Главная // Актуальные документы // ГОСТ Р (Государственный стандарт)СПРАВКА
Источник публикации
М.: ФГБУ "Институт стандартизации", 2024
Примечание к документу
Документ
вводится в действие с 01.01.2025.
Название документа
"ГОСТ Р 71349-2024. Национальный стандарт Российской Федерации. Оптика и фотоника. Кристаллы оптические. Метод определения пузырности с применением микроскопа"
(утв. и введен в действие Приказом Росстандарта от 18.04.2024 N 505-ст)
"ГОСТ Р 71349-2024. Национальный стандарт Российской Федерации. Оптика и фотоника. Кристаллы оптические. Метод определения пузырности с применением микроскопа"
(утв. и введен в действие Приказом Росстандарта от 18.04.2024 N 505-ст)
Утвержден и введен в действие
агентства по техническому
регулированию и метрологии
от 18 апреля 2024 г. N 505-ст
НАЦИОНАЛЬНЫЙ СТАНДАРТ РОССИЙСКОЙ ФЕДЕРАЦИИ
ОПТИКА И ФОТОНИКА
КРИСТАЛЛЫ ОПТИЧЕСКИЕ
МЕТОД ОПРЕДЕЛЕНИЯ ПУЗЫРНОСТИ С ПРИМЕНЕНИЕМ МИКРОСКОПА
Optics and photonics. Optical crystals. Method
for determination of bubbles using microscope
ГОСТ Р 71349-2024
Дата введения
1 января 2025 года
1 РАЗРАБОТАН Федеральным государственным унитарным предприятием "Научно-исследовательский институт физической оптики, оптики лазеров и информационных оптических систем Всероссийского научного центра "Государственный оптический институт им. С.И. Вавилова" (ФГУП "НИИФООЛИОС ВНЦ "ГОИ им. С.И. Вавилова")
2 ВНЕСЕН Техническим комитетом по стандартизации ТК 296 "Оптика и фотоника"
3 УТВЕРЖДЕН И ВВЕДЕН В ДЕЙСТВИЕ
Приказом Федерального агентства по техническому регулированию и метрологии от 18 апреля 2024 г. N 505-ст
4 ВВЕДЕН ВПЕРВЫЕ
Правила применения настоящего стандарта установлены в статье 26 Федерального закона от 29 июня 2015 г. N 162-ФЗ "О стандартизации в Российской Федерации". Информация об изменениях к настоящему стандарту публикуется в ежегодном (по состоянию на 1 января текущего года) информационном указателе "Национальные стандарты", а официальный текст изменений и поправок -
в ежемесячном информационном указателе "Национальные стандарты". В случае пересмотра (замены) или отмены настоящего стандарта соответствующее уведомление будет опубликовано в ближайшем выпуске ежемесячного информационного указателя "Национальные стандарты". Соответствующая информация, уведомление и тексты размещаются также в информационной системе общего пользования -
на официальном сайте Федерального агентства по техническому регулированию и метрологии в сети Интернет (www.rst.gov.ru)
Настоящий стандарт распространяется на оптические кристаллы (далее - кристаллы) в форме стержней, предназначенные для изготовления оптических деталей приборов, и устанавливает метод определения пузырности в видимом (от 0,38 до 0,78 мкм) диапазоне спектра с применением микроскопа.
Определение размеров и числа включений, если их приравнивают к пузырям в соответствии с технической документацией (ТД) на кристалл конкретного типа, проводят по настоящему стандарту.
Для определения пузырности кристаллов допускается применять другие методы, установленные в ГОСТ 3522.
Примечание - Точных границ излучения видимого диапазона спектра не существует, т.к. они зависят от значения энергетического потока, достигающего сетчатки, и восприимчивости наблюдателя. Нижнюю границу, как правило, принимают между значениями 0,36 и 0,40 мкм, а верхнюю - между 0,76 и 0,83 мкм. В настоящем стандарте границы приняты равными значениям 0,38 и 0,78 мкм.
В настоящем стандарте использованы нормативные ссылки на следующие стандарты:
ГОСТ 2789 Шероховатость поверхности. Параметры и характеристики
ГОСТ 3522 Материалы оптические. Метод определения пузырности
ГОСТ 5556 Вата медицинская гигроскопическая. Технические условия
ГОСТ 11141 Детали оптические. Классы чистоты поверхностей. Методы контроля
ГОСТ 17299 Спирт этиловый технический. Технические условия
ГОСТ 29298 Ткани хлопчатобумажные и смешанные бытовые. Общие технические условия
ГОСТ 32361 Стекло и изделия из него. Пороки. Термины и определения
ГОСТ Р 8.568 Государственная система обеспечения единства измерений. Аттестация испытательного оборудования. Основные положения
ГОСТ Р 8.654 Государственная система обеспечения единства измерений. Требования к программному обеспечению средств измерений. Основные положения
ГОСТ Р 8.674 Государственная система обеспечения единства измерений. Общие требования к средствам измерений и техническим системам и устройствам с измерительными функциями
ГОСТ Р 8.678 Государственная система обеспечения единства измерений. Формы оценки соответствия технических систем и устройств с измерительными функциями установленным требованиям
ГОСТ Р 71250 Оптика и фотоника. Производство оптических материалов. Термины и определения
Примечание - При пользовании настоящим стандартом целесообразно проверить действие ссылочных стандартов в информационной системе общего пользования - на официальном сайте Федерального агентства по техническому регулированию и метрологии в сети Интернет или по ежегодному информационному указателю "Национальные стандарты", который опубликован по состоянию на 1 января текущего года, и по выпускам ежемесячного информационного указателя "Национальные стандарты" за текущий год. Если заменен ссылочный стандарт, на который дана недатированная ссылка, то рекомендуется использовать действующую версию этого стандарта с учетом всех внесенных в данную версию изменений. Если заменен ссылочный стандарт, на который дана датированная ссылка, то рекомендуется использовать версию этого стандарта с указанным выше годом утверждения (принятия). Если после утверждения настоящего стандарта в ссылочный стандарт, на который дана датированная ссылка, внесено изменение, затрагивающее положение, на которое дана ссылка, то это положение рекомендуется применять без учета данного изменения. Если ссылочный стандарт отменен без замены, то положение, в котором дана ссылка на него, рекомендуется применять в части, не затрагивающей эту ссылку.
4.1 Микроскопический метод определения пузырности заключается в просмотре кристаллов при направленном боковом освещении на темном фоне, когда пузыри и приравниваемые к ним включения вследствие рассеяния ими света четко видны, с последующим подсчетом числа пузырей и определением их размеров.
4.2 Пузырность кристалла характеризуется диаметром имеющегося в нем наибольшего пузыря или включения, средним числом пузырей и суммируемых с ними включений в единичном объеме (1 мм3, 1 см3, 1 дм3) или в единичной массе (1 кг, 100 г), либо суммарной площадью сечений пузырей и включений, содержащихся в единичном объеме (мм2/мм3, мм2/см3, см2/см3).
За диаметр пузыря или включения неправильной формы принимают размер, полученный как среднее арифметическое его наибольшего и наименьшего размеров.
Примечание - Наибольший (наименьший) размер - большая (меньшая) сторона прямоугольника, условно описанного вокруг проекции пузыря.
