Главная // Актуальные документы // ГОСТ Р (Государственный стандарт)СПРАВКА
Источник публикации
М.: ФГБУ "РСТ", 2022
Примечание к документу
Документ
введен в действие с 01.01.2023.
Название документа
"ГОСТ Р 70380-2022. Национальный стандарт Российской Федерации. Лампы ультрафиолетовые бактерицидные низкого давления. Методы измерений энергетических характеристик ультрафиолетового излучения и электрических параметров"
(утв. и введен в действие Приказом Росстандарта от 04.10.2022 N 1047-ст)
"ГОСТ Р 70380-2022. Национальный стандарт Российской Федерации. Лампы ультрафиолетовые бактерицидные низкого давления. Методы измерений энергетических характеристик ультрафиолетового излучения и электрических параметров"
(утв. и введен в действие Приказом Росстандарта от 04.10.2022 N 1047-ст)
Утвержден и введен в действие
агентства по техническому
регулированию и метрологии
от 4 октября 2022 г. N 1047-ст
НАЦИОНАЛЬНЫЙ СТАНДАРТ РОССИЙСКОЙ ФЕДЕРАЦИИ
ЛАМПЫ УЛЬТРАФИОЛЕТОВЫЕ БАКТЕРИЦИДНЫЕ НИЗКОГО ДАВЛЕНИЯ
МЕТОДЫ ИЗМЕРЕНИЙ ЭНЕРГЕТИЧЕСКИХ ХАРАКТЕРИСТИК
УЛЬТРАФИОЛЕТОВОГО ИЗЛУЧЕНИЯ И ЭЛЕКТРИЧЕСКИХ ПАРАМЕТРОВ
Low-pressure germicidal ultraviolet lamps.
Methods for measuring energy characteristics of ultraviolet
radiation and electrical parameters
ГОСТ Р 70380-2022
Дата введения
1 января 2023 года
1 РАЗРАБОТАН Обществом с ограниченной ответственностью "Научно-исследовательский институт источников света имени А.Н. Лодыгина" (ООО "НИИИС имени А.Н. Лодыгина")
2 ВНЕСЕН Техническим комитетом по стандартизации ТК 332 "Светотехнические изделия, освещение искусственное"
3 УТВЕРЖДЕН И ВВЕДЕН В ДЕЙСТВИЕ
Приказом Федерального агентства по техническому регулированию и метрологии от 4 октября 2022 г. N 1047-ст
4 ВВЕДЕН ВПЕРВЫЕ
Правила применения настоящего стандарта установлены в статье 26 Федерального закона от 29 июня 2015 г. N 162-ФЗ "О стандартизации в Российской Федерации". Информация об изменениях к настоящему стандарту публикуется в ежегодном (по состоянию на 1 января текущего года) информационном указателе "Национальные стандарты", а официальный текст изменений и поправок - в ежемесячном информационном указателе "Национальные стандарты". В случае пересмотра (замены) или отмены настоящего стандарта соответствующее уведомление будет опубликовано в ближайшем выпуске ежемесячного информационного указателя "Национальные стандарты". Соответствующая информация, уведомление и тексты размещаются также в информационной системе общего пользования - на официальном сайте Федерального агентства по техническому регулированию и метрологии в сети Интернет (www.rst.gov.ru)
Настоящий стандарт распространяется на линейные, компактные и U-образные бактерицидные ультрафиолетовые лампы низкого давления (далее - лампы) и устанавливает методы измерений энергетических характеристик ультрафиолетового излучения и электрических параметров.
В настоящем стандарте использованы нормативные ссылки на следующие стандарты:
ГОСТ 8.654 Государственная система обеспечения единства измерений. Фотометрия. Термины и определения
ГОСТ 7601 Физическая оптика. Термины, буквенные обозначения и определения основных величин
ГОСТ 34100.3/ISO/IEC Guide 98-3:2008 Неопределенность измерения. Часть 3. Руководство по выражению неопределенности измерения
ГОСТ Р 8.568 Государственная система обеспечения единства измерений. Аттестация испытательного оборудования. Основные положения
Примечание - При пользовании настоящим стандартом целесообразно проверить действие ссылочных стандартов в информационной системе общего пользования - на официальном сайте Федерального агентства по техническому регулированию и метрологии в сети Интернет или по ежегодному информационному указателю "Национальные стандарты", который опубликован по состоянию на 1 января текущего года, и по выпускам ежемесячного информационного указателя "Национальные стандарты" за текущий год. Если заменен ссылочный стандарт, на который дана недатированная ссылка, то рекомендуется использовать действующую версию этого стандарта с учетом всех внесенных в данную версию изменений. Если заменен ссылочный стандарт, на который дана датированная ссылка, то рекомендуется использовать версию этого стандарта с указанным выше годом утверждения (принятия). Если после утверждения настоящего стандарта в ссылочный стандарт, на который дана датированная ссылка, внесено изменение, затрагивающее положение, на которое дана ссылка, то это положение рекомендуется применять без учета данного изменения. Если ссылочный стандарт отменен без замены, то положение, в котором дана ссылка на него, рекомендуется применять в части, не затрагивающей эту ссылку.
В настоящем стандарте применены термины по
ГОСТ 8.654 и
ГОСТ 7601, а также следующие термины с соответствующими определениями:
3.1
энергетическая освещенность Ee (в точке поверхности): Отношение потока излучения

