Главная // Актуальные документы // ГОСТ Р (Государственный стандарт)СПРАВКА
Источник публикации
М.: Стандартинформ, 2009
Примечание к документу
Документ
введен в действие с 1 января 2010 года.
Название документа
"ГОСТ Р МЭК 60287-2-1-2009. Кабели электрические. Расчет номинальной токовой нагрузки. Часть 2-1. Тепловое сопротивление. Расчет теплового сопротивления"
(утв. Приказом Ростехрегулирования от 26.06.2009 N 218-ст)
"ГОСТ Р МЭК 60287-2-1-2009. Кабели электрические. Расчет номинальной токовой нагрузки. Часть 2-1. Тепловое сопротивление. Расчет теплового сопротивления"
(утв. Приказом Ростехрегулирования от 26.06.2009 N 218-ст)
Утвержден и введен в действие
от 26 июня 2009 г. N 218-ст
НАЦИОНАЛЬНЫЙ СТАНДАРТ РОССИЙСКОЙ ФЕДЕРАЦИИ
КАБЕЛИ ЭЛЕКТРИЧЕСКИЕ. РАСЧЕТ НОМИНАЛЬНОЙ ТОКОВОЙ НАГРУЗКИ
ЧАСТЬ 2-1
ТЕПЛОВОЕ СОПРОТИВЛЕНИЕ. РАСЧЕТ ТЕПЛОВОГО СОПРОТИВЛЕНИЯ
IEC 60287-2-1:1994
Electric cables - Calculation of the current
rating - Part 2-1: Thermal resistance -
Calculation of thermal resistance
(IDT)
ГОСТ Р МЭК 60287-2-1-2009
Дата введения
1 января 2010 года
Цели и принципы стандартизации в Российской Федерации установлены Федеральным
законом от 27 декабря 2002 г. N 184-ФЗ "О техническом регулировании", а правила применения национальных стандартов Российской Федерации -
ГОСТ Р 1.0-2004 "Стандартизация в Российской Федерации. Основные положения".
1. Подготовлен Открытым акционерным обществом "Всероссийский научно-исследовательский, проектно-конструкторский и технологический институт кабельной промышленности (ОАО "ВНИИКП") на основе собственного аутентичного перевода стандарта, указанного в
пункте 4.
2. Внесен Техническим комитетом по стандартизации ТК 46 "Кабельные изделия".
3. Утвержден и введен в действие
Приказом Федерального агентства по техническому регулированию и метрологии от 26 июня 2009 г. N 218-ст.
| | ИС МЕГАНОРМ: примечание. Изменения и поправки, выделенные двойной вертикальной линией в официальном тексте документа, в электронной версии документа отмечены знаком "&". | |
4. Настоящий стандарт идентичен международному стандарту МЭК 60287-2-1:1994 "Кабели электрические. Расчет номинальной токовой нагрузки. Часть 2-1. Тепловое сопротивление. Расчет теплового сопротивления" (IEC 60287-2-1:1994 "Electric cables - Calculation of the current rating - Part 2-1: Thermal resistance - Calculation of thermal resistance") с Изменениями N 1 (2001 г.), N 2 (2006 г.) и поправкой N 1 (2008 г.), которые выделены в тексте слева двойной вертикальной линией.
При применении настоящего стандарта рекомендуется использовать вместо ссылочных международных стандартов соответствующие им национальные стандарты Российской Федерации, сведения о которых приведены в дополнительном
Приложении А.
5. Введен впервые.
Информация об изменениях к настоящему стандарту публикуется в ежегодно издаваемом информационном указателе "Национальные стандарты", а текст изменений и поправок - в ежемесячно издаваемых информационных указателях "Национальные стандарты". В случае пересмотра (замены) или отмены настоящего стандарта соответствующее уведомление будет опубликовано в ежемесячно издаваемом информационном указателе "Национальные стандарты". Соответствующая информация, уведомление и тексты размещаются также в информационной системе общего пользования - на официальном сайте Федерального агентства по техническому регулированию и метрологии в сети Интернет.
Стандарт МЭК 60287 разделен на три части для того, чтобы при его пересмотре или внесении изменений с этим документом было удобно работать.
Каждая часть состоит из разделов, опубликованных в виде отдельных стандартов:
Часть 1 - Формулы для расчета номинальных токовых нагрузок и потерь энергии;
Часть 2 - Формулы для расчета теплового сопротивления;
Часть 3 - Разделы по условиям эксплуатации.
Настоящий стандарт содержит методы расчета внутреннего и внешнего тепловых сопротивлений кабелей, проложенных на воздухе, в каналах и земле.
Формулы, рекомендуемые в стандартах серии МЭК 60287, содержат величины, изменяющиеся в зависимости от конструкции кабеля и применяемых материалов. Указанные в таблицах данных стандартов значения соответствуют установленным международным (например, электрические удельные сопротивления и температурные коэффициенты сопротивления) либо общепринятым в практике значениям (например, тепловые удельные сопротивления и диэлектрические постоянные материалов). Если указанные в таблицах значения относятся к общепринятым в практике, то некоторые из них не являются характеристикой качества новых кабелей, а относятся к кабелям после длительного периода эксплуатации. Для того чтобы можно было получить однородные и сравнимые результаты, необходимо рассчитывать номинальные токовые нагрузки по значениям, указанным в стандартах данной серии. Если точно известно, что конкретным материалам и конструкциям соответствуют другие значения, то можно использовать эти значения, при условии, что они, а также соответствующие номинальные токовые нагрузки, будут указаны.
Значения, относящиеся к условиям эксплуатации кабелей, могут значительно отличаться друг от друга в разных странах. Например, что касается температуры окружающей среды и удельного теплового сопротивления почвы, их значения в разных странах определяют, исходя из различных соображений. Поверхностные сравнения значений, применяемых в разных странах, могут привести к ошибочным заключениям, если они не основаны на общем критерии (например, могут быть различными предполагаемые сроки службы кабелей, в некоторых странах конструкция основана на максимальных значениях теплового удельного сопротивления почвы, в то время как в других странах используют средние значения). В частности, что касается теплового удельного сопротивления почвы, известно, что эта величина очень зависит от содержания влаги в почве и может значительно изменяться с течением времени в зависимости от типа почвы, топографических и метеорологических условий, а также нагрузки кабеля.
Для выбора значений различных параметров необходимо использовать следующую процедуру.
Числовые значения должны основываться, главным образом, на результатах соответствующих измерений. Часто оказывается, что эти результаты уже включены в национальные технические требования в качестве рекомендуемых значений, так что расчет может быть основан на значениях, используемых в данной стране (обзор таких значений приводится в
[1]).
Перечень информации, необходимой для выбора соответствующего типа кабеля, приведен в
[1].
Настоящий стандарт рассматривает условия установившегося режима работы кабелей при любом переменном напряжении и постоянном напряжении до 5 кВ, проложенных непосредственно в земле, в каналах, желобах или стальных трубах, с частичным осушением почвы или без, а также кабелей, проложенных на воздухе. Термин "установившийся режим" означает ток постоянной величины при непрерывном режиме работы (100%-ный коэффициент нагрузки), достаточный для того, чтобы асимптотически создать максимальную температуру жилы при постоянных условиях окружающей среды.
Настоящий стандарт содержит формулы для расчета теплового сопротивления.
Формулы, приведенные в настоящем стандарте, являются достаточно точными и в то же время позволяют варьировать некоторые важные параметры. Эти параметры можно разделить на группы:
- параметры, относящиеся к конструкции кабеля (например, удельное тепловое сопротивление изоляционного материала), для которых были выбраны характерные значения, основанные на опубликованных работах;
- параметры, относящиеся к условиям окружающей среды, которые могут быть очень разнообразны, выбор этих параметров зависит от страны, в которой используются или должны использоваться кабели;
- параметры, которые принимают по соглашению между изготовителем и потребителем, и которые касаются запаса надежности работы кабеля (например, максимальная температура жилы).
В настоящем стандарте применены следующие обозначения:

- наружный диаметр брони, мм;

- внутренний диаметр канала, мм;

- наружный диаметр кабеля или эквивалентный диаметр группы изолированных жил в кабеле, проложенном в трубе, мм;

- наружный диаметр кабеля, используемый в
2.2.1, м;

- наружный диаметр канала, мм;

- наружный диаметр металлической оболочки, мм;

- диаметр воображаемого соосного цилиндра, касающегося выступов гофрированной оболочки, мм;

- диаметр воображаемого соосного цилиндра, касающегося наружной поверхности впадин гофрированной оболочки, мм,

;

- диаметр воображаемого цилиндра, касающегося внутренней поверхности выступов гофрированной оболочки, мм,

;

- диаметр воображаемого цилиндра, касающегося внутренней поверхности впадин гофрированной оболочки, мм;
E - константа, используемая в
2.2.1.1;

- коэффициент для кабелей с поясной изоляцией, определенный в
2.1.1.2.2;

- коэффициент для кабелей с поясной изоляцией, определенный в
2.1.1.2.5;
G - геометрический фактор для кабелей с поясной изоляцией;

- геометрический фактор для кабелей с отдельно освинцованными изолированными жилами (кабели типа SL) и для кабелей с отдельными алюминиевыми оболочками по каждой изолированной жиле (кабели типа SA);
H - интенсивность солнечного излучения (см.
2.2.1.2), Вт/м2;
K - коэффициент экранирования для теплового сопротивления экранированных кабелей;

- коэффициент, используемый в
2.2.1;
L - глубина прокладки до оси кабеля или центра треугольника (при расположении кабелей треугольником), мм;

- расстояние от поверхности земли до центра группы каналов, мм;
N - число кабелей под нагрузкой в группе каналов (см.
2.2.7.3);

- тепловое сопротивление на фазу между жилой и оболочкой, К x м/Вт;

- тепловое сопротивление между оболочкой и броней, К x м/Вт;

- тепловое сопротивление наружного защитного покрытия, К x м/Вт;

- тепловое сопротивление окружающей среды (отношение превышения температуры поверхности кабеля над температурой окружающей среды к потерям на единицу длины), К x м/Вт;

- тепловое сопротивление окружающей среды с поправкой на солнечное излучение, К x м/Вт;

- тепловое сопротивление между кабелем и каналом (трубой), К x м/Вт;

- тепловое сопротивление канала (трубы), К x м/Вт;

- тепловое сопротивление среды, окружающей канал (трубу), К x м/Вт;

- константы, используемые в
2.2.7.1;

- диэлектрические потери на единицу длины на фазу, Вт/м;

- потери, рассеиваемые в кабеле k, Вт/м;

- общая энергия, рассеиваемая в желобе, на единицу длины, Вт/м;
Y - константа, используемая в
2.2.7.1;
Z - константа, используемая в
2.2.1.1;

- наружный диаметр поясной изоляции, мм;

- наружный диаметр жилы, мм;

- минимальный диаметр овальной жилы, мм;

- максимальный диаметр овальной жилы, мм;

- максимальный диаметр экрана или оболочки при овальной жиле, мм;

- минимальный диаметр экрана или оболочки при овальной жиле, мм;

- диаметр эквивалентной круглой жилы с такой же площадью поперечного сечения и степенью уплотнения, что и фасонная жила, мм;
g - константа, используемая в
2.2.1.1;
h - коэффициент теплового рассеяния,

;
ln - натуральный логарифм (логарифм по основанию e);
n - число жил в кабеле;
p - часть периметра кабельного желоба, эффективного в части рассеяния тепла (см.
2.2.6.2), м;

- радиус окружности, описанной вокруг двух или трех фасонных жил, мм;

- расстояние между осями соседних кабелей, расположенных в группе из трех не соприкасающихся друг с другом кабелей, проложенных горизонтально, мм;
t - толщина изоляции между жилами, мм;

- толщина изоляции между жилами и оболочкой, мм;

- толщина подушки, мм;

- толщина защитного покрытия, мм;

- толщина изоляции жилы, включая экранирующие ленты плюс половина толщины любых неметаллических лент поверх скрученных жил, мм;

- толщина оболочки, мм;
x, y - стороны группы каналов (y > x) (см.
2.2.7.3), мм;

- средняя температура среды между кабелем и каналом (трубой), °C;

- допустимое превышение температуры жилы над температурой окружающей среды, К;

- коэффициент, характеризующий диэлектрические потери при определении

для кабелей, проложенных на воздухе, К;

- коэффициент, характеризующий диэлектрические потери и прямое солнечное излучение при определении

для кабелей, проложенных на воздухе, с использованием
рисунка 8, К;

- разность между средней температурой воздуха в канале и температурой окружающей среды, К;

- разность между температурой поверхности кабеля на воздухе и температурой окружающей среды, К;

- повышение температуры воздуха в кабельном желобе, К;

,

- соответственно, отношение общих потерь в металлических оболочках и отношение общих потерь в броне к общим потерям в жилах (или потерь в одной оболочке или броне к потерям в одной жиле);
&

- удельное тепловое сопротивление изоляции, К x м/Вт;

- удельное тепловое сопротивление материала заполнителя, К x м/Вт;&

- удельное тепловое сопротивление земли, окружающей группу каналов, К x м/Вт;

- удельное тепловое сопротивление бетона, используемого для группы каналов, К x м/Вт;

- удельное тепловое сопротивление металлических экранов многожильных кабелей, К x м/Вт;

- удельное тепловое сопротивление материала, К x м/Вт;

- коэффициент поглощения солнечного излучения поверхностью кабеля.
2. Расчет тепловых сопротивлений
2.1. Тепловое сопротивление элементов, составляющих кабель,

,

и

В данном разделе приведены формулы для расчета тепловых сопротивлений на единицу длины различных элементов кабеля

