Главная // Актуальные документы // ГОСТ Р (Государственный стандарт)СПРАВКА
Источник публикации
М.: Стандартинформ, 2011
Примечание к документу
Введен в действие с 1 декабря 2011 года.
Название документа
"ГОСТ Р 53963.1-2010. Национальный стандарт Российской Федерации. Вибрация. Измерения вибрации сооружений. Требования к средствам измерений"
(утв. и введен в действие Приказом Росстандарта от 25.11.2010 N 531-ст)
"ГОСТ Р 53963.1-2010. Национальный стандарт Российской Федерации. Вибрация. Измерения вибрации сооружений. Требования к средствам измерений"
(утв. и введен в действие Приказом Росстандарта от 25.11.2010 N 531-ст)
Утвержден и введен в действие
от 25 ноября 2010 г. N 531-ст
НАЦИОНАЛЬНЫЙ СТАНДАРТ РОССИЙСКОЙ ФЕДЕРАЦИИ
ВИБРАЦИЯ
ИЗМЕРЕНИЯ ВИБРАЦИИ СООРУЖЕНИЙ
ТРЕБОВАНИЯ К СРЕДСТВАМ ИЗМЕРЕНИЙ
Vibration. Measurement of vibration in buildings.
Requirements for measuring instrumentation
ГОСТ Р 53963.1-2010
Дата введения
1 декабря 2011 года
Цели и принципы стандартизации в Российской Федерации установлены Федеральным
законом от 27 декабря 2002 г. N 184-ФЗ "О техническом регулировании", а правила применения национальных стандартов Российской Федерации -
ГОСТ Р 1.0-2004 "Стандартизация в Российской Федерации. Основные положения".
1. Разработан Автономной некоммерческой организацией "Научно-исследовательский центр контроля и диагностики технических систем" и Федеральным государственным унитарным предприятием "Всероссийский научно-исследовательский институт метрологической службы" (ФГУП "ВНИИМС").
2. Внесен Техническим комитетом по стандартизации ТК 183 "Вибрация, удар и контроль технического состояния".
3. Утвержден и введен в действие
Приказом Федерального агентства по техническому регулированию и метрологии от 25.11.2010 N 531-ст.
4. Введен впервые.
Информация об изменениях к настоящему стандарту публикуется в ежегодно издаваемом указателе "Национальные стандарты", а текст изменений и поправок - в ежемесячно издаваемых информационных указателях "Национальные стандарты". В случае пересмотра (замены) или отмены настоящего стандарта соответствующее уведомление будет опубликовано в ежемесячно издаваемом информационном указателе "Национальные стандарты". Соответствующая информация, уведомление и тексты размещаются также в информационной системе общего пользования - на официальном сайте Федерального агентства по техническому регулированию и метрологии в сети Интернет.
Основные параметры вибрации (пиковые значения скорости в трех взаимно перпендикулярных направлениях), по которым оценивают воздействие вибрации на конструкцию зданий, и требования к точности измерений указанных параметров для сопоставления с установленными критериями установлены в
ГОСТ Р 52892.
Тем же стандартом определены два вида критериев оценки воздействия вибрации на конструкцию зданий: частотно-зависимый и комплексный. В случае применения частотно-зависимого критерия дополнительным параметром, подлежащим оценке, является частота доминирующей составляющей вибрации, которую определяют на основе записи сигнала вибрации на заданном интервале времени. Анализ спектра вибрации с целью определения доминирующей составляющей может быть реализован в самом средстве измерений или с помощью другого устройства анализа, на которое сигнал передается с аналогового/цифрового выхода данного средства измерений.
Настоящий стандарт устанавливает требования к средствам измерений вибрации в зданиях, позволяющие удовлетворить требованиям к точности измерений по
ГОСТ Р 52892. Требования настоящего стандарта гармонизированы с требованиями DIN 45669-1:1995 <1>, предъявляемыми к средствам измерений класса 1.
--------------------------------
<1> Национальный стандарт Германии DIN 45669-1:1995 "Messung von Schwingungsimmissionen - Teil 1: Schwingungsmesser - Anforderungen,