, падающего на элемент поверхности с рассматриваемой точки, к площади
dA этого элемента.
3.2
сила излучения Ie: Отношение потока излучения

, исходящего от источника и распространяющегося внутри малого телесного угла

в рассматриваемом направлении, к этому телесному углу.
Примечание - Данный термин применяют для точечного источника излучения.
3.3
угловое распределение силы излучения
: Функция силы излучения от направления, задаваемого меридиональным углом

и экваториальным углом

.
Примечание - Для осесимметричного источника направление задается только полярным углом

.
3.4
индикатриса силы излучения
осесимметричного источника излучения: Относительное угловое распределение силы излучения.
Примечание - Относительное угловое распределение силы излучения вычисляют по формуле

(1)
где

- угловое распределение силы излучения в меридиональной плоскости;
Ie - сила излучения в наиболее характерном направлении (для линейных ламп соответствует перпендикулярному направлению относительно их оси).
3.5 бактерицидная ультрафиолетовая лампа низкого давления: Разрядная ртутная лампа низкого давления без люминофорного покрытия, которая генерирует излучение с длиной волны 253,7 нм.
Примечание - Оптимальное давление паров ртути ламп низкого давления составляет от 0,7 до 1,5 Па, а давление инертных газов (предпочтительно неона или аргона, или их смесей) - от 10 до 500 Па.
3.6 линейная бактерицидная ультрафиолетовая лампа низкого давления: Бактерицидная ультрафиолетовая лампа низкого давления, трубка которой состоит из одного линейного участка.
3.7 компактная бактерицидная ультрафиолетовая лампа низкого давления: Бактерицидная ультрафиолетовая лампа низкого давления, трубка которой разделена на несколько коротких участков, расположенных параллельно и соединенных между собой либо изогнутыми участками трубки, либо вваренными стеклянными патрубками.
Примечание - Стартер в лампе данного типа встроен в цоколь.
3.8 U-образная бактерицидная ультрафиолетовая лампа низкого давления: Бактерицидная ультрафиолетовая лампа низкого давления, трубка в которой разделена на два коротких участка, расположенных параллельно и соединенных между собой изогнутым участком трубки.
3.9 гониорадиометр: Радиометр для измерения углового распределения радиометрических характеристик источников излучения.
3.10
эквивалентный телесный угол
: Телесный угол, в котором возможно распространение всего потока излучения лампы

при силе излучения, равной
Ie по всем направлениям внутри этого угла.
Примечания
1 Эквивалентный телесный угол

вычисляют по формуле

(2)
где

- поток излучения лампы.
2 Для линейной лампы с известным угловым распределением силы излучения

