Главная // Актуальные документы // ГОСТ Р (Государственный стандарт)СПРАВКА
Источник публикации
М.: ФГБУ "Институт стандартизации", 2023
Примечание к документу
Документ
введен в действие с 01.03.2024.
Название документа
"ГОСТ Р 70873-2023. Национальный стандарт Российской Федерации. Диоды и столбы полупроводниковые выпрямительные. Система параметров"
(утв. и введен в действие Приказом Росстандарта от 24.08.2023 N 728-ст)
"ГОСТ Р 70873-2023. Национальный стандарт Российской Федерации. Диоды и столбы полупроводниковые выпрямительные. Система параметров"
(утв. и введен в действие Приказом Росстандарта от 24.08.2023 N 728-ст)
Утвержден и введен в действие
по техническому регулированию
и метрологии
от 24 августа 2023 г. N 728-ст
НАЦИОНАЛЬНЫЙ СТАНДАРТ РОССИЙСКОЙ ФЕДЕРАЦИИ
ДИОДЫ И СТОЛБЫ ПОЛУПРОВОДНИКОВЫЕ ВЫПРЯМИТЕЛЬНЫЕ
СИСТЕМА ПАРАМЕТРОВ
Semiconductor rectifier diodes and poles. Parameters system
ГОСТ Р 70873-2023
Дата введения
1 марта 2024 года
1 РАЗРАБОТАН Акционерным обществом "Российский научно-исследовательский институт "Электронстандарт" (АО "РНИИ "Электронстандарт")
2 ВНЕСЕН Техническим комитетом по стандартизации ТК 303 "Электронная компонентная база, материалы и оборудование"
3 УТВЕРЖДЕН И ВВЕДЕН В ДЕЙСТВИЕ
Приказом Федерального агентства по техническому регулированию и метрологии от 24 августа 2023 г. N 728-ст
4 ВВЕДЕН ВПЕРВЫЕ
Правила применения настоящего стандарта установлены в статье 26 Федерального закона от 29 июня 2015 г. N 162-ФЗ "О стандартизации в Российской Федерации". Информация об изменениях к настоящему стандарту публикуется в ежегодном (по состоянию на 1 января текущего года) информационном указателе "Национальные стандарты", а официальный текст изменений и поправок - в ежемесячном информационном указателе "Национальные стандарты". В случае пересмотра (замены) или отмены настоящего стандарта соответствующее уведомление будет опубликовано в ближайшем выпуске ежемесячного информационного указателя "Национальные стандарты". Соответствующая информация, уведомление и тексты размещаются также в информационной системе общего пользования - на официальном сайте Федерального агентства по техническому регулированию и метрологии в сети Интернет (www.rst.gov.ru)
Настоящий стандарт распространяется на выпрямительные полупроводниковые диоды и столбы (ВПДС), в том числе входящие в состав сборок, и устанавливает состав параметров и типовых характеристик, подлежащих включению в технические условия (ТУ) или стандарты на ВПДС конкретных типов при их разработке или пересмотре.
Стандарт следует применять для выбора параметров при разработке технических заданий на научно-исследовательские и опытно-конструкторские работы, а также программ испытаний опытных образцов.
Настоящий стандарт предназначен для применения предприятиями, организациями и другими субъектами научной и хозяйственной деятельности независимо от форм собственности и подчинения, а также федеральными органами исполнительной власти Российской Федерации, участвующими в разработке, производстве, эксплуатации ВПДС в соответствии с действующим законодательством.
В настоящем стандарте использованы нормативные ссылки на следующие стандарты:
ГОСТ 25529 Диоды полупроводниковые. Термины, определения и буквенные обозначения параметров
ГОСТ Р 57436 Приборы полупроводниковые. Термины и определения
Примечание - При пользовании настоящим стандартом целесообразно проверить действие ссылочных стандартов в информационной системе общего пользования - на официальном сайте Федерального агентства по техническому регулированию и метрологии в сети Интернет или по ежегодному информационному указателю "Национальные стандарты", который опубликован по состоянию на 1 января текущего года, и по выпускам ежемесячного информационного указателя "Национальные стандарты" за текущий год. Если заменен ссылочный стандарт, на который дана недатированная ссылка, то рекомендуется использовать действующую версию этого стандарта с учетом всех внесенных в данную версию изменений. Если заменен ссылочный стандарт, на который дана датированная ссылка, то рекомендуется использовать версию этого стандарта с указанным выше годом утверждения (принятия). Если после утверждения настоящего стандарта в ссылочный стандарт, на который дана датированная ссылка, внесено изменение, затрагивающее положение, на которое дана ссылка, то это положение рекомендуется применять без учета данного изменения. Если ссылочный стандарт отменен без замены, то положение, в котором дана ссылка на него, рекомендуется применять в части, не затрагивающей эту ссылку.
