Главная // Актуальные документы // ГОСТ Р (Государственный стандарт)СПРАВКА
Источник публикации
М.: Стандартинформ, 2009
Примечание к документу
Документ включен в
Перечень документов в области стандартизации, в результате применения которых на добровольной основе обеспечивается соблюдение требований Федерального
закона от 22.07.2008 N 123-ФЗ "Технический регламент о требованиях пожарной безопасности" (
Приказ Росстандарта от 13.02.2023 N 318).
Документ включен в
Перечень документов в области стандартизации, в результате применения которых на добровольной основе обеспечивается соблюдение требований Федерального
закона от 22.07.2008 N 123-ФЗ "Технический регламент о требованиях пожарной безопасности" (
Приказ Росстандарта от 14.07.2020 N 1190).
Документ включен в
Перечень документов в области стандартизации, в результате применения которых на добровольной основе обеспечивается соблюдение требований Федерального
закона от 22.07.2008 N 123-ФЗ "Технический регламент о требованиях пожарной безопасности" (
Приказ Росстандарта от 03.06.2019 N 1317).
Документ включен в
Перечень документов в области стандартизации, в результате применения которых на добровольной основе обеспечивается соблюдение требований Федерального
закона от 22.07.2008 N 123-ФЗ "Технический регламент о требованиях пожарной безопасности" (
Приказ Росстандарта от 17.04.2019 N 832).
Документ включен в
Перечень документов в области стандартизации, в результате применения которых на добровольной основе обеспечивается соблюдение требований Федерального
закона от 22.07.2008 N 123-ФЗ "Технический регламент о требованиях пожарной безопасности" (
Приказ Росстандарта от 16.04.2014 N 474).
Документ включен в
Перечень национальных стандартов и сводов правил, в результате применения которых на добровольной основе обеспечивается соблюдение требований Федерального
закона от 22.07.2008 N 123-ФЗ "Технический регламент о требованиях пожарной безопасности" (
Приказ Ростехрегулирования от 30.04.2009 N 1573).
Документ включен в
Перечень национальных стандартов, содержащих правила и методы исследований (испытаний) и измерений, в том числе правила отбора образцов, необходимых для применения и исполнения Федерального
закона от 22.07.2008 N 123-ФЗ "Технический регламент о требованиях пожарной безопасности" и осуществления оценки соответствия (
Распоряжение Правительства РФ от 10.03.2009 N 304-р).
Документ введен в действие с 01.05.2009 года с правом досрочного применения (
Приказ Ростехрегулирования от 18.02.2009 N 69-ст).
Название документа
"ГОСТ Р 53293-2009. Национальный стандарт Российской Федерации. Пожарная опасность веществ и материалов. Материалы, вещества и средства огнезащиты. Идентификация методами термического анализа"
(утв. и введен Приказом Ростехрегулирования от 18.02.2009 N 69-ст)
"ГОСТ Р 53293-2009. Национальный стандарт Российской Федерации. Пожарная опасность веществ и материалов. Материалы, вещества и средства огнезащиты. Идентификация методами термического анализа"
(утв. и введен Приказом Ростехрегулирования от 18.02.2009 N 69-ст)
Утвержден и введен в действие
по техническому регулированию
и метрологии
от 18 февраля 2009 г. N 69-ст
НАЦИОНАЛЬНЫЙ СТАНДАРТ РОССИЙСКОЙ ФЕДЕРАЦИИ
ПОЖАРНАЯ ОПАСНОСТЬ ВЕЩЕСТВ И МАТЕРИАЛОВ
МАТЕРИАЛЫ, ВЕЩЕСТВА И СРЕДСТВА ОГНЕЗАЩИТЫ
ИДЕНТИФИКАЦИЯ МЕТОДАМИ ТЕРМИЧЕСКОГО АНАЛИЗА
Fire hazard of substances and materials.
Materials, substances and fire protective means.
Identification by thermal analysis methods
ГОСТ Р 53293-2009
Дата введения
1 января 2010 года
с правом досрочного применения
Цели и принципы стандартизации в Российской Федерации установлены Федеральным
законом от 27 декабря 2002 г. N 184-ФЗ "О техническом регулировании", а правила применения национальных стандартов Российской Федерации -
ГОСТ Р 1.0-2004 "Стандартизация в Российской Федерации. Основные положения"
1 РАЗРАБОТАН ФГУ ВНИИПО МЧС России
2 ВНЕСЕН Техническим комитетом по стандартизации ТК 274 "Пожарная безопасность"
3 УТВЕРЖДЕН И ВВЕДЕН В ДЕЙСТВИЕ
Приказом Федерального агентства по техническому регулированию и метрологии от 18 февраля 2009 г. N 69-ст
4 ВВЕДЕН ВПЕРВЫЕ
Информация об изменениях к настоящему стандарту публикуется в ежегодно издаваемом информационном указателе "Национальные стандарты", а текст изменений и поправок - в ежемесячно издаваемых информационных указателях "Национальные стандарты". В случае пересмотра (замены) или отмены настоящего стандарта соответствующее уведомление будет опубликовано в ежемесячно издаваемом информационном указателе "Национальные стандарты". Соответствующая информация, уведомление и тексты размещаются также в информационной системе общего пользования - на официальном сайте Федерального агентства по техническому регулированию и метрологии в сети Интернет
