По сведениям, размещенным на Информационном портале Росстандарта по адресу https://uvedns.gostinfo.ru/, дата введения в действие перенесена на 30.09.2026 Приказом Росстандарта от 24.07.2024 N 961-ст. |
Обозначение/сокращение | Определение | Единица измерения | ||||
D | Диаметр шарика | мм | ||||
F | Измерительная нагрузка | Н | ||||
di | Диаметры отпечатка, измеренные при приблизительно равном угле поворота друг от друга | мм | ||||
d | Средний диаметр отпечатка, рассчитанный не менее, чем для двух измеренных диаметров отпечатков ![]() | мм | ||||
h | Глубина отпечатка ![]() | мм | ||||
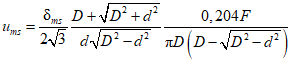
HB (HBW) | Твердость по Бринеллю, измеренная стальным наконечником (измеренная твердосплавным наконечником) Числа твердости по Бринеллю рассчитываются как произведения отношения прикладываемой нагрузки к идеализированной площади поверхности отпечатка на константу. ![]() | |||||
0,102·F/D2 | Коэффициент нагружения | |||||
Примечание - Константа является коэффициентом перевода из кгс в Н и равняется 1/gn, где gn - стандартное ускорение свободного падения, составляющее 9,80665 м/с2. Константа принимается равной 0,102. | ||||||
| ||||||
Числа твердости, приведенные в приложении D, получены с использованием константы равной 0,10197, так как она ближе к значению 1/gn, чем 0,102. | ||||||

Номинальный диаметр шарикового наконечника, мм | Допуск, мм, не более |
1 | +/- 0,003 |
2,5 | +/- 0,003 |
5 | +/- 0,004 |
10 | +/- 0,005 |
Длина интервала (L) на мере длины штриховой, мм | Предельные отклонения, не более |
L < 4 | +/- 0,5% |
4 <= L <= 6 | +/- 0,02 мм |
Обозначение шкалы твердости Бринелля | Диаметр шарикового наконечника D, мм | Коэффициент нагружения | Измерительная нагрузка F, Н |
HB (HBW) 10/3000 | 10 | 30 | 29420 |
HB (HBW) 10/1500 | 10 | 15 | 14710 |
HB (HBW) 10/1000 | 10 | 10 | 9807 |
HB (HBW) 10/500 | 10 | 5 | 4903 |
HB (HBW) 10/250 | 10 | 2,5 | 2452 |
HB (HBW) 10/100 | 10 | 1 | 980,7 |
HB (HBW) 5/750 | 5 | 30 | 7355 |
HB (HBW) 5/250 | 5 | 10 | 2452 |
HB (HBW) 5/125 | 5 | 5 | 1226 |
HB (HBW) 5/62,5 | 5 | 2,5 | 612,9 |
HB (HBW) 5/25 | 5 | 1 | 245,2 |
HB (HBW) 2,5/187,5 | 2,5 | 30 | 1839 |
HB (HBW) 2,5/62,5 | 2,5 | 10 | 612,9 |
HB (HBW) 2,5/31,25 | 2,5 | 5 | 306,5 |
HB (HBW) 2,5/15,625 | 2,5 | 2,5 | 153,2 |
HB (HBW) 2,5/6,25 | 2,5 | 1 | 61,29 |
HB (HBW) 1/30 | 1 | 30 | 294,2 |
HB (HBW) 1/10 | 1 | 10 | 98,07 |
HB (HBW) 1/5 | 1 | 5 | 49,03 |
HB (HBW) 1/2,5 | 1 | 2,5 | 24,52 |
HB (HBW) 1/1 | 1 | 1 | 9,807 |
Материал | Уровень твердости по Бринеллю HB (HBW) | Коэффициент нагружения, кгс/мм2 |
Сталь, сплавы никеля, титана | От 95,5 HB до 450 HB От 95,5 HBW до 650 HBW | 30 |
От 50 HB (HBW) до 218 HB (HBW) | 10 | |
Титан и сплавы на его основе | От 50 HB (HBW) до 327 HB (HBW) | 15 |
Чугун <a> | До 140 HB (HBW) | 10 |
140 HB (HBW) и более | 30 | |
Медь и сплавы меди | До 35 HB (HBW) | 5 |
От 35 HB (HBW) до 200 HB (HBW) включ. | 10 | |
Св. 200 HB (HBW) | 30 | |
Легкие металлы и их сплавы | До 35 HB (HBW) | 2,5 |
От 35 HB (HBW) до 80 HB (HBW) включ. | 5, 10, 15 | |
Св. 80 HB (HBW) | 10, 15 | |
Подшипниковые сплавы | От 8 HB (HBW) до 50 HB (HBW) | 2,5 |
Свинец, олово и другие мягкие металлы | От 3 HB (HBW) до 20 HB (HBW) | 1 |
Спеченные материалы | В соответствии с ГОСТ 25698 | |
Твердость по Бринеллю HB (HBW) | Продолжительность времени выдержки под нагрузкой, с |
До 10 | 180 |
Св. 10 до 35 | 120 |
Св. 35 до 90 | 30 |
Св. 90 | От 10 до 15 |
Средний диаметр отпечатка d, мм | Минимальная толщина образца, мм | |||
D = 1 мм | D = 2,5 мм | D = 5 мм | D = 10 мм | |
0,24 | 0,12 | - | - | - |
0,3 | 0,18 | - | - | - |
0,4 | 0,33 | - | - | - |
0,5 | 0,54 | - | - | - |
0,6 | 0,80 | 0,29 | - | - |
0,7 | - | 0,40 | - | - |
0,8 | - | 0,53 | - | - |
0,9 | - | 0,67 | - | - |
1,0 | - | 0,83 | - | - |
1,1 | - | 1,02 | - | - |
1,2 | - | 1,23 | 0,58 | - |
1,3 | - | 1,46 | 0,69 | - |
1,4 | - | 1,72 | 0,80 | - |
1,5 | - | 2,00 | 0,92 | - |
1,6 | - | - | 1,05 | - |
1,7 | - | - | 1,19 | - |
1,8 | - | - | 1,34 | - |
1,9 | - | - | 1,50 | - |
2 | - | - | 1,67 | - |
2,2 | - | - | 2,04 | - |
2,4 | - | - | 2,45 | 1,17 |
2,6 | - | - | 2,92 | 1,38 |
2,8 | - | - | 3,43 | 1,60 |
3,0 | - | - | 4,00 | 1,84 |
3,2 | - | - | - | 2,10 |
3,4 | - | - | - | 2,38 |
3,6 | - | - | - | 2,68 |
3,8 | - | - | - | 3,00 |
4,0 | - | - | - | 3,34 |
4,2 | - | - | - | 3,70 |
4,4 | - | - | - | 4,08 |
4,6 | - | - | - | 4,48 |
4,8 | - | - | - | 4,91 |
5,0 | - | - | - | 5,36 |
5,2 | - | - | - | 5,83 |
5,4 | - | - | - | 6,33 |
5,6 | - | - | - | 6,86 |
5,8 | - | - | - | 7,42 |
6,0 | - | - | - | 8,0 |
, (C.3)d, мм | 0,000 | 0,005 | 0,010 | 0,015 | 0,020 | 0,025 | 0,030 | 0,035 | 0,040 | 0,045 |
2,400 | 653 | 651 | 648 | 645 | 643 | 640 | 637 | 635 | 632 | 629 |
2,450 | 627 | 624 | 621 | 619 | 616 | 614 | 611 | 609 | 606 | 604 |
2,500 | 601 | 599 | 597 | 594 | 592 | 589 | 587 | 585 | 582 | 580 |
2,550 | 578 | 575 | 573 | 571 | 569 | 566 | 564 | 562 | 560 | 558 |
2,600 | 555 | 553 | 551 | 549 | 547 | 545 | 543 | 540 | 538 | 536 |
2,650 | 534 | 532 | 530 | 528 | 526 | 524 | 522 | 520 | 518 | 516 |
2,700 | 514 | 512 | 510 | 508 | 507 | 505 | 503 | 501 | 499 | 497 |
2,750 | 495 | 494 | 492 | 490 | 488 | 486 | 484 | 483 | 481 | 479 |
2,800 | 477 | 476 | 474 | 472 | 471 | 469 | 467 | 465 | 464 | 462 |
2,850 | 461 | 459 | 457 | 456 | 454 | 452 | 451 | 449 | 448 | 446 |
2,900 | 444 | 443 | 441 | 440 | 438 | 437 | 435 | 434 | 432 | 431 |
2,950 | 429 | 428 | 426 | 425 | 423 | 422 | 420 | 419 | 417 | 416 |
3,000 | 415 | 413 | 412 | 410 | 409 | 408 | 406 | 405 | 404 | 402 |
3,050 | 401 | 399 | 398 | 397 | 395 | 394 | 393 | 392 | 390 | 389 |
3,100 | 388 | 386 | 385 | 384 | 383 | 381 | 380 | 379 | 378 | 376 |
3,150 | 375 | 374 | 373 | 372 | 370 | 369 | 368 | 367 | 366 | 364 |
3,200 | 363 | 362 | 361 | 360 | 359 | 357 | 356 | 355 | 354 | 353 |
3,250 | 352 | 351 | 350 | 348 | 347 | 346 | 345 | 344 | 343 | 342 |
3,300 | 341 | 340 | 339 | 338 | 337 | 336 | 335 | 334 | 333 | 332 |
3,350 | 331 | 330 | 328 | 327 | 326 | 325 | 325 | 324 | 323 | 322 |
d, мм | 0,00 | 0,01 | 0,02 | 0,03 | 0,04 | 0,05 | 0,06 | 0,07 | 0,08 | 0,09 |
3,40 | 321 | 319 | 317 | 315 | 313 | 311 | 309 | 307 | 306 | 304 |
3,50 | 302 | 300 | 298 | 297 | 295 | 293 | 292 | 290 | 288 | 286 |
3,60 | 285 | 283 | 282 | 280 | 278 | 277 | 275 | 274 | 272 | 271 |
3,70 | 269 | 268 | 266 | 265 | 263 | 262 | 260 | 259 | 257 | 256 |
3,80 | 255 | 253 | 252 | 250 | 249 | 248 | 246 | 245 | 244 | 242 |
3,90 | 241 | 240 | 239 | 237 | 236 | 235 | 234 | 232 | 231 | 230 |
4,00 | 229 | 228 | 226 | 225 | 224 | 223 | 222 | 221 | 219 | 218 |
4,10 | 217 | 216 | 215 | 214 | 213 | 212 | 211 | 210 | 209 | 208 |
4,20 | 207 | 205 | 204 | 203 | 202 | 201 | 200 | 199 | 198 | 198 |
4,30 | 197 | 196 | 195 | 194 | 193 | 192 | 191 | 190 | 189 | 188 |
4,40 | 187 | 186 | 185 | 185 | 184 | 183 | 182 | 181 | 180 | 179 |
4,50 | 179 | 178 | 177 | 176 | 175 | 174 | 174 | 173 | 172 | 171 |
4,60 | 170 | 170 | 169 | 168 | 167 | 167 | 166 | 165 | 164 | 164 |
4,70 | 163 | 162 | 161 | 161 | 160 | 159 | 158 | 158 | 157 | 156 |
4,80 | 156 | 155 | 154 | 154 | 153 | 152 | 152 | 151 | 150 | 150 |
4,90 | 149 | 148 | 148 | 147 | 146 | 146 | 145 | 144 | 144 | 143 |
5,00 | 143 | 142 | 141 | 141 | 140 | 140 | 139 | 138 | 138 | 137 |
5,10 | 137 | 136 | 135 | 135 | 134 | 134 | 133 | 133 | 132 | 132 |
5,20 | 131 | 130 | 130 | 129 | 129 | 128 | 128 | 127 | 127 | 126 |
5,30 | 126 | 125 | 125 | 124 | 124 | 123 | 123 | 122 | 122 | 121 |
5,40 | 121 | 120 | 120 | 119 | 119 | 118 | 118 | 117 | 117 | 116 |
5,50 | 116 | 115 | 115 | 114 | 114 | 114 | 113 | 113 | 112 | 112 |
5,60 | 111 | 111 | 110 | 110 | 110 | 109 | 109 | 108 | 108 | 107 |
5,70 | 107 | 107 | 106 | 106 | 105 | 105 | 105 | 104 | 104 | 103 |
5,90 | 99,2 | 98,8 | 98,4 | 98,0 | 97,7 | 97,3 | 96,9 | 96,6 | 96,2 | 95,9 |
6,00 | 95,5 | - | - | - | - | - | - | - | - | - |
d, мм | 0,00 | 0,01 | 0,02 | 0,03 | 0,04 | 0,05 | 0,06 | 0,07 | 0,08 | 0,09 |
2,40 | 327 | 324 | 321 | 319 | 316 | 313 | 311 | 308 | 306 | 303 |
2,50 | 301 | 298 | 296 | 294 | 291 | 289 | 287 | 284 | 282 | 280 |
2,60 | 278 | 276 | 273 | 271 | 269 | 267 | 265 | 263 | 261 | 259 |
2,70 | 257 | 255 | 253 | 251 | 250 | 248 | 246 | 244 | 242 | 240 |
2,80 | 239 | 237 | 235 | 234 | 232 | 230 | 229 | 227 | 225 | 224 |
2,90 | 222 | 221 | 219 | 218 | 216 | 215 | 213 | 212 | 210 | 209 |
3,00 | 207 | 206 | 205 | 203 | 202 | 200 | 199 | 198 | 196 | 195 |
3,10 | 194 | 193 | 191 | 190 | 189 | 188 | 186 | 185 | 184 | 183 |
3,20 | 182 | 180 | 179 | 178 | 177 | 176 | 175 | 174 | 173 | 172 |
3,30 | 170 | 169 | 168 | 167 | 166 | 165 | 164 | 163 | 162 | 161 |
3,40 | 160 | 159 | 158 | 157 | 156 | 156 | 155 | 154 | 153 | 152 |
3,50 | 151 | 150 | 149 | 148 | 147 | 147 | 146 | 145 | 144 | 143 |
3,60 | 142 | 142 | 141 | 140 | 139 | 138 | 138 | 137 | 136 | 135 |
3,70 | 135 | 134 | 133 | 132 | 132 | 131 | 130 | 129 | 129 | 128 |
3,80 | 127 | 127 | 126 | 125 | 125 | 124 | 123 | 123 | 122 | 121 |
3,90 | 121 | 120 | 119 | 119 | 118 | 117 | 117 | 116 | 116 | 115 |
4,00 | 114 | 114 | 113 | 113 | 112 | 111 | 111 | 110 | 110 | 109 |
4,10 | 109 | 108 | 108 | 107 | 106 | 106 | 105 | 105 | 104 | 104 |
4,20 | 103 | 103 | 102 | 102 | 101 | 101 | 100 | 99,7 | 99,2 | 98,8 |
4,30 | 98,3 | 97,8 | 97,3 | 96,8 | 96,4 | 95,9 | 95,4 | 95,0 | 94,5 | 94,1 |
4,40 | 93,6 | 93,2 | 92,7 | 92,3 | 91,8 | 91,4 | 91,0 | 90,5 | 90,1 | 89,7 |
4,50 | 89,3 | 88,8 | 88,4 | 88,0 | 87,6 | 87,2 | 86,8 | 86,4 | 86,0 | 85,6 |
4,60 | 85,2 | 84,8 | 84,4 | 84,0 | 83,6 | 83,3 | 82,9 | 82,5 | 82,1 | 81,8 |
4,70 | 81,4 | 81,0 | 80,7 | 80,3 | 79,9 | 79,6 | 79,2 | 78,9 | 78,5 | 78,2 |
4,80 | 77,8 | 77,5 | 77,1 | 76,8 | 76,4 | 76,1 | 75,8 | 75,4 | 75,1 | 74,8 |
4,90 | 74,4 | 74,1 | 73,8 | 73,5 | 73,2 | 72,8 | 72,5 | 72,2 | 71,9 | 71,6 |
5,00 | 71,3 | 71,0 | 70,7 | 70,4 | 70,1 | 69,8 | 69,5 | 69,2 | 68,9 | 68,6 |
5,10 | 68,3 | 68,0 | 67,7 | 67,4 | 67,1 | 66,9 | 66,6 | 66,3 | 66,0 | 65,8 |
5,20 | 65,5 | 65,2 | 64,9 | 64,7 | 64,4 | 64,1 | 63,9 | 63,6 | 63,3 | 63,1 |
5,30 | 62,8 | 62,6 | 62,3 | 62,1 | 61,8 | 61,5 | 61,3 | 61,0 | 60,8 | 60,6 |
5,40 | 60,3 | 60,1 | 59,8 | 59,6 | 59,3 | 59,1 | 58,9 | 58,6 | 58,4 | 58,2 |
