучести материала при температуре наведения предварительной усталостной трещины
Tнут, МПа;

- предел текучести материала при температуре испытаний
Tисп, МПа.
Значения предела текучести для температур
Tнут и
Tисп могут быть рассчитаны в соответствии с
разделом 13.
6.4.5.9 Значение максимального КИН в цикле

, рассчитанное по
формуле (6.3), должно быть не менее минимального значения
Kmax при наведении усталостной трещины

, которое определяют по формуле

(6.6)
где

- пороговый размах КИН при

;
R - коэффициент асимметрии цикла нагружения, отн. ед.
Значение

может быть рассчитано в соответствии с
разделом 14. Допускается принимать

равным

.
Если рассчитанное по
формуле (6.3) значение
Kmax оказалось меньше рассчитанного по
формуле (6.6) значения

, то на последнем участке подроста усталостной трещины (на стадии "заострения") в качестве
Kmax должно быть использовано значение

.
6.4.5.10 Наведение предварительной усталостной трещины должно контролироваться. Если на одной из сторон образца трещина не появится после того, как на другой его стороне уже будет наблюдаться заметный ее подрост, следует остановить нагружение, чтобы попытаться определить причины и принять меры против несимметричного роста трещины. В ряде случаев для этого достаточно просто развернуть образец относительно захватов.
6.5.1 Боковые канавки рекомендуется наносить на боковые грани образца для обеспечения более прямого фронта трещины и удержания ее в плоскости инициирующего надреза при развитии в процессе испытаний.
6.5.2 Боковые канавки должны быть симметричны, иметь одинаковую глубину
bN, одинаковый радиус закругления в вершине

и одинаковый угол в надрезе

. Вершины боковых канавок должны располагаться в плоскости инициирующего надреза. Форма боковых канавок показана на
рисунке 6.3.
Рисунок 6.3 - Форма боковых канавок
6.5.3 Общая глубина боковых канавок должна составлять не более 0,25·
B, за исключением образцов типа DCA, для которых общая глубина боковых канавок должна составлять от 0,4·
B до 0,6·
B. Допускаемые размеры боковых канавок для различных типов образцов приведены в
таблице 6.2.
Таблица 6.2
Допускаемые размеры боковых канавок
Тип образца | Общая глубина боковых канавок 2·bN | Радиус закругления в вершине  , мм | Угол в надрезе  |
CT | Не более 0,25·B | От 0,3 до 0,7 | От 30° до 90° |
SE(B) | Не более 0,25·B | От 0,3 до 0,7 | От 30° до 90° |
DT | Не более 0,25·B | От 0,3 до 0,7 | От 30° до 90° |
CCA | Не более 0,25·B | От 0,1 до 0,3 | 45° +/- 5° |
DCA | От 0,4·B до 0,6·B | От 0,1 до 0,2 | 45° +/- 5° |
6.5.4 Для образцов типа SE(B) допускается выполнять боковые канавки общей глубиной 0,5·
B. В этом случае в расчеты должен быть введен поправочный коэффициент
kSG (см.
приложение Б).
6.5.5 Боковые канавки в образцах типов CT, SE(B) и DT рекомендуется выполнять после наведения предварительной усталостной трещины. В случае испытаний образцов из материала сварных швов рекомендуется выполнять боковые канавки в два этапа: на первом этапе (до наведения предварительной усталостной трещины) выполнить боковые канавки в половину рекомендуемой глубины (для удержания трещины в плоскости инициирующего надреза при ее развитии), на втором этапе (после наведения предварительной усталостной трещины) углубить их до максимальной рекомендуемой глубины.
6.5.6 Боковые канавки в образцах типов CCA и DCA должны быть выполнены после нанесения хрупкой наплавки в инициирующем надрезе.
6.6.1 Для измерения перемещений при раскрытии трещины образец должен быть снабжен двумя опорными призмами, на которые должно устанавливаться средство измерений перемещений и которые могут служить точками отсчета перемещений.
6.6.2 Опорные призмы могут быть выполнены как единое целое с образцом (призматические выступы) или могут крепиться к образцу (накладные опорные призмы). Формы опорных призм показаны на
рисунке 6.4.
| | |
а) Измерение перемещений на торце образца | б) Измерение перемещений по линии действия силы | в) Измерение перемещений на опорных призмах |
1 - передний торец образца; 2 - плоскость надреза;
3 - линия действия силы; 4 - призматический выступ;
5 - накладная опорная призма
Рисунок 6.4 - Форма опорных призм
6.6.3 Расстояние между кромками призматических выступов на образцах указано в
приложениях А -
Д.
6.6.4 Накладные опорные призмы должны быть одинакового размера и жестко крепиться к образцу во избежание сдвига во время испытаний (например, с помощью крепежных винтов или точечной сварки).
6.6.5 Призматические выступы или накладные опорные призмы должны быть расположены на одинаковом расстоянии от плоскости надреза, с погрешностью не более +/- 0,2 мм.
7 Испытательное оборудование
7.1.1 Для определения характеристик трещиностойкости могут быть использованы испытательные машины с механическим, гидравлическим, электрогидравлическим или электромеханическим приводом.
7.1.2 Испытательные машины должны обеспечивать измерение приложенной нагрузки и перемещения траверсы испытательной машины.
7.1.3 Испытательные машины должны обеспечивать возможность подключения средства измерений перемещений при раскрытии трещины в образце или прогиба образца [для образцов типа SE(B)].
7.1.4 Испытательные машины должны обеспечивать запись диаграммы испытаний в цифровом виде для дальнейшей обработки на компьютере или в графическом виде с помощью двумерного графопостроителя.
7.1.5 Испытательные машины должны быть аттестованы в соответствии с
ГОСТ Р 8.568.
7.2.1 Нагрузку, приложенную к образцу, следует определять средствами измерений нагрузки утвержденного типа.
7.2.2 Погрешность средства измерений нагрузки должна составлять не более +/- 1% от величины диапазона измерений, нелинейность должна составлять не более +/- 0,2% в диапазоне измерений упругой податливости образца и не более +/- 1% в остальном диапазоне.
7.3 Измерение перемещений
7.3.1 Перемещения при раскрытии трещины в образце (перемещение по линии действия силы, перемещение на торце образца, перемещение на накладных опорных призмах, перемещение траверсы испытательной машины) или прогиб образца [для образцов типа SE(B)] следует определять средствами измерений перемещений утвержденного типа.
7.3.2 Рекомендуется использовать средства измерений перемещений, которые имеют рабочий диапазон, не превосходящий двукратную величину от ожидаемых перемещений в ходе испытаний.
7.3.3 Погрешность средства измерений перемещений должна составлять не более +/- 1% от величины ожидаемых перемещений (диапазона), нелинейность должна составлять не более +/- 0,2% в диапазоне измерений упругой податливости образца и +/- 1% в остальном диапазоне.
7.4 Измерение температуры
7.4.1 Температуру образца в ходе испытаний следует измерять средствами измерений (термопарами или терморезисторами) утвержденного типа, имеющими класс точности не ниже 0,5, способ крепления которых (приварка, механическое крепление) обеспечивает надежный контакт с поверхностью образца.
7.4.2 На образцах типов CT, SE(B) и DT термопары или терморезисторы следует устанавливать на поверхности образца на расстоянии не более 0,25·W от вершины предварительной усталостной трещины. При проведении испытаний в условиях ползучести при повышенных температурах термопары рекомендуется размещать перед вершиной предварительной усталостной трещины на расстоянии от 2 до 5 мм над или под плоскостью трещины.
7.4.3 На образцах типов CCA и DCA термопары или терморезисторы следует устанавливать на поверхности образца на расстоянии (10 +/- 2) мм от боковой канавки и на расстоянии (25 +/- 5) мм впереди инициирующего надреза.
7.5 Приспособления для установки и нагружения образцов
7.5.1 Приспособления для установки и нагружения образцов должны обеспечивать реализацию схемы нагружения, в частности, точную центровку образцов.
7.5.2 Рекомендуемая схема захвата (вилки) для установки и нагружения компактных образцов (образцов типов CT и DT) показана на
рисунке 7.1. Образец следует удерживать в захватах и нагружать через нагружающие пальцы. Во время испытаний должна была обеспечена возможность поворота частей образца вокруг осей нагружающих пальцев. Для обеспечения контакта качения между нагружающими пальцами и отверстиями захватов эти отверстия имеют небольшие плоские участки на поверхностях нагружения. Захваты и нагружающие пальцы должны быть изготовлены из сталей с твердостью не менее 40 единиц по шкале твердости Роквелла.
Рисунок 7.1 - Захват (вилка) для установки образцов
типов CT, DT
7.5.3 Рекомендуемая схема приспособления для установки и нагружения образца типа SE(B) показана на
рисунке 7.2. Это приспособление должно сводить к минимуму влияние трения за счет того, что опорные ролики могут вращаться и сдвигаться в стороны при нагружении образца, допуская контакт качения. Таким образом, допускается ограниченное перемещение опорных роликов по плоским поверхностям приспособления, параллельным стороне образца с надрезом, но изначально опорные ролики должны быть позиционированы относительно ограничителей, определяющих величину пролета образца, и должны удерживаться на месте с помощью упругих элементов (пружинок или резиновой ленты).
Рисунок 7.2 - Приспособление для установки образца
типа SE(B)
Приспособление для установки образца и ролики должны быть выполнены из сталей с твердостью не менее 40 единиц по шкале твердости Роквелла.
7.5.4 Рекомендуемая схема приспособления для установки и нагружения образца типа CCA показана на
рисунках 7.3 а) и
7.3 б). Образец должен быть размещен на опорной плите, толщина которой должна быть достаточной для того, чтобы по завершении испытаний не происходило касания клином нижней тяги испытательной машины.
| | |
при комнатной и пониженной температуре | б) Общий вид приспособления с образцом | при повышенной температуре |
Рисунок 7.3 - Приспособление для установки и нагружения
образца типа CCA
В опорной плите должно быть выполнено отверстие, значение диаметра которого следует определять по формуле
где D1 - диаметр отверстия в опорной плите, мм;
D0 - диаметр отверстия в образце, мм.
Отверстия в образце и опорной плите должны быть соосны с допуском 0,5 мм.
При испытаниях образца типа CCA при повышенных температурах в области вязкого разрушения исследуемых материалов рекомендуется использовать схему, показанную на
рисунке 7.3 в) с установкой вкладышей с нижней опорной поверхности образца. Для уменьшения трения на контактирующие поверхности клина, вкладышей, опорной плиты и образца должна быть нанесена смазка, тип которой (универсальная или термостойкая) должен соответствовать температуре испытаний. Конструкция клина, вкладышей и их рекомендуемые размеры для диаметра отверстия в образце
D0 приведены на
рисунке 7.4.
| |
а) Конструкция клина | б) Конструкция вкладышей |
Примечание - Размеры даны кратно диаметру отверстия в образце D0.
Рисунок 7.4 - Конструкция клина и вкладышей для испытаний
образца типа CCA
7.5.5 Рекомендуемая схема приспособления для установки и нагружения образца типа DCA показана на
рисунке 7.5. Образец должен быть размещен на опорной плите, толщина которой должна быть достаточной для того, чтобы по завершении испытаний не происходило касания клином нижней траверсы испытательной машины.
| |
а) Схема | б) Общий вид приспособления с образцом |
Рисунок 7.5 - Приспособление для установки и нагружения
образца типа DCA
В опорной плите должно быть выполнено отверстие, значение диаметра которого следует определять по
формуле (7.1). При испытаниях образца типа DCA при повышенных температурах для уменьшения трения на контактирующие поверхности клина, вкладышей, опорной плиты и образца должна быть нанесена смазка, тип которой (универсальная или термостойкая) должен соответствовать температуре испытаний. Конструкция клина, вкладышей и их рекомендуемые размеры для диаметра отверстия в образце
D0 соответствуют показанным на
рисунке 7.4.
8 Определение трещиностойкости по критерию старта нестабильно развивающейся трещины
8.1 Подготовка и проведение испытаний
8.1.1 Целью проведения испытаний с кратковременным статическим нагружением образцов до старта нестабильно развивающейся трещины является получение диаграммы "нагрузка-перемещение", которая используется для оценки характеристик трещиностойкости KJc и Jc с использованием оптических методов измерения длины исходной и конечной трещины.
Примечание - В зависимости от выбранного типа образца в качестве перемещения может выступать перемещение по линии действия силы, на торце образца, на накладных опорных призмах или прогиб образца [для образцов типа SE(B)].
8.1.2 Для определения характеристик трещиностойкости материала при заданной температуре рекомендуется проводить испытания не менее трех образцов.
8.1.3 Перед проведением испытаний должны быть измерены размеры образца (
B,
BN,
W, 2
H или
S или
DDT). Измерения должны быть проведены с погрешностью не более +/- 0,05 мм. При использовании накладных опорных призм должна быть измерена их толщина с погрешностью не более +/- 0,05 мм.
8.1.4 Температура образца во время проведения испытаний должна быть стабильной и однородной. Перед началом испытаний рекомендуется проводить выдержку образца при температуре (
Tисп +/- 3) °C в течение времени, определяемого из расчета 0,5 часа на 25 мм толщины образца. Во время проведения испытания температура образца должна поддерживаться и контролироваться с погрешностью не более +/- 3 °C.
8.1.5 Испытания, проводимые согласно настоящему разделу, преимущественно должны заканчиваться нестабильным развитием трещины до разрушения образца, поэтому средства измерений перемещений в виде двухконсольных датчиков перемещений могут эксплуатироваться с нарушением условий их эксплуатации. После каждого испытания рекомендуется проверять состояние средства измерений перемещений на наличие видимых повреждений и перед каждым последующим испытанием проверять его работоспособность.
8.1.6 Установка образцов типов CT и DT
8.1.6.1 Несоосность приложения нагрузки и трение в нагружающих пальцах могут привести к ошибкам в определении характеристик трещиностойкости. Несоосность верхнего и нижнего захватов должна составлять не более 0,25 мм.
8.1.6.2 В случае использования в качестве перемещения по линии действия силы значений перемещения траверсы испытательной машины, необходимо проводить дополнительную корректировку диаграммы "нагрузка-перемещение" для исключения перемещений, обусловленных податливостью тяг и захватов испытательной машины.
8.1.6.3 Для корректировки диаграмм до начала испытаний следует провести нагружение калибровочного образца из того же материала и того же типоразмера без надреза и трещины до нагрузки, составляющей 125% от максимальной нагрузки, ожидаемой при испытаниях образца с трещиной, фиксируя диаграмму "нагрузка-перемещение траверсы испытательной машины".
8.1.6.4 Диаграммы испытаний образцов с трещиной должны быть скорректированы путем исключения из измеренных значений перемещений траверсы значений перемещений траверсы при испытаниях калибровочного образца
vi = vтi - vкi, (8.1)
где vi - перемещение по линии действия силы при испытаниях образца и нагрузке Pi, мм;
vтi - перемещение траверсы при испытаниях образца и нагрузке Pi, мм;
vкi - перемещение траверсы при нагружении калибровочного образца нагрузкой Pi, мм.
8.1.7 Установка образцов типа SE(B)
8.1.7.1 Приспособление для установки и нагружения образца типа SE(B) должно быть установлено в захватах испытательной машины таким образом, чтобы линия действия силы проходила через середину расстояния между центрами опорных роликов с погрешностью не более +/- 1% от этого расстояния. Оси роликовых опор должны быть параллельны друг другу с допустимым отклонением от параллельности не более 2°. Расстояние между центрами опорных роликов должно быть измерено с погрешностью не более +/- 0,5% от длины образца.
8.1.7.2 Образец должен быть установлен в приспособление таким образом, чтобы нагружающий ролик (нож) имел равномерный контакт с поверхностью образца по всей толщине. Продольная ось образца должна быть перпендикулярна осям роликовых опор с допустимым отклонением от перпендикулярности не более 2°.
8.1.7.3 В случае использования в качестве величины прогиба образца значений перемещения траверсы испытательной машины, необходимо проводить дополнительную корректировку диаграммы "нагрузка-перемещение" для исключения перемещений, обусловленных податливостью тяг и захватов испытательной машины.
8.1.7.4 Для корректировки диаграмм до начала испытаний следует провести нагружение калибровочного образца из того же материала и того же типоразмера без надреза и трещины до нагрузки, составляющей 125% от максимальной нагрузки, ожидаемой при испытаниях образца с трещиной, фиксируя диаграмму "нагрузка-перемещение траверсы испытательной машины". Рекомендуемая схема нагружения плоского прямоугольного образца без краевой трещины [калибровочного образца типа SE(B)] приведена на
рисунке 8.1.
Рисунок 8.1 - Схема нагружения плоского прямоугольного
образца без краевой трещины [калибровочного образца
типа SE(B)] при испытаниях на трехточечный изгиб
8.1.7.5 Диаграммы испытаний образцов с трещиной должны корректироваться в соответствии с
8.1.6.4.
8.1.7.6 При использовании для измерения прогиба образца средства измерений перемещений в виде двухконсольного датчика перемещений, датчик должен устанавливаться на опорных призмах, одна из которых должна быть жестко закреплена на нагружающем ролике (ноже), а другая на неподвижной траверсе испытательной машины или приспособлении для установки образца.
8.1.8 Скорость нагружения образцов должна быть установлена по скорости перемещения подвижного захвата испытательной машины в пределах от 0,02 до 0,2 мм/с. При этом выбранная скорость нагружения должна соответствовать скорости роста коэффициента интенсивности напряжений на линейном участке диаграммы в пределах от 0,1 до

.
8.1.9 В ходе проведения испытаний должна быть осуществлена запись диаграмм "нагрузка-перемещение" в цифровом виде для дальнейшей обработки на компьютере или в графическом виде с помощью графопостроителя.
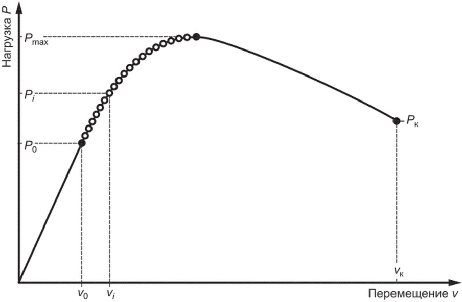
Примечание - На практике начало координат диаграммы не всегда совпадает с пересечением осей перемещения и нагрузки. Точка начала координат диаграммы определяется как пересечение оси перемещения с линией наилучшего соответствия начальному линейному участку диаграммы. Участок начальной нелинейности диаграммы следует игнорировать, при этом следует стремиться к тому, чтобы этот участок был минимальным. Для выборки люфтов испытательной машины и лучшей установки образца в захватах и приспособлениях рекомендуется выполнять предварительное нагружение образца до нагрузки порядка 0,2·Pm с последующим разгружением.
8.1.10 Нагружение образца с заданной скоростью проводится до момента, соответствующего началу нестабильного развития трещины (до разрушения образца или до скачка трещины).
8.1.11 Если при нагружении образца вплоть до снижения нагрузки после прохождения ее максимума до 90% от максимальной нагрузки не происходит разрушения образца или скачка трещины (наблюдается стабильный рост трещины), то следует остановить нагружение, зафиксировать возможный вязкий подрост трещины в соответствии с методами, изложенными в
приложении Ж, и затем доломать образец. Результаты испытаний этого образца следует анализировать в соответствии с
9.2.
8.1.12 В случае появления на диаграмме локального скачка нагрузки следует остановить нагружение и оценить значимость скачка в соответствии с
приложением И.
8.1.12.1 Если скачок признается значимым, то необходимо разгрузить образец и зафиксировать возможный подрост трещины в соответствии с методами, изложенными в
приложении Ж, и затем доломать образец.
8.1.12.2 Если скачок признается незначимым, то необходимо продолжить нагружение до разрушения образца или до значимого скачка трещины. Если при дальнейшем нагружении образца происходит несколько последовательных скачков трещины, то для каждого скачка выполняется оценка его значимости в соответствии с
приложением И.
8.1.13 По излому образца в соответствии с
приложением Ж необходимо определить средние значения длины исходной трещины
a0 и конечного подроста трещины

(при наличии такового).
8.1.14 Если любое из измеренных по излому значений длины исходной трещины
ai0 превышает рассчитанное по
формуле (Ж.1) среднее значение
a0 более чем на 7% или 0,5 мм (принимается большая величина), то испытание следует считать недействительным.
8.2.1 Анализ результатов предусматривает определение KJc в зависимости от типа полученной диаграммы "нагрузка-перемещение" и проверку корректности полученного значения KJc.
8.2.2 Должен быть определен тип диаграммы "нагрузка-перемещение" (см.
рисунок 8.2). Для этого через условное начало координат диаграммы (точка
O на
рисунке 8.2) должна быть проведена линия
OB, которая является секущей линией диаграммы и наклон которой

составляет 95% от наклона касательной
OA к начальному линейному участку диаграммы. В зависимости от того, когда началось нестабильное развитие трещины и имел ли место значимый скачок трещины, различают следующие типы диаграмм:
- диаграмма типа I, на которой нестабильное развитие трещины (разрушение образца) началось до пересечения диаграммы с секущей
ОВ [см.
рисунок 8.2 а)];
- диаграмма типа II, на которой имеет место значимый скачок трещины [см.
рисунок 8.2 б)];
- диаграмма типа III, на которой нет значимого скачка трещины и нестабильное развитие трещины (разрушение образца) началось после пересечения диаграммы с секущей
OB [см.
рисунок 8.2 в)].
Рисунок 8.2 - Типы диаграмм "нагрузка-перемещение",
получаемых при испытании образцов с нестабильным
развитием трещины
8.2.3 По диаграмме следует определять нагрузку, соответствующую началу нестабильного развития трещины. Для диаграмм типа I и типа III в качестве такой нагрузки следует принимать значение
Pc [см.
рисунки 8.2 а) и
8.2 в)], для диаграммы типа II - значение нагрузки
PB [см.
рисунок 8.2 б)], соответствующее началу значимого скачка трещины (значимость скачка определяется по
приложению И).
8.2.4 Критическое значение
J-интеграла
Jc следует определять с использованием средней длины исходной трещины
a0 и нагрузки, определенной по
8.2.3. Определение
Jc для образцов типов CT, SE(B) и DT следует выполнять по расчетным зависимостям, приведенным в
приложениях А,
Б и
В соответственно.
8.2.5 Значение статической трещиностойкости KJc следует рассчитывать по формуле

