Главная // Актуальные документы // ГОСТ Р (Государственный стандарт)СПРАВКА
Источник публикации
М.: Стандартинформ, 2009
Примечание к документу
Документ
введен в действие с 01.01.2010.
Название документа
"ГОСТ Р МЭК 60287-1-1-2009. Национальный стандарт Российской Федерации. Кабели электрические. Расчет номинальной токовой нагрузки. Часть 1-1. Уравнения для расчета номинальной токовой нагрузки (100%-ный коэффициент нагрузки) и расчет потерь. Общие положения"
(утв. и введен в действие Приказом Ростехрегулирования от 26.06.2009 N 217-ст)
"ГОСТ Р МЭК 60287-1-1-2009. Национальный стандарт Российской Федерации. Кабели электрические. Расчет номинальной токовой нагрузки. Часть 1-1. Уравнения для расчета номинальной токовой нагрузки (100%-ный коэффициент нагрузки) и расчет потерь. Общие положения"
(утв. и введен в действие Приказом Ростехрегулирования от 26.06.2009 N 217-ст)
Утвержден и введен в действие
по техническому регулированию
и метрологии
от 26 июня 2009 г. N 217-ст
НАЦИОНАЛЬНЫЙ СТАНДАРТ РОССИЙСКОЙ ФЕДЕРАЦИИ
КАБЕЛИ ЭЛЕКТРИЧЕСКИЕ.
РАСЧЕТ НОМИНАЛЬНОЙ ТОКОВОЙ НАГРУЗКИ
ЧАСТЬ 1-1
УРАВНЕНИЯ ДЛЯ РАСЧЕТА НОМИНАЛЬНОЙ ТОКОВОЙ НАГРУЗКИ
(100%-НЫЙ КОЭФФИЦИЕНТ НАГРУЗКИ) И РАСЧЕТ ПОТЕРЬ.
ОБЩИЕ ПОЛОЖЕНИЯ
IEC 60287-1-1:2006
Electric cables - Calculation of the current rating -
Part 1-1: Current rating equations (100% load factor)
and calculation of losses - General
(IDT)
ГОСТ Р МЭК 60287-1-1-2009
Дата введения
1 января 2010 года
Цели и принципы стандартизации в Российской Федерации установлены Федеральным
законом от 27 декабря 2002 г. N 184-ФЗ "О техническом регулировании", а правила применения национальных стандартов Российской Федерации -
ГОСТ Р 1.0-2004 "Стандартизация в Российской Федерации. Основные положения"
1 ПОДГОТОВЛЕН Открытым акционерным обществом "Всероссийский научно-исследовательский, проектно-конструкторский и технологический институт кабельной промышленности" (ОАО "ВНИИКП") на основе собственного аутентичного перевода стандарта, указанного в пункте 4
2 ВНЕСЕН Техническим комитетом по стандартизации ТК 46 "Кабельные изделия"
3 УТВЕРЖДЕН И ВВЕДЕН В ДЕЙСТВИЕ
Приказом Федерального агентства по техническому регулированию и метрологии от 26 июня 2009 г. N 217-ст
4 Настоящий стандарт идентичен международному стандарту МЭК 60287-1-1:2006 "Кабели электрические. Расчет номинальной токовой нагрузки. Часть 1-1. Уравнения для расчета номинальной токовой нагрузки (100%-ный коэффициент нагрузки) и расчет потерь. Общие положения" (IEC 60287-1-1:2006 "Electric cables - Calculation of the current rating - Part 1-1: Current rating equations (100% load factor) and calculation of losses - General")
При применении настоящего стандарта рекомендуется использовать вместо ссылочных международных стандартов соответствующие им национальные стандарты Российской Федерации, сведения о которых приведены в дополнительном
приложении A
5 ВВЕДЕН ВПЕРВЫЕ
Информация об изменениях к настоящему стандарту публикуется в ежегодно издаваемом информационном указателе "Национальные стандарты", а текст изменений и поправок - в ежемесячно издаваемых информационных указателях "Национальные стандарты". В случае пересмотра (замены) или отмены настоящего стандарта соответствующее уведомление будет опубликовано в ежемесячно издаваемом информационном указателе "Национальные стандарты". Соответствующая информация, уведомление и тексты размещаются также в информационной системе общего пользования - на официальном сайте Федерального агентства по техническому регулированию и метрологии в сети Интернет
Настоящий стандарт содержит формулы для расчета величин
R,

,

и

и содержит методы расчета допустимых токовых нагрузок кабелей по значениям максимально допустимой температуры, электрического сопротивления токопроводящей жилы, потерь и тепловых удельных сопротивлений.
Приведены также формулы для расчета потерь.
В настоящем стандарте формулы содержат величины, изменяющиеся в зависимости от конструкции кабеля и применяемых материалов. Значения, указанные в таблицах, соответствуют установленным международным (например, электрические удельные сопротивления и температурные коэффициенты сопротивления) либо общепринятым в практике (например, тепловые удельные сопротивления и диэлектрические постоянные материалов). В последнем случае некоторые из указанных значений не являются характеристикой качества новых кабелей, а относятся к кабелям после длительного периода эксплуатации. Для того, чтобы можно было получить однородные и сравнимые результаты, необходимо рассчитывать номинальные токовые нагрузки по указанным в настоящем стандарте значениям. Однако, если точно известно, что конкретным материалам и конструкции более соответствуют другие значения, то можно использовать эти значения, при условии, что они, а также соответствующие номинальные токовые нагрузки, будут указаны.
Значения, относящиеся к условиям эксплуатации кабелей, могут значительно отличаться друг от друга в разных странах. Например, что касается температуры окружающей среды и теплового удельного сопротивления почвы, их значения в разных странах определяют, исходя из различных соображений. Поверхностные сравнения значений, используемых в разных странах, могут привести к ошибочным заключениям, если они не основаны на общем критерии, например, могут быть различны предполагаемые сроки службы кабелей, в некоторых странах конструкция основана на максимальных значениях теплового удельного сопротивления почвы, в то время как в других странах используют средние значения. В частности, что касается теплового удельного сопротивления почвы, хорошо известно, что эта величина очень зависит от содержания влаги в почве и может значительно изменяться с течением времени, в зависимости от типа почвы, топографических и метеорологических условий, а также нагрузки кабеля.
Для выбора значений различных параметров необходимо использовать следующую процедуру.
Числовые значения должны основываться, главным образом, на результатах соответствующих измерений. Часто оказывается, что эти результаты уже включены в национальные технические требования в качестве рекомендуемых значений, поэтому расчет может быть основан на значениях, используемых в данной стране; обзор таких значений приведен в
[1].
Перечень информации, необходимой для выбора соответствующего типа кабеля, приведен в
[1].
Настоящий стандарт рассматривает условия установившегося режима работы кабелей при любом переменном напряжении и постоянном напряжении до 5 кВ, проложенных непосредственно в земле, в каналах, лотках или стальных трубах, с частичным осушением почвы или без, а также кабелей, проложенных на воздухе. Термин "установившийся режим" обозначает ток постоянной величины при непрерывном режиме работы (100%-ный коэффициент нагрузки), достаточный для того, чтобы асимптотически создать максимальную температуру жилы при постоянных условиях окружающей среды.
Настоящий стандарт содержит формулы для расчета номинальных токовых нагрузок и потерь.
Формулы настоящего стандарта являются достаточно точными и в то же время позволяют варьировать некоторые важные параметры. Эти параметры можно разделить на три группы:
- параметры, относящиеся к конструкции кабеля (например, тепловое удельное сопротивление изоляционного материала), для которых были выбраны характерные значения, основанные на опубликованных работах;
- параметры, относящиеся к условиям окружающей среды, которые могут быть очень разнообразны, выбор этих параметров зависит от страны, в которой используются или должны использоваться кабели;
- параметры, которые принимаются по соглашению между изготовителем и потребителем и касаются запаса надежности работы кабеля (например, максимальная температура жилы).
В настоящем стандарте использованы нормативные ссылки на следующие международные стандарты:
МЭК 60028:1925 Международные нормы на электрическое сопротивление меди
МЭК 60141 (все части) Испытания маслонаполненных кабелей и кабелей с газом под давлением и арматуры к ним
МЭК 60228 Токопроводящие жилы изолированных кабелей
МЭК 60287-2-1 Кабели электрические. Расчет номинальной токовой нагрузки. Часть 2-1. Тепловое сопротивление. Расчет теплового сопротивления
МЭК 60502-1 Силовые кабели с экструдированной изоляцией и арматура к ним на номинальное напряжение от 1 кВ