в полярной плоскости
формула (2) принимает следующий вид

(3)
где Ie90 - сила излучения в направлении, перпендикулярном к оси лампы.
4 Общие требования к проведению измерений
4.1 Условия проведения измерений
4.1.1 При выполнении измерений соблюдают следующие условия, если иное не установлено в нормативной или технической документации на средства измерений (СИ) и лампы конкретных типов:
- температура окружающей среды: от 20 °C до 27 °C;
- относительная влажность воздуха: (65 +/- 20)%;
- атмосферное давление: от 84 до 104 кПа.
4.1.2 Измерения проводят в помещении с неподвижным воздухом.
4.1.3 Измерения проводят в затемненных помещениях, исключающих внешние засветки, стены, пол и потолок которых имеют глубоко-матовое черное покрытие.
4.1.4 Напряжение электропитания должно быть стабилизировано и соответствовать номинальному напряжению применяемого пускорегулирующего аппарата (ПРА).
4.2 Средства измерений и испытательное оборудование
4.2.1 СИ должны быть поверены или калиброваны в соответствии с нормативными документами, устанавливающими порядок и методы поверки и калибровки конкретных СИ.
Испытательное оборудование должно быть аттестовано в соответствии с
ГОСТ Р 8.568.
4.2.2 УФ-радиометр должен обеспечивать возможность измерений в диапазоне длин волн от 200 до 280 нм. Допускаемая основная погрешность/неопределенность измерения энергетической освещенности - не более 10%.
4.2.3 Допускаемая основная погрешность/неопределенность измерения длины лампы (расстояние между электродами) и расстояния фотометрирования - не более +/- 2,0 мм.
4.2.4 Погрешность/неопределенность измерения вольтметров и амперметров переменного тока - не более 0,2% номинальных значений.
4.2.5 Погрешность/неопределенность измерения измерителей мощности переменного тока - не более 0,5% номинальных значений.
Примечание - В схеме включения лампы с электронным ПРА (ЭПРА) полоса пропускания - не менее 100 кГц.
4.3 Подготовка к измерениям
4.3.1 Минимальное расстояние фотометрирования
D зависит от пространственной характеристики радиометрической головки. Для радиометров без косинусного корректора минимальное расстояние фотометрирования должно составлять не менее пяти габаритных размеров лампы (условие дальнего поля), для радиометров с косинусным корректором - не менее двух габаритных размеров лампы (условие ближнего поля).
4.3.2 Перед проведением измерений лампы подвергают предварительному отжигу в течение 100 ч, если иное не указано в стандартах или технических условиях на лампы конкретных типов.
5 Методы измерений электрических параметров
5.1 Средства измерений и испытательное оборудование
При измерениях применяют ПРА с рабочими характеристиками, указанными изготовителем или поставщиком ламп.
СИ и испытательное оборудование должны соответствовать
4.2.1,
4.2.4,
4.2.5.
5.2 Подготовка к измерениям
5.2.1 Измерения электрических параметров с использованием аналоговых электроизмерительных приборов проводят по схемам, приведенным:
- на
рисунке 1 - для ламп, работающих с ЭПРА;
- на
рисунке 2 - для ламп, работающих с электромагнитным ПРА (ЭМПРА).
1, 2 - выводы для подключения системы электропитания;
3 - источник электропитания; 4 - ЭПРА; V - вольтметр;
P - ваттметр; A - амперметр
Рисунок 1 - Схема измерений электрических параметров ламп,
работающих с ЭПРА
1, 2 - выводы для подключения системы электропитания;
3 - источник электропитания; 4 - электромагнитный балласт;
5 - стартер; V - вольтметр; P - ваттметр; A - амперметр
Рисунок 2 - Схема измерений электрических параметров ламп,
работающих с ЭМПРА
Измерения с использованием комбинированных СИ проводят в соответствии со схемой их включения.
5.2.2 Электроизмерительные приборы настраивают в соответствии с инструкциями по эксплуатации.
5.3 Проведение измерений
Измерения электрических параметров (ток, мощность, напряжение лампы и др.) проводят одновременно с измерениями энергетической освещенности (см.
6.2.4,
6.3.4) через интервалы времени, не превышающие 10 с от момента включения лампы до момента стабилизации ее режима работы.
5.4 Обработка результатов
Результаты измерений электрических параметров заносят в таблицу значений и оформляют протокол в соответствии с
разделом 8 с указанием неопределенности измерений.
6 Методы измерений энергетических характеристик ультрафиолетового излучения
6.1 Общие положения
6.1.1 Измерения энергетических характеристик ультрафиолетового излучения проводят следующими методами:
- гониометрическим методом;
- методом измерений через осевую энергетическую освещенность и эквивалентный телесный угол (для линейных ламп).
6.1.2 При измерениях применяют ПРА с рабочими характеристиками, указанными изготовителем ламп или ответственным поставщиком.
6.2 Гониометрический метод
6.2.1 Общие положения
6.2.1.1 Гониометрический метод определения потока излучения основан на измерениях распределения энергетической освещенности

по сферической поверхности радиусом
D, окружающей источник излучения (см.
рисунки 3 и
4), с последующим интегрированием полученного распределения потока излучения [см.
формулы (4) и
(5)].
1 - экваториальная плоскость; 2 - меридиональные
полуплоскости; 3 - радиометрическая головка;
4 - зона пространства dA
Примечание -

.
Рисунок 3 - Схема определения потока излучения ламп
гониометрическим методом
1 - меридиональная полуплоскость; 2 - ось системы
фотометрирования; 3 - ось лампы; 4 - радиометрическая
головка; 5 - зона пространства dA
Примечание -

.
Рисунок 4 - Схема определения потока излучения линейных ламп
гониометрическим методом
6.2.1.2 Измерения распределения энергетической освещенности

, необходимой для вычисления потока излучения ламп, по сферической поверхности радиусом
D проводят с использованием схемы, приведенной на
рисунке 3.
6.2.1.3 Поток излучения ламп, определяемый с использованием схемы, приведенной на
рисунке 3, вычисляют по формуле

(4)
Примечание - В
А.1 (приложение А) приведен пример расчета потока излучения по измеренному угловому распределению энергетической освещенности.
6.2.1.4 При определении потока излучения линейных ламп (с учетом осесимметричности их светораспределения) допускается проводить измерения углового распределения энергетической освещенности в одной меридиональной плоскости с использованием схемы, приведенной на
рисунке 4. В этом случае предполагается, что энергетическая освещенность в пределах зоны пространства
dA (см.
рисунок 4) принимает одно и то же значение.
6.2.1.5 Поток излучения линейных ламп, определяемый с использованием схемы, приведенной на
рисунке 4, вычисляют по формуле

(5)
Примечание - В
А.2 (приложение А) приведен пример расчета потока излучения по измеренному угловому распределению энергетической освещенности.
6.2.1.6 Диапазон сканирования в меридиональных полуплоскостях - в пределах от 0° до 180°; рекомендуемое значение шага сканирования