(8.2)
где
KJc - статическая трещиностойкость, соответствующая величине
Jc,

;
Jc - критическое значение J-интеграла, Н/мм;
E - модуль упругости, МПа;

- коэффициент Пуассона.
Примечание - Для диаграмм типа I допускается принимать в качестве
KJc значение КИН для трещины длиной
a0, рассчитываемое по нагрузке
Pc для образцов типов CT, SE(B) и DT по
формулам (А.3) приложения А,
(Б.3) приложения Б и
(В.2) приложения В соответственно.
8.2.6 Для использования полученного значения
KJc для построения температурной зависимости статической трещиностойкости должна быть проведена оценка корректности значения
KJc. Для этого должны быть определены предельное значение трещиностойкости
KJc(lim) и предельное значение стабильного подроста трещины

.
8.2.6.1 Предельное значение трещиностойкости KJc(lim) определяют как

(8.3)
где
KJc(lim) - предельное значение трещиностойкости,

;
W - ширина образца, мм;
a0 - длина исходной трещины, мм;

- предел текучести материала, МПа.
8.2.6.2 Предельное значение стабильного подроста трещины определяют как

(8.4)
где

- предельный стабильный подрост трещины, мм;

.
8.2.6.3 Полученное значение KJc считается корректным, если выполнены следующие условия:

(8.6)
8.2.6.4 В случае, если выполнено
условие (8.6) и не выполнено
условие (8.5), то полученное значение
KJc следует считать некорректным и при построении температурной зависимости статической трещиностойкости вместо полученного значения
KJc следует использовать значение, равное
KJc(lim).
8.2.6.5 В случае, если не выполнено
условие (8.6) и выполнено
условие (8.5), то полученное значение
KJc следует считать некорректным только при оценке достаточности числа корректно испытанных образцов, при этом значение
KJc не меняют.
8.2.6.6 В случае, если не выполнены оба
условия (8.5) и
(8.6), то полученное значение
KJc следует считать некорректным и при построении температурной зависимости статической трещиностойкости вместо полученного значения
KJc следует использовать значение, равное
KJc(lim).
8.3.1 Для каждого испытанного образца протокол испытаний должен содержать следующие сведения об испытываемом материале:
- тип материала (основной металл, сварной шов и т.д.);
- обозначение/марка материала;
- состояние материала (исходное, облученное и т.п.);
- свойства материала при температуре испытаний (предел текучести

, предел прочности

, модуль упругости
E, коэффициент Пуассона

).
8.3.2 Для каждого испытанного образца протокол испытаний должен содержать следующие сведения об образце:
- тип образца (в соответствии с
6.1);
- ориентация плоскости трещины (в соответствии с
6.2);
- маркировка образца;
- основные размеры образца (ширина W, толщина B, нетто-толщина BN, высота 2H (для образца типа CT), пролет S [для образца типа SE(B)], диаметр DDT (для образца типа DT).
8.3.3 Для каждого испытанного образца протокол испытаний должен содержать следующие сведения об условиях испытаний:
- тип и марка испытательной машины;
- температура испытаний;
- скорость нагружения;
- способ контроля нагружения (по силе/по перемещению).
8.3.4 Для каждого испытанного образца протокол испытаний должен содержать следующие сведения об условиях наведения усталостной трещины:
- температура наведения усталостной трещины;
- предельно допустимая нагрузка на образец Pm;
-

на последнем участке подроста усталостной трещины;
- коэффициент асимметрии R.
8.3.5 Для каждого испытанного образца протокол испытаний должен содержать диаграмму испытаний в координатах "нагрузка-перемещение", где в качестве перемещения в зависимости от типа образца может выступать перемещение по линии действия силы, перемещение на торце образца, перемещение на накладных опорных призмах, прогиб образца.
8.3.6 Для каждого испытанного образца протокол испытаний должен содержать следующие результаты измерения длины трещин с указанием погрешности их измерений:
- длина исходной трещины a0;
- длина конечной трещины ap;
- конечный подрост трещины

.
Примечание - Рекомендуется включать в протокол испытаний фотографии изломов обеих половин испытанного образца.
8.3.7 Для каждого испытанного образца протокол испытаний должен содержать следующие результаты определения характеристик трещиностойкости и, в случае определения KJc, границы корректности определения:
- статическая трещиностойкость Jc и KJc;
- предельное значение трещиностойкости KJc(lim);
- предельное значение стабильного подроста трещины

.
9 Определение трещиностойкости при стабильном развитии трещины
9.1 Подготовка и проведение испытаний
9.1.1 Целью проведения испытаний с кратковременным статическим нагружением образцов и стабильным развитием трещины является получение
JR-кривой с использованием для определения подроста трещины метода упругой податливости. В случаях, когда по техническим причинам невозможно установить на образец средство измерения перемещений и, соответственно, использовать метод упругой податливости (при высокой скорости нагружения, при высокой температуре или при испытаниях в агрессивной среде), для определения подроста трещины и построения
JR-кривой допускается использовать метод нормализации, приведенный в
приложении К. На основании полученной
JR-кривой также могут быть определены характеристики трещиностойкости
JIc,
.
9.1.2 Количество образцов для определения характеристик трещиностойкости материала при заданной температуре испытаний следует принимать согласно
8.1.2.
9.1.3 Перед проведением испытаний должны быть измерены размеры образца согласно
8.1.3.
9.1.4 Требования к температуре образца во время проведения испытаний устанавливаются согласно
8.1.4.
9.1.5 Установку образцов типов CT и DT следует выполнять согласно
8.1.6.
9.1.6 Установку образцов типа SE(B) следует выполнять согласно
8.1.7.
9.1.7 Скорость нагружения образцов должна быть установлена согласно
8.1.8. Время выполнения цикла частичной разгрузки/нагрузки должно быть достаточным для оценки подроста трещины, но не должно превышать 10 минут.
9.1.8 В ходе проведения испытаний должна быть осуществлена запись диаграмм "нагрузка-перемещение" в цифровом виде для дальнейшей обработки на компьютере или в графическом виде с помощью графопостроителя.
Примечание - В зависимости от выбранного типа образца в качестве перемещения может выступать перемещение по линии действия силы, на торце образца, на накладных опорных призмах или прогиб образца (для образцов типа SE(B)).
9.1.9 Процедура испытаний каждого образца должна включать в себя следующие этапы.
9.1.9.1 Предварительная оценка длины исходной трещины
a0q по методу упругой податливости при нагружении образца не менее чем тремя циклами частичной разгрузки/нагрузки в упругой области в диапазоне нагрузок от 0,5 до 1,0·
Pmax (максимальной нагрузки в цикле при наведении предварительной усталостной трещины). В каждом цикле следует определять упругую податливость

(9.1)
где Ci - экспериментально измеренная упругая податливость в i-м цикле частичной разгрузки/нагрузки, мм/Н;

- диапазон перемещений в
i-м цикле частичной разгрузки/нагрузки, мм;

- диапазон нагрузок в
i-м цикле частичной разгрузки/нагрузки, Н.
Предварительную оценку длины исходной трещины a0q следует определять:
- для образцов типа CT в соответствии с
А.3.6 приложения А;
- для образцов типа SE(B) в соответствии с
Б.3.5 приложения Б;
- для образцов типа DT в соответствии с
В.3.5 приложения В.
Предварительная оценка длины исходной трещины в каждом цикле частичной разгрузки/нагрузки не должна отличаться от среднего арифметического всех полученных оценок a0q на величину более +/- 0,002·W.
9.1.9.2 Нагружение образца с периодическим выполнением циклов частичной разгрузки/нагрузки для измерения текущего подроста трещины. Периодичность выполнения циклов частичной разгрузки/нагрузки должна быть такой, чтобы интервал перемещений между циклами не превышал 0,01·b0 и составлял в среднем 0,005·b0 (где b0 = W - a0). До достижения максимума нагрузки должно быть выполнено не менее 8 циклов частичной разгрузки/нагрузки. Если оценка текущего подроста трещины показывает, что имеет место отрицательный подрост на величину более 0,005·a0, следует остановить испытания и проверить центровку нагружающего оборудования. В этом случае после возобновления испытаний значения подростов трещины, полученные при нагрузках до достижения максимума нагрузки, должны игнорироваться.
9.1.9.3 Перед выполнением цикла частичной разгрузки/нагрузки рекомендуется проводить выдержку при постоянной величине перемещений (в случае использования образцов типов CT или DT) и прогиба [в случае использования образцов типа SE(B)] продолжительностью от 10 до 60 секунд для релаксации нагрузки.
9.1.9.4 Максимальная величина частичных разгрузок не должна превышать меньшего из следующих значений: 0,5 от величины текущей нагрузки и 0,5 от максимальной нагрузки в цикле при наведении предварительной усталостной трещины. Рекомендуется назначать частичные разгрузки равными 0,25 от текущей нагрузки.
9.1.9.5 После выполнения последнего цикла разгрузки следует разгрузить образец, не допуская дополнительного перемещения траверсы испытательной машины, которое может вести к перемещениям свыше зафиксированных в ходе эксперимента.
9.1.9.6 После завершения испытаний необходимо зафиксировать вязкий подрост трещины в соответствии с методами в
приложении Ж и затем доломать образец.
9.1.9.7 По излому образца в соответствии с
приложением Ж необходимо определить средние значения длины исходной трещины
a0, конечного подроста трещины

и длины конечной трещины
ap.
9.2.1 Испытания считаются недействительными, если выполнено хотя бы одно из следующих условий.
9.2.1.1 Любое из измеренных по излому значений длины исходной трещины
ai0 превышает рассчитанное по
формуле (Ж.1) приложения Ж среднее значение
a0 на величину более 0,05·
B, где
ai0 - длина исходной трещины в
i-м сечении излома в соответствии с
приложением Ж.
9.2.1.2 Любое из измеренных по излому значений конечного подроста трещины

меньше, чем 0,5 рассчитанного по
формуле (Ж.2) приложения Ж среднего значения

.
9.2.1.3 Любое из измеренных по излому значений длины конечной трещины
aip превышает рассчитанное по
формуле (Ж.3) приложения Ж среднее значение
ap на величину более 0,05·
B.
9.2.1.4 Разница между оценкой конечного подроста трещины по методу упругой податливости

(подроста трещины, рассчитанного по методу упругой податливости в последнем цикле разгрузки) и измеренным по излому значением конечного подроста трещины

превышает величину 0,03·(
W -
a0).
9.2.2 Текущий подрост трещины

определяют по формуле

(9.2)
где

- текущий подрост трещины, мм;
ai - текущая длина трещины, мм;
a0q - предварительная оценка длины исходной трещины, мм.
Значения текущей длины трещины ai при использовании метода упругой податливости следует определять:
- для образцов типа CT в соответствии с
А.3.6 -
А.3.7 приложения А;
- для образцов типа SE(B) в соответствии с
Б.3.5 -
Б.3.6 приложения Б;
- для образцов типа DT в соответствии с
В.3.5 -
В.3.6 приложения В.
Значения длины исходной трещины
a0q следует определять в соответствии с
9.1.9.1.
9.2.3 Текущие значения J-интеграла Ji должны быть определены на основании диаграммы "нагрузка-перемещение" с использованием текущей длины трещины ai:
- для образцов типа CT в соответствии с
А.3.4 приложения А;
- для образцов типа SE(B) в соответствии с
Б.3.3 приложения Б;
- для образцов типа DT в соответствии с
В.3.3 приложения В.
9.2.4 Границы
JR-кривой следует определять как максимальное значение
J-интеграла
Jmax и максимальное значение стабильного подроста трещины

.
9.2.4.1 Максимальное значение J-интеграла для JR-кривой определяют как

(9.3)
где Jmax - максимальное значение J-интеграла для JR-кривой, Н/мм;

- напряжение течения, МПа;
B - толщина образца, мм.
9.2.4.2 Максимальное значение стабильного подроста трещины для JR-кривой определяют как

(9.4)
где

- максимальное значение стабильного подроста трещины для
JR-кривой, мм.
9.2.5 При использовании метода упругой податливости должны быть уточнены значение
a0q и скорректированы значения текущего подроста трещины

. Уточнение
a0q и корректировку

следует выполнять по следующей процедуре.
9.2.5.1 Должны быть отобраны пары значений (Ji, ai), соответствующие нагрузкам, которые еще не превысили максимальную нагрузку при испытаниях образца.
9.2.5.2 Отобранные пары значений (
Ji,
ai) должны быть аппроксимированы полиномиальной функцией переменной
Ji вида

(9.5)
где Ji - текущее значение J-интеграла, соответствующее длине трещины ai, Н/мм;
A0, A1, A2 и A3 - численные коэффициенты полинома.
Коэффициент
A1 следует принимать равным

.
Коэффициенты A0, A2 и A3 следует оценивать с помощью метода наименьших квадратов путем решения уравнения

(9.6)
Примечание - Уравнение (9.6) может быть решено с помощью программных средств для математического анализа по выбору пользователя.
9.2.5.3 Если количество отобранных по
9.2.5.2 точек меньше 8, либо менее 3 из этих 8 точек лежат в интервале от 0,4·
JQ до
JQ, либо коэффициент детерминированности при аппроксимации
формулой (9.5) меньше 0,96, то результаты испытаний следует считать некорректными.
Примечание - Величину
JQ следует определять в соответствии с
9.2.7 с использованием нескорректированных значений текущего подроста трещины

.
9.2.5.4 Если оцененное значение коэффициента A0 отличается от измеренного по излому образца среднего значения длины исходной трещины a0 более чем на величину, которую определяют как наибольшее из значений 0,01·W и 0,5 мм, то результаты испытаний следует считать некорректными.
9.2.5.5 Если результаты испытаний корректны, то полученное значение коэффициента A0 следует принимать в качестве уточненного значения длины исходной трещины a0q.
9.2.5.6 Значения текущих подростов трещины

должны быть пересчитаны по
формуле (9.2) с учетом уточненного значения
a0q.
9.2.6
JR-кривая определяется как совокупность точек с координатами (

,
Ji) в области, ограниченной максимальными значениями
Jmax и

. Пример типичной
JR-кривой показан на
рисунке 9.1.
Рисунок 9.1 - Пример типичной
JR-кривой
9.2.7 Предварительная оценка параметра JQ
9.2.7.1 На графике
JR-кривой должна быть построена линия притупления трещины (см.
рисунок 9.2), которая задается уравнением

(9.7)
где M - численный коэффициент, ед.
Примечания
1 Точки (о,

) - экспериментально полученные точки с координатами (

,
Ji).
2 Сплошные точки (

) - точки, отобранные по условию
9.2.7.3.
3 Кресты (+) - точки, лежащие в интервале от 0,4·
JQ до
JQ (см.
9.2.5.3).
Рисунок 9.2 - Построение линии притупления трещины,
исключающих и вспомогательных линий для определения
параметра JQ
Коэффициент M для конструкционных материалов следует принимать равным 2.
Примечание - Коэффициент
M может быть определен путем линейной аппроксимации
уравнением (9.7) точек на
JR-кривой, лежащих в интервале от 0,2·
JQ до 0,6·
JQ с учетом величины
JQ, оцененной при использовании значения коэффициента
M, равного 2. Необходимо, чтобы в этот интервал попадало не менее 6 точек. Оцененный таким образом коэффициент
M должен быть больше 2.
9.2.7.2 На
JR-кривой должны быть построены исключающие линии, параллельные линии притупления трещины и пересекающие ось абсцисс в точках, соответствующих 0,15 и 1,50 мм (см.
рисунок 9.2). Эти линии задают уравнениями:

(9.8)

(9.9)
9.2.7.3 На
JR-кривой должны быть отобраны точки, которые попадают в область, ограниченную линиями, заданными
уравнениями (9.8) и
(9.9), а также предельным значением
Jlim, которое следует определять как

(9.10)
где Jlim - предельное значение J-интеграла для JR-кривой, Н/мм.
9.2.7.4 На
JR-кривой должны быть построены линии, параллельные вспомогательной и исключающим линиям, которые пересекают ось абсцисс в точках, соответствующих 0,2 и 0,5 мм (см.
рисунок 9.2). Эти линии следует задавать уравнениями:

(9.11)

(9.12)
| | ИС МЕГАНОРМ: примечание. Текст дан в соответствии с официальным текстом документа. | |
9.2.7.5 Хотя бы одна точка
JR-кривой должна находиться в интервале между линиями, заданными
уравнениями (9.8) и
(9.12). Хотя бы одна точка
JR-кривой должна находиться в интервале линиями, заданными
уравнениями (9.12) и
(9.9). Прочие точки
JR-кривой могут находиться в любой части области, установленной в
9.2.7.3.
9.2.7.6 Точки на
JR-кривой, находящиеся в области, установленной в
9.2.7.3, должны быть аппроксимированы уравнением вида

(9.13)
где q и m - численные коэффициенты;
k - нормировочный коэффициент, k = 1 мм.
Коэффициенты q и m следует оценивать с помощью метода наименьших квадратов путем построения линии регрессии в виде

(9.14)
Коэффициент q должен быть меньше 1,0.
9.2.7.7 Предварительная оценка параметра
JQ должна быть выполнена путем определения точки пересечения линий, построенных по
уравнениям (9.13) и
(9.11). Для определения этой точки следует использовать следующую процедуру:
- в качестве начального приближения
JQ(i) =
JQ(1) параметра
JQ выбирают значение, полученное на основе графического построения (см.
рисунок 9.2);
- определяют величину подроста трещины

, соответствующую начальному приближению
JQ(1) параметра
JQ

(9.15)
- определяют следующее приближение JQ(i+1) параметра JQ

(9.16)
- расчет по
формулам (9.15) и
(9.16) следует повторять (
i + 1) раз до тех пор, пока не будет выполнено условие

(9.17)
9.2.8 Должны быть определены точки пересечения линии, построенной по
уравнению (9.13), с линиями, построенными по
уравнениям (9.8) и
(9.9). Процедура их определения аналогична процедуре, описанной в
9.2.7.7. Абсциссу точки пересечения линий, построенных по
уравнениям (9.13) и
(9.8), обозначают как

, абсциссу точки пересечения линий, построенных по
уравнениям (9.13) и
(9.9), обозначают как

. Точки
JR-кривой, находящиеся в области, установленной в
9.2.7.3 и не попавшие в интервал от

до

, должны быть исключены из рассмотрения. Количество точек, оставшихся после исключения, должно быть не меньше пяти. Если оставшийся набор точек отличается от набора, использованного при определении
JQ согласно
9.2.7, параметр
JQ должен быть переопределен с учетом оставшегося набора точек.
9.2.9 Определение статической трещиностойкости JIc и 
9.2.9.1 Критическое значение J-интеграла в условиях плоской деформации JIc принимается равным JQ, если выполнено условие
9.2.9.2 Значение статической трещиностойкости

, соответствующее
JIc, следует рассчитывать по формуле

(9.19)
где

- статическая трещиностойкость, соответствующая величине
JIc,

;
JIc - критическое значение J-интеграла в условиях плоской деформации, Н/мм;
E - модуль упругости, МПа;

- коэффициент Пуассона.
9.3.1 Для каждого испытанного образца протокол испытаний должен содержать сведения об испытываемом материале в соответствии с
8.3.1.
9.3.2 Для каждого испытанного образца протокол испытаний должен содержать сведения об образце в соответствии с
8.3.2.
9.3.3 Для каждого испытанного образца протокол испытаний должен содержать сведения об условиях испытаний в соответствии с
8.3.3.
9.3.4 Для каждого испытанного образца протокол испытаний должен содержать сведения об условиях наведения усталостной трещины в соответствии с
8.3.4.
9.3.5 Для каждого испытанного образца протокол испытаний должен содержать диаграмму испытаний в соответствии с
8.3.5.
9.3.6 Для каждого испытанного образца протокол испытаний должен содержать следующие результаты измерения и оценки длины трещин:
- длина исходной трещины a0, измеренная по излому;
- длина исходной трещины a0q, оцененная по методу упругой податливости;
- длина конечной трещины ap, измеренная по излому;
- конечный подрост трещины

, измеренный по излому;
- конечный подрост трещины

, оцененный по методу упругой податливости.
Примечание - Рекомендуется включать в протокол испытаний фотографии изломов обеих половин испытанного образца.
9.3.7 Для каждого испытанного образца протокол испытаний должен содержать следующие результаты определения характеристик трещиностойкости:
- график JR-кривой с соответствующими построениями для определения параметра JQ;
- результаты определения подроста

и
J-интеграла для каждой точки
JR-кривой в табличной форме; также рекомендуется включать в таблицу соответствующие этим точкам значения нагрузки
Pi, упругой податливости
Ci и относительной длины трещины
ai/
W;
- коэффициенты q и m для уравнения JR-кривой;
- предельное значение J-интеграла Jlim;
- предельное значение подроста трещины