Настоящий стандарт является нормативным документом по пожарной безопасности в области стандартизации и распространяется на вещества, материалы, применяемые в строительстве, энергетике, текстильные материалы (далее по тексту - вещества (материалы)), а также на средства огнезащиты.
Стандарт устанавливает порядок и методы проведения термического анализа и последующей аналитической идентификации веществ (материалов) и средств огнезащиты в целях выявления соответствия определенным требованиям.
Стандарт предназначен для применения при испытаниях веществ (материалов) на пожарную опасность, определении огнезащитных свойств составов и пропиток, установлении соответствия и инспекционном контроле продукции, изготавливаемой предприятиями, юридическими и физическими лицами независимо от форм собственности и ведомственной подчиненности, а также продукции, произведенной за рубежом и ввезенной в Российскую Федерацию.
Стандарт может быть использован при экспертизе пожаров и других видах экспертной оценки.
В настоящем стандарте использованы нормативные ссылки на следующие стандарты:
ГОСТ 9.715-86 Единая система защиты от коррозии и старения. Материалы полимерные. Методы испытаний на стойкость к воздействию температуры
ГОСТ 18276.0-88 Покрытия и изделия ковровые машинного способа производства. Метод отбора проб
ГОСТ 29127-91 (ИСО 7111-87) Пластмассы. Термогравиметрический анализ полимеров. Метод сканирования по температуре
| | ИС МЕГАНОРМ: примечание. В официальном тексте документа, видимо, допущена опечатка: имеется в виду ГОСТ Р ИСО 5725-1-2002, а не ГОСТ Р ИСО 5725-2002. | |
ГОСТ Р ИСО 5725-2002 Точность (правильность и прецизионность) методов и результатов измерений. Часть 1. Основные положения и определения
Примечание - При пользовании настоящим стандартом целесообразно проверить действие ссылочных стандартов в информационной системе общего пользования - на официальном сайте Федерального агентства по техническому регулированию и метрологии в сети Интернет или по ежегодно издаваемому информационному указателю "Национальные стандарты", который опубликован по состоянию на 1 января текущего года, и по соответствующим ежемесячно издаваемым информационным указателям, опубликованным в текущем году. Если ссылочный стандарт заменен (изменен), то при пользовании настоящим стандартом следует руководствоваться заменяющим (измененным) стандартом. Если ссылочный стандарт отменен без замены, то положение, в котором дана ссылка на него, применяется в части, не затрагивающей эту ссылку.
В настоящем стандарте применены следующие термины с соответствующими определениями:
3.1 идентификация продукции: Установление соответствия конкретной продукции образцу и (или) ее описанию. 3.2 аналитическая идентификация: Отнесение объекта аналитического контроля или его компонентов к конкретному веществу, материалу, классу веществ или материалов. |
3.4 проба вещества (материала): Часть вещества (материала) объекта аналитического контроля, отобранная для анализа и/или исследования его структуры, и/или определения свойств, отражающая его химический состав и/или структуру, и/или свойства. |
3.5 кривая нагревания: Запись температуры вещества (образца), помещенного в среду, нагреваемую с регулируемой скоростью, в зависимости от времени.
3.6 термический анализ; ТА: Группа методов анализа вещества (материала), объединяющая термогравиметрию, дифференциально-термический анализ, дифференциально-сканирующую калориметрию и ряд других методов.
3.7 термогравиметрия; ТГ: Метод термического анализа, при котором регистрируется изменение массы образца в зависимости от температуры или времени при нагревании в заданной среде с регулируемой скоростью.
3.8 термогравиметрия по производной: Метод, позволяющий получить первую или вторую производную термогравиметрической кривой по времени или температуре.
3.9 дифференциально-термический анализ; ДТА: Метод, позволяющий регистрировать разность температур исследуемого вещества и вещества, используемого в качестве эталона, в зависимости от температуры или времени.
3.10 дифференциально-сканирующая калориметрия; ДСК: Метод, позволяющий регистрировать энергию, необходимую для выравнивания температур исследуемого вещества и вещества, используемого в качестве эталона, в зависимости от температуры или времени.
3.11
степень превращения 
: Количество прореагировавшего вещества; применительно к ТГ - величина, связанная с начальным

