Главная // Актуальные документы // ГОСТ Р (Государственный стандарт)СПРАВКА
Источник публикации
М.: Стандартинформ, 2012
Примечание к документу
Документ
введен в действие с 1 сентября 2012 года.
Название документа
"ГОСТ Р 54528-2011. Национальный стандарт Российской Федерации. Изделия огнеупорные с общей пористостью менее 45%. Метод определения остаточных изменений размеров при нагреве"
(утв. и введен в действие Приказом Росстандарта от 28.11.2011 N 607-ст)
"ГОСТ Р 54528-2011. Национальный стандарт Российской Федерации. Изделия огнеупорные с общей пористостью менее 45%. Метод определения остаточных изменений размеров при нагреве"
(утв. и введен в действие Приказом Росстандарта от 28.11.2011 N 607-ст)
Утвержден и введен в действие
агентства по техническому
регулированию и метрологии
от 28 ноября 2011 г. N 607-ст
НАЦИОНАЛЬНЫЙ СТАНДАРТ РОССИЙСКОЙ ФЕДЕРАЦИИ
ИЗДЕЛИЯ ОГНЕУПОРНЫЕ С ОБЩЕЙ ПОРИСТОСТЬЮ МЕНЕЕ 45%
МЕТОД ОПРЕДЕЛЕНИЯ ОСТАТОЧНЫХ
ИЗМЕНЕНИЙ РАЗМЕРОВ ПРИ НАГРЕВЕ
Refractory products with a true porosity of less than 45%.
Method for determination of permanent change
in dimensions on heating
ГОСТ Р 54528-2011
Дата введения
1 сентября 2012 года
Цели и принципы стандартизации в Российской Федерации установлены Федеральным
законом от 27 декабря 2002 г. N 184-ФЗ "О техническом регулировании", а правила применения национальных стандартов Российской Федерации -
ГОСТ Р 1.0-2004 "Стандартизация в Российской Федерации. Основные положения".
1. Разработан ООО "Научно-технический центр "Огнеупоры" (ООО "НТЦ "Огнеупоры").
2. Внесен Техническим комитетом по стандартизации ТК 9 "Огнеупоры".
3. Утвержден и введен в действие
Приказом Федерального агентства по техническому регулированию и метрологии от 28 ноября 2011 г. N 607-ст.
4. Введен впервые.
Информация об изменениях к настоящему стандарту публикуется в ежегодно издаваемом информационном указателе "Национальные стандарты", а текст изменений и поправок - в ежемесячно издаваемых информационных указателях "Национальные стандарты". В случае пересмотра (замены) или отмены настоящего стандарта соответствующее уведомление будет опубликовано в ежемесячно издаваемом информационном указателе "Национальные стандарты". Соответствующая информация, уведомление и тексты размещаются также в информационной системе общего пользования - на официальном сайте Федерального агентства по техническому регулированию и метрологии в сети Интернет.
Настоящий стандарт устанавливает объемный метод определения остаточных изменений размеров обожженных огнеупорных изделий с общей пористостью менее 45% (определяемой по
ГОСТ 2409) при нагреве при высоких температурах и 2-часовой выдержке при температуре испытания.
Метод определения остаточных изменений размеров при 5-часовой выдержке при температуре испытания изложен
[1].
Стандарт не распространяется на углеродсодержащие изделия.
В настоящем стандарте использованы нормативные ссылки на следующие стандарты:
ГОСТ Р 12.1.019-2009 Система стандартов безопасности труда. Электробезопасность. Общие требования и номенклатура видов защиты
ГОСТ 12.2.007.9-93 (МЭК 519-1-84) Безопасность электротермического оборудования. Часть 1. Общие требования
ГОСТ 12.4.021-75 Система стандартов безопасности труда. Системы вентиляционные. Общие требования
ГОСТ 2409-95 (ИСО 5017-88) Огнеупоры. Метод определения кажущейся плотности, открытой и общей пористости, водопоглощения
ГОСТ 8179-98 (ИСО 5022-79) Изделия огнеупорные. Отбор образцов и приемочные испытания
Примечание. При пользовании настоящим стандартом целесообразно проверить действие ссылочных стандартов в информационной системе общего пользования - на официальном сайте Федерального агентства по техническому регулированию и метрологии в сети Интернет или по ежегодно издаваемому информационному указателю "Национальные стандарты", который опубликован по состоянию на 1 января текущего года, и по соответствующим ежемесячно издаваемым информационным указателям, опубликованным в текущем году. Если ссылочный стандарт заменен (изменен), то при пользовании настоящим стандартом следует руководствоваться заменяющим (измененным) стандартом. Если ссылочный стандарт отменен без замены, то положение, в котором дана ссылка на него, применяется в части, не затрагивающей эту ссылку.
В настоящем стандарте применен следующий термин с соответствующим определением:
3.1. Остаточное изменение размера огнеупорного изделия при нагреве: увеличение (рост) или уменьшение (усадка) линейного размера образца обожженного огнеупорного изделия, нагретого до определенной температуры в течение установленного времени и охлажденного до температуры окружающей среды, выраженное в процентах.
Метод заключается в определении разности объемов образца до и после нагрева по заданному режиму с пересчетом полученной объемной усадки или роста на линейную.
5. Средства измерений и аппаратура
В настоящем стандарте используют следующие средства измерений и аппаратуру.
5.1. Электрическая печь, обеспечивающая нагрев образцов в среде воздуха до заданной температуры испытания. Перепад температуры в пределах рабочей зоны в период выдержки не должен превышать +/- 20 °C.
5.2. Устройство для насыщения образцов жидкостью и гидростатического взвешивания по
ГОСТ 2409.
5.3. Сушильный шкаф, обеспечивающий температуру не ниже 110 °C.
5.4. Устройства для измерения температуры:
- термопара с пределом измерений, соответствующим температуре испытания с вторичным измерительным прибором с погрешностью в пределах +/- 0,5% или более точным;
- пирометр любого типа с погрешностью в пределах +/- 1%.
6. Требования безопасности
6.1. Требования безопасности к электропечи, применяемой для испытания, должны соответствовать
ГОСТ 12.2.007.9.
6.2. Эксплуатация электроустановок и электроприборов должна осуществляться в соответствии с
ГОСТ Р 12.1.019 и правилами
[2].
6.3. Помещение для проведения испытания должно быть оборудовано вентиляцией в соответствии с
ГОСТ 12.4.021.
6.4. При проведении испытания должны применяться индивидуальные средства защиты: спецодежда, хлопчатобумажные перчатки и т.д.
7.1. Отбор изделий (образцов)
Число изделий (образцов), подлежащих испытанию, - по
ГОСТ 8179, нормативному документу на продукцию или по соглашению сторон.
7.2. Подготовка образцов
7.2.1. Образец должен иметь форму:
- прямой призмы с размерами в сечении не менее 30 x 30 мм и высотой не менее 60 мм;
- цилиндра диаметром не менее 35 мм и высотой не менее 60 мм.
Объем образца должен быть не менее 50 см3. При невозможности изготовления образца указанных размеров допускается уменьшить площадь его поперечного сечения при условии получения необходимого объема.
7.2.2. Образец вырезают или отсекают от одного из углов изделия так, чтобы его высота совпадала с направлением прессования.
При испытании изделий толщиной менее 60 мм допускается вырезать или отсекать образец без учета направления прессования.
Из изделия, имеющего форму тела вращения, образец вырезают из средней части по направлению оси вращения.
Примечание. В случае, когда из изделия невозможно вырезать образец в виде прямой призмы или цилиндра, допускается применение образца произвольной формы объемом не менее 50 см3.
7.2.3. На образце не должно быть видимых дефектов и неровностей поверхности. После подшлифовывания граней образец тщательно очищают от пыли и выкрашивающихся зерен.
7.2.4. На каждый образец для идентификации наносят любой условный знак способом, обеспечивающим его сохранность после нагрева.
8.1. Объем образца до и после нагрева определяют гидростатическим взвешиванием по ГОСТ 2409 (
подразделы 7.2 и
7.3), исключив выдержку в течение 30 мин после отключения насоса и 4-часовую выдержку образцов с открытой пористостью менее 12% в жидкости после вакуумирования.
8.2. Установка образцов в печь
Перед установкой в печь образцы высушивают в сушильном шкафу не менее 1 ч при температуре не ниже 110 °C.
Подготовленные образцы помещают в печь в один ряд по высоте так, чтобы они не касались друг друга. Рекомендуется устанавливать образцы на подставку из того же материала, что и испытуемые образцы.
8.3. Измерение температуры
Температуру измеряют термопарой или пирометром. Спай термопары располагают между двумя соседними образцами на уровне середины их высоты, а пирометр визируют на поверхность образцов.
8.4. Температура испытания
Температуру испытания