до 30 кВ

. Часть 1. Кабели на номинальное напряжение 1 кВ

и 3 кВ

МЭК 60502-2 Силовые кабели с экструдированной изоляцией и арматура к ним на номинальное напряжение от 1 кВ

до 30 кВ

. Часть 2. Кабели на номинальное напряжение от 6 кВ

до 30 кВ

МЭК 60889 Твердотянутая алюминиевая проволока для проводов воздушных линий передачи
Примечание - Для датированных ссылок используют только указанное в ссылке издание. Для недатированных ссылок используют самое последнее издание (включая изменения).
В настоящем стандарте применены следующие обозначения:
A - площадь поперечного сечения брони, мм2;

- коэффициенты (см.
2.4.2);
C - емкость изолированной жилы, Ф/м;

- наружный диаметр кабеля, м;

- диаметр по изоляции, мм;

- наружный диаметр металлической оболочки, мм;

- диаметр воображаемого соосного цилиндра, касающегося выступов гофрированной оболочки, мм;

- диаметр воображаемого цилиндра, касающегося внутренней поверхности впадин гофрированной оболочки, мм;
F - коэффициент, определенный в
2.3.5;
H - интенсивность солнечного излучения, Вт/м2;
Н - намагничивающая сила (см.
2.4.2), ампер-витки/м;

- индуктивность оболочки, Гн/м;

- компоненты индуктивности, определяемые стальными проволоками (см.
2.4.2), Гн/м;
I - ток в одной жиле (среднеквадратичное значение), А;

- коэффициенты, определенные в
2.3.5;

- коэффициенты, определенные в
2.3.3, Ом/м;
R - сопротивление жилы переменному току при максимальной рабочей температуре, Ом/м;

- сопротивление брони переменному току при максимальной рабочей температуре, Ом/м;

- сопротивление брони переменному току при 20 °C, Ом/м;

- эквивалентное сопротивление переменному току оболочки и брони, соединенных параллельно, Ом/м;

- сопротивление оболочки или экрана кабеля переменному току при максимальной рабочей температуре, Ом/м;

- сопротивление оболочки или экрана кабеля переменному току при 20 °C, Ом/м;
R' - сопротивление жилы постоянному току при максимальной рабочей температуре, Ом/м;

- сопротивление жилы постоянному току при 20 °C, Ом/м;

- тепловое сопротивление на фазу между жилой и оболочкой, К·м/Вт;

- тепловое сопротивление между оболочкой и броней, К·м/Вт;

- тепловое сопротивление наружного защитного покрытия, К·м/Вт;

- тепловое сопротивление окружающей среды (отношение превышения температуры поверхности кабеля над температурой окружающей среды к потерям на единицу длины), К·м/Вт;

- тепловое сопротивление окружающей среды при прокладке кабеля на воздухе с поправкой на солнечное излучение, К·м/Вт;

- напряжение между жилой и экраном или оболочкой, В;

- потери в броне на единицу длины, Вт/м;

- потери в жиле на единицу длины, Вт/м;

- диэлектрические потери на единицу длины на фазу, Вт/м;

- потери в оболочке на единицу длины, Вт/м;

- общие потери в оболочке и броне на единицу длины, Вт/м;
X - реактивное сопротивление оболочки (двухжильные кабели и трехжильные кабели, расположенные треугольником), Ом/м;

- реактивное сопротивление оболочки (при расположении кабелей в одной плоскости), Ом/м;

- взаимное реактивное сопротивление между оболочкой одного кабеля и жилами двух других при расположении кабелей в одной плоскости, Ом/м;
a - наиболее короткая малая длина в перекрестно-соединенной электрической секции с неравными малыми длинами, мм;
c - расстояние между осями жил и осью кабеля для трехжильных кабелей (

- для секторных жил), мм;
d - средний диаметр оболочки или экрана, мм;
d' - средний диаметр оболочки и усиливающего покрытия, мм;

- средний диаметр усиливающего покрытия, мм;

- средний диаметр брони, мм;

- наружный диаметр жилы, мм;

- наружный диаметр полой жилы, мм;

- внутренний диаметр трубы, мм;

- диаметр стальной проволоки, мм;

- внутренний диаметр полой жилы, мм;

- максимальный диаметр экрана или оболочки при овальной жиле, мм;

- минимальный диаметр экрана или оболочки при овальной жиле, мм;

- диаметр эквивалентной круглой жилы с такой же площадью поперечного сечения и такой же степенью уплотнения, что и фасонная жила, мм;
f - частота системы, Гц;

- коэффициент, используемый в
2.3.6.1;
k - коэффициент, используемый при расчете потерь на гистерезис в броне или усиливающем покрытии (см.
2.4.2.4);

- коэффициент, используемый при расчете

(эффекта близости);

- коэффициент, используемый при расчете

(поверхностного эффекта);
l - длина кабельной секции (общее обозначение, см.
2.3 и
2.3.4), м;
ln - натуральный логарифм (логарифм по основанию e);
m -

;
n - число жил в кабеле;

- число стальных проволок в кабеле (см.
2.4.2);
p - длина шага наложения стальной проволоки вдоль кабеля (см.
2.4.2), мм;

- коэффициенты, используемые в
2.3.6.2;

- радиус окружности, описанной вокруг двух или трех фасонных жил, мм;
s - расстояние между осями жил, мм;

- расстояние между осями двух соседних кабелей, расположенных в группе из трех, не соприкасающихся друг с другом кабелей, проложенных горизонтально, мм;

- расстояние между осями кабелей (см.
2.4.2), мм;
t - толщина изоляции между жилами, мм;

- толщина защитного покрытия, мм;

- толщина оболочки, мм;
v - отношение тепловых удельных сопротивлений сухой и влажной почвы

;

- аргумент функции Бесселя, используемый при расчете эффекта близости;

- аргумент функции Бесселя, используемый при расчете поверхностного эффекта;

- коэффициент эффекта близости (см.
2.1);

- коэффициент поверхностного эффекта (см.
2.1);

- температурный коэффициент удельного электрического сопротивления при 20 °C, 1/К;

- угол между осью проволок брони и осью кабеля (см.
2.4.2);

- коэффициент, используемый в
2.3.6.1;

- угловая временная задержка (см.
2.4.2);

- коэффициенты, используемые в
2.3.6.1;

- эквивалентная толщина брони или усиливающего покрытия, мм;

- коэффициент потерь для изоляции;

- относительная диэлектрическая проницаемость изоляции;

- максимальная рабочая температура жилы, °C;

- температура окружающей среды, °C;

- максимальная температура брони, °C;

- максимальная температура экрана или оболочки кабеля, °C;

- критическая температура почвы - это температура на границе между сухой и влажной зонами, °C;

- допустимое превышение температуры жилы над температурой окружающей среды, К;

- превышение критической температуры почвы - это превышение температуры на границе между сухой и влажной зонами по сравнению с температурой окружающей почвы, К;

- коэффициент, используемый в
2.3.6.1;

- соответственно, отношение общих потерь в металлических оболочках и отношение общих потерь в броне к общим потерям в жилах (или потерь в одной оболочке или броне к потерям в одной жиле);