, конечным

значениями массы образца и его массой в данный момент времени

соотношением

.
Примечание -

- безразмерная величина, меняется от 0 до 1.
3.12 экстраполированная точка начала или окончания процесса: Точка пересечения касательной, проведенной в точке наибольшего наклона, с экстраполированной базовой линией.
3.13
температура начала разложения: По
ГОСТ 29127.
3.14 значимые идентификационные характеристики термического анализа (критерии идентификации): Характеристики термоаналитических кривых, по которым устанавливается идентичность веществ (материалов) и средств огнезащиты.
3.15 качественные идентификационные характеристики термического анализа: Характеристики ТА-кривых, которые дополняют информацию о процессе разложения.
3.16 холостой опыт: Проведение процедуры анализа вещества, материала объекта аналитического контроля без аналитической пробы или с холостой пробой. |
4.1 Идентификация проводится с использованием:
- технической документации;
- визуального метода;
- инструментального метода.
4.2 Идентификация с использованием технической документации проводится на основании представленных сопроводительных документов. Сопроводительные документы должны содержать наименование вещества (материала), данные об изготовителе, показатели назначения и другие основные показатели, принадлежность к определенной партии и иные характеристики.
4.3 Визуальный метод основан на восприятии внешнего вида объекта с помощью зрения. Внешний вид является комплексным показателем, который включает в себя форму, цвет (окраску), состояние поверхности, целостность.
4.4 В качестве инструментального метода идентификации используется термический анализ, включающий в себя методы:
- термогравиметрический (ТГ);
- термогравиметрический по производной (ДТГ);
- дифференциально-термический анализ (ДТА) или дифференциально-сканирующую калориметрию (ДСК).
4.5 Идентификация с применением методов термического анализа проводится в два этапа:
- первый этап - получение идентификационных термоаналитических характеристик в результате проведения испытаний с использованием статистических методов обработки и вычисления средних величин и дисперсий;
- второй этап - установление идентичности (тождественности) испытываемого объекта идентификатору <*> на основе сравнения дисперсий и средних величин значимых характеристик термического анализа с использованием статистических критериев: Фишера (F) и t-критерия.
--------------------------------
<*> Идентификатор - объект, впервые прошедший термоаналитические испытания и получивший идентификационные характеристики (опорное значение по ГОСТ Р ИСО 5725,
часть 1, пункт 3.5).
5 Подготовка к испытаниям и их проведение
5.1 Образцы для проведения испытаний отбираются согласно соответствующим стандартам или техническим условиям (например, для лакокрасочных материалов - по
ГОСТ 9980.2, для ковровых покрытий и изделий - по
ГОСТ 18276.0).
Примечание - Погрешность отбора проб вещества (материала) или средства огнезащиты включает в себя (по
ГОСТ Р 52361): погрешность, обусловленную неоднородностью объекта идентификации; погрешность результатов сопутствующих измерений; погрешность, обусловленную изменением состава и/или структуры, и/или свойств пробы в процессе отбора проб и др.
5.2 Приготовление навесок из образцов объектов непосредственно для испытаний проводится с учетом физических свойств веществ (материалов): теплопроводности, теплоемкости, плотности упаковки частиц образца, размеров включенных частиц и т.п.
Примечания
1 Если образец представляет собой гетерогенную смесь разнородных материалов, компоненты которых распределены во всем объеме случайно, то приготовление навески для испытаний проводят, исходя из опыта сохранения представительности, которая в процессе получения идентификационных характеристик оценивается статистически по нескольким параллельным испытаниям.
2 При приготовлении навески образца указанных выше материалов проводят усреднение пробы, т.е. зернистость и объем ее уменьшают размельчением и последующим делением общего объема пробы на части.
3 Для материалов, состоящих из нескольких частей, например, ковровых покрытий или многослойных материалов, используют метод стратификации, т.е. разделение продуктов на однородные части и последующее испытание каждой с проведением параллельных испытаний по
ГОСТ Р 52361.
5.3 Масса, форма и размер навески образцов для испытаний выбираются в зависимости от типа используемого прибора, при этом указанные характеристики образцов фиксируются в протоколе в соответствии с
приложением А.
5.4 Рекомендуемые характеристики навесок для некоторых видов веществ (материалов):