;
- статическая трещиностойкость
JIc,

или
JQ.
10 Определение трещиностойкости по критерию остановки нестабильно развивающейся трещины
10.1 Подготовка и проведение испытаний
10.1.1 Целью проведения испытаний является получение характеристик трещиностойкости в терминах коэффициента интенсивности напряжений Ka, соответствующего остановке нестабильно развивающейся трещины после ее незначительного подроста.
10.1.2 Определение трещиностойкости по критерию остановки нестабильно развивающейся трещины проводят для ферритных сталей, для которых характерен переход от вязкого к хрупкому разрушению при снижении температуры испытаний.
10.1.2.1 Для сталей низкой и средней прочности (предел текучести которых не превышает 700 МПа) рекомендуется использовать прямоугольные компактные образцы с краевой трещиной типа CCA с хрупкой наплавкой в вершине инициирующего надреза.
10.1.2.2 Для высокопрочных сталей (предел текучести которых превышает 700 МПа), в том числе сталей после нейтронного облучения, рекомендуется использовать двухконсольные образцы с краевой трещиной типа DCA без хрупкой наплавки в вершине инициирующего надреза. Использование образцов типа DCA позволяет обеспечить необходимое увеличение податливости и снижение КИН при больших подростах трещины, чем в образцах типа CCA.
10.1.3 Количество образцов для определения характеристик трещиностойкости материала при заданной температуре испытаний следует принимать согласно
8.1.2.
10.1.4 Перед проведением испытаний должны быть измерены размеры образца (B, BN, W). Измерения должны быть проведены с погрешностью не более +/- 0,05 мм.
10.1.5 При проведении испытаний при температурах, отличающихся от комнатной, могут применяться любые нагревательные и охлаждающие устройства, обеспечивающие равномерный нагрев (охлаждение) образца до заданной температуры. Температура образца во время проведения испытаний должна быть стабильной и однородной. Перед началом испытаний рекомендуется проводить выдержку образца при температуре (Tисп +/- 3) °C в течение 0,5 часа. В протокол испытаний следует вносить температуру, соответствующую моменту остановки трещины.
10.1.6 Скорость нагружения образцов по перемещению должна составлять от 2 до 12 мм/мин.
10.1.7 В ходе проведения испытаний должна осуществляться запись диаграммы "нагрузка (на клине) - перемещение (на торце образца или на опорных призмах)" в цифровом виде для дальнейшей обработки на компьютере или в графическом виде с помощью графопостроителя. Также рекомендуется записывать диаграмму зависимости перемещений от времени испытаний с высокой частотой опроса.
10.1.8 При испытании образца типа CCA не следует выполнять установку нуля перед каждым новым циклом нагружения, поскольку при определении характеристики Ka используют перемещение, накопленное при раскрытии трещины.
10.1.9 Если при испытаниях образца не происходит нестабильного развития трещины и ее остановки, то характеристика трещиностойкости Ka не может быть определена.
10.1.10 Нагружение образцов типа CCA
10.1.10.1 При испытании образцов типа CCA с хрупкой наплавкой в целях снижения влияния энергии, запасенной в образце вследствие образования в вершине надреза зоны пластической деформации, и определения величины пластической составляющей общего перемещения и кинетики ее накопления в процессе испытания следует применять повторно-статическое нагружение образцов.
10.1.10.2 В первом цикле нагрузку следует прикладывать к клину до инициации нестабильного развития трещины, либо до тех пор, пока величина перемещения, определяемого средством измерения перемещений, не достигнет заданного максимального значения [(v0)1]max, которое определяют по формуле

(10.1)
где [(v0)1]max - максимальное перемещение в первом цикле нагружения, мм;

- предел текучести материала образца или материала наплавки при использовании хрупкой наплавки, МПа;
W - ширина образца, мм;
B - толщина образца, мм;
BN - нетто-толщина образца, мм;
E - модуль упругости, МПа;
a0 - длина инициирующего надреза, мм;
f(a0/W) - поправочная функция, отн. ед.
Значение поправочной функции для заданного отношения
a0/
W следует определять в соответствии с
приложением Г.
10.1.10.3 Если инициация нестабильного развития трещины не произошла до момента достижения предельного перемещения при нагружении расклиниванием, образец должен разгружаться до потери контакта клина с вкладышем. При разгрузке между циклами нагружения средство измерения перемещений следует оставлять на месте.
10.1.10.4 После разгрузки образец следует нагружать повторно до инициации нестабильного развития трещины, либо до тех пор, пока измеряемое перемещение не достигнет заданного максимального значения [(v0)n]max. Величину заданного максимального значения [(v0)n]max следует увеличивать при каждом последующем цикле нагружения до тех пор, пока не произойдет инициация нестабильного развития трещины или пока испытания не завершатся. Величину заданного максимального перемещения [(v0)n]max следует определять по формуле

(10.2)
где [(v0)n]max - максимальное перемещение в n-м цикле нагружения, мм;
n - порядковый номер цикла нагружения.
10.1.10.5 Предельное перемещение [v0]lim, после достижения которого получение на образце корректных результатов маловероятно, определяют по формуле
[v0]lim = 2,17·[(v0)1]lim. (10.3)
10.1.10.6 Момент старта и остановки трещины следует определять по резкому срыву нагрузки на диаграмме "нагрузка - перемещение". Снижение нагрузки на 50%, как правило, свидетельствует о достаточной длине нестабильного подроста трещины для корректного определения параметра Ka. В момент остановки трещины следует немедленно прекратить нагружение и снять нагрузку с клина во избежание дальнейшего развития трещины.
10.1.10.7 Если при каждом последующем цикле нагружения выявляется, что увеличение раскрытия трещины приводит к снижению приложенной к клину нагрузки, это означает, что происходит стабильный подрост трещины. В этом случае рекомендуется прекратить испытания образца. Допускается повторная механическая обработка образца с удалением хрупкой наплавки и материала вблизи вершины надреза, претерпевшего пластическое деформирование. После этого вырезается новый надрез и образец повторно испытывается при более низкой температуре [рекомендуется выбирать температуру ниже на (30 +/- 10) °C].
10.1.11 Нагружение образцов типа DCA
10.1.11.1 При испытании образцов типа DCA следует выполнять однократное нагружение путем вдавливания клина до момента нестабильного развития трещины из вершины инициирующего надреза.
10.1.11.2 После завершения испытаний необходимо зафиксировать фронт остановленной трещины в соответствии с методами, изложенными в
приложении Ж, и затем доломать образец.
10.1.11.3 По излому образца в соответствии с
приложением Ж необходимо определить длину инициирующего надреза
a0 и длину остановленной трещины
aa.
10.1.11.4 Испытание считается некорректным, если выполнено хотя бы одно из следующих условий:
- после нестабильного развития трещина находится вне плоскости боковых канавок (плоскости симметрии образца) и угол наклона фронта трещины к боковой поверхности образца превышает 45°; в этом случае рекомендуется на следующих образцах углубить боковые канавки и увеличить их остроту;
- нестабильное развитие трещины произошло без выхода ее на боковые поверхности образца, то есть наблюдается эффект туннелирования трещины; в этом случае рекомендуется на следующих образцах углубить боковые канавки и увеличить их остроту;
- нестабильное развитие трещины произошло только вдоль боковых канавок образца, то есть наблюдается эффект, обратный эффекту туннелирования; в этом случае рекомендуется на следующих образцах увеличить радиус закругления в вершине боковых канавок.
10.2.1 Обработку результатов испытаний образца типа CCA следует выполнять согласно следующей процедуре.
10.2.1.1 Должна быть проанализирована полученная в процессе испытаний диаграмма "нагрузка - перемещение". На
рисунке 10.1 показана типичная диаграмма после повторно-статического нагружения образца (показан пример нестабильного развития трещины в момент четвертого цикла повторно-статического нагружения).
Примечания
1 Первый цикл повторно-статического нагружения - по пути OP1R1.
2 Второй цикл повторно-статического нагружения - по пути R1P2R2.
3 Третий цикл повторно-статического нагружения - по пути R2P3R3.
4 Четвертый цикл повторно-статического нагружения - по пути R3P4R5.
Рисунок 10.1 - Пример типичной диаграммы
"нагрузка - перемещение" образца после повторно-статического
нагружения с нестабильным развитием и быстрой остановкой
трещины в четвертом цикле
По диаграмме должны быть определены следующие параметры:
- (
vp)
1 - остаточное перемещение после первого цикла повторно-статического нагружения (соответствует точке
R1 на
рисунке 10.1), мм;
- (v
p)
n-1 - остаточное перемещение после (
n - 1)-го цикла повторно-статического нагружения, перемещение в начале
n-го цикла повторно-статического нагружения (соответствует точке
R3 на
рисунке 10.1), мм;
-
v0 - перемещение при инициации нестабильного развития трещины (соответствует точке
P4 на
рисунке 10.1), мм;
- va - перемещение приблизительно через 0,1 секунды после остановки трещины (соответствует точке
P5 на
рисунке 10.1), мм;
- (va - v0) - быстрое увеличение перемещений, связанное с хрупким проскоком трещины, мм.
Примечание - Предпочтительно определять va как перемещение приблизительно через 2 миллисекунды после ее остановки. Однако из-за ограничений используемого измерительного оборудования такие измерения могут оказаться невыполнимы. Поэтому допускается принимать, что величина va в момент, соответствующий 100 миллисекундам после остановки трещины, не отличается от величины va через 2 миллисекунды после остановки трещины.
10.2.1.2 Трещиностойкость в терминах коэффициента интенсивности напряжений
Ka, соответствующего остановке нестабильно развивающейся трещины после ее незначительного подроста для образца типа CCA, следует определять в соответствии с приложением Г по
формуле (Г.2). Расчет значения
Ka выполняют при значении длины трещины
a, равном
aa, и значении перемещения
v, равном
da. Величину
da определяют по формуле
da = 0,5
·(
v0 +
va - (
vp)
1 - (
vp)
n-1). (10.4)
Примечание - Если инициация нестабильного развития трещины произошла на первом цикле нагружения, то значения (
vp)
1 и (
vp)
n-1 в
формуле (10.4) следует принимать равными нулю.
10.2.1.3 Трещиностойкость при остановке трещины в условиях плоской деформации KIa следует принимать равной полученному значению Ka, если выполнены все следующие условия:

(10.5)

(10.6)
где aa - длина остановленной трещины, мм;
Ka - трещиностойкость при остановке нестабильно развивающейся трещины,

;

- динамический предел текучести материала, МПа;
Nn - ширина надреза на образце, мм.
Примечание - При отсутствии данных по динамическому пределу текучести материала для конструкционных сталей допускается принимать величину

, равной

.
10.2.2 Обработку результатов испытаний образца типа DCA выполняют согласно следующей процедуре.
10.2.2.1 Должна быть проанализирована полученная в процессе испытаний диаграмма "нагрузка - перемещение". По диаграмме должны быть определены перемещение при инициации нестабильного развития трещины (v0) и перемещение приблизительно через 0,1 секунды после остановки трещины (va).
10.2.2.2 Трещиностойкость в терминах коэффициента интенсивности напряжений
Ka, соответствующего остановке нестабильно развивающейся трещины после ее незначительного подроста для образца типа DCA должна определяться в соответствии с
приложением Д. Расчет значения
Ka должен выполняться при значении длины трещины
a, равном
aa, и значении перемещения
v, равном
va.
10.2.2.3 Трещиностойкость при остановке трещины в условиях плоской деформации
KIa принимают равной полученному значению
Ka, если выполнены все
условия (10.5) -
(10.7).
10.3.1 Для каждого испытанного образца протокол испытаний должен содержать сведения об испытываемом материале в соответствии с
8.3.1, а также значение динамического предела текучести

материала при температуре испытаний.
10.3.2 Для каждого испытанного образца протокол испытаний должен содержать сведения об образце в соответствии с
8.3.2, а также сведения о ширине инициирующего надреза
Nn и радиусе в вершине надреза

.
10.3.3 Для каждого испытанного образца протокол испытаний должен содержать сведения о температуре испытаний.
10.3.4 Для каждого испытанного образца протокол испытаний должен содержать диаграмму испытаний в координатах "нагрузка - перемещение", а также следующие сведения, относящиеся к диаграмме.
10.3.4.1 Для образца типа CCA:
- количество циклов повторно-статического нагружения;
- остаточное перемещение после первого цикла нагружения (vp)1;
- перемещение перед последним циклом нагружения (vp)n-1;
- перемещение при инициации нестабильного развития трещины v0;
- перемещение через 0,1 с после ее остановки va.
10.3.4.2 Для образца типа DCA:
- перемещение при инициации нестабильного развития трещины v0;
- перемещение через 0,1 с после ее остановки va.
10.3.5 Для каждого испытанного образца протокол испытаний должен содержать следующие результаты измерения и оценки длины трещин:
- длина инициирующего надреза a0;
- длина остановленной трещины aa.
Примечание - Рекомендуется включать в протокол испытаний фотографии изломов обеих половин испытанного образца.
10.3.6 Для каждого испытанного образца протокол испытаний должен содержать полученное значение трещиностойкости при остановке нестабильно развивающейся трещины Ka (или KIa при выполнении всех условий корректности).
11 Определение трещиностойкости при развитии трещины в условиях ползучести
11.1 Подготовка и проведение испытаний
11.1.1 Целью проведения испытаний с длительным статическим нагружением образцов типа CT в условиях повышенных температур является определение времени подроста трещины при ползучести на величину 0,2 мм (
t0,2) и зависимости скорости роста трещины при ползучести

от величины
C*-интеграла.
11.1.2 Для получения представительных результатов следует проводить испытания комплекта из не менее четырех образцов со взаимно перекрывающими областями зависимостей скорости при ползучести

от
C*-интеграла.
11.1.3 Перед проведением испытаний должны быть измерены размеры каждого образца согласно
8.1.3.
11.1.4 Температура каждого образца во время испытаний должна быть стабильной и однородной. Перед началом испытаний рекомендуется проводить выдержку образца при температуре (Tисп +/- 7) °C в течение времени, определяемого из расчета не менее 1 часа на 25 мм толщины образца. Во время испытаний температура образцов должна поддерживаться и контролироваться с погрешностью не более +/- 7 °C.
11.1.5 Образцы должны быть установлены в захватах испытательной машины и закреплены с помощью нагружающих пальцев. После этого к образцам должна быть приложена нагрузка не более 10% от планируемой при испытаниях для выборки люфтов нагружающей системы. Затем к образцам должны быть присоединены средства измерения перемещений, термопары и потенциометры. После проверки их функционирования нагревательное устройство (печь) должно быть приведено в рабочее положение и должен быть начат нагрев образцов.
11.1.6 Максимальная нагрузка при испытаниях не должна превышать величину 0,8·Plim, которую рассчитывают по формуле

(11.1)
где Plim - предельная нагрузка, Н;
B - толщина образца, мм;
W - ширина образца, мм;
aк - ожидаемая на конец испытаний длина трещины, мм;

- предел текучести материала, МПа;

- параметр, который определяют из следующего уравнения:

(11.2)
Допускается принимать

равным 0,19.
Нагрузка образца сверх рекомендованной ведет к ускоренному разрушению образца на третьей стадии ползучести или потере его несущей способности.
Минимальную нагрузку, при которой на заданной временной базе испытаний реализуется ползучесть при испытаниях образцов типа CT, рассчитывают в соответствии с
приложением Л.
11.1.7 Временная база испытаний tct должна составлять не менее 1000 часов. Рекомендуется проводить испытания с временной базой tct от 5000 до 10000 часов. Большая временная база необходима для снижения уровня пластических деформаций в вершине трещины, которые могут возникнуть при высоких уровнях нагрузок. Данные ускоренных испытаний (менее 1000 часов) могут привести к неконсервативным результатам, так как не отражают процессы ползучести в вершине реальной трещины.
11.1.8 В ходе проведения испытаний должна быть осуществлена запись перемещений по линии действия силы, нагрузки и температуры в цифровом виде для дальнейшей обработки на компьютере или в графическом виде с помощью графопостроителя. Также должна быть зарегистрирована текущая длина трещины
a. Регистрация длины трещины может проводиться с помощью катетометра или методом разности электропотенциалов, при этом погрешность измерения длины трещины не должна превышать +/- 0,05 мм. Рекомендуемая периодичность регистрации длины трещины составляет 1 раз за 24 часа. В результате должен быть сформирован необходимый для дальнейшего анализа массив результатов измерений длины трещины
a и перемещений по линии действия силы
v с соответствующими им значениями времени.
11.1.9 Испытания должны быть остановлены, если темпы изменения показаний средства измерения перемещений или разности потенциалов значимо возрастают, что свидетельствует о переходе образца в третью стадию ползучести, когда разрушение образца становится неизбежно. Рекомендуется останавливать испытания, не допуская разрушения образца, так как в этом случае фронт трещины будет более четким и определение длины конечной трещины будет более точным.
11.1.10 После завершения испытаний и снятия нагрузки каждый образец должен быть охлажден и разрушен циклическим нагружением или статической нагрузкой при пониженной температуре (рекомендуется доламывать образец после охлаждения жидким азотом).
11.1.11 По излому образца согласно
Ж.2 приложения Ж необходимо определить длину исходной трещины
a0 и длину конечной трещины
ap. Результаты измерений длины трещины в ближайших к боковым поверхностям сечениях образца (

и

) или (

и

) не должны отличаться более чем на 20% от результатов измерения длины трещины в середине образца (

или

соответственно). Если отклонение составляет более 20%, то при анализе результатов испытаний для обеспечения консервативности должен быть использован наименьший из трех сравниваемых размеров.
11.2.1 Для каждого образца из комплекта испытанных образцов анализ результатов выполняют в соответствии с
11.2.2 -
11.2.8.
11.2.2 Из полученного для испытанного образца в соответствии с
11.1.8 полного массива результатов измерений длины трещины
a и перемещений по линии действия силы
v должны быть отобраны данные для дальнейшей обработки. Первый набор данных должен включать длину предварительно наведенной усталостной трещины
a0, а также время
t0 и показание средства измерений перемещений
v0, принятые за ноль. Каждый последующий (
i-й) набор данных должен включать: значение длины трещины
ai и значение перемещения по линии действия силы
vi, соответствующие значению времени
ti. Эти наборы должны выбираться так, чтобы между соседними наборами данных подрост трещины

составлял не менее 0,25 мм и не более 0,02·
W, а увеличение раскрытия перемещений по линии действия силы

составляло не менее 0,1% от рабочего диапазона средства измерений перемещений. Рекомендуемое количество последовательно сформированных наборов данных составляет от 25 до 35. На начальной и заключительной стадиях испытаний рекомендуется сформировать дополнительные наборы данных, так как в этих областях изменения длины трещины
a и перемещений по линии действия силы
v могут происходить быстрее.
11.2.3 Полученные наборы данных в виде зависимостей от времени (см.
рисунок 11.1) длины трещины
a(
t) и перемещений по линии действия силы
v(
t) используются для определения времени подроста трещины при ползучести на величину 0,2 мм (
t0,2), скорости роста трещины при ползучести

и скорости перемещений по линии действия силы
.
Рисунок 11.1 - Экспериментальная зависимость
длины трещины и перемещений по линии действия силы
от времени, определение t0,2
11.2.4 Время
t0,2 определяют как время, за которое исходная трещина при ползучести подрастает на величину 0,2 мм (см.
рисунок 11.1). Если подрост трещины за все время испытаний не превысил величину 0,2 мм, то следует принимать, что на заданной временной базе испытаний при приложенной статической нагрузке подрост трещины при ползучести отсутствует.
11.2.5 Оценку скорости роста трещины при ползучести

и скорости перемещений по линии действия силы

следует выполнять по методу двусторонней разности.
11.2.5.1 Скорость роста трещины при ползучести

определяют по формуле

(11.3)
где

- скорость роста трещины при ползучести, мм/час;
ai-1, ai, ai+1 - значения длины трещины в моменты времени ti-1, ti, ti+1, мм;
ti-1, ti, ti+1 - моменты времени измерений длины трещины, час.
11.2.5.2 Скорость перемещений по линии действия силы

определяют по формуле

(11.4)
где

- скорость перемещений по линии действия силы, мм/час;
vi-1, vi, vi+1 - значения перемещений по линии действия силы в моменты времени ti-1, ti, ti+1, мм.
Примечание - Для оценки скоростей роста трещины при ползучести и перемещений по линии действия силы допускается использовать другие методы: метод секущей или метод последовательной полиномиальной аппроксимации.
11.2.6 C*-интеграл рассчитывают по формуле

(11.5)
где C* - C*-интеграл, Н/(мм·час);
W - ширина образца, мм;
P - приложенная нагрузка, Н;

- скорость перемещений по линии действия силы при ползучести, мм/час;
nc - параметр материала, ед.
Примечание - Параметр
nc представляет собой показатель степени в уравнении установившейся ползучести вида

, в котором

- скорость деформации ползучести;
ac - параметр материала;

- действующее напряжение;

.
Скорость перемещений по линии действия силы при ползучести необходимо рассчитывать по формуле

(11.6)
где BN - нетто-толщина образца, мм;
Je - упругая компонента J-интеграла, Н/мм;
Jpl - пластическая компонента J-интеграла, Н/мм;
n - параметр материала, ед.
Примечание - Параметр
n представляет собой показатель степени в уравнении деформирования материала вида

, в котором

- пластическая деформация;
k - параметр материала;

- действующее напряжение.
Упругую компоненту J-интеграла определяют по формуле

(11.7)
где
K - коэффициент интенсивности напряжений,

;

- коэффициент Пуассона;
E - модуль упругости, МПа.
Значение коэффициента интенсивности напряжений для трещины длиной
a и нагрузки
P должно рассчитываться по
формуле (А.3).
Пластическую компоненту J-интеграла вычисляют по формуле

(11.8)
где

- референсное напряжение, МПа;

- пластическая деформация, соответствующая напряжению

, ед.
Референсное напряжение в общем случае вычисляют по формуле

(11.9)
где P - приложенная нагрузка, Н;
Plim - предельная нагрузка, Н;

- предел текучести материала, МПа.
Для образца типа CT референсное напряжение вычисляют по формуле

(11.10)
Пластическую деформацию

следует определять по уравнению деформирования материала.
11.2.7 Допускается рассчитывать C*-интеграл по упрощенной формуле

(11.11)
где

- скорость деформации ползучести при напряжении

, 1/час.
Скорость деформации ползучести следует определять по уравнению установившейся ползучести материала.
Примечание - Расчет по упрощенной формуле следует использовать при анализе результатов испытаниях образцов, отличных от образцов типа CT.
11.2.8 Для полученных значений
C*-интеграла и скорости перемещений по линии действия силы

должны быть выполнены следующие критерии корректности.
11.2.8.1 Критерий корректности результатов по времени перехода к установившейся стадии ползучести. Данный критерий является критерием того, что все нетто-сечение образца находится в условиях установившейся ползучести, и имеет вид
где ttr - время перехода к установившейся ползучести, час.
Время перехода к установившейся ползучести рассчитывают для всех полученных пар значений C*-интеграла и длины трещины по формуле

