Главная // Актуальные документы // ГОСТ Р (Государственный стандарт)СПРАВКА
Источник публикации
М.: ФГБУ "РСТ", 2022
Примечание к документу
Документ включен в
Перечень международных и региональных (межгосударственных) стандартов, а в случае их отсутствия - национальных (государственных) стандартов, содержащих правила и методы исследований (испытаний) и измерений, в том числе правила отбора образцов, необходимые для применения и исполнения требований технического
регламента Таможенного союза "О требованиях к смазочным материалам, маслам и специальным жидкостям" (ТР ТС 030/2012) и осуществления оценки соответствия объектов технического регулирования (
Решение Коллегии Евразийской экономической комиссии от 25.07.2023 N 109).
Документ
введен в действие с 01.01.2023.
Название документа
"ГОСТ Р 54281-2022. Национальный стандарт Российской Федерации. Нефтепродукты, смазочные масла и присадки. Метод определения воды кулонометрическим титрованием по Карлу Фишеру"
(утв. и введен в действие Приказом Росстандарта от 10.10.2022 N 1116-ст)
"ГОСТ Р 54281-2022. Национальный стандарт Российской Федерации. Нефтепродукты, смазочные масла и присадки. Метод определения воды кулонометрическим титрованием по Карлу Фишеру"
(утв. и введен в действие Приказом Росстандарта от 10.10.2022 N 1116-ст)
Утвержден и введен в действие
по техническому регулированию
и метрологии
от 10 октября 2022 г. N 1116-ст
НАЦИОНАЛЬНЫЙ СТАНДАРТ РОССИЙСКОЙ ФЕДЕРАЦИИ
НЕФТЕПРОДУКТЫ, СМАЗОЧНЫЕ МАСЛА И ПРИСАДКИ
МЕТОД ОПРЕДЕЛЕНИЯ ВОДЫ КУЛОНОМЕТРИЧЕСКИМ
ТИТРОВАНИЕМ ПО КАРЛУ ФИШЕРУ
Petroleum products, lubricating oils
and additives. Method for determination of water
by coulometric Karl Fischer titration
ГОСТ Р 54281-2022
Дата введения
1 января 2023 года
1 ПОДГОТОВЛЕН Федеральным государственным бюджетным учреждением "Российский институт стандартизации" (ФГБУ "РСТ"), Техническим комитетом по стандартизации ТК 031 "Нефтяные топлива и смазочные материалы" на основе собственного перевода на русский язык англоязычной версии стандарта, указанного в
пункте 4
2 ВНЕСЕН Техническим комитетом по стандартизации ТК 031 "Нефтяные топлива и смазочные материалы"
3 УТВЕРЖДЕН И ВВЕДЕН В ДЕЙСТВИЕ
Приказом Федерального агентства по техническому регулированию и метрологии от 10 октября 2022 г. N 1116-ст
4 Настоящий стандарт является модифицированным по отношению к стандарту АСТМ Д6304-20 "Стандартный метод определения воды в нефтепродуктах, смазочных маслах и присадках кулонометрическим титрованием по Карлу Фишеру" [ASTM D6304-20 "Standard test method for determination of water in petroleum products, lubricating oils, and additives by coulometric Karl Fischer titration", MOD] путем включения дополнительных положений, фраз, слов, ссылок, которые выделены в тексте курсивом, а также:
- исключения подразделов 1.2, 1.3 и 1.5;
- замены и исключения ссылочных документов в разделе 2;
- указания об отборе пробы;
- исключения разделов 3 и 5;
- исключения пункта 6.1.2;
- исключения информации о моделях и поставщике аппаратуры.
Наименование настоящего стандарта изменено относительно наименования указанного стандарта для приведения в соответствие с ГОСТ Р 1.5-2012
(пункт 3.5).
Правила применения настоящего стандарта установлены в статье 26 Федерального закона от 29 июня 2015 г. N 162-ФЗ "О стандартизации в Российской Федерации". Информация об изменениях к настоящему стандарту публикуется в ежегодном (по состоянию на 1 января текущего года) информационном указателе "Национальные стандарты", а официальный текст изменений и поправок - в ежемесячном информационном указателе "Национальные стандарты". В случае пересмотра (замены) или отмены настоящего стандарта соответствующее уведомление будет опубликовано в ближайшем выпуске ежемесячного информационного указателя "Национальные стандарты". Соответствующая информация, уведомление и тексты размещаются также в информационной системе общего пользования - на официальном сайте Федерального агентства по техническому регулированию и метрологии в сети Интернет (www.rst.gov.ru)
1.1 Настоящий стандарт распространяется на нефтепродукты
и присадки и устанавливает метод прямого определения воды с использованием автоматизированной аппаратуры для кулонометрического титрования по Карлу Фишеру. Настоящий стандарт распространяется также на непрямое определение воды, термически извлеченной из образцов и с помощью инертного газа перенесенной в кулонометрическую ячейку для титрования по Карлу Фишеру. На результаты испытания влияют меркаптаны, сульфиды (S
- или H
2S), сера и другие мешающие соединения (см.
раздел 4). Прецизионность метода охватывает номинальный диапазон содержания воды от 10 до 25000 мг/кг для
процедуры A, от 30 до 2100 мг/кг для
процедуры B и от 20 до 360 мг/кг для
процедуры C.
1.2 Применение настоящего стандарта связано с использованием опасных материалов, операций и оборудования. В настоящем стандарте не предусмотрено рассмотрение всех вопросов обеспечения безопасности. Пользователь настоящего стандарта несет ответственность за установление соответствующих правил безопасности и охраны труда, а также определяет целесообразность применения законодательных ограничений перед его использованием.
