Главная // Актуальные документы // ГОСТ Р (Государственный стандарт)СПРАВКА
Источник публикации
М.: Стандартинформ, 2012
Примечание к документу
Документ
введен в действие с 01.07.2012.
Название документа
"ГОСТ Р 8.728-2010. Национальный стандарт Российской Федерации. Государственная система обеспечения единства измерений. Оценивание погрешностей измерений тепловой энергии и массы теплоносителя в водяных системах теплоснабжения"
(утв. и введен в действие Приказом Росстандарта от 23.12.2010 N 994-ст)
"ГОСТ Р 8.728-2010. Национальный стандарт Российской Федерации. Государственная система обеспечения единства измерений. Оценивание погрешностей измерений тепловой энергии и массы теплоносителя в водяных системах теплоснабжения"
(утв. и введен в действие Приказом Росстандарта от 23.12.2010 N 994-ст)
Утвержден и введен в действие
Приказом Федерального
агентства по техническому
регулированию и метрологии
от 23 декабря 2010 г. N 994-ст
НАЦИОНАЛЬНЫЙ СТАНДАРТ РОССИЙСКОЙ ФЕДЕРАЦИИ
ГОСУДАРСТВЕННАЯ СИСТЕМА ОБЕСПЕЧЕНИЯ ЕДИНСТВА ИЗМЕРЕНИЙ
ОЦЕНИВАНИЕ ПОГРЕШНОСТЕЙ ИЗМЕРЕНИЙ ТЕПЛОВОЙ ЭНЕРГИИ
И МАССЫ ТЕПЛОНОСИТЕЛЯ В ВОДЯНЫХ СИСТЕМАХ ТЕПЛОСНАБЖЕНИЯ
State system for ensuring the uniformity of measurements.
Estimation of errors of measurements of thermal energy
and weight of the heat-carrier in water systems
of the heat supply
ГОСТ Р 8.728-2010
Группа Т84.1
Дата введения
1 июля 2012 года
Цели и принципы стандартизации в Российской Федерации установлены Федеральным
законом от 27 декабря 2002 г. N 184-ФЗ "О техническом регулировании", а правила применения национальных стандартов Российской Федерации -
ГОСТ Р 1.0-2004 "Стандартизация в Российской Федерации. Основные положения".
1. Разработан Федеральным государственным унитарным предприятием "Всероссийский научно-исследовательский институт метрологии им. Д.И. Менделеева" (ФГУП "ВНИИМ им. Д.И. Менделеева") Федерального агентства по техническому регулированию и метрологии.
2. Внесен Управлением метрологии Федерального агентства по техническому регулированию и метрологии.
3. Утвержден и введен в действие Приказом Федерального агентства по техническому регулированию и метрологии от 23 декабря 2010 г. N 994-ст.
4. Введен впервые.
Информация об изменениях к настоящему стандарту публикуется в ежегодно издаваемом информационном указателе "Национальные стандарты", а текст изменений и поправок - в ежемесячно издаваемых информационных указателях "Национальные стандарты". В случае пересмотра (замены) или отмены настоящего стандарта соответствующее уведомление будет опубликовано в ежемесячно издаваемом информационном указателе "Национальные стандарты". Соответствующая информация, уведомление и тексты размещаются также в информационной системе общего пользования - на официальном сайте Федерального агентства по техническому регулированию и метрологии в сети Интернет.
Настоящий стандарт распространяется на водяные системы теплоснабжения и устанавливает методику оценивания погрешностей измерений тепловой энергии и массы теплоносителя в этих системах.