(11.13)
Для упрощения расчетов допускается проверять корректность результатов по времени перехода к установившейся стадии ползучести по консервативной форме критерия в виде

(11.14)
где

- максимальное значение
ttr, час.
Рисунок 11.2 - Графическое представление
критерия корректности по времени перехода
к установившейся стадии ползучести
11.2.8.2 Критерий корректности результатов по скорости перемещений по линии действия силы. Данный критерий является критерием того, что измеренная скорость раскрытия образца отражает процесс ползучести, и имеет вид

(11.15)
Примечание - Для проведения консервативной оценки зависимости
a(
C*) в
критерии (11.15) вместо 0,8 следует использовать значение 0,5.
Рисунок 11.3 - Графическое представление критерия
корректности по скорости перемещений по линии действия силы
11.2.8.3 Критерий "разворота" экспериментальной зависимости

. Полученные пары значений
C*-интеграла и скорости роста трещины

наносятся на график в двойных логарифмических координатах. Если на этом графике выявлен "разворот" экспериментальной зависимости

, как это показано на
рисунке 11.4, то определяют момент времени
treturn, соответствующий этому "развороту". Критерий корректности результатов в этом случае имеет вид
t > treturn, (11.16)
где
treturn - момент времени, соответствующий "развороту" зависимости

, час.
Рисунок 11.4 - Графическое представление
критерия "разворота" зависимости

и определение корректных результатов
11.2.8.4 Корректными значениями
C*-интеграла следует считать только те значения, для которых выполнены все три
условия (11.12),
(11.14) и
(11.15). Пример определения корректных результатов показан на
рисунке 11.4.
11.2.9 Корректные результаты испытаний всех образцов комплекта должны быть нанесены на общий график зависимости

в двойных логарифмических координатах и аппроксимированы степенным уравнением

(11.17)
где Ar и nr - численные коэффициенты уравнения ползучести материала.
11.3.1 Для каждого испытанного образца протокол испытаний должен содержать следующие сведения об испытываемом материале в соответствии с
8.3.1, а также значения следующих величин при температуре испытаний:
- показатель степени n в уравнении деформирования;
- коэффициент k в уравнении деформирования;
- показатель степени nc в уравнении установившейся ползучести.
11.3.2 Для каждого испытанного образца протокол испытаний должен содержать сведения об образце в соответствии с
8.3.2.
11.3.3 Для каждого испытанного образца протокол испытаний должен содержать сведения о температуре испытаний.
11.3.4 Для каждого испытанного образца протокол испытаний должен содержать сведения об условиях наведения усталостной трещины в соответствии с
8.3.4.
11.3.5 Для каждого испытанного образца протокол испытаний должен содержать следующие результаты измерения длины трещин:
- длина исходной трещины a0;
- длина конечной трещины ap.
Примечание - Рекомендуется включать в протокол испытаний фотографии изломов обоих половин испытанного образца.
11.3.6 Для каждого испытанного образца протокол испытаний должен содержать перечень принятых для анализа данных (значений длины
ai и перемещений по линии действия силы
vi с соответствующими значениями времени
ti) и рассчитанные для них значения скорости роста трещины при ползучести

и скорости перемещений по линии действия силы

.
11.3.7 Для каждого испытанного образца протокол испытаний должен содержать время инициирования трещины при ползучести
t0,2, график зависимости скорости роста трещины при ползучести

от
C*-интеграла и коэффициенты
Ar и
nr уравнения регрессии, полученные на основании результатов испытаний всего комплекта образцов.
12 Определение температурной зависимости статической трещиностойкости
12.1.1 Хрупкое разрушение рассматривается как стохастический процесс. Разброс данных по статической трещиностойкости в области хрупкого разрушения описывается распределением Вейбулла.
12.1.2 Вероятность хрупкого разрушения Pf при значениях KI, не превосходящих KJc для образца, выбранного случайным образом из партии образцов, описывается трехпараметрической функцией распределения Вейбулла по формуле

(12.1)
где Pf - вероятность хрупкого разрушения, ед.;
KJc - статическая трещиностойкость, соответствующая величине
Jc,

;
Kmin - минимально возможная статическая трещиностойкость,

;
K0 - параметр масштаба, зависящий от температуры и толщины образца,
.
В
формуле (12.1) под
KJc понимается статическая трещиностойкость
KJc, определяемая в соответствии с
разделом 8. Величина
Kmin принимают равной

.
12.1.3 Влияние длины фронта трещины на статическую трещиностойкость выражается формулой

(12.2)
где

и

- значения статической трещиностойкости для образцов с длиной фронта трещины
BX и
BY соответственно при одной и той же вероятности хрупкого разрушения
Pf.
При использовании метода Master Curve в
формуле (12.2) в качестве длины фронта трещины следует принимать толщину образца
B. При использовании метода Advanced Unified Curve в
формуле (12.2) в качестве длины фронта трещины для образцов без боковых канавок следует принимать толщину образца
B, для образцов с боковыми канавками - нетто-толщину образца
BN.
12.1.4 Метод Advanced Unified Curve
12.1.4.1 В соответствии с методом Advanced Unified Curve температурную зависимость статической трещиностойкости при длине фронта трещины 25 мм и вероятности хрупкого разрушения 0,5 описывают формулой

(12.3)
где
KJc(med) - медианное (соответствующее вероятности хрупкого разрушения 0,5) значение статической трещиностойкости
KJc,

;
T - температура, °C;
| | ИС МЕГАНОРМ: примечание. Обозначения даны в соответствии с официальным текстом документа. | |

- уровень нижнего шельфа (температурно-независимая составляющая статической трещиностойкости при длине фронта трещины 25 мм и вероятности хрупкого разрушения 0,5),

;

- параметр, определяющий вид температурной зависимости
KJc(
T),

;
a1 - коэффициент, ед.;
a2, a3 - коэффициенты, °C.
В
формуле (12.3) значение

следует принимать равным

. Значения коэффициентов
a1,
a2 и
a3 следует принимать в соответствии с
таблицей 12.1.
Таблица 12.1
Температура T | a1, ед. | a2, °C | a3, °C |
До 130 °C включ. | 1,00 | 130 | 105 |
Св. 130 °C | 1,99 | 216 | 157 |
12.1.4.2 Принимают, что при охрупчивании (в том числе при облучении) материала изменяется только параметр

и происходит изменение формы зависимости
KJc(med)(
T). Значение параметра

определяют по результатам испытаний образцов на статическую трещиностойкость при одной температуре (однотемпературный метод) или при нескольких температурах (многотемпературный метод).
12.1.5 Метод Master Curve
12.1.5.1 В соответствии с методом Master Curve температурную зависимость статической трещиностойкости при длине фронта трещины 25 мм и вероятности хрупкого разрушения 0,5 описывают формулой
KJc(med)(
T) = 30 + 70·exp(0,019·(
T -
T0)), (12.4)
где T0 - референсная температура, °C.
Референсную температуру следует определять как температуру, при которой значение
KJc(med) равно

.
12.1.5.2 Принимают, что при охрупчивании (в том числе при облучении) материала изменяется референсная температура T0 и происходит смещение зависимости KJc(med)(T) в область повышенных температур без изменения ее формы.
12.2 Требования к количеству образцов и корректности испытаний
12.2.1 Для построения температурной зависимости статической трещиностойкости для одного состояния материала рекомендуется испытывать не менее 12 образцов. Достаточное количество испытанных образцов определяют в соответствии с
12.2.6,
12.2.7.
12.2.2 Требования к образцам, их подготовке, процедуре испытаний и методам анализа результатов приведены в
разделе 8.
12.2.3 Если в соответствии с
8.1.14 испытание образца признано недействительным, то его результаты должны быть исключены из последующего анализа.
12.2.4 Если до разрушения образца не произошло нестабильного развития трещины (трещина развивалась стабильно), то испытание считается некорректными, и его результат следует учитывать как некорректный при расчете достаточности количества испытаний.
12.2.5 Для всех испытаний, за исключением признанных недействительными, должна быть проанализирована корректность испытаний согласно
8.2.6. Результаты некорректных испытаний, скорректированные по
8.2.6, должны быть учтены при дальнейшем анализе данных.
12.2.6 При однотемпературных испытаниях количество испытанных образцов должно быть признано достаточным, если выполнены следующие условия:
rs >= [rs], (12.5)

(12.6)
где rs - число корректно испытанных образцов, шт.;
[rs] - минимальное число корректно испытанных образцов, шт.;
Ns - общее число испытанных образцов, шт.;

- допустимая доля некорректно испытанных образцов, отн. ед.
Значения [
rs] и

приведены в
таблице 12.2. Для определения номера интервала в
таблице 12.2 должен выполняться расчет
KJc(med) в соответствии с методом Advanced Unified Curve по
формуле (12.3), где значение

должно определяться по
формуле (12.13), или в соответствии с методом Master Curve по
формуле (12.4), где значение
T0 должно определяться по
формуле (12.17). Если рассчитанное значение
KJc(med) меньше

, то испытания должны считаться некорректными.
Таблица 12.2
Требования к минимальному числу корректно испытанных
образцов [
rs] и к доле некорректно испытанных образцов

Номер интервала i | Интервал KJc(med),  | [rs], шт. |  , отн. ед. | ni, отн. ед. |
1 | От 84 до 212 | 6 | 1/3 | n1 = 1/6 |
2 | От 66 до 83 | 7 | 1/4 | n2 = 1/7 |
3 | От 50 до 65 | 8 | 0 | n3 = 1/8 |
12.2.7 При многотемпературных испытаниях для обеспечения достаточности количества испытанных образцов должно быть выполнено следующее условие

(12.7)
где

- число корректно испытанных образцов, соответствующих
i-му интервалу
KJc(med) в соответствии с
таблицей 12.2, шт.;
i - номер интервала KJc(med), ед.;
ni - весовой фактор i-го интервала KJc(med), отн. ед.
Значения [
rs] и
ni приведены в
таблице 12.2. Для определения номера интервала в
таблице 12.2 для каждой температуры испытаний следует выполнять расчет
KJc(med) в соответствии с методом Advanced Unified Curve по
формуле (12.3), где значение

следует определять по
формуле (12.14), или в соответствии с методом Master Curve по
формуле (12.4), где значение
T0 следует определять по
формуле (12.18). Если при оценке результатов для какой-либо температуры испытаний
KJc(med) меньше

, то все испытания при данной температуре должны быть исключены из рассмотрения.
12.3 Требования к температуре испытаний
12.3.1 В условиях ограниченного количества испытываемых образцов оптимальный выбор температуры испытаний должен преследовать цель обеспечения максимальной доли корректных значений
KJc. Также необходимо обеспечить выполнение условия достижения величиной
KJc(med) значения не менее
. В связи с этим рекомендуется следующий порядок выбора температур испытаний для образцов облучаемых комплектов.
12.3.2 На основании известного значения критической температуры хрупкости
Tк определяют минимальную

и максимальную

температуры испытаний образцов по следующим формулам:

(12.8)

(12.9)
где

- минимальная температура испытаний, °C;

- максимальная температура испытаний, °C;
Tк - критическая температура хрупкости материала, °C;
k1 - коэффициент, k1 = 0,52;
k2 - коэффициент, k2 = 1,44;

- минимальное значение
KJc,

;
B0 - нормирующая толщина образца, B0 = 25 мм;

- разность между температурами
Tк и
T100, °C;

- запас на тип образца, °C.
При расчете

и

в
формулах (12.8) и
(12.9) значение
KJc(lim) следует рассчитывать по
формуле (8.3), значение

допускается принимать равным 38 °C, значение

следует принимать равным 15 °C для образцов типа SE(B) или равным 0 °C для образцов типа CT и DT с толщиной не менее 12,5 мм, а также для образцов типа SE(B) с канавками общей глубиной 0,5·
B.
12.3.3 При невозможности определить значения

и

начальная температура испытаний должна быть назначена, исходя из известных значений
Tк для данного класса и состояния материала.
12.3.4 При известном значении референсной температуры
T0 значения

и

следует определять по
формулам (12.8) и
(12.9), где вместо

следует использовать значение
T0, а значение

следует принимать равным нулю.
12.3.5 При однотемпературных испытаниях в качестве начальной температуры испытаний рекомендуется принимать Tисп, рассчитанную по формуле

(12.10)
Температура Tисп может быть уточнена (в сторону увеличения или уменьшения) в процессе испытаний образцов:
- если первых трех испытанных образцов
KJc меньше

, то температура испытаний должна быть увеличена на величину не менее 20 °C;
- если при испытании очередного образца KJc превышает KJc(lim), то следующие образцы должны быть испытаны при температуре, меньшей выбранной на величину не менее 20 °C.
12.3.6 При многотемпературных испытаниях температуру испытаний
Tисп рекомендуется выбирать из диапазона от

до

.
12.4 Определение параметров температурной зависимости статической трещиностойкости согласно методу Advanced Unified Curve
12.4.1 Для определения параметров
T100 и

полученные на образцах толщиной
B и скорректированные по
8.2.6 значения трещиностойкости

должны быть пересчитаны по
формуле (12.2) в значения

для длины фронта трещины 25 мм.
12.4.2 В случае однотемпературных испытаний параметр

следует определять следующим образом.
12.4.2.1 Параметр масштаба K0 должен быть рассчитан по формуле

(12.11)
12.4.2.2 Значение KJc(med) должно быть рассчитано по формуле
KJc(med) =
Kmin + (
K0 - Kmin)·(ln2)
1/4. (12.12)
12.4.2.3 По известному значению
KJc(med) при температуре
Tисп должно быть рассчитано значение параметра

по формуле

(12.13)
В
формуле (12.13) значения коэффициентов a
1,
a2 и
a3 следует принимать в соответствии с
таблицей 12.1, при этом в качестве температуры
T следует использовать значение температуры испытаний
Tисп.
12.4.3 В случае многотемпературных испытаний параметр

должен определяться посредством решения нелинейного уравнения

(12.14)
где
KJc(j) - значение
KJc, полученное в
j-м эксперименте при температуре
Tj,

;

- параметр, который следует принимать равным 1, если значение
KJc(j) корректно в соответствии с
8.2.6, и равным 0, если данное значение некорректно;
f(Tj) - функция температуры, вид которой определяют по формуле

(12.15)
12.4.4 Значение температуры T100 должно быть рассчитано по формуле

(12.16)
где
T100 - температура, при которой значение
KJc(med)(
T), построенное по методу Advanced Unified Curve, равно

, °C.
Расчет по
формуле (12.16) следует выполнять при значениях коэффициентов, принятых в соответствии с
таблицей 12.1 для температур, ниже или равных 130 °C. Если полученное значение
T100 превышает 130 °C, то должен быть выполнен повторный расчет по
формуле (12.16) при значениях коэффициентов, принятых в соответствии с
таблицей 12.1 для температур выше 130 °C.
12.5 Определение параметра T0 в температурной зависимости статической трещиностойкости согласно методу Master Curve
12.5.1 Для определения параметра
T0 полученные на образцах толщиной
B и скорректированные по
8.2.6 значения трещиностойкости

должны быть пересчитаны по
формуле (12.2) в значения

для длины фронта трещины 25 мм.
12.5.2 В случае однотемпературных испытаний параметр T0 следует определять следующим образом.
12.5.2.3 По известному значению KJc(med) при температуре Tисп вычисляют значение параметра T0 по формуле

(12.17)
12.5.3 В случае многотемпературных испытаний параметр T0 следует определять посредством решения нелинейного уравнения

(12.18)
где
KJc(j) - значение
KJc, полученное в
j-м эксперименте при температуре
Tj,

;

- параметр, который следует принимать равным 1, если значение
KJc(j) корректно в соответствии с
8.2.6, и равным 0, если данное значение некорректно.
13 Расчетная статическая трещиностойкость
13.1 Расчетная статическая трещиностойкость основного металла и металла сварных швов материалов аустенитного класса
13.1.1 Настоящий раздел устанавливает требования к расчетной зависимости для получения консервативных значений статической трещиностойкости для следующих материалов аустенитного класса:
- хромоникелевые аустенитные стали марок 08Х18Н9, 09Х18Н9, 10Х18Н9, 12Х18Н9, 12Х18Н9Т, 12Х18Н9ТЛ (далее - стали типа 18-9);
- хромоникелевые аустенитные стали марок 08Х18Н10, 06Х18Н10Т, 08Х18Н10Т, 12Х18Н10Т, 08Х18Н12Т, 12Х18Н12Т (далее - стали типа 18-10);
- хромо-никель-молибденовая сталь марки 08Х16Н11М3 (далее - сталь типа 16-11);
- металл сварных швов перечисленных аустенитных сталей, при выполнении швов ручной дуговой сваркой электродами марок А-1, А-1Т, А-2, А2-Т, ЭА-400/10У, ЭА-400/10Т, ЭА-898/21Б, аргонодуговой сваркой сварочной проволокой марок Св-04Х19Н11М3, Св-08Х19Н10Г2Б, Св-04Х20Н10Г2Б, Св-04Х17Н10М2, Св-04Х17Н10М2-ВИ и автоматической сваркой проволокой марки Св04Х19Н11М3 под флюсом марок ОФ-6, ОФ-40, ФЦ-17, проволокой марки Св-08Х19Н10М3Б под флюсом марки ОФ-6, проволокой марок Св-08Х19Н10Г2Б, Св-04Х20Н10Г2Б, Св-04Х17Н10М2 под флюсом марок ОФ-6, ОФ-40.
13.1.2 Расчетная зависимость статической трещиностойкости может быть использована для материалов в необлученном состоянии и для материалов, подвергнутых нейтронному облучению повреждающей дозой D до 165 сна в диапазоне температур облучения Tобл от 270 °C до 450 °C. Расчетные зависимости применимы для диапазона температур T от 20 °C до 450 °C для сталей типов 18-9, 16-11 и металла их сварных швов и для диапазона температур T от 20 °C до 400 °C для сталей типа 18-10 и металла их сварных швов, при условии, что температура T ниже температуры облучения Tобл.
13.1.3 Статическую трещиностойкость для температуры T и повреждающей дозы нейтронного обучения D следует рассчитывать по формуле

(13.1)
где
KJc - статическая трещиностойкость, соответствующая величине
Jc,

;
Jc - критическое значение J-интеграла, Н/мм;
T - температура, °C;
E - модуль упругости, МПа;
D - повреждающая доза нейтронного облучения, сна;

- коэффициент Пуассона.
13.1.5 Критическое значение J-интеграла для температуры T и повреждающей дозы нейтронного облучения D рассчитывают по формуле

(13.2)
где CJ - параметр материала, мм;

- напряжение течения, МПа.
Значение параметра CJ следует принимать равным 0,27 мм для основного металла (стали типа 18-9, 18-10, 16-11) и 0,19 мм для металла сварных швов.
При повреждающей дозе нейтронного облучения D свыше 14 сна и температуре эксплуатации ниже 80 °C критическое значение J-интеграла Jc должно приниматься равным 15 Н/мм.
13.1.6 Напряжение течения

в
(13.2) рассчитывают по формуле

(13.3)
где

- предел текучести материала, МПа;

- предел прочности материала, МПа.
13.1.7 Предел текучести и предел прочности для сталей типа 18-9 с повреждающей дозой D при температуре T следует рассчитывать в соответствии со следующей процедурой.
13.1.7.1 Предел текучести материала в необлученном состоянии следует рассчитывать по формуле

(13.4)
где

- предел текучести материала в необлученном состоянии, МПа.
13.1.7.2 Приращение предела текучести материала за счет облучения следует рассчитывать по формуле

(13.5)
где

- приращение предела текучести материала, МПа;

- параметр материала, МПа.
Параметр материала

в
(13.5) следует рассчитывать по формуле

(13.6)
где Tобл - температура облучения, °C.
13.1.7.3 Предел текучести материала в облученном состоянии следует рассчитывать по формуле

(13.7)
13.1.7.4 Предел прочности материала в необлученном состоянии следует рассчитывать по формуле

(13.8)
где

- предел прочности материала в необлученном состоянии, МПа.
13.1.7.5 Приращение предела прочности материала за счет облучения следует рассчитывать по формуле

(13.9)
В
формуле (13.9) температура
T должна быть в диапазоне от 350 °C до 450 °C.
13.1.7.6 Предел прочности материала в облученном состоянии следует рассчитывать по формуле

(13.10)
13.1.8 Предел текучести и предел прочности для сталей типа 18-10 с повреждающей дозой D при температуре T следует рассчитывать в соответствии со следующей процедурой.
13.1.8.1 Предел текучести материала в необлученном состоянии следует рассчитывать по формуле

(13.11)
13.1.8.2 Предел текучести материала в облученном состоянии следует рассчитывать по формуле

(13.12)
где

- приращение предела текучести материала за счет облучения при повреждающих дозах нейтронного облучения менее
Dstab, МПа;
Dstab - повреждающая доза нейтронного облучения, выше которой приращение предела текучести под облучением не зависит от температуры, Dstab равна 7 сна;

- значение предела текучести материала с повреждающей дозой
Dstab при температуре
T, МПа;

- температурно-независимое приращение предела текучести материала за счет облучения, МПа.
Значение предела текучести материала с повреждающей дозой Dstab при температуре T рассчитывают по формуле

(13.13)
Приращение предела текучести материала за счет облучения при повреждающих дозах нейтронного облучения менее Dstab рассчитывают по формуле

(13.14)
где

- температурно-зависимый параметр, МПа.