В настоящем стандарте использованы нормативные ссылки на следующие стандарты:
ГОСТ 2517 Нефть и нефтепродукты. Методы отбора проб
ГОСТ 31873 Нефть и нефтепродукты. Методы ручного отбора проб
ГОСТ Р 51069 Нефть и нефтепродукты. Метод определения плотности, относительной плотности и плотности в градусах API ареометром
ГОСТ Р 57037 Нефтепродукты. Определение плотности, относительной плотности и плотности в градусах API цифровым плотномером
Примечание - При пользовании настоящим стандартом целесообразно проверить действие ссылочных стандартов в информационной системе общего пользования - на официальном сайте Федерального агентства по техническому регулированию и метрологии в сети Интернет или по ежегодному информационному указателю "Национальные стандарты", который опубликован по состоянию на 1 января текущего года, и по выпускам ежемесячного информационного указателя "Национальные стандарты" за текущий год. Если заменен ссылочный стандарт, на который дана недатированная ссылка, то рекомендуется использовать действующую версию этого стандарта с учетом всех внесенных в данную версию изменений. Если заменен ссылочный стандарт, на который дана датированная ссылка, то рекомендуется использовать версию этого стандарта с указанным выше годом утверждения (принятия). Если после утверждения настоящего стандарта в ссылочный стандарт, на который дана датированная ссылка, внесено изменение, затрагивающее положение, на которое дана ссылка, то это положение рекомендуется применять без учета данного изменения. Если ссылочный стандарт отменен без замены, то положение, в котором дана ссылка на него, рекомендуется применять в части, не затрагивающей эту ссылку.
3.1 Для определения содержания воды в образце в настоящем методе используют титрование по Карлу Фишеру. В титровальной ячейке кулонометрического аппарата на аноде образуется йод для реакции Карла Фишера. Вводят в титровальную ячейку определенное количество образца, после оттитровывания всей воды избыток йода обнаруживают электрометрическим детектором и завершают титрование. На основе стехиометрии реакции 1 моль йода реагирует с 1 молем воды; таким образом, согласно закону Фарадея, количество воды пропорционально общему количеству потребленного тока.
3.2 При
процедуре A вводят образец непосредственно в ячейку для титрования. Эта
процедура рекомендуется только для образцов с низкой вязкостью без ожидаемых помех (см.
раздел 4).
3.3 Процедуры B и
C используют для образцов, слаборастворимых в реактиве Карла Фишера, вязких образцов или образцов с компонентами, которые, как ожидается, будут мешать реакции Карла Фишера. Также эти процедуры можно использовать для испытания образцов, подходящих для
процедуры A. В
процедурах B и
C предусмотрено использование вспомогательных устройств - термостата или испарителя воды.
3.3.1 При
процедуре B помещают образец в герметичный стеклянный флакон и нагревают в термостате для извлечения воды в свободное пространство над образцом. Испарившаяся вода из свободного пространства над образцом во флаконе переносится в кулонометрическую ячейку для титрования по Карлу Фишеру сухим химически инертным газом-носителем и титруется. Для улучшения полноты извлечения воды из образца можно использовать вспомогательные растворители.
3.3.2 При
процедуре C вводят образец в нагретый растворитель или минеральное масло во вспомогательном испарителе воды, откуда испаренная вода переносится в ячейку для титрования по Карлу Фишеру сухим химически инертным газом-носителем и титруется.
3.4 Для образцов, которые могут быть испытаны с использованием всех процедур, арбитражной является
процедура A.
4.1 Ряд веществ и классов соединений, которые могут участвовать в реакциях конденсации или окислительно-восстановительных реакциях, мешают определению воды титрованием по Карлу Фишеру.
В нефтепродуктах наиболее часто мешающее влияние оказывают меркаптаны, сульфиды, амины, кетоны, альдегиды, окислители и восстановители, а также некоторые металлоорганические соединения. Влияние некоторых из них, например, кетонов, можно устранить добавлением соответствующих реактивов.
4.2 В нефтепродуктах наиболее распространенными мешающими соединениями являются меркаптаны и сульфиды. При содержании серы менее 500 мг/кг влияние этих соединений незначительно для содержания воды более 0,02% масс. Влияние меркаптанов и сульфидов на результаты определения воды в диапазоне от 10 до 200 мг/кг не было определено экспериментально. При таком низком содержании воды влияние меркаптанов и сульфидов может быть существенным при содержании серы более 500 мг/кг.
4.3 Непрямое определение с использованием испарения воды (
процедуры B и
C) может свести помехи к минимуму.
Температура экстракции выше допустимой может привести к разложению образца, что приведет к химическим помехам. Эти помехи могут привести к ошибочно высоким результатам.
4.4 Рекомендации для получения достоверных результатов определения приведены в приложении X1.
5.1 Автоматический кулонометрический титратор, включающий в себя блок управления, сосуд для титрования, двойной платиновый индикаторный электрод, генераторный электрод в сборе и магнитную мешалку. Аппарат предназначен для кулонометрического получения йода, который стехиометрически реагирует с водой, присутствующей в растворе образца. По электрическому заряду (количеству электричества), затраченному на образование реактива, вычисляется количество воды в микрограммах, которое считывают в виде прямого цифрового показания. Можно использовать измерительные ячейки с диафрагмами и без них.
5.2 Вспомогательный термостат для извлечения воды
Автономное или автоматизированное устройство, в котором образцы взвешивают во флаконе, закрывают крышкой с диафрагмой и помещают в термостат, в котором нагревается образец. Испарившаяся вода переносится сухим газом-носителем по линии передачи в кулонометрическую ячейку для титрования (см.
рисунок X2.1).
5.3 Вспомогательный испаритель воды
Устройство, в котором отмеренную аликвоту образца помещают в нагретый сосуд с минеральным маслом или другим подходящим растворителем, где испарившаяся вода переносится сухим газом-носителем по линии передачи в кулонометрическую ячейку для титрования (см.
рисунок X2.2).
5.4 Газонепроницаемый шприц
Газонепроницаемый шприц с иглой подходящей длины и калибра для ввода испытуемого образца в ячейку для титрования или удаления избытка раствора из ячейки для титрования (см.