В настоящем стандарте использованы нормативные ссылки на следующие стандарты:
ГОСТ Р 8.642-2008 Государственная система обеспечения единства измерений. Метрологическое обеспечение измерительных систем узлов учета тепловой энергии. Основные положения
ГОСТ Р 51649-2000 Теплосчетчики для водяных систем теплоснабжения. Общие технические условия
ГОСТ 8.009-84 Государственная система обеспечения единства измерений. Нормируемые метрологические характеристики средств измерений.
Примечание. При пользовании настоящим стандартом целесообразно проверить действие ссылочных стандартов в информационной системе общего пользования - на официальном сайте Федерального агентства по техническому регулированию и метрологии в сети Интернет или по ежегодно издаваемому информационному указателю "Национальные стандарты", который опубликован по состоянию на 1 января текущего года, и по соответствующим ежемесячно издаваемым информационным указателям, опубликованным в текущем году. Если ссылочный стандарт заменен (изменен), то при пользовании настоящим стандартом следует руководствоваться заменяющим (измененным) стандартом. Если ссылочный стандарт отменен без замены, то положение, в котором дана ссылка на него, применяется в части, не затрагивающей эту ссылку.
3. Основные термины и определения
В настоящем стандарте применены следующие термины с соответствующими определениями:
3.1. Водяная система теплоснабжения: система теплоснабжения, в которой в качестве теплоносителя используется вода.
3.2. Тепловая энергия [количество теплоты] в водяных системах теплоснабжения: энергия, отдаваемая теплоносителем в виде теплоты в системах водяного теплоснабжения и/или затраченная на подогрев невозвращенной сетевой воды.
3.3. Узел учета тепловой энергии; УУТЭ: комплект приборов и устройств, обеспечивающий учет тепловой энергии, массы (объема) теплоносителя, а также контроль и регистрацию других параметров теплоносителя.
3.4.
Закрытая водяная система теплоснабжения: водяная система теплоснабжения, в которой вода, циркулирующая в тепловой сети, используется только как теплоноситель и из сети не отбирается. |
3.5. Открытая водяная система теплоснабжения: водяная система теплоснабжения, при которой вода частично или полностью отбирается из сети потребителями тепла.
3.6. Однотрубная система: полностью открытая водяная система теплоснабжения, не содержащая обратного трубопровода.
3.7. Теплосчетчик: средство измерений тепловой энергии, которую поглощает или отдает теплоноситель в водяных системах теплоснабжения, и параметров теплоносителя.
3.8.
Измерительный канал теплосчетчика: совокупность измерительных преобразователей и/или средств измерений, линий связи, электронных (вычислительных) блоков, обеспечивающая измерение количества теплоты или других физических величин по данным об измеренных параметрах теплоносителя. |
4.1. Тепловую энергию Q для водяных систем теплоснабжения определяют в соответствии с рекомендациями
[1],
[2],
[3] и
правилами [4] по следующим формулам:
Для открытых водяных систем теплоснабжения:

; (1)

; (2)

; (3)

; (4)

; (5)

, (6)
где

,

,

,

- массовые расходы сетевой воды в прямом, обратном трубопроводах и отбираемой в однотрубную систему горячего водоснабжения (далее - ГВС) (

при отсутствии утечек), а также в однотрубной системе холодной воды (

при отсутствии утечек) соответственно;

- время;

,

и

- удельные энтальпии сетевой воды в прямом, обратном трубопроводах и в однотрубной системе холодной воды соответственно;

- масса теплоносителя, отбираемого из водяной системы теплоснабжения.
Для закрытых водяных систем теплоснабжения:

, (7)
где m - массовый расход сетевой воды в прямом и обратном трубопроводах.
Для однотрубной системы:

, (8)
где m и h - массовый расход и энтальпия теплоносителя в трубопроводе.
По уровню погрешностей измерений количества теплоты, обеспечиваемых измерительным каналом, теплосчетчики в соответствии с
ГОСТ Р 51649 подразделяют на классы A, B и C. Принадлежность теплосчетчиков к тому или иному классу определяют в процессе их испытаний в целях утверждения типа. В таблице 1 указаны значения погрешностей для теплосчетчиков классов A, B и C.
Класс теплосчетчика | Формула для вычисления значения пределов допускаемой относительной погрешности, % |
C | |
B | |
A | |
В формулах: Gmax - наибольшее значение расхода теплоносителя, м3/ч; G - измеряемый расход теплоносителя, м3/ч;  - наименьшее значение разности температур теплоносителя в подающем и обратном трубопроводах, °C; выбирают из ряда: 1 °C, 2 °C, 3 °C для теплосчетчиков класса C; 2 °C, 3 °C, 5 °C - для теплосчетчиков класса B; 3 °C, 5 °C, 10 °C - для теплосчетчиков класса A;  - измеряемое значение разности температур теплоносителя в подающем и обратном трубопроводах, °C. |
5. Методика оценивания погрешностей измерений
тепловой энергии и массы теплоносителя
5.1. В настоящем стандарте при оценивании параметров точности измерений используют погрешности измерений по
ГОСТ 8.009.
Допускается проводить это оценивание с помощью неопределенностей измерений. Порядок вычисления неопределенностей и сравнительный анализ двух указанных выше подходов к выражению характеристик точности измерений представлен в рекомендациях
[5].
5.2. Оценивание погрешностей измерений тепловой энергии и массы теплоносителя в УУТЭ в зависимости от схемы его построения проводят по нижеприведенным формулам (вывод формул представлен в
Приложении А, пример расчета - в
Приложении Б). При оценивании погрешностей оперируют неисключенными систематическими погрешностями измерений при доверительной вероятности 0,95.
5.2.1. Для УУТЭ с тремя расходомерами:

в подводящем трубопроводе,

в обратном трубопроводе и

в трубопроводе ГВС - расчет тепловой энергии проводят по расходомерам

и

, а расходомер в обратном трубопроводе

служит для контроля утечек теплоносителя, следовательно, наличие расходомера

необязательно.
Доверительные границы относительной погрешности (как безразмерную величину) измерений тепловой энергии

вычисляют по формуле

, (9)
где:

; (10)

; (11)

; (12)

,

и

- объемные расходы теплоносителя в подающем трубопроводе, в однотрубной системе с энтальпией

и в однотрубной системе холодной воды с энтальпией

соответственно, м3/ч;

- пределы допускаемой относительной погрешности, %, вычисляемые по формулам
таблицы 1 в зависимости от класса теплосчетчика.
Погрешность измерений

теплосчетчика для закрытой водяной системы теплоснабжения известна. Она определена при проведении испытаний в целях утверждения типа указанного средства измерений (далее - СИ) (см.
раздел 4, таблица 1) и внесении его в Госреестр средств измерений Российской Федерации (далее - Госреестр СИ РФ). Погрешность измерений

теплосчетчика для однотрубной системы с энтальпией

определяют исходя из уравнения (11)

. (13)
Погрешность измерений

теплосчетчика для однотрубной системы холодной воды определяют исходя из уравнения (12)

. (14)
Значения входящих в
формулы (10),
(11) и
(12) энтальпии h и плотности

теплоносителя как функции его температуры и давления либо берут из таблиц ГСССД
[6],
[7], либо вычисляют по формулам рекомендаций
[1].
Доверительные границы погрешности измерений массы теплоносителя

вычисляют по формуле

, (15)
где i = 1, 2, 3;

. (16)
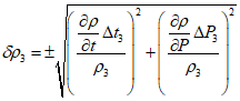
Пределы относительной допускаемой погрешности измерений энтальпии теплоносителя вычисляют по формуле

. (17)

,

,

,

- частные производные плотности и энтальпии теплоносителя по температуре и давлению при

и

(определяют путем дифференцирования уравнений для плотности и энтальпии из рекомендаций
[1] или используя таблицы ГСССД
[6],
[7], переходя от дифференцирования к конечным разностям);

и

- абсолютные погрешности измерений температуры и давления теплоносителя.
5.2.2. Для УУТЭ с двумя расходомерами, в котором отсутствует расходомер

и величину

определяют как разность расходов в подающем и обратном трубопроводах, пределы допускаемой относительной погрешности измерений тепловой энергии

вычисляют по формуле

, (18)
где:

; (19)

; (20)

; (21)