не должно превышать 5°.
6.2.1.7 Диапазон сканирования в экваториальной плоскости - в пределах от 0° до 360°; рекомендуемое значение шага сканирования

в экваториальной плоскости не должно превышать 10°.
6.2.2 Средства измерений и испытательное оборудование
СИ и испытательное оборудование должны соответствовать
4.2.
6.2.3 Подготовка к измерениям
6.2.3.1 Измерения углового распределения энергетической освещенности проводят с использованием схемы, приведенной на
рисунке 3. Измерения линейных ламп допускается проводить с использованием схемы, приведенной на
рисунке 4.
6.2.3.2 Оптический центр лампы совмещают с центром вращения гониорадиометра. Положения оптических центров ламп приведены в
приложении Б.
6.2.3.3 При использовании гониорадиометра, в котором реализован принцип неподвижного источника излучения, лампу устанавливают в рабочем положении, указанном в нормативном или техническом документе на лампу конкретного типа.
6.2.3.4 При применении гониорадиометра, конструкцией которого предусмотрен поворот источника излучения, используют систему фотометрирования, не допускающую смену горизонтального положения лампы на вертикальное во время измерений. За базовое положение лампы принимают горизонтальное.
6.2.3.5 Схему для измерений электрических параметров лампы подготавливают в соответствии с
5.2.1.
6.2.3.6 Минимальное расстояние фотометрирования
D устанавливают в соответствии с
4.3.1.
6.2.3.7 Для уменьшения влияния рассеянного излучения на результат измерений используют экран(ы) с отверстием(ями), которые размещают между лампой и приемником. Экран(ы) устанавливают таким образом, чтобы из места расположения приемника через отверстие(я) в экране(ах) полностью просматривалась излучающая поверхность испытуемой лампы, но при этом площадь периферийной зоны, прилегающей к лампе, была минимальной.
6.2.3.8 Перед началом измерений регистрируют относительную влажность воздуха, атмосферное давление и температуру окружающей среды.
6.2.3.9 УФ-радиометр включают и подготавливают к работе в соответствии с инструкцией по эксплуатации.
6.2.4 Проведение измерений
6.2.4.1 Измеряют расстояние фотометрирования D.
6.2.4.2 Включают лампу и по истечении 15 мин непрерывного горения в номинальном электрическом режиме измеряют электрические параметры лампы (ток, мощность, напряжение и др.) и угловое распределение энергетической освещенности

.
6.2.4.3 При проведении измерений в автоматическом режиме энергетическую освещенность и электрические параметры лампы измеряют через интервалы времени, не превышающие 10 с от момента включения лампы до момента стабилизации ее режима работы. После стабилизации энергетической освещенности и электрических параметров лампы измеряют угловое распределение энергетической освещенности

по
6.2.1.2 или
6.2.1.4.
6.2.5 Обработка результатов
6.2.5.1 Вычисляют значение, полученное по
формуле (4), численным интегрированием по формуле

(6)
где

- шаг сканирования в экваториальной плоскости;
n - порядковый номер экваториального угла

;
N - значение порядкового номера последнего экваториального угла

;

- меридиональный угол;
m - порядковый номер меридионального угла

;
M - значение порядкового номера последнего меридионального угла

;

- значение энергетической освещенности в направлении

.
Примечание - В
В.1 (приложение В) приведен пример расчета потока излучения на основании данных, полученных при измерениях по
6.2.1.2.
6.2.5.2 Поток излучения линейных ламп, угловое распределение энергетической освещенности которых определяют по
6.2.1.4, допускается вычислять по формуле

(7)
Примечание - В
В.2 (приложение В) приведен пример расчета потока излучения на основании данных, полученных при измерениях по
6.2.1.4.
6.2.5.3 Из значений, измеренных по
6.2.4.3, выбирают максимальное значение энергетической освещенности
Eмакс и значение энергетической освещенности, соответствующее стабильному режиму работы лампы
Eстаб и вычисляют множитель
k по формуле

(8)
Вычисляют значение потока

, соответствующего максимальной энергетической освещенности
Eмакс, по формуле

(9)
6.3 Метод измерений потока излучения линейных ламп через осевую энергетическую освещенность и эквивалентный телесный угол
6.3.1 Общие положения
6.3.1.1 Метод основан на том, что светораспределение линейных ламп осесимметрично (см.
рисунок 5) и подобно друг другу. Применение данного принципа обеспечивает возможность (по результатам измерений энергетической освещенности на заданном расстоянии в направлении, перпендикулярном оси лампы) восстановить фотометрическое тело и вычислить поток излучения лампы.
Рисунок 5 - Изображение фотометрического тела линейной лампы
6.3.1.2 Измерения энергетической освещенности, необходимой для расчета потока излучения, проводят с использованием схемы, приведенной на
рисунке 6.
L - длина линейной лампы (расстояние между электродами);
L1 и L2 - длины сегментов линейной лампы; D - расстояние
фотометрирования;