" (Измерение вибрации и удара. Часть 1. Средства измерений).
Настоящий стандарт устанавливает требования к характеристикам средств измерений параметров вибрации (пиковых значений скорости), используемых при оценке воздействия вибрации на конструкцию сооружений согласно частотно-зависимым и комплексным критериям оценки по
ГОСТ Р 52892.
Настоящий стандарт распространяется на цифровые и аналоговые средства измерений всех видов исполнения: в виде отдельного блока, совокупности устройств или компьютеризованной системы анализа данных.
Средство измерений, предназначенное для измерений вибрации зданий для оценки ее воздействия на конструкцию, может обладать дополнительными функциями, позволяющими, например измерять вибрацию зданий для оценки ее воздействия на человека. В этом случае требования настоящего стандарта должны быть дополнены требованиями по
ГОСТ ИСО 8041.
В настоящем стандарте использованы нормативные ссылки на следующие стандарты:
ГОСТ Р 51317.4.2-2010 (МЭК 61000-4-2:2008). Совместимость технических средств электромагнитная. Устойчивость к электрическим разрядам. Требования и методы испытаний
ГОСТ Р 51317.4.6-99 (МЭК 61000-4-6:1996). Совместимость технических средств электромагнитная. Устойчивость к кондуктивным помехам, наведенным радиочастотными электромагнитными полями. Требования и методы испытаний
ГОСТ Р 52892-2007. Вибрация и удар. Вибрация зданий. Измерение вибрации и оценка ее воздействия на конструкцию
ГОСТ 14254-96. Степени защиты, обеспечиваемые оболочками (код IP)
ГОСТ 17168-82. Фильтры электронные октавные и третьоктавные. Общие технические требования и методы испытаний
Примечание. При пользовании настоящим стандартом целесообразно проверить действие ссылочных стандартов в информационной системе общего пользования - на официальном сайте Федерального агентства по техническому регулированию и метрологии в сети Интернет или по ежегодно издаваемому информационному указателю "Национальные стандарты", который опубликован по состоянию на 1 января текущего года, и по соответствующим ежемесячно издаваемым информационным указателям, опубликованным в текущем году. Если ссылочный стандарт заменен (изменен), то при пользовании настоящим стандартом следует руководствоваться заменяющим (измененным) стандартом. Если ссылочный стандарт отменен без замены, то положение, в котором дана ссылка на него, применяется в части, не затрагивающей эту ссылку.
В настоящем стандарте применены термины по
ГОСТ 24346, а также следующие термины с соответствующими определениями:
3.1. Средство измерений: совокупность датчика вибрации, средств преобразования и показывающего устройства, выполненная в виде единого блока или нескольких блоков, которая позволяет измерять пиковое значение скорости вибрации, воздействующей на конструкцию сооружения.
Примечание. Средство измерений в зависимости от назначения может выполнять дополнительные преобразования сигнала вибрации, например выполнять частотный анализ и определять частоту доминирующей составляющей вибрации по
ГОСТ Р 52892.
3.2. Пиковое значение: максимальное абсолютное значение измеряемой скалярной величины на заданном интервале времени.
3.3. Рабочий диапазон амплитуд: интервал амплитуд внутри каждого диапазона измерений, в пределах которого отклонения от линейности не превышают допустимые значения.
3.4. Перегрузка: ситуация, когда входной сигнал вибрации превышает верхнюю границу рабочего диапазона амплитуд.
3.5. Нечувствительность по входу: ситуация, когда входной сигнал вибрации не превышает нижнюю границу рабочего диапазона амплитуд.
3.6. Техническая документация на средство измерений (техническая документация): руководство по эксплуатации, инструкция по применению и другие документы, поставляемые пользователю средства измерений.
4. Нормальные условия окружающей среды
Для определения рабочих характеристик средства измерений установлены следующие нормальные условия окружающей среды:
- температура воздуха 23 °C;
- относительная влажность 65%.
5.1. Общие положения
Требования к рабочим характеристикам средства измерений, установленные настоящим стандартом, проверяют при заданных входных механических и электрических воздействиях.
Заданное механическое воздействие воспроизводят с помощью вибростенда, на котором установлен датчик вибрации, входящий в состав средства измерений.
Кроме того, средство измерений должно обеспечивать возможность подачи на вход измерительного блока вместо сигнала с датчика вибрации заменяющий его эквивалентный электрический сигнал. Способ формирования эквивалентного электрического сигнала, позволяющего проводить испытания без датчика вибрации, должен быть установлен в технической документации на средство измерений.