примечание 1). Вместимость шприца зависит от размера образца, рекомендуется, чтобы образец занимал не менее 25% объема шприца. При использовании пластиковых шприцев материал должен быть совместим с матрицей образца.
Примечание 1 - При использовании стеклянных шприцев рекомендуется после очистки промывать все части стеклянных шприцев и игл безводным метанолом или этанолом, затем высушивать в термостате и хранить в эксикаторе.
5.5 Термостат для сушки стеклянной посуды.
5.6 Эксикатор стандартного лабораторного типа с цветовым индикатором.
5.7 Весы аналитические, обеспечивающие получение результатов взвешивания до 0,1 мг.
5.8 Флаконы стеклянные для использования во вспомогательном термостате для извлечения воды по
процедуре B.
5.9 Крышки с диафрагмой (обжимные или завинчивающиеся крышки с диафрагмой) для использования во вспомогательном термостате для извлечения воды по
процедуре B.
5.10 Допускается использовать аппаратуру и средства измерения (СИ), отличные от указанных, с характеристиками не хуже установленных настоящим стандартом и обеспечивающие получение достоверных результатов определения.
6.1 Чистота реактивов
Следует использовать реактивы квалификации ч.д.а. или более высокой чистоты. Допускается использовать реактивы другой квалификации, если заранее установлено, что реактив имеет достаточно высокую чистоту и его использование не уменьшит точности результатов определения.
6.2 Чистота воды
Если нет других указаний, используют воду типа II или типа III (см.
[1]).
Допускается использовать воду, отличную от типа II или типа III, при условии подтверждения того, что используемая вода не снижает точность определения. Степень чистоты воды может быть обеспечена применением соответствующего оборудования.
6.3 Реактивы Карла Фишера
Применяют имеющиеся в продаже реактивы и системы реактивов различных типов для определения воды кулонометрическим титрованием по Карлу Фишеру с использованием автоматических титраторов. Обычно в реактивах в качестве органического основания используют пиридин. Большинство изготовителей автоматических титраторов рекомендуют с их аппаратом использовать реактивы, не содержащие пиридин. Реактивы, не содержащие пиридин, более стабильны, менее токсичны и пахучи. По возможности рекомендуется использовать реактивы, не содержащие пиридин. Для кулонометрического титрования обычно требуется два раствора реактивов: анолит и католит или генераторный раствор. Однако при использовании интегрированной или бездиафрагменной ячейки можно использовать однокомпонентный реактив, содержащий все реактивы, необходимые для титрования по Карлу Фишеру.
6.3.1 Катодный раствор содержит соли аммония и метанол <*>.
--------------------------------
<*> Осторожно. Опасен для здоровья.
6.3.2 Анодный раствор содержит йодид, диоксид серы и буферное вещество в подходящем растворителе.
6.3.3 Однокомпонентный реактив содержит йодид, диоксид серы, буферное вещество и основания в подходящем растворителе. Этот реактив можно использовать в качестве единственного раствора в кулонометрической системе с бездиафрагменной генераторной ячейкой или в качестве раствора анолита в диафрагменной ячейке, если это указано изготовителем.
6.3.4 Если испытуемый образец содержит кетоны, используют имеющиеся в продаже реактивы, которые должны быть модифицированы для использования в присутствии кетонов.
Примечание 2 - Некоторые лаборатории всегда добавляют реактив, подавляющий кетоны как часть своей стандартной лабораторной практики, т.к. часто не известно, содержит ли образец кетоны.
6.4 Стандартные образцы содержания воды
Рекомендуется использовать доступные в продаже стандартные образцы с содержанием воды 0,1% масс. и 1% масс. в органическом растворителе. Можно использовать приготовленные стандартные образцы с другим содержанием воды. Допускается использовать стандартные образцы для термостата, содержащие до 5% воды. При выборе стандартных образцов следует проконсультироваться с изготовителем вспомогательных устройств.
6.5 Ксилол квалификации ч.д.а. с содержанием воды не более 200 мг/кг, осушенный с помощью молекулярных сит (Предупреждение - Огнеопасен. Пары вредны).
6.6 Белое минеральное масло, также называемое парафиновым маслом или минеральным маслом.
6.7 Молекулярное сито или другой подходящий осушающий агент.
6.8 Толуол квалификации ч.д.а. с содержанием воды не более 200 мг/кг (Предупреждение - Огнеопасен. Пары вредны).
6.9 Азот, используемый в качестве газа-носителя для переноса воды в сосуд для титрования по Карлу Фишеру в
процедурах B и
C. Можно использовать другие сухие газы.
6.10 Допускается использовать реактивы и материалы, отличные от указанных, с характеристиками не хуже установленных настоящим стандартом и обеспечивающие получение достоверных результатов определения.
7 Требования безопасности
Реактивы содержат одно или несколько из следующих веществ: йод, органическое основание, диоксид серы и метанол или другие спирты. При смешивании реактивов и удалении раствора из сосуда для титрования надевают химически стойкие перчатки. Следует соблюдать осторожность, чтобы избежать вдыхания паров реактивов или прямого попадание реактивов на кожу.
8.2 Лабораторная проба
Проба нефтепродукта, представленная в лабораторию или испытательный центр для проведения испытания по настоящему методу. Только представительные пробы, отобранные в соответствии с
8.1, могут считаться лабораторными пробами.
Примечание 3 - Понятие "лабораторная проба" включает в себя также бутылки для ручного отбора проб, емкости автоматических пробоотборников и контейнеры для хранения, используемые в предыдущих анализах.
8.3 Испытуемый образец
Аликвота, отобранная от лабораторной пробы, для проведения испытания по настоящему методу. Независимо от типа пробы рекомендуется тщательно перемешивать лабораторную пробу перед отбором испытуемого образца.
Примечание 4 - Для отбора представительной аликвоты может потребоваться гомогенизация.
8.3.1 Соблюдают осторожность, чтобы избежать попадания влаги в пробу из атмосферы, контейнера для проб или аппаратуры для переноса проб.