- половина углового размера лампы;
1 - лампа; 2 - экран; 3 - радиометрическая головка
Рисунок 6 - Схема измерений потока излучения линейных ламп
через энергетическую освещенность и эквивалентный
телесный угол
Поток излучения линейных ламп вычисляют по формуле

(10)
где

- эквивалентный телесный угол.
Примечания
1 Эквивалентный телесный угол

принимают равным

или, с целью повышения точности, предварительно определяют по результатам его измерений с использованием гониометра, проведенных в условиях дальнего поля.
6.3.2 Средства измерений и испытательное оборудование
СИ и испытательное оборудование должны соответствовать
4.2.
6.3.3 Подготовка к измерениям
6.3.3.1 Определяют эквивалентный телесный угол

. Для этого в условиях дальнего поля (минимальное расстояние фотометрирования должно составлять не менее значения пяти габаритных размеров лампы) измеряют угловое распределение энергетической освещенности

в соответствии с
6.2. Далее вычисляют эквивалентный телесный угол

по формуле

(11)
где Ee90 - энергетическая освещенность в направлении, перпендикулярном лампе.
Примечание - При отсутствии технической возможности проведения гониометрических измерений допускается эквивалентный телесный угол

в
формуле (10) заменить на

(см.
[1]).
6.3.3.2 Измерения проводят с использованием схемы, приведенной на
рисунке 6.
6.3.3.3 Оптический центр лампы (см.
приложение Б), центры экранов и центр приемной поверхности радиометрической головки устанавливают на одной высоте. При этом ось фотометрирования должна проходить через оптический центр лампы и делить ее изображение пополам.
6.3.3.4 Ось лампы, а также плоскости экранов и приемной поверхности устанавливают перпендикулярно оси фотометрирования.
6.3.3.5 Минимальное расстояние фотометрирования
D устанавливают в соответствии с
4.3.1.
6.3.3.6 Влияние рассеянного излучения на результат измерений минимизируют в соответствии с
6.2.3.7.
6.3.3.7 УФ-радиометр включают и подготавливают к работе в соответствии с инструкцией по эксплуатации.
6.3.4 Проведение измерений
6.3.4.1 Измеряют длину лампы L (расстояние между электродами) и расстояние фотометрирования D.
6.3.4.2 Включают лампу и по истечении 15 мин непрерывного горения в номинальном электрическом режиме измеряют электрические параметры лампы (ток, мощность, напряжение и др.) и угловое распределение энергетической освещенности

.
6.3.4.3 При проведении измерений в автоматическом режиме энергетическую освещенность и электрические параметры лампы измеряют через интервалы времени, не превышающие 10 с от момента включения лампы до момента стабилизации ее режима работы.
6.3.5 Обработка результатов
6.3.5.1 Вычисляют значение потока, соответствующее стабильному режиму работы лампы Eстаб, по формуле

(12)
6.3.5.2 Из значений, измеренных по
6.3.4.3, выбирают максимальное значение энергетической освещенности и вычисляют соответствующее значение потока излучения по формуле

(13)
6.3.5.3 Если измерения энергетической освещенности осуществляют в условиях дальнего поля, то значения потока излучения, соответствующие максимальной энергетической освещенности Eмакс и стабильному режиму работы лампы Eстаб, допускается вычислять по формулам

(14)
Примечание - В
приложении В приведены примеры расчета потока излучения через осевую энергетическую освещенность и эквивалентный телесный угол

.
7 Неопределенность измерений
Неопределенность результатов измерений оценивают и представляют согласно
ГОСТ 34100.3. Для всех результатов измерений рекомендуется использовать расширенную неопределенность с доверительной вероятностью 95%. Значение коэффициента охвата принимают равным 2. Расширенную неопределенность определяют с точностью до двух значащих цифр.
8 Представление результатов измерений
8.1 Общая информация
Протокол испытаний должен содержать:
- наименование и адрес испытательной лаборатории, дату и номер протокола;
- данные о заказчике испытаний;
- дату проведения испытаний и виды измерений, включая краткое описание проведенных измерений.
8.2 Информация об испытуемой лампе
В протокол испытаний включают следующую информацию об испытуемой лампе:
- идентификационный номер;
- если известно: наименование изготовителя, тип, номер модели, номинальные значения электрических параметров;
- описание испытуемой лампы (рекомендуется прикладывать фотографии);
- другую необходимую информацию (например, метод отбора образцов для испытаний).
В протокол испытаний включают следующую информацию о вспомогательном оборудовании:
- наименование вспомогательного оборудования (например, устройство управления, электропитания), тип, модель, заводской номер;
- наименование изготовителя;
- номинальные значения электрических параметров.
8.3 Информация о методе измерений
В протокол испытаний включают следующую информацию о методе измерений:
- краткое описание метода измерений;
- краткое описание использованного оборудования;
- указание об условиях измерений (стандартные или соответствующие особым условиям работы испытуемой лампы);
- рабочее положение испытуемой лампы в процессе измерений (например, ориентация и наклон лампы, относительное положение в системе координат и др.);
- температуру окружающего воздуха, значения напряжения и частоты тока.
Допускается включать в протокол испытаний подробное описание всего использованного для измерений оборудования по соответствующему требованию заказчика.
8.4 Данные об энергетических характеристиках ультрафиолетового излучения и электрических параметрах
Результаты определения энергетических характеристик ультрафиолетового излучения и электрических параметров представляют в протоколе испытаний для конкретной лампы.
В протокол должны быть включены результаты всех измерений: электрические параметры лампы (ток, напряжение, мощность и др.) при работе с выбранным ПРА, расстояние фотометрирования, таблица с зависимостью энергетической освещенности и электрических параметров от времени, значение потока излучения, соответствующее максимальному значению энергетической освещенности и стабильному режиму работы лампы. Если измерения потока излучения проведены методом через осевую энергетическую освещенность, то необходимо указать использованное значение эквивалентного телесного угла, длину лампы (между электродами), параметры окружающей среды.
Неопределенность измерений оценивают в соответствии с
разделом 7 и результаты ее оценки включают в протокол.
(справочное)
ПРИМЕРЫ РАСЧЕТА ПОТОКА ИЗЛУЧЕНИЯ ПО ИЗМЕРЕННОМУ УГЛОВОМУ
РАСПРЕДЕЛЕНИЮ ЭНЕРГЕТИЧЕСКОЙ ОСВЕЩЕННОСТИ
В настоящем приложении приведены примеры расчета потока излучения равнояркого цилиндра по угловому распределению энергетической освещенности. Для равнояркого цилиндра с осевой силой излучения 1 Вт/ср в соответствии с
формулой (5) поток излучения составляет