- однородные композиционные вещества (материалы) и огнезащитные составы - масса от 1 до 20 мг, толщина от 0,2 до 2 мм, форма - пластина, диск, кольцо;
- ворс ковровых покрытий, нити, волокна - масса от 1 до 20 мг, при этом рекомендуется использование специальных капсул и других приспособлений для удерживания навесок образцов от расползания;
- вспучивающиеся огнезащитные покрытия - в форме диска (пластины, кольца) толщиной от 0,2 до 1 мм и массой от 3 до 20 мг, при этом необходимо учитывать увеличение объема образца во время испытаний и не допускать перелива образца из тигля;
- древесина сосны, обработанная пропиточным составом, - в форме пластины, диска, мелкой стружки, слой с поверхности толщиной от 0,5 до 1 мм.
5.5 Перед испытаниями проводят калибровку прибора на стандартных образцах, прилагаемых к данному типу приборов, в соответствии со стандартами [
1 -
6].
Примечание -
Требования к приборам термического анализа - в соответствии с приложением Б.
5.6 Стандартные образцы выбираются для каждого метода термического анализа с учетом рекомендаций
ГОСТ 9.715, ИСО 11357
[1] и ИСО 11358
[2].
5.7 Погрешность результатов калибровки должна соответствовать параметрам, указанным в инструкции для конкретного типа прибора термического анализа.
5.8 Перед испытаниями должны быть изучены возможные источники систематических погрешностей и учтено их влияние (например, дрейф базисной линии во времени при проведении холостого опыта).
Для этого проводят предварительные испытания и определяют их оптимальные условия: скорость нагревания, массу и форму навески, с учетом приведенных выше рекомендаций. При этом в параллельных испытаниях следует учесть факторы, влияющие на характер термоаналитических кривых (например, вспучивание, расслоение или резкое изменение размеров навески образца в процессе нагревания и т.п.).
5.9 Нагревание образца проводится в динамической окислительной (воздух) или инертной (для коксующихся материалов и средств огнезащиты на органической основе) атмосфере газа. В необходимых случаях, когда требуется повысить сходимость данных, используется переменная динамическая инертная атмосфера газа (азот, аргон) со сменой ее при определенной температуре на окислительную. Смена атмосферы в процессе нагревания проводится также в целях определения коксового и зольного остатков вещества.
Примечания
1 Испытания образцов веществ (материалов), разлагающихся с высокими скоростями потери массы (например, полипропилен, полистирол, полиэтилен и т.п.), проводятся в инертной атмосфере.
2 Температура смены атмосферы определяется для каждого материала индивидуально.
3 Скорость газа во время испытаний от 50 до 100 см3/мин.
4 Требования к газу по
ГОСТ 29127 (например, азот особой чистоты - по
ГОСТ 9293 с изм. 1, 2, 3).
5.10 Количество проводимых параллельных испытаний и используемые методы термического анализа определяются с учетом специфики исследуемого объекта (состава, однородности и т.п.).
5.11 Рекомендуемое количество параллельных испытаний n от трех до пяти, но не менее трех.
Примечание - В особых случаях допускается проведение двух параллельных испытаний. Особым случаем считают многократные параллельные испытания одних и тех же или однотипных образцов, для которых методически определены форма, масса навески, погрешность, зависящие от структуры образца и других параметров.
5.12 Рекомендуемые основные условия проведения весовых испытаний:
- начальная температура - от 25 °C до 30 °C или температура окружающей среды;
- скорость нагревания - 5, 10, 20 °C/мин;
- атмосфера - инертный газ или воздух с расходом от 50 до 150 мл/мин (рекомендуемая температура переключения газа для полимерных материалов от 500 °C до 650 °C, для огнезащитных красок и термостойких материалов от 750 °C до 850 °C);
- конечная температура - по окончании процесса деструкции (для большинства объектов идентификации не превышает диапазон от 900 °C до 1000 °C).
Примечание - Для получения качественных идентификационных характеристик допускается проведение испытаний в атмосфере воздуха.
5.13 Характеристики термического анализа
5.13.1 Все характеристики ТА, полученные в результате испытаний, разделяют на значимые и качественные.
5.13.2 Значимые идентификационные характеристики ТА:
а) значения температуры, °C, при фиксированных потерях массы (например, 5, 10, 20, 30, 50%), которые определяются по ТГ-кривым, приведенным на
рисунке В.1 (приложение В), для веществ (материалов) и огнезащитных покрытий на полимерной основе.
При определении значений температуры диапазон суммарной потери массы материала разбивается не менее чем на четыре значения. Например, для материалов с потерей массы, не превышающей 10%, фиксируются температуры при 1, 2, 3, 4, 5%;
б) потеря массы