5.2. Механические тестовые воздействия
Для воспроизведения заданного входного воздействия датчик вибрации устанавливают на столе вибростенда в соответствии с
ГОСТ ИСО 5348. В технической документации должно быть указано, какие устройства крепления датчика вибрации могут быть использованы при проведении измерений, а также перечислены случаи и обстоятельства, когда использование той или иной системы крепления с большой вероятностью приведет к повышению неопределенности измерений.
Измерения проводят при возбуждении гармонической вибрации с опорной амплитудой скорости 1,00 м/с на опорной частоте 16 Гц, а также на тестовых частотах, совпадающих со среднегеометрическими частотами октавных фильтров по
ГОСТ 17168 в диапазоне от 0,5 до 630 Гц.
5.3. Электрические тестовые сигналы
Электрический тестовый сигнал может либо соответствовать механическому тестовому воздействию по
5.2, либо иметь специальную форму (см.
6.10).
В технической документации должен быть установлен способ формирования электрического сигнала, позволяющего проводить измерения без датчика вибрации.
6. Требования к характеристикам средства измерений
6.1. Общие требования
В настоящем разделе установлены требования к рабочим характеристикам средства измерений для нормальных условий окружающей среды (см.
раздел 4) при заданных тестовых воздействиях (см.
раздел 5).
Средство измерений должно иметь в своем составе устройство (устройства) для показаний пикового значения скорости вибрации в одном или нескольких направлениях измерений на установленном периоде измерений. В технической документации на средство измерений должен быть описан способ удержания измеренного пикового значения.
Средство измерений должно иметь в своем составе устройство для индикации появления перегрузки в любой из моментов измерений.
Средство измерений должно обеспечивать установку и регулировку коэффициента преобразования измерительной цепи, например с помощью устройства индикации коэффициента преобразования или иным способом, указанным в технической документации.
Средства измерений в зависимости от их назначения могут включать в себя полный набор или часть функций, рассматриваемых в настоящем стандарте. Для всех функций, реализуемых средством измерений, соответствующие им характеристики должны удовлетворять требованиям настоящего стандарта.
6.2. Конфигурация измерительной цепи
Средство измерений обычной конфигурации включает в себя следующие элементы:
- датчик вибрации;
- соединительный кабель;
- устройство согласования (формирования) сигнала;
- полосовой фильтр или набор фильтров;
- устройство выделения и удержания пикового значения сигнала;
- показывающее устройство;
- аналоговый/цифровой выход (необязательный элемент).
Схема одноканального средства измерений обычной конфигурации показана на рисунке 1.
1 - датчик вибрации; 2 - система крепления;
3 - вибрирующая поверхность; 4 - соединительный кабель;
5 - электрический вход; 6 - устройство согласования
входного сигнала; 7 - фильтр; 8 - показывающее устройство
с устройством выделения и хранения пикового значения;
9 - устройство согласования выходного сигнала;
10 - аналоговый/цифровой выход
Рисунок 1. Функциональная схема одноканального
средства измерений
Для одновременного измерения вибрации в нескольких направлениях или в нескольких точках средство измерений должно быть многоканальным. Кроме того, современные средства измерений для сбора информации из разных точек конструкции используют беспроводной способ передачи данных, когда соединительный кабель отсутствует, а измерительная цепь включает в себя передатчик и приемник электрического сигнала. В этом случае в технической документации на средство измерений должно быть указано, при каких взаимных расположениях элементов средства измерений выполняются требования настоящего стандарта, а также указано наихудшее (с точки зрения вносимой средством измерений неопределенности измерений) расположение элементов, при котором следует проверять соблюдение требований настоящего стандарта.
6.3. Датчики вибрации и соединительные кабели
Для измерений вибрации в сооружениях используют датчики вибрации сейсмического типа, выходной сигнал которых не зависит от положения датчика в поле силы тяжести.
Требования к датчику вибрации и средствам его крепления зависят от условий его применения, в частности, от диапазона температур окружающей среды; влажности; запыленности; электромагнитных полей; физических свойств объекта, на котором измеряют вибрацию (например, на массивном бетонном блоке или на легкой металлической конструкции). В технической документации должны быть указаны датчики вибрации, применяемые в составе данного средства измерений, и условия их применения.