5,50 | 57,9 | 57,7 | 57,5 | 57,2 | 57,0 | 56,8 | 56,6 | 56,3 | 56,1 | 55,9 |
5,60 | 55,7 | 55,5 | 55,2 | 55,0 | 54,8 | 54,6 | 54,4 | 54,2 | 54,0 | 53,7 |
5,70 | 53,5 | 53,3 | 53,1 | 52,9 | 52,7 | 52,5 | 52,3 | 52,1 | 51,9 | 51,7 |
5,80 | 51,5 | 51,3 | 51,1 | 50,9 | 50,7 | 50,5 | 50,3 | 50,1 | 50,0 | 49,8 |
5,90 | 49,6 | 49,4 | 49,2 | 49,0 | 48,8 | 48,7 | 48,5 | 48,3 | 48,1 | 47,9 |
6,00 | 47,7 | - | - | - | - | - | - | - | - | - |
d, мм | 0,00 | 0,01 | 0,02 | 0,03 | 0,04 | 0,05 | 0,06 | 0,07 | 0,08 | 0,09 |
2,40 | 218 | 216 | 214 | 212 | 211 | 209 | 207 | 205 | 204 | 202 |
2,50 | 200 | 199 | 197 | 196 | 194 | 193 | 191 | 190 | 188 | 187 |
2,60 | 185 | 184 | 182 | 181 | 179 | 178 | 177 | 175 | 174 | 173 |
2,70 | 171 | 170 | 169 | 168 | 166 | 165 | 164 | 163 | 162 | 160 |
2,80 | 159 | 158 | 157 | 156 | 155 | 154 | 152 | 151 | 150 | 149 |
2,90 | 148 | 147 | 146 | 145 | 144 | 143 | 142 | 141 | 140 | 139 |
3,00 | 138 | 137 | 136 | 135 | 135 | 134 | 133 | 132 | 131 | 130 |
3,10 | 129 | 128 | 128 | 127 | 126 | 125 | 124 | 123 | 123 | 122 |
3,20 | 121 | 120 | 120 | 119 | 118 | 117 | 117 | 116 | 115 | 114 |
3,30 | 114 | 113 | 112 | 112 | 111 | 110 | 110 | 109 | 108 | 108 |
3,40 | 107 | 106 | 106 | 105 | 104 | 104 | 103 | 102 | 102 | 101 |
3,50 | 101 | 100 | 99,5 | 98,9 | 98,3 | 97,7 | 97,2 | 96,6 | 96,1 | 95,5 |
3,60 | 95,0 | 94,4 | 93,9 | 93,3 | 92,8 | 92,3 | 91,8 | 91,2 | 90,7 | 90,2 |
3,70 | 89,7 | 89,2 | 88,7 | 88,2 | 87,7 | 87,2 | 86,8 | 86,3 | 85,8 | 85,3 |
3,80 | 84,9 | 84,4 | 83,9 | 83,5 | 83,0 | 82,6 | 82,1 | 81,7 | 81,3 | 80,8 |
3,90 | 80,4 | 80,0 | 79,5 | 79,1 | 78,7 | 78,3 | 77,9 | 77,5 | 77,1 | 76,7 |
4,00 | 76,3 | 75,9 | 75,5 | 75,1 | 74,7 | 74,3 | 73,9 | 73,5 | 73,2 | 72,8 |
4,10 | 72,4 | 72,0 | 71,7 | 71,3 | 71,0 | 70,6 | 70,2 | 69,9 | 69,5 | 69,2 |
4,20 | 68,8 | 68,5 | 68,2 | 67,8 | 67,5 | 67,2 | 66,8 | 66,5 | 66,2 | 65,8 |
4,30 | 65,5 | 65,2 | 64,9 | 64,6 | 64,2 | 63,9 | 63,6 | 63,3 | 63,0 | 62,7 |
4,40 | 62,4 | 62,1 | 61,8 | 61,5 | 61,2 | 60,9 | 60,7 | 60,4 | 60,1 | 59,8 |
4,50 | 59,5 | 59,2 | 59,0 | 58,7 | 58,4 | 58,1 | 57,9 | 57,6 | 57,3 | 57,1 |
4,60 | 56,8 | 56,5 | 56,3 | 56,0 | 55,8 | 55,5 | 55,3 | 55,0 | 54,8 | 54,5 |
4,70 | 54,3 | 54,0 | 53,8 | 53,5 | 53,3 | 53,0 | 52,8 | 52,6 | 52,3 | 52,1 |
4,80 | 51,9 | 51,6 | 51,4 | 51,2 | 51,0 | 50,7 | 50,5 | 50,3 | 50,1 | 49,8 |
4,90 | 49,6 | 49,4 | 49,2 | 49,0 | 48,8 | 48,6 | 48,3 | 48,1 | 47,9 | 47,7 |
5,00 | 47,5 | 47,3 | 47,1 | 46,9 | 46,7 | 46,5 | 46,3 | 46,1 | 45,9 | 45,7 |
5,10 | 45,5 | 45,3 | 45,1 | 45,0 | 44,8 | 44,6 | 44,4 | 44,2 | 44,0 | 43,8 |
5,20 | 43,7 | 43,5 | 43,3 | 43,1 | 42,9 | 42,8 | 42,6 | 42,4 | 42,2 | 42,1 |
5,30 | 41,9 | 41,7 | 41,5 | 41,4 | 41,2 | 41,0 | 40,9 | 40,7 | 40,5 | 40,4 |
5,40 | 40,2 | 40,0 | 39,9 | 39,7 | 39,6 | 39,4 | 39,2 | 39,1 | 38,9 | 38,8 |
5,50 | 38,6 | 38,5 | 38,3 | 38,2 | 38,0 | 37,9 | 37,7 | 37,6 | 37,4 | 37,3 |
5,60 | 37,1 | 37,0 | 36,8 | 36,7 | 36,5 | 36,4 | 36,3 | 36,1 | 36,0 | 35,8 |
5,70 | 35,7 | 35,6 | 35,4 | 35,3 | 35,1 | 35,0 | 34,9 | 34,7 | 34,6 | 34,5 |
5,80 | 34,3 | 34,2 | 34,1 | 33,9 | 33,8 | 33,7 | 33,6 | 33,4 | 33,3 | 33,2 |
5,90 | 33,1 | 32,9 | 32,8 | 32,7 | 32,6 | 32,4 | 32,3 | 32,2 | 32,1 | 32,0 |
6,00 | 31,8 | - | - | - | - | - | - | - | - | - |
d, мм | 0,00 | 0,01 | 0,02 | 0,03 | 0,04 | 0,05 | 0,06 | 0,07 | 0,08 | 0,09 |
2,40 | 109 | 108 | 107 | 106 | 105 | 104 | 104 | 103 | 102 | 101 |
2,50 | 100 | 99,4 | 98,6 | 97,8 | 97,1 | 96,3 | 95,5 | 94,8 | 94,0 | 93,3 |
2,60 | 92,5 | 91,8 | 91,1 | 90,4 | 89,7 | 89,0 | 88,3 | 87,7 | 87,0 | 86,3 |
2,70 | 85,7 | 85,1 | 84,4 | 83,8 | 83,2 | 82,6 | 81,9 | 81,3 | 80,7 | 80,2 |
2,80 | 79,6 | 79,0 | 78,4 | 77,9 | 77,3 | 76,7 | 76,2 | 75,7 | 75,1 | 74,6 |
2,90 | 74,1 | 73,5 | 73,0 | 72,5 | 72,0 | 71,5 | 71,0 | 70,5 | 70,1 | 69,6 |
3,00 | 69,1 | 68,6 | 68,2 | 67,7 | 67,3 | 66,8 | 66,4 | 65,9 | 65,5 | 65,0 |
3,10 | 64,6 | 64,2 | 63,8 | 63,3 | 62,9 | 62,5 | 62,1 | 61,7 | 61,3 | 60,9 |
3,20 | 60,5 | 60,1 | 59,8 | 59,4 | 59,0 | 58,6 | 58,3 | 57,9 | 57,5 | 57,2 |
3,30 | 56,8 | 56,5 | 56,1 | 55,8 | 55,4 | 55,1 | 54,7 | 54,4 | 54,1 | 53,8 |
3,40 | 53,4 | 53,1 | 52,8 | 52,5 | 52,2 | 51,8 | 51,5 | 51,2 | 50,9 | 50,6 |
3,50 | 50,3 | 50,0 | 49,7 | 49,4 | 49,2 | 48,9 | 48,6 | 48,3 | 48,0 | 47,7 |
3,60 | 47,5 | 47,2 | 46,9 | 46,7 | 46,4 | 46,1 | 45,9 | 45,6 | 45,4 | 45,1 |
3,70 | 44,8 | 44,6 | 44,3 | 44,1 | 43,9 | 43,6 | 43,4 | 43,1 | 42,9 | 42,7 |
3,80 | 42,4 | 42,2 | 42,0 | 41,7 | 41,5 | 41,3 | 41,1 | 40,8 | 40,6 | 40,4 |
3,90 | 40,2 | 40,0 | 39,8 | 39,6 | 39,3 | 39,1 | 38,9 | 38,7 | 38,5 | 38,3 |
4,00 | 38,1 | 37,9 | 37,7 | 37,5 | 37,3 | 37,1 | 37,0 | 36,8 | 36,6 | 36,4 |
4,10 | 36,2 | 36,0 | 35,8 | 35,7 | 35,5 | 35,3 | 35,1 | 34,9 | 34,8 | 34,6 |
4,20 | 34,4 | 34,2 | 34,1 | 33,9 | 33,7 | 33,6 | 33,4 | 33,2 | 33,1 | 32,9 |
4,30 | 32,8 | 32,6 | 32,4 | 32,3 | 32,1 | 32,0 | 31,8 | 31,7 | 31,5 | 31,4 |
4,40 | 31,2 | 31,1 | 30,9 | 30,8 | 30,6 | 30,5 | 30,3 | 30,2 | 30,0 | 29,9 |
4,50 | 29,8 | 29,6 | 29,5 | 29,3 | 29,2 | 29,1 | 28,9 | 28,8 | 28,7 | 28,5 |
4,60 | 28,4 | 28,3 | 28,1 | 28,0 | 27,9 | 27,8 | 27,6 | 27,5 | 27,4 | 27,2 |
4,70 | 27,1 | 27,0 | 26,9 | 26,8 | 26,6 | 26,5 | 26,4 | 26,3 | 26,2 | 26,0 |
4,80 | 25,9 | 25,8 | 25,7 | 25,6 | 25,5 | 25,4 | 25,3 | 25,1 | 25,0 | 24,9 |
4,90 | 24,8 | 24,7 | 24,6 | 24,5 | 24,4 | 24,3 | 24,2 | 24,1 | 24,0 | 23,9 |
5,00 | 23,8 | 23,7 | 23,6 | 23,5 | 23,4 | 23,3 | 23,2 | 23,1 | 23,0 | 22,9 |
5,10 | 22,8 | 22,7 | 22,6 | 22,5 | 22,4 | 22,3 | 22,2 | 22,1 | 22,0 | 21,9 |
5,20 | 21,8 | 21,7 | 21,6 | 21,6 | 21,5 | 21,4 | 21,3 | 21,2 | 21,1 | 21,0 |
5,30 | 20,9 | 20,9 | 20,8 | 20,7 | 20,6 | 20,5 | 20,4 | 20,3 | 20,3 | 20,2 |
5,40 | 20,1 | 20,0 | 19,9 | 19,9 | 19,8 | 19,7 | 19,6 | 19,5 | 19,5 | 19,4 |
5,50 | 19,3 | 19,2 | 19,2 | 19,1 | 19,0 | 18,9 | 18,9 | 18,8 | 18,7 | 18,6 |
5,60 | 18,6 | 18,5 | 18,4 | 18,3 | 18,3 | 18,2 | 18,1 | 18,1 | 18,0 | 17,9 |
5,70 | 17,8 | 17,8 | 17,7 | 17,6 | 17,6 | 17,5 | 17,4 | 17,4 | 17,3 | 17,2 |
5,80 | 17,2 | 17,1 | 17,0 | 17,0 | 16,9 | 16,8 | 16,8 | 16,7 | 16,7 | 16,6 |
5,90 | 16,5 | 16,5 | 16,4 | 16,3 | 16,3 | 16,2 | 16,2 | 16,1 | 16,0 | 16,0 |
6,00 | 15,9 | - | - | - | - | - | - | - | - | - |
d, мм | 0,00 | 0,01 | 0,02 | 0,03 | 0,04 | 0,05 | 0,06 | 0,07 | 0,08 | 0,09 |
2,40 | 54,5 | 54,0 | 53,6 | 53,1 | 52,7 | 52,2 | 51,8 | 51,4 | 51,0 | 50,5 |
2,50 | 50,1 | 49,7 | 49,3 | 48,9 | 48,5 | 48,1 | 47,8 | 47,4 | 47,0 | 46,6 |
2,60 | 46,3 | 45,9 | 45,6 | 45,2 | 44,9 | 44,5 | 44,2 | 43,8 | 43,5 | 43,2 |
2,70 | 42,9 | 42,5 | 42,2 | 41,9 | 41,6 | 41,3 | 41,0 | 40,7 | 40,4 | 40,1 |
2,80 | 39,8 | 39,5 | 39,2 | 38,9 | 38,7 | 38,4 | 38,1 | 37,8 | 37,6 | 37,3 |
2,90 | 37,0 | 36,8 | 36,5 | 36,3 | 36,0 | 35,8 | 35,5 | 35,3 | 35,0 | 34,8 |
3,00 | 34,6 | 34,3 | 34,1 | 33,9 | 33,6 | 33,4 | 33,2 | 33,0 | 32,7 | 32,5 |
3,10 | 32,3 | 32,1 | 31,9 | 31,7 | 31,5 | 31,3 | 31,1 | 30,9 | 30,7 | 30,5 |
3,20 | 30,3 | 30,1 | 29,9 | 29,7 | 29,5 | 29,3 | 29,1 | 29,0 | 28,8 | 28,6 |
3,30 | 28,4 | 28,2 | 28,1 | 27,9 | 27,7 | 27,5 | 27,4 | 27,2 | 27,0 | 26,9 |
3,40 | 26,7 | 26,6 | 26,4 | 26,2 | 26,1 | 25,9 | 25,8 | 25,6 | 25,5 | 25,3 |
3,50 | 25,2 | 25,0 | 24,9 | 24,7 | 24,6 | 24,4 | 24,3 | 24,2 | 24,0 | 23,9 |
3,60 | 23,7 | 23,6 | 23,5 | 23,3 | 23,2 | 23,1 | 22,9 | 22,8 | 22,7 | 22,6 |
3,70 | 22,4 | 22,3 | 22,2 | 22,1 | 21,9 | 21,8 | 21,7 | 21,6 | 21,5 | 21,3 |
3,80 | 21,2 | 21,1 | 21,0 | 20,9 | 20,8 | 20,6 | 20,5 | 20,4 | 20,3 | 20,2 |
3,90 | 20,1 | 20,0 | 19,9 | 19,8 | 19,7 | 19,6 | 19,5 | 19,4 | 19,3 | 19,2 |
4,00 | 19,1 | 19,0 | 18,9 | 18,8 | 18,7 | 18,6 | 18,5 | 18,4 | 18,3 | 18,2 |
4,10 | 18,1 | 18,0 | 17,9 | 17,8 | 17,7 | 17,7 | 17,6 | 17,5 | 17,4 | 17,3 |
4,20 | 17,2 | 17,1 | 17,0 | 17,0 | 16,9 | 16,8 | 16,7 | 16,6 | 16,5 | 16,5 |
4,30 | 16,4 | 16,3 | 16,2 | 16,1 | 16,1 | 16,0 | 15,9 | 15,8 | 15,8 | 15,7 |
4,40 | 15,6 | 15,5 | 15,5 | 15,4 | 15,3 | 15,2 | 15,2 | 15,1 | 15,0 | 15,0 |
4,50 | 14,9 | 14,8 | 14,7 | 14,7 | 14,6 | 14,5 | 14,5 | 14,4 | 14,3 | 14,3 |
4,60 | 14,2 | 14,1 | 14,1 | 14,0 | 13,9 | 13,9 | 13,8 | 13,8 | 13,7 | 13,6 |
4,70 | 13,6 | 13,5 | 13,4 | 13,4 | 13,3 | 13,3 | 13,2 | 13,1 | 13,1 | 13,0 |
4,80 | 13,0 | 12,9 | 12,9 | 12,8 | 12,7 | 12,7 | 12,6 | 12,6 | 12,5 | 12,5 |
4,90 | 12,4 | 12,4 | 12,3 | 12,2 | 12,2 | 12,1 | 12,1 | 12,0 | 12,0 | 11,9 |
5,00 | 11,9 | 11,8 | 11,8 | 11,7 | 11,7 | 11,6 | 11,6 | 11,5 | 11,5 | 11,4 |
5,10 | 11,4 | 11,3 | 11,3 | 11,2 | 11,2 | 11,1 | 11,1 | 11,1 | 11,0 | 11,0 |
5,20 | 10,9 | 10,9 | 10,8 | 10,8 | 10,7 | 10,7 | 10,6 | 10,6 | 10,6 | 10,5 |
5,30 | 10,5 | 10,4 | 10,4 | 10,3 | 10,3 | 10,3 | 10,2 | 10,2 | 10,1 | 10,1 |
5,40 | 10,1 | 10,0 | 9,97 | 9,93 | 9,89 | 9,85 | 9,81 | 9,77 | 9,73 | 9,70 |
5,50 | 9,66 | 9,62 | 9,58 | 9,54 | 9,50 | 9,47 | 9,43 | 9,39 | 9,35 | 9,32 |
5,60 | 9,28 | 9,24 | 9,21 | 9,17 | 9,14 | 9,10 | 9,06 | 9,03 | 8,99 | 8,96 |
5,70 | 8,92 | 8,89 | 8,86 | 8,82 | 8,79 | 8,75 | 8,72 | 8,69 | 8,65 | 8,62 |
5,80 | 8,59 | 8,55 | 8,52 | 8,49 | 8,46 | 8,42 | 8,39 | 8,36 | 8,33 | 8,30 |
5,90 | 8,26 | 8,23 | 8,20 | 8,17 | 8,14 | 8,11 | 8,08 | 8,05 | 8,02 | 7,99 |
6,00 | 7,96 | - | - | - | - | - | - | - | - | - |
d, мм | 0,00 | 0,01 | 0,02 | 0,03 | 0,04 | 0,05 | 0,06 | 0,07 | 0,08 | 0,09 |
2,40 | 21,8 | 21,6 | 21,4 | 21,2 | 21,1 | 20,9 | 20,7 | 20,5 | 20,4 | 20,2 |
2,50 | 20,0 | 19,9 | 19,7 | 19,6 | 19,4 | 19,3 | 19,1 | 19,0 | 18,8 | 18,7 |
2,60 | 18,5 | 18,4 | 18,2 | 18,1 | 17,9 | 17,8 | 17,7 | 17,5 | 17,4 | 17,3 |
2,70 | 17,1 | 17,0 | 16,9 | 16,8 | 16,6 | 16,5 | 16,4 | 16,3 | 16,2 | 16,0 |
2,80 | 15,9 | 15,8 | 15,7 | 15,6 | 15,5 | 15,4 | 15,2 | 15,1 | 15,0 | 14,9 |
2,90 | 14,8 | 14,7 | 14,6 | 14,5 | 14,4 | 14,3 | 14,2 | 14,1 | 14,0 | 13,9 |
3,00 | 13,8 | 13,7 | 13,6 | 13,5 | 13,5 | 13,4 | 13,3 | 13,2 | 13,1 | 13,0 |
3,10 | 12,9 | 12,8 | 12,8 | 12,7 | 12,6 | 12,5 | 12,4 | 12,3 | 12,3 | 12,2 |
3,20 | 12,1 | 12,0 | 12,0 | 11,9 | 11,8 | 11,7 | 11,7 | 11,6 | 11,5 | 11,4 |
3,30 | 11,4 | 11,3 | 11,2 | 11,2 | 11,1 | 11,0 | 11,0 | 10,9 | 10,8 | 10,8 |
3,40 | 10,7 | 10,6 | 10,6 | 10,5 | 10,4 | 10,4 | 10,3 | 10,2 | 10,2 | 10,1 |
3,50 | 10,1 | 10,0 | 9,95 | 9,89 | 9,83 | 9,77 | 9,72 | 9,66 | 9,61 | 9,55 |
3,60 | 9,50 | 9,44 | 9,39 | 9,33 | 9,28 | 9,23 | 9,18 | 9,12 | 9,07 | 9,02 |