, %, при фиксированных значениях температуры (например, 100, 150, 200, 250, 300 °C и т.д.), определяемая по ТГ-кривым, приведенным на
рисунке В.2 (приложение В);
в) значения температуры при максимумах скорости потери массы, определяемые по ДТГ-кривым (см.
рисунок В.3 приложения В);
г) скорость потери массы, %/мин, или амплитуда максимумов (ДТГ-максимум), определяемые по ДТГ-кривым, приведенным на
рисунке В.3 (приложение В);
д) коксовый остаток, %, который определяется по окончании процесса пиролиза в инертной атмосфере или при фиксированной температуре по ТГ-кривым, приведенным на
рисунке В.4 (приложение В);
е) зольный остаток, %, который определяется по окончании процесса термоокисления при фиксированной температуре по ТГ-кривым, приведенным на
рисунке В.4 (приложение В);
ж) значения температуры плавления и соответствующие им тепловые эффекты, Дж/г, определяемые по ДСК (ДТА)-кривым (см.
рисунок В.5 приложения В).
5.13.3 Качественные характеристики ТА:
а) интервалы температур, внутри которых происходят процессы деструкции по ТГ- и ДТГ-кривым, или тепловых эффектов по ДТА (ДСК)-кривым;
б) экстраполированные значения температуры начала и окончания протекания термоаналитических эффектов (см.
рисунок В.3 приложения В);
в) тепловые эффекты в абсолютных единицах, Дж/г, по ДСК-кривым или в относительных единицах, °C·мин/мг, по ДТА-кривым.
6 Обработка результатов испытаний
6.1 В результате термоаналитических испытаний получают соответствующие графические зависимости, которые обрабатываются по схемам, приведенным на
рисунках В.1 -
В.6 (см. приложение В). При этом характеристики ТА, определяемые по
а),
б) и
г) 5.13.2, рекомендуется приводить к безразмерному виду с использованием степени превращения