,

и

(см. МЭК 60287-1-1, подраздел 1.4). Удельные тепловые сопротивления материалов, используемых в качестве изоляции и защитных покрытий, приведены в таблице 1.
Таблица 1
Удельное тепловое сопротивление материалов
┌───────────────────────────────────────────────────────┬─────────────────┐
│ Материал │Удельное тепловое│
│ │ сопротивление │
│ │ ро , К x м/Вт │
│ │ T │
├───────────────────────────────────────────────────────┼─────────────────┤
│Изоляционные материалы
<*> │ │
│ │ │
│Бумажная изоляция в кабелях с пропитанной изоляцией │ 6,0 │
│Бумажная изоляция в маслонаполненных кабелях │ 5,0 │
│Бумажная изоляция в кабелях с внешним давлением газа │ 5,5 │
│Бумажная изоляция в кабелях с внутренним давлением │ │
│газа: │ │
│ a) с предварительной пропиткой; │ 5,5 │
│ b) с вязкой пропиткой │ 6,0 │
│Полиэтилен (PE) │ 3,5 │
│Сшитый полиэтилен (XLPE) │ 3,5 │
│&Полипропилен (PPL)& │ 5,5 │
│Поливинилхлоридный пластикат (PVC): │ │
│ для кабелей на напряжение до 3 кВ включ.; │ 5,0 │
│ для кабелей на напряжение св. 3 кВ │ 6,0 │
│Этиленпропиленовая резина (EPR): │ │
│ для кабелей на напряжение до 3 кВ включ.; │ 3,5 │
│ для кабелей на напряжение св. 3 кВ │ 5,0 │
│Бутилкаучук │ 5,0 │
│Резина │ 5,0 │
│ │ │
│Защитные покрытия │ │
│ │ │
│Компаундированный джут и волокнистые материалы │ 6,0 │
│Резиновое покрытие, наложенное послойно │ 6,0 │
│Полихлоропрен │ 5,5 │
│ПВХ: │ │
│ для кабелей на напряжение до 35 кВ включ.; │ 5,0 │
│ для кабелей на напряжение св. 35 кВ │ 6,0 │
│Покрытие из поливинилхлоридного пластиката и битума │ 6,0 │
│по гофрированной алюминиевой оболочке │ │
│Полиэтилен (PE) │ 3,5 │
│ │ │
│Материалы, используемые в конструкции каналов │ │
│ │ │
│Бетон │ 1,0 │
│Волокна │ 4,8 │
│Асбест │ 2,0 │
│Керамика │ 1,2 │
│Поливинилхлоридный пластикат (PVC) │ 6,0 │
│Полиэтилен (PE) │ 3,5 │
├───────────────────────────────────────────────────────┴─────────────────┤
│ <*> Для расчета номинальных токовых нагрузок принято допущение, что│
│экранирующие электропроводящие материалы имеют те же тепловые│
│характеристики, что и примыкающие к ним диэлектрические материалы. В тех│
│случаях, где в качестве защитных покрытий используются эластомеры или│
│пластмассы, их удельные тепловые сопротивления следует считать│
│идентичными удельным тепловым сопротивлениям соответствующих изоляционных│
│материалов, приведенных в настоящей таблице. │
└─────────────────────────────────────────────────────────────────────────┘
При выполнении расчетов тепловых сопротивлений принято, что экран из металлических лент является составной частью жилы или оболочки, а электропроводящие слои (включая ленты из электропроводящей бумаги) считаются составной частью изоляции. В этой связи следует изменить определенные размеры элементов кабеля.
2.1.1. Тепловое сопротивление между одной жилой и оболочкой

2.1.1.1. Одножильные кабели
Тепловое сопротивление между одной жилой и оболочкой

определяют по формуле

, (1)
где

- удельное тепловое сопротивление изоляции, К x м/Вт;

- диаметр жилы, мм;

- толщина изоляции между жилой и оболочкой, мм.
Примечание. Для гофрированных оболочек

определяют на основе среднего внутреннего диаметра оболочки:

.
2.1.1.2. Кабели с поясной изоляцией
Тепловое сопротивление

между одной жилой и оболочкой определяют по формуле

, (2)
где G - геометрический фактор.
Примечание. Для гофрированных оболочек

определяют на основе среднего внутреннего диаметра оболочки:

.
2.1.1.2.1. Двухжильные кабели с круглыми жилами и поясной изоляцией
Геометрический фактор G приведен на
рисунке 2.
2.1.1.2.2. Двухжильные кабели с сегментными жилами и поясной изоляцией
Геометрический фактор G определяют по формуле

, (3)
где коэффициент

;

- наружный диаметр поясной изоляции, мм;

- радиус окружности, описанной вокруг жил, мм;

- диаметр круглой жилы с такой же площадью поперечного сечения и степенью уплотнения, что и фасонная жила, мм;
t - толщина изоляции между жилами, мм.
2.1.1.2.3. Трехжильные кабели с круглыми жилами и поясной изоляцией
&Для трехжильных кабелей с круглыми жилами и поясной изоляцией

определяют по формуле

, (4)
где

- удельное тепловое сопротивление изоляции, К x м/Вт;

- удельное тепловое сопротивление материала заполнителя, К x м/Вт.
Геометрический фактор G приведен на
рисунке 3.
Примечание. Для кабелей с бумажной пропитанной изоляцией

, следовательно, второй член в правой части вышеприведенного уравнения можно не учитывать.
Для кабелей с экструдированной изоляцией удельное тепловое сопротивление материала заполнителя может находиться в пределах от 6 до 13 К x м/Вт, в зависимости от материала заполнителя и его уплотнения. Для волокнистого полипропиленового заполнителя рекомендуется значение 10 К x м/Вт.
Вышеприведенное уравнение применяется для кабелей с экструдированной изоляцией, в которых каждая изолированная жила имеет отдельный проволочный экран, и для кабелей с общим металлическим экраном по трем изолированным жилам.&
2.1.1.2.4. Трехжильные кабели с овальными жилами и поясной изоляцией
Данный кабель рассматривается как кабель с круглыми жилами эквивалентным диаметром

, мм,

, (5)
где

- максимальный диаметр овальной жилы, мм;

- минимальный диаметр овальной жилы, мм.
2.1.1.2.5. Трехжильные кабели с секторными жилами и поясной изоляцией
Геометрический фактор G для данных кабелей зависит от формы секторов, которая может быть различной в кабелях разных изготовителей. Фактор G определяют по формуле

, (6)
где коэффициент

;

- наружный диаметр поясной изоляции, мм;

- радиус окружности, описанной вокруг жил, мм;

- диаметр круглой жилы с такой же площадью поперечного сечения и степенью уплотнения, что и фасонная жила, мм;
t - толщина изоляции между жилами, мм.
2.1.1.3. Трехжильные кабели, экранированные металлической лентой
&2.1.1.3.1. Экранированные кабели с круглыми жилами
Кабели с бумажной изоляцией данного типа можно рассматривать как кабели с поясной изоляцией, для которых

.&
Для того чтобы учесть теплопроводность металлического экрана, результат следует умножить на коэффициент K, называемый коэффициентом экранирования, значения которого приведены на
рисунке 4 для различных значений

и различных характеристик кабеля. Таким образом:

. (7)
&Трехжильные кабели с экструдированной изоляцией и отдельными экранами из медных лент по каждой изолированной жиле следует рассматривать как кабели типа SL (см.
2.1.1.5,
2.1.2.2).
Для трехжильных кабелей с экструдированной изоляцией и отдельными экранами из медных проволок по каждой изолированной жиле или общим металлическим экраном по трем изолированным жилам см.
2.1.1.2.3.&
2.1.1.3.2. Экранированные кабели с овальными жилами
Данный кабель рассматривают как эквивалентный кабель с круглыми жилами, с наружным диаметром жилы

.
2.1.1.3.3. Экранированные кабели с секторными жилами

рассчитывают так же, как для кабелей с секторными жилами и поясной изоляцией, при этом

равен диаметру окружности, описанной поверх скрученных жил. Результат умножают на коэффициент экранирования, приведенный на
рисунке 5.
2.1.1.4. Маслонаполненные кабели
2.1.1.4.1. Трехжильные кабели с круглыми жилами, с экранами из металлизированных бумажных лент по изолированным жилам, с маслопроводящими каналами между жилами
Тепловое сопротивление между одной жилой и оболочкой

определяют по формуле

, (8)
где

- диаметр жилы, мм;

- толщина изоляции жилы, включая толщину слоя сажи и металлизированных бумажных лент плюс половина толщины любых неметаллических лент поверх трех скрученных жил, мм;

- удельное тепловое сопротивление изоляции, К x м/Вт.
Для формулы (8) предположено, что металлические каналы и масло, находящееся в них, имеют очень высокую по сравнению с изоляцией теплопроводность, и поэтому формулу применяют независимо от металла, из которого изготовлен канал, и от его толщины.
2.1.1.4.2. Трехжильные кабели с круглыми жилами, с экранами из металлических лент по изолированным жилам, с маслопроводящими каналами между жилами
Тепловое сопротивление между одной жилой и оболочкой

определяют по формуле

, (9)
где

- толщина изоляции жилы, включая толщину металлических экранирующих лент и половину толщины любых неметаллических лент, поверх скрученных жил, мм.
Примечание. Данную формулу применяют независимо от используемых металлов ленточных экранов и маслопроводящих каналов.
2.1.1.4.3. Трехжильные кабели с круглыми жилами с экранами из металлических лент по изолированным жилам, без заполнителей и маслопроводящих каналов, с обмоткой плетеной медной лентой по скрученным изолированным жилам и в алюминиевой гофрированной оболочке
Тепловое сопротивление

между одной токопроводящей жилой и оболочкой определяют по формуле

, (10)
где

- средний номинальный зазор между металлическими лентами экрана по изолированной жиле и средним внутренним диаметром оболочки, мм;

; (11)

- диаметр экрана из металлических лент, наложенных на изолированную жилу, мм;

- толщина металлической ленты экрана по изолированной жиле, мм.
Примечание.
Формулу (10) применяют независимо от используемого металла ленточных экранов.
2.1.1.5. Кабели типов SL и SA
Тепловое сопротивление

определяют так же, как для одножильных кабелей.
2.1.2. Тепловое сопротивление между оболочкой и броней

2.1.2.1. Одножильные, двухжильные и трехжильные кабели, имеющие общую металлическую оболочку
Тепловое сопротивление между оболочкой и броней

определяют по формуле

, (12)
где

- толщина подушки, мм;

- наружный диаметр оболочки, мм.
2.1.2.2. Кабели типов SL и SA
Тепловое сопротивление заполнителя и подушки под броней определяют по формуле

, (13)
где

- геометрический фактор, приведенный на
рисунке 6.
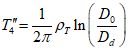
2.1.3. Тепловое сопротивление наружного защитного покрытия

Тепловое сопротивление наружных защитных покрытий

, наложенных концентрическими слоями, определяют по формуле

, (14)
где

- толщина защитного покрытия, мм;

- наружный диаметр брони, мм.
Примечание. Для небронированных кабелей за

принимают наружный диаметр элемента, располагаемого обычно непосредственно под броней, т.е. оболочки, экрана или подушки.
Для гофрированных оболочек

определяют по формуле

. (15)
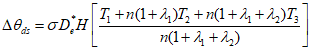
2.1.4. Кабели в трубопроводах
Для трехжильных кабелей данного типа имеет место следующее:
a) тепловое сопротивление

изоляции каждой изолированной жилы между жилой и экраном.

определяется методом, приведенным в
2.1.1 для одножильных кабелей;
b) тепловое сопротивление

, состоящее из двух компонентов:
1) теплового сопротивления любого наружного покрытия по экрану или оболочке каждой изолированной жилы. Значение, подставляемое для данного компонента

в формулу номинальной токовой нагрузки по МЭК 60287-1-1 (подраздел 1.4), является значением для кабеля в целом, т.е. данное значение для трехжильного кабеля составит 1/3 от значения данной величины для одной изолированной жилы.
Значение теплового сопротивления наружного покрытия для одной изолированной жилы определяют по методу, приведенному в
2.1.2 для подушки одножильных кабелей. При этом, при овальных жилах за диаметр оболочки круглой жилы принимают среднегеометрическое максимального и минимального диаметров

и

;
2) теплового сопротивления газа или масла, находящихся между поверхностями изолированных жил и трубой. Данное сопротивление определяют так же, как компонент теплового сопротивления

, представляющий тепловое сопротивление воздушного промежутка между кабелем и внутренней поверхностью трубы, как указано в
2.2.7.1.
Рассчитанное значение будет относиться к кабелю в целом, и его следует прибавить к значению, вычисленному в соответствии с
перечислением 1), для последующей подстановки полученной суммы в качестве значения

в формулу номинальной токовой нагрузки по МЭК 60287-1-1 (подраздел 1.4);
c) тепловое сопротивление

наружного покрытия трубы. Расчет

приведен в
2.1.3. Тепловым сопротивлением самой металлической трубы можно пренебречь.
2.2. Тепловое сопротивление окружающей среды

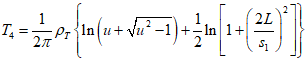
2.2.1. Кабели, проложенные на воздухе
2.2.1.1. Кабели, защищенные от прямого солнечного излучения
Тепловое сопротивление

среды, окружающей кабель, проложенный на воздухе и защищенный от прямого солнечного излучения, определяют по формуле

; (16)
где

, (17)

- наружный диаметр кабеля, м; для гофрированных оболочек

, м.
h - коэффициент теплового рассеяния, полученный по вышеприведенной формуле, где используются константы Z, E и g из таблицы 2, или по кривым, приведенным на
рисунках 7a,
7b и
7c,

.
Таблица 2
Значения констант Z, E и g для черных
поверхностей кабелей, проложенных на воздухе
2 a) Кабели, проложенные на воздухе, уложенные на отдельные поперечные скобы, опоры, рейки,