8.3.2 Перед отбором аликвоты для испытания убеждаются, что пробы являются однофазными. Вода может отделяться от углеводородов, если превышен предел растворимости. Предел растворимости зависит от компонентного состава пробы, уровней концентрации и температуры. Если разделение фаз происходит после перемешивания, проба не подходит для испытания.
Примечание 5 - После извлечения образца из исходного контейнера для анализа используют образец целиком или утилизируют излишки. Не следует повторно помещать образец обратно в контейнер для дальнейшего использования.
9.1 При подготовке и работе аппаратуры для кулонометрического титрования следует руководствоваться инструкцией изготовителя.
9.2 Герметизируют все соединения сосуда для титрования для предотвращения попадания атмосферной влаги в систему.
9.3 Помещают анодный раствор Карла Фишера в анодное (внешнее) отделение. Добавляют раствор до уровня, рекомендованного изготовителем аппарата.
9.4 При использовании генераторных электродов с диафрагмой помещают катодный раствор Карла Фишера в катодное (внутреннее) отделение. Добавляют раствор до уровня на 2 - 3 мм ниже уровня раствора в анодном отделении.
Примечание 6 - При использовании генераторных электродов без диафрагмы катодный раствор не требуется.
9.5 Кондиционирование аппарата для кулонометрического титрования
Включают аппарат и запускают магнитную мешалку в ячейке для титрования для плавного перемешивания. Кондиционируют сосуд для титрования путем предварительного титрования влаги в сосуде до получения базовой линии, которая должна быть менее максимального значения, рекомендованного изготовителем аппарата.
9.6 Кондиционирование вспомогательной аппаратуры
В дополнение к
9.5 вспомогательную аппаратуру для испарения воды кондиционируют следующим образом.
9.6.1 Устанавливают температуру и расход газа в соответствии с инструкцией изготовителя и требованиями к образцам.
9.6.2 Титруют остаточную воду из вспомогательной аппаратуры в ячейке для титрования до достижения конечной точки и получения базовой линии, которая должна быть менее максимального значения, рекомендованного изготовителем аппарата.
10 Проверка рабочих характеристик системы
10.1 В зависимости от изготовителя аппаратуры процедуры проверки автоматических кулонометрических титраторов могут отличаться. Руководствуются инструкцией по эксплуатации кулонометра и вспомогательных термостата или испарителя воды при их использовании. Пригодны для использования стабильные, расфасованные стандартные образцы содержания воды. Рекомендуется проверять рабочие характеристики системы с помощью стандартного раствора с приблизительно соответствующим уровнем содержания воды, который ожидается в образцах.
10.2 Поскольку в процессе титрования эффективность реактива снижается, его следует регулярно контролировать по имеющимся в продаже стандартным образцам содержания воды в соответствии с рекомендациями изготовителя аппаратуры. При их отсутствии проверку осуществляют перед началом работы со свежим реактивом, в день испытаний образцов и после каждых 10 определений. Если полученное значение превышает +/- 5% от известного, перед испытанием образца проводят соответствующие корректирующие действия, чтобы результат испытания образца для проверки попадал в допустимый диапазон (см.
примечание 7).
Примечание 7 - Следуют инструкциям изготовителя для выявления возможных причин неудовлетворительных результатов испытания стандартных образцов. Это может потребовать замены растворов реактивов или выявления и устранения неполадок с термостатом
(процедура B) или испарителем воды
(процедура C) при их использовании.
Рекомендуется составлять и вести контрольную карту.
11 Проведение испытания. Процедура A (прямой ввод)
11.1 Готовят автоматический кулонометрический титратор в соответствии с
разделом 9 и проверяют рабочие характеристики системы в соответствии с
разделом 10.
11.2 Помещают испытуемый образец нефтепродукта в сосуд для титрования следующим образом.
Чистым, сухим шприцем подходящей вместимости (см.
таблицу 1 и
примечание 5) отбирают и утилизируют порцию образца. Сразу же отбирают следующую порцию испытуемого образца, протирают иглу для удаления излишков образца, взвешивают шприц и записывают массу шприца с образцом до 0,1 мг или устанавливают нулевое показание весов.
Таблица 1
Рекомендуемое количество испытуемого образца
в зависимости от ожидаемого содержания воды
Ожидаемое содержание воды, % | Количество испытуемого образца, г или мл | Оттитрованная вода, мкг |
От 0,001 до 0,010 | 5 | От 30 до 300 включ. |
От 0,010 до 0,030 | 3 | От 300 до 900 включ. |
От 0,030 до 0,070 | 1 | От 300 до 700 включ. |
От 0,070 до 0,100 | 0,5 | От 350 до 500 включ. |
От 0,100 до 0,500 | 0,25 | От 250 до 1250 включ. |
От 0,500 до 2,500 | 0,1 | От 500 до 2500 включ. |
Примечание - Таблица включает ожидаемые концентрации воды, которые превышают область применения для процедур B и C. |
11.3 Начинают титрование, прокалывают иглой шприца мембрану впускного порта и вводят образец, следя за тем, чтобы испытуемый образец попадал в реактив для титрования, а не на части сосуда для титрования, не контактирующие с реактивом. Удаляют шприц и повторно взвешивают, полученное значение записывают до 0,1 мг. Если перед вводом образца при взвешивании шприца с образцом весы были установлены на нулевое показание, отрицательная масса, отображаемая на весах, является массой образца. Если перед вводом образца была записана масса шприца с образцом, вычитают из нее массу шприца с образцом после ввода образца и получают массу образца.
11.4 После достижения конечной точки титрования записывают полученное значение массы оттитрованной воды в микрограммах или вычисленное значение содержания воды в мг/кг (%).
Примечание 8 - Если содержание воды в образце неизвестно, рекомендуется начинать испытание с небольшого количества испытуемого образца, чтобы избежать длительного титрования и повышенного расхода реактивов. Затем, при необходимости, корректируют размер аликвоты.
После завершения титрования и получения стабильной базовой линии можно вводить дополнительные испытуемые образцы по
11.2.