- отношение потерь в одной оболочке, обусловленных циркулирующими токами в оболочке, к потерям в одной жиле;

- отношение потерь в одной оболочке, обусловленных вихревыми токами, к потерям в одной жиле;

- относительная магнитная проницаемость материала брони;

- продольная относительная магнитная проницаемость;

- поперечная относительная магнитная проницаемость;

- удельное электрическое сопротивление материала жилы при 20 °C, Ом·м;

- удельное тепловое сопротивление сухой почвы, К·м/Вт;

- удельное тепловое сопротивление влажной почвы, К·м/Вт;

- удельное электрическое сопротивление оболочки при 20 °C, Ом·м;

- коэффициент поглощения солнечного излучения поверхностью кабеля;

- угловая частота системы

.
1.4 Допустимая номинальная токовая нагрузка кабелей
При расчете допустимой токовой нагрузки в условиях частичного высыхания почвы необходимо также рассчитать токовую нагрузку для условий, когда высыхание почвы не происходит. Используют меньшую из двух полученных нагрузок.
1.4.1 Кабели, проложенные в почве, когда высыхание почвы не происходит, или на воздухе
1.4.1.1 Кабели на переменное напряжение
Допустимая токовая нагрузка кабелей на переменное напряжение может быть получена из формулы превышения температуры жилы над температурой окружающей среды

, (1)
где I - ток, проходящий по одной жиле, А;

- превышение температуры жилы над температурой окружающей среды, К;
Примечание - Имеется в виду средняя температура окружающей среды при нормальных условиях в случае, когда кабели прокладываются или будут проложены с учетом влияния любого местного источника тепла, но без учета повышения температуры от кабелей, расположенных в непосредственной близости, вследствие выделяющейся в них теплоты.
R - сопротивление жилы переменному току на единицу длины при максимальной рабочей температуре, Ом/м;

- диэлектрические потери изоляции жилы на единицу длины, Вт/м;

- тепловое сопротивление между жилой и оболочкой на единицу длины, К·м/Вт;

- тепловое сопротивление подушки между оболочкой и броней на единицу длины, К·м/Вт;

- тепловое сопротивление наружного защитного покрытия кабеля на единицу длины, К·м/Вт;

- тепловое сопротивление между поверхностью кабеля и окружающей средой, полученное по МЭК 60287-2-1 (подраздел 2.2), на единицу длины, К·м/Вт;
n - число несущих нагрузку жил в кабеле (жилы одинакового размера и несущие одну и ту же нагрузку);

- отношение потерь в металлической оболочке к общим потерям во всех жилах кабеля;

- отношение потерь в броне к общим потерям во всех жилах кабеля.
Из вышеприведенной формулы получают допустимое значение токовой нагрузки

. (2)
Если кабель подвергается воздействию прямых солнечных лучей, следует применять формулу по МЭК 60287-2-1 (подпункт 2.2.1.2).
Номинальная токовая нагрузка четырехжильного кабеля на низкое напряжение может быть принята равной номинальной токовой нагрузке трехжильного кабеля на то же напряжение, с тем же размером жил и аналогичной конструкции, при условии, что кабель будет использоваться в трехфазной системе, в которой четвертая жила является нейтральным либо защитным проводником. В случае нейтрального проводника номинальная токовая нагрузка относится к симметричной нагрузке.
1.4.1.2 Кабели на постоянное напряжение до 5 кВ
Допустимое значение номинальной токовой нагрузки кабелей при постоянном напряжении получают по следующей упрощенной формуле по отношению к формуле для переменного напряжения:

, (3)
где R' - сопротивление жилы постоянному току на единицу длины при максимальной рабочей температуре, Ом/м.
Если кабель подвергается воздействию прямых солнечных лучей, следует применять формулу по МЭК 60287-2-1 (подпункт 2.2.1.2).
1.4.2 Кабели, проложенные в условиях частичного высыхания почвы
1.4.2.1 Кабели на переменное напряжение
Нижеприведенный метод применим только для одиночных изолированных кабелей или цепей, проложенных на обычной глубине. Этот метод основан на простой двухзоновой модели почвы, когда одна зона, прилегающая к кабелю, высушена, в то время как другая сохраняет тепловое удельное сопротивление местной среды, при этом граница между этими зонами изотермическая <1>. Метод считается приемлемым для тех областей применения, где влияние почвы учитывают лишь по упрощенной форме.
--------------------------------
<1> См.
[2] (в частности, раздел 3 и приложение 1).
Примечание - Прокладка более одной цепи, а также необходимое расстояние между цепями находится в стадии рассмотрения.
Изменения внешнего теплового сопротивления, за счет образования сухой зоны вокруг одиночного изолированного кабеля или цепи, учтены в следующей формуле [см.
формулу (2)]:

, (4)
где
v - отношение тепловых удельных сопротивлений сухой и влажной зон почвы

;
R - сопротивление токопроводящей жилы переменному току при максимальной рабочей температуре жилы, Ом/м;

- удельное тепловое сопротивление сухой почвы, К·м/Вт;

- удельное тепловое сопротивление влажной почвы, К·м/Вт;

- критическая температура почвы и температура границы между сухой и влажной зонами, °C;

- температура окружающей среды, °C;

- превышение критической температуры почвы - это превышение температуры на границе между сухой и влажной зонами над температурой окружающей почвы

, К.
Примечание -

определяют, используя удельное тепловое сопротивление влажной почвы

и МЭК 60287-2-1 (подпункт 2.2.3.2). Не следует применять расчет с изменением превышения температуры за счет взаимного нагрева кабелей по МЭК 60287-2-1 (подпункт 2.2.3.1).

и

определяют на основе имеющейся информации о характеристиках почвы.
Примечание - Выбор соответствующих характеристик почвы находится в стадии рассмотрения. Эти значения могут быть согласованы между изготовителем и потребителем.
1.4.2.2 Кабели на постоянное напряжение до 5 кВ
Допустимую токовую нагрузку кабеля на постоянное напряжение определяют по следующей упрощенной формуле:

, (5)
где R' - сопротивление жилы постоянному току на единицу длины при максимальной рабочей температуре, Ом/м.
1.4.3 Кабели, проложенные в условиях, когда не следует допускать высыхания почвы
1.4.3.1 Кабели на переменное напряжение
Если не следует допускать миграцию влаги, ограничив превышение температуры поверхности кабеля до значения не более

, соответствующую токовую нагрузку определяют по формуле

. (6)
Однако в зависимости от значения

, такое ограничение может отразиться на температуре жилы, которая может превысить максимально допустимое значение. Используемое значение токовой нагрузки должно быть меньшим из двух значений, полученных по
формуле (6) либо по
формуле (2).
Сопротивление жилы R вычисляют для соответствующей температуры жилы, которая может быть меньше максимально допустимого значения. Проводят оценку рабочей температуры и при необходимости ее корректируют.
Примечание - Для четырехжильных низковольтных кабелей см.
1.4.1.1.
1.4.3.2 Кабели на постоянное напряжение до 5 кВ
Допустимую токовую нагрузку для кабелей на постоянное напряжение получают по следующей упрощенной формуле по отношению к формуле для кабелей на переменное напряжение:

. (7)
Сопротивление жилы
R' следует принять таким, как указано в
1.4.2.2.
1.4.4 Кабели, подверженные прямому солнечному излучению
Допустимые токовые нагрузки
Учитывая действие солнечного излучения на кабель, допустимую токовую нагрузку определяют по следующим формулам.
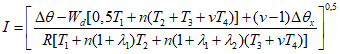
1.4.4.1 Кабели на переменное напряжение

. (8)
1.4.4.2 Кабели на постоянное напряжение до 5 кВ

, (9)
где

- коэффициент поглощения солнечного излучения поверхностью кабеля (см.
таблицу 4);
H - интенсивность солнечного излучения, которую принимают для большинства широт равной