3,70 | 8,97 | 8,92 | 8,87 | 8,82 | 8,77 | 8,72 | 8,68 | 8,63 | 8,58 | 8,53 |
3,80 | 8,49 | 8,44 | 8,39 | 8,35 | 8,30 | 8,26 | 8,21 | 8,17 | 8,13 | 8,08 |
3,90 | 8,04 | 8,00 | 7,95 | 7,91 | 7,87 | 7,83 | 7,79 | 7,75 | 7,71 | 7,67 |
4,00 | 7,63 | 7,59 | 7,55 | 7,51 | 7,47 | 7,43 | 7,39 | 7,35 | 7,32 | 7,28 |
4,10 | 7,24 | 7,20 | 7,17 | 7,13 | 7,10 | 7,06 | 7,02 | 6,99 | 6,95 | 6,92 |
4,20 | 6,88 | 6,85 | 6,82 | 6,78 | 6,75 | 6,72 | 6,68 | 6,65 | 6,62 | 6,58 |
4,30 | 6,55 | 6,52 | 6,49 | 6,46 | 6,42 | 6,39 | 6,36 | 6,33 | 6,30 | 6,27 |
4,40 | 6,24 | 6,21 | 6,18 | 6,15 | 6,12 | 6,09 | 6,07 | 6,04 | 6,01 | 5,98 |
4,50 | 5,95 | 5,92 | 5,90 | 5,87 | 5,84 | 5,81 | 5,79 | 5,76 | 5,73 | 5,71 |
4,60 | 5,68 | 5,65 | 5,63 | 5,60 | 5,58 | 5,55 | 5,53 | 5,50 | 5,48 | 5,45 |
4,70 | 5,43 | 5,40 | 5,38 | 5,35 | 5,33 | 5,30 | 5,28 | 5,26 | 5,23 | 5,21 |
4,80 | 5,19 | 5,16 | 5,14 | 5,12 | 5,10 | 5,07 | 5,05 | 5,03 | 5,01 | 4,98 |
4,90 | 4,96 | 4,94 | 4,92 | 4,90 | 4,88 | 4,86 | 4,83 | 4,81 | 4,79 | 4,77 |
5,00 | 4,75 | 4,73 | 4,71 | 4,69 | 4,67 | 4,65 | 4,63 | 4,61 | 4,59 | 4,57 |
5,10 | 4,55 | 4,53 | 4,51 | 4,50 | 4,48 | 4,46 | 4,44 | 4,42 | 4,40 | 4,38 |
5,20 | 4,37 | 4,35 | 4,33 | 4,31 | 4,29 | 4,28 | 4,26 | 4,24 | 4,22 | 4,21 |
5,30 | 4,19 | 4,17 | 4,15 | 4,14 | 4,12 | 4,10 | 4,09 | 4,07 | 4,05 | 4,04 |
5,40 | 4,02 | 4,00 | 3,99 | 3,97 | 3,96 | 3,94 | 3,92 | 3,91 | 3,89 | 3,88 |
5,50 | 3,86 | 3,85 | 3,83 | 3,82 | 3,80 | 3,79 | 3,77 | 3,76 | 3,74 | 3,73 |
5,60 | 3,71 | 3,70 | 3,68 | 3,67 | 3,65 | 3,64 | 3,63 | 3,61 | 3,60 | 3,58 |
5,70 | 3,57 | 3,56 | 3,54 | 3,53 | 3,51 | 3,50 | 3,49 | 3,47 | 3,46 | 3,45 |
5,80 | 3,43 | 3,42 | 3,41 | 3,39 | 3,38 | 3,37 | 3,36 | 3,34 | 3,33 | 3,32 |
5,90 | 3,31 | 3,29 | 3,28 | 3,27 | 3,26 | 3,24 | 3,23 | 3,22 | 3,21 | 3,20 |
6,00 | 3,18 | - | - | - | - | - | - | - | - | - |
d, мм | 0,000 | 0,005 | 0,010 | 0,0150 | 0,020 | 0,025 | 0,030 | 0,035 | 0,040 | 0,045 |
1,200 | 653 | 648 | 643 | 637 | 632 | 627 | 621 | 616 | 611 | 606 |
1,250 | 601 | 597 | 592 | 587 | 582 | 578 | 573 | 569 | 564 | 560 |
1,300 | 555 | 551 | 547 | 543 | 538 | 534 | 530 | 526 | 522 | 518 |
1,350 | 514 | 510 | 507 | 503 | 499 | 495 | 492 | 488 | 484 | 481 |
1,400 | 477 | 474 | 471 | 467 | 464 | 461 | 457 | 454 | 451 | 448 |
1,450 | 444 | 441 | 438 | 435 | 432 | 429 | 426 | 423 | 420 | 417 |
1,500 | 415 | 412 | 409 | 406 | 404 | 401 | 398 | 395 | 393 | 390 |
1,550 | 388 | 385 | 383 | 380 | 378 | 375 | 373 | 370 | 368 | 366 |
1,600 | 363 | 361 | 359 | 356 | 354 | 352 | 350 | 347 | 345 | 343 |
1,650 | 341 | 339 | 337 | 335 | 333 | 331 | 328 | 326 | 325 | 323 |
1,700 | 321 | 319 | 317 | 315 | 313 | 311 | 309 | 307 | 306 | 304 |
1,750 | 302 | 300 | 298 | 297 | 295 | 293 | 292 | 290 | 288 | 286 |
1,800 | 285 | 283 | 282 | 280 | 278 | 277 | 275 | 274 | 272 | 271 |
1,850 | 269 | 268 | 266 | 265 | 263 | 262 | 260 | 259 | 257 | 256 |
1,900 | 255 | 253 | 252 | 250 | 249 | 248 | 246 | 245 | 244 | 242 |
1,950 | 241 | 240 | 239 | 237 | 236 | 235 | 234 | 232 | 231 | 230 |
2,000 | 229 | 228 | 226 | 225 | 224 | 223 | 222 | 221 | 219 | 218 |
2,050 | 217 | 216 | 215 | 214 | 213 | 212 | 211 | 210 | 209 | 208 |
2,100 | 207 | 205 | 204 | 203 | 202 | 201 | 200 | 199 | 198 | 198 |
2,150 | 197 | 196 | 195 | 194 | 193 | 192 | 191 | 190 | 189 | 188 |
2,200 | 187 | 186 | 185 | 185 | 184 | 183 | 182 | 181 | 180 | 179 |
2,250 | 179 | 178 | 177 | 176 | 175 | 174 | 174 | 173 | 172 | 171 |
d, мм | 0,00 | 0,01 | 0,02 | 0,03 | 0,04 | 0,05 | 0,06 | 0,07 | 0,08 | 0,09 |
2,30 | 170 | 169 | 167 | 166 | 164 | 163 | 161 | 160 | 158 | 157 |
2,40 | 156 | 154 | 153 | 152 | 150 | 149 | 148 | 146 | 145 | 144 |
2,50 | 143 | 141 | 140 | 139 | 138 | 137 | 135 | 134 | 133 | 132 |
2,60 | 131 | 130 | 129 | 128 | 127 | 126 | 125 | 124 | 123 | 122 |
2,70 | 121 | 120 | 119 | 118 | 117 | 116 | 115 | 114 | 113 | 112 |
2,80 | 111 | 110 | 110 | 109 | 108 | 107 | 106 | 105 | 105 | 104 |
2,90 | 103 | 102 | 101 | 101 | 99,9 | 99,2 | 98,4 | 97,7 | 96,9 | 96,2 |
3,00 | 95,5 | - | - | - | - | - | - | - | - | - |
d, мм | 0,000 | 0,005 | 0,010 | 0,0150 | 0,020 | 0,025 | 0,030 | 0,035 | 0,040 | 0,045 |
1,200 | 218 | 216 | 214 | 212 | 211 | 209 | 207 | 205 | 204 | 202 |
1,250 | 201 | 199 | 197 | 196 | 194 | 193 | 191 | 190 | 188 | 187 |
1,300 | 185 | 184 | 182 | 181 | 179 | 178 | 177 | 175 | 174 | 173 |
1,350 | 171 | 170 | 169 | 168 | 166 | 165 | 164 | 163 | 162 | 160 |
1,400 | 159 | 158 | 157 | 156 | 155 | 154 | 152 | 151 | 150 | 149 |
1,450 | 148 | 147 | 146 | 145 | 144 | 143 | 142 | 141 | 140 | 139 |
1,500 | 138 | 137 | 136 | 135 | 135 | 134 | 133 | 132 | 131 | 130 |
1,550 | 129 | 128 | 128 | 127 | 126 | 125 | 124 | 123 | 123 | 122 |
1,600 | 121 | 120 | 120 | 119 | 118 | 117 | 117 | 116 | 115 | 114 |
1,650 | 114 | 113 | 112 | 112 | 111 | 110 | 110 | 109 | 108 | 108 |
1,700 | 107 | 106 | 106 | 105 | 104 | 104 | 103 | 102 | 102 | 101 |
1,750 | 101 | 100 | 99,5 | 98,9 | 98,3 | 97,8 | 97,2 | 96,6 | 96,1 | 95,5 |
1,800 | 95,0 | 94,4 | 93,9 | 93,3 | 92,8 | 92,3 | 91,8 | 91,2 | 90,7 | 90,2 |
1,850 | 89,7 | 89,2 | 88,7 | 88,2 | 87,7 | 87,2 | 86,8 | 86,3 | 85,8 | 85,3 |
d, мм | 0,00 | 0,01 | 0,02 | 0,03 | 0,04 | 0,05 | 0,06 | 0,07 | 0,08 | 0,09 |
1,90 | 84,9 | 84,0 | 83,0 | 82,2 | 81,3 | 80,4 | 79,6 | 78,7 | 77,9 | 77,1 |
2,00 | 76,3 | 75,5 | 74,7 | 73,9 | 73,2 | 72,4 | 71,7 | 71,0 | 70,2 | 69,5 |
2,10 | 68,9 | 68,2 | 67,5 | 66,8 | 66,2 | 65,5 | 64,9 | 64,3 | 63,6 | 63,0 |
2,20 | 62,4 | 61,8 | 61,2 | 60,7 | 60,1 | 59,5 | 59,0 | 58,4 | 57,9 | 57,3 |
2,30 | 56,8 | 56,3 | 55,8 | 55,3 | 54,8 | 54,3 | 53,8 | 53,3 | 52,8 | 52,3 |
2,40 | 51,9 | 51,4 | 51,0 | 50,5 | 50,1 | 49,6 | 49,2 | 48,8 | 48,4 | 47,9 |
2,50 | 47,5 | 47,1 | 46,7 | 46,3 | 45,9 | 45,5 | 45,2 | 44,8 | 44,4 | 44,0 |
2,60 | 43,7 | 43,3 | 42,9 | 42,6 | 42,2 | 41,9 | 41,5 | 41,2 | 40,9 | 40,5 |
2,70 | 40,2 | 39,9 | 39,6 | 39,3 | 38,9 | 38,6 | 38,3 | 38,0 | 37,7 | 37,4 |
2,80 | 37,1 | 36,8 | 36,5 | 36,3 | 36,0 | 35,7 | 35,4 | 35,1 | 34,9 | 34,6 |
2,90 | 34,3 | 34,1 | 33,8 | 33,6 | 33,3 | 33,1 | 32,8 | 32,6 | 32,3 | 32,1 |
3,00 | 31,8 | - | - | - | - | - | - | - | - | - |
d, мм | 0,000 | 0,005 | 0,010 | 0,015 | 0,020 | 0,025 | 0,030 | 0,035 | 0,040 | 0,045 |
1,200 | 109 | 108 | 107 | 106 | 105 | 104 | 104 | 103 | 102 | 101 |
1,250 | 100 | 99,4 | 98,6 | 97,9 | 97,1 | 96,3 | 95,5 | 94,8 | 94,0 | 93,3 |
1,300 | 92,6 | 91,8 | 91,1 | 90,4 | 89,7 | 89,0 | 88,4 | 87,7 | 87,0 | 86,4 |
1,350 | 85,7 | 85,1 | 84,4 | 83,8 | 83,2 | 82,6 | 82,0 | 81,4 | 80,8 | 80,2 |
1,400 | 79,6 | 79,0 | 78,4 | 77,9 | 77,3 | 76,8 | 76,2 | 75,7 | 75,1 | 74,6 |
1,450 | 74,1 | 73,6 | 73,0 | 72,5 | 72,0 | 71,5 | 71,0 | 70,6 | 70,1 | 69,6 |
d, мм | 0,00 | 0,01 | 0,02 | 0,03 | 0,04 | 0,05 | 0,06 | 0,07 | 0,08 | 0,09 |
1,50 | 69,1 | 68,2 | 67,3 | 66,4 | 65,5 | 64,6 | 63,8 | 62,9 | 62,1 | 61,3 |
1,60 | 60,5 | 59,8 | 59,0 | 58,3 | 57,5 | 56,8 | 56,1 | 55,4 | 54,8 | 54,1 |
1,70 | 53,4 | 52,8 | 52,2 | 51,5 | 50,9 | 50,3 | 49,7 | 49,2 | 48,6 | 48,0 |
1,80 | 47,5 | 46,9 | 46,4 | 45,9 | 45,4 | 44,9 | 44,4 | 43,9 | 43,4 | 42,9 |
1,90 | 42,4 | 42,0 | 41,5 | 41,1 | 40,6 | 40,2 | 39,8 | 39,4 | 38,9 | 38,5 |
2,00 | 38,1 | 37,7 | 37,3 | 37,0 | 36,6 | 36,2 | 35,8 | 35,5 | 35,1 | 34,8 |
2,10 | 34,4 | 34,1 | 33,7 | 33,4 | 33,1 | 32,8 | 32,4 | 32,1 | 31,8 | 31,5 |
2,20 | 31,2 | 30,9 | 30,6 | 30,3 | 30,0 | 29,8 | 29,5 | 29,2 | 28,9 | 28,7 |
2,30 | 28,4 | 28,1 | 27,9 | 27,6 | 27,4 | 27,1 | 26,9 | 26,6 | 26,4 | 26,2 |
2,40 | 25,9 | 25,7 | 25,5 | 25,3 | 25,0 | 24,8 | 24,6 | 24,4 | 24,2 | 24,0 |
2,50 | 23,8 | 23,6 | 23,4 | 23,2 | 23,0 | 22,8 | 22,6 | 22,4 | 22,2 | 22,0 |
2,60 | 21,8 | 21,6 | 21,5 | 21,3 | 21,1 | 20,9 | 20,8 | 20,6 | 20,4 | 20,3 |
2,70 | 20,1 | 19,9 | 19,8 | 19,6 | 19,5 | 19,3 | 19,2 | 19,0 | 18,9 | 18,7 |
2,80 | 18,6 | 18,4 | 18,3 | 18,1 | 18,0 | 17,8 | 17,7 | 17,6 | 17,4 | 17,3 |
2,90 | 17,2 | 17,0 | 16,9 | 16,8 | 16,7 | 16,5 | 16,4 | 16,3 | 16,2 | 16,0 |
3,00 | 15,9 | - | - | - | - | - | - | - | - | - |
d, мм | 0,00 | 0,01 | 0,02 | 0,03 | 0,04 | 0,05 | 0,06 | 0,07 | 0,08 | 0,09 |
1,20 | 54,5 | 53,5 | 52,7 | 51,8 | 50,9 | 50,1 | 49,3 | 48,5 | 47,8 | 47,0 |
1,30 | 46,3 | 45,6 | 44,9 | 44,2 | 43,5 | 42,9 | 42,2 | 41,6 | 41,0 | 40,4 |
1,40 | 39,8 | 39,2 | 38,7 | 38,1 | 37,6 | 37,0 | 36,5 | 36,0 | 35,5 | 35,0 |
1,50 | 34,6 | 34,1 | 33,6 | 33,2 | 32,7 | 32,3 | 31,9 | 31,5 | 31,1 | 30,7 |
1,60 | 30,3 | 29,9 | 29,5 | 29,1 | 28,8 | 28,4 | 28,1 | 27,7 | 27,4 | 27,0 |
1,70 | 26,7 | 26,4 | 26,1 | 25,8 | 25,5 | 25,2 | 24,9 | 24,6 | 24,3 | 24,0 |
1,80 | 23,7 | 23,5 | 23,2 | 22,9 | 22,7 | 22,4 | 22,2 | 21,9 | 21,7 | 21,5 |
1,90 | 21,2 | 21,0 | 20,8 | 20,5 | 20,3 | 20,1 | 19,9 | 19,7 | 19,5 | 19,3 |
2,00 | 19,1 | 18,9 | 18,7 | 18,5 | 18,3 | 18,1 | 17,9 | 17,7 | 17,6 | 17,4 |
2,10 | 17,2 | 17,0 | 16,9 | 16,7 | 16,5 | 16,4 | 16,2 | 16,1 | 15,9 | 15,8 |
2,20 | 15,6 | 15,5 | 15,3 | 15,2 | 15,0 | 14,9 | 14,7 | 14,6 | 14,5 | 14,3 |
2,30 | 14,2 | 14,1 | 13,9 | 13,8 | 13,7 | 13,6 | 13,4 | 13,3 | 13,2 | 13,1 |
2,40 | 13,0 | 12,9 | 12,7 | 12,6 | 12,5 | 12,4 | 12,3 | 12,2 | 12,1 | 12,0 |
2,50 | 11,9 | 11,8 | 11,7 | 11,6 | 11,5 | 11,4 | 11,3 | 11,2 | 11,1 | 11,0 |
2,60 | 10,9 | 10,8 | 10,7 | 10,6 | 10,6 | 10,5 | 10,4 | 10,3 | 10,2 | 10,1 |
2,70 | 10,1 | 9,97 | 9,89 | 9,81 | 9,73 | 9,65 | 9,58 | 9,50 | 9,43 | 9,35 |
2,80 | 9,28 | 9,21 | 9,13 | 9,06 | 8,99 | 8,92 | 8,85 | 8,79 | 8,72 | 8,65 |
2,90 | 8,58 | 8,52 | 8,45 | 8,39 | 8,33 | 8,26 | 8,20 | 8,14 | 8,08 | 8,02 |
3,00 | 7,96 | - | - | - | - | - | - | - | - | - |
d, мм | 0,00 | 0,01 | 0,02 | 0,03 | 0,04 | 0,05 | 0,06 | 0,07 | 0,08 | 0,09 |
1,20 | 21,8 | 21,4 | 21,1 | 20,7 | 20,4 | 20,1 | 19,7 | 19,4 | 19,1 | 18,8 |
1,30 | 18,5 | 18,2 | 17,9 | 17,7 | 17,4 | 17,1 | 16,9 | 16,6 | 16,4 | 16,2 |
1,40 | 15,9 | 15,7 | 15,5 | 15,2 | 15,0 | 14,8 | 14,6 | 14,4 | 14,2 | 14,0 |
1,50 | 13,8 | 13,6 | 13,5 | 13,3 | 13,1 | 12,9 | 12,8 | 12,6 | 12,4 | 12,3 |
1,60 | 12,1 | 12,0 | 11,8 | 11,7 | 11,5 | 11,4 | 11,2 | 11,1 | 11,0 | 10,8 |
1,70 | 10,7 | 10,6 | 10,4 | 10,3 | 10,2 | 10,1 | 9,95 | 9,83 | 9,72 | 9,61 |
1,80 | 9,50 | 9,39 | 9,28 | 9,18 | 9,07 | 8,97 | 8,87 | 8,77 | 8,68 | 8,58 |
1,90 | 8,49 | 8,40 | 8,30 | 8,22 | 8,13 | 8,04 | 7,96 | 7,87 | 7,79 | 7,71 |