(13.15)
Температурно-независимое приращение предела текучести материала рассчитывают по формуле

(13.16)
13.1.8.3 Предел прочности материала в необлученном состоянии рассчитывают по формуле

(13.17)
13.1.8.4 Приращение предела прочности материала за счет облучения должно рассчитываться по формуле

(13.18)
13.1.8.5 Предел прочности материала в облученном состоянии рассчитывают по
(13.10).
13.1.9 Предел текучести и предел прочности для стали типа 16-11 с повреждающей дозой D при температуре T рассчитывают в соответствии со следующей процедурой.
13.1.9.1 Предел текучести материала в необлученном состоянии следует рассчитывать по формуле

(13.19)
13.1.9.3 Предел текучести материала в облученном состоянии следует рассчитывать по
формуле (13.7).
13.1.9.4 Предел прочности материала в необлученном состоянии рассчитывают по формуле

(13.20)
В
формуле (13.20) температура
T должна быть в диапазоне от 20 °C до 450 °C.
13.1.10 Предел текучести и предел прочности для металла сварных швов сталей тип 18-9 и 16-11 с повреждающей дозой D при температуре T рассчитывают в соответствии со следующей процедурой.
13.1.10.1 Предел текучести материала в необлученном состоянии следует рассчитывать по формуле

(13.21)
13.1.11 Предел текучести и предел прочности для металла сварных швов сталей типа 18-10 материала с повреждающей дозой D при температуре T рассчитывают в соответствии со следующей процедурой.
13.1.11.1 Предел текучести материала в необлученном состоянии следует рассчитывать по формуле

(13.22)
13.1.11.2 Приращение предела текучести материала за счет облучения следует рассчитывать по формуле

(13.23)
13.1.11.3 Предел текучести материала в облученном состоянии следует рассчитывать по
формуле (13.7).
13.1.11.4 Предел прочности материала в необлученном состоянии следует рассчитывать по формуле

(13.24)
13.1.11.5 Приращение предела прочности материала за счет облучения следует рассчитывать по формуле

(13.25)
13.1.11.6 Предел прочности материала в облученном состоянии следует рассчитывать по
формуле (13.10).
13.2 Расчетная статическая трещиностойкость металла аустенитной антикоррозионной наплавки
13.2.1 Настоящий раздел устанавливает расчетную зависимость для получения консервативных значений статической трещиностойкости для металла антикоррозионной наплавки, выполненной лентой или проволокой марок Св07Х25Н13, Св07Х25Н13А, Св-02Х23Н15, Св-08Х19Н10Г2Б, СВ-04Х20Н10Г2Б, Св-04Х20Н10Г2БА, Св-02Х18Н10Б, а также электродами марок ЗИО-8 и ЭА-898/21Б.
13.2.2 Расчетная зависимость статической трещиностойкости может быть использована для металла антикоррозионной наплавки в необлученном состоянии и для металла антикоррозионной наплавки, подвергнутого нейтронному облучению флюенсом F до 3,0 x 1024 1/м2 (с энергией более 0,5 МэВ) при температуре облучения Tобл от 270 °C до 350 °C, в диапазоне температур испытаний T от 20 °C до 350 °C при условии, что температура T ниже температуры облучения Tобл.
13.2.3 Статическая трещиностойкость для температуры T и флюенса нейтронов F рассчитывают по формуле

(13.26)
где
KJc - статическая трещиностойкость, соответствующая величине
Jc,

;
Jc - критическое значение J-интеграла, Н/мм;
T - температура, °C;
F - флюенс нейтронов (с энергией более 0,5 МэВ), 1/м2;
E - модуль упругости, МПа;

- коэффициент Пуассона.
13.2.5 Критическое значение J-интеграла для температуры T и флюенса нейтронов F следует рассчитывать по формуле

(13.27)
где F0 - нормирующий параметр, F0 = 1022 1/м2;

- предел текучести металла антикоррозионной наплавки, МПа.
13.2.6 Значение предела текучести для металла антикоррозионной наплавки в необлученном состоянии следует рассчитывать по формуле

(13.28)
13.2.7 Значение предела текучести для металла антикоррозионной наплавки в облученном состоянии следует рассчитывать по формуле

(13.29)
13.3 Расчетная статическая трещиностойкость основного металла и металла сварных швов материалов ферритного класса
13.3.1 Настоящий раздел устанавливает расчетную зависимость для получения консервативных значений статической трещиностойкости для следующих материалов ферритного класса:
- углеродистые стали марок Ст3, 10, 15, 20, 20К, 22К, 09Г2С, а также другие стали перлитного класса;
- металл сварных швов этих углеродистых сталей, выполненных ручной дуговой сваркой электродами марок УОНИИ-13/45, УОНИИ-13/45А, УОНИИ-13/55, УОНИИ-13/55АА, аргонодуговой сваркой сварочной проволокой марок Св-08ГС, Св-08Г2С, а также автоматической сваркой проволокой марок Св-08А, Св-08АА под флюсом марок АН-348АМ, АН-42, АН-42М, ФЦ-16, ФЦ-16А, проволокой марки Св-08ГСМТ под флюсом марок АН-42, АН-42М и проволокой марок Св-08ГА, Св-10Г2 под флюсом марок АН-42М, ФЦ-11, ФЦ-16;
- легированные хромо-молибден-ванадиевые стали следующих марок: 15Х2МФА, 15Х2МФА мод. А, 15Х2МФА-А, 15Х2МФА-А мод. А, 15Х2МФА-А мод. Б
<1>, 15Х2НМФА, 15Х2НМФА-А, 15Х2НМФА класс 1, 15Х3НМФА, 15Х3НМФА-А (далее - стали для корпусов реакторов типа ВВЭР);
- металл сварных швов сталей для корпусов реакторов типа ВВЭР, выполненных ручной дуговой сваркой электродами марок Н-3, Н-3АА, Н-23, РТ-45А, РТ-45АА, РТ-45Б электрошлаковой сваркой проволокой марки Св-16Х2НМФТА под флюсом марок ОФ-6 и ФЦ-21, а также автоматической сваркой проволокой марок Св-10ХМФТУ, Св-10ХМФТУА под флюсом марок АН-42М, КФ-30, проволокой марки Св-15ХГМТА под флюсом марки 48АФ-71, проволокой марок Св-12Х2Н2МА, Св-12Х2Н2МАА, Св-12Х2Н2МААВД, Св-12Х2Н2МААВИ под флюсом марок ФЦ-16, ФЦ-16А, проволокой марок Св-09ХГНМТА, Св-09ХГНМТААВИ под флюсом марок НФ-18М, ФЦ-16А;
- легированная сталь марки 10ХСНД;
- металл сварных швов стали марки 10ХСНД, выполненных ручной дуговой сваркой электродами марок УОНИИ-13/45, УОНИИ-13/45А, УОНИИ-13/55, УОНИИ-13/55АА, аргонодуговой сваркой сварочной проволокой марок Св-08ГС, Св-08Г2С, а также автоматической сваркой проволокой марок Св-08А, Св-08АА под флюсом марок АН-348АМ, АН-42, АН-42М;
- легированная сталь марки 10ГН2МФА;
- металл сварных швов стали марки 10ГН2МФА, выполненных ручной дуговой сваркой электродами марок ПТ30, ЦЛ59, аргонодуговой сваркой сварочной проволокой марок Св-10ГН1МА, Св-10ГН1МА-ВИ, а также автоматической сваркой проволокой марок Св-10ГН1МА, Св-10ГН1МА-ВИ под флюсом марок ФЦ-16, ФЦ-16А;
- легированная хромо-молибден-ванадиевая сталь марки 38ХН3МФА для крепежных изделий;
- феррито-мартенситные стали марок 06Х12Н3Д и 07Х12НМФБ
<1> и металл их сварных швов.
--------------------------------
<1> Материал не включен в Сводный перечень документов по стандартизации
[2]. Применимость материалов для изготовления оборудования и трубопроводов регламентируется федеральными
нормами и правилами в области использования атомной энергии
[1].
13.3.2 Расчетная зависимость статической трещиностойкости может быть использована:
- для всех указанных в
13.3.1 материалов в необлученном состоянии в диапазоне температур испытаний
T от 20 °C до 350 °C;
- для указанных в
13.3.1 углеродистых сталей и металла их сварных швов подвергнутых нейтронному облучению флюенсом
F до 1,0 x 10
22 1/м
2 с энергией более 0,5 МэВ при температуре облучения от 50 °C до 100 °C, в диапазоне температур испытаний
T от 20 °C до 100 °C при условии, что температура
T ниже температуры облучения
Tобл;
- для указанных в
13.3.1 сталей для корпусов реакторов типа ВВЭР и металла их сварных швов, подвергнутых нейтронному облучению флюенсом
F с энергией более 0,5 МэВ при температуре облучения от 270 °C до 290 °C; границы применимости расчетных зависимостей статической трещиностойкости по флюенсу нейтронов и температуре следует определять согласно
ГОСТ Р 59115.14.
13.3.3 Значения статической трещиностойкости для материала в заданном состоянии при температуре T рассчитывают по формуле

(13.30)
где

- статическая трещиностойкость материала при вероятности хрупкого разрушения 0,05,

;

- статическая трещиностойкость материала на верхнем шельфе,

.
13.3.4 Значение статической трещиностойкости при вероятности хрупкого разрушения 0,05 и температуре T следует рассчитывать по формуле

(13.31)
где Bp - длина фронта расчетного дефекта (трещины), мм;
B0 - нормирующая толщина образца, B0 = 25 мм;
KJc(med) - медианное (соответствующее вероятности хрупкого разрушения 0,5) значение статической трещиностойкости
KJc,

;
Kmin - минимально возможная статическая трещиностойкость,

.
Если длина фронта расчетного дефекта
Bp превышает 200 мм, то при расчете по
формуле (13.31) следует принимать значение
Bp равным 200 мм.
Медианное значение статической трещиностойкости KJc(med) следует рассчитывать с использованием методов Advanced Unified Curve и Master Curve.
13.3.4.1 При использовании метода Advanced Unified Curve значение
KJc(med) должно рассчитываться по
формуле (12.3). При этом следует использовать значение параметра

, рассчитываемое по формуле

(13.32)
где
T100 - температура, при которой значение
KJc(med), построенное по методу Advanced Unified Curve, равно

, °C.
Значения коэффициентов
a1,
a2 и
a3 следует принимать в соответствии с
таблицей 12.1, при этом в качестве температуры
T следует принимать температуру
T100.
Значение T100 рассчитывают по формуле

(13.33)
где Tк - критическая температура хрупкости материала, °C;

- параметр, разность между температурами
Tк и
T100, °C.
Таблица 13.1
Значения параметра

для указанных в
13.3.1 материалов
Материал |  , °C |
Стали для корпусов реакторов типа ВВЭР и металл их сварных швов | |
Сталь марки 10ГН2МФА и металл ее сварных швов | 38 |
Стали марок 06Х12Н3Д и 07Х12НМФБ <1> и металл их сварных швов | 0 |
Прочие указанные в 13.3.1 материалы | 10 |
--------------------------------
<1> Материал не включен в Сводный перечень документов по стандартизации
[2]. Применимость материалов для изготовления оборудования и трубопроводов регламентируется федеральными
нормами и правилами в области использования атомной энергии
[1].
13.3.4.2 При использовании метода Master Curve значение
KJc(med) следует рассчитывать по
формуле (12.4). При этом следует использовать значение параметра
T0, рассчитываемое по формуле

(13.34)
13.3.4.3 Значение критической температуры хрупкости материала
Tк в
формулах (13.33) и
(13.34) следует рассчитывать по формуле

(13.35)
где Tк0 - критическая температура хрупкости материала в состоянии поставки, °C;

- сдвиг критической температуры хрупкости материала, обусловленный нейтронным облучением, °C;

- сдвиг критической температуры хрупкости материала, обусловленный термическим старением, °C.
Значение критической температуры хрупкости материала в состоянии поставки следует принимать согласно техническим условиям на материал или согласно протоколу сдаточных испытаний/сертификату на материал.
Значение сдвига критической температуры хрупкости материала

для указанных в
13.3.1 углеродистых сталей и металла их сварных швов следует рассчитывать по формуле

(13.36)
где AF - параметр материала, °C;
F - флюенс нейтронов (с энергией более 0,5 МэВ), 1/м2;
F0 - нормирующий параметр, F0 = 1022 1/м2;
m - параметр материала, m = 0,348.

(13.37)
где Ceff - эффективная концентрация примесей в материале, ед.
Ceff = CP + 0,028·CCu, (13.38)
где CP - содержание фосфора в материале, ед.;
CCu - содержание меди в материале, ед.
Значение сдвига критической температуры хрупкости материала

для указанных в
13.3.1 сталей для корпусов реакторов типа ВВЭР и металла их сварных швов следует принимать в соответствии с
ГОСТ Р 59115.14.
Значение сдвига критической температуры хрупкости материала

при температуре эксплуатации свыше 270 °C для указанных в
13.3.1 материалов (кроме стали марок 06Х12Н3Д и 07Х12НМФБ
<1> и металла их сварных швов) следует принимать по
таблице 13.2.
Таблица 13.2
Значения

для указанных в
13.3.1 материалов
Материал |  , °C |
Углеродистые стали и металл их сварных швов | 30 |
Стали для корпусов реакторов типа ВВЭР и металл их сварных швов (кроме сталей марок 15Х3НМФА, 15Х3НМФА-А) | |
Стали для корпусов реакторов типа ВВЭР марок 15Х3НМФА, 15Х3НМФА-А и металл их сварных швов | 20 |
Легированная сталь марки 10ХСНД и металл ее сварных швов | 70 |
Легированная сталь марки 10ГН2МФА и металл ее сварных швов | 10 |
Легированная сталь марки 38ХН3МФА | 35 |
13.3.5 Значение статической трещиностойкости на верхнем шельфе для указанных в
13.3.1 материалов (кроме сталей марок 06Х12Н3Д и 07Х12НМФБ
<1> и металла их сварных швов) при температуре
T и флюенсе нейтронов
F рассчитывают по формуле

(13.39)
где

- критическое значение
J-интеграла на верхнем шельфе, Н/мм.
Для феррито-мартенситных сталей марок 06Х12Н3Д и 07Х12НМФБ
<1> и металла их сварных швов в необлученном состоянии значение статической трещиностойкости на верхнем шельфе

следует принимать:
- равным

для основного металла;
- равным

для металла сварных швов.
--------------------------------
<1> Материал не включен в Сводный перечень документов по стандартизации
[2]. Применимость материалов для изготовления оборудования и трубопроводов регламентируется федеральными
нормами и правилами в области использования атомной энергии
[1].
13.3.7 Критическое значение
J-интеграла на верхнем шельфе при температуре
T и флюенсе нейтронов
F в
(13.39) следует рассчитывать по формуле

(13.40)
где

- критическое значение
J-интеграла для материала в исходном состоянии при температуре 20 °C, Н/мм;

- предел текучести материала при температуре
T и флюенсе нейтронов
F, МПа;

- предел текучести материала при температуре 20 °C и флюенсе нейтронов
F, МПа;
C1 - параметр материала, C1 = 2,4·10-3 1/°C;
D1 - параметр материала, D1 = 0,14.
- 130 Н/мм для углеродистых сталей и металла их сварных швов;
- 175 Н/мм для сталей для корпусов реакторов типа ВВЭР и металла их сварных швов;
- 130 Н/мм легированной стали марки 10ХСНД и металла ее сварных швов;
- 175 Н/мм для легированной стали марки 10ГН2МФА и металла ее сварных швов.
13.3.8 Значение предела текучести материала при температуре T и флюенсе нейтронов F следует рассчитывать по формуле

(13.41)
13.3.9 Значение предела текучести материала при температуре 20 °C и флюенсе нейтронов F следует рассчитывать по формуле

(13.42)
где

- значение предела текучести в необлученном состоянии при температуре 20 °C, МПа.
Значение

следует принимать согласно техническим условиям на материал или согласно протоколу сдаточных испытаний/сертификату на материал. Допускается принимать

по
таблице 13.3 или по
ГОСТ Р 59115.3.
Таблица 13.3
Предел текучести материалов
в необлученном состоянии при 20 °C
Материал |  , МПа |
Стали марок 15Х2МФА, 15Х2МФА-А | 390 |
Сталь марки 15Х2МФА-А мод. А | 430 |
Металл сварных швов сталей типа 15Х2МФА | 390 |
Стали марок 15Х2НМФА, 15Х2НМФА-А | 390 |
Сталь марки 15Х2НМФА класс 1 | 490 |
Металл сварных швов сталей типа 15Х2НМФА | 422 |
Стали марок 15Х3НМФА, 15Х3НМФА-А | 490 |
Металл сварных швов сталей типа 15Х3НМФА | 422 |
Сталь марки Ст3 | 175 |
Сталь марки 22К | 195 |
Сталь марки 09Г2С | 245 |
Металл сварных швов углеродистых сталей | 195 |
Сталь марки 10ГН2МФА | 343 |
Металл сварных швов стали марки 10ГН2МФА | 343 |
Сталь марки 10ХСНД | 314 |
Металл сварных швов стали марки 10ХСНД | 216 |
13.4 Расчетная статическая трещиностойкость титановых сплавов
13.4.1 Настоящий раздел устанавливает расчетные значения статической трещиностойкости для титановых сплавов марок ПТ-3В и ПТ-7М в необлученном состоянии в диапазоне температур испытаний T от 20 °C до 350 °C.
13.4.2 Расчетные консервативные значения статической трещиностойкости в терминах KJc для титановых следует принимать равными:
-

для сплава марки ПТ-3В;
-

для сплава марки ПТ-7М.
13.4.3 Расчетные значения статической трещиностойкости в терминах критического значения J-интеграла Jc для титановых сплавов следует принимать равными:
- 94 Н/мм для сплава марки ПТ-3В;
- 125 Н/мм для сплава марки ПТ-7М.
14 Расчетная циклическая трещиностойкость
14.1 Расчетная циклическая трещиностойкость основного металла и металла сварных швов материалов аустенитного класса
14.1.1 Настоящий раздел устанавливает требования к расчетным зависимостям для получения консервативных значений циклической трещиностойкости в терминах зависимости скорости роста усталостной трещины

от размаха коэффициента интенсивности напряжений

для следующих материалов аустенитного класса:
- хромоникелевые аустенитные стали марок 08Х18Н9, 09Х18Н9, 10Х18Н9, 12Х18Н9, 12Х18Н9Т, 12Х18Н9ТЛ (стали типа 18-9);
- хромоникелевые аустенитные стали марок 08Х18Н10, 06Х18Н10Т, 08Х18Н10Т, 12Х18Н10Т, 08Х18Н12Т, 12Х18Н12Т (стали типа 18-10);
- хромо-никель-молибденовая сталь марки 08Х16Н11М3 (сталь типа 16-11);
- металл сварных швов перечисленных аустенитных сталей, при выполнении швов ручной дуговой сваркой электродами марок ЭА-400/10У, ЭА-400/10Т, ЭА-898/21Б, аргонодуговой сваркой сварочной проволокой марок Св-04Х19Н11М3, Св-08Х19Н10Г2Б, Св-04Х20Н10Г2Б и автоматической сваркой проволокой марки Св-04Х19Н11М3 под флюсом марок ОФ-6, ОФ-40, ФЦ-17, проволокой марки Св-08Х19Н10М3Б под флюсом марки ОФ-6, проволокой марок Св-08Х19Н10Г2Б, Св-04Х20Н10Г2Б под флюсом марок ОФ-6, ОФ-40.
14.1.2 Расчетные зависимости трещиностойкости могут быть использованы для материалов в необлученном состоянии и для материалов, подвергнутых нейтронному облучению повреждающей дозой D до 165 сна в диапазоне температур облучения Tобл от 270 °C до 450 °C. Расчетные зависимости применимы для диапазона температур испытаний T от 20 °C до 550 °C при условии, что температура T ниже температуры облучения Tобл.
14.1.3 Циклическую трещиностойкость (скорость роста усталостной трещины) для сталей типов 18-9, 18-10, 16-11 и металла их сварных швов без контакта с водной средой теплоносителя первого контура реакторов типа ВВЭР (на воздухе для всех перечисленных материалов и в среде жидкого натрия РУ БН для сталей типов 18-9, 16-11 и металла их сварных швов) следует рассчитывать по формуле

(14.1)
где

- циклическая трещиностойкость, мм/цикл;

- размах КИН,

;
R - коэффициент асимметрии цикла нагружения, отн. ед.;
Cf - коэффициент уравнения Пэриса;
nf - коэффициент уравнения Пэриса;

- пороговый размах КИН,
.

(14.2)
где

- максимальный КИН в цикле,

;

- минимальный КИН в цикле,

.
При значениях

меньше 0, в
формуле (14.2) следует принимать, что

равен 0.
Коэффициент асимметрии цикла нагружения
R в
формуле (14.1) следует рассчитывать по формуле

(14.3)
Коэффициент
Cf в
формуле (14.1) следует рассчитывать следующим образом:
- для сталей типов 18-9, 18-10 и 16-11 при повреждающей дозе нейтронного облучения до 14 сна

(14.4)
- для сталей типов 18-9, 18-10 и 16-11 при повреждающей дозе нейтронного облучения 14 сна и более

(14.5)
- для металла сварных швов при повреждающей дозе нейтронного облучения до 4 сна

(14.6)
- для металла сварных швов при повреждающей дозе нейтронного облучения 4 сна и более

(14.7)
Пороговый размах коэффициента интенсивности напряжений в
формуле (14.1) следует рассчитывать по следующим формулам:
- для сталей типов 18-9 и 16-11 и металла их сварных швов

(14.8)
где

- параметр материала, равный величине

при
R, равном 0;
- для сталей типа 18-10 и металла их сварных швов

(14.9)

(14.10)
где Gz - балл зерна, который следует определять на основе технических условий, указанных в конструкторской документации.
Формула (14.9) применима для значений
Gz в диапазоне от 4 до 8; при значениях
Gz менее 4 расчет по
формуле (14.10) следует проводить при значении
Gz равном 4. Если балл зерна в конструкторской документации не указан, то следует принимать
Gz равным 8.
Параметр

в
формулах (14.8) и
(14.9) для металла сварных швов сталей типов 18-9, 18-10 и 16-11 следует определять по формуле

(14.11)
14.1.4 Циклическую трещиностойкость (скорость роста усталостной трещины) для сталей типа 18-10 и металла их сварных швов в водной среде теплоносителя первого контура реакторов типа ВВЭР следует рассчитывать по формуле

(14.12)
где

- коэффициент увеличения скорости роста усталостной трещины под влиянием среды теплоносителя первого контура ВВЭР, ед.
В
формуле (14.12) циклическую трещиностойкость без контакта с водной средой теплоносителя первого контура реакторов типа ВВЭР следует рассчитывать по
формуле (14.1).