, которая изменяется в пределах

(см.
рисунок В.6 приложения В), и скорости превращения (см.
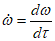
рисунок А.2.1 приложения А)

. (1)
Обработка графических зависимостей проводится с использованием соответствующего программного обеспечения приборов термического анализа.
6.2 В результате обработки графических зависимостей для каждой нормированной точки и нескольких параллельных испытаний определяют:
- среднее арифметическое

по формуле

, (2)
где

- оценка значимой характеристики термического анализа;
- отклонения d от среднего арифметического значения по формулам:

; (3)
- квадраты этих отклонений по формулам:

; (4)
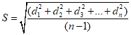
- среднеквадратическое отклонение повторяемости (сходимости) результатов измерений S для каждой точки по формуле

. (5)
6.3 Результаты обработки заносят в протокол испытаний, в котором указывают дату и время испытаний, приводят информацию о материале, заказчике (производителе) и другие сведения в соответствии с
приложением А.
7 Установление идентичности образцов
7.1 Идентификация двух испытанных объектов (идентификатора и поступившего повторно на испытания объекта) проводится на основе сравнения следующих критериев идентификации:
- количества ДТГ-максимумов на соответствующих кривых;
- всех значимых характеристик, определенных в
разделе 6.
7.2 В этих целях повторно поступивший материал проходит испытания и проводится обработка результатов согласно
разделам 5,
6 настоящего стандарта.
7.3 Результаты испытаний сравниваются с аналогичными результатами, полученными для идентификатора. Сравнению подлежат характеристики ТА, полученные на приборах одного класса и при одинаковых условиях эксперимента: массе, форме и размере образцов; форме, размере и материале тигля; виде газа динамической атмосферы и расходе газа; скорости нагревания и др.
7.4 Сравнение результатов проводится по следующей схеме:
7.4.1 Вычисляются дисперсии

для каждой значимой точки по формуле

. (6)
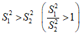
7.4.2 Выясняется причастность сравниваемых дисперсий одной и той же генеральной совокупности (проверка нуль-гипотезы, т.е.

) на основании сравнения критериев Фишера (
F-критерий) - экспериментального

и теоретического

с использованием следующего неравенства:

, (7)
где

;

- дисперсии нормированных точек идентификатора и идентифицируемого (повторно поступившего на испытания) материала; при этом в числитель всегда ставится большая дисперсия, т.е.

;

выбирается по таблице 1 в зависимости от уровня значимости

и числа степеней свободы

и

(

для числителя и

для знаменателя);
P - доверительная вероятность (рекомендуется принимать равной 0,95 в соответствии с таблицей 1).
Таблица 1
F-критерий в зависимости от числа степеней свободы

и

(при вероятности 0,95)
f2 | f1 = 1 | f1 = 2 | f1 = 3 | f1 = 4 | f1 = 5 | f1 = 6 |
1 | 161 | 200 | 216 | 225 | 230 | 234 |
2 | 8,51 | 19,00 | 19,16 | 19,25 | 19,30 | 19,34 |
3 | 10,13 | 9,55 | 9,28 | 9,12 | 9,01 | 8,94 |
4 | 7,71 | 6,94 | 6,59 | 6,39 | 6,26 | 6,16 |
5 | 6,61 | 5,79 | 5,41 | 5,19 | 5,05 | 4,95 |
6 | 5,99 | 5,14 | 4,76 | 4,53 | 4,39 | 4,28 |
7.5 Если для каждой значимой характеристики
неравенство (7) выполняется, то нуль-гипотеза подтверждается. В этом случае случайные ошибки обеих серий испытаний близки по величине и не вызваны влиянием на них состава материалов. В противном случае (