- пределы допускаемой относительной погрешности, %, вычисляют по формулам
таблицы 1 в зависимости от класса теплосчетчика:

; (22)

. (23)
Доверительные границы погрешности измерений массы теплоносителя в подающем и обратном трубопроводах вычисляют по
формуле (15), где i = 1, 2.
Доверительные границы погрешности измерений массы

теплоносителя, отбираемого в трубопровод ГВС, определяют по формуле

. (24)
(справочное)
ВЫВОД ФОРМУЛ ДЛЯ РАСЧЕТА ПОГРЕШНОСТЕЙ ИЗМЕРЕНИЙ
ТЕПЛОВОЙ ЭНЕРГИИ И МАССЫ ТЕПЛОНОСИТЕЛЯ
А.1. Узел учета тепловой энергии с тремя расходомерами
Приведенные в
разделе 4 формулы (1) -
(5) для определения тепловой энергии для открытой водяной системы теплоснабжения адекватны друг другу и представляют собой модификации
уравнения (1). Применение того или иного уравнения зависит от конкретной организации измерений в УУТЭ.
Уравнение (5) при конечном временном интервале для тепловой энергии Q имеет вид:

. (А.1)
Это уравнение описывает УУТЭ с тремя расходомерами: в подводящем трубопроводе -

, в обратном трубопроводе -

и в трубопроводе ГВС -

. Причем расчет тепловой энергии проводят по расходомерам

и

, а расходомер в обратном трубопроводе

служит для контроля утечек теплоносителя. Значения энтальпии холодной воды (как правило, среднее за месяц) сообщает поставщик тепловой энергии.
Правая часть
уравнения (А.1) может быть представлена слагаемой из трех частей:

; (А.2)

; (А.3)

; (А.4)

. (А.5)
Очевидно, что

эквивалентна тепловой энергии для закрытой системы водяного теплоснабжения при расходе теплоносителя

и энтальпии на подающем и обратном трубопроводах

и

соответственно;

эквивалентна тепловой энергии для однотрубной системы (трубопровода ГВС) при расходе теплоносителя

и энтальпии

, а

эквивалентна тепловой энергии для однотрубной системы холодной воды при расходе теплоносителя

и энтальпии

.
Отсюда следует, что теплосчетчик в открытой системе водяного теплоснабжения виртуально может быть представлен как совокупность трех теплосчетчиков: для закрытой системы водяного теплоснабжения, для однотрубной системы ГВС и однотрубной системы холодной воды.
Исходя из изложенного выше следует, что абсолютная погрешность измерений тепловой энергии

теплосчетчика для открытой системы

. (А.6)
Доверительные границы погрешности измерений тепловой энергии

вычисляют по формуле

, (А.7)
где

- пределы допускаемой относительной погрешности измерений тепловой энергии с помощью теплосчетчика для закрытой водяной системы теплоснабжения;

- пределы допускаемой относительной погрешности измерений тепловой энергии с помощью теплосчетчика для однотрубной системы (трубопровода ГВС);

- пределы допускаемой относительной погрешности измерений тепловой энергии с помощью теплосчетчика для однотрубной системы холодной воды.
Погрешность измерений

теплосчетчика для закрытого контура известна. Она определена при проведении испытаний в целях утверждения типа СИ и внесении его в Госреестр СИ РФ (см.
таблицу 1).
Доверительные границы погрешности измерений

для однотрубной системы (трубопровода ГВС) определяют исходя из
уравнения (А.3)

. (А.8)
Доверительные границы погрешности измерений

для однотрубной системы холодной воды определяют исходя из уравнения
(А.4)

. (А.9)
А.2. Узел учета тепловой энергии с двумя расходомерами
Для УУТЭ, в котором отсутствует расходомер,

и величину

определяют как разность расходов в подающем и обратном трубопроводах, следует воспользоваться
уравнением (3), которое при конечном временном интервале имеет вид:

. (А.10)

; (А.11)

; (А.12)

; (А.13)