. Шаги сканирования ламп в экваториальной

и меридиональной

плоскостях выбраны исходя из удобства представления. При выборе шага сканирования ламп следует руководствоваться положениями, приведенными в
6.2.1.6 и
6.2.1.7.
Пример 1 приложения В применим для линейных, U-образных и компактных ламп,
пример 2 приложения В - только для линейных ламп.
А.1 Расчет потока излучения с применением схемы, приведенной на рисунке 3
В
таблице А.1 представлены значения углового распределения энергетической освещенности

, Вт, по сферической поверхности радиусом 1 м, окружающей равнояркий цилиндр.
Таблица А.1
Значения углового распределения энергетической освещенности,
формируемого равноярким цилиндром на расстоянии 1 м
Значение угла  \ Значение угла  | | | | | | | | | | | | | |
| 0,00 | 0,26 | 0,50 | 0,71 | 0,87 | 0,97 | 1,00 | 0,97 | 0,87 | 0,71 | 0,50 | 0,26 | 0,00 |
| 0,00 | 0,26 | 0,50 | 0,71 | 0,87 | 0,97 | 1,00 | 0,97 | 0,87 | 0,71 | 0,50 | 0,26 | 0,00 |
| 0,00 | 0,26 | 0,50 | 0,71 | 0,87 | 0,97 | 1,00 | 0,97 | 0,87 | 0,71 | 0,50 | 0,26 | 0,00 |
| 0,00 | 0,26 | 0,50 | 0,71 | 0,87 | 0,97 | 1,00 | 0,97 | 0,87 | 0,71 | 0,50 | 0,26 | 0,00 |
| 0,00 | 0,26 | 0,50 | 0,71 | 0,87 | 0,97 | 1,00 | 0,97 | 0,87 | 0,71 | 0,50 | 0,26 | 0,00 |
| 0,00 | 0,26 | 0,50 | 0,71 | 0,87 | 0,97 | 1,00 | 0,97 | 0,87 | 0,71 | 0,50 | 0,26 | 0,00 |
| 0,00 | 0,26 | 0,50 | 0,71 | 0,87 | 0,97 | 1,00 | 0,97 | 0,87 | 0,71 | 0,50 | 0,26 | 0,00 |
| 0,00 | 0,26 | 0,50 | 0,71 | 0,87 | 0,97 | 1,00 | 0,97 | 0,87 | 0,71 | 0,50 | 0,26 | 0,00 |
| 0,00 | 0,26 | 0,50 | 0,71 | 0,87 | 0,97 | 1,00 | 0,97 | 0,87 | 0,71 | 0,50 | 0,26 | 0,00 |
| 0,00 | 0,26 | 0,50 | 0,71 | 0,87 | 0,97 | 1,00 | 0,97 | 0,87 | 0,71 | 0,50 | 0,26 | 0,00 |
| 0,00 | 0,26 | 0,50 | 0,71 | 0,87 | 0,97 | 1,00 | 0,97 | 0,87 | 0,71 | 0,50 | 0,26 | 0,00 |
| 0,00 | 0,26 | 0,50 | 0,71 | 0,87 | 0,97 | 1,00 | 0,97 | 0,87 | 0,71 | 0,50 | 0,26 | 0,00 |
| 0,00 | 0,26 | 0,50 | 0,71 | 0,87 | 0,97 | 1,00 | 0,97 | 0,87 | 0,71 | 0,50 | 0,26 | 0,00 |
Для расчета потока излучения ламп по
формуле (6), используя данные
таблицы А.1, вычисляют промежуточные значения по формуле