4.3 Погрешность измерений диаметра пузыря определяется погрешностью измерений окуляр-микрометра, инструментального, оптико-электронного микроскопов или исходя из цены деления окуляра микроскопа - объект-микрометра. Допустимую погрешность измерений диаметра пузыря устанавливают в ТД на кристалл конкретного типа.
4.4 При проведении измерений должны быть обеспечены следующие условия, если иные не указаны в ТД на испытуемый кристалл и используемую аппаратуру:
- температура воздуха в помещении - (25 +/- 10) °C;
- относительная влажность воздуха - от 45% до 80% (при температуре воздуха 20 °C);
- атмосферное давление - от 86,6 до 106,6 кПа.
4.5 Перед началом измерений кристаллы должны быть выдержаны в указанных условиях не менее 2 ч или в течение времени, достаточного для достижения ими температуры окружающего воздуха по всему объему, если условия хранения и транспортирования кристаллов от них отличались.
4.6 Средства измерений, их составные части и программное обеспечение, стандартные образцы, средства контроля и испытательное оборудование, эталоны единиц величин должны обеспечивать проведение мониторинга и измерений параметров и характеристик процессов и продукции в заданных условиях и диапазонах измерений с необходимой точностью и соответствовать требованиям ТД.
4.7 Средства измерений должны быть поверены или откалиброваны.
4.8 Эталоны единиц величин должны быть аттестованы.
4.9 Стандартные образцы должны иметь утвержденный тип и соответствовать установленному сроку службы.
4.10 Испытательное оборудование должно быть аттестовано в соответствии с
ГОСТ Р 8.568, средства измерений, используемые в составе испытательного оборудования, должны быть поверены.
4.11 Средства контроля и индикаторы, являющиеся техническими средствами, должны быть проверены на соответствие эксплуатационной документации.
4.12 Программное обеспечение средств измерений - в соответствии с требованиями
ГОСТ Р 8.654.
4.13 Технические системы и устройства с измерительными функциями - в соответствии с требованиями
ГОСТ Р 8.674 и
ГОСТ Р 8.678.
5 Требования к оборудованию и материалам
5.1 Для определения пузырности кристаллов используют следующие материалы и оборудование:
- микроскоп;
- осветитель;
- объект-микрометр;
- держатель кристаллов;
- салфетки из батиста, фланели или хлопчатобумажной ткани по
ГОСТ 29298;
- вату гигроскопическую обезжиренную по
ГОСТ 5556.
5.2 Допускается использовать биологические, инструментальные и оптико-электронные микроскопы, работающие в проходящем свете. Рекомендуемые характеристики микроскопа указывают в ТД на испытуемый кристалл конкретного типа.
Примечания
1 Микрообъектив подбирают таким образом, чтобы его рабочий отрезок обеспечивал просмотр кристалла по глубине.
2 Для стержня 220 мм используют увеличенные направляющие для подвижного тубуса микроскопа или установку с проекцией на экран по ГОСТ 3522.
5.3 Осветитель (типа ОИ-19, ВОЛ-И или аналогичные) должен обеспечивать равномерное освещение испытуемого кристалла.
5.4 Объект-микрометр проходящего света типа ОМП должен иметь цену деления не более 0,01 мм, и его используют совместно с микроскопами, не являющимися средствами измерений.
6 Требования к испытуемым кристаллам
6.1 Испытуемые кристаллы должны иметь форму цилиндрических стержней произвольного сечения диаметром не более 10 мм и длиной не более 220 мм с плоскопараллельными торцовыми поверхностями.
6.2 Для кристаллов длиной более 50 мм непараллельность торцовых поверхностей не должна быть более 0,01 мм; для кристаллов длиной менее 50 мм - в соответствии с ТД на кристалл.
6.3 Торцовые поверхности должны быть полированными; шероховатость Rz - не более 0,1 мкм по