. (А.14)
Очевидно, что

эквивалентна тепловой энергии для закрытой системы водяного теплоснабжения при массе теплоносителя

и энтальпии на подающем и обратном трубопроводах

и

соответственно,

эквивалентна тепловой энергии для однотрубной системы при массе теплоносителя

и энтальпии

, а

эквивалентна тепловой энергии для однотрубной системы холодной воды при расходе теплоносителя

и энтальпии

.
Тогда доверительные границы погрешности измерений тепловой энергии

вычисляют по формуле

, (А.15)
где

- берут из
таблицы 1 в зависимости от класса теплосчетчика;

; (А.16)

. (А.17)
А.3. Расчет погрешностей измерений массы теплоносителя
Расчет погрешностей измерений массы теплоносителя с помощью теплосчетчиков, в состав которых входят объемные расходомеры, проводят следующим образом.
В случае применения трех расходомеров массу теплоносителя:

, поступающую в единицу времени по подводящему трубопроводу,

, уходящую по обратному трубопроводу, и

, уходящую из открытой водяной системы теплоснабжения на нужды ГВС, определяют по формуле

, (А.18)
где i = 1, 2, 3;

и

- плотность теплоносителя и его объемный расход в i-м трубопроводе.
Доверительные границы погрешности измерений массы теплоносителя вычисляют по формуле

, (А.19)
где

. (А.20)

,

- частные производные плотности по температуре и давлению теплоносителя при

и

(определяют, используя таблицы ГСССД
[6],
[7], переходя от дифференцирования к конечным разностям);

и

- абсолютные погрешности измерений температуры и давления теплоносителя.
В случае применения двух расходомеров доверительные границы погрешности измерений массы теплоносителя, поступающей в единицу времени по подводящему трубопроводу

и уходящей по обратному трубопроводу

, определяют по
формуле (А.19).
Доверительные границы погрешности измерений массы

теплоносителя, уходящей из открытой водяной системы теплоснабжения на нужды ГВС, определяют исходя из того, что

:

. (А.21)
(справочное)
ПРИМЕРЫ РАСЧЕТА ПОГРЕШНОСТЕЙ ИЗМЕРЕНИЙ
ТЕПЛОВОЙ ЭНЕРГИИ И МАССЫ ТЕПЛОНОСИТЕЛЯ
Б.1. Узел учета тепловой энергии с тремя расходомерами
Расчет погрешностей измерений тепловой энергии и массы теплоносителя проведен для УУТЭ, на котором установлен теплосчетчик ТСК8 с тремя расходомерами:

,

и

. Условный диаметр Ду трубопровода равен 50 мм.
Теплосчетчик ТСК8 относится к классу C по
ГОСТ Р 51649 и включает в себя расходомеры типа ПРЭМ ((17858-06)/Э), термометры типа КТПТР (14638-05) и преобразователи давления типа ПД (28697-05).
Примечание. В скобках указаны номера СИ в Госреестре СИ РФ.
Метрологические характеристики теплосчетчика для Ду = 50 мм следующие:
- наибольшее измеряемое значение расхода

................ 72 м3/ч;
- наименьшее измеряемое значение расхода

................................................. 0,72 м3/ч;
- нижний предел диапазона разности
температур

..................................................... 3 °C;
- пределы допускаемой относительной
погрешности преобразователя расхода

.......................... +/- 1%;
- пределы допускаемой абсолютной погрешности
измерений температуры

......................... +/- (0,15 + 0,001t) °C;
- пределы допускаемой абсолютной погрешности
измерений разности температур

, равные

.. +/- (0,05 + 0,001t) °C;
- пределы допускаемой относительной
погрешности измерений давления

................................ +/- 1%.
Типовой тепловой режим на УУТЭ следующий:
- подающий трубопровод .........................

;

;
- обратный трубопровод .........................

;

;
- однотрубная система ГВС .....................

;

;
- давление теплоносителя в подающем
трубопроводе ................................................

;
- давление теплоносителя в обратном
трубопроводе ................................................