; рекомендуется, по возможности, использовать местное значение;

- тепловое сопротивление окружающей среды при прокладке кабеля на воздухе с поправкой на солнечное излучение (см. МЭК 60287-2-1), К·м/Вт;

- наружный диаметр кабеля для гофрированных оболочек

, м;

- толщина защитного покрытия, мм.
2.1 Сопротивление жилы переменному току
Сопротивление жилы переменному току
R, Ом/м, на единицу длины при ее максимальной рабочей температуре во всех случаях, за исключением кабелей, проложенных в трубопроводах (см.
2.1.5), определяют по следующей формуле:

, (10)
где R' - сопротивление жилы постоянному току при максимальной рабочей температуре, Ом/м;

- коэффициент поверхностного эффекта;

- коэффициент эффекта близости.
2.1.1 Сопротивление жилы постоянному току
Сопротивление жилы постоянному току
R', Ом/м, на единицу длины при ее максимальной рабочей температуре

определяют следующим образом:

, (11)
где

- сопротивление жилы постоянному току при 20 °C, Ом/м. Значение

указано в МЭК 60228.
Если жила не соответствует МЭК 60228, то значение

может быть установлено по соглашению между изготовителем и потребителем. Сопротивление жилы определяют, используя значения удельного сопротивления, приведенные в
таблице 1;

- температурный коэффициент при 20 °C на Кельвин (см. стандартные значения в таблице 1);

- максимальная рабочая температура в градусах Цельсия (определяется типом используемой изоляции), установленная в стандарте или технических условиях на кабель конкретного типа.
Таблица 1
Электрическое удельное сопротивление
и температурные коэффициенты используемых металлов
Материал | Удельное сопротивление при 20 °C  , Ом·м | Температурный коэффициент при 20 °C  , 1/К |
a) Жилы | | |
Медь | 1,7241·10-8 | 3,93·10-3 |
Алюминий | 2,8264·10-8 | 4,03·10-3 |
b) Оболочка и броня | | |
Свинец или свинцовые сплавы | 21,4·10-8 | 4,0·10-3 |
Сталь | 13,8·10-8 | 4,5·10-3 |
Бронза | 3,5·10-8 | 3,0·10-3 |
Нержавеющая сталь | 70·10-8 | Можно пренебречь |
Алюминий | 2,84·10-8 | 4,03·10-3 |
Примечание - Значения для медных токопроводящих жил взяты из МЭК 60028. Значения для алюминиевых токопроводящих жил взяты из МЭК 60889. |
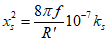
2.1.2 Коэффициент поверхностного эффекта 
Коэффициент поверхностного эффекта

определяют по формуле

, (12)
где

;
f - частота, Гц.
Формула (12) точна, если

не превышает 2,8, и поэтому в большинстве случаев применима на практике.
При отсутствии соответствующей формулы для жил секторного и овального сечения рекомендуется использовать
формулу (12).
2.1.3 Коэффициент эффекта близости
для двухжильных кабелей и двух одножильных кабелей
Коэффициент эффекта близости определяют по формуле

, (13)
где

;

- диаметр жилы, мм;
s - расстояние между осями жил, мм.
Значения

приведены в таблице 2.
Таблица 2
Поверхностный эффект и эффект близости.
Экспериментальные значения коэффициентов

и

Тип жилы | Пропитанная или нет | ks | kp |
Медная: | | | |
- круглая, многопроволочная; | Да | 1 | 0,8 |
- круглая, многопроволочная; | Нет | 1 | 1 |
- круглая сегментная <1>; | | 0,435 | 0,37 |
- полая, скрученная по спирали; | Да | | 0,8 |
- секторная; | Да | 1 | 0,8 |
- секторная | Нет | 1 | 1 |
Алюминиевая: | | | |
- круглая, многопроволочная; | Да, нет | 1 | |
- круглая, 4-сегментная; | Да, нет | 0,28 | |
- круглая, 5-сегментная; | Да, нет | 0,19 | |
- круглая, 6-сегментная; | Да, нет | 0,12 | |
- сегментная с повивами стренг по периферии | Да, нет | | |
<1> Приведенные значения относятся к жилам, состоящим из четырех сегментов (с центральным каналом или без него), площадь каждого из которых составляет до 1600 мм 2. Эти значения применимы к тем жилам кабелей, в которых все повивы проволок имеют одинаковое направление скрутки. Эти значения окончательно не утверждены, т.к. сам вопрос находится в стадии рассмотрения. <2> Для определения  следует использовать следующую формулу:  , (14) где  - внутренний диаметр полой жилы (центрального канала), мм;  - наружный диаметр полой жилы, мм. <3> Для кабелей, имеющих токопроводящую жилу, которая состоит из центральной сегментной части и одного или нескольких повивов стренг, при определении  следует использовать следующую формулу:  , (15) где b - отношение общего сечения периферийных стренг к общему сечению готовой жилы; c - отношение общего сечения сегментной части жилы к общему сечению готовой жилы, c = (1 - b).  ,  , где n - число сегментов. Формула (15) применима для алюминиевых токопроводящих жил сечением до 1600 мм 2. Если общее сечение периферийных стренг составляет более 30% общего сечения жилы, тогда значение  принимают равным 1. <4> Несмотря на то, что в настоящее время нет утвержденных данных, относящихся непосредственно к коэффициенту  для алюминиевых жил, рекомендуется использовать для многопроволочных алюминиевых жил те же значения, которые приведены для медных жил аналогичной конструкции. |
Формула (13) точна, если

не превышает 2,8, и поэтому в большинстве случаев применима на практике.
2.1.4 Коэффициент эффекта близости
для трехжильных кабелей и трех одножильных кабелей
2.1.4.1 Кабели с круглыми жилами
Коэффициент эффекта близости определяют по формуле

, (16)
где

;

- диаметр жилы, мм;
s - расстояние между осями жил, мм.
Примечание - Для кабелей, расположенных в одной плоскости,
s - расстояние между соседними фазами. Если расстояния между соседними фазами не одинаковые, то

.
Формула (16) точна, если

не превышает 2,8, и поэтому в большинстве случаев применима на практике.
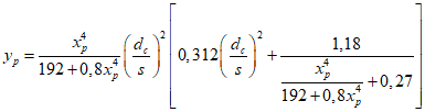
2.1.4.2 Кабели с фасонными жилами
Для многожильных кабелей с фасонными жилами значение

должно составлять 2/3 значения, определенного в соответствии с
2.1.4.1.
При этом

- диаметр эквивалентной круглой жилы с такой же площадью поперечного сечения и такой же степенью уплотнения, мм.

, мм,
где t - толщина изоляции между жилами, мм.
Приведенная выше формула точна, если

не превышает 2,8, и поэтому в большинстве случаев применима на практике.
2.1.5 Поверхностный эффект и эффект близости в кабелях, проложенных в трубопроводах
Для кабелей, проложенных в трубопроводах, поверхностный эффект и эффект близости, определенные в соответствии с
2.1.2,
2.1.3 и
2.1.4, следует увеличить на коэффициент 1,5. Для этих кабелей:

. (17)
2.2 Диэлектрические потери (только для кабелей на переменное напряжение)
Диэлектрические потери зависят от напряжения и становятся значительными при определенных уровнях напряжения, соответствующих применяемому изоляционному материалу. В
таблице 3 указаны значения

для общепринятых изоляционных материалов, при которых необходимо учитывать диэлектрические потери для трехжильных экранированных или одножильных кабелей. Нет необходимости рассчитывать диэлектрические потери для неэкранированных многожильных кабелей или кабелей на постоянное напряжение.
Диэлектрические потери на единицу длины в каждой фазе

, Вт/м, определяют по формуле

, (18)
где

;
C - емкость на единицу длины, Ф/м;