(14.13)
где tr - время подъема нагрузки в цикле, час.
При
tr свыше 1/6 часа, значение
tr в
формуле (14.13) следует принимать равным 1/6 часа. Если рассчитанное по
формуле (14.13) значение

превышает 7,7, то значение

следует принимать равным 7,7.
14.1.5 Циклическую трещиностойкость (скорость роста усталостной трещины) для сталей типов 18-9, 16-11 и металла их сварных швов с учетом термического старения при температурах эксплуатации РУ БН следует рассчитывать по формуле

(14.14)
где

- коэффициент увеличения скорости роста усталостной трещины за счет старения материала, ед.
- для сталей типа 18-9 и металла их сварных швов

(14.15)
где PHoll - параметр Холломона, ед.;
- для стали типа 16-11 и металла ее сварных швов

(14.16)
PHoll =(Tстар + 273)·(5,15 + lg(tстар)), (14.17)
где Tстар - температура, при которой происходит старение материала, °C;
tстар - время, в течение которого происходит старение материала, час.
14.2 Расчетная циклическая трещиностойкость металла антикоррозионной наплавки
14.2.1 Настоящий раздел устанавливает расчетные зависимости для получения консервативных значений циклической трещиностойкости в терминах зависимости скорости роста усталостной трещины

от размаха коэффициента интенсивности напряжений

для металла антикоррозионной наплавки, выполненной лентой или проволокой марок Св-07Х25Н13, Св-07Х25Н13А, Св-02Х23Н15, Св-08Х19Н10Г2Б, Св-04Х20Н10Г2Б, Св-04Х20Н10Г2БА, Св-02Х18Н10Б, а также электродами марок ЗИО8 и ЭА898/21Б.
14.2.2 Расчетные зависимости трещиностойкости могут быть использованы для металла антикоррозионной наплавки в необлученном состоянии и для металла антикоррозионной наплавки, подвергнутого нейтронному облучению флюенсом нейтронов F до 3,0 x 1024 1/м2 (с энергией более 0,5 МэВ) при температуре облучения Tобл от 270 °C до 350 °C, в диапазоне температур испытаний T от 20 °C до 350 °C при условии, что температура T ниже температуры облучения Tобл.
14.2.3 Циклическую трещиностойкость (скорость роста усталостной трещины) для металла антикоррозионной наплавки без контакта с водной средой теплоносителя первого контура реакторов типа ВВЭР (на воздухе) следует рассчитывать по
формуле (14.1). При этом размах коэффициента интенсивности напряжений должен рассчитываться по
формуле (14.2), коэффициент асимметрии цикла нагружения должен рассчитываться по
формуле (14.3), коэффициент
Cf следует принимать равным 5,20 x 10
-9, коэффициент
nf следует принимать равным 3,3.
14.2.4 Циклическую трещиностойкость (скорость роста усталостной трещины) для металла антикоррозионной наплавки в водной среде теплоносителя первого контура реакторов типа ВВЭР следует рассчитывать по
формуле (14.11), при этом коэффициент увеличения скорости роста усталостной трещины под влиянием среды теплоносителя первого контура ВВЭР

следует принимать равным 3,0.
14.3 Расчетная циклическая трещиностойкость основного металла и металла сварных швов материалов ферритного класса
14.3.1 Настоящий раздел устанавливает расчетные зависимости для получения консервативных значений циклической трещиностойкости в терминах зависимости скорости роста усталостной трещины

от размаха коэффициента интенсивности напряжений

для следующих материалов ферритного класса:
- углеродистые стали марок Ст3, 10, 15, 20, 20К, 22К, 09Г2С;
- металл сварных швов этих углеродистых сталей, выполненных ручной дуговой сваркой электродами марок УОНИИ-13/45, УОНИИ-13/45А, УОНИИ-13/55, УОНИИ-13/55АА, аргонодуговой сваркой сварочной проволокой марок Св-08ГС, Св-08Г2С, а также автоматической сваркой проволокой марок Св-08А, Св-08АА под флюсом марок АН-348АМ, АН-42, АН-42М, ФЦ-16, ФЦ-16А, проволокой марки Св-08ГСМТ под флюсом марок АН-42, АН-42М и проволокой марок Св-08ГА, Св-10Г2 под флюсом марок АН-42М, ФЦ-11, ФЦ-16;
- легированные хромо-молибден-ванадиевые стали следующих марок: 15Х2МФА, 15Х2МФА мод. А, 15Х2МФА-А, 15Х2МФА-А мод. А, 15Х2МФА-А мод. Б
<1>, 15Х2НМФА, 15Х2НМФА-А, 15Х2НМФА класс 1, 15Х3НМФА, 15Х3НМФА-А (стали для корпусов реакторов типа ВВЭР);
- металл сварных швов сталей для корпусов реакторов типа ВВЭР, выполненных ручной дуговой сваркой электродами марок Н-3, Н-3АА, Н-23, РТ-45А, РТ-45АА, РТ-45Б электрошлаковой сваркой проволокой марки Св-16Х2НМФТА под флюсом марок ОФ-6 и ФЦ-21, а также автоматической сваркой проволокой марок Св-10ХМФТУ, Св-10ХМФТУ-А под флюсом марок АН-42М, КФ-30, проволокой марки Св-15ХГМТА под флюсом марки 48АФ-71, проволокой марок Св-12Х2Н2МА, Св-12Х2Н2МАА, Св-12Х2Н2МАА-ВД, Св-12Х2Н2МАА-ВИ под флюсом марок ФЦ-16, ФЦ-16А, проволокой марок Св-09ХГНМТА, Св-09ХГНМТАА-ВИ под флюсом марок НФ-18М, ФЦ-16А;
- легированная сталь марки 10ГН2МФА;
- металл сварных швов стали марки 10ГН2МФА, выполненных ручной дуговой сваркой электродами марок ПТ-30, ЦЛ-59, аргонодуговой сваркой сварочной проволокой марок Св-10ГН1МА, Св-10ГН1МА-ВИ, а также автоматической сваркой проволокой марок Св-10ГН1МА, Св-10ГН1МА-ВИ под флюсом марок ФЦ-16, ФЦ-16А;
- феррито-мартенситные стали марок 06Х12Н3Д и 07Х12НМФБ
<1>.
14.3.2 Расчетные зависимости трещиностойкости могут быть использованы для всех указанных в
14.3.1 материалов в необлученном состоянии, а также для указанных в
14.3.1 сталей для корпусов реакторов типа ВВЭР и металла их сварных швов, подвергнутых облучению флюенсом нейтронов
F с энергией более 0,5 МэВ при температуре облучения
Tобл от 270 °C до 290 °C, в диапазоне температур испытаний
T от 20 °C до 350 °C. Для облученных материалов границы применимости расчетных зависимостей по флюенсу нейтронов должны определяться согласно
ГОСТ Р 59115.14.
14.3.3 Циклическую трещиностойкость (скорость роста усталостной трещины) для материалов ферритного класса без контакта с водной средой теплоносителя первого контура реакторов типа ВВЭР (на воздухе) следует рассчитывать по
формуле (14.1). При этом размах коэффициента интенсивности напряжений следует рассчитывать по
формуле (14.2), коэффициент асимметрии цикла нагружения следует рассчитывать по
формуле (14.3), значения коэффициентов
Cf и
nf следует принимать по
таблице 14.1.
Таблица 14.1
Значения коэффициентов
Cf и
nf уравнения Пэриса
для материалов ферритного класса
Материал | Cf | nf |
Стали для корпусов реакторов типа ВВЭР и металл их сварных швов | 2,80·10-8 | 2,7 |
Углеродистые стали и металл их сварных швов | 1,50·10-8 | 3,1 |
Легированная сталь марки 10ГН2МФА и металл ее сварных швов | 2,80·10-8 | 2,7 |
Феррито-мартенситные стали марок 06Х12Н3Д и 07Х12НМФБ <1> | 1,09·10-7 | 2,9 |
--------------------------------
<1> Материал не включен в Сводный перечень документов по стандартизации
[2]. Применимость материалов для изготовления оборудования и трубопроводов регламентируется федеральными
нормами и правилами в области использования атомной энергии
[1].
14.3.4 Пороговый размах коэффициента интенсивности напряжений в
формуле (14.1) рассчитывают по следующим формулам:
- для углеродистых сталей, сталей для корпусов реакторов типа ВВЭР и металла их сварных швов

(14.18)
- для сталей марок 06Х12Н3Д и 07Х12НМФБ
<1>

(14.19)
14.3.5 Параметр

для углеродистых сталей и металла их сварных швов в
формуле (14.18) следует принимать равным

. Для сталей марок 06Х12Н3Д и 07Х12НМФБ
<1> параметр

следует рассчитывать по формуле

(14.20)
--------------------------------
<1> Материал не включен в Сводный перечень документов по стандартизации
[2]. Применимость материалов для изготовления оборудования и трубопроводов регламентируется федеральными
нормами и правилами в области использования атомной энергии
[1].
14.3.6 Циклическую трещиностойкость (скорость роста усталостной трещины) для сталей для корпусов реакторов типа ВВЭР и металла их сварных швов, а также для легированной стали марки 10ГН2МФА и металла ее сварных швов в водной среде теплоносителя первого контура реакторов типа ВВЭР следует рассчитывать по формуле

(14.21)
15 Расчетная трещиностойкость при ползучести
15.1 Расчетная трещиностойкость при ползучести основного металла и металла сварных швов материалов аустенитного класса
15.1.1 Настоящий раздел устанавливает расчетную зависимость для получения консервативных значений трещиностойкости в условиях длительного статического нагружения в терминах зависимости скорости роста трещины

от величины
C*-интеграла для следующих материалов аустенитного класса:
- хромоникелевые аустенитные стали марок 08Х18Н9, 09Х18Н9, 10Х18Н9, 12Х18Н9, 12Х18Н9Т, 12Х18Н9ТЛ (стали типа 18-9);
- хромо-никель-молибденовая сталь марки 08Х16Н11М3 (сталь типа 16-11);
- металл сварных швов этих аустенитных сталей, выполненных ручной дуговой сваркой электродами марок А1, А1Т, А2, А2Т, аргонодуговой сваркой сварочной проволокой марок Св-04Х17Н10М2, Св-04Х17Н10М2-ВИ и автоматической сваркой проволокой марки Св-04Х17Н10М2 под флюсом марок ОФ-6, ОФ-40.
15.1.2 Расчетные зависимости трещиностойкости могут быть использованы для материалов в необлученном состоянии в диапазоне температур от 450 °C до 600 °C.
15.1.3 Скорость роста трещины при ползучести следует рассчитывать по формуле

(15.1)
где
- скорость роста трещины при ползучести, мм/час;
Ar - параметр материала,

;
C* - C*-интеграл, МПа мм/час;
nr - параметр материала, ед.
Параметр
Ar следует принимать равным

, параметр
nr следует принимать равным 0,81.
Величину
C*-интеграла в
формуле (15.1) допускается рассчитывать по
формуле (11.12). При этом референсное напряжение

допускается рассчитывать по
формуле (11.10), а скорость деформации ползучести при напряжении

должна рассчитываться по формуле

(15.2)
где ac - параметр уравнения установившейся ползучести, час-1;
nc - параметр уравнения установившейся ползучести;

- нормирующий коэффициент,

.
Для сталей типов 18-9, 16-11 и металла их сварных швов значения параметров
ac и
nc допускается принимать по
таблице 15.1.
Таблица 15.1
Значения параметров уравнения установившейся ползучести
для сталей типа 18-9, 16-11 и металла их сварных швов
Температура, °C | Стали типа 18-9 и металл их сварных швов | Сталь типа 16-11 и металл их сварных швов |
ac, час-1 | nc | ac, час-1 | nc |
500 | 6,26·10-11 | 13,5 | 1,86·10-11 | 13,8 |
550 | 4,40·10-8 | 10,2 | 6,17·10-10 | 12,5 |
600 | 2,70·10-6 | 8,2 | 8,70·10-8 | 11,2 |
15.1.4 При расчете скорости роста трещины при ползучести в диапазоне температур от 450 °C до 500 °C следует использовать значения параметров
ac и
nc для температуры 500 °C. Скорость деформации ползучести при температуре
Tx в диапазоне от 500 °C до 600 °C, отличной от указанных в
таблице 15.1, следует определять по формуле

(15.3)
где

- скорость деформации ползучести при температуре
Tx, час
-1;

- скорость деформации ползучести при температуре
T1, час
-1;

- скорость деформации ползучести при температуре
T2, час
-1;
Tx, T1, T2 - температуры, °C.
15.2 Расчетная трещиностойкость при ползучести сталей марок 06Х12Н3Д и 07Х12НМФБ и металла их сварных швов
15.2.1 Скорость роста трещины при ползучести в диапазоне температур от 450 °C до 600 °C для феррито-мартенситных сталей марок 06Х12Н3Д и 07Х12НМФБ
<1> и металла их сварных швов в необлученном состоянии следует рассчитывать по
формуле (15.1), при этом параметр
Ar следует принимать равным

, параметр
nr следует принимать равным 0,9; значения параметров
ac и
nc следует принимать по
таблице 15.2.
Таблица 15.2
Значения параметров уравнения установившейся ползучести
для сталей марок 06Х12Н3Д и 07Х12НМФБ
<1> и металла
их сварных швов
--------------------------------
<1> Материал не включен в Сводный перечень документов по стандартизации
[2]. Применимость материалов для изготовления оборудования и трубопроводов регламентируется федеральными
нормами и правилами в области использования атомной энергии
[1].
Температура, °C | ac, час-1 | nc |
450 | 2,30·10-17 | 15,2 |
500 | 9,90·10-13 | 12,4 |
550 | 5,26·10-9 | 9,95 |
600 | 1,04·10-6 | 7,68 |
15.2.2 При расчете скорости роста трещины при ползучести при температуре
Tx в диапазоне от 450 °C до 600 °C, отличной от указанных в
таблице 15.2, скорость деформации ползучести следует определять по
формуле (15.3).
(обязательное)
ТИПОРАЗМЕР И РАСЧЕТНЫЕ ЗАВИСИМОСТИ ДЛЯ ПРЯМОУГОЛЬНЫХ
КОМПАКТНЫХ ОБРАЗЦОВ С КРАЕВОЙ ТРЕЩИНОЙ
А.1 Типоразмеры образца
А.1.1 Образец типа CT представляет собой пластину с боковым инициирующим надрезом и предварительно наведенной усталостной трещиной, нагружаемую внецентренным растяжением. На
рисунке А.1 показаны рекомендуемые варианты геометрии образца типа CT и соотношения его размеров.
а)
Примечание - B = (0,5·W +/- 0,1) мм; BN = (0,8·B +/- 0,05·B) мм; H = (0,6·W +/- 0,01·W) мм; d = (0,25·W + 0,1) мм; d1 = max(0,125·W; 5) мм; hn = (0,45·W - 1,5) мм; G1 = (max(Nn; 4) +/- 0,1) мм; G2 = max(0,26·W; 7) мм; G3 = (2,0 +/- 0,1) мм; L1 = (0,7·W +/- 0,1) мм; L2 = (0,55·W +/- 0,1) мм; Nn = max(0,06·W; 1) мм.
Рисунок А.1 - Прямоугольный компактный образец типа CT
для установки средства измерений перемещений по линии
действия силы а) и на торце образца б)
А.1.2 Допускается варьировать соотношение размеров W/B образца типа CT в диапазоне от 2 до 4 без изменения других соотношений размеров образца.
А.2 Нагрузка для наведения предварительной усталостной трещины
А.2.1 Общие требования к наведению предварительной усталостной трещины в образце типа CT приведены в
6.4.5. Предельно допустимую нагрузку на образец
Pm следует определять по формуле

(А.1)
где Pm - предельно допустимая нагрузка на образец, Н;
BN - нетто-толщина образца, мм;
a0 - длина исходной трещины, мм;
W - ширина образца, мм;

- предел текучести материала, МПа.
А.3 Расчетные зависимости
А.3.1 Если средство измерений перемещений устанавливают не по линии действия силы (на призматических выступах, как для образца на
рисунке А.1 б), либо с использованием накладных опорных призм), то измеряемые перемещения должны быть пересчитаны на линию действия силы по формуле

(А.2)
где v - перемещение по линии действия силы, мм;
vz - измеряемое перемещение, мм;
z - расстояние от линии действия силы до плоскости измерения перемещений, мм.
А.3.2 Коэффициент интенсивности напряжений для образца типа CT, соответствующий нагрузке Pi и длине трещины ai, следует определять по формуле

(А.3)
где
Ki - коэффициент интенсивности напряжений,

;
B - толщина образца, мм;

(А.4)

(А.5)
А.3.3 Величину J-интеграла следует определять по формуле
где J - J-интеграл, Н/мм;
Je - упругая компонента J-интеграла, Н/мм;
Jpl - пластическая компонента J-интеграла, Н/мм.
А.3.4 При определении трещиностойкости по критерию старта нестабильно развивающейся трещины компоненты
J-интеграла следует определять по следующей процедуре.
А.3.4.1 Упругую компоненту J-интеграла следует рассчитывать по формуле

(А.7)
где

- КИН для исходной трещины длиной
a0,

;
E - модуль упругости материала, МПа;

- коэффициент Пуассона.
Величину

следует рассчитывать по
формуле (А.3) при значении длины трещины
ai, равном
a0.
А.3.4.2 Пластическую компоненту J-интеграла следует рассчитывать по формуле

(А.8)
где Apl - пластическая часть работы разрушения, Н·мм;

- параметр, зависящий от типа образца.
Величину пластической части работы разрушения следует определять как площадь под кривой "нагрузка-перемещение по линии действия силы", как это показано на
рисунке А.2 а).
Рисунок А.2 - Определение пластической части работы
разрушения при определении трещиностойкости по критерию
старта нестабильно развивающейся трещины а) и при стабильном
развитии трещины б)
Параметр

следует рассчитывать по формуле

(А.9)
А.3.5 При определении трещиностойкости при стабильном развитии трещины компоненты
J-интеграла, соответствующие нагрузке
Pi, перемещению по линии действия силы
vi и длине трещины
ai, следует определять по следующей процедуре.
А.3.5.1 Упругая компонента J-интеграла должна рассчитываться по формуле

(А.10)
где
Ki - КИН для трещины длиной
ai,

.
А.3.5.2 Пластическую компоненту J-интеграла следует рассчитывать по формуле

(А.11)
где

- приращение пластической части работы разрушения, Н·мм;

(А.12)

(А.13)
Приращение пластической части работы разрушения следует определять как приращение площади под кривой "нагрузка-перемещение по линии действия силы", показанное на
рисунке А.2 б), между линиями, соответствующими пластической части перемещений по линии действия силы

и
.
Величину

следует рассчитывать по формуле

(А.14)
где

- пластическая часть перемещения по линии действия силы, мм.
Величину

следует рассчитывать по формуле

(А.15)
где Ci - податливость образца, соответствующая длине трещины ai, мм/Н.
А.3.5.3 Податливость образца при использовании метода упругой податливости следует определять в цикле частичной разгрузки/нагрузки при измерении перемещений по линии действия силы по формуле

(А.16)
где

- диапазон перемещений в цикле частичной разгрузки/нагрузки, мм;
- диапазон нагрузок в цикле частичной разгрузки/нагрузки, Н.
А.3.5.4 Если в ходе эксперимента податливость образца не определяется, но каким-либо образом выполняется измерение длины трещины, то величина податливости, соответствующая длине трещины ai, может быть рассчитана по формуле

(А.17)
где Be - эффективная толщина образца, мм.
Эффективную толщину образца в
формуле (А.17) следует определять по формуле

(А.18)
При расчете податливости по
формуле (А.17), полученные значения должны быть откорректированы с учетом экспериментально определенной исходной упругой податливости образца для исключения погрешностей, вносимых податливостью тяг и захватов испытательной машины.
А.3.6 При использовании метода упругой податливости длину трещины следует определять следующим образом.
А.3.6.1 Длина трещины ai должна быть рассчитана по формуле

(А.19)
где ui - параметр, который рассчитывают по формуле

(А.20)
А.3.6.2 Полученное значение длины трещины ai должно быть использовано для расчета радиуса поворота центральной линии трещины
Ri = 0,5·(
W +
ai), (А.21)
где Ri - радиус поворота центральной линии трещины длиной ai, мм.
А.3.6.3 Податливость образца
Ci должна быть скорректирована с учетом поворота центральной линии трещины (см.
рисунок А.3).
1 - положение центра отверстия под нагружающий палец
перед началом нагружения образца; 2 - положение центра
отверстия под нагружающий палец при нагружении образца
нагрузкой Pi
Рисунок А.3 - Корректировка упругой податливости
на разворот образца
Скорректированная податливость Cc должна быть рассчитана по формуле

(А.22)
где

- скорректированная податливость в
i-м цикле частичной разгрузки/нагрузки, мм/Н;
L - расстояние между отверстиями под пальцы (
L1 или
L2 на
рисунке А.1), мм;
G1 - исходное расстояние между точками измерения перемещений, мм;

- угол поворота части образца относительно центральной линии ненагруженного образца в начале
i-го цикла частичной разгрузки/нагрузки, град.
Величина угла