.
Параметры холодной воды следующие (их значения сообщает поставщик
тепловой энергии):
- расход холодной воды (при отсутствии
утечек теплоносителя равен расходу ГВС) ....................

;
- температура холодной воды .................................

;
- пределы допускаемой абсолютной
погрешности измерений температуры холодной
воды

.............................................

;
- давление холодной воды

............................... 8 кгс/см2.
Доверительные границы погрешности измерений тепловой энергии

вычисляют по
формуле (9)

,
где

;

;

;
При отсутствии утечек

.
Для теплосчетчика класса C значения пределов допускаемой относительной погрешности

, %, для закрытой водяной системы теплоснабжения определяют в соответствии с формулой по
таблице 1:

;

;

.
Вычисляют

,

,

, и

с учетом того, что

и h представляют собой функции температуры и давления

.
При

и

, используя таблицы ГСССД, находят:

;

;

;

;

;

.
При

и

, используя таблицы ГСССД, находят:

;

;

;

;

;

.
При

и

, используя таблицы ГСССД, находят:

;

;

;

;

;

.
При

и

, используя таблицы ГСССД
[6],
[7], находят:

;

;

;

;

.
Очевидно, что при вычислении погрешностей

и

допускается пренебречь погрешностями

и

из-за их малости. Тогда:

;

.
Получают следующее значение доверительных границ погрешности измерений тепловой энергии

:
Для примера вычисляют доверительные границы погрешности измерений массы теплоносителя, уходящего по трубопроводу ГВС.

;

;

.
При

и

, используя таблицы ГСССД, находят:

;

;

;

;

.
Эту погрешность из-за ее малости допускается не учитывать, тогда пределы относительной допускаемой погрешности измерений массы теплоносителя

.
Б.2. Узел учета тепловой энергии с двумя расходомерами
Расчет погрешностей измерений тепловой энергии и массы теплоносителя проведен для УУТЭ, в котором установлен теплосчетчик ТСК8 с двумя расходомерами:

и

. Метрологические характеристики СИ и тепловой режим те же, что в
разделе Б.1.
Тогда доверительные границы погрешности измерений тепловой энергии

вычисляют по формуле

,
где:

;

;

;

.
Вычисляют

, входящее в формулу для

,

.
При

и

, используя таблицы ГСССД, находят:

;

;

;

;

.
Тогда пренебрегая как и ранее

и

и взяв из таблиц ГСССД значения

и

, получают:
При вычислении

, как и ранее, допускается пренебречь величиной

и положить, что

(это справедливо при отсутствии утечек в системе). Тогда

.
Как вычислено выше,

.
Вычисляют доверительные границы погрешности измерений тепловой энергии

для УУТЭ с двумя расходомерами.
Для примера приведено вычисление доверительных границ погрешности измерений массы теплоносителя, отобранного в однотрубную систему ГВС.

,
которая в случае пренебрежения погрешностью

имеет вид:

;
Тогда

.
| Рекомендации по метрологии МИ 2412-97 | Государственная система обеспечения единства измерений. Водяные системы теплоснабжения. Уравнения измерения тепловой энергии и теплоносителя |
| | Государственная система обеспечения единства измерений. Энергия тепловая и теплоноситель в системах теплоснабжения. Методика оценивания погрешности измерений. Основные положения |
| Рекомендации по метрологии МИ 2537-2000 | Государственная система обеспечения единства измерений. Тепловая энергия открытых водяных систем теплоснабжения, полученная потребителем. Методика выполнения измерений. Общие положения |
| | Правила учета тепловой энергии и теплоносителя. - М.: 1995 |
| Рекомендации по межгосударственной стандартизации РМГ 43-2001 | Применение "Руководства по выражению неопределенности измерений" |
| Госстандарт России. ГСССД | Плотность, энтальпия и вязкость воды. - М.: Изд-во ВНИИЦ СМВ, 1993 |
| | Вода. Удельный объем и энтальпия при температурах 0 °C...1000 °C и давлениях 0,001...1000 МПа. - Минск, 2000 |