- напряжение на землю, В.
Значения

, коэффициента диэлектрических потерь изоляции при промышленной частоте и рабочей температуре, приведены в таблице 3.
Таблица 3
Значения относительной диэлектрической проницаемости
и коэффициента диэлектрических потерь для изоляции кабелей
на среднее и высокое напряжение промышленной частоты
Тип кабеля | | |
Кабели с пропитанной бумажной изоляцией | | |
С вязкой пропиткой, полностью пропитанные, с предварительной пропиткой или с пропиткой нестекающим составом | 4 | 0,01 |
Кабели маслонаполненные, автономные <2>: | | |
на номинальное напряжение до U0 = 36 кВ; | 3,6 | 0,0035 |
на номинальное напряжение до U0 = 87 кВ; | 3,6 | 0,0033 |
на номинальное напряжение до U0 = 160 кВ; | 3,5 | 0,0030 |
на номинальное напряжение до U0 = 220 кВ | 3,5 | 0,0028 |
Маслонаполненные кабели в трубах под давлением <3> | 3,7 | 0,0045 |
Газонаполненные кабели с внешним давлением газа <4> | 3,6 | 0,0040 |
Газонаполненные кабели с внутренним давлением газа <5> | 3,4 | 0,0045 |
Кабели с другими видами изоляции | | |
Бутилкаучук | 4 | 0,050 |
Этиленпропиленовая резина (EPR) <6>: | | |
для кабелей на номинальное напряжение до 18/30 (36) кВ включ.; | 3 | 0,020 |
для кабелей на номинальное напряжение св. 18/30 (36) кВ | 3 | 0,005 |
Поливинилхлоридный пластикат (PVC) | 8 | 0,1 |
Полиэтилен (PE) высокой (HD) или низкой (LD) плотности <6> | 2,3 | 0,001 |
Сшитый полиэтилен (XLPE) <6>: | | |
для кабелей на номинальное напряжение до 18/30 (36) кВ включ. (без наполнителей); | 2,5 | 0,004 |
для кабелей на номинальное напряжение св. 18/30 (36) кВ (без наполнителей); | 2,5 | 0,001 |
для кабелей на номинальное напряжение св. 18/30 (36) кВ (с наполнителем) | 3,0 | 0,005 |
Полипропилен (PPL): | | |
для кабелей на номинальное напряжение, равное или св. 63/110 кВ | 2,8 | 0,0014 |
<1> Обычно для каждого типа кабелей указывают допустимые значения при максимально допустимых температурах, возникающих при самых высоких напряжениях. <6> См. МЭК 60502-1 и МЭК 60502-2. |
Примечание - Если значения U0 равны значениям, приведенным ниже или более, то в этом случае следует учитывать значение диэлектрических потерь: |
| Тип кабеля | U0, кВ | |
Кабели с пропитанной бумажной изоляцией: | |
| - с вязкой пропиткой; | 38 | |
| - маслонаполненные кабели и кабели с газом под давлением | 63,5 | |
| Кабели с изоляцией других видов: | | |
| Бутилкаучук | 18 | |
| Этиленпропиленовая резина (EPR) | 63,5 | |
| Поливинилхлоридный пластикат (PVC) | 6 | |
| Полиэтилен (PE) высокой (HD) или низкой (LD) плотности | 127 | |
| Сшитый полиэтилен (XLPE) (без наполнителей) | 127 | |
| Сшитый полиэтилен (XLPE) (с наполнителем) | 63,5 | |
Емкость для круглых жил C, Ф/м, определяют следующим образом:

, (19)
где

- относительная диэлектрическая проницаемость изоляции;

- наружный диаметр по изоляции (исключая экран), мм;

- диаметр жилы, включая экран, если он имеется, мм.
Формулу (19) можно использовать для овальных жил, подставив вместо

и

среднегеометрические значения соответствующих максимальных и минимальных диаметров.
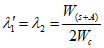
2.3 Коэффициент потерь для оболочки и экрана (только для кабелей на переменное напряжение промышленной частоты)
Потери в оболочке или экране

складываются из потерь, обусловленных циркулирующими токами

и вихревыми токами

следующим образом:

. (20)
Формулы (23) -
(51) выражают потери в оболочке через общие потери в жиле (жилах), причем в каждом отдельном случае указано, какой вид потерь должен быть рассмотрен. Формулы для одножильных кабелей применимы только к однофазным цепям, влияние токов утечки на землю не учитывается. Приводятся методы для гладких и гофрированных оболочек.
Для одножильных кабелей с оболочками, соединенными с обоих концов электрической секции, следует учитывать только потери вследствие циркулирующих токов в оболочках (см.
2.3.1,
2.3.2 и
2.3.3). Электрической секцией считается часть трассы между точками, в которых соединены оболочки или экраны всех кабелей.
Обычно принимают в расчет увеличение расстояния между кабелями в определенных точках трассы (см.
2.3.4).
Для кабелей с сегментными жилами больших сечений коэффициент потерь должен быть увеличен, чтобы учесть потери, вызываемые вихревыми токами в оболочках (см.
2.3.5).
Для систем с перекрестным соединением оболочек не следует полагать, что малые секции электрически идентичны, и потери вследствие циркуляции токов в оболочках незначительны. В
2.3.6 даны рекомендации по расчету увеличения потерь в оболочках, чтобы был учтен этот электрический дисбаланс.
Удельные электрические сопротивления и температурные коэффициенты свинца и алюминия, необходимые для расчета сопротивления оболочки

, приведены в
таблице 1.
В
формулах (23) -
(27),
(29),
(30),
(44) -
(48),
(50),
(51) используется значение сопротивления оболочки или экрана при максимальной температуре. Максимальную температуру оболочки или экрана определяют по формуле

, (21)
где

- максимальная рабочая температура экрана или оболочки кабеля, °C.
Поскольку температура оболочки или экрана является функцией тока I, при расчете используется метод последовательных приближений.
Сопротивление оболочки или экрана при максимальной температуре

, Ом/м, определяют по формуле

, (22)
где

- сопротивление оболочки или экрана кабеля при 20 °C, Ом/м.
2.3.1 Два одножильных и три одножильных кабеля (расположенные треугольником), оболочки которых соединены на обоих концах каждой электрической секции
Для двух одножильных и трех одножильных кабелей (расположенных треугольником), оболочки которых соединены на обоих концах, коэффициент потерь определяют по формуле

, (23)
где

- сопротивление оболочки или экрана на единицу длины кабеля при его максимальной рабочей температуре, Ом/м;
X - реактивное сопротивление оболочки или экрана на единицу длины кабеля, Ом/м, определяемое по формуле

,

, 1/с;
s - расстояние между осями жил в данной электрической секции, мм;
d - средний диаметр оболочки, мм, который при овальных жилах выражается как

, где

и

- большой и малый средние диаметры оболочки соответственно; для гофрированных оболочек
d выражается как

;

, т.е. потери, обусловленные вихревыми токами, не учитываются, за исключением кабелей с сегментными жилами большого сечения, когда

определяют по методу, приведенному в
2.3.5.
2.3.2 Три одножильных кабеля, расположенные в одной плоскости, с регулярной транспозицией (оболочки соединены на обоих концах каждой электрической секции)
Для трех одножильных кабелей, расположенных в одной плоскости, со средним кабелем, равноудаленным от наружных кабелей, с регулярной транспозицией кабелей и оболочками, соединенными в каждой третьей транспозиции, коэффициент потерь определяют по формуле

, (24)
где

- реактивное сопротивление на единицу длины оболочки, Ом/м, определяется по формуле

;

, т.е. потери, обусловленные вихревыми токами, не учитываются, за исключением кабелей с сегментными жилами большого сечения, когда