11.5 При возникновении проблем с испытанием образцов или стандартных образцов содержания воды, или если ячейка титрования загрязнена, очищают сосуд для титрования и генераторный электрод, заменяют реактивы по
X1.2.7, подготавливают аппаратуру в соответствии с
разделом 9 и проверяют рабочие характеристики системы в соответствии с
разделом 10.
12 Проведение испытания. Процедура B (со вспомогательным термостатом)
12.1 Готовят автоматический кулонометрический титратор в соответствии с
разделом 9 и регулируют поток азота или другого сухого инертного газа-носителя в соответствии с инструкцией изготовителя. Нагревают испарительную камеру до температуры, соответствующей конкретному типу продукта. Минимальная рекомендуемая температура термостата - 90 °C. Для улучшения полноты извлечения воды из образца можно использовать вспомогательные растворители. Следуют инструкции изготовителя и соблюдают соответствующие меры предосторожности. Убеждаются, что выбранная температура термостата достаточно высокая для извлечения воды, но не вызывает разложения образца. Дополнительная информация о выборе подходящей температуры приведена в
X1.5.3.
Примечание 9 - В межлабораторных исследованиях, проведенных в 2019 г., для определения прецизионности для процедуры B, использовали температуру экстракции 150 °C для следующих типов образцов: присадки к смазочным материалам, жидкости для автоматических коробок передач, базовое масло, биодизельное топливо, компрессорное масло, дизельное топливо со сверхнизким содержанием серы, трансмиссионное масло, гидравлическое масло и турбинное масло.
12.2 Проводят холостой опыт, необходимый для учета любой влаги во флаконе с образцом и во вспомогательном растворителе при его использовании.
12.2.1 Значение холостого опыта для флакона определяют путем серии испытаний герметично закрытых флаконов без образца. При использовании вспомогательного растворителя холостой опыт проводят с использованием объема вспомогательного растворителя, равного объему образца.
Примечание 10 - Значение холостого опыта для флакона зависит от количества воды, поглощенной внутренней поверхностью флакона и крышки, а также влажности воздуха во флаконе, поэтому эти флаконы не следует использовать повторно для определения значения холостого опыта. Допускается использовать флаконы повторно. В этом случае снимают крышку для установления равновесия по влажности.
12.2.2 Температура и расход газа, используемые в холостом опыте, должны быть такими же, как и при испытании образца.
12.2.3 Проводят холостой опыт ежедневно или перед испытанием образца.
12.2.4 Проводят холостой опыт в соответствии с инструкцией изготовителя.
12.2.5 Записывают массу воды в микрограммах для каждого холостого опыта. Результат холостого опыта используют для расчета массы воды в образцах.
Примечание 11 - Для повышения прецизионности масса воды (в микрограммах), оттитрованной в холостом опыте, должна быть менее половины массы воды, оттитрованной в образце.
12.3 Помещают количество испытуемого образца в соответствии с
таблицей 1 в неиспользованный флакон, взвешивают и записывают полученный результат до 0,1 мг. Герметично закрывают флакон в соответствии с инструкцией изготовителя.
Примечание 12 - Если содержание воды в образце неизвестно, рекомендуется начинать испытание с небольшого количества испытуемого образца, чтобы избежать длительного титрования и повышенного расхода реактивов. Затем, при необходимости, корректируют размер аликвоты.
Примечание 13 - Для образцов массой более 0,5 г может потребоваться использование вспомогательного растворителя или подача продувочного газа в образец ниже его поверхности для полного извлечения воды.
12.4 Испытывают образец при температуре, соответствующей для извлечения воды без разложения образца. Для определения подходящей температуры можно использовать градиент температуры (см.
рисунок X1.1).
12.5 Записывают массу оттитрованной воды в микрограммах.
12.6 Для подготовки к испытанию следующего образца кондиционируют сосуд для титрования по Карлу Фишеру и термостат в соответствии с инструкцией изготовителя (Предупреждение - Для удаления из термостата горячих флаконов следует использовать соответствующие средства индивидуальной защиты).
12.7 При возникновении проблем с испытанием образцов или стандартных образцов содержания воды, или если ячейка титрования загрязнена, очищают сосуд для титрования и генераторный электрод, заменяют реактивы по
X1.2.7, подготавливают аппаратуру в соответствии с
разделом 9 и проверяют рабочие характеристики системы в соответствии с
разделом 10.
13 Проведение испытания. Процедура C (со вспомогательным испарителем)
13.1 Готовят автоматический кулонометрический титратор в соответствии с
разделом 9. Добавляют необходимое количество белого минерального масла, толуола или подходящего растворителя, рекомендованного изготовителем, в испаритель. Регулируют поток инертного газа-носителя через испарительную камеру в соответствии с инструкцией изготовителя. Нагревают испарительную камеру до температуры, рекомендованной изготовителем устройства, в зависимости от конкретного типа продукта.
Примечание 14 - Следуют инструкции изготовителя и соблюдают соответствующие меры предосторожности при использовании толуола или других растворителей. Убеждаются, что выбранная температура достаточно высокая для испарения азеотропа, но не вызывает разложения образца.
Примечание 15 - Добавленное белое минеральное масло, ксилол, толуол или другой растворитель сушат на этапе кондиционирования устройства перед началом испытания. Без проведения холостого опыта (с прямым дозированием образца в емкость испарителя после предварительного кондиционирования) испаритель следует использовать только для незначительных концентраций воды.
13.2 Помещают испытуемый образец в емкость испарителя следующим образом.
Чистым сухим шприцем подходящей вместимости (см.
таблицу 1 и
примечание 5) отбирают и утилизируют порцию образца. Сразу же отбирают следующую порцию испытуемого образца, протирают иглу для удаления излишек образца, взвешивают шприц и записывают массу шприца с образцом до 0,1 мг или устанавливают нулевое показание весов.