, не более 0,15 м
Способ прокладки | Z | E | g | Конфигурация |
| 0,21 | 3,94 | 0,60 | |
Два соприкасающихся кабеля, проложенные в горизонтальной плоскости | 0,29 | 2,35 | 0,50 | |
Три кабеля, расположенные треугольником | 0,96 | 1,25 | 0,20 | |
Три соприкасающихся кабеля, проложенные в горизонтальной плоскости | 0,62 | 1,95 | 0,25 | |
Два соприкасающихся кабеля, проложенные в вертикальной плоскости | 1,42 | 0,86 | 0,25 | |
Два несоприкасающихся кабеля, проложенные в вертикальной плоскости с зазором  | 0,75 | 2,80 | 0,30 | |
Три соприкасающихся кабеля, проложенные в одной вертикальной плоскости | 1,61 | 0,42 | 0,20 | |
Три несоприкасающихся кабеля, проложенные в одной вертикальной плоскости с зазором  | 1,31 | 2,00 | 0,20 | |
<1> Значения для одиночного кабеля также применимы к каждому из кабелей группы, если они проложены горизонтально с зазором между ними не менее 0,75 от наружного диаметра кабеля. |
2 b) Кабели, прикрепленные непосредственно к вертикальной стене (

не более 0,08 м)
Одиночный кабель | 1,69 | 0,63 | 0,25 | |
Три кабеля, расположенные треугольником | 0,94 | 0,79 | 0,20 | |
Кабели с наружным защитным покрытием и кабели, имеющие неметаллическую поверхность, следует отнести к кабелям с черной поверхностью. Кабели без наружного защитного покрытия, с незащищенной свинцовой оболочкой или бронированные должны иметь значение h, равное 88% значения, соответствующего кабелям с черной поверхностью;

- превышение температуры поверхности кабеля над температурой окружающей среды (см. метод расчета), К.
Для кабелей в незаполненных желобах см.
2.2.6.
Расчет

методом последовательных приближений приведен ниже. Альтернативный графический метод приведен в
3.2.
Определяют коэффициент

:

. (18)
Затем проводят расчет по формуле

, (19)
устанавливая начальное значение

и повторяя вычисления до достижения

. При этом:

, (20)

- допустимое превышение температуры жилы над температурой окружающей среды.
Коэффициент

, имеющий размерность разности температур, учитывает диэлектрические потери. Если диэлектрические потери не принимают во внимание, то

.
2.2.1.2. Кабели, подвергающиеся прямому воздействию солнечного излучения
2.2.1.2.1. Тепловое сопротивление окружающей среды

В случае, если кабели непосредственно подвергаются воздействию солнечной радиации,

рассчитывают по методу
2.2.1.1, за исключением того, что расчет

методом последовательных приближений проводят по формуле

. (21)
При этом:

, (22)
где

- коэффициент поглощения солнечного излучения поверхностью кабеля (см. таблицу 3);
H - интенсивность солнечного излучения, которую принимают равной

для большинства широт (рекомендуется, по возможности, установить местное значение);

- наружный диаметр кабеля, м; для гофрированных оболочек

, м.
Таблица 3
Коэффициент поглощения солнечной
радиации поверхностью кабеля
Материал | |
Битумно-джутовое покрытие | 0,8 |
Полихлоропрен | 0,8 |
Поливинилхлоридный пластикат (PVC) | 0,6 |
Полиэтилен (PE) | 0,4 |
Свинец | 0,6 |
Коэффициент

, имеющий размерность разности температур, учитывает прямое солнечное излучение.
Альтернативный графический метод приведен на
рисунке 8.
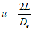
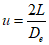
2.2.2. Одиночные изолированные кабели, проложенные в земле

, (23)
где

- удельное тепловое сопротивление земли, К x м/Вт;

;
L - расстояние от поверхности земли до оси кабеля, мм;

- наружный диаметр кабеля, мм; для кабелей с гофрированной оболочкой

.
Если значение u превышает 10, достаточную аппроксимацию (с точностью выше 0,001) дает следующая формула

. (24)
2.2.3. Группы кабелей, проложенных в земле (не соприкасающихся)
Для указанного способа прокладки расчет проводят, используя принцип наложения, исходящий из допущения, что каждый кабель действует как линейный источник и не искажает свое тепловое поле из-за присутствия других кабелей.
Эти случаи прокладки подразделяются на два основных вида:
- первый и наиболее общий случай - это группа неодинаково нагруженных кабелей разной конструкции. Для этого случая могут быть даны только общие указания по методу расчета;
- второй, частный случай - это группа одинаково нагруженных идентичных кабелей, для этого случая расчеты могут быть проведены достаточно просто.
2.2.3.1. Неодинаково нагруженные кабели
Метод, предлагаемый для группы неодинаково нагруженных и различных по конструкции кабелей, заключается в расчете превышения температуры на поверхности одного кабеля, обусловленного присутствием других кабелей, и последующего вычитания этого превышения из величины

, используемой в формуле номинальной токовой нагрузки по МЭК 60287-1-1 (подраздел 1.4). Предварительно необходимо приблизительно определить мощность, рассеиваемую на единице длины каждого кабеля, эта величина впоследствии может быть скорректирована путем расчетов, если в этом возникает необходимость.
Таким образом, превышение температуры поверхности p-го кабеля

, номинальная токовая нагрузка которого подлежит определению, над температурой окружающей среды, обусловленное рассеянием тепла остальными (q - 1) кабелями в группе, определяется по формуле

(25)
(член

при суммировании исключается),
где

- превышение температуры на поверхности кабеля, обусловленное рассеянием мощности

, Вт на единицу длины, в кабеле k,

. (26)
Расстояния

и

измеряют от оси p-го кабеля до оси кабеля k и до оси зеркального изображения кабеля k по отношению к границе земля-воздух соответственно (см.
рисунок 1).
Затем величину

в формуле номинальной токовой нагрузки по МЭК 60287-1-1 (подраздел 1.4) уменьшают на

и определяют номинальную токовую нагрузку p-го кабеля с использованием величины

, соответствующей изолированному кабелю в положении p.
Этот расчет проводится для всех кабелей данной группы и выполняется повторно в тех случаях, когда необходимо исключить возможность перегрева какого-либо кабеля.
2.2.3.2. Одинаково нагруженные идентичные кабели
При групповой прокладке второго вида номинальная токовая нагрузка нескольких одинаково нагруженных идентичных кабелей определяется по номинальной токовой нагрузке наиболее нагретого из них. Обычно расположение кабелей позволяет определить, какой кабель будет больше нагрет, и рассчитать токовую нагрузку для этого кабеля. В затруднительных случаях, в дополнение к этому расчету, может понадобиться расчет токовой нагрузки какого-либо другого кабеля. Метод заключается в расчете уточненного значения

, учитывающего взаимный нагрев группы кабелей, и оставления без изменения значения

, используемого в формуле номинальной токовой нагрузки по МЭК 60287-1-1 (подраздел 1.4).
Уточненное значение внешнего теплового сопротивления

p-го кабеля определяют по формуле

(27)
(в квадратных скобках (q - 1) членов, член

исключается).
Расстояния

- те же, что и приведенные на
рисунке 1 для первого метода.
Вместо выражения

может быть применено упрощенное выражение 2u (см.
2.2.2).
Для простых конфигураций кабелей эта формула может быть значительно упрощена. Нижеприведенные примеры упрощения были получены с использованием принципа наложения.
2.2.3.2.1. Два кабеля с одинаковыми потерями, расположенные в горизонтальной плоскости, на расстоянии друг от друга

, (28)
где

;
L - расстояние от поверхности земли до оси кабеля, мм;