определяют по методу, приведенному в
2.3.5.
2.3.3 Три одножильных кабеля, расположенные в одной плоскости, без транспозиции (оболочки соединены на обоих концах каждой электрической секции)
Для трех одножильных кабелей, расположенных в одной плоскости, со средним кабелем, равноудаленным от наружных кабелей, без транспозиции и с оболочками, соединенными на обоих концах электрической секции, коэффициент потерь для кабеля, имеющего наиболее высокие потери (т.е. наружного кабеля, несущего отстающую фазу), определяют по формуле

. (25)
Для другого наружного кабеля коэффициент потерь определяют по формуле

. (26)
Для среднего кабеля коэффициент потерь определяют по формуле

, (27)
где

;

;
X - реактивное сопротивление оболочки или экрана на единицу длины кабеля для двух соседних одножильных кабелей, Ом/м, определяется по формуле

;

- взаимное реактивное сопротивление на единицу длины кабеля между оболочкой наружного кабеля и жилами двух других, если кабели расположены в одной плоскости, Ом/м, определяется по формуле

;

, т.е. потери, определяемые вихревыми токами, не учитываются, за исключением кабелей с сегментными жилами большого сечения, когда

определяют по методу, приведенному в
2.3.5.
Номинальные токовые нагрузки для кабелей, проложенных в воздухе, должны быть основаны на приведенной выше первой формуле, т.е. на потерях в наружном кабеле, несущем отстающую фазу.
2.3.4 Влияние изменения расстояния между одножильными кабелями на участке между точками соединения оболочек
В цепях одножильных кабелей с оболочками, соединенными на обоих концах и, возможно, в промежуточных точках, циркулирующие токи и обусловленные ими потери возрастают по мере увеличения расстояния между кабелями, поэтому рекомендуется использовать как можно меньшее расстояние между кабелями. Оптимальное расстояние можно получить путем учета как потерь, так и взаимного нагрева кабелей.
Не всегда возможно проложить кабели, соблюдая одинаковое расстояние между ними на протяжении всей трассы. Ниже приводятся рекомендации относительно расчета потерь в оболочке вследствие циркулирующих токов, когда невозможно проложить кабели с постоянным расстоянием между ними на протяжении длины одной электрической секции. Секцией считается часть трассы между точками соединения оболочек всех кабелей. Приведенные рекомендации дают значения коэффициентов потерь, которые относятся ко всей секции, при этом следует отметить, что соответствующие значения сопротивления жилы и внешнего теплового сопротивления должны быть рассчитаны на основании наименьшего расстояния между кабелями в любом месте секции:
a) Если расстояние между кабелями в секции не постоянное, но известны различные его значения, то значение
X в
2.3.1,
2.3.2 и
2.3.3 следует определять следующим образом:

, (28)
где

- длины с различным расстоянием между кабелями вдоль электрической секции;

- реактивные сопротивления на единицу длины кабеля, соответствующие формулы приведены в
2.3.1,
2.3.2 или
2.3.3, где используются соответствующие значения расстояний

.
b) Если в какой-либо секции расстояние между кабелями и его отклонения вдоль трассы не известны и не могут быть определены, то потери в этой секции, определенные на основании расчетного расстояния между кабелями, следует увеличить на 25%, это значение соответствует кабелям высокого напряжения со свинцовой оболочкой. По соглашению можно использовать другое увеличение, если 25% не соответствует условиям частного случая прокладки.
c) Если секция включает расширяющийся конец, то увеличения по
перечислению b) недостаточно, и рекомендуется произвести оценку расстояния и рассчитать потери по указанной в
перечислении a) методике.
Примечание - Такое увеличение не допускается для линий с соединением оболочек в одной точке или перекрестным соединением (см.
2.3.6).
2.3.5 Влияние сегментных жил большого сечения
В случае, когда коэффициентом близости нельзя пренебречь (например, при жилах большого сечения, представляющих собой изолированные сегменты), коэффициент потерь в оболочке

для
2.3.1,
2.3.2 и
2.3.3 нельзя не учитывать. Его следует определить путем умножения значения

, полученного по
2.3.6 для этой конструкции кабеля, на коэффициент
F, определяемый по формуле

, (29)
где

- для кабелей, расположенных треугольником,
или

- для кабелей, расположенных в одной плоскости на равном расстоянии друг от друга.
Если расстояние между кабелями в секции непостоянное, значение
X следует определять по
2.3.4, перечисление a).
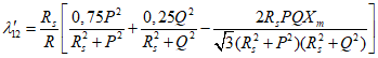
2.3.6 Одножильные кабели с соединением оболочек в одной точке или перекрестным соединением
2.3.6.1 Потери, обусловленные вихревыми токами
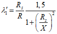
Для одножильных кабелей с соединением оболочек в одной точке или перекрестным соединением коэффициент потерь вследствие вихревых токов определяется следующим образом:

, (30)
где

;

;

- удельное электрическое сопротивление материала оболочки при рабочей температуре (см.
таблицу 1), Ом·м;

- наружный диаметр оболочки кабеля, мм.
Примечание - Для гофрированных оболочек следует применять средний наружный диаметр

;

- толщина оболочки, мм;

.
Примечание 1 - Для кабелей в свинцовой оболочке

можно принять за единицу и член

можно не учитывать.
Примечание 2 - Для кабелей в алюминиевой оболочке может быть необходимо определение обоих членов, если диаметр оболочки более 70 мм, или оболочка толще чем обычно.
Примечание 3 - Для кабелей с проволочным экраном и выравнивающей лентой или с фольгированным экраном поверх проволок потерями за счет вихревых токов можно пренебречь.
Формулы для определения

и

приведены ниже (в которых

, при
m <= 0,1

и

можно не учитывать).
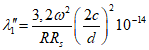
1) Три одножильных кабеля, расположенных треугольником:

, (31)

, (32)

. (33)
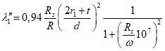
2) Три одножильных кабеля, расположенных в одной плоскости:
a) центральный кабель:

, (34)

, (35)

; (36)
b) наружный кабель, ведущая фаза:

, (37)

, (38)

; (39)
c) наружный кабель, отстающая фаза:

, (40)

, (41)

. (42)
2.3.6.2 Потери, обусловленные циркулирующими токами
Потери, обусловленные циркулирующими токами, равны нулю для линий с соединением оболочек кабелей в одной точке и линий с перекрестным соединением оболочек и разделением каждой основной секции на три электрически идентичных малых секции.
Если линия с перекрестным соединением оболочек содержит секции со значительным дисбалансом, возникает разность напряжения, вызывающая потери вследствие циркулирующих токов в этой секции, которые необходимо учесть.
Для линий, в которых известны фактические длины малых секций, коэффициент потерь

можно определить путем умножения коэффициента потерь, обусловленных циркулирующими токами, рассчитанного для данной конструкции кабеля, когда оболочки соединены и заземлены на обоих концах каждой большой секции без перекрестного соединения, на

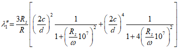
. (43)
В любой большой секции имеются две более длинные малые секции, которые в p и q раз больше длины самой короткой малой секции (т.е. длины малых секций равны a, pa и qa, где a - длина самой короткой секции).
Это выражение показывает только разницу между длинами малых секций.
Необходимо также учитывать любые отклонения в расстоянии между кабелями.
Если длины малых секций не известны, то p следует принять за единицу, а q приравнять к 1,2, в результате получается значение 0,004.
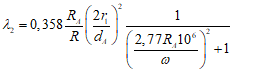
2.3.7 Двухжильные небронированные кабели в общей оболочке
Для двухжильного небронированного кабеля, изолированные жилы которого заключены в общую металлическую оболочку, величиной

можно пренебречь, и коэффициент потерь определяют по одной из следующих формул:
- при круглых или овальных жилах

; (44)
- при секторных жилах

, (45)
где

;
f - частота, Гц;
c - расстояние между осью одной жилы и осью кабеля;

- радиус окружности, описанной вокруг двух фасонных жил, мм;
d - средний диаметр оболочки, мм;
- при овальных жилах
d выражается как