13.3 Начинают титрование, прокалывают иглой шприца мембрану впускного порта или заглушенного отверстия в испарительной камере и вводят образец, следя за тем, чтобы испытуемый образец попадал в испарительную камеру, а не на части камеры, не контактирующие с жидкостью. Удаляют шприц, повторно взвешивают и записывают полученное значение до 0,1 мг. Если перед вводом образца при взвешивании шприца с образцом весы были установлены на нулевое показание, отрицательная масса, отображаемая на весах, является массой образца. Если перед вводом образца была записана масса шприца с образцом, вычитают из нее массу шприца с образцом после ввода образца и получают массу образца.
Примечание 16 - Если содержание воды в образце неизвестно, рекомендуется начинать испытание с небольшого количества испытуемого образца, чтобы избежать длительного титрования и повышенного расхода реактивов. Затем, при необходимости, корректируют размер аликвоты.
13.4 После достижения конечной точки титрования записывают полученное значение массы оттитрованной воды в микрограммах.
13.5 После завершения титрования и получения стабильной базовой линии можно вводить в соответствии с
13.2 дополнительные испытуемые образцы. Для подготовки к испытанию следующего образца кондиционируют сосуд для титрования по Карлу Фишеру и испаритель в соответствии с инструкцией изготовителя.
13.6 По мере необходимости удаляют отработанный растворитель или минеральное масло из испарительной камеры и добавляют свежий в соответствии с инструкцией изготовителя.
13.7 При возникновении проблем с испытанием образцов или стандартных образцов содержания воды, или если ячейка титрования загрязнена, очищают сосуд для титрования и генераторный электрод, заменяют реактивы по
X1.2.7, готовят аппаратуру в соответствии с
разделом 9 и проверяют рабочие характеристики системы в соответствии с
разделом 10.
Подтверждают рабочие характеристики аппаратуры или процедуру ежедневно, анализируя образец контроля качества (образец QC), который является представительным по отношению к обычно анализируемым образцам. Частота контроля качества должна быть увеличена, если регулярно анализируют большое количество образцов. Если выявлено, что результаты анализа находятся в пределах статистического контроля, то контроль качества можно проводить реже. Обработку результатов анализа образцов QC выполняют с использованием контрольных карт или других статистических методов. Если в результате анализа образца QC выявлено, например, что лаборатория находится вне пределов статистического контроля, проводят корректирующие мероприятия. Необходимо достаточное количество однородных и стабильных в условиях хранения образцов контроля качества для всего периода использования настоящего метода. До проведения контроля процесса измерения пользователю настоящего метода необходимо определить среднее значение и контрольные пределы для образца QC. Прецизионность образца QC должна соответствовать значениям, указанным в
разделе 17.
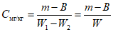
Вычисляют содержание воды в пробе C в миллиграммах на килограмм по формуле

; (1)
в процентах по массе по формуле

; (2)
в процентах по объему по формуле

, (3)
где m - масса оттитрованной воды, мкг;
B - масса воды в холостом опыте, мкг (для
процедуры B);
W1 - масса шприца с образцом до введения образца, г;
W2 - масса шприца с образцом после введения образца, г;
W - масса образца, г;

- плотность образца при температуре испытания, кг/м
3;

- плотность воды при температуре испытания, кг/м
3.
За результат испытания принимают среднее арифметическое значение двух определений.
16 Оформление результатов
16.1 Регистрируют содержание воды. Значения менее 1000 мг/кг или 0,1% по массе, или по объему округляют до двух значащих цифр, значения 1000 мг/кг или 0,1% по массе, или по объему и более - до трех значащих цифр.
16.2 Указывают обозначение настоящего стандарта и использованную
процедуру - A,
B или
C.
17.1 Прецизионность была установлена на основе статистического анализа результатов межлабораторных испытаний (ILS) 16 лабораторий, проводивших по два испытания 12 материалов.
17.1.1 Повторяемость r
Расхождение результатов двух последовательных определений, полученных одним и тем же оператором на одном и том же оборудовании при постоянных рабочих условиях на идентичном испытуемом материале, при нормальном и правильном выполнении метода может превысить значения, приведенные ниже, с вероятностью приблизительно 5% (только в одном случае из двадцати в течение длительного времени):
где X - среднее значение арифметическое значение двух определений.
17.1.2 Воспроизводимость R
Расхождение результатов двух отдельных и независимых определений, полученных разными операторами, работающими в разных лабораториях на идентичном испытуемом материале, при нормальном и правильном выполнении метода испытаний может превысить значения, приведенные ниже, с вероятностью приблизительно 5% (только в одном случае из двадцати в течение длительного времени):
где X - среднее значение арифметическое значение двух определений.
17.1.3 Прецизионность
процедуры B была установлена для температуры извлечения 150 °C и следующих типов образцов: присадки к смазочным материалам, жидкости для автоматических коробок передач, базовое масло, биодизельное топливо, компрессорное масло, дизельное топливо со сверхнизким содержанием серы, трансмиссионное масло, гидравлическое масло и турбинное масло.
17.2 Диапазон достоверных результатов определений для применения прецизионности (r и R) и указания в протоколе испытаний следующий.
наименьшее зафиксированное среднее значение образца ILS - 20 мг/кг;
наибольшее зафиксированное среднее значение образца ILS - 24000 мг/кг;
самый низкий результат определения - 1 мг/кг;
самый высокий результат определения - 26876 мг/кг.
наименьшее зафиксированное среднее значение образца ILS - 33 мг/кг;
наивысшее зафиксированное среднее значение образца ILS - 2094 мг/кг;
самый низкий результат определения - 4 мг/кг;
самый высокий результат определения - 2646 мг/кг.
наименьшее зафиксированное среднее значение образца ILS - 20 мг/кг;
наивысшее зафиксированное среднее значение образца ILS - 359 мг/кг;
самый низкий результат определения - 8 мг/кг;
самый высокий результат определения - 484 мг/кг.