В настоящем стандарте применены термины по
ГОСТ 25529 и
ГОСТ Р 57436, а также следующие термины с соответствующими определениями:
3.1 диодная сборка: Конструктивная единица, содержащая в себе не менее двух выпрямительных диодов, каждый из которых имеет выводы от обоих электродов, при этом один из выводов свободен от внутренних соединений.
3.2 основные параметры: Параметры, определяющие основное функциональное назначение выпрямительных полупроводниковых диодов и столбов.
3.3 важнейшие параметры: Параметры, контролируемые по наиболее жестким планам контроля, например в приемо-сдаточных испытаниях.
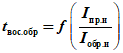
3.4 нормированный коэффициент обратных потерь ВПДС Nо.п: Комплексный параметр ВПДС, учитывающий конструктивно-технологическую физическую взаимосвязь между максимально допустимым постоянным прямым током и уровнем постоянного обратного тока, а также физическую зависимость постоянного обратного тока от температуры окружающей среды (корпуса) ВПДС.
1 Нормированный коэффициент обратных потерь ВПДС Nо.п вычисляют по формуле

, (1)
где
Iобр - постоянный обратный ток ВПДС, значение которого указано в ТУ или стандартах на ВПДС конкретных типов для повышенной температуры окружающей среды (корпуса) ВПДС

, А;
Iпр.макс - максимально допустимый постоянный прямой ток ВПДС, значение которого указано в ТУ или стандартах на ВПДС конкретных типов, А;
KT - температурный коэффициент обратного тока, °C (для кремния KT = 0,03 °C);

- максимальная температура окружающей среды (корпуса) ВПДС;
tвос.обр - время обратного восстановления ВПДС, нс.
2 Для определения значения Nо.п рекомендуется использовать значения постоянного обратного тока для наибольшей из повышенных температур, указанной в ТУ или стандартах на ВПДС конкретных типов.
3 Если значения Iобр.макс и tвос.обр получены из зарубежного справочника или каталога, то значение Iобр принимают равным 2Iобр.макс, а значение tвос.обр увеличивают на 10%. Если параметры указаны в ТУ или стандартах на ВПДС конкретных типов в качестве параметров-критериев годности, то используют соответствующие значения этих параметров, установленные в ТУ или стандартах на ВПДС конкретных типов.
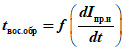
3.5 скорость обратного восстановления ВПДС St: Комплексный параметр ВПДС, учитывающий физическую взаимосвязь между максимально допустимым постоянным обратным напряжением ВПДС и временем обратного восстановления.
1 Скорость обратного восстановления ВПДС St вычисляют по формулам:
- для диодов

; (2)
- для столбов

, (3)
где Uобр.макс - максимально допустимое постоянное обратное напряжение ВПДС, В;
tвос.обр.макс - максимально допустимое время обратного восстановления ВПДС, нс;
Uо - константа, равная для ВПДС на кремнии 1 В;
Uпр.макс - максимально допустимое постоянное прямое напряжение столба, В.
2 Если значения tвос.обр.макс и/или Uпр.макс получены из зарубежного справочника или каталога, то значения, подставляемые в формулы, следует увеличить на 10%. Если параметры указаны в ТУ или стандартах на ВПДС конкретных типов в качестве параметров-критериев годности, то используют соответствующие значения этих параметров, установленные в ТУ или стандартах на ВПДС конкретных типов.
3.6 нормированный коэффициент прямых потерь диода Nп.п: Комплексный параметр диода, учитывающий физическую взаимосвязь между временем обратного восстановления и постоянным прямым напряжением диода.
Примечание - Нормированный коэффициент прямых потерь диода Nп.п вычисляют по формуле
Nп.п = tвос.обр.макс(Uпр.макс - U1), (4)
где tвос.обр.макс - максимально допустимое время обратного восстановления диода, нс;
Uпр.макс - максимально допустимое постоянное прямое напряжение диода, В;
U1 - константа, равная для кремниевых диодов 0,7 В.
Для определения значения
Nп.п применяют значения параметров в соответствии с рекомендациями, приведенными в
примечаниях к 3.4 и
3.5.
3.7 (общая) максимально допустимая рассеиваемая мощность Pмакс: Максимально допустимое значение суммы прямой рассеиваемой мощности ВПДС, обратной рассеиваемой мощности ВПДС и рассеиваемой мощности ВПДС при обратном восстановлении.
ВПДС подразделяют на классификационные группы (см.
таблицу 1).