2,00 | 7,63 | 7,55 | 7,47 | 7,39 | 7,32 | 7,24 | 7,17 | 7,10 | 7,02 | 6,95 |
2,10 | 6,89 | 6,82 | 6,75 | 6,68 | 6,62 | 6,55 | 6,49 | 6,43 | 6,36 | 6,30 |
2,20 | 6,24 | 6,18 | 6,12 | 6,07 | 6,01 | 5,95 | 5,90 | 5,84 | 5,79 | 5,73 |
2,30 | 5,68 | 5,63 | 5,58 | 5,53 | 5,48 | 5,43 | 5,38 | 5,33 | 5,28 | 5,23 |
2,40 | 5,19 | 5,14 | 5,10 | 5,05 | 5,01 | 4,96 | 4,92 | 4,88 | 4,84 | 4,79 |
2,50 | 4,75 | 4,71 | 4,67 | 4,63 | 4,59 | 4,55 | 4,52 | 4,48 | 4,44 | 4,40 |
2,60 | 4,37 | 4,33 | 4,29 | 4,26 | 4,22 | 4,19 | 4,15 | 4,12 | 4,09 | 4,05 |
2,70 | 4,02 | 3,99 | 3,96 | 3,93 | 3,89 | 3,86 | 3,83 | 3,80 | 3,77 | 3,74 |
2,80 | 3,71 | 3,68 | 3,65 | 3,63 | 3,60 | 3,57 | 3,54 | 3,51 | 3,49 | 3,46 |
2,90 | 3,43 | 3,41 | 3,38 | 3,36 | 3,33 | 3,31 | 3,28 | 3,26 | 3,23 | 3,21 |
3,00 | 3,18 | - | - | - | - | - | - | - | - | - |
d, мм | 0,000 | 0,001 | 0,002 | 0,003 | 0,004 | 0,005 | 0,006 | 0,007 | 0,008 | 0,009 |
0,600 | 653 | 651 | 649 | 647 | 645 | 643 | 640 | 638 | 636 | 634 |
0,610 | 632 | 630 | 628 | 626 | 624 | 622 | 620 | 617 | 615 | 613 |
0,620 | 611 | 609 | 607 | 605 | 603 | 602 | 600 | 598 | 596 | 594 |
0,630 | 592 | 590 | 588 | 586 | 584 | 582 | 581 | 579 | 577 | 575 |
0,640 | 573 | 571 | 570 | 568 | 566 | 564 | 562 | 561 | 559 | 557 |
0,650 | 555 | 554 | 552 | 550 | 549 | 547 | 545 | 543 | 542 | 540 |
0,660 | 538 | 537 | 535 | 533 | 532 | 530 | 529 | 527 | 525 | 524 |
0,670 | 522 | 521 | 519 | 517 | 516 | 514 | 513 | 511 | 510 | 508 |
0,680 | 507 | 505 | 504 | 502 | 501 | 499 | 498 | 496 | 495 | 493 |
0,690 | 492 | 490 | 489 | 487 | 486 | 485 | 483 | 482 | 480 | 479 |
0,700 | 478 | 476 | 475 | 473 | 472 | 471 | 469 | 468 | 467 | 465 |
0,710 | 464 | 463 | 461 | 460 | 459 | 457 | 456 | 455 | 453 | 452 |
0,720 | 451 | 450 | 448 | 447 | 446 | 444 | 443 | 442 | 441 | 440 |
0,730 | 438 | 437 | 436 | 435 | 433 | 432 | 431 | 430 | 429 | 427 |
0,740 | 426 | 425 | 424 | 423 | 422 | 420 | 419 | 418 | 417 | 416 |
0,750 | 415 | 414 | 412 | 411 | 410 | 409 | 408 | 407 | 406 | 405 |
0,760 | 404 | 402 | 401 | 400 | 399 | 398 | 397 | 396 | 395 | 394 |
0,770 | 393 | 392 | 391 | 390 | 389 | 388 | 387 | 386 | 385 | 384 |
0,780 | 383 | 382 | 381 | 380 | 379 | 378 | 377 | 376 | 375 | 374 |
0,790 | 373 | 372 | 371 | 370 | 369 | 368 | 367 | 366 | 365 | 364 |
0,800 | 363 | 362 | 361 | 360 | 360 | 359 | 358 | 357 | 356 | 355 |
0,810 | 354 | 353 | 352 | 351 | 351 | 350 | 349 | 348 | 347 | 346 |
0,820 | 345 | 344 | 344 | 343 | 342 | 341 | 340 | 339 | 338 | 338 |
0,830 | 337 | 336 | 335 | 334 | 333 | 333 | 332 | 331 | 330 | 329 |
0,840 | 329 | 328 | 327 | 326 | 325 | 325 | 324 | 323 | 322 | 321 |
0,850 | 321 | 320 | 319 | 318 | 318 | 317 | 316 | 315 | 314 | 314 |
0,860 | 313 | 312 | 311 | 311 | 310 | 309 | 309 | 308 | 307 | 306 |
0,870 | 306 | 305 | 304 | 303 | 303 | 302 | 301 | 301 | 300 | 299 |
0,880 | 298 | 298 | 297 | 296 | 296 | 295 | 294 | 294 | 293 | 292 |
0,890 | 292 | 291 | 290 | 290 | 289 | 288 | 288 | 287 | 286 | 286 |
0,900 | 285 | 284 | 284 | 283 | 282 | 282 | 281 | 280 | 280 | 279 |
0,910 | 278 | 278 | 277 | 277 | 276 | 275 | 275 | 274 | 273 | 273 |
0,920 | 272 | 272 | 271 | 270 | 270 | 269 | 269 | 268 | 267 | 267 |
0,930 | 266 | 266 | 265 | 264 | 264 | 263 | 263 | 262 | 261 | 261 |
0,940 | 260 | 260 | 259 | 259 | 258 | 257 | 257 | 256 | 256 | 255 |
0,950 | 255 | 254 | 254 | 253 | 252 | 252 | 251 | 251 | 250 | 250 |
0,960 | 249 | 249 | 248 | 248 | 247 | 246 | 246 | 245 | 245 | 244 |
0,970 | 244 | 243 | 243 | 242 | 242 | 241 | 241 | 240 | 240 | 239 |
0,980 | 239 | 238 | 238 | 237 | 237 | 236 | 236 | 235 | 235 | 234 |
0,990 | 234 | 233 | 233 | 232 | 232 | 231 | 231 | 230 | 230 | 229 |
1,000 | 229 | 228 | 228 | 227 | 227 | 226 | 226 | 225 | 225 | 225 |
1,010 | 224 | 224 | 223 | 223 | 222 | 222 | 221 | 221 | 220 | 220 |
1,020 | 220 | 219 | 219 | 218 | 218 | 217 | 217 | 216 | 216 | 215 |
1,030 | 215 | 215 | 214 | 214 | 213 | 213 | 212 | 212 | 212 | 211 |
1,040 | 211 | 210 | 210 | 209 | 209 | 209 | 208 | 208 | 207 | 207 |
1,050 | 207 | 206 | 206 | 205 | 205 | 204 | 204 | 204 | 203 | 203 |
1,060 | 202 | 202 | 202 | 201 | 201 | 200 | 200 | 200 | 199 | 199 |
1,070 | 199 | 198 | 198 | 197 | 197 | 197 | 196 | 196 | 195 | 195 |
1,080 | 195 | 194 | 194 | 194 | 193 | 193 | 192 | 192 | 192 | 191 |
1,090 | 191 | 191 | 190 | 190 | 189 | 189 | 189 | 188 | 188 | 188 |
1,100 | 187 | 187 | 187 | 186 | 186 | 185 | 185 | 185 | 184 | 184 |
1,110 | 184 | 183 | 183 | 183 | 182 | 182 | 182 | 181 | 181 | 181 |
1,120 | 180 | 180 | 180 | 179 | 179 | 179 | 178 | 178 | 178 | 177 |
1,130 | 177 | 177 | 176 | 176 | 176 | 175 | 175 | 175 | 174 | 174 |
1,140 | 174 | 173 | 173 | 173 | 172 | 172 | 172 | 171 | 171 | 171 |
1,150 | 170 | 170 | 170 | 169 | 169 | 169 | 169 | 168 | 168 | 168 |
1,160 | 167 | 167 | 167 | 166 | 166 | 166 | 165 | 165 | 165 | 165 |
1,170 | 164 | 164 | 164 | 163 | 163 | 163 | 162 | 162 | 162 | 162 |
1,180 | 161 | 161 | 161 | 160 | 160 | 160 | 160 | 159 | 159 | 159 |
1,190 | 158 | 158 | 158 | 158 | 157 | 157 | 157 | 156 | 156 | 156 |
1,200 | 156 | 155 | 155 | 155 | 155 | 154 | 154 | 154 | 153 | 153 |
1,210 | 153 | 153 | 152 | 152 | 152 | 152 | 151 | 151 | 151 | 150 |
1,220 | 150 | 150 | 150 | 149 | 149 | 149 | 149 | 148 | 148 | 148 |
1,230 | 148 | 147 | 147 | 147 | 147 | 146 | 146 | 146 | 146 | 145 |
1,240 | 145 | 145 | 145 | 144 | 144 | 144 | 144 | 143 | 143 | 143 |
1,250 | 143 | 142 | 142 | 142 | 142 | 141 | 141 | 141 | 141 | 140 |
1,260 | 140 | 140 | 140 | 139 | 139 | 139 | 139 | 138 | 138 | 138 |
1,270 | 138 | 138 | 137 | 137 | 137 | 137 | 136 | 136 | 136 | 136 |
1,280 | 135 | 135 | 135 | 135 | 135 | 134 | 134 | 134 | 134 | 133 |
1,290 | 133 | 133 | 133 | 133 | 132 | 132 | 132 | 132 | 131 | 131 |
1,300 | 131 | 131 | 131 | 130 | 130 | 130 | 130 | 129 | 129 | 129 |
1,310 | 129 | 129 | 128 | 128 | 128 | 128 | 128 | 127 | 127 | 127 |
1,320 | 127 | 126 | 126 | 126 | 126 | 126 | 125 | 125 | 125 | 125 |
1,330 | 125 | 124 | 124 | 124 | 124 | 124 | 123 | 123 | 123 | 123 |
1,340 | 123 | 122 | 122 | 122 | 122 | 122 | 121 | 121 | 121 | 121 |
1,350 | 121 | 120 | 120 | 120 | 120 | 120 | 119 | 119 | 119 | 119 |
1,360 | 119 | 119 | 118 | 118 | 118 | 118 | 118 | 117 | 117 | 117 |
1,370 | 117 | 117 | 116 | 116 | 116 | 116 | 116 | 116 | 115 | 115 |
1,380 | 115 | 115 | 115 | 114 | 114 | 114 | 114 | 114 | 114 | 113 |
1,390 | 113 | 113 | 113 | 113 | 112 | 112 | 112 | 112 | 112 | 112 |
1,400 | 111 | 111 | 111 | 111 | 111 | 110 | 110 | 110 | 110 | 110 |
1,410 | 110 | 109 | 109 | 109 | 109 | 109 | 109 | 108 | 108 | 108 |
1,420 | 108 | 108 | 108 | 107 | 107 | 107 | 107 | 107 | 107 | 106 |
1,430 | 106 | 106 | 106 | 106 | 106 | 105 | 105 | 105 | 105 | 105 |
1,440 | 105 | 104 | 104 | 104 | 104 | 104 | 104 | 104 | 103 | 103 |
1,450 | 103 | 103 | 103 | 103 | 102 | 102 | 102 | 102 | 102 | 102 |
1,460 | 101 | 101 | 101 | 101 | 101 | 101 | 101 | 100 | 100 | 100 |
1,470 | 99,9 | 99,8 | 99,6 | 99,5 | 99,3 | 99,2 | 99,0 | 98,9 | 98,7 | 98,6 |
1,480 | 98,4 | 98,3 | 98,1 | 98,0 | 97,8 | 97,7 | 97,5 | 97,4 | 97,2 | 97,1 |
1,490 | 97,0 | 96,8 | 96,7 | 96,5 | 96,4 | 96,2 | 96,1 | 95,9 | 95,8 | 95,6 |
1,500 | 95,5 | - | - | - | - | - | - | - | - | - |
d, мм | 0,000 | 0,001 | 0,002 | 0,003 | 0,004 | 0,005 | 0,006 | 0,007 | 0,008 | 0,009 |
0,600 | 218 | 217 | 216 | 216 | 215 | 214 | 213 | 213 | 212 | 211 |
0,610 | 211 | 210 | 209 | 209 | 208 | 207 | 206 | 206 | 205 | 204 |
0,620 | 204 | 203 | 202 | 202 | 201 | 200 | 200 | 199 | 199 | 198 |
0,630 | 197 | 197 | 196 | 195 | 195 | 194 | 193 | 193 | 192 | 192 |
0,640 | 191 | 190 | 190 | 189 | 189 | 188 | 187 | 187 | 186 | 186 |
0,650 | 185 | 185 | 184 | 183 | 183 | 182 | 182 | 181 | 181 | 180 |
0,660 | 179 | 179 | 178 | 178 | 177 | 177 | 176 | 176 | 175 | 175 |
0,670 | 174 | 173 | 173 | 172 | 172 | 171 | 171 | 170 | 170 | 169 |
0,680 | 169 | 168 | 168 | 167 | 167 | 166 | 166 | 165 | 165 | 164 |
0,690 | 164 | 163 | 163 | 162 | 162 | 161 | 161 | 161 | 160 | 160 |
0,700 | 159 | 159 | 158 | 158 | 157 | 157 | 156 | 156 | 155 | 155 |
0,710 | 155 | 154 | 154 | 153 | 153 | 152 | 152 | 152 | 151 | 151 |
0,720 | 150 | 150 | 149 | 149 | 149 | 148 | 148 | 147 | 147 | 146 |
0,730 | 146 | 146 | 145 | 145 | 144 | 144 | 144 | 143 | 143 | 142 |
0,740 | 142 | 142 | 141 | 141 | 140 | 140 | 140 | 139 | 139 | 139 |
0,750 | 138 | 138 | 137 | 137 | 137 | 136 | 136 | 136 | 135 | 135 |
0,760 | 135 | 134 | 134 | 133 | 133 | 133 | 132 | 132 | 132 | 131 |
0,770 | 131 | 131 | 130 | 130 | 130 | 129 | 129 | 129 | 128 | 128 |
0,780 | 128 | 127 | 127 | 127 | 126 | 126 | 126 | 125 | 125 | 125 |
0,790 | 124 | 124 | 124 | 123 | 123 | 123 | 122 | 122 | 122 | 121 |
0,800 | 121 | 121 | 120 | 120 | 120 | 120 | 119 | 119 | 119 | 118 |
0,810 | 118 | 118 | 117 | 117 | 117 | 117 | 116 | 116 | 116 | 115 |
0,820 | 115 | 115 | 114 | 114 | 114 | 114 | 113 | 113 | 113 | 113 |
0,830 | 112 | 112 | 112 | 111 | 111 | 111 | 111 | 110 | 110 | 110 |
0,840 | 109 | 109 | 109 | 109 | 108 | 108 | 108 | 108 | 107 | 107 |
0,850 | 107 | 107 | 106 | 106 | 106 | 106 | 105 | 105 | 105 | 105 |
0,860 | 104 | 104 | 104 | 104 | 103 | 103 | 103 | 103 | 102 | 102 |
0,870 | 102 | 102 | 101 | 101 | 101 | 101 | 100 | 100 | 99,9 | 99,7 |
0,880 | 99,5 | 99,2 | 99,0 | 98,8 | 98,5 | 98,3 | 98,1 | 97,9 | 97,6 | 97,4 |
0,890 | 97,2 | 96,9 | 96,7 | 96,5 | 96,3 | 96,0 | 95,8 | 95,6 | 95,4 | 95,2 |
0,900 | 94,9 | 94,7 | 94,5 | 94,3 | 94,1 | 93,9 | 93,6 | 93,4 | 93,2 | 93,0 |
0,910 | 92,8 | 92,6 | 92,4 | 92,2 | 92,0 | 91,7 | 91,5 | 91,3 | 91,1 | 90,9 |
0,920 | 90,7 | 90,5 | 90,3 | 90,1 | 89,9 | 89,7 | 89,5 | 89,3 | 89,1 | 88,9 |
0,930 | 88,7 | 88,5 | 88,3 | 88,1 | 87,9 | 87,7 | 87,5 | 87,3 | 87,1 | 86,9 |
0,940 | 86,8 | 86,6 | 86,4 | 86,2 | 86,0 | 85,8 | 85,6 | 85,4 | 85,2 | 85,1 |
0,950 | 84,9 | 84,7 | 84,5 | 84,3 | 84,1 | 83,9 | 83,8 | 83,6 | 83,4 | 83,2 |
0,960 | 83,0 | 82,9 | 82,7 | 82,5 | 82,3 | 82,1 | 82,0 | 81,8 | 81,6 | 81,4 |
0,970 | 81,3 | 81,1 | 80,9 | 80,7 | 80,6 | 80,4 | 80,2 | 80,1 | 79,9 | 79,7 |
0,980 | 79,5 | 79,4 | 79,2 | 79,0 | 78,9 | 78,7 | 78,5 | 78,4 | 78,2 | 78,0 |
0,990 | 77,9 | 77,7 | 77,5 | 77,4 | 77,2 | 77,1 | 76,9 | 76,7 | 76,6 | 76,4 |