(справочное)
РЕКОМЕНДАЦИИ ДЛЯ ПРОВЕДЕНИЯ АНАЛИЗА ВОДЫ
КУЛОНОМЕТРИЧЕСКИМ ТИТРОВАНИЕМ ПО КАРЛУ ФИШЕРУ
X1.1 Для получения результатов определения с учетом прецизионности настоящего метода необходимо соблюдать следующие рекомендации. Некоторые из них приведены в тексте настоящего стандарта, в настоящем приложении рекомендации объединены для удобства пользователя.
X1.2.1 Известно, что следующие типы химических соединений оказывают влияние на титрование по Карлу Фишеру: меркаптаны, сульфиды, амины, кетоны, альдегиды, окислители и восстановители, а также некоторые металлоорганические соединения. Некоторые помехи можно устранить добавлением подходящих реактивов, например добавлением бензойной или янтарной кислот для альдегидов и кетонов.
X1.2.1.1 При низком содержании воды (менее 0,02% масс.) влияние меркаптанов и сульфидов может быть значительным.
X1.2.2 Вся аппаратура должна быть тщательно высушена. После очистки промывают шприцы, иглы и флаконы безводным метанолом или 2-пропанолом. Затем сушат в термостате и хранят в эксикаторе.
X1.2.3 Во время первоначального кондиционирования ячейки для титрования по Карлу Фишеру высокий фоновый ток в течение длительного периода может быть вызван наличием влаги на внутренних стенках сосуда для титрования. Промывают внутреннюю часть сосуда электролитом, осторожно встряхивая сосуд или энергично перемешивая.
X1.2.4 Несмотря на то, что при кулонометрическом титровании стандартизация реактивов не требуется, характеристики реактива ухудшаются по мере использования, их следует регулярно контролировать по имеющимся в продаже стандартным образцам воды в соответствии с рекомендациями изготовителя аппарата. При их отсутствии проверку осуществляют ежедневно перед началом работы со свежим реактивом (при проведении испытаний) и после каждых 10 определений.
X1.2.5 Если содержание воды в образце неизвестно, рекомендуется начинать испытание с небольшого количества испытуемого образца, чтобы избежать длительного титрования и повышенного расхода реактивов. Затем, при необходимости, корректируют размер аликвоты.
X1.2.6 Извлечение менее 50,0 мкг воды может снизить прецизионность. Если требуется повысить прецизионность, проводят повторное испытание, отбирая больший размер образца, если не был отобран максимальный размер образца или отсутствуют помехи от матрицы.
X1.2.7 При возникновении одной из следующих ситуаций, очищают сосуд для кулонометрического титрования и генераторный электрод, заменяют анодный раствор (и катодный раствор при его использовании), а затем подготавливают аппарат в соответствии с
разделом 9 и проверяют рабочие характеристики системы в соответствии с
разделом 10.
X1.2.7.1 Постоянно высокий и нестабильный фоновый ток или дрейф.
1) Если проблемы сохраняются, используют другую партию реактива Карла Фишера (при ее наличии).
2) Проверяют контакты генераторного и индикаторного электродов. Неисправные контакты могут приводить к ошибкам.
X1.2.7.2 Разделение фаз в анодном отсеке, или образец покрывает электроды.
1) Если сосуд для титрования загрязняется образцом, тщательно очищают анодный и катодный отсеки ксилолом. Не допускается использовать ацетон или аналогичные кетоны.
2) При использовании диафрагменных ячеек для титрования по Карлу Фишеру фритта, разделяющая отделения сосуда, может забиваться остатками образца (не регистрируется ток титрования). В таких случаях разбирают аппарат и очищают фритту в соответствии с инструкцией изготовителя.
X1.2.7.3 Общее количество образца, добавленного в сосуд для титрования, превышает одну четверть объема раствора в анодном отсеке.
X1.2.7.4 Растворы, находящиеся в сосуде для титрования, имеют недельную давность.
Реактив Карла Фишера загрязнен/израсходован: заменяют раствор, возможно, используют другую партию.
Проверяют электрические контакты; неисправные контакты могут привести к нестабильному измерительному сигналу.
X1.3.1 Максимально быстро заполняют сухую охлажденную бутылку для пробы до расстояния 15 мм от верха и герметично закрывают.
X1.3.2 После отбора сухим шприцем аликвоты пробы вводят в бутылку для пробы шприцем сухой газ для заполнения объема отобранной аликвоты.
X1.3.3 Промывают чистый сухой шприц образцом не менее трех раз порциями образца, которые отбрасывают перед отбором аликвоты для введения в сосуд для титрования.
X1.4.1 На количество извлекаемой воды из испытуемых образцов по
процедурам B и
C, а также на прецизионность может оказывать влияние температура извлечения, использование вспомогательных растворителей и экстрагирующих веществ в
процедуре B или масел, или растворителей в
процедуре C.
X1.4.2 Повышение температуры экстракции может вызвать разложение пробы, что приведет к помехам, как описано в
X1.2.1. Указанные помехи могут привести к ошибочно завышенным результатам.
X1.5.1 Относительное значение холостого опыта
Относительные значения холостого опыта устанавливают путем испытания серии пустых флаконов с использованием настроек и температуры извлечения, которые применяли для испытания образца. Если для улучшения полноты извлечения воды из образца использовали вспомогательный растворитель, помещают представительную порцию растворителя в пустой флакон. Значение холостого опыта используют для корректировки на количество воды из атмосферы, образовавшейся на поверхности флакона/крышки, и влажность воздуха во флаконе.
X1.5.1.1 Если при испытании флакон заполнен образцом (и вспомогательным растворителем) не менее чем на половину, значение холостого опыта для пустого флакона будет больше вычитаемого из результата испытания образца. Для получения достоверных результатов необходимо рассчитать содержание влаги в воздухе, вытесненном образцом, и вычесть ее из массы воды, полученной при титровании.
X1.5.2 Расположение иглы
Впускная игла, используемая для ввода сухого газа-носителя, может быть расположена над или ниже уровня жидкого образца во флаконе.