Наименование классификационной группы | Обозначение классификационной группы |
ВПДС с верхней рабочей частотой не более 1000 Гц | 1 |
ВПДС с верхней рабочей частотой более 1000 Гц | 2 |
| 3 |
5.1 Состав параметров ВПДС и способы задания норм установлены в
таблице 2.
Наименование параметра | Буквенное обозначение параметра | Параметр, подлежащий обязательному включению в ТУ | Способ задания нормы | Обозначение классификационной группы | Пункт примечания таблицы |
1 Параметры ВПДС |
1.1 Постоянное прямое напряжение | Uпр | + | ОП | | |
1.2 Импульсное прямое напряжение | Uпр.и | + | ОП | | |
1.3 Среднее прямое напряжение | Uпр.ср | + | ОП | | |
1.4 Постоянный обратный ток | Iобр | + | ОП | | |
1.5 Средний обратный ток | Iобр.ср | - | ОП | | |
1.6 Время обратного восстановления | tвос.обр | + | ОП | | |
1.7 Общая емкость диода | Cд | - | ОП | | |
1.8 Время прямого восстановления | tвос.пр | - | ОП | | |
1.9 Заряд восстановления | Qвос | - | ОП | | |
1.10 Тепловое сопротивление переход - окружающая среда | | + | ОП | | |
1.11 Тепловое сопротивление переход - корпус | | + | ОП | | |
1.12 Нормированный коэффициент обратных потерь | Nо.п | - | ОП | | - |
1.13 Скорость обратного восстановления | St | - | ОП | | - |
1.14 Нормированный коэффициент прямых потерь диода | Nп.п | - | ОП | | - |
2 Параметры режима измерения |
2.1 Постоянный прямой ток | Iпр | + | Н | | |
2.2 Импульсный прямой ток | Iпр.и | + | Н | | |
2.3 Средний прямой ток | Iпр.ср | + | Н | | |
2.4 Постоянное обратное напряжение | Uобр | + | Н | | - |
2.5 Повторяющееся импульсное обратное напряжение | Uобр.и.п | - | Н | | - |
3 Параметры режима эксплуатации |
3.1 Максимально допустимое постоянное обратное напряжение | Uобр.макс | + | ОП | | - |
3.2 Максимально допустимое повторяющееся импульсное обратное напряжение или максимально допустимое рабочее импульсное обратное напряжение | Uобр.и.п.макс | + | ОП | | - |
3.3 Максимально допустимое импульсное неповторяющееся обратное напряжение | Uобр.и.нп.макс | - | ОП | | |
3.4 Максимально допустимый постоянный прямой ток | Iпр.макс | + | ОП | | - |
3.5 Максимально допустимый средний прямой ток | Iпр.ср.макс | + | ОП | | - |
3.6 Максимально допустимый повторяющийся импульсный прямой ток | Iпр.и.п.макс | + | ОП | | - |
3.7 Максимально допустимый неповторяющийся импульсный прямой ток | Iпр.и.нп.макс | + | ОП | | - |
3.8 Защитный показатель диода | | - | ОП | | |
3.9 Максимально допустимая рассеиваемая мощность диода (общая) | Pмакс | + | ОП | | - |
3.10 Предельно допустимая частота | fпред | + | ОП | | - |
Примечания 1 Знаком "+" обозначены параметры, подлежащие обязательному включению в ТУ. Необходимость включения в ТУ на ВПДС конкретных типов параметров, не отмеченных как обязательные, определяет разработчик совместно с заказчиком и основным потребителем. 2 Для указания способов задания норм на параметры ВПДС в настоящей таблице применены следующие обозначения: - ОП - односторонний предел значения параметра без указания номинального значения; - Н - номинальное значение параметра. 3 Для ВПДС группы 1 устанавливают один из параметров. 4 Приводят в качестве справочного параметра. 5 Параметр устанавливают для нормальной и повышенной рабочей температур. 6 Для ВПДС группы 3, при необходимости, параметры устанавливают для пониженной рабочей температуры. 7 Параметр устанавливают для нормальной и, при необходимости, повышенной рабочей температуры. 8 Параметр устанавливают для нормальной температуры. 9 Параметр устанавливают для ВПДС с нормированной температурой окружающей среды. 10 Параметр устанавливают для ВПДС с нормированной температурой корпуса. 11 Параметр устанавливают для ВПДС с управляемым лавинообразованием. |
5.2 Основные параметры и предельно допустимые электрические режимы ВПДС установлены в
таблице 3. Основные параметры подлежат обязательному включению в ТУ или стандарты на ВПДС конкретных типов.