1,000 | 76,3 | 76,1 | 75,9 | 75,8 | 75,6 | 75,5 | 75,3 | 75,1 | 75,0 | 74,8 |
1,010 | 74,7 | 74,5 | 74,4 | 74,2 | 74,1 | 73,9 | 73,8 | 73,6 | 73,5 | 73,3 |
1,020 | 73,2 | 73,0 | 72,9 | 72,7 | 72,6 | 72,4 | 72,3 | 72,1 | 72,0 | 71,8 |
1,030 | 71,7 | 71,5 | 71,4 | 71,2 | 71,1 | 71,0 | 70,8 | 70,7 | 70,5 | 70,4 |
1,040 | 70,2 | 70,1 | 70,0 | 69,8 | 69,7 | 69,5 | 69,4 | 69,3 | 69,1 | 69,0 |
1,050 | 68,8 | 68,7 | 68,6 | 68,4 | 68,3 | 68,2 | 68,0 | 67,9 | 67,7 | 67,6 |
1,060 | 67,5 | 67,3 | 67,2 | 67,1 | 66,9 | 66,8 | 66,7 | 66,6 | 66,4 | 66,3 |
1,070 | 66,2 | 66,0 | 65,9 | 65,8 | 65,6 | 65,5 | 65,4 | 65,3 | 65,1 | 65,0 |
1,080 | 64,9 | 64,7 | 64,6 | 64,5 | 64,4 | 64,2 | 64,1 | 64,0 | 63,9 | 63,7 |
1,090 | 63,6 | 63,5 | 63,4 | 63,3 | 63,1 | 63,0 | 62,9 | 62,8 | 62,7 | 62,5 |
1,100 | 62,4 | 62,3 | 62,2 | 62,1 | 61,9 | 61,8 | 61,7 | 61,6 | 61,5 | 61,3 |
1,110 | 61,2 | 61,1 | 61,0 | 60,9 | 60,8 | 60,6 | 60,5 | 60,4 | 60,3 | 60,2 |
1,120 | 60,1 | 60,0 | 59,8 | 59,7 | 59,6 | 59,5 | 59,4 | 59,3 | 59,2 | 59,1 |
1,130 | 59,0 | 58,8 | 58,7 | 58,6 | 58,5 | 58,4 | 58,3 | 58,2 | 58,1 | 58,0 |
1,140 | 57,9 | 57,8 | 57,6 | 57,5 | 57,4 | 57,3 | 57,2 | 57,1 | 57,0 | 56,9 |
1,150 | 56,8 | 56,7 | 56,6 | 56,5 | 56,4 | 56,3 | 56,2 | 56,1 | 56,0 | 55,9 |
1,160 | 55,8 | 55,7 | 55,6 | 55,5 | 55,4 | 55,3 | 55,2 | 55,1 | 55,0 | 54,9 |
1,170 | 54,8 | 54,7 | 54,6 | 54,5 | 54,4 | 54,3 | 54,2 | 54,1 | 54,0 | 53,9 |
1,180 | 53,8 | 53,7 | 53,6 | 53,5 | 53,4 | 53,3 | 53,2 | 53,1 | 53,0 | 52,9 |
1,190 | 52,8 | 52,7 | 52,6 | 52,5 | 52,4 | 52,3 | 52,2 | 52,1 | 52,1 | 52,0 |
1,200 | 51,9 | 51,8 | 51,7 | 51,6 | 51,5 | 51,4 | 51,3 | 51,2 | 51,1 | 51,0 |
1,210 | 51,0 | 50,9 | 50,8 | 50,7 | 50,6 | 50,5 | 50,4 | 50,3 | 50,2 | 50,2 |
1,220 | 50,1 | 50,0 | 49,9 | 49,8 | 49,7 | 49,6 | 49,5 | 49,5 | 49,4 | 49,3 |
1,230 | 49,2 | 49,1 | 49,0 | 48,9 | 48,9 | 48,8 | 48,7 | 48,6 | 48,5 | 48,4 |
1,240 | 48,3 | 48,3 | 48,2 | 48,1 | 48,0 | 47,9 | 47,8 | 47,8 | 47,7 | 47,6 |
1,250 | 47,5 | 47,4 | 47,4 | 47,3 | 47,2 | 47,1 | 47,0 | 46,9 | 46,9 | 46,8 |
1,260 | 46,7 | 46,6 | 46,5 | 46,5 | 46,4 | 46,3 | 46,2 | 46,2 | 46,1 | 46,0 |
1,270 | 45,9 | 45,8 | 45,8 | 45,7 | 45,6 | 45,5 | 45,5 | 45,4 | 45,3 | 45,2 |
1,280 | 45,1 | 45,1 | 45,0 | 44,9 | 44,8 | 44,8 | 44,7 | 44,6 | 44,5 | 44,5 |
1,290 | 44,4 | 44,3 | 44,2 | 44,2 | 44,1 | 44,0 | 43,9 | 43,9 | 43,8 | 43,7 |
1,300 | 43,7 | 43,6 | 43,5 | 43,4 | 43,4 | 43,3 | 43,2 | 43,1 | 43,1 | 43,0 |
1,310 | 42,9 | 42,9 | 42,8 | 42,7 | 42,6 | 42,6 | 42,5 | 42,4 | 42,4 | 42,3 |
1,320 | 42,2 | 42,2 | 42,1 | 42,0 | 41,9 | 41,9 | 41,8 | 41,7 | 41,7 | 41,6 |
1,330 | 41,5 | 41,5 | 41,4 | 41,3 | 41,3 | 41,2 | 41,1 | 41,1 | 41,0 | 40,9 |
1,340 | 40,9 | 40,8 | 40,7 | 40,7 | 40,6 | 40,5 | 40,5 | 40,4 | 40,3 | 40,3 |
1,350 | 40,2 | 40,1 | 40,1 | 40,0 | 39,9 | 39,9 | 39,8 | 39,8 | 39,7 | 39,6 |
1,360 | 39,6 | 39,5 | 39,4 | 39,4 | 39,3 | 39,2 | 39,2 | 39,1 | 39,1 | 39,0 |
1,370 | 38,9 | 38,9 | 38,8 | 38,7 | 38,7 | 38,6 | 38,6 | 38,5 | 38,4 | 38,4 |
1,380 | 38,3 | 38,3 | 38,2 | 38,1 | 38,1 | 38,0 | 37,9 | 37,9 | 37,8 | 37,8 |
1,390 | 37,7 | 37,6 | 37,6 | 37,5 | 37,5 | 37,4 | 37,4 | 37,3 | 37,2 | 37,2 |
1,400 | 37,1 | 37,1 | 37,0 | 36,9 | 36,9 | 36,8 | 36,8 | 36,7 | 36,7 | 36,6 |
1,410 | 36,5 | 36,5 | 36,4 | 36,4 | 36,3 | 36,3 | 36,2 | 36,1 | 36,1 | 36,0 |
1,420 | 36,0 | 35,9 | 35,9 | 35,8 | 35,7 | 35,7 | 35,6 | 35,6 | 35,5 | 35,5 |
1,430 | 35,4 | 35,4 | 35,3 | 35,3 | 35,2 | 35,1 | 35,1 | 35,0 | 35,0 | 34,9 |
1,440 | 34,9 | 34,8 | 34,8 | 34,7 | 34,7 | 34,6 | 34,6 | 34,5 | 34,4 | 34,4 |
1,450 | 34,3 | 34,3 | 34,2 | 34,2 | 34,1 | 34,1 | 34,0 | 34,0 | 33,9 | 33,9 |
1,460 | 33,8 | 33,8 | 33,7 | 33,7 | 33,6 | 33,6 | 33,5 | 33,5 | 33,4 | 33,4 |
1,470 | 33,3 | 33,3 | 33,2 | 33,2 | 33,1 | 33,1 | 33,0 | 33,0 | 32,9 | 32,9 |
1,480 | 32,8 | 32,8 | 32,7 | 32,7 | 32,6 | 32,6 | 32,5 | 32,5 | 32,4 | 32,4 |
1,490 | 32,3 | 32,3 | 32,2 | 32,2 | 32,1 | 32,1 | 32,0 | 32,0 | 31,9 | 31,9 |
1,500 | 31,8 | - | - | - | - | - | - | - | - | - |
d, мм | 0,000 | 0,001 | 0,002 | 0,003 | 0,004 | 0,005 | 0,006 | 0,007 | 0,008 | 0,009 |
0,600 | 109 | 109 | 108 | 108 | 107 | 107 | 107 | 106 | 106 | 106 |
0,610 | 105 | 105 | 105 | 104 | 104 | 104 | 103 | 103 | 103 | 102 |
0,620 | 102 | 102 | 101 | 101 | 101 | 100 | 99,9 | 99,6 | 99,3 | 99,0 |
0,630 | 98,6 | 98,3 | 98,0 | 97,7 | 97,4 | 97,1 | 96,8 | 96,5 | 96,1 | 95,8 |
0,640 | 95,5 | 95,2 | 94,9 | 94,6 | 94,3 | 94,0 | 93,7 | 93,4 | 93,1 | 92,9 |
0,650 | 92,6 | 92,3 | 92,0 | 91,7 | 91,4 | 91,1 | 90,9 | 90,6 | 90,3 | 90,0 |
0,660 | 89,7 | 89,5 | 89,2 | 88,9 | 88,6 | 88,4 | 88,1 | 87,8 | 87,6 | 87,3 |
0,670 | 87,0 | 86,8 | 86,5 | 86,2 | 86,0 | 85,7 | 85,5 | 85,2 | 84,9 | 84,7 |
0,680 | 84,4 | 84,2 | 83,9 | 83,7 | 83,4 | 83,2 | 82,9 | 82,7 | 82,4 | 82,2 |
0,690 | 82,0 | 81,7 | 81,5 | 81,2 | 81,0 | 80,8 | 80,5 | 80,3 | 80,1 | 79,8 |
0,700 | 79,6 | 79,4 | 79,1 | 78,9 | 78,7 | 78,4 | 78,2 | 78,0 | 77,8 | 77,5 |
0,710 | 77,3 | 77,1 | 76,9 | 76,7 | 76,4 | 76,2 | 76,0 | 75,8 | 75,6 | 75,3 |
0,720 | 75,1 | 74,9 | 74,7 | 74,5 | 74,3 | 74,1 | 73,9 | 73,7 | 73,5 | 73,3 |
0,730 | 73,0 | 72,8 | 72,6 | 72,4 | 72,2 | 72,0 | 71,8 | 71,6 | 71,4 | 71,2 |
0,740 | 71,0 | 70,8 | 70,6 | 70,5 | 70,3 | 70,1 | 69,9 | 69,7 | 69,5 | 69,3 |
0,750 | 69,1 | 68,9 | 68,7 | 68,6 | 68,4 | 68,2 | 68,0 | 67,8 | 67,6 | 67,4 |
0,760 | 67,3 | 67,1 | 66,9 | 66,7 | 66,5 | 66,4 | 66,2 | 66,0 | 65,8 | 65,7 |
0,770 | 65,5 | 65,3 | 65,1 | 65,0 | 64,8 | 64,6 | 64,5 | 64,3 | 64,1 | 63,9 |
0,780 | 63,8 | 63,6 | 63,4 | 63,3 | 63,1 | 62,9 | 62,8 | 62,6 | 62,5 | 62,3 |
0,790 | 62,1 | 62,0 | 61,8 | 61,6 | 61,5 | 61,3 | 61,2 | 61,0 | 60,9 | 60,7 |
0,800 | 60,5 | 60,4 | 60,2 | 60,1 | 59,9 | 59,8 | 59,6 | 59,5 | 59,3 | 59,2 |
0,810 | 59,0 | 58,9 | 58,7 | 58,6 | 58,4 | 58,3 | 58,1 | 58,0 | 57,8 | 57,7 |
0,820 | 57,5 | 57,4 | 57,3 | 57,1 | 57,0 | 56,8 | 56,7 | 56,5 | 56,4 | 56,3 |
0,830 | 56,1 | 56,0 | 55,8 | 55,7 | 55,6 | 55,4 | 55,3 | 55,2 | 55,0 | 54,9 |
0,840 | 54,8 | 54,6 | 54,5 | 54,4 | 54,2 | 54,1 | 54,0 | 53,8 | 53,7 | 53,6 |
0,850 | 53,4 | 53,3 | 53,2 | 53,0 | 52,9 | 52,8 | 52,7 | 52,5 | 52,4 | 52,3 |
0,860 | 52,2 | 52,0 | 51,9 | 51,8 | 51,7 | 51,5 | 51,4 | 51,3 | 51,2 | 51,1 |
0,870 | 50,9 | 50,8 | 50,7 | 50,6 | 50,5 | 50,3 | 50,2 | 50,1 | 50,0 | 49,9 |
0,880 | 49,7 | 49,6 | 49,5 | 49,4 | 49,3 | 49,2 | 49,0 | 48,9 | 48,8 | 48,7 |
0,890 | 48,6 | 48,5 | 48,4 | 48,3 | 48,1 | 48,0 | 47,9 | 47,8 | 47,7 | 47,6 |
0,900 | 47,5 | 47,4 | 47,3 | 47,2 | 47,0 | 46,9 | 46,8 | 46,7 | 46,6 | 46,5 |
0,910 | 46,4 | 46,3 | 46,2 | 46,1 | 46,0 | 45,9 | 45,8 | 45,7 | 45,6 | 45,5 |
0,920 | 45,4 | 45,3 | 45,2 | 45,1 | 45,0 | 44,9 | 44,8 | 44,7 | 44,6 | 44,5 |
0,930 | 44,4 | 44,3 | 44,2 | 44,1 | 44,0 | 43,9 | 43,8 | 43,7 | 43,6 | 43,5 |
0,940 | 43,4 | 43,3 | 43,2 | 43,1 | 43,0 | 42,9 | 42,8 | 42,7 | 42,6 | 42,5 |
0,950 | 42,4 | 42,3 | 42,3 | 42,2 | 42,1 | 42,0 | 41,9 | 41,8 | 41,7 | 41,6 |
0,960 | 41,5 | 41,4 | 41,3 | 41,3 | 41,2 | 41,1 | 41,0 | 40,9 | 40,8 | 40,7 |
0,970 | 40,6 | 40,5 | 40,5 | 40,4 | 40,3 | 40,2 | 40,1 | 40,0 | 39,9 | 39,9 |
0,980 | 39,8 | 39,7 | 39,6 | 39,5 | 39,4 | 39,4 | 39,3 | 39,2 | 39,1 | 39,0 |
0,990 | 38,9 | 38,9 | 38,8 | 38,7 | 38,6 | 38,5 | 38,5 | 38,4 | 38,3 | 38,2 |
1,000 | 38,1 | 38,1 | 38,0 | 37,9 | 37,8 | 37,7 | 37,7 | 37,6 | 37,5 | 37,4 |
1,010 | 37,3 | 37,3 | 37,2 | 37,1 | 37,0 | 37,0 | 36,9 | 36,8 | 36,7 | 36,7 |
1,020 | 36,6 | 36,5 | 36,4 | 36,4 | 36,3 | 36,2 | 36,1 | 36,1 | 36,0 | 35,9 |
1,030 | 35,8 | 35,8 | 35,7 | 35,6 | 35,6 | 35,5 | 35,4 | 35,3 | 35,3 | 35,2 |
1,040 | 35,1 | 35,1 | 35,0 | 34,9 | 34,8 | 34,8 | 34,7 | 34,6 | 34,6 | 34,5 |
1,050 | 34,4 | 34,4 | 34,3 | 34,2 | 34,2 | 34,1 | 34,0 | 33,9 | 33,9 | 33,8 |
1,060 | 33,7 | 33,7 | 33,6 | 33,5 | 33,5 | 33,4 | 33,3 | 33,3 | 33,2 | 33,2 |
1,070 | 33,1 | 33,0 | 33,0 | 32,9 | 32,8 | 32,8 | 32,7 | 32,6 | 32,6 | 32,5 |
1,080 | 32,4 | 32,4 | 32,3 | 32,3 | 32,2 | 32,1 | 32,1 | 32,0 | 31,9 | 31,9 |
1,090 | 31,8 | 31,8 | 31,7 | 31,6 | 31,6 | 31,5 | 31,5 | 31,4 | 31,3 | 31,3 |
1,100 | 31,2 | 31,2 | 31,1 | 31,0 | 31,0 | 30,9 | 30,9 | 30,8 | 30,7 | 30,7 |
1,110 | 30,6 | 30,6 | 30,5 | 30,4 | 30,4 | 30,3 | 30,3 | 30,2 | 30,2 | 30,1 |
1,120 | 30,0 | 30,0 | 29,9 | 29,9 | 29,8 | 29,8 | 29,7 | 29,6 | 29,6 | 29,5 |
1,130 | 29,5 | 29,4 | 29,4 | 29,3 | 29,3 | 29,2 | 29,2 | 29,1 | 29,0 | 29,0 |
1,140 | 28,9 | 28,9 | 28,8 | 28,8 | 28,7 | 28,7 | 28,6 | 28,6 | 28,5 | 28,5 |
1,150 | 28,4 | 28,4 | 28,3 | 28,2 | 28,2 | 28,1 | 28,1 | 28,0 | 28,0 | 27,9 |
1,160 | 27,9 | 27,8 | 27,8 | 27,7 | 27,7 | 27,6 | 27,6 | 27,5 | 27,5 | 27,4 |
1,170 | 27,4 | 27,3 | 27,3 | 27,2 | 27,2 | 27,1 | 27,1 | 27,0 | 27,0 | 26,9 |
1,180 | 26,9 | 26,8 | 26,8 | 26,7 | 26,7 | 26,6 | 26,6 | 26,5 | 26,5 | 26,5 |
1,190 | 26,4 | 26,4 | 26,3 | 26,3 | 26,2 | 26,2 | 26,1 | 26,1 | 26,0 | 26,0 |
1,200 | 25,9 | 25,9 | 25,8 | 25,8 | 25,8 | 25,7 | 25,7 | 25,6 | 25,6 | 25,5 |
1,210 | 25,5 | 25,4 | 25,4 | 25,3 | 25,3 | 25,3 | 25,2 | 25,2 | 25,1 | 25,1 |
1,220 | 25,0 | 25,0 | 24,9 | 24,9 | 24,9 | 24,8 | 24,8 | 24,7 | 24,7 | 24,6 |
1,230 | 24,6 | 24,6 | 24,5 | 24,5 | 24,4 | 24,4 | 24,3 | 24,3 | 24,3 | 24,2 |
1,240 | 24,2 | 24,1 | 24,1 | 24,1 | 24,0 | 24,0 | 23,9 | 23,9 | 23,8 | 23,8 |
1,250 | 23,8 | 23,7 | 23,7 | 23,6 | 23,6 | 23,6 | 23,5 | 23,5 | 23,4 | 23,4 |
1,260 | 23,4 | 23,3 | 23,3 | 23,2 | 23,2 | 23,2 | 23,1 | 23,1 | 23,0 | 23,0 |
1,270 | 23,0 | 22,9 | 22,9 | 22,8 | 22,8 | 22,8 | 22,7 | 22,7 | 22,7 | 22,6 |
1,280 | 22,6 | 22,5 | 22,5 | 22,5 | 22,4 | 22,4 | 22,3 | 22,3 | 22,3 | 22,2 |
1,290 | 22,2 | 22,2 | 22,1 | 22,1 | 22,0 | 22,0 | 22,0 | 21,9 | 21,9 | 21,9 |
1,300 | 21,8 | 21,8 | 21,8 | 21,7 | 21,7 | 21,6 | 21,6 | 21,6 | 21,5 | 21,5 |
1,310 | 21,5 | 21,4 | 21,4 | 21,4 | 21,3 | 21,3 | 21,3 | 21,2 | 21,2 | 21,2 |
1,320 | 21,1 | 21,1 | 21,0 | 21,0 | 21,0 | 20,9 | 20,9 | 20,9 | 20,8 | 20,8 |
1,330 | 20,8 | 20,7 | 20,7 | 20,7 | 20,6 | 20,6 | 20,6 | 20,5 | 20,5 | 20,5 |
1,340 | 20,4 | 20,4 | 20,4 | 20,3 | 20,3 | 20,3 | 20,2 | 20,2 | 20,2 | 20,1 |
1,350 | 20,1 | 20,1 | 20,0 | 20,0 | 20,0 | 19,9 | 19,9 | 19,9 | 19,8 | 19,8 |
1,360 | 19,8 | 19,8 | 19,7 | 19,7 | 19,7 | 19,6 | 19,6 | 19,6 | 19,5 | 19,5 |
1,370 | 19,5 | 19,4 | 19,4 | 19,4 | 19,3 | 19,3 | 19,3 | 19,3 | 19,2 | 19,2 |