) делается вывод о том, что материалы не идентичны, проводятся уточняющие расчеты или дополнительные испытания для выявления причин обнаруженных отклонений.
7.6 В случае выполнения
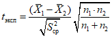
неравенства (7) для каждой значимой характеристики проводится сравнение двух средних с помощью
t-критериев (

и

) в следующем порядке:
- для каждой значимой точки определяется усредненная дисперсия по формуле

, (8)
где

- количество испытаний идентификатора;

- количество испытаний сравниваемого материала;
- вычисляется

по формуле

. (9)
7.6.1 Если найденное значение

по абсолютной величине окажется меньше

:

, (10)
где

определяется по таблице 2 при заданных уровне значимости (

) и числе степеней свободы объединенной выборки (

), то нуль-гипотеза принимается и сравнение средних для каждой нормированной характеристики не дает значимого расхождения.
Таблица 2
t-критерий в зависимости от вероятности
и числа степеней свободы
Число степеней свободы f | Вероятность P |
0,90 | 0,95 | 0,98 | 0,99 |
2 | 2,92 | 4,30 | 6,97 | 9,93 |
3 | 2,35 | 3,18 | 4,54 | 5,84 |
4 | 2,13 | 2,78 | 3,75 | 4,60 |
5 | 2,01 | 2,57 | 3,37 | 4,03 |
6 | 1,94 | 2,45 | 3,14 | 3,71 |
7 | 1,89 | 2,36 | 3,00 | 3,50 |
8 | 1,86 | 2,31 | 2,90 | 3,36 |
9 | 1,83 | 2,26 | 2,82 | 3,25 |
7.6.2 Если при соответствующих значениях

и
f (см.
таблицу 2) найденное значение

по абсолютной величине окажется больше

(

), то нуль-гипотеза отвергается и значения средних для каждой характеристики ТА имеют значимые расхождения. Выясняются причины полученных расхождений.
7.7 Сравниваемые образцы материалов считаются идентичными по результатам термического анализа на основании следующих заключений:
- совпадает количество основных (значимых) ДТГ-максимумов;
7.8 На основании проведенных испытаний составляется протокол в соответствии с
приложением А.
7.9 Протокол испытаний должен содержать:
а) параметры проведения съемки, которые включают в себя:
- тип используемого прибора;
- тип устройства для измерения температуры;
- массу образца;
- форму и размер образца;
- скорость нагревания;
- вид и расход газа используемой динамической атмосферы;
- тип тигля и дополнительного контейнера для образца;
- для автоматизированных приборов - скорость съема информации;
б) информацию об образце материала (ГОСТ, ТУ и т.п.);
в) номер аттестата на термоаналитическое оборудование и срок его действия;
г) результаты расчетов характеристик в соответствии с
разделом 6.
7.10 Отчет о проведении идентификации должен содержать результаты и выводы по использованным методам идентификации (см.
4.2 -
4.4).
7.11 При положительном результате испытаний в выводах указывается, что материалы являются идентичными.
7.12 При отрицательном результате испытаний и невыполнении требования
7.6.1 в отчете приводятся соответствующие выводы, на основе которых проводятся корректирующие мероприятия.
7.13 Отчет заверяется подписями исполнителей, выполнивших работу по идентификации.
(обязательное)
ПРОТОКОЛЫ РЕЗУЛЬТАТОВ ТЕРМИЧЕСКОГО АНАЛИЗА ОБРАЗЦОВ
ПРОТОКОЛ N ____ от "___" _____________ 20___ г
результатов термического анализа материалов
А.1.1 Изготовитель _______________________________________________________
А.1.2 Наименование материала (ТУ, ГОСТ) __________________________________
А.1.3 Дата поступления образца на испытания ______________________________
А.1.4 Дата проведения испытаний __________________________________________
А.1.5 Аппаратура термического анализа ____________________________________
А.1.6 Аттестат N ____ действителен до "___" ______________ 20___ г
А.1.7 Условия проведения испытаний: таблица А.1.1
Таблица А.1.1
Условия испытаний | Используемый метод (модуль) |
ТГ | ДСК (ДТА) |
Термопара (материал, диаметр провода) | | |
Тигель (материал, объем) | | |
Масса образца, мг | | |
Форма образца | | |
Атмосфера | | |
Расход газа, мл/мин | | |
Скорость нагрева, °C/мин | | |
Конечная температура нагрева, °C | | |
А.1.8 Результаты испытаний: таблица А.1.2,
рисунок А.1.1 (наименование файлов данных)
Таблица А.1.2
Потеря массы  , %, при температуре, °C | Коксовый остаток, %, при T, °C | Зольный остаток, %, при T, °C |
| | | | | | | |
| | | | | | |
S | | | | | | | |
Температура, °C, при потере массы | T5% | T10% | T20% | T50% |
Tср | | | | |
S | | | | |
Характеристика максимумов ДТГ-пиков в температурном интервале (температура максимума Tmax, °C/максимальная скорость потери массы Amax, %/мин-1) |
Интервал, °C | | | | | | |
Tmax ср/Amax ср | | | | | | |
S/S | | | | | | |
Температуры максимумов ДСК (ДТА)-пиков, °C |
Tmax ср | | | | | |
S | | | | | |
Исполнитель /Ф.И.О./
Начальник /Ф.И.О./
1 - ТГ-кривая (потеря массы);
2 - ДТГ-кривая (скорость потери массы);
3 - температура (скорость нагревания - 20 °C/мин)
Рисунок А.1.1 - Характерные термоаналитические кривые
образца материала
ПРОТОКОЛ N ____ от "___" _____________ 20___ г
результатов термического анализа материалов
А.2.1 Изготовитель _______________________________________________________
А.2.2 Наименование материала (ТУ, ГОСТ) __________________________________
А.2.3 Дата поступления образца на испытания ______________________________
А.2.4 Дата проведения испытаний __________________________________________
А.2.5 Аппаратура термического анализа ____________________________________
А.2.6 Аттестат N ___ действителен до "___" _______________ 20___ г
А.2.7 Условия проведения испытаний: таблица А.2.1
Таблица А.2.1
Условия испытаний | Используемый метод (модуль) |
Термопара (материал, диаметр провода) | |
Тигель (материал, объем) | |
Масса образца, мг | |
Форма образца | |
Атмосфера | |
Расход газа, мл/мин | |
Скорость нагрева, °C/мин | |
Конечная температура нагрева, °C | |
А.2.8 Результаты испытаний: таблица А.2.2,
рисунок А.2.1 (наименование файлов данных)
Таблица А.2.2
Степень превращения  при температуре, °C |
T | 100 | 200 | 300 | 400 | 500 | 600 |
| | | | | | |
S | | | | | | |
Температура, °C, при степени превращения  | | | | | | |
Tmax ср, °C | | | | | | |
S | | | | | | |
Характеристика максимумов скорости превращения |
Tmax, °C/  , 1/мин | |
S | |
Исполнитель: /Ф.И.О./
Начальник: /Ф.И.О./
1 - степень превращения