(А.1)
Таблица А.2
Значение угла  \ Значение угла  | | | | | | | | | | | | |
| 0,01 | 0,05 | 0,11 | 0,18 | 0,23 | 0,26 | 0,25 | 0,21 | 0,15 | 0,08 | 0,03 | 0,00 |
| 0,01 | 0,05 | 0,11 | 0,18 | 0,23 | 0,26 | 0,25 | 0,21 | 0,15 | 0,08 | 0,03 | 0,00 |
| 0,01 | 0,05 | 0,11 | 0,18 | 0,23 | 0,26 | 0,25 | 0,21 | 0,15 | 0,08 | 0,03 | 0,00 |
| 0,01 | 0,05 | 0,11 | 0,18 | 0,23 | 0,26 | 0,25 | 0,21 | 0,15 | 0,08 | 0,03 | 0,00 |
| 0,01 | 0,05 | 0,11 | 0,18 | 0,23 | 0,26 | 0,25 | 0,21 | 0,15 | 0,08 | 0,03 | 0,00 |
| 0,01 | 0,05 | 0,11 | 0,18 | 0,23 | 0,26 | 0,25 | 0,21 | 0,15 | 0,08 | 0,03 | 0,00 |
| 0,01 | 0,05 | 0,11 | 0,18 | 0,23 | 0,26 | 0,25 | 0,21 | 0,15 | 0,08 | 0,03 | 0,00 |
| 0,01 | 0,05 | 0,11 | 0,18 | 0,23 | 0,26 | 0,25 | 0,21 | 0,15 | 0,08 | 0,03 | 0,00 |
| 0,01 | 0,05 | 0,11 | 0,18 | 0,23 | 0,26 | 0,25 | 0,21 | 0,15 | 0,08 | 0,03 | 0,00 |
| 0,01 | 0,05 | 0,11 | 0,18 | 0,23 | 0,26 | 0,25 | 0,21 | 0,15 | 0,08 | 0,03 | 0,00 |
| 0,01 | 0,05 | 0,11 | 0,18 | 0,23 | 0,26 | 0,25 | 0,21 | 0,15 | 0,08 | 0,03 | 0,00 |
| 0,01 | 0,05 | 0,11 | 0,18 | 0,23 | 0,26 | 0,25 | 0,21 | 0,15 | 0,08 | 0,03 | 0,00 |

(А.2)
Затем вычисляют шаг сканирования

в экваториальной плоскости в радианах:

(А.3)
В соответствии с
формулой (6) значение квадрата расстояния фотометрирования
D2 умножают на значение шага сканирования

в экваториальной плоскости и суммарное значение элементов
таблицы А.2:

(А.4)
При шаге сканирования

погрешность численного интегрирования для равнояркого цилиндра составляет

.
А.2 Расчет потока излучения ламп с применением схемы, приведенной на рисунке 4
В
таблице А.3 приведены значения углового распределения энергетической освещенности в одной меридиональной плоскости с радиусом фотометрирования
D = 1 м.
Таблица А.3
Значения углового распределения энергетической освещенности
Значение угла  | | | | | | | | | | | | | |
| 0,00 | 0,26 | 0,50 | 0,71 | 0,87 | 0,97 | 1,00 | 0,97 | 0,87 | 0,71 | 0,50 | 0,26 | 0,00 |
Для расчета потока излучения ламп по
формуле (7), используя данные
таблицы А.3, промежуточные значения вычисляют по формуле

(А.5)
Таблица А.4
Значение угла  | | | | | | | | | | | | |
| 0,01 | 0,05 | 0,11 | 0,18 | 0,23 | 0,26 | 0,25 | 0,21 | 0,15 | 0,08 | 0,03 | 0,00 |
|
Далее вычисляют поток излучения ламп

, для этого определяют сумму элементов
таблицы А.3 и в соответствии с
формулой (7) полученную сумму умножают на значение

:

(А.6)
(обязательное)
ПОЛОЖЕНИЯ ОПТИЧЕСКИХ ЦЕНТРОВ ЛАМП
Рисунок Б.1 - Положение оптического центра линейной лампы
Рисунок Б.2 - Положение оптического центра U-образной лампы
Рисунок Б.3 - Положение оптического центра компактной лампы
(справочное)
ПРИМЕРЫ РАСЧЕТА ПОТОКА ИЗЛУЧЕНИЯ ЛИНЕЙНЫХ ЛАМП
В настоящем приложении приведены примеры расчета потока излучения линейных ламп через осевую энергетическую освещенность и эквивалентный телесный угол.
| | ИС МЕГАНОРМ: примечание. В официальном тексте документа, видимо, допущена опечатка: пункт 5.3.3.1 отсутствует. Возможно, имеется в виду пункт 6.3.3.1. | |
После стабилизации электрических параметров и параметров оптического излучения на расстоянии
D = 6 м в направлении, перпендикулярном оси лампы, была измерена энергетическая освещенность, которая составила
Ee = 12,8 мВт/м
2. Длина лампы (расстояние между электродами) также была измерена и составила
L = 0,4 м. Используя полученные значения, следует вычислить поток излучения лампы. В соответствии с
5.3.3.1 при вычислении следует принять эквивалентный телесный угол