1,380 | 19,2 | 19,1 | 19,1 | 19,1 | 19,0 | 19,0 | 19,0 | 18,9 | 18,9 | 18,9 |
1,390 | 18,9 | 18,8 | 18,8 | 18,8 | 18,7 | 18,7 | 18,7 | 18,6 | 18,6 | 18,6 |
1,400 | 18,6 | 18,5 | 18,5 | 18,5 | 18,4 | 18,4 | 18,4 | 18,4 | 18,3 | 18,3 |
1,410 | 18,3 | 18,2 | 18,2 | 18,2 | 18,2 | 18,1 | 18,1 | 18,1 | 18,0 | 18,0 |
1,420 | 18,0 | 18,0 | 17,9 | 17,9 | 17,9 | 17,8 | 17,8 | 17,8 | 17,8 | 17,7 |
1,430 | 17,7 | 17,7 | 17,7 | 17,6 | 17,6 | 17,6 | 17,5 | 17,5 | 17,5 | 17,5 |
1,440 | 17,4 | 17,4 | 17,4 | 17,4 | 17,3 | 17,3 | 17,3 | 17,3 | 17,2 | 17,2 |
1,450 | 17,2 | 17,1 | 17,1 | 17,1 | 17,1 | 17,0 | 17,0 | 17,0 | 17,0 | 16,9 |
1,460 | 16,9 | 16,9 | 16,9 | 16,8 | 16,8 | 16,8 | 16,8 | 16,7 | 16,7 | 16,7 |
1,470 | 16,7 | 16,6 | 16,6 | 16,6 | 16,6 | 16,5 | 16,5 | 16,5 | 16,5 | 16,4 |
1,480 | 16,4 | 16,4 | 16,4 | 16,3 | 16,3 | 16,3 | 16,3 | 16,2 | 16,2 | 16,2 |
1,490 | 16,2 | 16,1 | 16,1 | 16,1 | 16,1 | 16,0 | 16,0 | 16,0 | 16,0 | 15,9 |
1,500 | 15,9 | - | - | - | - | - | - | - | - | - |
d, мм | 0,000 | 0,001 | 0,002 | 0,003 | 0,004 | 0,005 | 0,006 | 0,007 | 0,008 | 0,009 |
0,600 | 54,4 | 54,3 | 54,1 | 53,9 | 53,7 | 53,5 | 53,4 | 53,2 | 53,0 | 52,8 |
0,610 | 52,6 | 52,5 | 52,3 | 52,1 | 52,0 | 51,8 | 51,6 | 51,4 | 51,3 | 51,1 |
0,620 | 50,9 | 50,8 | 50,6 | 50,4 | 50,3 | 50,1 | 49,9 | 49,8 | 49,6 | 49,5 |
0,630 | 49,3 | 49,1 | 49,0 | 48,8 | 48,7 | 48,5 | 48,4 | 48,2 | 48,1 | 47,9 |
0,640 | 47,8 | 47,6 | 47,4 | 47,3 | 47,1 | 47,0 | 46,9 | 46,7 | 46,6 | 46,4 |
0,650 | 46,3 | 46,1 | 46,0 | 45,8 | 45,7 | 45,6 | 45,4 | 45,3 | 45,1 | 45,0 |
0,660 | 44,9 | 44,7 | 44,6 | 44,4 | 44,3 | 44,2 | 44,0 | 43,9 | 43,8 | 43,6 |
0,670 | 43,5 | 43,4 | 43,2 | 43,1 | 43,0 | 42,8 | 42,7 | 42,6 | 42,5 | 42,3 |
0,680 | 42,2 | 42,1 | 42,0 | 41,8 | 41,7 | 41,6 | 41,5 | 41,3 | 41,2 | 41,1 |
0,690 | 41,0 | 40,8 | 40,7 | 40,6 | 40,5 | 40,4 | 40,2 | 40,1 | 40,0 | 39,9 |
0,700 | 39,8 | 39,7 | 39,5 | 39,4 | 39,3 | 39,2 | 39,1 | 39,0 | 38,9 | 38,8 |
0,710 | 38,6 | 38,5 | 38,4 | 38,3 | 38,2 | 38,1 | 38,0 | 37,9 | 37,8 | 37,7 |
0,720 | 37,6 | 37,4 | 37,3 | 37,2 | 37,1 | 37,0 | 36,9 | 36,8 | 36,7 | 36,6 |
0,730 | 36,5 | 36,4 | 36,3 | 36,2 | 36,1 | 36,0 | 35,9 | 35,8 | 35,7 | 35,6 |
0,740 | 35,5 | 35,4 | 35,3 | 35,2 | 35,1 | 35,0 | 34,9 | 34,8 | 34,7 | 34,6 |
0,750 | 34,5 | 34,5 | 34,4 | 34,3 | 34,2 | 34,1 | 34,0 | 33,9 | 33,8 | 33,7 |
0,760 | 33,6 | 33,5 | 33,4 | 33,4 | 33,3 | 33,2 | 33,1 | 33,0 | 32,9 | 32,8 |
0,770 | 32,7 | 32,6 | 32,6 | 32,5 | 32,4 | 32,3 | 32,2 | 32,1 | 32,0 | 32,0 |
0,780 | 31,9 | 31,8 | 31,7 | 31,6 | 31,5 | 31,5 | 31,4 | 31,3 | 31,2 | 31,1 |
0,790 | 31,1 | 31,0 | 30,9 | 30,8 | 30,7 | 30,7 | 30,6 | 30,5 | 30,4 | 30,3 |
0,800 | 30,3 | 30,2 | 30,1 | 30,0 | 30,0 | 29,9 | 29,8 | 29,7 | 29,6 | 29,6 |
0,810 | 29,5 | 29,4 | 29,3 | 29,3 | 29,2 | 29,1 | 29,1 | 29,0 | 28,9 | 28,8 |
0,820 | 28,8 | 28,7 | 28,6 | 28,5 | 28,5 | 28,4 | 28,3 | 28,3 | 28,2 | 28,1 |
0,830 | 28,1 | 28,0 | 27,9 | 27,8 | 27,8 | 27,7 | 27,6 | 27,6 | 27,5 | 27,4 |
0,840 | 27,4 | 27,3 | 27,2 | 27,2 | 27,1 | 27,0 | 27,0 | 26,9 | 26,8 | 26,8 |
0,850 | 26,7 | 26,6 | 26,6 | 26,5 | 26,5 | 26,4 | 26,3 | 26,3 | 26,2 | 26,1 |
0,860 | 26,1 | 26,0 | 25,9 | 25,9 | 25,8 | 25,8 | 25,7 | 25,6 | 25,6 | 25,5 |
0,870 | 25,5 | 25,4 | 25,3 | 25,3 | 25,2 | 25,2 | 25,1 | 25,0 | 25,0 | 24,9 |
0,880 | 24,9 | 24,8 | 24,7 | 24,7 | 24,6 | 24,6 | 24,5 | 24,5 | 24,4 | 24,3 |
0,890 | 24,3 | 24,2 | 24,2 | 24,1 | 24,1 | 24,0 | 24,0 | 23,9 | 23,8 | 23,8 |
0,900 | 23,7 | 23,7 | 23,6 | 23,6 | 23,5 | 23,5 | 23,4 | 23,4 | 23,3 | 23,2 |
0,910 | 23,2 | 23,1 | 23,1 | 23,0 | 23,0 | 22,9 | 22,9 | 22,8 | 22,8 | 22,7 |
0,920 | 22,7 | 22,6 | 22,6 | 22,5 | 22,5 | 22,4 | 22,4 | 22,3 | 22,3 | 22,2 |
0,930 | 22,2 | 22,1 | 22,1 | 22,0 | 22,0 | 21,9 | 21,9 | 21,8 | 21,8 | 21,7 |
0,940 | 21,7 | 21,6 | 21,6 | 21,5 | 21,5 | 21,4 | 21,4 | 21,4 | 21,3 | 21,3 |
0,950 | 21,2 | 21,2 | 21,1 | 21,1 | 21,0 | 21,0 | 20,9 | 20,9 | 20,8 | 20,8 |
0,960 | 20,8 | 20,7 | 20,7 | 20,6 | 20,6 | 20,5 | 20,5 | 20,4 | 20,4 | 20,4 |
0,970 | 20,3 | 20,3 | 20,2 | 20,2 | 20,1 | 20,1 | 20,1 | 20,0 | 20,0 | 19,9 |
0,980 | 19,9 | 19,8 | 19,8 | 19,8 | 19,7 | 19,7 | 19,6 | 19,6 | 19,5 | 19,5 |
0,990 | 19,5 | 19,4 | 19,4 | 19,3 | 19,3 | 19,3 | 19,2 | 19,2 | 19,1 | 19,1 |
1,000 | 19,1 | 19,0 | 19,0 | 18,9 | 18,9 | 18,9 | 18,8 | 18,8 | 18,7 | 18,7 |
1,010 | 18,7 | 18,6 | 18,6 | 18,6 | 18,5 | 18,5 | 18,4 | 18,4 | 18,4 | 18,3 |
1,020 | 18,3 | 18,2 | 18,2 | 18,2 | 18,1 | 18,1 | 18,1 | 18,0 | 18,0 | 18,0 |
1,030 | 17,9 | 17,9 | 17,8 | 17,8 | 17,8 | 17,7 | 17,7 | 17,7 | 17,6 | 17,6 |
1,040 | 17,6 | 17,5 | 17,5 | 17,5 | 17,4 | 17,4 | 17,3 | 17,3 | 17,3 | 17,2 |
1,050 | 17,2 | 17,2 | 17,1 | 17,1 | 17,1 | 17,0 | 17,0 | 17,0 | 16,9 | 16,9 |
1,060 | 16,9 | 16,8 | 16,8 | 16,8 | 16,7 | 16,7 | 16,7 | 16,6 | 16,6 | 16,6 |
1,070 | 16,5 | 16,5 | 16,5 | 16,4 | 16,4 | 16,4 | 16,3 | 16,3 | 16,3 | 16,2 |
1,080 | 16,2 | 16,2 | 16,2 | 16,1 | 16,1 | 16,1 | 16,0 | 16,0 | 16,0 | 15,9 |
1,090 | 15,9 | 15,9 | 15,8 | 15,8 | 15,8 | 15,8 | 15,7 | 15,7 | 15,7 | 15,6 |
1,100 | 15,6 | 15,6 | 15,5 | 15,5 | 15,5 | 15,5 | 15,4 | 15,4 | 15,4 | 15,3 |
1,110 | 15,3 | 15,3 | 15,2 | 15,2 | 15,2 | 15,2 | 15,1 | 15,1 | 15,1 | 15,0 |
1,120 | 15,0 | 15,0 | 15,0 | 14,9 | 14,9 | 14,9 | 14,8 | 14,8 | 14,8 | 14,8 |
1,130 | 14,7 | 14,7 | 14,7 | 14,7 | 14,6 | 14,6 | 14,6 | 14,5 | 14,5 | 14,5 |
1,140 | 14,5 | 14,4 | 14,4 | 14,4 | 14,4 | 14,3 | 14,3 | 14,3 | 14,2 | 14,2 |
1,150 | 14,2 | 14,2 | 14,1 | 14,1 | 14,1 | 14,1 | 14,0 | 14,0 | 14,0 | 14,0 |
1,160 | 13,9 | 13,9 | 13,9 | 13,9 | 13,8 | 13,8 | 13,8 | 13,8 | 13,7 | 13,7 |
1,170 | 13,7 | 13,7 | 13,6 | 13,6 | 13,6 | 13,6 | 13,5 | 13,5 | 13,5 | 13,5 |
1,180 | 13,4 | 13,4 | 13,4 | 13,4 | 13,3 | 13,3 | 13,3 | 13,3 | 13,2 | 13,2 |
1,190 | 13,2 | 13,2 | 13,2 | 13,1 | 13,1 | 13,1 | 13,1 | 13,0 | 13,0 | 13,0 |
1,200 | 13,0 | 12,9 | 12,9 | 12,9 | 12,9 | 12,9 | 12,8 | 12,8 | 12,8 | 12,8 |
1,210 | 12,7 | 12,7 | 12,7 | 12,7 | 12,6 | 12,6 | 12,6 | 12,6 | 12,6 | 12,5 |
1,220 | 12,5 | 12,5 | 12,5 | 12,4 | 12,4 | 12,4 | 12,4 | 12,4 | 12,3 | 12,3 |
1,230 | 12,3 | 12,3 | 12,3 | 12,2 | 12,2 | 12,2 | 12,2 | 12,1 | 12,1 | 12,1 |
1,240 | 12,1 | 12,1 | 12,0 | 12,0 | 12,0 | 12,0 | 12,0 | 11,9 | 11,9 | 11,9 |
1,25 | 11,9 | 11,9 | 11,8 | 11,8 | 11,8 | 11,8 | 11,8 | 11,7 | 11,7 | 11,7 |
1,260 | 11,7 | 11,7 | 11,6 | 11,6 | 11,6 | 11,6 | 11,6 | 11,5 | 11,5 | 11,5 |
1,270 | 11,5 | 11,5 | 11,4 | 11,4 | 11,4 | 11,4 | 11,4 | 11,3 | 11,3 | 11,3 |
1,280 | 11,3 | 11,3 | 11,2 | 11,2 | 11,2 | 11,2 | 11,2 | 11,2 | 11,1 | 11,1 |
1,290 | 11,1 | 11,1 | 11,1 | 11,0 | 11,0 | 11,0 | 11,0 | 11,0 | 10,9 | 10,9 |
1,300 | 10,9 | 10,9 | 10,9 | 10,9 | 10,8 | 10,8 | 10,8 | 10,8 | 10,8 | 10,7 |
1,310 | 10,7 | 10,7 | 10,7 | 10,7 | 10,7 | 10,6 | 10,6 | 10,6 | 10,6 | 10,6 |
1,320 | 10,6 | 10,5 | 10,5 | 10,5 | 10,5 | 10,5 | 10,5 | 10,4 | 10,4 | 10,4 |
1,330 | 10,4 | 10,4 | 10,3 | 10,3 | 10,3 | 10,3 | 10,3 | 10,3 | 10,2 | 10,2 |
1,340 | 10,2 | 10,2 | 10,2 | 10,2 | 10,1 | 10,1 | 10,1 | 10,1 | 10,1 | 10,1 |
1,350 | 10,0 | 10,0 | 10,0 | 10,0 | 9,98 | 9,97 | 9,95 | 9,94 | 9,92 | 9,90 |
1,360 | 9,89 | 9,87 | 9,86 | 9,84 | 9,83 | 9,81 | 9,79 | 9,78 | 9,76 | 9,75 |
1,370 | 9,73 | 9,72 | 9,70 | 9,68 | 9,67 | 9,65 | 9,64 | 9,62 | 9,61 | 9,59 |
1,380 | 9,58 | 9,56 | 9,55 | 9,53 | 9,52 | 9,50 | 9,49 | 9,47 | 9,46 | 9,44 |
1,390 | 9,43 | 9,41 | 9,40 | 9,38 | 9,37 | 9,35 | 9,34 | 9,32 | 9,31 | 9,29 |
1,400 | 9,28 | 9,26 | 9,25 | 9,23 | 9,22 | 9,21 | 9,19 | 9,18 | 9,16 | 9,15 |
1,410 | 9,13 | 9,12 | 9,10 | 9,09 | 9,08 | 9,06 | 9,05 | 9,03 | 9,02 | 9,01 |
1,420 | 8,99 | 8,98 | 8,96 | 8,95 | 8,94 | 8,92 | 8,91 | 8,89 | 8,88 | 8,87 |
1,430 | 8,85 | 8,84 | 8,83 | 8,81 | 8,80 | 8,78 | 8,77 | 8,76 | 8,74 | 8,73 |
1,440 | 8,72 | 8,70 | 8,69 | 8,68 | 8,66 | 8,65 | 8,64 | 8,62 | 8,61 | 8,60 |
1,450 | 8,58 | 8,57 | 8,56 | 8,54 | 8,53 | 8,52 | 8,50 | 8,49 | 8,48 | 8,47 |
1,460 | 8,45 | 8,44 | 8,43 | 8,41 | 8,40 | 8,39 | 8,38 | 8,36 | 8,35 | 8,34 |
1,470 | 8,32 | 8,31 | 8,30 | 8,29 | 8,27 | 8,26 | 8,25 | 8,24 | 8,22 | 8,21 |
1,480 | 8,20 | 8,19 | 8,17 | 8,16 | 8,15 | 8,14 | 8,13 | 8,11 | 8,10 | 8,09 |
1,490 | 8,08 | 8,06 | 8,05 | 8,04 | 8,03 | 8,02 | 8,00 | 7,99 | 7,98 | 7,97 |
1,500 | 7,96 | - | - | - | - | - | - | - | - | - |
d, мм | 0,000 | 0,001 | 0,002 | 0,003 | 0,004 | 0,005 | 0,006 | 0,007 | 0,008 | 0,009 |
0,600 | 21,8 | 21,7 | 21,6 | 21,6 | 21,5 | 21,4 | 21,3 | 21,3 | 21,2 | 21,1 |
0,610 | 21,1 | 21,0 | 20,9 | 20,9 | 20,8 | 20,7 | 20,6 | 20,6 | 20,5 | 20,4 |
0,620 | 20,4 | 20,3 | 20,2 | 20,2 | 20,1 | 20,0 | 20,0 | 19,9 | 19,9 | 19,8 |
0,630 | 19,7 | 19,7 | 19,6 | 19,5 | 19,5 | 19,4 | 19,3 | 19,3 | 19,2 | 19,2 |
0,640 | 19,1 | 19,0 | 19,0 | 18,9 | 18,9 | 18,8 | 18,7 | 18,7 | 18,6 | 18,6 |
0,650 | 18,5 | 18,5 | 18,4 | 18,3 | 18,3 | 18,2 | 18,2 | 18,1 | 18,1 | 18,0 |
0,660 | 17,9 | 17,9 | 17,8 | 17,8 | 17,7 | 17,7 | 17,6 | 17,6 | 17,5 | 17,5 |
0,670 | 17,4 | 17,3 | 17,3 | 17,2 | 17,2 | 17,1 | 17,1 | 17,0 | 17,0 | 16,9 |
0,680 | 16,9 | 16,8 | 16,8 | 16,7 | 16,7 | 16,6 | 16,6 | 16,5 | 16,5 | 16,4 |
0,690 | 16,4 | 16,3 | 16,3 | 16,2 | 16,2 | 16,1 | 16,1 | 16,1 | 16,0 | 16,0 |
0,700 | 15,9 | 15,9 | 15,8 | 15,8 | 15,7 | 15,7 | 15,6 | 15,6 | 15,5 | 15,5 |
0,710 | 15,5 | 15,4 | 15,4 | 15,3 | 15,3 | 15,2 | 15,2 | 15,2 | 15,1 | 15,1 |
0,720 | 15,0 | 15,0 | 14,9 | 14,9 | 14,9 | 14,8 | 14,8 | 14,7 | 14,7 | 14,6 |
0,730 | 14,6 | 14,6 | 14,5 | 14,5 | 14,4 | 14,4 | 14,4 | 14,3 | 14,3 | 14,2 |
0,740 | 14,2 | 14,2 | 14,1 | 14,1 | 14,0 | 14,0 | 14,0 | 13,9 | 13,9 | 13,9 |
0,750 | 13,8 | 13,8 | 13,7 | 13,7 | 13,7 | 13,6 | 13,6 | 13,6 | 13,5 | 13,5 |
0,760 | 13,5 | 13,4 | 13,4 | 13,3 | 13,3 | 13,3 | 13,2 | 13,2 | 13,2 | 13,1 |
0,770 | 13,1 | 13,1 | 13,0 | 13,0 | 13,0 | 12,9 | 12,9 | 12,9 | 12,8 | 12,8 |
0,780 | 12,8 | 12,7 | 12,7 | 12,7 | 12,6 | 12,6 | 12,6 | 12,5 | 12,5 | 12,5 |
0,790 | 12,4 | 12,4 | 12,4 | 12,3 | 12,3 | 12,3 | 12,2 | 12,2 | 12,2 | 12,1 |
0,800 | 12,1 | 12,1 | 12,0 | 12,0 | 12,0 | 12,0 | 11,9 | 11,9 | 11,9 | 11,8 |
0,810 | 11,8 | 11,8 | 11,7 | 11,7 | 11,7 | 11,7 | 11,6 | 11,6 | 11,6 | 11,5 |
0,820 | 11,5 | 11,5 | 11,4 | 11,4 | 11,4 | 11,4 | 11,3 | 11,3 | 11,3 | 11,3 |
0,830 | 11,2 | 11,2 | 11,2 | 11,1 | 11,1 | 11,1 | 11,1 | 11,0 | 11,0 | 11,0 |