- наружный диаметр одного кабеля, мм;

- межосевое расстояние между кабелями, мм.
Если значение u превышает 10, член

может быть заменен на 2u.
2.2.3.2.2. Три кабеля с приблизительно равными потерями, расположенные в горизонтальной плоскости, равноудаленные друг от друга

. (29)
Величина

относится к центральному кабелю и непосредственно используется в формуле МЭК 60287-1-1 (пункт 1.4.1).
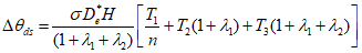
2.2.3.2.3. Три кабеля с разными потерями в оболочке, расположенные в горизонтальной плоскости, равноудаленные друг от друга
Когда потери в оболочках одножильных кабелей, проложенных в горизонтальной плоскости, существенны, а оболочки проложены без транспозиции и/или соединены во всех точках, то их неравенство влияет на внешнее тепловое сопротивление наиболее нагретого кабеля. В таком случае величина

, которую подставляют в числитель формулы номинальной токовой нагрузки по МЭК 60287-1-1 (пункт 1.4.1), будет такой, как указано в
2.2.3.2.2, а в знаменателе используется измененное значение

, определяемое по формуле

, (30)
где

;
L - расстояние от поверхности земли до оси кабеля, мм;

- наружный диаметр одного кабеля, мм;

- межосевое расстояние между соседними кабелями, мм;

- коэффициент потерь в оболочке для одного внешнего кабеля;

- коэффициент потерь в оболочке для другого внешнего кабеля;

- коэффициент потерь в оболочке для среднего кабеля.
Если значение u превышает 10, член

может быть заменен на 2u.
Подразумевается, что центральный кабель является наиболее нагретым. Величина

, которая используется в формуле номинальной токовой нагрузки по МЭК 60287-1-1 (пункт 1.4.1), относится к центральному кабелю.
2.2.4. Группы кабелей, проложенных в земле и одинаково нагруженных (соприкасающихся)
&2.2.4.1. Два одножильных кабеля, расположенных в одной плоскости
2.2.4.1.1. Кабели с металлической оболочкой
Примечание. Кабели с металлической оболочкой относят к кабелям, для которых можно сделать допущение, что у них имеется металлический слой, обеспечивающий изотерму на или непосредственно под наружной оболочкой.

при u >= 5. (31)
2.2.4.1.2. Кабели с неметаллической оболочкой
Примечание. Кабели с неметаллической оболочкой относят к кабелям, в которых металлический слой недостаточен для обеспечения изотермы на или непосредственно под наружной оболочкой.

при u >= 5. (32)
Формула (32) используется для кабелей с неметаллической оболочкой, имеющих экран из медных проволок, и для внешнего теплового сопротивления неметаллических соприкасающихся каналов (см.
2.2.7.3).
2.2.4.2. Три одножильных кабеля, расположенных в одной плоскости
2.2.4.2.1. Кабели с металлическими оболочками
Примечание. Кабели с металлической оболочкой относят к кабелям, для которых можно сделать допущение, что у них имеется металлический слой, обеспечивающий изотерму на или непосредственно под наружной оболочкой.

при u >= 5. (33)
2.2.4.2.2. Кабели с неметаллическими оболочками
Примечание. Кабели с неметаллической оболочкой относят к кабелям, в которых металлический слой недостаточен для обеспечения изотермы на или непосредственно под наружной оболочкой.

при u >= 5. (34)
Формула (34) используется для кабелей с неметаллической оболочкой, имеющих экран из медных проволок, и для внешнего теплового сопротивления неметаллических соприкасающихся каналов (см.
2.2.7.3).&
2.2.4.3. Трехжильные кабели, расположенные треугольником
При данном расположении кабелей L - расстояние до центра треугольника, образованного группой кабелей, а

- диаметр одного кабеля;

- внешнее тепловое сопротивление любого из кабелей независимо от того, где располагается вершина треугольника - вверху или внизу группы.
Для кабелей с гофрированными оболочками

.
2.2.4.3.1. Кабели с металлическими оболочками

. (35)
В данном случае тепловое сопротивление наружного покрытия по оболочке или броне

, определяемое по
2.1.3, следует умножить на коэффициент 1,6.
2.2.4.3.2. Кабели с несплошным металлическим покрытием (когда спирально наложенная броня или экранирующие проволоки покрывают от 20% до 50% поверхности кабеля)
Формула (36) базируется на кабеле с экраном из медных проволок диаметром 0,7 мм, с большим шагом наложения (в 15 раз превышающим диаметр под проволочным экраном), с общей площадью поперечного сечения в диапазоне 15 - 35 мм2.

. (36)
В данном случае тепловое сопротивление изоляции

, определяемое по методу, приведенному в
2.1.1.1, и тепловое сопротивление наружного защитного покрытия

, определяемое по методу, приведенному в
2.1.3, следует умножить на следующие коэффициенты:
&- для

для кабелей до 35 кВ на 1,07; для кабелей от 35 до 150 кВ на 1,16;&
- для

на 1,6.
2.2.4.3.3. Кабели с неметаллическими оболочками

. (37)
&Формула (37) используется для кабелей с неметаллической оболочкой, имеющих экран из медных проволок, разделенных расстоянием, и для внешнего теплового сопротивления соприкасающихся каналов (см.
2.2.7.3).&
2.2.5. Трубопроводы, проложенные в земле
Внешнее тепловое сопротивление трубопроводов, проложенных в земле, используемых для кабелей в трубах, рассчитывается так же, как и для обычных кабелей по
формуле (23). В этом случае глубина прокладки кабеля L - расстояние до центра трубы, а

- наружный диаметр трубы, включая антикоррозионное покрытие.
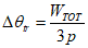
2.2.6. Кабели в закрытых желобах
2.2.6.1. Закрытые желоба, заполненные песком
При прокладке кабелей в желобах, заполненных песком, которые могут быть полностью покрыты землей или могут быть закрыты крышкой вровень с поверхностью земли, есть вероятность того, что песок высохнет и будет оставаться сухим в течение продолжительного времени. В этом случае внешнее тепловое сопротивление кабеля может стать очень высоким, а его температура может значительно повыситься. При расчете номинальной токовой нагрузки кабеля рекомендуется за значение теплового сопротивления песка принимать 2,5 К x м/Вт. Если используется другой заполнитель, то должно быть известно значение его теплового сопротивления в сухом состоянии.
2.2.6.2. Незаполненные желоба любого типа с крышкой, располагающейся вровень с поверхностью земли и находящейся в непосредственном контакте с воздухом
По формуле (38) определяют превышение температуры воздуха в желобе над температурой окружающей среды:

, (38)
где

- общая мощность рассеяния в желобе на единицу длины, Вт/м;
p - та часть периметра желоба, через которую интенсивно осуществляется рассеяние тепла, м.
Любая часть периметра, подверженная воздействию солнечного излучения, не входит в величину p. Таким образом, номинальная токовая нагрузка кабеля, проложенного в желобе, рассчитывается так же, как для кабеля, проложенного на воздухе (см.
2.2.1), за исключением того, что температура окружающей среды должна быть увеличена на