равным значению

.
С учетом того, что отношение расстояния фотометрирования к длине лампы превышает значение пяти габаритных размеров лампы, фотометрирование было проведено в условиях дальнего поля. В этом случае поток излучения лампы можно вычислить по
формулам (14) и
(13).
После стабилизации электрических параметров и параметров оптического излучения на расстоянии
D = 1 м в направлении, перпендикулярном оси лампы, была измерена энергетическая освещенность, которая составила
Ee = 440 мВт/м
2. Длина лампы между электродами также была измерена и составила
L = 0,4 м. Используя полученные значения, вычисляют поток излучения лампы. В соответствии с
6.3.3.1 при вычислении следует принять эквивалентный телесный угол

равным

.
С учетом того, что отношение расстояния фотометрирования к длине лампы составляет менее значения пяти габаритных размеров лампы, фотометрирование было проведено в условиях ближнего поля. В этом случае поток излучения лампы вычисляют по
формуле (13)
(справочное)
ВЫВОД ФОРМУЛЫ ДЛЯ РАСЧЕТА ПОТОКА ИЗЛУЧЕНИЯ ЛИНЕЙНЫХ ЛАМП
В настоящем приложении приведен вывод
формулы (10) расчета потока излучения линейных ламп через осевую энергетическую освещенность и эквивалентный телесный угол.
Г.1 Общая формула
Линейную лампу разбивают на бесконечно малые элементарные отрезки и составляют выражение для нормальной энергетической освещенности
dEn в точке
P, формируемой элементарным отрезком
dL в направлении


(Г.1)
где

- сила излучения элементарного отрезка
dL в направлении к точке
P;

- расстояние между элементарным отрезком
dL и точкой
P.
L - длина линейной лампы; L1 и L2 - длины сегментов линейной
лампы;

- сила излучения элементарного отрезка
dL
в направлении к точке
P;

- индикатриса силы излучения;
G - удельная сила излучения на единицу длины, Вт·ср-1·м-1;
D - расстояние между линейной лампой и точкой P;

- расстояние между элементарным отрезком
dL и точкой
P
Рисунок Г.1 - Схема к выводу формулы для расчета потока
излучения линейной лампы
Дифференциал функции

вычисляют по формуле

(Г.2)
Удельную силу излучения G, Вт·ср-1·м-1, в направлении, перпендикулярном отрезку dL, вычисляют по формуле

(Г.3)
где I0 - сила излучения в направлении, перпендикулярном к оси лампы.
Силу излучения

элементарного отрезка
dL в направлении к точке
P вычисляют по формуле

(Г.4)
где

- индикатриса силы излучения.

(Г.5)
Расстояние между отрезком
dL, соответствующим направлению

, и точкой
P вычисляют по формуле

(Г.6)
Энергетическую освещенность, формируемую линейной лампой в этой точке, вычисляют по формуле

(Г.7)

(Г.8)

(Г.9)
Г.2 Частный случай формулы (Г.9) линейной лампы для равнояркого цилиндра
Частный случай
формулы (Г.9) для равнояркого цилиндра является важным с практической точки зрения, так как светораспределения его и линейных ламп близки. Погрешность упрощенного метода измерений потока излучения через осевую энергетическую освещенность и эквивалентный телесный угол по отношению к гониометрическому методу, основанная на допущении, что лампа обладает свойствами равнояркого цилиндра, допускается в пределах от 2% до 6% (см.
[1]).
Для равнояркого цилиндра индикатрису силы излучения выражают в виде

; фотометрическое тело представляет собой тороид, изображение которого приведено на
рисунке Г.2.
Рисунок Г.2 - Изображение фотометрического тела
равнояркого цилиндра
Подставляя индикатрису силы излучения для равнояркого цилиндра в
формулу (3), вычисляют эквивалентный телесный угол

по формуле

(Г.10)
Подставляя индикатрису силы излучения и эквивалентный телесный угол равнояркого цилиндра в
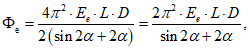
формулу (Г.8) получают формулу
| | ИС МЕГАНОРМ: примечание. Формула дана в соответствии с официальным текстом документа. | |

(Г.11)
где

;

.
Если

, то

(Г.12)
где

.
В условиях дальнего поля, когда
D >=
L, множитель

в
формуле (Г.12) приблизительно равен
D. В этом случае
формула (Г.12) преобразуется в следующее выражение

(Г.13)
| ИСО 15727:2020 | Устройства UV-C. Измерение мощности UV-C лампы (UV-C devices. Measurement of the output of a UV-C lamp) |
УДК 621.327.9:006.354 | |
Ключевые слова: ультрафиолетовые бактерицидные лампы низкого давления, энергетические характеристики ультрафиолетового излучения, электрические параметры, методы измерений |