В случае применения датчика скорости его установочный резонанс должен быть, по крайней мере, в три раза ниже нижней границы рабочего диапазона частот средства измерений. В случае применения датчика ускорения его установочный резонанс должен быть, по крайней мере, в три раза выше верхней границы рабочего диапазона частот средства измерений.
Рекомендуется, чтобы датчики вибрации, используемые в составе средства измерений, удовлетворяли следующим минимальным требованиям.
Максимальная масса датчика (датчиков) вместе с устройствами крепления не должна превышать 5% эффективной массы вибрирующей конструкции.
Коэффициент преобразования в поперечном направлении не должен превышать 5%.
Датчик должен выдерживать без повреждений и нарушения работоспособности воздействие скорости вибрации, превышающей, по крайней мере, в три раза предельное значение скорости вибрации в условиях применения.
Длина используемого с датчиком вибрации соединительного кабеля не должна быть менее 1 м и более 50 м.
Требования настоящего стандарта установлены в предположении, что измеряемой датчиком вибрации величиной является скорость. В случае использования в составе средства измерений датчика ускорения (акселерометра) требования стандарта и вид тестовых электрических сигналов должны быть соответствующим образом изменены.
Поскольку средство измерений, работающее с акселерометром, должно иметь в своем составе интегрирующее устройство для преобразования сигнала ускорения в сигнал скорости, то теоретически тестовые электрические сигналы для такого устройства могут быть получены дифференцированием тестовых сигналов, определенных в
6.10 для средств измерений с датчиками скорости. Однако дифференцирование сигналов с крутым фронтом (например, прямоугольных импульсов) приводит к появлению очень больших импульсов. Чтобы избежать этого, дифференцированию подвергают тестовый сигнал по
6.10, предварительно пропущенный через фильтр нижних частот с постоянным значением коэффициента преобразования и частотой среза, которая не менее чем в пять раз превышает верхнюю границу диапазона частот данного средства измерений.
6.4. Показывающее устройство
Показывающее устройство (аналоговое или цифровое) должно показывать измеренное пиковое значение скорости вибрации на заданном периоде времени.
Средство измерений должно иметь, по крайней мере, одно показывающее устройство, отображающее текущее значение результата измерений пикового значения по выбранному каналу. В технической документации должен быть указан способ отнесения показания к каналу измерений, а также способ считывания результатов измерений, полученных по разным каналам.
Показывающее устройство должно обеспечивать считывание данных с разрешением 1% измеренного значения и выше.
Показывающее устройство должно отображать измеренное значение после завершения периода измерений вплоть до поступления команды сброса данных. На показывающем устройстве должна быть предусмотрена индикация нахождения средства измерений в режиме измерений и отображаться время, прошедшее с начала измерений.
Время готовности средства измерений не должно превышать 2 мин. На показывающем устройстве должна быть предусмотрена индикация готовности средства измерений к измерениям.
6.5. Аналоговый/цифровой выход
Техническая документация должна содержать сведения о характеристиках выходной цепи (при ее наличии) средства измерений, в том числе о:
- максимальном размахе выходного напряжения (не менее 1 В);
- внутреннем электрическом импедансе выходной цепи (не менее 100 Ом);
- диапазоне импедансов нагрузки, подключение которой к выходу средства измерений не приведет к изменению выходного сигнала более чем на 1%.
При подсоединении к аналоговому/цифровому выходу цепи, не содержащей источника электрического тока, включая цепь короткого замыкания, результаты измерений не должны изменяться более чем на 2%.
При наличии цифрового выхода в технической документации должен быть описан цифровой канал передачи данных (вид интерфейса, протокол и скорость передачи).
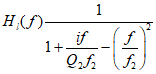
6.6. Передаточная функция измерительной цепи
Номинальная передаточная функция (по скорости вибрации) измерительной цепи представляет собой передаточную функцию полосового фильтра H(f), задаваемую произведением передаточных функций фильтров Баттерворта второго порядка нижних и верхних частот