0,840 | 10,9 | 10,9 | 10,9 | 10,9 | 10,8 | 10,8 | 10,8 | 10,8 | 10,7 | 10,7 |
0,850 | 10,7 | 10,7 | 10,6 | 10,6 | 10,6 | 10,6 | 10,5 | 10,5 | 10,5 | 10,5 |
0,860 | 10,4 | 10,4 | 10,4 | 10,4 | 10,3 | 10,3 | 10,3 | 10,3 | 10,2 | 10,2 |
0,870 | 10,2 | 10,2 | 10,1 | 10,1 | 10,1 | 10,1 | 10,0 | 10,0 | 9,99 | 9,97 |
0,880 | 9,95 | 9,92 | 9,90 | 9,88 | 9,85 | 9,83 | 9,81 | 9,79 | 9,76 | 9,74 |
0,890 | 9,72 | 9,69 | 9,67 | 9,65 | 9,63 | 9,60 | 9,58 | 9,56 | 9,54 | 9,52 |
0,900 | 9,49 | 9,47 | 9,45 | 9,43 | 9,41 | 9,39 | 9,36 | 9,34 | 9,32 | 9,30 |
0,910 | 9,28 | 9,26 | 9,24 | 9,22 | 9,20 | 9,17 | 9,15 | 9,13 | 9,11 | 9,09 |
0,920 | 9,07 | 9,05 | 9,03 | 9,01 | 8,99 | 8,97 | 8,95 | 8,93 | 8,91 | 8,89 |
0,930 | 8,87 | 8,85 | 8,83 | 8,81 | 8,79 | 8,77 | 8,75 | 8,73 | 8,71 | 8,69 |
0,940 | 8,68 | 8,66 | 8,64 | 8,62 | 8,60 | 8,58 | 8,56 | 8,54 | 8,52 | 8,51 |
0,950 | 8,49 | 8,47 | 8,45 | 8,43 | 8,41 | 8,39 | 8,38 | 8,36 | 8,34 | 8,32 |
0,960 | 8,30 | 8,29 | 8,27 | 8,25 | 8,23 | 8,21 | 8,20 | 8,18 | 8,16 | 8,14 |
0,970 | 8,13 | 8,11 | 8,09 | 8,07 | 8,06 | 8,04 | 8,02 | 8,01 | 7,99 | 7,97 |
0,980 | 7,95 | 7,94 | 7,92 | 7,90 | 7,89 | 7,87 | 7,85 | 7,84 | 7,82 | 7,80 |
0,990 | 7,79 | 7,77 | 7,75 | 7,74 | 7,72 | 7,71 | 7,69 | 7,67 | 7,66 | 7,64 |
1,000 | 7,63 | 7,61 | 7,59 | 7,58 | 7,56 | 7,55 | 7,53 | 7,51 | 7,50 | 7,48 |
1,010 | 7,47 | 7,45 | 7,44 | 7,42 | 7,41 | 7,39 | 7,38 | 7,36 | 7,35 | 7,33 |
1,020 | 7,32 | 7,30 | 7,29 | 7,27 | 7,26 | 7,24 | 7,23 | 7,21 | 7,20 | 7,18 |
1,030 | 7,17 | 7,15 | 7,14 | 7,12 | 7,11 | 7,10 | 7,08 | 7,07 | 7,05 | 7,04 |
1,040 | 7,02 | 7,01 | 7,00 | 6,98 | 6,97 | 6,95 | 6,94 | 6,93 | 6,91 | 6,90 |
1,050 | 6,88 | 6,87 | 6,86 | 6,84 | 6,83 | 6,82 | 6,80 | 6,79 | 6,77 | 6,76 |
1,060 | 6,75 | 6,73 | 6,72 | 6,71 | 6,69 | 6,68 | 6,67 | 6,66 | 6,64 | 6,63 |
1,070 | 6,62 | 6,60 | 6,59 | 6,58 | 6,56 | 6,55 | 6,54 | 6,53 | 6,51 | 6,50 |
1,080 | 6,49 | 6,47 | 6,46 | 6,45 | 6,44 | 6,42 | 6,41 | 6,40 | 6,39 | 6,37 |
1,090 | 6,36 | 6,35 | 6,34 | 6,33 | 6,31 | 6,30 | 6,29 | 6,28 | 6,27 | 6,25 |
1,100 | 6,24 | 6,23 | 6,22 | 6,21 | 6,19 | 6,18 | 6,17 | 6,16 | 6,15 | 6,13 |
1,110 | 6,12 | 6,11 | 6,10 | 6,09 | 6,08 | 6,06 | 6,05 | 6,04 | 6,03 | 6,02 |
1,120 | 6,01 | 6,00 | 5,98 | 5,97 | 5,96 | 5,95 | 5,94 | 5,93 | 5,92 | 5,91 |
1,130 | 5,90 | 5,88 | 5,87 | 5,86 | 5,85 | 5,84 | 5,83 | 5,82 | 5,81 | 5,80 |
1,140 | 5,79 | 5,78 | 5,76 | 5,75 | 5,74 | 5,73 | 5,72 | 5,71 | 5,70 | 5,69 |
1,150 | 5,68 | 5,67 | 5,66 | 5,65 | 5,64 | 5,63 | 5,62 | 5,61 | 5,60 | 5,59 |
1,160 | 5,58 | 5,57 | 5,56 | 5,55 | 5,54 | 5,53 | 5,52 | 5,51 | 5,50 | 5,49 |
1,170 | 5,48 | 5,47 | 5,46 | 5,45 | 5,44 | 5,43 | 5,42 | 5,41 | 5,40 | 5,39 |
1,180 | 5,38 | 5,37 | 5,36 | 5,35 | 5,34 | 5,33 | 5,32 | 5,31 | 5,30 | 5,29 |
1,190 | 5,28 | 5,27 | 5,26 | 5,25 | 5,24 | 5,23 | 5,22 | 5,21 | 5,21 | 5,20 |
1,200 | 5,19 | 5,18 | 5,17 | 5,16 | 5,15 | 5,14 | 5,13 | 5,12 | 5,11 | 5,10 |
1,210 | 5,10 | 5,09 | 5,08 | 5,07 | 5,06 | 5,05 | 5,04 | 5,03 | 5,02 | 5,02 |
1,220 | 5,01 | 5,00 | 4,99 | 4,98 | 4,97 | 4,96 | 4,95 | 4,95 | 4,94 | 4,93 |
1,230 | 4,92 | 4,91 | 4,90 | 4,89 | 4,89 | 4,88 | 4,87 | 4,86 | 4,85 | 4,84 |
1,240 | 4,83 | 4,83 | 4,82 | 4,81 | 4,80 | 4,79 | 4,78 | 4,78 | 4,77 | 4,76 |
1,250 | 4,75 | 4,74 | 4,74 | 4,73 | 4,72 | 4,71 | 4,70 | 4,69 | 4,69 | 4,68 |
1,260 | 4,67 | 4,66 | 4,65 | 4,65 | 4,64 | 4,63 | 4,62 | 4,62 | 4,61 | 4,60 |
1,270 | 4,59 | 4,58 | 4,58 | 4,57 | 4,56 | 4,55 | 4,55 | 4,54 | 4,53 | 4,52 |
1,280 | 4,51 | 4,51 | 4,50 | 4,49 | 4,48 | 4,48 | 4,47 | 4,46 | 4,45 | 4,45 |
1,290 | 4,44 | 4,43 | 4,42 | 4,42 | 4,41 | 4,40 | 4,39 | 4,39 | 4,38 | 4,37 |
1,300 | 4,37 | 4,36 | 4,35 | 4,34 | 4,34 | 4,33 | 4,32 | 4,31 | 4,31 | 4,30 |
1,310 | 4,29 | 4,29 | 4,28 | 4,27 | 4,26 | 4,26 | 4,25 | 4,24 | 4,24 | 4,23 |
1,320 | 4,22 | 4,22 | 4,21 | 4,20 | 4,19 | 4,19 | 4,18 | 4,17 | 4,17 | 4,16 |
1,330 | 4,15 | 4,15 | 4,14 | 4,13 | 4,13 | 4,12 | 4,11 | 4,11 | 4,10 | 4,09 |
1,340 | 4,09 | 4,08 | 4,07 | 4,07 | 4,06 | 4,05 | 4,05 | 4,04 | 4,03 | 4,03 |
1,350 | 4,02 | 4,01 | 4,01 | 4,00 | 3,99 | 3,99 | 3,98 | 3,98 | 3,97 | 3,96 |
1,360 | 3,96 | 3,95 | 3,94 | 3,94 | 3,93 | 3,92 | 3,92 | 3,91 | 3,91 | 3,90 |
1,370 | 3,89 | 3,89 | 3,88 | 3,87 | 3,87 | 3,86 | 3,86 | 3,85 | 3,84 | 3,84 |
1,380 | 3,83 | 3,83 | 3,82 | 3,81 | 3,81 | 3,80 | 3,79 | 3,79 | 3,78 | 3,78 |
1,390 | 3,77 | 3,76 | 3,76 | 3,75 | 3,75 | 3,74 | 3,74 | 3,73 | 3,72 | 3,72 |
1,400 | 3,71 | 3,71 | 3,70 | 3,69 | 3,69 | 3,68 | 3,68 | 3,67 | 3,67 | 3,66 |
1,410 | 3,65 | 3,65 | 3,64 | 3,64 | 3,63 | 3,63 | 3,62 | 3,61 | 3,61 | 3,60 |
1,420 | 3,60 | 3,59 | 3,59 | 3,58 | 3,57 | 3,57 | 3,56 | 3,56 | 3,55 | 3,55 |
1,430 | 3,54 | 3,54 | 3,53 | 3,53 | 3,52 | 3,51 | 3,51 | 3,50 | 3,50 | 3,49 |
1,440 | 3,49 | 3,48 | 3,48 | 3,47 | 3,47 | 3,46 | 3,46 | 3,45 | 3,44 | 3,44 |
1,450 | 3,43 | 3,43 | 3,42 | 3,42 | 3,41 | 3,41 | 3,40 | 3,40 | 3,39 | 3,39 |
1,460 | 3,38 | 3,38 | 3,37 | 3,37 | 3,36 | 3,36 | 3,35 | 3,35 | 3,34 | 3,34 |
1,470 | 3,33 | 3,33 | 3,32 | 3,32 | 3,31 | 3,31 | 3,30 | 3,30 | 3,29 | 3,29 |
1,480 | 3,28 | 3,28 | 3,27 | 3,27 | 3,26 | 3,26 | 3,25 | 3,25 | 3,24 | 3,24 |
1,490 | 3,23 | 3,23 | 3,22 | 3,22 | 3,21 | 3,21 | 3,20 | 3,20 | 3,19 | 3,19 |
1,500 | 3,18 | - | - | - | - | - | - | - | - | - |
d, мм | 0,000 | 0,001 | 0,002 | 0,003 | 0,004 | 0,005 | 0,006 | 0,007 | 0,008 | 0,009 |
0,240 | 653 | 648 | 643 | 637 | 632 | 627 | 621 | 616 | 611 | 606 |
0,250 | 601 | 597 | 592 | 587 | 582 | 578 | 573 | 569 | 564 | 560 |
0,260 | 555 | 551 | 547 | 543 | 538 | 534 | 530 | 526 | 522 | 518 |
0,270 | 514 | 510 | 507 | 503 | 499 | 495 | 492 | 488 | 484 | 481 |
0,280 | 477 | 474 | 471 | 467 | 464 | 461 | 457 | 454 | 451 | 448 |
0,290 | 444 | 441 | 438 | 435 | 432 | 429 | 426 | 423 | 420 | 417 |
0,300 | 415 | 412 | 409 | 406 | 404 | 401 | 398 | 395 | 393 | 390 |
0,310 | 388 | 385 | 383 | 380 | 378 | 375 | 373 | 370 | 368 | 366 |
0,320 | 363 | 361 | 359 | 356 | 354 | 352 | 350 | 347 | 345 | 343 |
0,330 | 341 | 339 | 337 | 335 | 333 | 331 | 328 | 326 | 325 | 323 |
0,340 | 321 | 319 | 317 | 315 | 313 | 311 | 309 | 307 | 306 | 304 |
0,350 | 302 | 300 | 298 | 297 | 295 | 293 | 292 | 290 | 288 | 286 |
0,360 | 285 | 283 | 282 | 280 | 278 | 277 | 275 | 274 | 272 | 271 |
0,370 | 269 | 268 | 266 | 265 | 263 | 262 | 260 | 259 | 257 | 256 |
0,380 | 255 | 253 | 252 | 250 | 249 | 248 | 246 | 245 | 244 | 242 |
0,390 | 241 | 240 | 239 | 237 | 236 | 235 | 234 | 232 | 231 | 230 |
0,400 | 229 | 228 | 226 | 225 | 224 | 223 | 222 | 221 | 219 | 218 |
0,410 | 217 | 216 | 215 | 214 | 213 | 212 | 211 | 210 | 209 | 208 |
0,420 | 207 | 205 | 204 | 203 | 202 | 201 | 200 | 199 | 198 | 198 |
0,430 | 197 | 196 | 195 | 194 | 193 | 192 | 191 | 190 | 189 | 188 |
0,440 | 187 | 186 | 185 | 185 | 184 | 183 | 182 | 181 | 180 | 179 |
0,450 | 179 | 178 | 177 | 176 | 175 | 174 | 174 | 173 | 172 | 171 |
0,460 | 170 | 170 | 169 | 168 | 167 | 167 | 166 | 165 | 164 | 164 |
0,470 | 163 | 162 | 161 | 161 | 160 | 159 | 158 | 158 | 157 | 156 |
0,480 | 156 | 155 | 154 | 154 | 153 | 152 | 152 | 151 | 150 | 150 |
0,490 | 149 | 148 | 148 | 147 | 146 | 146 | 145 | 144 | 144 | 143 |
0,500 | 143 | 142 | 141 | 141 | 140 | 140 | 139 | 138 | 138 | 137 |
0,510 | 137 | 136 | 135 | 135 | 134 | 134 | 133 | 133 | 132 | 132 |
0,520 | 131 | 130 | 130 | 129 | 129 | 128 | 128 | 127 | 127 | 126 |
0,530 | 126 | 125 | 125 | 124 | 124 | 123 | 123 | 122 | 122 | 121 |
0,540 | 121 | 120 | 120 | 119 | 119 | 118 | 118 | 117 | 117 | 116 |
0,550 | 116 | 115 | 115 | 114 | 114 | 114 | 113 | 113 | 112 | 112 |
0,560 | 111 | 111 | 110 | 110 | 110 | 109 | 109 | 108 | 108 | 107 |
0,570 | 107 | 107 | 106 | 106 | 105 | 105 | 105 | 104 | 104 | 103 |
0,580 | 103 | 103 | 102 | 102 | 101 | 101 | 101 | 100 | 99,9 | 99,5 |
0,590 | 99,2 | 98,8 | 98,4 | 98,0 | 97,7 | 97,3 | 96,9 | 96,6 | 96,2 | 95,9 |
0,600 | 95,5 | - | - | - | - | - | - | - | - | - |
d, мм | 0,000 | 0,001 | 0,002 | 0,003 | 0,004 | 0,005 | 0,006 | 0,007 | 0,008 | 0,009 |
0,240 | 218 | 216 | 214 | 212 | 211 | 209 | 207 | 205 | 204 | 202 |
0,250 | 200 | 199 | 197 | 196 | 194 | 193 | 191 | 190 | 188 | 187 |
0,260 | 185 | 184 | 182 | 181 | 179 | 178 | 177 | 175 | 174 | 173 |
0,270 | 171 | 170 | 169 | 168 | 166 | 165 | 164 | 163 | 162 | 160 |
0,280 | 159 | 158 | 157 | 156 | 155 | 154 | 152 | 151 | 150 | 149 |
0,290 | 148 | 147 | 146 | 145 | 144 | 143 | 142 | 141 | 140 | 139 |
0,300 | 138 | 137 | 136 | 135 | 135 | 134 | 133 | 132 | 131 | 130 |
0,310 | 129 | 128 | 128 | 127 | 126 | 125 | 124 | 123 | 123 | 122 |
0,320 | 121 | 120 | 120 | 119 | 118 | 117 | 117 | 116 | 115 | 114 |
0,330 | 114 | 113 | 112 | 112 | 111 | 110 | 110 | 109 | 108 | 108 |
0,340 | 107 | 106 | 106 | 105 | 104 | 104 | 103 | 102 | 102 | 101 |
0,350 | 101 | 100 | 99,5 | 98,9 | 98,3 | 97,7 | 97,2 | 96,6 | 96,1 | 95,5 |
0,360 | 95,0 | 94,4 | 93,9 | 93,3 | 92,8 | 92,3 | 91,8 | 91,2 | 90,7 | 90,2 |
0,370 | 89,7 | 89,2 | 88,7 | 88,2 | 87,7 | 87,2 | 86,8 | 86,3 | 85,8 | 85,3 |
0,380 | 84,9 | 84,4 | 83,9 | 83,5 | 83,0 | 82,6 | 82,1 | 81,7 | 81,3 | 80,8 |
0,390 | 80,4 | 80,0 | 79,5 | 79,1 | 78,7 | 78,3 | 77,9 | 77,5 | 77,1 | 76,7 |
0,400 | 76,3 | 75,9 | 75,5 | 75,1 | 74,7 | 74,3 | 73,9 | 73,5 | 73,2 | 72,8 |
0,410 | 72,4 | 72,0 | 71,7 | 71,3 | 71,0 | 70,6 | 70,2 | 69,9 | 69,5 | 69,2 |
0,420 | 68,8 | 68,5 | 68,2 | 67,8 | 67,5 | 67,2 | 66,8 | 66,5 | 66,2 | 65,8 |
0,430 | 65,5 | 65,2 | 64,9 | 64,6 | 64,2 | 63,9 | 63,6 | 63,3 | 63,0 | 62,7 |
0,440 | 62,4 | 62,1 | 61,8 | 61,5 | 61,2 | 60,9 | 60,7 | 60,4 | 60,1 | 59,8 |
0,450 | 59,5 | 59,2 | 59,0 | 58,7 | 58,4 | 58,1 | 57,9 | 57,6 | 57,3 | 57,1 |
0,460 | 56,8 | 56,5 | 56,3 | 56,0 | 55,8 | 55,5 | 55,3 | 55,0 | 54,8 | 54,5 |
0,470 | 54,3 | 54,0 | 53,8 | 53,5 | 53,3 | 53,0 | 52,8 | 52,6 | 52,3 | 52,1 |
0,480 | 51,9 | 51,6 | 51,4 | 51,2 | 51,0 | 50,7 | 50,5 | 50,3 | 50,1 | 49,8 |
0,490 | 49,6 | 49,4 | 49,2 | 49,0 | 48,8 | 48,6 | 48,3 | 48,1 | 47,9 | 47,7 |
0,500 | 47,5 | 47,3 | 47,1 | 46,9 | 46,7 | 46,5 | 46,3 | 46,1 | 45,9 | 45,7 |
0,510 | 45,5 | 45,3 | 45,1 | 45,0 | 44,8 | 44,6 | 44,4 | 44,2 | 44,0 | 43,8 |
0,520 | 43,7 | 43,5 | 43,3 | 43,1 | 42,9 | 42,8 | 42,6 | 42,4 | 42,2 | 42,1 |