.
2.2.7. Кабели в каналах или трубах
Внешнее тепловое сопротивление кабеля, проложенного в канале, складывается из трех компонентов:
a) теплового сопротивления воздушного промежутка между поверхностью кабеля и внутренней поверхностью канала

;
b) теплового сопротивления самого канала

. Тепловое сопротивление металлической трубы не учитывается;
c) внешнего теплового сопротивления канала

.
Значение

, которое должно быть подставлено в формулу номинальной токовой нагрузки (см. МЭК 60287-1-1, подраздел 1.4), будет представлять сумму отдельных компонентов:

. (39)
Примечание. Кабели, проложенные в каналах, полностью заполненных материалом, обладающим сыпучестью, удельное тепловое сопротивление которого не превышает удельного теплового сопротивления окружающей земли (в сухом или влажном состоянии), можно рассматривать как кабели, проложенные непосредственно в земле.
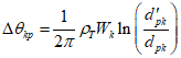
2.2.7.1. Тепловое сопротивление между кабелем и каналом (трубой)

Для кабелей диаметром от 25 до 100 мм, проложенных в каналах, должна применяться формула (40). Она используется также для определения теплового сопротивления промежутка между изолированными жилами и поверхностью трубы кабеля в трубопроводе [см.
2.1.4, перечисление b)], если эквивалентный диаметр трех изолированных жил в трубе находится в пределах от 75 до 125 мм. Эквивалентный диаметр определяют, как указано ниже.

, (40)
где

- константы, зависящие от условий прокладки, их значения Y приведены в таблице 4;

- наружный диаметр кабеля, мм.
Таблица 4
Значения констант U, V и Y
┌────────────────────────────────────────┬──────────┬──────────┬──────────┐
│ Условия прокладки │ U │ V │ Y │
├────────────────────────────────────────┼──────────┼──────────┼──────────┤
│В металлическом трубопроводе │ 5,20 │ 1,40 │ 0,0110 │
│В волокнистом канале в воздухе │ 5,20 │ 0,83 │ 0,0060 │
│В волокнистом канале в бетоне │ 5,20 │ 0,91 │ 0,0100 │
│В асбоцементе: │ │ │ │
│ канал в воздухе; │ 5,20 │ 1,20 │ 0,0060 │
│ канал в бетоне │ 5,20 │ 1,10 │ 0,0110 │
│Газонаполненный кабель в трубе │ 0,95 │ 0,46 │ 0,0021 │
│Маслонаполненный кабель в трубе │ 0,26 │ 0,0 │ 0,0026 │
│&Пластмассовые каналы& │ 1,87 │ 0,312 │ 0,0037 │
│Керамические каналы │ 1,87 │ 0,28 │ 0,0036 │
└────────────────────────────────────────┴──────────┴──────────┴──────────┘
Если формулу применяют для кабелей в трубопроводах [см.
2.1.4, перечисление b)], то

- это эквивалентный диаметр группы изолированных жил, который определяют следующим образом:
- две изолированные жилы:

умножить на наружный диаметр изолированной жилы, мм;
- три изолированные жилы:

умножить на наружный диаметр изолированной жилы, мм;
- четыре изолированные жилы:

умножить на наружный диаметр изолированной жилы, мм;

- средняя температура среды, заполняющей пространство между кабелем и каналом. Сначала расчет проводят при первоначально принятом значении и, если необходимо, расчет повторяют с откорректированным значением, °C.
2.2.7.2. Тепловое сопротивление самого канала (трубы)

Тепловое сопротивление стенки канала

определяют по формуле

, (41)
где

- наружный диаметр канала, мм;

- внутренний диаметр канала, мм;

- удельное тепловое сопротивление материала, из которого изготовлен канал, К x м/Вт.
Для металлических каналов значение

принимают за ноль, а для каналов, изготовленных из других материалов, соответствующие значения приведены в
таблице 1.
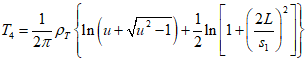
2.2.7.3. Внешнее тепловое сопротивление канала (трубы)

Для однониточных каналов (труб), проложенных не в бетоне, внешнее тепловое сопротивление каналов (труб) определяют так же, как для кабелей с использованием соответствующих формул, приведенных в
2.2.1,
2.2.2,
2.2.3 или
2.2.4, но с заменой наружного радиуса кабеля на наружный радиус канала или трубы, включая любое защитное покрытие. При прокладке каналов в бетоне расчет их внешнего теплового сопротивления проводится, исходя из принимаемого допущения, что окружающая среда каналов однородна, а удельное тепловое сопротивление каналов равно удельному тепловому сопротивлению бетона. Затем алгебраически вносится поправка (если необходимо) на разность между удельными тепловыми сопротивлениями бетона и земли для той части тепловой цепи, которая находится вне кабельного блока.
Поправку к внешнему тепловому сопротивлению определяют следующим образом:

, (42)
где N - число нагруженных кабелей в кабельном блоке;

- удельное тепловое сопротивление земли вокруг кабельного блока, К x м/Вт;

- удельное тепловое сопротивление бетона, К x м/Вт;

;

- глубина прокладки до центра кабельного блока, мм;

- эквивалентный радиус бетонного блока, мм, определяемый по формуле:

. (43)
Величины x и y обозначают короткие и длинные стороны секции кабельного блока соответственно, независимо от их расположения.
Приведенная формула справедлива только при

.
3. Цифровой расчет величин, приведенных графически
В данном разделе приведены формулы и методы цифрового расчета величин, приведенных на
рисунках 2 -
6, а также методика расчета

с помощью
рисунка 8. Примененный метод расчета является аппроксимацией с использованием алгебраических выражений с последующей квадратичной или линейной интерполяцией, если необходимо. В каждом случае приведена максимальная ошибка в процентах, предшествующая интерполяции.
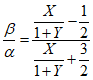
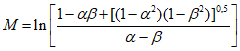
3.1.1. Геометрический фактор G для двухжильных кабелей с поясной изоляцией и с круглыми жилами
(рисунок 2)
Обозначим

,

,
тогда

,
где

, (44)

, (45)

. (46)

, т.е. является функцией одновременно X и Y.
Рассчитывают три значения

;

и

,
где

,

,

.