должна быть рассчитана по формуле

(А.23)
где vi - перемещение по линии действия силы в начале i-го цикла частичной разгрузки/нагрузки, мм.
А.3.6.4 Полученное значение скорректированной податливости должно быть использовано для расчета параметра
ui по
формуле (А.20), которое затем используют для расчета скорректированной длины трещины по
формуле (А.19).
А.3.7 При использовании метода упругой податливости и выполнении условия
9.2.1.4 допускается определять длину трещины следующим образом.
А.3.7.1 По
формуле (А.16) рассчитывают податливость образца
C0, соответствующую начальному линейному участку на диаграмме "нагрузка-перемещение" и податливость образца
Cp, соответствующую линейному участку последней разгрузки на диаграмме "нагрузка-перемещение".
А.3.7.2 По
формуле (А.17) рассчитывают податливость образца
C(
a0) с использованием измеренного значения длины исходной трещины
a0 и податливость образца
C(
ap) с использованием измеренного значения длины конечной трещины
ap.
А.3.7.3 Длину трещины ai рассчитывают путем численного решения относительно ai уравнения

(А.24)
где
Ci - податливость образца, которую определяют по
формуле (А.16) для
i-го цикла частичной разгрузки/нагрузки, мм/Н.
C(
ai) - податливость образца, которую рассчитывают по
формуле (А.17) для трещины длиной
ai, мм/Н.
(обязательное)
ТИПОРАЗМЕР И РАСЧЕТНЫЕ ЗАВИСИМОСТИ ДЛЯ ПЛОСКИХ ПРЯМОУГОЛЬНЫХ
ОБРАЗЦОВ С КРАЕВОЙ ТРЕЩИНОЙ
Б.1 Типоразмер образца
Б.1.1 Образец типа SE(B) представляет собой балку с боковым инициирующим надрезом и предварительно наведенной усталостной трещиной, нагружаемую трехточечным изгибом, при котором пролет S (расстояние между опорными роликами) определяют по формуле
S = 4W, (Б.1)
где S - пролет образца (расстояние между опорными роликами), мм;
W - ширина образца, мм.
На
рисунке Б.1 показана рекомендуемая геометрия образца типа SE(B) и соотношения его размеров.
B = ((0,5 ... 1,0)·W +/- 0,1) мм; BN = (0,8·B +/- 0,05·B) мм;
hn = (0,45·W - 1,5) мм; G1 = (4,0 ... 6,0) мм;
G2 = (0,1·W +/- 0,1) мм
Рисунок Б.1 - Плоский прямоугольный образец типа SE(B)
Б.1.2 Допускается варьировать соотношение размеров W/B образа типа SE(B) в диапазоне от 1 до 4, при этом соотношение S/W должно оставаться равным 4.
Б.2 Нагрузка для наведения предварительной усталостной трещины
Б.2.1 Общие требования к наведению предварительной усталостной трещины в образце типа SE(B) приведены в
6.4.5. Предельно допустимая нагрузка на образец
Pm должна быть определена по формуле

(Б.2)
где Pm - предельно допустимая нагрузка на образец, Н;
BN - нетто-толщина образца, мм;
a0 - длина исходной трещины, мм;

- предел текучести материала, МПа.
Б.3 Расчетные зависимости
Б.3.1 Коэффициент интенсивности напряжений для образца типа SE(B), соответствующий нагрузке Pi и длине трещины ai, следует определять по формуле

(Б.3)
где kSG - коэффициент поправки на глубину боковых канавок;

(Б.4)

(Б.5)
Значение коэффициента kSG следует рассчитывать по формуле

(Б.6)
Б.3.2 Величина
J-интеграла должна определяться по
формуле (А.6) приложения А.
Б.3.3 При определении трещиностойкости по критерию старта нестабильно развивающейся трещины компоненты
J-интеграла следует определять по следующей процедуре.
Б.3.3.1 Упругую компоненту
J-интеграла следует рассчитывать по
формуле (А.7) приложения А, при этом в качестве

должно быть использовано значение, рассчитанное по
формуле (Б.3) при
ai, равном
a0.
Б.3.3.2 Пластическую компонента
J-интеграла следует рассчитывать по
формуле (А.8) приложения А, при этом параметр

при измерении перемещений по линии действия силы следует принимать равным 1,9, а при измерении перемещений на торце образца следует рассчитывать по формуле

(Б.7)
Б.3.4 При определении трещиностойкости при стабильном развитии трещины компоненты
J-интеграла, соответствующие нагрузке
Pi, перемещению по линии действия силы
vi и длине трещины
ai, следует определять по следующей процедуре.
Б.3.4.1 Упругую компоненту
J-интеграла следует рассчитывать по
формуле (А.10) приложения А, при этом величину
Ki следует рассчитывать по
формуле (Б.3).
Б.3.4.2 Пластическую компоненту
J-интеграла следует рассчитывать по
формуле (А.11) приложения А, при этом при измерении перемещений по линии действия силы параметр

следует принимать равным 1,9, а параметр

следует принимать равным 0,9; при измерении перемещений на торце образца параметры

и

следует рассчитывать по формулам:

(Б.8)

(Б.9)
Б.3.4.3 Податливость образца при использовании метода упругой податливости следует определять в цикле частичной разгрузки/нагрузки при измерении перемещений по линии действия силы или на торце образца по
формуле (А.16) приложения А.
Б.3.4.4 Если в ходе эксперимента податливость образца не определена, но каким-либо образом выполнено измерение длины трещины, то при измерении перемещений по линии действия силы величина податливости, соответствующая длине трещины ai, может быть рассчитана по формуле

(Б.10)
либо, при измерении перемещений на торце образца, по формуле

(Б.11)
где Be - эффективная толщина образца, мм.
При расчете податливости по
формулам (Б.10) и
(Б.11) полученные значения должны быть откорректированы с учетом экспериментально определенной исходной упругой податливости образца для исключения погрешностей, вносимых податливостью тяг и захватов испытательной машины.
Б.3.5 При измерении перемещений на торце образца и применении метода упругой податливости длину трещины
ai следует рассчитывать по формуле

(Б.12)
где ui - параметр, который рассчитывается по формуле

(Б.13)
Примечание - Длину трещины на образцах типа SE(B), как правило, определяют с использованием упругой податливости, полученной при измерении перемещений на торце образца. Допускается определять длину трещины с использованием упругой податливости, полученной при измерении перемещений по линии действия силы, при наличии верифицированных зависимостей, связывающих длину трещины и податливость.
Б.3.6 При использовании метода упругой податливости и выполнении условия
9.2.1.4 допускается определять длину трещины в соответствии с
А.3.7, где податливость образца
C(
a0) для измеренного значения длины исходной трещины
a0, податливость образца
C(
ap) для измеренного значения длины конечной трещины
ap и податливость образца
C(
ai) для трещины длиной
ai рассчитывают по
формуле (Б.10).
(обязательное)
ТИПОРАЗМЕР И РАСЧЕТНЫЕ ЗАВИСИМОСТИ ДЛЯ ДИСКОВЫХ КОМПАКТНЫХ
ОБРАЗЦОВ С КРАЕВОЙ ТРЕЩИНОЙ
В.1 Типоразмер образца
В.1.1 Образец типа DT представляет собой диск с боковым инициирующим надрезом и предварительно наведенной усталостной трещиной, нагружаемый внецентренным растяжением. На
рисунке В.1 показана рекомендуемая геометрия образца типа DT и соотношения его размеров.
B = (0,54·W +/- 0,1) мм; BN = (0,8·B +/- 0,05·B) мм;
DDT = (1,35·W + 0,01·W) мм; d = (0,25·W + 0,1) мм;
d1 = max(0,125·W, 5) мм; hn = (0,45·W - 1,5) мм;
G1 = (max(Nn, 4) +/- 0,1) мм; L = (0,55·W +/- 0,1) мм;
Nn = max(0,06·W, 1) мм
Рисунок В.1 - Дисковый компактный образец типа DT
В.1.2 Допускается варьировать соотношение размеров W/B образца типа DT в диапазоне от 2 до 4 без изменения других соотношений размеров образца.
В.2 Нагрузка для наведения предварительной усталостной трещины
В.2.1 Общие требования к наведению предварительной усталостной трещины в образце типа DT приведены в
разделе 6.4.5. Предельно допустимую нагрузку на образец
Pm следует определять по формуле

(В.1)
где BN - нетто-толщина образца, мм;
W - ширина образца, мм;
a0 - длина исходной трещины, мм;

- предел текучести материала, МПа.
В.3 Расчетные зависимости
В.3.1 Коэффициент интенсивности напряжений для образца типа DT, соответствующий нагрузке Pi и длине трещины ai, определяют по формуле

(В.2)
где
Ki - коэффициент интенсивности напряжений,

;
B - толщина образца, мм;

(В.3)

(В.4)
В.3.2 Величину
J-интеграла следует определять по
формуле (А.6) приложения А.
В.3.3 При определении трещиностойкости по критерию старта нестабильно развивающейся трещины компоненты
J-интеграла определяют по следующей процедуре.
В.3.3.1 Упругую компоненту
J-интеграла следует рассчитывать по
формуле (А.7) приложения А, при этом в качестве

должно быть использовано значение, рассчитанное по
формуле (В.2) при
ai равном
a0.
В.3.3.2 Пластическую компоненту
J-интеграла следует рассчитывать по
формуле (А.8), при этом параметр

следует рассчитывать по
формуле (А.9) приложения А.
В.3.4 При определении трещиностойкости при стабильном развитии трещины компоненты
J-интеграла, соответствующие нагрузке
Pi, перемещению по линии действия силы
vi и длине трещины
ai, следует определять по следующей процедуре.
В.3.4.1 Упругую компоненту
J-интеграла следует рассчитывать по
формуле (А.10) приложения А, при этом величину
Ki следует рассчитывать по
формуле (В.2).
В.3.4.2 Пластическую компоненту
J-интеграла следует рассчитывать по
формуле (А.11), при этом параметры

и

следует рассчитывать по
формулам (А.12) и
(А.13) приложения А соответственно.
В.3.4.3 Податливость образца при использовании метода упругой податливости следует определять в цикле частичной разгрузки/нагрузки при измерении перемещений по линии действия силы по
формуле (А.16) приложения А.
В.3.4.4 Если в ходе эксперимента податливость образца не определяется, но каким-либо образом выполняется измерение длины трещины, то величина податливости, соответствующая длине трещины ai, может быть рассчитана по формуле

(В.5)
где Be - эффективная толщина образца, мм.
При расчете податливости по
формуле (В.5), полученные значения должны быть откорректированы с учетом экспериментально определенной исходной упругой податливости образца для исключения погрешностей, вносимых податливостью тяг и захватов испытательной машины.
В.3.5 При использовании метода упругой податливости длина трещины должна определяться следующим образом.
В.3.5.1 Длина трещины ai должна быть рассчитана по формуле
| | ИС МЕГАНОРМ: примечание. Формула дана в соответствии с официальным текстом документа. | |

(В.6)
В.3.5.2 Полученное значение длины трещины
ai должно быть использовано для расчета радиуса поворота центральной линии трещины по
формуле (А.21) приложения А.
В.3.5.3 Податливость образца
Ci должна быть скорректирована с учетом поворота центральной линии трещины в соответствии с
А.3.6.3.
В.3.5.4 Полученное значение скорректированной податливости должно быть использовано для расчета параметра
ui по
формуле (А.20) приложения А, которое затем следует использовать для расчета скорректированной длины трещины по
формуле (В.6).
В.3.6 При использовании метода упругой податливости и выполнении условия
9.2.1.4 допускается определять длину трещины в соответствии с
А.3.7, где податливость образца
C(
a0) для измеренного значения длины исходной трещины
a0, податливость образца
C(
ap) для измеренного значения длины конечной трещины
ap и податливость образца
C(
ai) для трещины длиной
ai рассчитывают по
формуле (В.5).
(обязательное)
ТИПОРАЗМЕР И РАСЧЕТНЫЕ ЗАВИСИМОСТИ ДЛЯ КОМПАКТНЫХ ОБРАЗЦОВ
С КРАЕВОЙ ТРЕЩИНОЙ ДЛЯ ИСПЫТАНИЙ РАСКЛИНИВАНИЕМ
Г.1 Типоразмер образца
Г.1.1 Образец типа CCA представляет собой пластину с боковым инициирующим надрезом, нагружаемый расклиниванием. На
рисунке Г.1 показана рекомендуемая геометрия образца типа CCA и соотношения его размеров.
B = ((0,125 ... 0,5)·W +/- 0,1) мм;
BN = (0,75·B +/- 0,005·B) мм; H = (0,6·W +/- 0,005·W) мм;
D0 = ((0,125 ... 0,25)·W +/- 0,005·W) мм;
L = ((0,125 ... 0,25)·W +/- 0,005·W) мм;
a0 = ((0,2 ... 0,4)·W +/- 0,005·W) мм; Nn = min(0,1·W, 5) мм
Рисунок Г.1 - Компактный образец типа CCA
Г.1.2 Допускается варьировать соотношение размеров W/B образца типа CCA в диапазоне от 2 до 8 без изменения других соотношений размеров образца.
Г.1.3 Длина инициирующего надреза a0 должна находиться в пределах от 0,3·W до 0,4·W; допускается изготавливать более короткий надрез, но не менее 0,2·W.
Г.1.4 Образец должен иметь опорные призмы для установки средства измерений перемещений. Рекомендуется использовать опорные призмы, обеспечивающие измерение перемещений на расстоянии 0,25·W от линии нагружения.
Г.1.5 Определение трещиностойкости при остановке трещины в сталях низкой и средней прочности рекомендуется выполнять на образцах с острым надрезом в хрупкой наплавке. Хрупкая наплавка должна выполняться равномерно по всей толщине образца в вершине предварительно изготовленного надреза (см.
рисунок Г.1, вид А). Рекомендуемая толщина наплавки в нетто-сечении 4 мм, радиус вершины надреза в наплавке

от 0,25 мм до 0,4 мм. Следует учитывать, что уменьшение толщины наплавки и увеличение радиуса в вершине надреза приводит к увеличению нагрузки старта хрупкой трещины, и наоборот.
Г.1.6 Ширина надреза Nn должна быть достаточной для выполнения электродом хрупкой наплавки равномерно по всей толщине образца в вершине надреза. Если ширина надреза Nn недостаточна для выполнения наплавки электродом по всей толщине, допускается делать разделку под сварку в вершине механического надреза отдельно с каждой боковой поверхности до середины толщины образца. Последующая наплавка должна также выполняться отдельно с каждой стороны при условии полного проплавления перемычки между боковыми разделками под сварку.
Г.1.7 Хрупкую наплавку рекомендуется выполнять с использованием электродов типа Св-12Х10СНГМВФ, ЦН-2, Foxdur 350, Foxdur 500 и Hardex-N. Допускается применять специально изготовленные электроды.
Г.1.8 Перед проведением испытаний рекомендуется провести отработку технологии выполнения наплавки на пробных образцах, включая подбор наплавочных электродов и режимов сварки. Если при выполнении хрупкой наплавки в вершине механического надреза наблюдается растрескивание наплавленного металла с образованием многочисленных трещин, следует механическим способом удалить наплавку, включая зону термовлияния, и повторить выполнение наплавки после предварительного нагрева образца до 300 °C, при этом, возможно, потребуется изменить режим сварки.
Г.1.9 Допускается применение любых других методов локального охрупчивания стали в вершине механического надреза образца, обеспечивающих инициирование хрупкой трещины из надреза, при условии, что они не влияют на структуру и механические свойства исследуемого материала в области остановки хрупкой трещины.
Г.2 Расчетные зависимости
Коэффициент интенсивности напряжений для образца типа CCA, соответствующий перемещению v по линии действия расклинивающей силы и длине трещины a, определяют по формуле

(Г.1)
где
K - коэффициент интенсивности напряжений,

;
E - модуль упругости, МПа;
vz - перемещение, измеряемое на опорных призмах, мм;
B - толщина образца, мм;
BN - нетто-толщина образца, мм;
W - ширина образца, мм;

(Г.2)

(Г.3)
(обязательное)
ТИПОРАЗМЕР И РАСЧЕТНЫЕ ЗАВИСИМОСТИ ДЛЯ ДВУХКОНСОЛЬНЫХ
ОБРАЗЦОВ С КРАЕВОЙ ТРЕЩИНОЙ ДЛЯ ИСПЫТАНИЙ РАСКЛИНИВАНИЕМ
Д.1 Типоразмер образца
Образец типа DCA представляет собой двухконсольную балку с боковым инициирующим надрезом, нагружаемую расклиниванием. Инициирующий надрез на образцах может быть выполнен механическим, электроискровым или электроэрозионным способом. Допускается применять лазерный, электронно-лучевой и другие методы обработки вершины надреза при условии, что эти методы не влияют на структуру и механические свойства исследуемого материала в области торможения хрупкой трещины. На
рисунке Д.1 показана рекомендуемая геометрия образца типа DCA и соотношения его размеров.
W = ((6 ... 10)·B +/- 0,01·B) мм;
BN = ((0,4 ... 0,6)·B +/- 0,005·B) мм;
H = (1,25·B +/- 0,005·B) мм; L = (B +/- 0,005·B) мм;
L1 = (1,4·B +/- 0,01·B) мм; D0 = (B +/- 0,01·B) мм;
d = (0,5·B +/- 0,1) мм; a0 = (2·B +/- 0,5·B) мм;
G1 = min(Nn, 5) мм; G2 = (1,5 +/- 0,1) мм; Nn = 4 ... 6 мм
Рисунок Д.1 - Двухконсольный образец типа DCA
Д.2 Расчетные зависимости
Коэффициент интенсивности напряжений для образца типа DCA, соответствующий перемещению v по линии действия расклинивающей силы и длине трещины a, определяют по формуле

(Д.1)
где
K - коэффициент интенсивности напряжений,

;
v - перемещение по линии действия расклинивающей силы, мм;
E - модуль упругости, МПа;
H - половина высоты образца, мм;
Iz - момент инерции поперечного сечения одной консоли образца, мм4;
BN - нетто-толщина образца, мм.
Величину перемещения по линии действия расклинивающей силы в
формуле (Д.1) следует определять по
формуле (А.2) приложения А с использованием значений перемещений
vz, измеренных средством измерений перемещений, при этом в качестве величины
z следует принимать расстояние
L от торца образца до середины отверстия для расклинивания.
Момент инерции поперечного сечения одной консоли образца
Iz в
формуле (Д.1) следует рассчитывать по формуле

(Д.2)
где B - толщина образца, мм;
bN - глубина одной боковой канавки, мм;
h - половина ширины боковой канавки, мм.
(рекомендуемое)
ВЫБОР РАЗМЕРОВ ОБРАЗЦОВ ДЛЯ ОПРЕДЕЛЕНИЯ ХАРАКТЕРИСТИК
ТРЕЩИНОСТОЙКОСТИ
Е.1 При определении трещиностойкости по критерию старта нестабильно развивающейся трещины и при стабильном развитии трещины должны быть использованы образцы, размер которых обеспечивает выполнение требований корректности испытаний по
формулам (8.5) или
(9.18) соответственно.
Е.1.1 При определении трещиностойкости по критерию старта нестабильно развивающейся трещины необходимую толщину образца B можно ориентировочно оценивать по формуле

(Е.1)
где B - толщина образца, мм;

- ожидаемое значение статической трещиностойкости,

;
E - модуль упругости, МПа;

- предел текучести, МПа.
Е.1.2 При определении трещиностойкости при стабильном развитии трещины необходимую толщину образца B можно ориентировочно оценить по формуле

(Е.2)
где

- напряжение течения, МПа.
Е.1.3 При отсутствии сведений об ожидаемом значении статической трещиностойкости величину