ГОСТ 2789, чистота поверхности - не хуже VI класса по
ГОСТ 11141.
6.4 Боковые поверхности - необработанные или обработанные в соответствии с ТД на испытуемый кристалл.
7 Подготовка к измерениям
7.1 Подготавливают к работе микроскоп, осветитель и кристалл. При необходимости поверхности окуляров и наружную поверхность объектива микроскопа тщательно протирают салфеткой или ватой, смоченной спиртом.
7.2 Поверхности кристалла очищают от загрязнений салфеткой или ватой, смоченной спиртом. Полированные поверхности водорастворимых кристаллов протирать не следует.
7.3 Кристалл закрепляют в держателе и устанавливают на столик микроскопа таким образом, чтобы торцовая поверхность не касалась столика.
7.4 На тубусы микроскопа устанавливают окуляры. При необходимости в окуляр, имеющий линейную шкалу, помещают измерительную сетку.
7.5 Определяют цену деления шкалы окуляра или стороны квадрата измерительной сетки для рабочего увеличения объектива с помощью объект-микрометра или переводной таблицы, приведенной в описании к микроскопу.
Примечание - При использовании оптико-электронных или инструментальных микроскопов, являющихся средствами измерений,
7.4 и
7.5 не применяют.
8.1 Пучок света от лампы осветителя направляют на боковую поверхность кристалла.
Примечание - Для освещения кристаллов длиной менее 15 мм используют щелевую насадку-диафрагму к осветителю. Длина освещенного участка должна быть равной 4 мм.
8.2 Микроскоп фокусируют на ближайший торец кристалла.
8.3 Плавно опуская тубус микроскопа, просматривают кристалл по всему объему в непрерывно следующих одно за другим сечениях.
8.4 Диаметр контролируемого участка при увеличении объектива 2x должен составлять не менее 10 мм.
Кристаллы длиной более 110 мм просматривают до середины поочередно через каждый торец.
При необходимости просмотра кристаллов диаметром более 10 мм предварительно выбирают контролируемые участки: один в центральной зоне и четыре в периферийной зоне, расположенные на двух взаимно перпендикулярных диаметрах симметрично относительно центра кристалла.
Один из участков должен находиться в зоне наибольшей плотности пузырей.
Для кристаллов диаметром менее 40 мм число контролируемых участков допускается выбирать от одного до трех в зависимости от равномерности распределения пузырей.
В поле микроскопа в пространстве предметов подводят участок кристалла, выбранный при просмотре, и кристалл просматривают по
8.3.
8.5 Просмотр кристалла допускается проводить не по всему объему, а в нескольких выбранных сечениях.
Минимальный контролируемый объем кристалла и размер пузыря, с которого начинают подсчет, устанавливают в соответствии с ТД на кристалл.
8.6 Определение размеров и числа пузырей выполняют в проходящем свете.
Диаметр пузыря определяют визуально сравнением с делением шкалы окуляра при выбранном рабочем увеличении объектива либо по показаниям инструментального или оптико-электронного микроскопа.
Увеличение объектива допускается изменять в зависимости от размера пузыря.
Число пузырей и их размеры записывают в протоколе для каждого контролируемого сечения.
Примечание - При подсчете пузырей в одноосных и двуосных кристаллах следует учитывать эффект двулучепреломления, при котором пузырь кажется двойным.
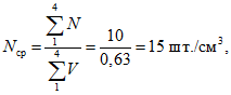
9.1 Среднее число пузырей Nср в единичном объеме кристалла определяют путем деления общего числа пузырей заданного размера во всех контролируемых сечениях на проконтролированный объем по формуле