, (1)
где

- передаточная функция фильтра нижних частот, определяемая по формуле

; (2)

- передаточная функция фильтра верхних частот, определяемая по формуле

; (3)
f - частота, Гц;
j - мнимая единица,

;

- добротность фильтра верхних частот,

;

- добротность фильтра нижних частот,

;

- частота среза фильтра верхних частот (по уровню 0,7),

;

- частота среза фильтра нижних частот (по уровню 0,7),

.
Амплитудно-частотная характеристика (АЧХ) H(f) вместе с допусками на нее и номинальная фазочастотная характеристика (ФЧХ)

измерительной цепи, определенные
формулой (1), изображены на рисунках 2 и
3 соответственно и табулированы для среднегеометрических частот третьоктавных фильтров по
ГОСТ 17168 в
таблице 1.
Рисунок 2. Амплитудно-частотная характеристика
измерительной цепи
Рисунок 3. Фазочастотная характеристика измерительной цепи
Таблица 1
Передаточная функция измерительной цепи
| Среднегеометрическая частота, Гц | Передаточная функция | Допуск |
Номинальная | Истинная | АЧХ | АЧХ, дБ | ФЧХ, ...° | АЧХ, % | АЧХ, дБ |  , ...° |
-6 | 0,2 | 0,1995 | 0,06208 | -24,14 | 159,3 | +26/-100 | | |
-5 | 0,25 | 0,2512 | 0,09811 | -20,17 | 153,7 | +26/-100 | | |
-4 | 0,315 | 0,3162 | 0,1544 | -16,23 | 146,4 | +26/-100 | | |
-3 | 0,4 | 0,3981 | 0,2404 | -12,38 | 136,8 | +26/-100 | | |
-2 | 0,5 | 0,5012 | 0,3654 | -8,75 | 124,3 | +26/-100 | | |
-1 | 0,63 | 0,6310 | 0,5282 | -5,54 | 108,6 | +26/-21 | +2/-2 | +12/-12 |
0 | 0,8 | 0,7943 | 0,7021 | -3,07 | 90,41 | +26/-21 | +2/-2 | +12/-12 |
1 | 1 | 1,000 | 0,8423 | -1,49 | 72,14 | +26/-21 | +2/-2 | +12/-12 |
2 | 1,25 | 1,259 | 0,9273 | -0,66 | 56,18 | +12/-11 | +1/-1 | +6/-6 |
3 | 1,6 | 1,585 | 0,9690 | -0,27 | 43,44 | +12/-11 | +1/-1 | +6/-6 |
4 | 2 | 1,995 | 0,9873 | -0,11 | 33,64 | +12/-11 | +1/-1 | +6/-6 |
5 | 2,5 | 2,512 | 0,9949 | -0,04 | 26,11 | +12/-11 | +1/-1 | +6/-6 |
6 | 3,15 | 3,162 | 0,9980 | -0,02 | 20,27 | +12/-11 | +1/-1 | +6/-6 |
7 | 4 | 3,981 | 0,9992 | -0,01 | 15,68 | +12/-11 | +1/-1 | +6/-6 |
8 | 5 | 5,012 | 0,9997 | 0,00 | 12,01 | +12/-11 | +1/-1 | +6/-6 |
9 | 6,3 | 6,310 | 0,9999 | 0,00 | 9,035 | +12/-11 | +1/-1 | +6/-6 |
10 | 8 | 7,943 | 0,9999 | 0,00 | 6,560 | +12/-11 | +1/-1 | +6/-6 |
11 | 10 | 10,00 | 1,0000 | 0,00 | 4,446 | +12/-11 | +1/-1 | +6/-6 |
12 | 12,5 | 12,59 | 1,0000 | 0,00 | 2,574 | +12/-11 | +1/-1 | +6/-6 |
13 | 16 | 15,85 | 1,0000 | 0,00 | 0,8462 | +12/-11 | +1/-1 | +6/-6 |
14 | 20 | 19,95 | 1,0000 | 0,00 | -0,8433 | +12/-11 | +1/-1 | +6/-6 |
15 | 25 | 25,12 | 1,0000 | 0,00 | -2,575 | +12/-11 | +1/-1 | +6/-6 |
16 | 31,5 | 31,62 | 1,0000 | 0,00 | 4,446 | +12/-11 | +1/-1 | +6/-6 |
17 | 40 | 39,81 | 0,9999 | 0,00 | -6,560 | +12/-11 | +1/-1 | +6/-6 |
18 | 50 | 50,12 | 0,9999 | 0,00 | -9,036 | +12/-11 | +1/-1 | +6/-6 |
19 | 63 | 63,10 | 0,9997 | 0,00 | -12,02 | +12/-11 | +1/-1 | +6/-6 |
20 | 80 | 79,43 | 0,9992 | -0,01 | -15,68 | +12/-11 | +1/-1 | +6/-6 |
21 | 100 | 100,0 | 0,9980 | -0,02 | -20,27 | +12/-11 | +1/-1 | +6/-6 |
22 | 125 | 125,9 | 0,9949 | -0,04 | -26,11 | +12/-11 | +1/-1 | +6/-6 |
23 | 160 | 158,5 | 0,9873 | -0,11 | -33,64 | +12/-11 | +1/-1 | +6/-6 |
24 | 200 | 199,5 | 0,9690 | -0,27 | -43,45 | +12/-11 | +1/-1 | +6/-6 |
25 | 250 | 251,2 | 0,9272 | -0,66 | -56,19 | +12/-11 | +1/-1 | +6/-6 |
26 | 315 | 316,2 | 0,8422 | -1,49 | -72,15 | +26/-21 | +2/-2 | +12/-12 |
27 | 400 | 398,1 | 0,7020 | -3,07 | -90,42 | +26/-21 | +2/-2 | +12/-12 |
28 | 500 | 501,2 | 0,5281 | -5,55 | -108,6 | +26/-21 | +2/-2 | +12/-12 |
29 | 630 | 631,0 | 0,3653 | -8,75 | -124,3 | +26/-100 | | |
30 | 800 | 794,3 | 0,2403 | -12,38 | -136,8 | +26/-100 | | |
31 | 1000 | 1000 | 0,1544 | -16,23 | -146,4 | +26/-100 | | |
32 | 1250 | 1259 | 0,09810 | -20,17 | -153,7 | +26/-100 | | |
33 | 1600 | 1585 | 0,06207 | -24,14 | -159,3 | +26/-100 | | |
<1> n - номер третьоктавной полосы частот по ГОСТ 17168. |
В
таблице 1 для фазочастотной характеристики допуск дан не на ее абсолютное значение, а на характеристическую фазовую девиацию (см.
ГОСТ ИСО 8041), определяемую по формуле