, где

и

- максимальный и минимальный средние диаметры оболочки соответственно;
- для гофрированных оболочек
d выражается как

.
2.3.8 Трехжильные небронированные кабели в общей оболочке
Для трехжильного небронированного кабеля, изолированные жилы которого заключены в общую металлическую оболочку, величиной

можно пренебречь, и коэффициент потерь определяют по одной из следующих формул:
- при круглых или овальных жилах, при сопротивлении оболочки

, менее или равному 100 мкОм/м

; (46)
- при круглых или овальных жилах, при сопротивлении оболочки

, более 100 мкОм/м

; (47)
- при секторных жилах, при любом


, (48)
где

- радиус окружности, описанной вокруг трех фасонных жил, мм;
t - толщина изоляции между жилами, мм;
d - средний диаметр оболочки, мм;
- при овальных жилах
d выражается как

, где

и

- большой и малый средние диаметры оболочки или экрана;
- для гофрированных оболочек
d выражается как

.
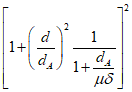
2.3.9 Двухжильные и трехжильные кабели со стальной ленточной броней
Введение стальной ленточной брони приводит к возрастанию потерь в оболочке вследствие вихревых токов. Значения

, приведенные в
2.3.7 и
2.3.8, следует умножить на следующий коэффициент, если кабель имеет стальную ленточную броню

, (49)
где

- средний диаметр брони, мм;

- относительная магнитная проницаемость стальной ленты (обычно принимаемая за 300);

- эквивалентная толщина брони, мм, определяемая по формуле

,
где A - площадь поперечного сечения брони, мм2.
Эта поправка относится только к лентам толщиной 0,3 - 1,0 мм.
2.3.10 Кабели с отдельно освинцованными жилами (типа SL), бронированные
Для трехжильного кабеля, каждая изолированная жила которого имеет отдельную свинцовую оболочку,

равно нулю, и коэффициент потерь для оболочек определяют по формуле

, (50)
где

, Ом/м;
s - расстояние между осями жил, мм.
Коэффициент потерь для небронированных кабелей, каждая изолированная жила которых имеет отдельную свинцовую оболочку, получают по
2.3.1.
2.3.11 Потери в экранах и оболочках кабелей, проложенных в трубопроводах
Если каждая жила кабеля в стальном трубопроводе имеет экран только по изоляции, например, свинцовую оболочку или медную ленту, отношение потерь в экране к потерям в жиле может быть определено по формуле, приведенной в
2.3.1 для оболочки одножильного кабеля, при условии, что в эту формулу будет внесена поправка на дополнительные потери, вызываемые наличием стальной трубы.
В результате этой поправки формула приобретает следующий вид:

. (51)
Если каждая изолированная жила имеет оболочку экранного типа и немагнитное усиливающее покрытие, используется та же формула, но сопротивление

заменяется параллельной комбинацией сопротивления оболочки и усиливающего покрытия. Диаметр
d заменяется величиной
d':

, (52)
где d' - средний диаметр оболочки и усиливающего покрытия, мм;
d - средний диаметр экрана или оболочки, мм;

- средний диаметр усиливающего покрытия, мм.
При овальных жилах
d и

выражаются как

, где

и

большой и малый средние диаметры соответственно.
Примечание - См. также
2.4.2.
2.4 Коэффициент потерь для брони, усиливающего покрытия и стальных труб (только для кабелей на переменное напряжение промышленной частоты)
Формулы (60) -
(69) выражают потери мощности в металлической броне, усиливающем покрытии или стальных трубах через увеличение потерь

во всех жилах.
Соответствующие значения удельного электрического сопротивления и температурных коэффициентов материалов, используемых для брони и усиливающего покрытия, приведены в
таблице 1.
В
формулах (55),
(63) -
(65) используется значение сопротивления брони при максимальной рабочей температуре. Максимальную рабочую температуру брони

, °C, определяют по формуле

. (53)
Поскольку температура брони является функцией тока I, при расчете используется метод последовательных приближений.
Сопротивление брони при максимальной рабочей температуре

, Ом/м, определяют по формуле

, (54)
где

- сопротивление брони при 20 °C, Ом/м.
Если используется параллельно эквивалентное сопротивление оболочки и брони, можно допустить, что оба элемента имеют рабочую температуру брони, и использовать усредненное значение для температурного коэффициента этих материалов.
2.4.1 Немагнитные броня или усиливающее покрытие
Обычно потери в усиливающем покрытии рассчитываются совместно с потерями в оболочке. Применяются формулы, приведенные в
2.3, но сопротивление одиночной оболочки

заменяется параллельной комбинацией сопротивления оболочки и усиливающего покрытия. Среднеквадратичное значение диаметра оболочки и усиливающего покрытия заменяет средний диаметр оболочки
d (см.
2.3.11). Это относится к одножильным, двухжильным и многожильным кабелям.
Значение сопротивления усиливающего покрытия зависит от шага наложения лент следующим образом:
a) если ленты наложены с очень большим шагом (продольное наложение лент), в расчет принимается сопротивление цилиндра, имеющего ту же массу материала на единицу длины кабеля и тот же внутренний диаметр, что и наложенные ленты;
b) если ленты наложены приблизительно под углом 54° к оси кабеля, сопротивление в два раза выше значения, определенного в соответствии с
перечислением a);
c) если ленты наложены с очень малым шагом (поперечно наложенные ленты), сопротивление можно считать бесконечным, т.е. потери могут не учитываться;
d) если ленты наложены в два или более слоя с очень малым шагом и ленты примыкают друг к другу, сопротивление в два раза выше значения, определенного в соответствии с
перечислением a).
Эти положения относятся также к изолированным жилам кабелей в трубопроводах, которые рассматриваются в
2.3.11.
2.4.2 Стальная броня или усиливающее покрытие
2.4.2.1 Одножильные кабели со свинцовой оболочкой и стальной проволочной броней, соединенной с оболочкой на обоих концах
Приведенный метод не учитывает возможное влияние окружающей среды, которое может быть достаточно существенным, в частности, для кабелей, проложенных под водой. Этот метод следует применять для линий с большим расстоянием между кабелями (т.е. 10 м или более). Он позволяет определить значения общих потерь в оболочке и броне, которые обычно выше фактических для того, чтобы номинальные токовые нагрузки были рассчитаны с запасом. Следует отметить, что наиболее нагретый отрезок кабельной трассы может находиться на берегу, где как потери, так и взаимный нагрев могут быть высоки.
Если влиянием окружающей среды можно пренебречь, например, при прокладке кабелей на воздухе, этот метод можно использовать для любого расстояния между кабелями.
Расчет потерь мощности в свинцовой оболочке и стальной проволочной броне одножильных кабелей при соединении оболочки и брони на обоих концах проводится следующим образом:
a) Эквивалентное сопротивление параллельных оболочки и брони

, Ом/м, определяется по формуле

, (55)
где

- сопротивление оболочки на единицу длины кабеля при максимальной рабочей температуре, Ом/м;

- сопротивление брони переменному току на единицу длины при максимальной рабочей температуре, Ом/м.
Сопротивление проволочной брони переменному току изменяется приблизительно от увеличенного в 1,2 раза сопротивления постоянному току для проволок диаметром 2 мм до увеличенного в 1,4 раза сопротивления постоянному току для проволок диаметром 5 мм. Сопротивление не оказывает определяющего влияния на конечный результат.
b) Индуктивность элементов цепи на фазу определяют по формулам:

, (56)

, (57)

, (58)

, (59)
Примечание - Для несоприкасающихся проволок брони значение

принимают равным нулю.
где

- индуктивность, определяемая оболочкой, Гн/м;

- компоненты индуктивности, определяемые стальными проволоками, Гн/м;

- расстояние между осями соседних кабелей, расположенными треугольником; для кабелей, расположенных в одной плоскости,