в
формулах (Е.1) и
(Е.2) допускается принимать равной расчетному значению статической трещиностойкости в соответствии с
разделом 13.
Е.1.4 При назначении толщины образца по
формулам (Е.1) и
(Е.2) окончательный размер следует выбирать из предпочтительного размерного ряда, приведенного в
таблице Е.1. Допускается использовать образцы с толщиной, отличной от указанной в
таблице Е.1.
Таблица Е.1
Предпочтительный размерный ряд толщин образцов
Толщина образца B, мм | Обозначение типоразмера |
Образец типа CT | Образец типа SE(B) | Образец типа DT |
5,0 | CT-0,2T | SE(B)-5 | DT-0,2T |
7,5 | CT-0,3T | - | DT-0,3T |
10,0 | CT-0,4T | SE(B)-10 | DT-0,4T |
12,5 | CT-0,5T | - | DT-0,5T |
25,0 | CT-1T | - | DT-1T |
50,0 | CT-2T | - | DT-2T |
75,0 | CT-3T | - | DT-3T |
Е.1.5 При использовании образцов типов CT и DT, соотношение основных размеров (W/B) которых не равно 2,0, это соотношение следует выбирать из следующего предпочтительного ряда: 2,5; 3,0; 4,0.
Е.1.6 При использовании образцов типа SE(B), соотношение основных размеров (W/B) которых не равно 2,0, это соотношение рекомендуется выбирать из следующего предпочтительного ряда: 1,0; 1,25; 1,5; 2,5; 3,0; 4,0.
Е.2 При определении статической трещиностойкости по критерию остановки нестабильно развивающейся трещины должны быть использованы образцы, размеры которых обеспечивают выполнение требований корректности испытаний по
формуле (10.6).
Е.2.1 При отсутствии сведений об ожидаемом значении трещиностойкости по критерию остановки нестабильно развивающейся трещины
Ka следует использовать образец толщиной
B, равной 12,5 или 25,0 мм. По результатам испытаний этого образца толщина последующих образцов может быть скорректирована в обеспечение корректности испытаний по
формуле (10.6).
Е.2.2 При использовании образцов типа CCA, соотношение основных размеров (W/B) рекомендуется принимать в интервале от 2 до 8 и выбирать из следующего предпочтительного ряда: 2,0; 2,5; 3,0; 4,0; 5,0; 6,0; 8,0.
Е.2.3 При использовании образцов типа DCA соотношение основных размеров (W/B) рекомендуется принимать в интервале от 6 до 10 и выбирать из следующего предпочтительного ряда: 6,0; 8,0; 10,0.
Е.3 Для определения характеристик трещиностойкости в условиях длительного статического нагружения следует использовать образцы типа CT толщиной 25 мм (образцы CT-1T) с общей глубиной боковых канавок 0,2·B. Допускается использовать образцы типа CT меньшей толщины, например, образцы толщиной 12,5 мм (образцы CT-0,5T).
(обязательное)
СПОСОБЫ ФИКСАЦИИ ФРОНТА И ИЗМЕРЕНИЯ ДЛИНЫ ТРЕЩИНЫ
Ж.1 Фиксация фронта трещины
Ж.1.1 Фронт трещины после ее подроста должен быть зафиксирован тепловым окрашиванием поверхностей трещины либо циклическим нагружением образца.
Ж.1.2 При фиксации фронта трещины тепловым окрашиванием образец должен быть нагрет на воздухе до температуры от 300 °C до 350 °C для конструкционных сталей либо до температуры 600 °C для коррозионно-стойких сталей аустенитного класса и затем должен быть выдержан при этой температуре в течение времени, которое следует определять из расчета 10 мин на каждые 25 мм толщины образца. Допускается варьировать сочетания температуры и длительности выдержки для обеспечения четкой фиксации фронта трещины. В случае, если предполагается проведение фрактографического исследования поверхности разрушения рекомендуется использовать более низкие температуры окрашивания, либо осуществлять фиксацию фронта трещины с помощью циклического нагружения, приводящего к усталостному развитию трещины.
Ж.1.3 При фиксации фронта трещины циклическим нагружением образец должен быть нагружен циклической нагрузкой с максимальным усилием Pmax в цикле не более 0,75 нагрузки при окончании испытаний и коэффициенте асимметрии цикла нагружения R не более 0,1. Длина усталостной трещины после такого нагружения должна быть не менее 2 мм.
Ж.1.4 После фиксации фронта трещины образец должен быть доломан статической нагрузкой при комнатной или пониженной температуре (рекомендуется доламывать образец после охлаждения жидким азотом).
Ж.2 Изменение длины трещины
Ж.2.1 Измерение длины трещин следует выполнять на поверхности изломов образцов с помощью измерительного инструмента, обеспечивающего погрешность измерений не более +/- 0,025 мм. Рекомендуется фотографировать поверхность изломов образцов и включать эти фотографии в отчет по испытаниям, сопровождая их необходимыми комментариями.
Ж.2.2 При невозможности проведения измерений непосредственно на изломе допускается проводить измерения по фотографическому изображению излома образца. Фотографическое изображение должно быть выполнено таким образом, чтобы исключалось искажение размеров (фотоаппарат или камера должны быть размещены так, чтобы центр объектива располагался строго напротив середины излома образца, а условная линия, проходящая через центр объектива, была нормалью к поверхности исходного надреза). Качество изображения (фокусировка, контрастность и т.д.) должно позволять определять размеры с погрешностью не более +/- 0,025 мм. Вместе с измеряемым изломом следует размещать в кадре объект с известными размерами (калиброванный объект, линейку и т.п.). Полученные фотографии рекомендуется включать в отчет по испытаниям, сопровождая их необходимыми комментариями.
Ж.2.3 По излому образцов типов CT, SE(B) и DT должны быть измерены следующие параметры: длина исходной трещины
a0, длина конечной трещины
ap и конечный подрост трещины

. Измерения должны проводиться в
na сечениях (рекомендуется в девяти), равномерно расположенных по толщине образца, начиная с сечения, расположенного на расстоянии не более 0,01·
B от боковой поверхности образца или от вершины боковой канавки в месте наибольшей утяжки (см.
рисунок Ж.1). При проведении измерений в качестве базы измерений в зависимости от типа образца должны быть использованы: для образцов типов CT и DT - плоскость, проходящая через ось симметрии нагружающих отверстий и перпендикулярная боковой поверхности образца, для образцов типа SE(B) - лицевая поверхность образца. Средняя длина трещины и средний конечный подрост трещины должны быть определены по формулам:

(Ж.1)

(Ж.2)

(Ж.3)
где na - количество сечений, в которых должны проводиться измерения, ед.;

- длина исходной трещины в
i-м сечении излома (
i = 1, ...,
na), мм;

- конечный подрост трещины в
i-м сечении излома (
i = 1, ...,
na), мм;
ap - длина конечной трещины, мм.
Примечание - При величине BN менее 8 мм допускается сократить количество сечений, в которых должны проводиться измерения na, с девяти до пяти. При этом сечения также должны быть равномерно расположены по толщине образца, начиная с сечения, расположенного на расстоянии 0,01·B от боковой поверхности образца или от вершины боковой канавки в месте наибольшей утяжки.
Рисунок Ж.1 - Схема определения длины предварительной
усталостной трещины и величины стабильного подроста трещины
для образцов типов CT, SE(B) и DT
Ж.2.4 По излому образцов типов CCA и DCA должны быть измерены следующие параметры: длина инициирующего надреза
a0 и длина остановленной трещины
aa. Измерения следует проводить в трех сечениях, равномерно расположенных по толщине образца: по средней линии (линии симметрии в середине толщины образца) и по линиям, расположенным на середине между средней линией и основанием бокового надреза с каждой стороны образца, т.е. на расстоянии 0,25·
BN от средней линии (см.
рисунок Ж.2).
Рисунок Ж.2 - Схема определения длины инициирующего надреза
и длины остановленной трещины для образцов типа CCA и DCA
При сильной неровности фронта трещины допускается определять длину трещины по трем значениям, каждое из которых является средним значением для полосы шириной 0,25·BN, осью симметрии которой являются каждая из трех вышеуказанных линий на изломе образца. При проведении измерений в качестве базы измерений должна быть использована плоскость, проходящая через центр отверстия для нагружения образца и параллельная лицевой поверхности. Средняя длина инициирующего надреза и остановленной трещины должны быть определены по формулам:

(Ж.4)

(Ж.5)
где

,

,

- длина инициирующего надреза в сечениях 1 - 3, мм;
a1, a2, a3 - длина остановленной трещины в сечениях 1 - 3, мм.
(обязательное)
ОЦЕНКА ЗНАЧИМОСТИ СКАЧКА ТРЕЩИНЫ ПРИ КРАТКОВРЕМЕННОМ
СТАТИЧЕСКОМ НАГРУЖЕНИИ
И.1 Значимость скачка оценивают путем графических построений, изображенных на
рисунке И.1.
Рисунок И.1 - Оценка значимости скачка трещины
И.1.1 На диаграмме "нагрузка-перемещение" строят линию CB, параллельную начальному линейному участку диаграммы OA и проходящая через точку B, соответствующую началу скачка трещины.
И.1.2 На диаграмме "нагрузка-перемещение" строится линия CF, наклон которой на 5% меньше, чем наклон линии CB. Для этого определяют точку E как точку, лежащую на линии DB на расстоянии 0,95DB от точки D. Точку F определяют как точку пересечения диаграммы "нагрузка-перемещение" с продолжением линии CE.
И.1.3 Скачок признают значимым, если точка
G, соответствующая моменту остановки трещины при скачке, расположена вне угла
BCF [см.
рисунок И.1 а)]. Если точка
G расположена внутри угла
DCF [см.
рисунок И.1 б)], то скачок признают незначимым.
(справочное)
К.1 Область применения
К.1.1 Метод нормализации применяют для построения JR-кривой в случаях, когда при проведении испытаний по определению трещиностойкости с кратковременным статическим нагружением образцов и стабильным развитием трещины по техническим причинам невозможно установить на образец средство измерения перемещений и, соответственно, использовать метод упругой податливости:
- при высокой скорости нагружения,
- при высокой температуре испытаний;
- при испытаниях в агрессивной среде.
К.1.2 Метод нормализации применяют только для образцов типов CT, SE(B) и DT.
К.2 Подготовка и проведение испытаний
К.2.1 Количество образцов для определения характеристик трещиностойкости материала при заданной температуре испытаний принимают согласно
8.1.2.
К.2.2 Перед проведением испытаний размеры образца измеряют согласно
8.1.3.
К.2.3 Требования к температуре образца во время проведения испытаний устанавливают согласно
8.1.4.
К.2.4 Установку образцов типов CT и DT выполняют согласно
8.1.6.
К.2.5 Установку образцов типа SE(B) выполняют согласно
8.1.7.
К.2.6 Скорость нагружения образцов устанавливают согласно
8.1.8.
К.2.7 Нагружение образца проводят до прохождения нагрузкой максимального значения Pmax и последующего снижения до уровня порядка 0,9Pmax.
К.2.8 В ходе проведения испытаний осуществляют запись диаграмм "нагрузка-перемещение по линии действия силы" в цифровом виде для дальнейшей обработки на компьютере или в графическом виде с помощью графопостроителя.
Примечание - В случае использования в качестве перемещения по линии действия силы значений перемещения траверсы испытательной машины, необходимо проводить дополнительную корректировку диаграммы "нагрузка-перемещение" для исключения перемещений, обусловленных податливостью тяг и захватов испытательной машины. Для образцов типов CT и DT корректировку проводят в соответствии с
8.1.6.2 -
8.1.6.4, для образцов типа SE(B) - в соответствии с
8.1.7.3 -
8.1.7.5.
К.2.9 После снижения нагрузки до уровня порядка 0,9Pmax образец разгружают, не допуская дополнительного перемещения траверсы испытательной машины, которое может вести к перемещениям свыше зафиксированных в ходе эксперимента.
К.2.10 После завершения испытаний вязкий подрост трещины фиксируют в соответствии с
Ж.1 и затем доламывают образец.
К.2.11 По излому образца в соответствии с
Ж.2 определяют средние значения длины исходной трещины
a0, конечного подроста трещины

и длины конечной трещины
ap.
К.3 Анализ результатов
К.3.1 Испытания считаются действительными, если не выполняется ни одно из условий
9.2.1.1 -
9.2.1.3 или следующее условие

(К.1)
где
- конечный подрост трещины, мм;
W - ширина образца, мм;
a0 - длина исходной трещины, мм.
К.3.2 На основании полученной диаграммы "нагрузка-перемещение по линии действия силы" строят нормализованную диаграмму по следующей процедуре.
К.3.2.1 На диаграмме "нагрузка-перемещение по линии действия силы" выбирают не менее 15 точек (vi, Pi) так, чтобы они были равномерно распределены на участке диаграммы от точки окончания ее начального линейного участка до точки, соответствующей максимуму нагрузки Pmax.
К.3.2.2 Каждое из выбранных значений нагрузки Pi нормализуют по формуле

(К.2)
где Pн - нормализованная нагрузка, Н/мм2;
P - нагрузка, Н;
B - толщина образца, мм;
| | ИС МЕГАНОРМ: примечание. Текст дан в соответствии с официальным текстом документа. | |
ab - длина трещины, скорректированная на ее притупление, мм;
- параметр, зависящий от типа образца.
Параметр

для образцов типов CT и DT рассчитывают по
формуле (А.9) приложения А, для образцов типа SE(B) принимают равным 1,9.
Длину трещины, скорректированную на ее притупление, для каждой выбранной точки рассчитывают по формуле

(К.3)
где J - J-интеграл, Н/мм2;

- напряжение течения, МПа.

- точки для построения нормализованной диаграммы;
(v0, P0) - окончание линейного участка диаграммы;
(vк, Pк) - окончание диаграммы
Рисунок К.1 - Диаграмма "нагрузка-перемещение по линии
действия силы" и выбор точек на ней для построения
нормализованной диаграммы
Величину
J-интеграла
Ji для каждой выбранной точки рассчитывают по
формуле (А.6) приложения А с использованием длины исходной трещины
a0. В
формуле (А.6) упругую и пластическую компоненты
J-интеграла рассчитывают для образцов типа CT в соответствии с
А.3.5 приложения А, для образцов типа SE(B) в соответствии с
Б.3.4 приложения Б, для образцов типа DT в соответствии с
В.3.4 приложения В.
К.3.2.3 Из каждого выбранного значения перемещения vi выделяют пластическую часть и нормализуют по следующей процедуре.
К.3.2.3.1 Определяют начальную податливость образца на линейном участке диаграммы

(К.4)
где C0 - начальная податливость образца, мм/Н;

- диапазон перемещений на линейном участке диаграммы, Н;
- диапазон нагрузок на линейном участке диаграммы, Н.
К.3.2.3.2 Рассчитывают начальную податливость образца
C(
a0), используя длину исходной трещины
a0. Для образцов типа CT расчет проводят по
формуле (А.17) приложения А, для образцов типа SE(B) - по
формуле (Б.10) приложения Б, для образцов типа DT - по
формуле (В.5) приложения В.
К.3.2.3.3 Если начальная упругая податливость образца C0 отличается от рассчитанной податливости C(a0) менее, чем на 10%, то нормализованную пластическую часть перемещений рассчитывают по формуле

(К.5)
где

- нормализованная пластическая часть перемещения, отн. ед.;
v - перемещение по линии действия силы, мм;
C(abi) - податливость образца, мм/Н.
Величину податливости
C(
abi) для каждой выбранной точки (
vi,
Pi) рассчитывают, используя значения длин трещины
abi, рассчитанные по
формуле (К.3). Для образцов типа CT расчет проводят по
формуле (А.17) приложения А, для образцов типа SE(B) - по
формуле (Б.10) приложения Б, для образцов типа DT - по
формуле (В.5) приложения В.
К.3.2.3.4 Если начальная упругая податливость образца C0 отличается от рассчитанной податливости C(a0) на 10% и более, то нормализованную пластическую часть перемещений рассчитывают по формуле

(К.6)
где v0 - перемещение в точке окончания линейного участка диаграммы, мм.
К.3.2.4 Нормализуют значения нагрузки и перемещений в конечной точке диаграммы (
vк,
Pк). Значение нормализованной нагрузки

определяют по
формуле (К.2), используя длину конечной трещины
ap. Значение нормализованной пластической части перемещений

определяют по
формуле (К.5) или
(К.6), используя в качестве длины трещины
ab длину конечной трещины
ap.
К.3.2.5 Строят диаграмму "нормализованная нагрузка-нормализованная пластическая часть перемещений". Пример такой диаграммы показан на
рисунке К.2.
Рисунок К.2 - Нормализованная диаграмма
"нагрузка-перемещение по линии действия силы"
К.3.3 На нормализованной диаграмме выбирают точки для дальнейшего анализа по следующей процедуре.
К.3.3.1 Из конечной точки строят линию, касательную к кривой, проходящей через остальные точки нормализованной диаграммы. Все точки справа от точки касания (кроме конечной точки) исключают из дальнейшего анализа (см.
рисунок К.3).

- выбранные точки;

- исключенные точки
Рисунок К.3 - Выбор точек нормализованной диаграммы
для дальнейшего анализа
К.3.3.2 На нормализованной диаграмме строят вертикальную линию, соответствующую величине

, равной 0,001·
W. Точки слева от этой линии исключают из дальнейшего анализа (см.
рисунок К.3).
К.3.3.3 Анализ проводят, если после исключения по
К.3.3.1 и
К.3.3.2 в интервале между значением

, равным 0,001·
W, и значением

, соответствующим точке касания, осталось не менее 10 точек (см.
рисунок К.3).
К.3.4 Выбранные точки (

,

) нормализованной диаграммы вместе с ее конечной точкой (

,

) аппроксимируют уравнением вида

(К.7)
где A0, A1, A2, A3 - численные коэффициенты.
Значения коэффициентов
A0,
A1,
A2 и
A3 оценивают с помощью метода наименьших квадратов с помощью программных средств для математического анализа по выбору пользователя.
Уравнение (К.7) должно аппроксимировать все выбранные точки, и рассчитанная по нему нормализованная нагрузка в конечной точке не должна отличаться от величины

более, чем на 1%. Пример аппроксимации показан на
рисунке К.4.
| | ИС МЕГАНОРМ: примечание. В официальном тексте документа, видимо, допущена опечатка: уравнение (Л.7) отсутствует. Возможно, имеется в виду уравнение (К.7). | |
Рисунок К.4 - Аппроксимация нормализованной диаграммы
К.3.5 Формируют наборы данных для построения
JR-кривой. Каждый набор состоит из значений перемещения по линии действия силы
vi и нагрузки
Pi, соответствующих точке на диаграмме "нагрузка-перемещение по линии действия силы", а также соответствующего значения длины трещины
ai. Количество наборов данных (
vi,
Pi,
ai) должно быть не менее 30. Точки на диаграмме выбирают так, чтобы они были равномерно распределены по диаграмме от точки окончания начального линейного участка до конечной точки (см.
рисунок К.5). Значения длины трещины
ai определяют итерационным методом по следующей процедуре.

- выбранные точки
Рисунок К.5 - Диаграмма "нагрузка-перемещение по линии
действия силы" и выбор точек на ней для построения JR-кривой
К.3.5.1 Для первого набора данных в качестве начального приближения для
ai выбирают длину исходной трещины
a0. Для последующих наборов данных в качестве начального приближения для
ai используют длину трещины
ai-1, полученную для предыдущего набора данных.
К.3.5.2 Рассчитывают нормализованную нагрузку по формуле

(К.8)
где ai - текущее значение длины трещины, мм.
Для образцов типов CT и DT параметр

рассчитывают по
формуле (А.12) приложения А, при этом используют текущее значение длины трещины
ai. Для образцов типа SE(B) параметр

принимают равным 1,9.
К.3.5.3 Рассчитывают нормализованную пластическую часть перемещений

.
Расчет выполняют по
формуле (К.5) или
(К.6), при этом для определения величины податливости
C(
ai) используют текущее значение длины трещины
ai.
К.3.5.4 Рассчитывают нормализованную нагрузку по формуле

(К.9)
В
формуле (К.9) используют численные коэффициенты
A0,
A1,
A2,
A3, полученные в соответствии с
К.3.4, и нормализованную пластическую часть перемещений, рассчитанную в соответствии с
К.3.5.3.
К.3.5.5 Рассчитывают ошибку определения нагрузок

и

по формуле

(К.10)
К.3.5.6 Если величина ошибки

больше 0,001, то текущее значение длины трещины
ai корректируют и повторяют расчет по
К.3.5.2 -
К.3.5.5.
Примечание - При корректировке текущее значение длины трещины незначительно увеличивают на величину порядка 1% от конечного подроста трещины

.
К.3.5.7 Если величина ошибки

не превышает 0,001, то проверяют выполнение следующего неравенства

(К.11)
Если
неравенство (К.11) выполняется, то текущее значение длины трещины
ai включают в набор данных, как соответствующее точке на диаграмме с координатами (
vi,
Pi), переходят к следующей выбранной точке диаграммы и повторяют для нее процедуру
К.3.5.1 -
К.3.5.7.
Если
неравенство (К.11) не выполняется, то рассматриваемую точку не используют при построении
JR-кривой, переходят к следующей выбранной точке диаграммы и повторяют для нее процедуру
К.3.5.1 -
К.3.5.7.
К.3.6 На основе сформированных наборов данных (
vi,
Pi,
ai) строят
JR-кривую в соответствии с
9.2.4 и
9.2.6. При этом величину
J-интеграла
Ji для каждого набора данных рассчитывают по
формуле (А.6) приложения А с использованием длины трещины
ai. В
формуле (А.6) упругую и пластическую компоненты
J-интеграла рассчитывают для образцов типа CT в соответствии с
А.3.5 приложения А, для образцов типа SE(B) в соответствии с
Б.3.4 приложения Б, для образцов типа DT в соответствии с
В.3.4 приложения В.
К.3.7 На основании полученной
JR-кривой в соответствии с
9.2.7 -
9.2.9 оценивают величины
JIc и
KIc.
К.3.8 Если метод нормализации используют для получения величины
JIc, то на основании полученных результатов оценивают перемещение по линии действия силы, соответствующее подросту трещины

, равному 0,5 мм. Затем при той же скорости нагружения и при тех же условиях испытывают еще один дополнительный образец, который нагружают до достижения этого перемещения по линии действия силы, фиксируют фронт трещины в соответствии с
Ж.1, и доламывают. На поверхности излома дополнительного образца в соответствии с
Ж.2 измеряют конечный подрост трещины

. Если величина

составляет (0,5 +/- 0,25) мм, то результаты применения метода нормализации и полученную величину
JIc считают подтвержденными.
К.4 Протокол испытаний
К.4.1 Для каждого испытанного образца протокол испытаний должен содержать сведения, указанные в
9.3.
К.4.2 Протокол испытаний должен содержать следующие сведения, относящиеся к методу нормализации:
- количество точек, использованных для определения численных коэффициентов
уравнения (К.7);
- максимальное отклонение нормализованной нагрузки в конечной точке.
К.4.3 Если в протокол испытаний вносят значение
JIc, то также вносят значение конечного подроста трещины

, полученного на дополнительном образце в соответствии с
К.3.8.
(обязательное)
РАСЧЕТ НАГРУЗКИ ПРИ ИСПЫТАНИЯХ ОБРАЗЦОВ ТИПА CT ДЛИТЕЛЬНЫМ
СТАТИЧЕСКИМ НАГРУЖЕНИЕМ В УСЛОВИЯХ ПОЛЗУЧЕСТИ
Л.1 Нагрузка для испытаний образцов типа CT длительным статическим нагружением в условиях ползучести может быть рассчитана по формуле

(Л.1)
где C* - C*-интеграл, Н/(мм·час);
BN - нетто-толщина образца, мм;
W - ширина образца, мм;
ac - параметр уравнения установившейся ползучести, час-1;
nc - параметр уравнения установившейся ползучести, ед.;

- нормирующий коэффициент,

.

(Л.2)

(Л.3)
где
Ar - параметр материала,

;
tct - временная база (длительность) испытаний в условиях ползучести, час;
nr - параметр материала, ед.
При отсутствии значений коэффициентов
Ar и
nr в качестве первого приближения при расчете нагрузки для образцов из аустенитных сталей могут быть приняты значение
Ar, равное

, и значение
nr, равное 0,81.
| Федеральные нормы и правила в области использования атомной энергии НП-089-15 | Правила устройства и безопасной эксплуатации оборудования и трубопроводов атомных энергетических установок |
| Сводный перечень документов по стандартизации в области использования атомной энергии |
УДК 621.039:531:006.354 | |
Ключевые слова: конструкционные материалы, трещиностойкость, метод определения, оборудование, трубопроводы |