, (4)
где

- среднегеометрическая частота n-й третьоктавной полосы частот;

- отклонение от номинальной фазочастотной характеристики на частоте

.
6.7. Рабочий диапазон амплитуд
В технической документации на средство измерений должен быть установлен рабочий диапазон амплитуд от нечувствительности по входу до перегрузки. Если средство измерений имеет несколько диапазонов измерений, то рабочий диапазон амплитуд должен быть установлен для каждого диапазона измерений.
В рабочем диапазоне амплитуд отклонение от линейности, определяемое по отклонению измеренного значения для тестового воздействия на данной тестовой частоте от прямой, проведенной через начало координат и измеренное значение для опорной амплитуды 1 м/с, не должно превышать 4%. Коэффициент гармонических искажений, проверяемый по выходному сигналу, не должен превышать 3%.
На опорной частоте линейный рабочий диапазон должен составлять, по крайней мере, 80 дБ: от 0,05 мм/с (предельное значение уровня нечувствительности по входу) до 500 мм/с (минимально допустимое значение, при котором включается индикатор перегрузки). Если в зависимости от уровня вибрации измерения проводят в разных диапазонах, переключаемых вручную, то перекрытие между соседними диапазонами должно быть не менее 40 дБ. Переключение диапазонов не должно приводить к изменению измеренного значения более чем на 1,5%.
Средство измерений должно предусматривать индикацию нечувствительности по входу, которая должна сохраняться до тех пор, пока измеряемое значение не попадет в рабочий диапазон амплитуд. Если состояние нечувствительности по входу наблюдается на всем периоде измерений, то индикация должна сохраняться вплоть до ручного сброса результатов измерений. Уровень нечувствительности по входу не должен превышать 0,05 мм/с при длине соединительного кабеля до 50 м.
Средство измерений должно предусматривать индикацию перегрузки измерительной цепи, включая датчик вибрации. Индикатор перегрузки должен быть на каждом показывающем устройстве средства измерений. Специальные меры должны быть предусмотрены для предотвращения перегрузки датчика вибрации (выбором датчика в соответствии с целями измерений, наличием встроенного в датчик детектора перегрузки, использованием механического фильтра).
Индикация перегрузки должна появляться сразу по превышении сигналом вибрации верхней границы рабочего диапазона амплитуд и сохраняться до тех пор, пока не произойдет сброс результатов измерений.
Индикатор перегрузки должен реагировать как на положительные, так и на отрицательные сигналы. Разность между модулями положительного и отрицательного входных сигналов, вызывающих индикацию перегрузки, не должна превышать 15%.
6.8. Период измерений
Средство измерений должно предусматривать возможность установки пользователем периода измерений, на котором должно быть определено пиковое значение скорости вибрации. Конструкция средства измерений может допускать выбор пользователем произвольного периода измерений в заданном диапазоне или выбор периода измерений из заданных значений. Погрешность индикации периода измерений не должна превышать 1%.
6.9. Взаимное влияние измерительных каналов
Если на вход измерительного блока подают сигналы по нескольким каналам, то изменения значения, измеренного по одному каналу, в результате влияния другого канала должно быть менее 0,5%.
6.10. Показания при измерении тестовых сигналов
Показания измеренного пикового значения опорного сигнала вибрации должны быть в пределах допуска +/- 4%.
Симметричность измерительной цепи проверяют на электрическом тестовом сигнале в форме прямоугольного импульса длительностью 10 мс с максимальным значением в пределах рабочего диапазона амплитуд. При изменении полярности сигнала результат измерения пикового значения не должен измениться более чем на 5%.
Инерционность измерительной цепи проверяют с помощью электрического тестового сигнала в форме одного периода синусоиды частотой 80 Гц, начальное и конечное значение которого равны нулю. Показания измеренного пикового значения должны быть в пределах допуска +/- 4%.
6.11. Питание
В случае применения автономного источника питания должно быть указано, что его применение позволяет удовлетворить требованиям настоящего стандарта. Проверка электропитания не должна вносить возмущений в процесс измерений.
Изменение напряжения питания средства измерений от номинального значения до минимального уровня, установленного в технической документации, в процессе измерения параметров опорного сигнала не должно приводить к изменению результатов измерений более чем на 3%.