0,530 | 41,9 | 41,7 | 41,5 | 41,4 | 41,2 | 41,0 | 40,9 | 40,7 | 40,5 | 40,4 |
0,540 | 40,2 | 40,0 | 39,9 | 39,7 | 39,6 | 39,4 | 39,2 | 39,1 | 38,9 | 38,8 |
0,550 | 38,6 | 38,5 | 38,3 | 38,2 | 38,0 | 37,9 | 37,7 | 37,6 | 37,4 | 37,3 |
0,560 | 37,1 | 37,0 | 36,8 | 36,7 | 36,5 | 36,4 | 36,3 | 36,1 | 36,0 | 35,8 |
0,570 | 35,7 | 35,6 | 35,4 | 35,3 | 35,1 | 35,0 | 34,9 | 34,7 | 34,6 | 34,5 |
0,580 | 34,3 | 34,2 | 34,1 | 33,9 | 33,8 | 33,7 | 33,6 | 33,4 | 33,3 | 33,2 |
0,590 | 33,1 | 32,9 | 32,8 | 32,7 | 32,6 | 32,4 | 32,3 | 32,2 | 32,1 | 32,0 |
0,600 | 31,8 | - | - | - | - | - | - | - | - | - |
d, мм | 0,000 | 0,001 | 0,002 | 0,003 | 0,004 | 0,005 | 0,006 | 0,007 | 0,008 | 0,009 |
0,240 | 109 | 108 | 107 | 106 | 105 | 104 | 104 | 103 | 102 | 101 |
0,250 | 100 | 99,4 | 98,6 | 97,8 | 97,1 | 96,3 | 95,5 | 94,8 | 94,0 | 93,3 |
0,260 | 92,5 | 91,8 | 91,1 | 90,4 | 89,7 | 89,0 | 88,3 | 87,7 | 87,0 | 86,3 |
0,270 | 85,7 | 85,1 | 84,4 | 83,8 | 83,2 | 82,6 | 81,9 | 81,3 | 80,7 | 80,2 |
0,280 | 79,6 | 79,0 | 78,4 | 77,9 | 77,3 | 76,7 | 76,2 | 75,7 | 75,1 | 74,6 |
0,290 | 74,1 | 73,5 | 73,0 | 72,5 | 72,0 | 71,5 | 71,0 | 70,5 | 70,1 | 69,6 |
0,300 | 69,1 | 68,6 | 68,2 | 67,7 | 67,3 | 66,8 | 66,4 | 65,9 | 65,5 | 65,0 |
0,310 | 64,6 | 64,2 | 63,8 | 63,3 | 62,9 | 62,5 | 62,1 | 61,7 | 61,3 | 60,9 |
0,320 | 60,5 | 60,1 | 59,8 | 59,4 | 59,0 | 58,6 | 58,3 | 57,9 | 57,5 | 57,2 |
0,330 | 56,8 | 56,5 | 56,1 | 55,8 | 55,4 | 55,1 | 54,7 | 54,4 | 54,1 | 53,8 |
0,340 | 53,4 | 53,1 | 52,8 | 52,5 | 52,2 | 51,8 | 51,5 | 51,2 | 50,9 | 50,6 |
0,350 | 50,3 | 50,0 | 49,7 | 49,4 | 49,2 | 48,9 | 48,6 | 48,3 | 48,0 | 47,7 |
0,360 | 47,5 | 47,2 | 46,9 | 46,7 | 46,4 | 46,1 | 45,9 | 45,6 | 45,4 | 45,1 |
0,370 | 44,8 | 44,6 | 44,3 | 44,1 | 43,9 | 43,6 | 43,4 | 43,1 | 42,9 | 42,7 |
0,380 | 42,4 | 42,2 | 42,0 | 41,7 | 41,5 | 41,3 | 41,1 | 40,8 | 40,6 | 40,4 |
0,390 | 40,2 | 40,0 | 39,8 | 39,6 | 39,3 | 39,1 | 38,9 | 38,7 | 38,5 | 38,3 |
0,400 | 38,1 | 37,9 | 37,7 | 37,5 | 37,3 | 37,1 | 37,0 | 36,8 | 36,6 | 36,4 |
0,410 | 36,2 | 36,0 | 35,8 | 35,7 | 35,5 | 35,3 | 35,1 | 34,9 | 34,8 | 34,6 |
0,420 | 34,4 | 34,2 | 34,1 | 33,9 | 33,7 | 33,6 | 33,4 | 33,2 | 33,1 | 32,9 |
0,430 | 32,8 | 32,6 | 32,4 | 32,3 | 32,1 | 32,0 | 31,8 | 31,7 | 31,5 | 31,4 |
0,440 | 31,2 | 31,1 | 30,9 | 30,8 | 30,6 | 30,5 | 30,3 | 30,2 | 30,0 | 29,9 |
0,450 | 29,8 | 29,6 | 29,5 | 29,3 | 29,2 | 29,1 | 28,9 | 28,8 | 28,7 | 28,5 |
0,460 | 28,4 | 28,3 | 28,1 | 28,0 | 27,9 | 27,8 | 27,6 | 27,5 | 27,4 | 27,2 |
0,470 | 27,1 | 27,0 | 26,9 | 26,8 | 26,6 | 26,5 | 26,4 | 26,3 | 26,2 | 26,0 |
0,480 | 25,9 | 25,8 | 25,7 | 25,6 | 25,5 | 25,4 | 25,3 | 25,1 | 25,0 | 24,9 |
0,490 | 24,8 | 24,7 | 24,6 | 24,5 | 24,4 | 24,3 | 24,2 | 24,1 | 24,0 | 23,9 |
0,500 | 23,8 | 23,7 | 23,6 | 23,5 | 23,4 | 23,3 | 23,2 | 23,1 | 23,0 | 22,9 |
0,510 | 22,8 | 22,7 | 22,6 | 22,5 | 22,4 | 22,3 | 22,2 | 22,1 | 22,0 | 21,9 |
0,520 | 21,8 | 21,7 | 21,6 | 21,6 | 21,5 | 21,4 | 21,3 | 21,2 | 21,1 | 21,0 |
0,530 | 20,9 | 20,9 | 20,8 | 20,7 | 20,6 | 20,5 | 20,4 | 20,3 | 20,3 | 20,2 |
0,540 | 20,1 | 20,0 | 19,9 | 19,9 | 19,8 | 19,7 | 19,6 | 19,5 | 19,5 | 19,4 |
0,550 | 19,3 | 19,2 | 19,2 | 19,1 | 19,0 | 18,9 | 18,9 | 18,8 | 18,7 | 18,6 |
0,560 | 18,6 | 18,5 | 18,4 | 18,3 | 18,3 | 18,2 | 18,1 | 18,1 | 18,0 | 17,9 |
0,570 | 17,8 | 17,8 | 17,7 | 17,6 | 17,6 | 17,5 | 17,4 | 17,4 | 17,3 | 17,2 |
0,580 | 17,2 | 17,1 | 17,0 | 17,0 | 16,9 | 16,8 | 16,8 | 16,7 | 16,7 | 16,6 |
0,590 | 16,5 | 16,5 | 16,4 | 16,3 | 16,3 | 16,2 | 16,2 | 16,1 | 16,0 | 16,0 |
0,600 | 15,9 | - | - | - | - | - | - | - | - | - |
d, мм | 0,000 | 0,001 | 0,002 | 0,003 | 0,004 | 0,005 | 0,006 | 0,007 | 0,008 | 0,009 |
0,240 | 54,5 | 54,0 | 53,6 | 53,1 | 52,7 | 52,2 | 51,8 | 51,4 | 51,0 | 50,5 |
0,250 | 50,1 | 49,7 | 49,3 | 48,9 | 48,5 | 48,1 | 47,8 | 47,4 | 47,0 | 46,6 |
0,260 | 46,3 | 45,9 | 45,6 | 45,2 | 44,9 | 44,5 | 44,2 | 43,8 | 43,5 | 43,2 |
0,270 | 42,9 | 42,5 | 42,2 | 41,9 | 41,6 | 41,3 | 41,0 | 40,7 | 40,4 | 40,1 |
0,280 | 39,8 | 39,5 | 39,2 | 38,9 | 38,7 | 38,4 | 38,1 | 37,8 | 37,6 | 37,3 |
0,290 | 37,0 | 36,8 | 36,5 | 36,3 | 36,0 | 35,8 | 35,5 | 35,3 | 35,0 | 34,8 |
0,300 | 34,6 | 34,3 | 34,1 | 33,9 | 33,6 | 33,4 | 33,2 | 33,0 | 32,7 | 32,5 |
0,310 | 32,3 | 32,1 | 31,9 | 31,7 | 31,5 | 31,3 | 31,1 | 30,9 | 30,7 | 30,5 |
0,320 | 30,3 | 30,1 | 29,9 | 29,7 | 29,5 | 29,3 | 29,1 | 29,0 | 28,8 | 28,6 |
0,330 | 28,4 | 28,2 | 28,1 | 27,9 | 27,7 | 27,5 | 27,4 | 27,2 | 27,0 | 26,9 |
0,340 | 26,7 | 26,6 | 26,4 | 26,2 | 26,1 | 25,9 | 25,8 | 25,6 | 25,5 | 25,3 |
0,350 | 25,2 | 25,0 | 24,9 | 24,7 | 24,6 | 24,4 | 24,3 | 24,2 | 24,0 | 23,9 |
0,360 | 23,7 | 23,6 | 23,5 | 23,3 | 23,2 | 23,1 | 22,9 | 22,8 | 22,7 | 22,6 |
0,370 | 22,4 | 22,3 | 22,2 | 22,1 | 21,9 | 21,8 | 21,7 | 21,6 | 21,5 | 21,3 |
0,380 | 21,2 | 21,1 | 21,0 | 20,9 | 20,8 | 20,6 | 20,5 | 20,4 | 20,3 | 20,2 |
0,390 | 20,1 | 20,0 | 19,9 | 19,8 | 19,7 | 19,6 | 19,5 | 19,4 | 19,3 | 19,2 |
0,400 | 19,1 | 19,0 | 18,9 | 18,8 | 18,7 | 18,6 | 18,5 | 18,4 | 18,3 | 18,2 |
0,410 | 18,1 | 18,0 | 17,9 | 17,8 | 17,7 | 17,7 | 17,6 | 17,5 | 17,4 | 17,3 |
0,420 | 17,2 | 17,1 | 17,0 | 17,0 | 16,9 | 16,8 | 16,7 | 16,6 | 16,5 | 16,5 |
0,430 | 16,4 | 16,3 | 16,2 | 16,1 | 16,1 | 16,0 | 15,9 | 15,8 | 15,8 | 15,7 |
0,440 | 15,6 | 15,5 | 15,5 | 15,4 | 15,3 | 15,2 | 15,2 | 15,1 | 15,0 | 15,0 |
0,450 | 14,9 | 14,8 | 14,7 | 14,7 | 14,6 | 14,5 | 14,5 | 14,4 | 14,3 | 14,3 |
0,460 | 14,2 | 14,1 | 14,1 | 14,0 | 13,9 | 13,9 | 13,8 | 13,8 | 13,7 | 13,6 |
0,470 | 13,6 | 13,5 | 13,4 | 13,4 | 13,3 | 13,3 | 13,2 | 13,1 | 13,1 | 13,0 |
0,480 | 13,0 | 12,9 | 12,9 | 12,8 | 12,7 | 12,7 | 12,6 | 12,6 | 12,5 | 12,5 |
0,490 | 12,4 | 12,4 | 12,3 | 12,2 | 12,2 | 12,1 | 12,1 | 12,0 | 12,0 | 11,9 |
0,500 | 11,9 | 11,8 | 11,8 | 11,7 | 11,7 | 11,6 | 11,6 | 11,5 | 11,5 | 11,4 |
0,510 | 11,4 | 11,3 | 11,3 | 11,2 | 11,2 | 11,1 | 11,1 | 11,1 | 11,0 | 11,0 |
0,520 | 10,9 | 10,9 | 10,8 | 10,8 | 10,7 | 10,7 | 10,6 | 10,6 | 10,6 | 10,5 |
0,530 | 10,5 | 10,4 | 10,4 | 10,3 | 10,3 | 10,3 | 10,2 | 10,2 | 10,1 | 10,1 |
0,540 | 10,1 | 10,0 | 9,97 | 9,93 | 9,89 | 9,85 | 9,81 | 9,77 | 9,73 | 9,70 |
0,550 | 9,66 | 9,62 | 9,58 | 9,54 | 9,50 | 9,47 | 9,43 | 9,39 | 9,35 | 9,32 |
0,560 | 9,28 | 9,24 | 9,21 | 9,17 | 9,14 | 9,10 | 9,06 | 9,03 | 8,99 | 8,96 |
0,570 | 8,92 | 8,89 | 8,86 | 8,82 | 8,79 | 8,75 | 8,72 | 8,69 | 8,65 | 8,62 |
0,580 | 8,59 | 8,55 | 8,52 | 8,49 | 8,46 | 8,42 | 8,39 | 8,36 | 8,33 | 8,30 |
0,590 | 8,26 | 8,23 | 8,20 | 8,17 | 8,14 | 8,11 | 8,08 | 8,05 | 8,02 | 7,99 |
0,600 | 7,96 | - | - | - | - | - | - | - | - | - |
d, мм | 0,000 | 0,001 | 0,002 | 0,003 | 0,004 | 0,005 | 0,006 | 0,007 | 0,008 | 0,009 |
0,240 | 21,8 | 21,6 | 21,4 | 21,2 | 21,1 | 20,9 | 20,7 | 20,5 | 20,4 | 20,2 |
0,250 | 20,0 | 19,9 | 19,7 | 19,6 | 19,4 | 19,3 | 19,1 | 19,0 | 18,8 | 18,7 |
0,260 | 18,5 | 18,4 | 18,2 | 18,1 | 17,9 | 17,8 | 17,7 | 17,5 | 17,4 | 17,3 |
0,270 | 17,1 | 17,0 | 16,9 | 16,8 | 16,6 | 16,5 | 16,4 | 16,3 | 16,2 | 16,0 |
0,280 | 15,9 | 15,8 | 15,7 | 15,6 | 15,5 | 15,4 | 15,2 | 15,1 | 15,0 | 14,9 |
0,290 | 14,8 | 14,7 | 14,6 | 14,5 | 14,4 | 14,3 | 14,2 | 14,1 | 14,0 | 13,9 |
0,300 | 13,8 | 13,7 | 13,6 | 13,5 | 13,5 | 13,4 | 13,3 | 13,2 | 13,1 | 13,0 |
0,310 | 12,9 | 12,8 | 12,8 | 12,7 | 12,6 | 12,5 | 12,4 | 12,3 | 12,3 | 12,2 |
0,320 | 12,1 | 12,0 | 12,0 | 11,9 | 11,8 | 11,7 | 11,7 | 11,6 | 11,5 | 11,4 |
0,330 | 11,4 | 11,3 | 11,2 | 11,2 | 11,1 | 11,0 | 11,0 | 10,9 | 10,8 | 10,8 |
0,340 | 10,7 | 10,6 | 10,6 | 10,5 | 10,4 | 10,4 | 10,3 | 10,2 | 10,2 | 10,1 |
0,350 | 10,1 | 10,0 | 9,95 | 9,89 | 9,83 | 9,77 | 9,72 | 9,66 | 9,61 | 9,55 |
0,360 | 9,50 | 9,44 | 9,39 | 9,33 | 9,28 | 9,23 | 9,18 | 9,12 | 9,07 | 9,02 |
0,370 | 8,97 | 8,92 | 8,87 | 8,82 | 8,77 | 8,72 | 8,68 | 8,63 | 8,58 | 8,53 |
0,380 | 8,49 | 8,44 | 8,39 | 8,35 | 8,30 | 8,26 | 8,21 | 8,17 | 8,13 | 8,08 |
0,390 | 8,04 | 8,00 | 7,95 | 7,91 | 7,87 | 7,83 | 7,79 | 7,75 | 7,71 | 7,67 |
0,400 | 7,63 | 7,59 | 7,55 | 7,51 | 7,47 | 7,43 | 7,39 | 7,35 | 7,32 | 7,28 |
0,410 | 7,24 | 7,20 | 7,17 | 7,13 | 7,10 | 7,06 | 7,02 | 6,99 | 6,95 | 6,92 |
0,420 | 6,88 | 6,85 | 6,82 | 6,78 | 6,75 | 6,72 | 6,68 | 6,65 | 6,62 | 6,58 |
0,430 | 6,55 | 6,52 | 6,49 | 6,46 | 6,42 | 6,39 | 6,36 | 6,33 | 6,30 | 6,27 |
0,440 | 6,24 | 6,21 | 6,18 | 6,15 | 6,12 | 6,09 | 6,07 | 6,04 | 6,01 | 5,98 |
0,450 | 5,95 | 5,92 | 5,90 | 5,87 | 5,84 | 5,81 | 5,79 | 5,76 | 5,73 | 5,71 |
0,460 | 5,68 | 5,65 | 5,63 | 5,60 | 5,58 | 5,55 | 5,53 | 5,50 | 5,48 | 5,45 |
0,470 | 5,43 | 5,40 | 5,38 | 5,35 | 5,33 | 5,30 | 5,28 | 5,26 | 5,23 | 5,21 |
0,480 | 5,19 | 5,16 | 5,14 | 5,12 | 5,10 | 5,07 | 5,05 | 5,03 | 5,01 | 4,98 |
0,490 | 4,96 | 4,94 | 4,92 | 4,90 | 4,88 | 4,86 | 4,83 | 4,81 | 4,79 | 4,77 |
0,500 | 4,75 | 4,73 | 4,71 | 4,69 | 4,67 | 4,65 | 4,63 | 4,61 | 4,59 | 4,57 |
0,510 | 4,55 | 4,53 | 4,51 | 4,50 | 4,48 | 4,46 | 4,44 | 4,42 | 4,40 | 4,38 |
0,520 | 4,37 | 4,35 | 4,33 | 4,31 | 4,29 | 4,28 | 4,26 | 4,24 | 4,22 | 4,21 |
0,530 | 4,19 | 4,17 | 4,15 | 4,14 | 4,12 | 4,10 | 4,09 | 4,07 | 4,05 | 4,04 |
0,540 | 4,02 | 4,00 | 3,99 | 3,97 | 3,96 | 3,94 | 3,92 | 3,91 | 3,89 | 3,88 |
0,550 | 3,86 | 3,85 | 3,83 | 3,82 | 3,80 | 3,79 | 3,77 | 3,76 | 3,74 | 3,73 |
0,560 | 3,71 | 3,70 | 3,68 | 3,67 | 3,65 | 3,64 | 3,63 | 3,61 | 3,60 | 3,58 |
0,570 | 3,57 | 3,56 | 3,54 | 3,53 | 3,51 | 3,50 | 3,49 | 3,47 | 3,46 | 3,45 |
0,580 | 3,43 | 3,42 | 3,41 | 3,39 | 3,38 | 3,37 | 3,36 | 3,34 | 3,33 | 3,32 |
0,590 | 3,31 | 3,29 | 3,28 | 3,27 | 3,26 | 3,24 | 3,23 | 3,22 | 3,21 | 3,20 |
0,600 | 3,18 | - | - | - | - | - | - | - | - | - |
Обозначение ссылочного национального, межгосударственного стандарта | Степень соответствия | Обозначение и наименование ссылочного международного стандарта |
ГОСТ 25698-98 (ИСО 4498-1-90) | MOD | ISO 4498:1990 "Материалы металлические спеченные, кроме твердых сплавов. Определение кажущейся твердости и микротвердости" |
Примечание - В настоящей таблице использовано следующее условное обозначение степени соответствия стандартов: - MOD - модифицированный стандарт. | ||
EURAMET/cg-16/v.01, Guidelines on the Estimation of Uncertainty in Hardness Measurements, 2007 |
УДК 620.178.152.22:006.354 | ОКС 77.040.10 |
Ключевые слова: металлы, сплавы, твердость, метод Бринелля, шкалы Бринелля | |