(1)
где

- общее число пузырей заданного размера во всех контролируемых сечениях, шт.;

- проконтролированный объем кристалла, равный суммарному объему всех контролируемых сечений, мм
3;
n - число контролируемых сечений.
Примечание - Толщину одного сечения принимают равной глубине резкости микроскопа.
9.2 Суммарную площадь Sсум сечений пузырей и включений, содержащихся в единичном объеме кристалла, определяют по результатам измерений размеров и числу пузырей для каждого контролируемого сечения по формуле

(2)
где

- суммарная площадь сечений пузырей, содержащихся во всех контролируемых сечениях, мм
2.
9.3 Пузырность P, заданную отношением суммарной площади сечений пузырей и включений в контролируемом объеме кристалла к площади его сечения, вычисляют по формуле

(3)
где

- площадь сечения кристалла при ее полном попадании в поле микроскопа в пространстве предметов или суммарная площадь контролируемых участков, мм
2;
l - размер кристалла вдоль направления просмотра, мм;
A - суммарная толщина контролируемых сочетаний, мм;
к - число контролируемых участков.
Для ускоренной оценки пузырности при расчете допускается использовать средний диаметр пузыря той размерной группы, к которой относится измеренный пузырь. Площадь сечения пузыря среднего диаметра для каждой размерной группы указана в
приложении А.
10 Оформление результатов измерений
10.1 Результаты измерений оформляют в виде протокола по форме, принятой на предприятии, проводившем измерения.
10.2 В протоколе указывают следующие сведения:
- полное и сокращенное наименование предприятия, проводившего измерения;
- дату проведения измерений;
- основание и цель проведения измерений;
- тип и номер основных средств измерений и вспомогательных устройств;
- данные об условиях проведения измерений (параметры окружающей среды или другие параметры, указанные в ТД);
- идентификационные данные образцов, характеристики которых подвергались измерениям;
- результаты измерений.
В конце протокола должны быть указаны должности, фамилии, инициалы, а также должны быть подписи всех сотрудников, проводивших измерения и обработку их результатов.
(справочное)
ПРИМЕР ОФОРМЛЕНИЯ РЕЗУЛЬТАТОВ ИЗМЕРЕНИЙ
А.1 Примеры оформления результатов измерений в табличном формате представлены в
таблицах А.1 и
А.2.
Таблица А.1
Пример оформления идентификационных
данных испытуемого кристалла
Дата | Номер кристалла (заготовки, детали) | Размеры кристалла | Объем (масса) кристалла |
26.06.2023 | 22/23 | | 5652 мм3 |
Таблица А.2
Пример оформления результатов измерений
Размеры пузырей по группам, мм | Число пузырей по | Площадь сечения пузыря среднего размера по группе | Суммарная площадь сечений пузырей, мм2 | Среднее число пузырей, шт./см3 |  мм 2/см 3 | P, % |
участкам |
1 | 2 |
сечениям |
1 | 2 | 1 | 2 |
До 0,005 | - | - | - | 1 | - | 0,002 | - | - | - |
0,006 - 0,100 | 1 | - | - | 1 | 0,005 | 0,010 | - | - | - |
0,11 - 0,20 | 2 | 1 | - | - | 0,019 | 0,057 | - | - | - |
0,21 - 0,30 | - | 1 | - | - | 0,051 | 0,051 | - | - | - |
0,31 - 0,50 | - | - | 1 | - | 0,129 | 0,129 | - | - | - |
0,51 - 0,70 | - | - | 1 | - | 0,287 | 0,287 | - | - | - |
0,71 - 1,00 | - | - | - | - | 0,574 | 0,574 | - | - | - |
1,1 - 2,0 | - | - | - | - | 1,886 | - | - | - | - |
2,1 - 3,0 | - | - | - | - | 5,104 | - | - | - | - |
3,1 - 5,0 | - | - | - | - | 12,876 | - | - | - | - |
Св. 5,0 | - | - | - | - | - | - | - | - | - |
Всего пузырей: 9 | - | | 15 | 1,3 | 1,0 |
А.2 Диаметр наибольшего пузыря: 1,0 мм.
А.3 Среднее число пузырей в 1 см3 кристалла Nср вычисляют по формуле

(А.1)
где

;
d - диаметр просматриваемого участка, мм.
А.4 Суммарную площадь сечений пузырей, содержащихся в 1 см3, Sсум вычисляют по формуле

(А.2)
А.5 Отношение суммарной площади сечений пузырей в контролируемом объеме кристалла к площади контролируемых участков P вычисляют по формуле

(А.3)
где

.
УДК 681.7.03:666.22:006.354 | |
Ключевые слова: оптика и фотоника, кристаллы оптические, пузырность, микроскоп, метод определения пузырности |