Если питание осуществляют от собственных батарей, то в технической документации должны быть указаны рекомендуемый тип батарей и установлено время ожидаемой непрерывной работы от полностью заряженного автономного источника питания для нормальных условий окружающей среды.
Если средство измерений с автономным источником питания предназначено для измерений вибрации в течение периода времени, превышающего номинальный срок работы батареи, то в технической документации должен быть описан рекомендуемый способ работы от внешнего источника питания, включая требования к диапазону напряжения питания и его пульсациям (в том числе, высокочастотным выбросам).
7. Влияние факторов окружающей среды
7.1. Температура окружающего воздуха
Влияние изменений температуры окружающего воздуха на передаточную функцию измерительной цепи задают в диапазоне температур от минус 10 °C до плюс 50 °C. Чувствительность к изменению температуры воздуха не должна превышать +/- 4% во всем заданном диапазоне температур.
Требование по чувствительности к изменению температуры воздуха применяют либо для средства измерений в целом, либо для тех его составных частей, которые на практике могут подвергаться воздействию большего разброса температур.
Для элементов средства измерений, которые в соответствии с технической документацией предназначены для работы в условиях с контролируемым температурным режимом (например, внутри помещений), диапазон температур может быть ограничен интервалом от 5 °C до 30 °C.
В пределах заданного диапазона температур окружающего воздуха отклонения от линейности на опорной частоте и во всем рабочем диапазоне амплитуд должны оставаться в пределах допусков, указанных в
6.6.
7.2. Защита от воды и пыли
Средство измерений должно быть защищено от воздействия воды и пыли. Изготовитель должен указывать код IP средства измерений по
ГОСТ 14254 в технической документации. Для датчиков вибрации степень защиты, обеспечиваемая оболочкой, не должна быть менее IP54.
Изменения относительной влажности в пределах от 30% до 90% не должно приводить к изменению измеренного значения более чем на +/- 4%.
7.3. Электростатическое напряжение
Средство измерений должно быть устойчивым к электростатическим разрядам степени жесткости 3 по
ГОСТ Р 51317.4.2.
Воздействие указанных электростатических разрядов не должно ухудшать характеристики средства измерений или нарушать его работоспособность, кроме случаев, оговоренных в технической документации. В технической документации может быть указано, что воздействие электростатических разрядов способно привести к снижению качества функционирования средства измерений или к невозможности выполнения им своих функций. Ухудшение качества функционирования не должно приводить к неработоспособности средства измерений, повреждению или потере сохраненных данных или к постоянной утрате части функций.
7.4. Радиочастотное электромагнитное поле
Средство измерений должно обладать защитой от воздействия радиочастотного электромагнитного поля степени жесткости 3 по
ГОСТ Р 51317.4.6. Влияние радиочастотных электромагнитных полей не должно нарушать работоспособность средства измерений, приводить к искажению или потере сохраненных данных.
Устойчивость к радиочастотному электромагнитному полю определяют в диапазоне несущей частоты от 26 МГц до 1 ГГц при ее амплитудной модуляции глубиной 80% синусоидальным сигналом на частоте (частотах), соответствующей условиям применения средства измерений.
При воздействии радиочастотных электромагнитных полей изменение показываемого значения пиковой скорости вибрации не должно превышать +/- 10%.
Средство измерений, удовлетворяющее всем требованиям настоящего стандарта, должно иметь маркировку с указанием обозначения настоящего стандарта. Маркировка должна включать в себя также название фирмы или торговую марку поставщика, несущего ответственность за соответствие средства измерений установленным техническим требованиям. Кроме того, в маркировке указывают модель средства измерений и его серийный номер.
Если средство измерений состоит из нескольких отдельных блоков, то каждый функционально независимый блок должен быть маркирован в соответствии с требованиями настоящего раздела. Должно быть четко указано, из каких отдельных функциональных блоков состоит средство измерений.
9. Техническая документация
Средство измерений поставляют вместе с технической документацией на него.