образцов устанавливают в соответствии с нормативным документом на продукцию.
8.5. Нагрев
Температуру в печи повышают со скоростью:
от 5 °C/мин до 10 °C/мин - до температуры 1000 °C включ.;
от 3 °C/мин до 5 °C/мин - от температуры свыше 1000 °C до

включ.;
2 °C/мин - от температуры свыше

до

.
8.6. Выдержка при температуре испытания
Образцы выдерживают при температуре испытания в течение 2 ч. Колебания температуры во время выдержки не должны превышать +/- 20 °C от заданной температуры испытания.
8.7. Охлаждение
Выключают печь и дают образцам остыть в печи.
Допускается извлекать из печи образцы всех типов изделий (кроме кремнеземистых) при температуре не выше 600 °C при условии сохранения их целостности и исключения образования трещин.
Образцы кремнеземистых изделий извлекают после остывания печи до температуры не выше 100 °C.
8.8. Измерение объема
Объем измеряют в соответствии с
8.1.
9.1. Общий объем образца до и после нагрева V, см3, вычисляют по формуле

, (1)
где

- масса насыщенного жидкостью образца, г;

- результат взвешивания насыщенного образца, погруженного в жидкость, г;

- плотность насыщающей жидкости при температуре испытания, г/см3.
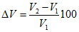
9.2. Изменение объема образца

, вычисляют по формуле

, (2)
где

- объем образа до нагрева, см3;

- объем образца после нагрева, см3.
Изменение объема вычисляют до второго десятичного знака.
Изменение линейного размера образца

(усадку) или

(рост), %, вычисляют по формуле

. (3)
Результат округляют до первого десятичного знака.
Результаты испытания записывают в протокол, в котором указывают:
- обозначение настоящего стандарта;
- наименование предприятия-изготовителя;
- наименование организации, проводившей испытание;
- дату проведения испытания;
- наименование и марку изделия, номер партии;
- тип печи, в которой проводилось испытание;
- конечную температуру испытания и длительность выдержки;
- результаты испытания каждого образца;
- должность, инициалы, фамилия, подпись исполнителя.
[1] ISO 2478:1987 Dense shaped refractory products - Determination
of permanent change in dimensions on heating
[2]
Правила N 4145 "Правила технической эксплуатации электроустановок
потребителей", утвержденные Приказом Минэнерго РФ
от 13 января 2003 г. N 6.