- среднегеометрическое значение трех расстояний между кабелями, мм;

- средний диаметр брони, мм;

- диаметр стальной проволоки, мм;
p - длина шага наложения стальной проволоки вдоль кабеля, мм;

- число стальных проволок;

- угол между осью проволок брони и осью кабеля;

- угловая временная задержка продольного магнитного потока в стальных проволоках относительно действия намагничивающей силы;

- продольная относительная магнитная проницаемость стальных проволок;

- поперечная относительная магнитная проницаемость стальных проволок.
Значения коэффициентов

, Ом/м, следующие:

,

.
c) Общие потери в оболочке и броне

, Вт/м, определяют по формуле

. (60)
Можно предположить, что потери в оболочке и броне приблизительно равны, в этом случае

, (61)
где

- потери в жиле, Вт/м.
d) Выбор магнитных характеристик

и

Эти величины зависят от конкретного образца стали и, если нельзя сослаться на измерения, выполненные на используемой стальной проволоке, следует принять некоторые средние значения.
Допустимо для проволок диаметром от 4 до 6 мм, обладающих прочностью при разрыве около 400 Н/мм2, принять следующие значения:

;

, если проволоки соприкасаются друг с другом;

, если проволоки не касаются друг друга;

.
Если требуется более точный расчет и известны характеристики проволоки, то вначале необходимо определить приблизительное значение намагничивающей силы Н, ампер-витки/м, для того, чтобы определить соответствующие магнитные характеристики.

, (62)
где

и

- векторные значения тока в жиле и тока в оболочке. Для исходного выбора магнитных характеристик достаточно предположить, что

, и повторить расчеты, если будет установлено, что рассчитанное значение существенно отличается от предполагаемого.
2.4.2.2 Двухжильные кабели со стальной проволочной броней

, (63)
где

- сопротивление брони переменному току при максимальной температуре брони, Ом/м;

- средний диаметр брони, мм;
A - площадь поперечного сечения брони, мм2;

- радиус окружности, описанной вокруг жил, мм;
t - толщина изоляции между жилами, мм.
Поправка на неравномерное распределение тока в жилах не сделана, поскольку это несущественно для жил сечением до 400 мм2.
2.4.2.3 Трехжильные кабели со стальной проволочной броней
2.4.2.3.1 Кабель с жилами круглого сечения

, (64)
где

- сопротивление брони переменному току при максимальной температуре брони, Ом/м;

- средний диаметр брони, мм;
c - расстояние между осью жилы и осью кабеля, мм.
Поправка на неравномерное распределение тока в жилах не сделана, поскольку это несущественно для жил сечением до 400 мм2.
2.4.2.3.2 Кабели с секторными жилами

, (65)
где

- радиус окружности, описанной вокруг трех фасонных жил, мм;

;
f - частота, Гц.
2.4.2.4 Трехжильные кабели со стальной ленточной броней или усиливающим покрытием
Приведенные ниже формулы применяются при толщине лент 0,3 - 1,0 мм.
Гистерезисные потери

определяют при частоте 50 Гц по следующей формуле:

, (66)
где s - расстояние между осями жил, мм;

- эквивалентная толщина брони, мм, определяют по формуле

,
где A - площадь поперечного сечения брони, мм2;

- средний диаметр брони, мм.
Коэффициент k определяют по формуле

, (67)
где

- относительная магнитная проницаемость стальной ленты, обычно принимают значение 300.
Для частот
f, отличных от 50 Гц, значение
k, полученное по вышеприведенной формуле, следует умножить на коэффициент

.
Потери, обусловленные вихревыми токами, определяют при частоте 50 Гц по следующей формуле:

. (68)
При любой другой частоте значение, полученное по этой формуле, следует умножить на коэффициент

.
Общий коэффициент потерь в броне выражается суммой гистерезисных потерь и потерь от вихревых токов:

. (69)
Примечание - Стальная броня или усиливающее покрытие, если они имеются, увеличивают потери в оболочках, обусловленные вихревыми токами (см.
2.3.9).
2.4.2.5 Кабели типа SL (с отдельно освинцованными жилами)
Если броня наложена на кабель типа SL с отдельно освинцованными жилами, экранирующий эффект токов в оболочке способствует снижению потерь в броне. Значения, полученные по формуле для

, приведенной в
2.4.2.3.1 или
2.4.2.3.2, должны быть умножены на коэффициент

, где

определен по
2.3.1.
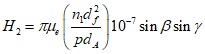
2.4.3 Потери в стальных трубах
Потери в стальных трубах определяются по двум эмпирическим формулам. Одна из них дает потери для кабелей, у которых жилы расположены треугольником, вплотную друг к другу, а другая - для кабелей, у которых жилы расположены в виде более открытой конфигурации (в лотках) на дне трубы. На практике для изолированных жил кабелей используется конфигурация, представляющая собой нечто среднее между этими двумя способами расположения. Следует определить потери для каждой конфигурации и взять среднее значение.
Примечание - Эти формулы были получены эмпирическим путем в США и в настоящее время применяются только для размеров стальных труб и типов стали, используемых в этой стране.
Для способа расположения треугольником вплотную друг к другу используют следующую формулу:

. (70)
Для способа открытой конфигурации используют следующую формулу:

, (71)
где s - расстояние между осями жил, мм;

- внутренний диаметр трубы, мм;
R - сопротивление жилы переменному току на единицу длины при максимальной рабочей температуре, Ом/м.
Приведенные формулы справедливы при частоте 60 Гц. Для частоты 50 Гц полученные значения следует умножить на 0,76.
Для кабелей в трубах, имеющих броню из плоских проволок на всех трех изолированных жилах, потери не зависят от наличия трубы. Потери в броне таких кабелей следует рассчитывать, как для кабелей с отдельно освинцованными жилами (см.
2.4.2.3.2), а потери в трубах в этом случае не учитываются.
Таблица 4
Коэффициент поглощения солнечного излучения
поверхностью кабеля
Материал | |
Битумно-джутовое покрытие | 0,8 |
Полихлоропрен | 0,8 |
Поливинилхлоридный пластикат (PVC) | 0,6 |
Полиэтилен (PE) | 0,4 |
Свинец | 0,6 |
(справочное)
НАЦИОНАЛЬНЫХ СТАНДАРТОВ РОССИЙСКОЙ ФЕДЕРАЦИИ
ССЫЛОЧНЫМ МЕЖДУНАРОДНЫМ СТАНДАРТАМ
Таблица A.1
Обозначение ссылочного международного стандарта | Обозначение и наименование соответствующего национального стандарта |
МЭК 60028:1925 | |
МЭК 60141 (все части) | |
МЭК 60228 | ГОСТ 22483-77 Жилы токопроводящие медные и алюминиевые для кабелей, проводов и шнуров. Основные параметры. Технические требования |
МЭК 60287-2-1:1994 | ГОСТ Р МЭК 60287-2-1-2009 Кабели электрические. Расчет номинальной токовой нагрузки. Часть 2-1. Тепловое сопротивление. Расчет теплового сопротивления |
МЭК 60502-1 | <*> |
МЭК 60502-2 | <*> |
МЭК 60889 | <*> |
<*> Соответствующий национальный стандарт отсутствует. До его утверждения рекомендуется использовать перевод на русский язык данного международного стандарта. Перевод данного международного стандарта находится в ОАО "ВНИИКП". |
| МЭК 60287-3-1:1995 | Электрические кабели. Расчет номинальной токовой нагрузки. Часть 3-1. Разделы, касающиеся условий эксплуатации. Стандартные условия эксплуатации и выбор типа кабеля |
(IEC 60287-3-1:1995) | (Electric cables - Calculation of the current rating - Part 3-1: Sections on operating conditions - Reference operating conditions and selection of cable type) |
| "Current ratings of cables buried in partially dried-out soil, Part 1", Electra N 104, стр. 11, январь 1966 |