Если средство измерений состоит из нескольких отдельных блоков, то техническая документация должна распространяться на их сочетание, составляющее в целом функционально законченный прибор. В технической документации должны быть описаны все необходимые составляющие и их взаимное влияние друг на друга.
Значения величин, приводимых в технической документации, должны быть выражены в единицах Международной системы единиц СИ.
Информация, которую должна содержать техническая документация, приведена в Приложении А.
(обязательное)
ТЕХНИЧЕСКАЯ ДОКУМЕНТАЦИЯ
А.1. Общая информация
В технической документации на средство измерений приводят информацию о:
- конфигурациях, которые обеспечивают нормальный режим работы средства измерений;
- датчиках вибрации, рекомендуемых для использования в составе средства измерений, устройствах беспроводной передачи и приема данных от датчика вибрации (при их наличии);
- характеристиках и способах работы каждого канала многоканального средства измерений;
- дополнительных средствах, которые могут потребоваться при использовании средства измерений (например, об анализаторе частот);
- дополнительных средствах, которые могут быть использованы в специальных условиях работы (например, об устройствах крепления и датчиках для измерений в условиях сильных ударных воздействий).
А.2. Особенности конструкции
Приводят информацию о:
- рабочем диапазоне частот;
- величинах, которые могут быть измерены с помощью средства измерений;
- применяемых фильтрах;
- дополнительно реализованных в средстве измерений функциях, требования к которым не установлены настоящим стандартом, с указанием их назначения;
- диапазонах измерений и способе контроля используемого диапазона измерений;
- показывающих устройствах и способах идентификации измеренной величины. При наличии нескольких показывающих устройств должно быть указано, какие из них работают в соответствии с требованиями настоящего стандарта, а какие предназначены для других целей;
- нормальном режиме работы средства измерений в целом;
- рабочем диапазоне амплитуд в каждом диапазоне измерений;
- способах удержания пикового значения и обновления показаний;
- процедуре приведения средства измерений в состояние готовности;
- работе индикаторов перегрузки и нечувствительности по входу и способе сброса их показаний;
- электрических импедансах датчика вибрации, входного и выходного устройств блока измерений;
- программных средствах, необходимых для работы средства измерений, с описанием процедур их установки и использования.
А.3. Передаточная функция
Приводят информацию о:
- вибростендах (калибраторах), которые могут быть использованы для определения передаточной функции измерительной цепи средства измерений;
- опорной и тестовых частотах;
- рекомендуемых методах контроля и регулировки передаточной функции измерительной цепи.
А.4. Чувствительность к изменению внешних факторов
Приводят информацию о:
- способе коррекции результатов измерений в условиях измерений, отличающихся от нормальных;
- интервале времени, необходимом для стабилизации работы средства измерений после изменения внешних условий;
- влиянии электростатических разрядов на работу средства измерений и, при необходимости, мерах предосторожности, которые следует применять для защиты от электростатических разрядов;
- устойчивости средства измерений к воздействию радиочастотного электромагнитного поля, а также режимах работы средства измерений, при которых устойчивость к воздействию радиочастотного электромагнитного поля и помех сетевой частоты минимальна.
А.5. Питание
Приводят рекомендации по:
- типу батареи (при ее наличии), номинальной длительности ее работы в нормальных условиях при полной зарядке;
- методу контроля работы системы питания;
- работе средства измерений от внешнего источника питания;
- значениям номинального напряжения сети и частоты переменного тока (для средства измерений, предназначенного для работы от сети переменного тока).
А.6. Работа средства измерений
Приводят информацию о:
- времени установления режима готовности к измерениям после включения средства измерений;
- максимальном и минимальном периодах измерения сигнала;
- способе установки периода измерений;
- рекомендуемом методе передачи или загрузки цифровых данных на внешнее средство хранения или показывающее устройство с указанием программного и аппаратурного обеспечения, позволяющего выполнять указанные операции;
- методах проверки соответствия характеристик средства измерений требованиям настоящего стандарта.