Наименование параметра или предельно допустимого электрического режима ВПДС | Обозначение классификационной группы |
1 Обратные напряжения <*> |
1.1 Максимально допустимое постоянное обратное напряжение | |
1.2 Максимально допустимое повторяющееся импульсное обратное напряжение | |
1.3 Максимально допустимое рабочее импульсное обратное напряжение | |
|
2.1 Максимально допустимый постоянный прямой ток | |
2.2 Максимально допустимый средний прямой ток | |
2.3 Максимально допустимый повторяющийся импульсный ток <***> | |
3 Время обратного восстановления | |
<*> Для ВПДС групп 2, 3 устанавливают один из параметров. <**> Устанавливают один из параметров. <***> Устанавливают для ВПДС, работающих в устройствах строчной развертки видеотехники. |
5.3 Состав типовых характеристик ВПДС установлен в
таблице 4.
Наименование типовой характеристики | Обозначение характеристики | Характеристика, подлежащая обязательному включению в ТУ | Обозначение классификационной группы | Пункт примечания таблицы |
1 Прямая ветвь вольтамперной характеристики | Uпр = f(Iпр) | + | | |
2 Обратная ветвь вольтамперной характеристики | Iобр = f(Uобр) | + | | |
3 Зависимость импульсного прямого напряжения от импульсного прямого тока | Uпр.и = f(Iпр.u) | + | | |
4 Зависимость времени обратного восстановления от температуры | | + | | - |
5 Зависимость заряда обратного восстановления от температуры | | + | | - |
6 Зависимость времени обратного восстановления от режима переключения | или | - | | - |
7 Зависимость заряда обратного восстановления от режима переключения | или | - | | - |
8 Зависимость времени прямого восстановления от режима переключения | | - | | - |
9 Обратная вольт-фарадная характеристика | Cд = f(Uобр) | + | | - |
10 Зависимость максимально допустимого среднего прямого тока от температуры | | + | | |
11 Зависимость максимально допустимого повторяющегося импульсного прямого тока от температуры | | + | | |
12 Зависимость максимально допустимого повторяющегося импульсного прямого тока от длительности и скважности импульсов | | + | | |
13 Зависимость максимально допустимого неповторяющегося импульсного прямого тока от числа импульсов и их длительности | Iпр.и.нп.макс = f(n tu) | - | | |
14 Зависимость максимально допустимого постоянного или импульсного обратного напряжения от температуры | | + | | |
Примечания 1 Характеристику устанавливают для нормальной, повышенной и пониженной рабочей температур среды (корпуса) ВПДС. 2 Характеристику устанавливают для нормальной и повышенной рабочей температур среды (корпуса) ВПДС. 3 Характеристика подлежит обязательному включению в ТУ на ВПДС, предназначенные для работы в устройствах строчной развертки видеотехники. 4 Для ВПДС, предельные электрические режимы которых нормированы для температуры окружающей среды, характеристику указывают для различных условий монтажа. |
5.4 Важнейшие параметры ВПДС установлены в
таблице 5.
Наименование параметра | Обозначение классификационной группы |
Постоянный или средний обратный ток | |
Постоянное или среднее прямое напряжение | |
Время обратного восстановления | |
5.5 Параметры-критерии годности ВПДС, применяемые в испытаниях различных видов, установлены в
таблице 6.
Наименование параметра-критерия годности | Контроль соответствия требованиям |
к конструкции | стойкости к внешним воздействующим факторам | надежности | на воздействие специальных факторов |
Виды испытаний |
на светозащищенность | на воздействие повышенной температуры среды при эксплуатации (корпуса) ВПДС | на воздействие пониженной температуры среды при эксплуатации (корпуса) ВПДС | на воздействие атмосферного пониженного давления | на воздействие инея и росы | на безотказность |
Постоянное или среднее прямое напряжение | - | - | | - | - | - | - |
Постоянный или средний обратный ток | | | | | | | |
Примечания 1 В настоящей таблице приведены виды испытаний, в которых осуществляют контроль параметров-критериев годности в процессе проведения испытаний (при наличии воздействующего фактора), и параметры-критерии годности в процессе воздействия. Для всех видов испытаний ВПДС, установленных в ТУ и стандартах на ВПДС конкретных типов, до начала и после окончания испытания (при начальных и заключительных проверках) параметрами-критериями годности являются: - постоянное или среднее прямое напряжение; - постоянный или средний прямой ток, значение которого установлено в ТУ или стандартах на ВПДС конкретных типов. 2 Применимость параметров-критериев годности ВПДС в различных видах испытаний указана цифрой, обозначающей соответствующую классификационную группу. |
УДК 621.382.2.019:006.354 | |
Ключевые слова: выпрямительные полупроводниковые диоды, выпрямительные полупроводниковые столбы, система параметров, состав параметров, основные параметры, состав типовых характеристик, параметры-критерии годности |