X1.5.2.1 Расположение иглы в свободном пространстве флакона (над уровнем жидкого образца) может предотвратить засорение иглы и обеспечить достаточное извлечение воды для многих образцов.
X1.5.2.2 Расположение иглы ниже уровня жидкого образца облегчает перемешивание образца и может способствовать переходу воды в газ-носитель.
X1.5.2.3 Выпускная игла, используемая для переноса воды в ячейку для титрования по Карлу Фишеру, должна быть расположена выше уровня жидкости, чтобы предотвратить закупоривание линии передачи или загрязнение ячейки для титрования образцом.
X1.5.3 Температура извлечения
Температура извлечения должна быть достаточно высокой, чтобы эффективно извлекать воду из испытуемого образца, и в то же время не настолько высокой, чтобы происходило разложение образца.
X1.5.3.1 В ILS 2019 г., проведенных для определения прецизионности
процедуры B, использовали температуру извлечения 150 °C; данная температура подходит для многих образцов.
X1.5.3.2 При использовании вспомогательных растворителей рекомендуется использовать температуру извлечения, равную или немного выше температуры кипения вспомогательного растворителя.
X1.5.3.3 Для типов образцов, содержащих термически нестабильные при температуре 150 °C компоненты, может потребоваться использование более низких температур извлечения из-за возможных помех.
X1.5.3.4 Температуры выше 150 °C можно использовать для типов образцов, которые не разлагаются при более высоких температурах.
X1.5.3.5 При использовании термостата
(процедура B) для определения подходящей температуры извлечения может быть полезен температурный профиль. На
рисунке X1.1 показан график зависимости содержания воды и дрейфа от температуры.
1) Температурную кривую (см.
рисунок X1.1) можно использовать для определения подходящей температуры извлечения данного образца. Значение температуры примерно 150 °C достаточно высокое для извлечения воды без разложения образца. При температуре примерно 220 °C фоновый сигнал начинает нарастать, т.к. образец начинает разлагаться. Обычно температура экстракции должна быть не менее чем на 20 °C ниже температуры начала разложения. Для этого образца подходящая температура извлечения составляет от 150 °C до 200 °C.

- масса воды, мкг;

- дрейф, мкг/мин
Рисунок X1.1 - Градиент температуры (2 °C/мин) дигидрата
тартрата натрия, показывающий зависимость количества
извлеченной воды и соответствующее значение дрейфа
от температуры
X1.5.4 При получении неудовлетворительной прецизионности (воспроизводимости) результатов испытаний проводят следующие проверки.
X1.5.4.1 Убеждаются в правильности используемых параметров титрования и контроля. При необходимости регулируют эти параметры.
X1.5.4.2 Проверяют, правильно ли закрыты флаконы с образцами. Слишком тугие или слишком свободные крышки могут быть негерметичными.
X1.5.4.3 Слишком большой дрейф: отключают подачу газа.
1) Если значение дрейфа уменьшается: убеждаются, что используется сухой газ-носитель и не забито молекулярное сито. Убеждаются в отсутствии загрязнения системы игл и/или линии передачи, промывают водой и ополаскивают метанолом. Перед использованием высушивают компоненты.
2) Если значение дрейфа не меняется: проверяют ячейку для титрования, диафрагму крышек и/или уплотнения на наличие утечек, что молекулярное сито генераторного электрода не забито, реактив достаточно кондиционирован и обеспечивается эффективное перемешивание в ячейке для титрования.
X1.5.4.4 Генераторный или индикаторный электроды загрязнены: очищают в соответствии с инструкцией изготовителя.
X1.6.1 Белое минеральное масло, используемое в
процедуре C, является подходящим растворителем для многих типов нефтепродуктов.
X1.6.2 При использовании растворителя, такого как толуол, гексан или ксилол, перегонка во время процесса выпаривания может вызвать перенос части матрицы образца вместе с растворителем.
X1.6.2.1 Объем жидкости в сосуде для титрования может увеличиваться из-за перегонки. Заменяют анодный раствор, когда общий объем образца/растворителя, перенесенного в сосуд для титрования, превышает одну четвертую объема раствора в отсеке.
(справочное)
ИЛЛЮСТРАЦИИ ПРИНЦИПА ДЕЙСТВИЯ ВСПОМОГАТЕЛЬНЫХ УСТРОЙСТВ
ДЛЯ ОПРЕДЕЛЕНИЯ ВОДЫ КУЛОНОМЕТРИЧЕСКИМ ТИТРОВАНИЕМ
ПО КАРЛУ ФИШЕРУ
X2.1 Принцип действия вспомогательного термостата для извлечения воды и примеры вспомогательного испарителя воды показаны на
рисунках X2.1 и
X2.2 соответственно.
1 - сосуд для титрования по Карлу Фишеру; 2 - индикаторный
электрод; 3 - подача газа; 4 - генераторный электрод;
5 - осушительная трубка; 6 - газ-носитель с извлеченной
водой; 7 - полая выпускная игла; 8 - полая впускная игла;
9 - крышка с диафрагмой; 10 - образец; 11 - термостат
Рисунок X2.1 - Принцип действия вспомогательного
термостата для извлечения воды
1 - термостат; 2 - испарительная камера;
3 - предохранительная пробка; 4 - фланец; 5 - газ-носитель
с выпаренной водой; 6 - сухой газ-носитель; 7 - диафрагма
для ввода образца; 8 - впускная трубка; 9 - термостат;
10 - испарительная камера; 11 - газ-носитель с выпаренной
водой; 12 - диафрагма для ввода образца; 13 - сухой
газ-носитель; 14 - впускная трубка; 15 - клапан слива
образца
Рисунок X2.2 - Примеры вспомогательного испарителя воды
| ASTM D1193 | Specification for reagent water (Спецификация на воду реактив) |
УДК 665.71:543.613.2:543.242.3:006.354 | |
Ключевые слова: нефтепродукты, смазочные масла и присадки, метод определения воды кулонометрическим титрованием по Карлу Фишеру |