;
2 - скорость превращения

Рисунок А.2.1 - Характерные термоаналитические кривые
образца материала
(обязательное)
ТРЕБОВАНИЯ К ПРИБОРАМ, ПРИМЕНЯЕМЫМ
ДЛЯ ПРОВЕДЕНИЯ ИДЕНТИФИКАЦИИ
Б.1 Для проведения идентификации методами термического анализа применяют приборы, внесенные в Госреестр средств измерений и имеющие Сертификат об утверждении типа средств измерений, а также действующее Свидетельство о поверке.
Б.2 Для идентификации применяют автоматизированные приборы термического анализа, имеющие соответствующее программное обеспечение для обработки результатов, следующих типов:
- модульные, в которых каждому методу соответствует один прибор (например, только ТГ или только ДТА);
- совмещенные, в которых разные методы (ТГ, ДТА или ДСК) реализуются одним прибором;
- с горизонтальным или вертикальным размещением реакционных камер и механизмов весов;
- одно- или двухчашечные.
Б.3 Программное обеспечение должно позволять получать автоматическое представление измеряемого сигнала (ТГ, ДТА или ДСК) в виде зависимости "сигнал - температура" или "сигнал - время".
Б.4 Требования к термовесовым устройствам:
- взвешивание образца должно проводиться с точностью +/- 0,1 мг или выше;
- температурный диапазон нагревания - не менее 1000 °C;
- погрешность измерения температуры - не более 2 °C;
- скорость нагревания - от 5 °C/мин до 20 °C/мин;
- возможность осуществлять контроль атмосферы на входе в реакционную камеру и на выходе из нее;
- возможность устанавливать расход продувочного газа с регулировкой +/- 10%.
Б.5 Требования к дифференциальным сканирующим калориметрам:
- обеспечение возможности работать с постоянными скоростями нагрева в диапазоне от 1 °C/мин до 20 °C/мин;
- погрешность измерения температуры не более 1 °C;
- чувствительность не хуже 10 мкВт;
- динамическая атмосфера с возможностью устанавливать скорость потока продувочного газа с регулировкой +/- 10%;
- температурный диапазон нагревания не менее 500 °C.
Б.6 Требования к дифференциально-термическим анализаторам:
- обеспечение возможности работать с постоянными скоростями нагревания в диапазоне от 5 °C/мин до 20 °C/мин;
- погрешность измерения температуры - не более 2,5 °C;
- чувствительность не хуже 0,1 мВ;
- динамическая атмосфера с возможностью устанавливать скорость потока продувочного газа с регулировкой +/- 10%;
- температурный диапазон нагревания не менее 1000 °C.
(рекомендуемое)
СХЕМЫ ОПРЕДЕЛЕНИЯ ХАРАКТЕРИСТИК ТЕРМИЧЕСКОГО АНАЛИЗА
1 - ТГ-кривая (потеря массы); 2 - температура;
3 - характерные точки ТГ-кривой;
4 - температура при потере 10% и 50% массы
Рисунок В.1 - Схема определения характерных значений
температуры при фиксированных значениях потери массы
(в координатах "потеря массы - время")
1 - ТГ-кривая (потеря массы); 2 - температура;
3 - характерные точки ТГ-кривой;
4 - потеря массы при 300 °C и 400 °C
Рисунок В.2 - Схема определения характерных значений
потери массы при фиксированных значениях температуры
(в координатах "потеря массы - время")
1 - ТГ-кривая; 2 - ДТГ-кривая; 3 - экстраполированная
температура начала процесса по ТГ-кривой;
4 - экстраполированные температуры начала
и окончания процесса по ДТГ-кривой;
5 - экстраполированная температура максимума
по ДТГ-кривой; 6 - амплитуда скорости потери
массы по ДТГ-кривой
Рисунок В.3 - Схема определения экстраполированных
температур (3, 4, 5) по ТГ(1) и ДТГ(2)-кривым
1 - ТГ-кривая; 2 - ДТГ-кривая; 3 - коксовый остаток
при 750 °C; 4 - зольный остаток при 900 °C
Рисунок В.4 - Схема определения коксового
и зольного остатков по термогравиметрической кривой
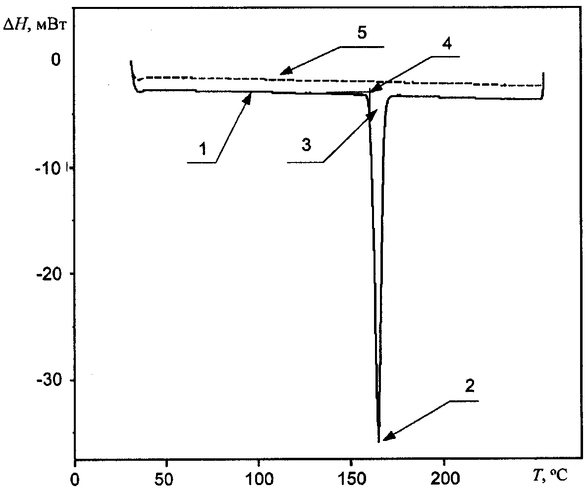
(в координатах "сигнал - температура")
1 - ДСК-кривая; 2 - температура экстремума теплового
эффекта плавления;
3 - тепловой эффект плавления (

);
4 - экстраполированная температура начала
плавления (

);
5 - нулевая линия
Рисунок В.5 - Схема определения характеристик плавления
по ДСК-кривой (в координатах "сигнал - температура")
1 - по термогравиметрической кривой m = f(T);
2 - по кривой степени превращения

Рисунок В.6 - Схема определения идентификационных
характеристик при фиксированной температуре T = 300 °C
| ИСО 11357:1997 | "Пластмассы. Дифференциально-сканирующая калориметрия ДСК" (ISO 11357:1997 "Plastics. Differential Scaning Calorimetry (DSC)") |
| ИСО 11358:1997 | "Пластмассы. Термогравиметрия полимеров. Основные принципы" (ISO 11358:1997 "Plastics. Thermogravimetry (TG) of Polymers. General Principles") |
[3] | АСТМ Е 967-97 | "Температурная калибровка дифференциальных сканирующих калориметров и дифференциальных термических анализаторов" (ASTM Е 967-97 "Standard Practice for Temperature Calibration of Differential Scaning Calorimeters and Differential Thermal Analyzers") |
[4] | АСТМ Е 968-99 | "Калибровка по тепловому потоку в дифференциальном сканирующем калориметре" (ASTM E 968-99 "Standard Practice for Heat Flow Calibration of Differential Scaning Calorimeters") |
[5] | АСТМ Е 1131-98 | "Стандартный метод композиционного анализа с применением термического анализа" (ASTM E 1131-98 "Standard Test Method for Compositional Analysis by Thermogravimetry") |
| АСТМ Е 1582-93 | "Стандартный метод калибровки температуры в термогравиметрии" (ASTM E 1582-93 "Standard Practice for Calibration of Temperature Scale for Thermogravimetry") |