получают квадратичной интерполяцией по следующей формуле:

. (47)
Максимальное расхождение рассчитанных

,

и

составляет менее 0,5% по сравнению с соответствующими значениями, полученными графически.
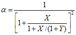
3.1.2. Геометрический фактор G для трехжильных кабелей с поясной изоляцией и с круглыми жилами
(рисунок 3)
Обозначим:

,

,
тогда

,
где

, (48)

, (49)

. (50)

, т.е. является функцией одновременно X и Y.
Рассчитывают три значения

,

и

,
где

,

,

.
Значение

получают квадратичной интерполяцией между тремя рассчитанными значениями.
Это можно сделать, подставив

,

и

в следующую формулу:

. (51)
Максимальное расхождение рассчитанных

,

и

составляет менее 0,5% по сравнению с соответствующими значениями, полученными графически.
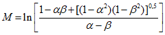
3.1.3. Тепловое сопротивление трехжильных экранированных кабелей с круглыми жилами по сравнению с тепловым сопротивлением соответствующих неэкранированных кабелей
(рисунок 4)
Обозначим:

,

.
Коэффициент экранирования K является функцией X и Y. Значения K(X; 0,2), K(X; 0,6) и K(X; 1) рассчитывают по следующим формулам при 0 < X <= 6 или 6 < X <= 25:
0 < X <= 6

,

,

. (52)
6 < X <= 25

,

,

. (53)
Значение K(X; Y) получают квадратичной интерполяцией между тремя рассчитанными значениями. Это можно сделать подстановкой в следующую формулу:

, (54)
где Z = 1,25Y - 0,25.
Максимальное расхождение рассчитанных значений поправочного коэффициента составляет менее 0,5% по сравнению со значениями, полученными графически.
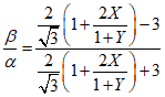
3.1.4. Тепловое сопротивление трехжильных экранированных кабелей с секторными жилами по сравнению с тепловым сопротивлением соответствующих неэкранированных кабелей
(рисунок 5)
Обозначим:

,

.
Коэффициент экранирования K является функцией X и Y. Значения K(X; 0,2), K(X; 0,6) и K(X; 1) рассчитывают по следующим формулам при 0 < X <= 3, 3 < X <= 6 или 6 < X <= 25:
0 < X <= 3

,

,

. (55)
3 < X <= 6

и

определяют по формулам, приведенным выше (т.е. при 0 < X <= 3)

. (56)
6 < X <= 25

,

,

. (57)
При 0 < X <= 3 и 0,2 < Y <= 0,6 K(X; Y) можно получить линейной интерполяцией между K(X; 0,2) и K(X; 0,6) следующим образом:
K(X; Y) = K(X; 0,2) +
+ 2,5(Y - 0,2)[K(X; 0,6) - K(X; 0,2)]. (58)
При 3 < X < 25 K(X; Y) можно получить квадратичной интерполяцией между тремя рассчитанными значениями по следующей формуле:

, (59)
где Z = 1,25Y - 0,25.
Максимальное расхождение рассчитанных значений поправочного коэффициента составляет менее 1% по сравнению со значениями, полученными графически.
3.1.5. Кривая

для получения теплового сопротивления заполняющего материала между оболочками и броней кабелей типов SL и SA
(рисунок 6)
Обозначим через X толщину материала между оболочками и броней, выраженную как часть наружного диаметра оболочки.
Нижняя кривая дана при:
0 < X <= 0,03

,
0,03 < X <= 0,15

. (60)
Максимальное расхождение при расчете

составляет менее 1%.
Верхняя кривая дана при:
0 < X <= 0,03

,
0,03 < X <= 0,15

. (61)
Максимальное расхождение при расчете

составляет менее 1%.
Расчет

производят следующим образом:
a) определяют значение

по следующей формуле

; (62)
b) находят линию на
рисунке 8 по значению

в качестве ординаты, а затем находят точку на данной линии для соответствующего значения

;
c) определяют абсциссу этой точки для получения

:
1) кабели, защищенные от солнечного излучения

. (63)
Если пренебречь диэлектрическими потерями,

,

;
2) кабели, подвергающиеся солнечному излучению

, (64)

. (65)
Если пренебречь диэлектрическими потерями,

.
Рисунок 1. Схема с изображением группы из q кабелей
и их отражений в плоскости земля-воздух
t - толщина изоляции между жилами;

- толщина изоляции
между жилой и оболочкой;

- диаметр жилы (круглой)
Рисунок 2. Геометрический фактор G для двужильного кабеля
с поясной изоляцией и круглыми жилами (см.
2.1.2.1)
t - толщина изоляции между жилами;

- толщина изоляции
между жилой и оболочкой;

- диаметр жилы (круглой)
| | ИС МЕГАНОРМ: примечание. В официальном тексте документа, видимо, допущена опечатка: пункт 2.1.2.3 отсутствует. Возможно, имеется в виду пункт 2.1.1.2.3. | |
Рисунок 3. Геометрический фактор G для трехжильного кабеля
с поясной изоляцией и круглыми жилами (см.
2.1.2.3)
K - коэффициент экранирования;

- толщина
металлического экрана по изолированной жиле;

- удельное тепловое сопротивление изоляции;

- диаметр жилы (круглой);

- толщина изоляции
между жилой и экраном;

- удельное тепловое
сопротивление экранирующего материала:

- для меди;

- для алюминия
Рисунок 4. Тепловое сопротивление трехжильных
экранированных кабелей с круглыми жилами
по сравнению с тепловым сопротивлением соответствующих
K - коэффициент экранирования;

- толщина экрана;

- удельное тепловое сопротивление изоляции;

- диаметр круглой жилы, имеющей ту же площадь
сечения и степень уплотнения;

- толщина
изоляции между жилой и экраном;

- удельное
тепловое сопротивление экранирующего материала:

- для меди;

- для алюминия
Рисунок 5. Тепловое сопротивление трехжильных
экранированных кабелей с секторными жилами
по сравнению с тепловым сопротивлением соответствующих
Толщина материала между оболочками и броней,
выраженная как часть наружного диаметра оболочки
Рисунок 6. Геометрический фактор

для
определения тепловых сопротивлений заполняющего
материала, находящегося между оболочками
и броней кабелей типов SL и SA (см.
2.1.2.2)
Рисунок 7a. Коэффициент теплового рассеяния для кабелей
с черной поверхностью, проложенных на воздухе
Рисунок 7b. Коэффициент теплового рассеяния для кабелей
с черной поверхностью, проложенных на воздухе
Рисунок 7c. Коэффициент теплового рассеяния для кабелей
с черной поверхностью, проложенных на воздухе
Рисунок 8. График расчета внешнего теплового
сопротивления кабелей, проложенных на воздухе
(справочное)
СВЕДЕНИЯ О СООТВЕТСТВИИ НАЦИОНАЛЬНЫХ СТАНДАРТОВ
РОССИЙСКОЙ ФЕДЕРАЦИИ ССЫЛОЧНЫМ МЕЖДУНАРОДНЫМ СТАНДАРТАМ
Таблица А.1
Обозначение ссылочного международного стандарта | Обозначение и наименование соответствующего национального стандарта |
| | ИС МЕГАНОРМ: примечание. В официальном тексте документа, видимо, допущена опечатка: правильный шифр ГОСТ 60287-1-1-2009, а не 60811-1-1-2009. | |
|
МЭК 60287-1-1:2006 | ГОСТ Р МЭК 60811-1-1-2009. Кабели электрические. Расчет номинальной токовой нагрузки. Часть 1-1. Уравнение для расчета номинальной токовой нагрузки (100%-ный коэффициент нагрузки) и расчет потерь. Общие положения |
[1] МЭК 60287-3-1:1995. Электрические кабели. Расчет номинальной токовой нагрузки. Часть 3-1. Разделы, касающиеся условий эксплуатации. Стандартные условия эксплуатации и выбор типа кабеля (IEC 60287-3-1:1995) (Electric cables - Calculation of the current rating - Part 3-1: Sections on operating conditions - Reference operating conditions and selection of cable type).